Introducción
En Sonora, Agave angustifolia se ha utilizado desde hace más de 300 años en la elaboración de la bebida espirituosa bacanora (Salazar et al., 2015), la cual se produjo clandestinamente durante 77 años hasta la derogación de la ley seca del bacanora por el H. Congreso del estado de Sonora en junio de 1992 (Salazar, 2007).
A raíz de ello, su elaboración retomó impacto económico en la región serrana del estado, pero provocó que las poblaciones silvestres de A. angustifolia disminuyeran sensiblemente por el sobreaprovechamiento en el área de Denominación de Origen del Bacanora (DOB) (Diario Oficial de la Federación, 06-I-2000), lo que podría generar un impacto ambiental negativo más aún por la aridez prevaleciente en la región (Nobel, 1994).
Esta situación se agrava porque es una especie semélpara con un ciclo de vida de alrededor de siete años, un bajo establecimiento de plántulas derivadas de semilla y la reproducción asexual a través de un número limitado de rizomas, bulbilos y bulbillos insuficientes para compensar la extracción. Para una producción sostenible y económicamente viable de bacanora, la disponibilidad de materia prima es imperativo.
La micropropagación de agaves mediante la brotación de meristemos laterales en el tallo de las plántulas (Robert et al., 1992; Esqueda y Vargas, 2007; Millán-Soto et al., 2016) permite la producción masiva de plantas vigorosas, sanas, rejuvenecidas y coadyuvaría en compensar la erosión de poblaciones silvestres. Además, ofrece la oportunidad de aumentar el rendimiento en biomasa foliar mediante la selección y propagación de individuos altamente productivos como se ha logrado con henequén (Eastmond et al., 2000), haciendo la producción de fibra más eficiente, reduciendo costos y generando un sistema económicamente atractivo para los productores.
El cultivo in vitro ha sido considerado una alternativa viable para la clonación de A. angustifolia, en el que destaca la embriogénesis somática (Arzate-Fernández y Mejía-Franco, 2011) y los embriones somáticos encapsulados (semillas sintéticas) (Arzate-Fernández et al., 2016). Enríquez-del Valle et al. (2005) evalúo diferentes concentraciones de sales inorgánicas y ácido indolbutírico para la brotación de meristemos laterales y enraizamiento. El protocolo del presente estudio difiere en los reguladores de crecimiento (2,4-diclorofenoxiacético y 6-benciladenina) y la concentración de sales.
Una etapa crítica es la aclimatación de las vitroplantas (Santacruz-Rubalcaba et al., 2008). Debido a que representa un reto transferirlas de un medio rico en nutrientes, reguladores de crecimiento y humedad saturada, a un sustrato no estéril con una humedad relativa y temperatura no controladas. Asimismo, aún no realizan fotosíntesis y su nutrición depende inicialmente de las reservas acumuladas (Monja-Mio et al., 2015). Por ello, los sustratos orgánicos y la fertiirrigación favorecen la adaptación ex vitro de A. angustifolia para que continúen su crecimiento y desarrollo (Enríquez-del Valle et al., 2009).
Para obtener un alto porcentaje de supervivencia durante la aclimatación es necesario un sustrato blando, con buen drenaje y retención de humedad, que favorezca un rápido crecimiento radicular sin desecación de la planta. En esta etapa las raíces adquieran funcionalidad para absorber agua y nutrientes, y los estomas para controlar la transpiración y por ende, la pérdida de agua. Durante la fase in vitro a ex vitro en vitroplantas de A. angustifolia se desarrolla el complejo estomático, incrementa la deposición de ceras epicuticulares y la formación de cristales de oxalato de calcio sobre la epidermis de la hoja (Monja-Mio et al., 2015).
En la predicción del cambio climático para México, Sonora será el segundo estado con el mayor incremento de temperatura (3.57 °C), así como en la disminución de la precipitación con un 21.3%, este último compartido con Baja California (Martínez-Austria y Patiño-Gómez, 2012). Por ello, el trasplante holístico de agave bajo condiciones de agostadero desarrollado por Esqueda et al. (2013), en la recuperación de poblaciones silvestres y manejo sostenible de A. angustifolia es importante para los productores del área de DOB, donde se requieren proyectos productivos rentables. Algunas de las clonas obtenidas de especímenes de la sierra sonorense, se han caracterizado en cuanto a su eficiencia metabólica (Millán-Soto et al., 2016), desarrollo del complejo estomático (Monja-Mio et al., 2015) y epigenética (Duarte-Aké et al., 2016). El objetivo del presente estudio fue evaluar el comportamiento de plantas micropropagadas de Agave angustifolia durante su aclimatación en diferentes sustratos y su trasplante a condiciones silvestres.
Materiales y métodos
Vitroplantas
Se produjeron mediante la brotación de meristemos laterales en el tallo de las plántulas en cajas magenta (Sigma Aldrich V8505), con medio de cultivo modificado de Murashige y Skoog (1962) (MS) y Robert et al. (1992)). El medio de la fase de multiplicación y crecimiento contenía 0.05 y 0.025 mg L-1 de 2,4-diclorofenoxiacético respectivamente; ambos con 1 mg L-1 de 6-benciladenina (BA). En el medio de enraizamiento se utilizó 50% de sales MS, agar-agar 1%, 0.025 mg L-1 de 2,4-D, sin 6-BA. El cuarto de cultivo tenía un fotoperíodo de 12 h con intensidad lumínica de 50 µmol m-2 s-1 suministrada por tubos fluorescentes blancos y temperatura de 27 ±2 ºC. Las líneas clonales (LC) evaluadas fueron LC15s y LC26s de plantas madre originadas de semillas colectadas en Bacanora, Sonora (28° 58’ 44’’ latitud norte, 109° 23’ 54’’ longitud oeste), mientras que LC23b y LC24b provenían de bulbilos de Moctezuma, Sonora (29° 48’ 11’’ latitud norte, 109° 40’ 44’’ longitud oeste). Estas LC se establecieron en 2003, con base en especímenes aparentemente sanos, vigorosos y representativos de la especie. El factor de multiplicación se calculó con el número de vitroplantas producidas al final del cultivo entre el número inicial. Se realizaron nueve subcultivos con recambios cada seis semanas.
Sustratos
Se evaluaron cuatro sustratos: testigo (T): arena, tierra lama y gravilla (3:1:1); tratamiento I (TI): turba: mezcla testigo (1:1); tratamiento II (TII): tierra para maceta (tierra negra, suelo de hojarasca y aserrín): mezcla testigo (1:1) y tratamiento III (TIII): turba: tierra para maceta: mezcla testigo (1:1:1). Para cada sustrato se analizaron los factores físicos y químicos de acuerdo con las metodologías indicadas por Fernández et al. (2006). El porcentaje de retención de humedad y la eficiencia de riego se determinaron con los protocolos descritos en Davidson et al. (1999).
Aclimatación
Las vitroplantas seleccionadas tenían entre 5 y 7 cm de altura, vigorosas y sin ningún síntoma de enfermedad. Después de sacar las plántulas de las cajas magentas, se lavaron con agua corriente para eliminar el exceso de agar, las raíces se podaron a 0.5 cm de longitud y se sumergieron durante 3 min en una solución con 5 g L-1 de Captan 50%. La aclimatación se realizó en Hermosillo, Sonora ubicado a 29° 07’ 31’’ latitud norte y 110° 53’ 33’’ longitud oeste. Durante los 60 d de evaluación la temperatura y humedad relativa fueron de 18-32 promedio de 27 °C y 18-48 promedio de 28%, respectivamente (HOBO U12-012).
Se utilizaron charolas de poliestireno de 60 cavidades de 5 × 5 × 7.5 cm con capacidad de 9 L en una superficie sombreada con malla 80% y se regaron a capacidad de campo tres veces por semana. El porcentaje de supervivencia se determinó multiplicando por 100 el número de plántulas final entre el valor inicial. La altura se midió desde la parte basal del vástago hasta la punta de la hoja más larga con una regla graduada. El número de hojas se cuantificó y la longitud de raíz con una regla graduada en mm. Se registró el peso fresco y seco de las plantas con una balanza digital; se secaron a 45 °C por 48 h hasta peso constante. Cada plántula se consideró una unidad experimental y la determinación se realizó con cinco repeticiones.
Trasplante
Se estableció en un matorral subtropical en Ures, Sonora (29° 27’ 51.45’’ longitud oeste, 110° 15’ 42.31’’ longitud oeste) dentro del área de DOB. Los factores abióticos se caracterizaron con base en cartas temáticas y mapas digitales de clima, fisiografía, hidrología, geología, incluyendo toma de muestras in situ para el análisis físico y químico de suelos. El análisis de vegetación se hizo mediante el método de cuadrantes al azar y líneas de Canfield, determinándo densidad, dominancia, frecuencia y valor de importancia de las diferentes especies vegetales (Bonham, 1989).
Se trasplantaron 1 000 vitroplantas con una talla de 18 a 24 cm, previamente endurecidas durante ca. 8 meses bajo sombra con malla 50%; 250 por clona en tres secciones (SI, SII y SIII) de un cerro de 439 (base, SI) a 446 msnm. (cima, SIII) con una pendiente de 6%. El trasplante se realizó al inicio de las lluvias de verano con base en las características abióticas y bióticas del sitio, priorizando las plantas nodrizas. La distancia promedio fue de 1 m entre el agave y la nodriza, con uno a tres individuos por nodriza. Se midió altura, número de hojas y cobertura de los agaves, monitoreando el 24% de los individuos seleccionados al azar por línea clonal.
Análisis estadístico
Para la aclimatización se utilizó un diseño completamente al azar con un arreglo factorial (sustratos y líneas clonales con cuatro niveles por factor), monitoreando aspectos morfológicos (número de hojas, altura de la planta, peso seco, longitud de raíz y porcentaje de enraizamiento) durante 60 d. Los datos de trasplante se sometieron a un análisis de varianza (Andeva) con un diseño completamente al azar, considerando número de hojas, altura y cobertura de vitroplantas de las cuatro líneas clonales en tres secciones de un cerro durante 66 semanas. Cuando existió diferencia significativa entre los tratamientos se realizó una prueba de comparación de medias según la prueba de rangos múltiple de Tukey (p< 0.05) (SAS v6.08). Las especies vegetales se compararon entre las secciones del sitio según índices como uniformidad de Pielou (J’) y similitud de Jaccard (J).
Resultados y discusión
Vitroplantas
Se obtuvieron 12 brotes en promedio en >50% de los explantes, en un periodo de seis semanas. Después de nueve subcultivos, cada uno de los brotes inducidos originalmente, produjo 729 ±308 nuevos individuos. Los brotes que alcanzaron de 6-8 cm de altura se separaron y transfirieron a un medio de enraizamiento. Después de tres semanas, todas las plántulas desarrollaron raíces de 2-3 cm de largo (Figura 1). La biomasa base seca fue de 8.19, 9.82, 13.35 y 14.6% para LC15s, LC26s, 23b y LC24b respectivamente, siendo mayor en las dos últimas clonas (p< 0.05). El factor de multiplicación de LC24b fue estadísticamente superior al resto de las clonas con un valor de 2.6, mientras que las otras líneas clonales presentaron valores similares de 1.4 para LC26s y LC23b, y 1.3 para LC15s (p< 0.05).

Figura 1 Fases del proceso de micropropagación de Agave angustifolia: A) iniciación; B) multiplicación; y C) enraizamiento; así como fase ex vitro de aclimatización (D); endurecimiento (E); y trasplante en condiciones silvestres (F).
Enríquez-del Valle et al. (2005) observaron que la adición de ácido indolbutírico (AIB) hasta 1 mg L-1 estimula el crecimiento de brotes y formación de raíces en A. angustifolia con un promedio por brote de 8.6 raíces y 6.4 hojas en 7 d (75% de sales MS y 0.75 mg L-1 de AIB) vs 4.2 raíces y 5.8 hojas en 14 d (100% de sales MS sin AIB). En el presente estudio, el medio de cultivo de la fase de multiplicación y crecimiento contenía 0.05 y 0.025 mg L-1 de 2,4-D respectivamente y con 1 mg L-1 de 6-BA. En el medio de enraizamiento se utilizó 0.025 mg L-1 de 2,4-D. El número promedio de hojas a final del cultivo in vitro fluctuó de 4.8 ±0.7 (LC15s) a 6.1 ±1.2 (LC24b), siendo menor al trabajo previo. Sin embargo, se seleccionó un medio de enraizamiento con 50% de sales MS, sin 6-BA y agar-agar al 1%, por considerar que el trasplante se realizaría bajo condiciones silvestres.
La micropropagación podría ser piedra angular para una producción sostenible de bacanora. Permitiría coadyuvar en la domesticación de la especie, tener a escala masiva agaves productivos, disponer de material suficiente para plantación, forestación y recuperación de poblaciones silvestres, conforme a un programa de desarrollo económico de la industria del bacanora.
Aclimatación
La supervivencia fue 100% en todos los tratamientos. Los cuatro sustratos mostraron una textura y un contenido de nutrientes adecuado para las cuatro líneas clonales. Las vitroplantas de LC15s, LC26s, LC23b y LC24b tienen una baja velocidad de respiración (0.42-0.54 nmol CO2 mg-1 seg-1), baja actividad metabólica (14.3-20.5 µW mg-1 peso seco) y alta eficiencia metabólica (300-447 kJ mol-1) (Millán-Soto et al., 2016), lo que indica un aprovechamiento eficiente de las reservas nutrimentales acumuladas in vitro hasta que las raíces sean funcionales para la absorción de agua y nutrientes, y los estomas en el control de la transpiración.
El número de hojas varió según la línea clonal y el sustrato (p< 0.05). El promedio general inicial fue de 5.4 y el final de 5.2. La mayor pérdida ocurrió a los 20 d con una recuperación incipiente a los 40 d, la cual coincidió con el inicio del enraizamiento. Después de 60 d, LC15s y LC26s tenían 10.2 y 11.1% más del número inicial de hojas; contrariamente, LC24b y LC23b un 5 y 20.1% menos de hojas, respectivamente. En relación con el sustrato, el promedio general inicial y final de hojas fue 5.4 y 5.27 respectivamente; un 6% menor en T y TII, igual en TIII y un 1.8% más en TI. Lo observado en TI podría deberse a su mayor eficiencia de riego. La capacidad de retención de humedad del sustrato varió desde 7.5 (T) hasta 22.6 (TI). Una alta capacidad de retención de humedad hace más eficiente el riego, el cual fue menor en T con 36% y el mayor en TI con 80%.
La pérdida, recuperación y ganancia de hojas se observó también durante la aclimatación de A. fourcroydes (Abreu et al., 2007). El sustrato y la dosis de fertilización con un mayor aporte de materia orgánica favorece la relación entre pérdida y formación de hojas haciéndola gradual. A. americana var. oaxacensis micropropagado sustituye todas sus hojas formadas in vitro generalmente a los 240 d, adquiriendo las características fenotípicas que caracterizan a la especie (Cruz-García et al., 2017). Durante la adaptación ex vitro de A. angustifolia se desarrolla el complejo estomático con células guarda y subsidiarias, y la cavidad subestomática, incrementándose en tamaño y número adaxial y abaxialmente; aumenta la deposición de ceras epicuticulares de 2.7 a 12.5 mg cm-2, desarrollo de estructuras papilares y formación de cristales de oxalato de calcio sobre la epidermis incluida la cavidad subestomática (Monja-Mio et al., 2015). Todo lo anterior favorece un mejor control de la evapotranspiración ante el estrés hídrico y térmico bajo áreas sombreadas.
La altura de las vitroplantas varió según la línea clonal y el sustrato (p< 0.05). El promedio inicial y final de la altura fue de 6.2 vs 5.6 cm respectivamente. En relación con el sustrato, el promedio general inicial fue 6.2 cm y a los 60 d, 5.4, 6.0, 5.6 y 5.3 cm para T, TI, TII y TIII respectivamente. Al final del periodo de evaluación la altura fue menor en un 3 a 15% del valor inicial. La disminución de talla se asocia con la pérdida de humedad; sin embargo, Pospísilová et al. (1999) observaron sólo una ligera reducción en la funcionalidad estomática y pérdida de agua en vitroplantas de A. tequilana. Enríquez-del Valle et al. (2013), con dos sustratos y cinco niveles de fertilización en A. americana var. oaxacensis observaron una correlación de 0.98% entre la fertilización y la longitud foliar, la cual se incrementó de 25 a 100% vs control durante la aclimatación.
El contenido de materia seca fue similar entre clonas y sustratos (p> 0.05). El promedio inicial y final de peso seco fue de 0.14 vs 0.12 respectivamente. A los 60 d se observó 11 a 35% menos del peso seco inicial en todas las líneas clonales excepto en LC23b con un incremento de 66%. En relación con el sustrato, el promedio general inicial fue 0.14 g y a los 60 d, 0.09 (T) y 0.13 g (TI, TII, TIII). Esta disminución de materia seca se asoció con la pérdida foliar. Abreu et al. (2007) observaron esta tendencia en A. fourcroydes y por ello concluyeron que las vitroplantas requieren 60 d en acondicionamiento antes de transferirlas a viveros.
El enraizamiento es crucial en la aclimatación porque asegura la autotrofia de la vitroplanta a través de la absorción de agua y nutrientes, el cual fue nulo a los 20 d en todos los tratamientos, mientras que a 40 y 60 d un promedio de 17.8 y 94.7% respectivamente. A los 60 d, el 94.7% del total de vitroplantas se encontraron enraizadas. LC15s mostró el mayor porcentaje de enraizamiento con 100% y el menor LC23b con 87.5% (Cuadro 1). En relación con los sustratos, TIII y TI fueron más propicios con 98.8 y 97.5% de enraizamiento respectivamente y el menor de 91.3% en T y TII a los 60 d. Ello podría deberse al mayor contenido de fosfatos y materia orgánica en TIII y TI, lo que origina una mayor eficiencia de riego.
Cuadro 1 Longitud de raíces y porcentaje de enraizamiento en vitroplantas de Agave angustifolia durante la aclimatación.
LC |
Sustrato |
Días de aclimatación |
||||||
Longitud de raíces (cm) |
|
% de enraizamiento |
||||||
40 |
60 |
|
40 |
60 |
%/sust |
|||
15s |
T |
0.95 b |
3.05 a |
4.65 a |
|
60 |
100 |
100 |
|
TI |
0.46 b |
5.07 a |
|
|
10 |
100 |
|
|
TII |
0.21 b |
4.52 a |
|
|
20 |
100 |
|
|
TIII |
0.22 b |
5.96 a |
|
|
20 |
100 |
|
24b |
T |
0.26 b |
1.71 a |
3.33 b |
|
20 |
85 |
93.8 |
|
TI |
0.2 b |
3.05 a |
|
|
20 |
100 |
|
|
TII |
0.29 b |
3.02 a |
|
|
30 |
95 |
|
|
TIII |
0.12 b |
5.54 a |
|
|
15 |
95 |
|
26s |
T |
0.1 b |
3.03 a |
3.5 b |
|
15 |
100 |
97.5 |
|
TI |
0.28 b |
2.74 a |
|
|
10 |
95 |
|
|
TII |
0.32 b |
3.16 a |
|
|
45 |
95 |
|
|
TIII |
0 b |
5.08 a |
|
|
0 |
100 |
|
23b |
T |
0.22 b |
1.32 a |
2.51 c |
|
20 |
80 |
87.5 |
|
TI |
0 b |
2.63 a |
|
|
0 |
95 |
|
|
TII |
0 b |
1.34 a |
|
|
0 |
75 |
|
|
TIII |
0 b |
4.74 a |
|
|
0 |
100 |
|
Medias con letras distintas en una misma fila y en LR/LC (longitud de raíz/línea clonal) en una misma columna son estadísticamente diferentes (p< 0.05).
El fósforo estimula la formación de raíces con una mayor disponibilidad de micronutrientes a un pH de 6.2 (Ortiz y Ortiz, 1990). El pH de los sustratos varió de 6.9 (TI) a 8.7 (T) de neutro a ligeramente alcalino (Cuadro 2). TI presentó el mayor contenido de nitratos y TII el menor con 30.2 y 15 mg kg-1 respectivamente. Aunque no se ha determinado el requerimiento de este nutriente para A. angustifolia, los valores están por debajo de la referencia de 35 mg kg-1 (Castellanos et al., 2000). Igualmente, el mayor y menor contenido de fosfatos correspondieron a TI y T con 92.4 y 59.7 mg kg-1 respectivamente (Cuadro 2). La cantidad de fosfatos es ampliamente superior al valor de referencia de 30 mg kg-1 (Castellanos et al., 2000).
Cuadro 2 Análisis físicos y químicos de los sustratos.
Factor edáfico |
Sustratos aclimatación |
|
Sitio de trasplante |
Niveles de referencia |
|||||
Control |
TI |
TII |
TIII |
|
SI |
SII |
SIII |
||
pH |
8.7 |
6.9 |
8 |
8.1 |
|
6.4 |
6.4 |
6.8 |
7 |
N-NO-3 (mg kg-1) |
16.5 |
30.2 |
15 |
17.1 |
|
13.9 |
14.1 |
14 |
35 |
P-PO4≡ (mg kg-1) |
59.7 |
92.4 |
63.6 |
68.8 |
|
17.3 |
8.6 |
12.8 |
30 |
Ca (cmol kg-1) |
5600 |
5090 |
5370 |
5070 |
|
940 |
900 |
1320 |
1600 |
Mg (cmol kg-1) |
260 |
380 |
290 |
290 |
|
140 |
120 |
140 |
250 |
Na (mg L-1) |
425 |
370 |
461 |
489 |
|
68 |
57 |
62 |
< 100 |
K (cmol kg-1) |
146 |
123 |
98 |
87 |
|
170 |
190 |
191 |
150 |
MO (%) |
0.6 |
4 |
3.4 |
4 |
|
0.94 |
1 |
0.67 |
2 |
Arena (%) |
69 |
77 |
81 |
85 |
|
71 |
71 |
69 |
- |
Limo (%) |
22 |
18 |
14 |
12 |
|
20 |
20 |
20 |
- |
Arcilla (%) |
9 |
5 |
3 |
3 |
|
9 |
9 |
11 |
- |
Textura |
|
- |
|||||||
CE (dS m-1) |
1.74 |
1.91 |
1.94 |
2.14 |
|
0.38 |
0.42 |
0.42 |
1 |
Saturación (%) |
17.6 |
68.2 |
30.3 |
36.4 |
|
- |
- |
- |
- |
7.5 |
22.6 |
10.7 |
15 |
|
- |
- |
- |
- |
|
36 |
80 |
66.7 |
70.4 |
|
- |
- |
- |
- |
|
CE= conductividad eléctrica; CRH= capacidad de retención de humedad; ER= eficiencia de riego; MO= materia orgánica; FA= franco arenoso; AF= arenoso franco; FAA= Franco-areno-arcilloso.
La longitud de raíz varió según la clona y el sustrato (p< 0.01). El promedio más alto después de 60 d se registró en LC15s con 4.7 cm y el menor en LC23b con 2.5 cm. En cuanto a sustratos, la mayor longitud de raíz (5.3 cm) se observó en TIII y en T, la menor con 2.3 cm. En TIII, la turba y tierra de maceta facilitaron el desarrollo radicular, lo cual podría deberse a la conductividad eléctrica de 2.1 dS m-1, además de su contenido alto de materia orgánica. La conductibilidad eléctrica se recomienda menor a 1.5 dS m-1 (Castellanos et al., 2000); sin embargo, en todos los tratamientos fue mayor desde 1.7 en T hasta 2.1 dS m-1 en TIII (Cuadro 2). La materia orgánica fue muy pobre en T con 0.6% hasta rico en TI y TIII con 4%. Abreu et al. (2007)) observaron una supervivencia de 83-93% en A. fourcroydes con 8-14% de materia orgánica en el sustrato; sin embargo, un contenido >10% con un alto nivel de humedad favoreció mayor incidencia de patógenos.
Enríquez-del Valle et al. (2009) observaron que vitroplantas de A. angustifolia con 100% de composta en el sustrato y con fertiirrigación en vivero durante seis meses acumularon 37.8 g de biomasa total, altura de 40.4 cm y 2.1% N foliar vs 18.1 g, 23.5 cm y 1.7% respectivamente, con 25% de composta y sin fertiirrigación. Aunque este comportamiento es sobresaliente, debido a que el trasplante se realizaría bajo condiciones silvestres sin riego ni fertilización, se optó por un endurecimiento en vivero con un sustrato similar a las condiciones agrestes, un riego limitado y líneas clonales de plantas madre de una región ambiental semejante al sitio a forestar.
Trasplante
El área silvestre tiene un clima BSo(h’)hw(x’), que corresponde a seco cálido con lluvias en verano, temperatura y precipitación media anual de 22-26 ºC y 250-500 mm respectivamente, y vegetación de matorral subtropical. En SI, SII y SIII del sitio de trasplante se observaron 10, 9 y 8 especies vegetales, con un índice de similitud de Jaccard de 0.5, 0.54 y 0.58, y uniformidad de Pielou de 0.7, 0.84 y 0.8 respectivamente. Mimosa laxiflora presentó el mayor valor de importancia (VI= 80.1) seguido por Fouquieria splendens (VI= 33.2), Bursera laxiflora (VI= 32.3) y Randia thurberi (VI= 31.3). Así, estas especies se priorizaron como nodrizas de las vitroplantas.
En el análisis edáfico, el porcentaje de materia orgánica fluctuó entre 0.9 (SI) y 1% (SII) (nivel pobre), el pH alrededor de la neutralidad de 6.4 (SII y SIII) a 6.8 (SI) y la conductividad eléctrica entre 0.38 (SIII) y 0.42 (SII y SI) dS m-1 (Cuadro 2). La concentración de fosfatos varió de 8.6 (SII) a 17.3 mg kg-1 (SIII) y nitratos entre 13.9 (SIII) y 14.1 mg kg-1 (SII). La textura fue franco-areno-arcilloso en toda el área. Los análisis estadísticos indicaron que las características físicas y químicas del suelo son similares en las tres secciones. El nitrógeno limita con mayor frecuencia el crecimiento del agave tanto cultivado como silvestre, después el fósforo y el potasio (Nobel, 1994). En la sierra sonorense, A. angustifolia se observa principalmente en suelos pobres en fertilidad y materia orgánica, alto porcentaje de pedregosidad, buen drenaje, poco profundos y con pendientes ligeras (Esqueda et al., 2013).
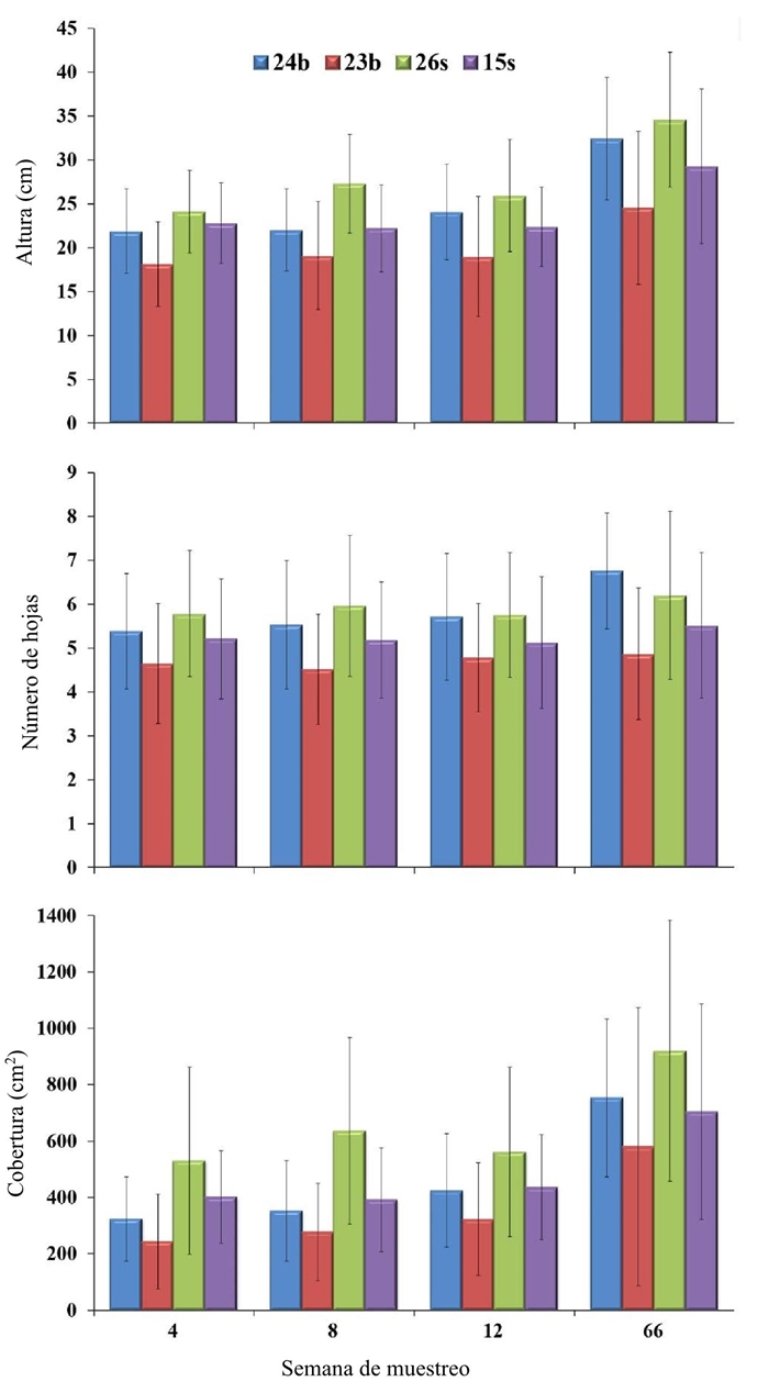
La altura inicial promedio de las vitroplantas fue de 18.2, 22.2, 22.8 y 24.1 cm en la línea clonal 23b, 24b, 15s y 26s respectivamente (Figura 2). El incremento de la altura promedio general fue 30.5 cm al final del ciclo de evaluación, siendo el más alto de 34.6 cm en LC26s y el menor de 24.6 cm en LC23b. Asimismo, fue más alta en la sección baja con 25.8 cm (p< 0.05). Debido al mayor factor de multiplicación, acumulación de biomasa y eficiencia metabólica de las clonas originadas de bulbilos (Millán-Soto et al., 2016), se esperaba una mayor velocidad de crecimiento en LC24b y LC23b.

Figura 2 Altura, número de hojas y cobertura de cuatro líneas clonales de Agave angustifolia con respecto al tiempo de muestreo. Barras= desviación estándar.
Los productores de la zona de DOB consideran que para asegurar la sobrevivencia de A. angustifolia después del trasplante, debe tener una altura mínima de 40 cm para tolerar las bajas temperaturas en invierno y la prolongada sequía a lo largo del año (Cervantes-Mendívil et al., 2007). En este estudio con una altura inicial promedio de 21.9 cm y una supervivencia promedio 89%, se rompió el dogma establecido por más de dos décadas de un mínimo de 40 cm. Debido a la correlación entre el crecimiento y la talla inicial (r= 0.89), se sugiere el trasplante con individuos alrededor de 25 cm de altura y no menor de 20 cm.
El número promedio inicial de hojas varió de 4.7 (LC23b) a 5.8 (LC26s), sin incremento a 60 d (p> 0.05). Los resultados se consideran acordes con la fenología de la especie. El rango de cobertura promedio inicial fue de 244 (LC23b) a 530 cm2 (LC26s) (p< 0.05). Al final del periodo de evaluación, la cobertura fue estadísticamente igual de LC26s (919 cm2) y LC24b (752 cm2), así como entre LC15s (703 cm2) y LC23b (580 cm2). La cobertura promedio total incrementó de 374 a 739 cm2 (p< 0.05) en el periodo de evaluación con diferencias entre sitios, lo cual reflejó la existencia de microambientes. Aunque A. angustifolia tiene capacidad limitada para cambiar entre metabolismo C3 y MAC, su alta y persistente fijación nocturna de CO2 (75-83%) y acidificación (339-393 µmol H+ g-1 peso fresco), brinda potencial a la producción de biomasa en ambientes secos cuya acumulación no se explica solo por la asimilación de CO2, sino que varía de forma compleja por las condiciones ambientales como fotoperiodo y temperatura (Holtum y Winter, 2014).
La supervivencia fue 84, 86, 88 y 98% para LC23b, LC15s, LC26s y LC24b, respectivamente. Las vitroplantas se desarrollaron bajo condiciones silvestres sin aplicación de riego, fertilización, fungicidas o insecticidas, afrontando exitosamente la sequía y el invierno. Diseñar el trasplante considerando los factores críticos como plantas nodrizas, orientación, radiación, pendiente, pedregosidad, así como una adecuada aclimatación y endurecimiento de las vitroplantas son cruciales para un establecimiento alto.
Debido a la producción de plántulas ilimitada y su posible calendarización en el laboratorio de micropropagación, la introducción de los agaves podría planearse al igual que su extracción, conllevando a un aprovechamiento sostenible en áreas sobreexplotadas. Resultaría fácil de integrar con el manejo del ecosistema en la sierra sonorense, conservando su biodiversidad y aprovechando las plantas nodrizas, asimismo el costo del agave micropropagado se compensaría al no requerirse insumos ni gastos extras por su cultivo en condiciones silvestres. Actualmente, los productores pagan entre 20 y 25 pesos por hijuelo de ~30 cm de altura, una vitroplanta endurecida de ~15 cm cuesta alrededor del 60% de un rizoma, con lo cual es una alternativa viable para la producción de materia prima destinada a la elaboración de bacanora.
Conclusiones
El protocolo de micropropagación mediante brotación de yemas laterales fue eficiente. Los sustratos más aptos para la aclimatización de vitroplantas de Agave angustifolia bajo condiciones de sombreadero tuvieron una textura arenoso franco con contenido rico de materia orgánica, logrando un 100% de sobrevivencia y a los 60 d se puede pasar a la fase de endurecimiento. La respuesta de las líneas clonales es disímil en el porcentaje de enraizamiento, longitud de raíz y biomasa. El trasplante con base en las características bióticas y abióticas del área resultó adecuado para la forestación con vitroplantas de A. angustifolia, utilizando el dosel de las plantas nodrizas con un alto porcentaje de supervivencia.










texto en 


