SciELO - Scientific Electronic Library Online

 
vol.68 número4Review: Description of Porous Media and their Sorption Characteristics as Correlated StructuresExploring Intermolecular and Intramolecular Interactions: A Review beyond Hydrogen Bonds índice de autoresíndice de materiabúsqueda de artículos
Home Pagelista alfabética de revistas  

Servicios Personalizados

Revista

Articulo

Indicadores

Links relacionados

  • No hay artículos similaresSimilares en SciELO

Compartir


Journal of the Mexican Chemical Society

versión impresa ISSN 1870-249X

J. Mex. Chem. Soc vol.68 no.4 Ciudad de México oct./dic. 2024  Epub 03-Mar-2025

https://doi.org/10.29356/jmcs.v68i4.2238 

Reviews

Molecular Insights on Coffee Components as Chemical Antioxidants

Luis Felipe Hernández-Ayala1 

Eduardo Gabriel Guzmán-López1  2 

Adriana Pérez-González1 

Miguel Reina2 

Annia Galano1  * 

1Departamento de Química, Universidad Autónoma Metropolitana-Iztapalapa, Av. Ferrocarril San Rafael Atlixco 186, Col. Leyes de Reforma 1A Sección, Alcaldía Iztapalapa, Mexico City 09310, México.

2Departamento de Química Inorgánica y Nuclear, Facultad de Química, Universidad Nacional Autónoma de México, Mexico City 04510, México.


Abstract.

Coffee is not only a delicious beverage but also an important dietary source of natural antioxidants. We live in a world where it is impossible to avoid pollution, stress, food additives, radiation, and other sources of oxidants that eventually lead to severe health disorders. Fortunately, there are chemicals in our diet that counteract the hazards posed by the reactive species that trigger oxidative stress. They are usually referred to as antioxidants; some of them can be versatile compounds that exert such a role in many ways. This review summarizes, from a chemical point of view, the antioxidant effects of relevant molecules found in coffee. Their mechanisms of action, trends in activity, and the influence of media and pH in aqueous solutions, are analyzed. Structure-activity relationships are discussed, and the protective roles of these compounds are examined. A particular section is devoted to derivatives of some coffee components, and another one to their bioactivity. The data used in the analysis come from theoretical and computational protocols, which have been proven to be very useful in this context. Hopefully, the information provided here will pro-mote further investigations into the amazing chemistry contained in our morning coffee cup.

Keywords: Free radicals; scavengers; reaction mechanisms; kinetics; trends in activity; coffee components

Resumen.

El café no solo es una bebida deliciosa, sino también una importante fuente dietética de antioxidantes naturales. Vivimos en un mundo donde es imposible evitar la contaminación, el estrés, los aditivos alimentarios, la radiación y otras fuentes de oxidantes que eventualmente conducen a trastornos de salud graves. Afortunadamente, existen sustancias químicas en nuestra dieta que contrarrestan los peligros planteados por las especies reactivas que desencadenan el estrés oxidativo. Por lo general, se les denomina antioxidantes; algunos de ellos pueden ser compuestos versátiles que ejercen dicho papel de muchas maneras. Este artículo de revisión resume, desde un punto de vista químico, los efectos antioxidantes de moléculas relevantes encontradas en el café. Se analizan sus mecanismos de acción, tendencias en la actividad y la influencia del medio y el pH en soluciones acuosas. Se discuten las relaciones estructura-actividad, y se examinan los roles protectores de estos compuestos. Se dedica una sección particular a los derivados de algunos componentes del café, y otra a su bioactividad. Los datos utilizados en el análisis provienen de protocolos teóricos y computacionales, que han demostrado ser muy útiles en este contexto. Se espera que la información proporcionada aquí promueva investigaciones futuras sobre la química contenida en nuestra taza de café matutina.

Palabras clave: Radicales libres; depuradores; mecanismos de reacción; cinética; tendencias de actividad; componentes del café

Introduction

Since ancient times, natural products have been widely appreciated by humankind. The main reason is that they are beneficial for health issues and our general well-being. However, only in the last centuries technology and science developments have allowed to pass empiricism and deepened into the knowledge about the bioactive substances found in natural products, as well as on their specific functions and medicinal effects.

Regarding coffee, its origin has been traced to Ethiopia,[1] currently the fifth producer worldwide.[2] The legend says that goat herders noticed their animals restless at night after eating the berries of the coffee plant. After trying the fruit, they felt energized and became accustomed to consuming it. Such a stimulating effect is still one of this beverage’s appeals, albeit coffee is much better understood and more widely consumed today than twelve centuries ago. In fact, coffee currently ranks as one of the most consumed beverages and stands as the second commodity worldwide.[3]

According to the annual review (2021/23) of the International Coffee Organization, the Arabica variety represents 57 % of the coffee production, and Robusta the other 43 % (Fig. 1). The top producers are Brazil, Vietnam and Colombia, in that order, with approximately 61, 32 and 12 billion bags of 60 kg, respectively. On the other hand, the leading consumers are the USA, Brazil, Germany, Japan and France (27, 22, 8.7, 7.2 and 6.2 billion bags of 60 kg, respectively).

Based on the data obtained from the Scopus database (Fig. 2), the number of scientific publications on coffee has grown exponentially over the years. The same trend is followed by its antioxidant properties. Today, many of the chemical components of coffee have been identified and a large proportion of them have been investigated. For example, there are 68,971 reports on caffeine, 2,641 of them published last year. The oldest record found in the search for antioxidative properties of coffee dates back to 1940.[4] It dealt with the “antioxygens” produced by roasting and considered several species. Among them, pyrrole, proline, thioglycolic acid, and caffeic acid were identified as those with the highest protection factor against rancidity.

Fig. 1 Coffee production and consumption stats (in million bags of 60 kg), according to the annual review (2022/23) of the International Coffee Organization. https://www.icocoffee.org/documents/cy2023-24/cmr-0224-e.pdf, accessed March 7, 2023. 

Antioxidants are inherently appealing substances, both from scientific and pragmatic points of view. They help counteracting the dangerous effects of oxidative stress (OS), which arises from the imbalance between production and consumption of oxidants in living systems. OS is considered a chemical stress and has been associated with multiple health issues, including neurodegeneration, [5-16] cancer,[17-28] cardiovascular diseases,[29-38] diabetes,[39-46] rheumatoid arthritis,[47-51] renal [52-60] and pulmonary[61-66] failures, ocular disorders,[67-72] preeclampsia and fetal development complications.[73-77]

Fig. 2 Number of published researches on coffee and coffee + antioxidant, according to Scopus, consulted on March 7, 2024. 

Antioxidant protection is one of the many health benefits attributed to coffee, [78-99] and other natural products. However, not all its components exhibit such activity, and those that do, have diverse mechanisms of action and efficiency. Phenolic compounds, in general, are recognized as highly efficient for counteracting the deleterious effects of OS. Phenolic acids, in particular, are among the most potent antioxidants present in coffee.[100-106] Other components identified as efficient antioxidants include melanoidins,[107-110] heterocycles[111,112] Maillard reaction products,[100,112-114] and some volatile compounds.[111,112,115-119] Regarding caffeine, some studies suggest that it acts as an antioxidant, [110,120] while others indicate that the antioxidant properties of coffee are not directly related to caffeine but to the presence of other components.[121-123]

Quantifying antioxidant activity is a challenging task. This is probably because there is no universal assays to do it,[124] and because the available ones depend on the reaction mechanism, which can vary from one antioxidant to another. In fact, they have been classified as electron transfer and hydrogen atom transfer-based assays. In addition, some of these assays are meant to estimate the antioxidant capacity of total phenols lacking the specificity to differentiate among various phenolic compounds. Complicating matters further, conflicting trends may be obtained when different experimental techniques are employed to evaluate the antioxidant activity of phytochemicals.[125]

When using theoretical and computational chemistry, other difficulties arise. Probably, the most important ones are: (i) the unavoidable use of simplified models for mimicking chemical environments; (ii) the necessary balance between accuracy and computing time that must be taken into account when a particular level of theory is chosen; (iii) the fact that for establishing reliable trends, calculations must be performed using the same methodology and approximations; (iv) the importance of considering all the possible mechanisms and sites of reaction.[126] Therefore, it becomes evident that assessing antioxidant activity is a complex task, regardless of if it is pursued using experimental or theoretical approaches.

Previous publications, where experimental techniques were used to evaluate the antioxidant activity of coffee and its components in vitro, have been reviewed thoroughly. [78,127] Therefore, molecular insights on such activity are the main focus of the analyses and discussion here. The data used to do that derived from computational and theoretical strategies, that have been demonstrated to be useful and reliable to study the antioxidant chemistry. Several aspects are considered, including structure-activity relationships, the influence of solvent and pH, reaction mechanisms, and the influence of redox metals. Trends in antioxidant activity are proposed for several coffee components and compared with Trolox as a reference. The reviewed data is expected to contribute to enhance the current knowledge on the chemical aspects related to the antioxidant effects of coffee, thereby promoting further investigations into the chemistry of this beverage.

Chemical overview

Chemical components are responsible for the taste, aroma and bioactivities of coffee. However, its chemical composition is complex and depends on the variety, growing conditions, and processing.[128] Nevertheless, it has been reported that the main components of raw coffee beans include carbohydrates, which account for about 60 % of their total weight. [129] They also have significant amounts of cellulose, grease, proteins, amino acids, tannic acid, and starch. In addition, there is a diversity of other minor and trace substances in coffee beans. There are numerous publications providing detailed information on the chemical composition of coffee. [129-133] A brief summary of this composition is provided in Table 1.

Table 1 Chemical compounds present in coffee beans.  

Family Compounds Ref.
Alkaloids Caffeine, Theobromine, Theophylline, Trigonelline. [134-139]
Amino acids Alanine, Arginine, Asparagine, Aspartic acid, Cysteine, Glutamate, Glutamine, Glycine, Histidine, Isoleucine, Leucine, Lysine, Phenylalanine, Proline, Serine, Threonine, Tryptophan, Tyrosine, Valine. [140-144]
Carotenoids α-Carotene, β-Carotene, Antheraxanthin, Lutein, Neoxanthin, Violaxanthin, Zeaxanthin. [135,145, 146]
Fatty acids Arachidic, Docosanoic, Eicosenoic, Lauric, Linoleic, Linolenic, Myristic, Oleic, Palmitic, Stearic, Tetracosanoic, Tricosanoic Acids. [141,142, 144,147]
Flavonoids Apigenin, Catechin, Delphinidin, Epicatechin, Epicatechin Gallate, Fisetin, Hyperoside, Isoquercitrin, Kaempferol, Luteolin, Myricetin, Patuletin, Quercetin, Quercitrin, Rutin. [135,145]
Organic acids Acetic, Butyric, Citric, Formic, Lactic, Malic, Oxalic, Quinic, Succinic, Tartaric Acids. [136,144, 145,148-150]
Phenolic acids 3-OH-Benzoic, Benzoic, Caffeic, Caftaric, Chlorogenic, Cinnamic, Dicaffeoylquinic, Dihydrocaffeic, Ferulic, Gallic, Gentisic, p-Coumaric, p-Hydroxybenzoic, Protocatechuic, Sinapic, Syringic, Vanillic Acids and Caffeic Phenylester. [129,135-137,139,145,149,151-155]
Sugars Arabinose, Fructose, Glucose, Saccharose, Sucrose. [135,139, 150,154,156,157]
Terpenes 16-O-Methylcafestol, Atractyligenin, Cafestol, Caffarolides, Caffruones, Cofarysloside, Ent-kaurane Diterpenoid, Kahweol, Mascarosides, Paniculoside, Triterpenoids, Tricalysiolides, Ursolic Acid, Villanovane. [135,158-164]
Volatiles Alcohols, Alkanes, Aldehydes, Carboxylic acids, Esters, Fatty acids, Furans, Ketones, Lactones, Oxazols, Pyrazines, Pyrimidines, Pyrroles, Terpenes, Thiazoles, Thiophenes, 4-Ethylguaiacol, 4-Vinylguaiacol, Caffeol, Eugenol, Furfural, Furaneol, Guaiacol, Phenol. [135,139, 144,148,153,165-170]
Xanthone Isomangiferin, Mangiferin [135,143]
Phytosterol Sitosterol [135]

Bioactivity overview

The versatile bioactivity of coffee has also been thoroughly reviewed. [171-176] Coffee has numerous health benefits from its chemical composition, provided that it is moderately consumed. Some of them are summarized in Table 2. However, as is the case with almost everything, amounts mediate the balance between benefits and harms. It has been pointed out that high consumption of coffee may compromise coronary health, posing risks for pregnant and postmenopausal women, and has the potential for addiction, where withdrawal could trigger muscle fatigue and related problems. [171]

Table 2 Some health benefits of coffee components.  

Benefits Key components Ref.
Antibacterial

  • caffeic acid

  • caffeic acid phenethyl ester

  • chlorogenic acids

  • eugenol

  • ferulic acid

  • furaneol

  • guaiacol

  • isoeugenol

  • protocatechuic acid

  • scopoletin

  • vanillic acid

Anticarcinogenic

  • 4-vinylguaiacol

  • cafestol and kahweol

  • caffeic acid

  • caffeic acid phenethyl ester

  • chlorogenic acids

  • eugenol

  • ferulic acid

  • quercetin

  • mangiferin

  • protocatechuic acid

  • tannic acid

  • theobromine

  • vanillic acid

  • vanillin

Antidiabetic

  • cafestol

  • caffeic acid

  • caffeol

  • chlorogenic acids

  • isoeugenol

  • scopoletin

  • trigonelline

Antifungal

  • caffeine

  • eugenol

  • furaneol

  • isoeugenol

  • vanillin

Anti-inflammatory effects

  • 4-ethylguaiacol

  • caffeine

  • dicaffeoylquinic acids

  • dihydrocaffeic acid

  • eugenol

  • ferulic acid

  • flavonoids

  • mangiferin

  • phenolic acids and

  • pyrocatechol

  • p-coumaric acid

  • rutin

  • theophylline

  • vanillic acid

  • vanillin

  • vanillyl alcohol

Anti-obesity

  • chlorogenic acids

  • kahweol

Cardioprotection

  • caffeic acid

  • chlorogenic acids

  • dihydrocaffeic acid

  • ferulic acid

Cognitive enhancement

  • paraxanthine

  • protocatechuic acid

  • theobromine

  • vanillic acid

Gastroprotection

  • chlorogenic acids

  • vanillin

Hepatoprotection

  • caffeic acid

  • chlorogenic acids

  • dihydrocaffeic acid

  • paraxanthine

  • theobromine

  • vanillin

Immunoregulation

  • p-coumaric acid

  • protocatechuic acid

Kidney protection

  • protocatechuic acid

  • theobromine

Neuroprotection

  • caffeine

  • caffeic acid

  • chlorogenic acids

  • dihydrocaffeic acid

  • eugenol

  • ferulic acid

  • isoeugenol

  • paraxanthine

  • protocatechuic acid

  • quercetin

  • scopoletin

  • tannic acid

  • theobromine

  • trigonelline

  • vanillin

  • vanillic acid

  • vanillyl alcohol

Lipid-Lowering Effects

  • caffeic acid

  • chlorogenic acids

Based on the data reported in Table 2, it becomes evident that moderate consumption of coffee, i.e., one to four cups a day,[176] may provide beneficial effects. In particular, for inflammation, obesity, diabetes, cancer, cardiovascular diseases, microbial infections, and neurodegeneration. It seems worthwhile noticing that the health benefits mentioned in Table 2 are not necessarily attributed to antioxidant activity. In fact, many of them involve direct interaction with enzymes and other biotargets. Antioxidant activity is not included in this table because it is the main focus of this review, thus a whole section has been entirely devoted to it (section 5).

Derivatives

Considering the myriad of benefits offered by coffee components, it is not surprising that many investigations have been devoted to design and synthesize derivatives based on their molecular frameworks. Many of them keep the bioactivity of the parent molecules, and many others have shown new and improved effects. Albeit a detailed analysis of this point escapes the purpose of this review, it seems worthwhile summarizing (Table 3) some of the great efforts made so far to obtain new molecules from coffee components. Thus, the interested reader can get more comprehensive information on this topic from the provided references.

Table 3 Some previous studies on derivatives based on antioxidants found in coffee. 

Parent molecule Ref.
caffeic acid [395, 548-559]
caffeine [560-568]
chlorogenic acid [569-576]
eugenol [577-596]
ferulic acid [252, 254, 597-629]
guaiacol [630-632]
isoeugenol [337, 633-636]
isoferulic acid [637, 638]
p-coumaric acid [359, 639-645]
protocatechuic acid [646-652]
scopoletin [326, 653-664]
theobromine [665-673]
theophylline [674-695]
vanillic acid [696-702]
vanillin [703-729]
xanthine [730-753]

Theoretical and computational chemistry plays an important role in the design of new compounds. There are numerous tools available that allow evaluating important properties of derivatives, particularly when they are meant to be used as medical drugs. Some useful descriptors in this context are those known as ADME (Absorption, Distribution, Metabolism y Excretion) properties. They comprise the octanol/water partition coefficient (logP), molecular weight, number of H bond donors, number of H bond acceptors, molar refractivity, number of non-hydrogen atoms, and polar surface area. There are other important properties to consider such as synthetic accessibility and toxicity. Using computational strategies allows building candidates, sampling the chemical space and evaluating the potential of the new molecules for the intended purpose. In addition, these strategies save time, resources, and even animal testing. Thus, they have become relevant tools for the development of new formulations with health benefits.

Antioxidant activity

Theoretical and computational chemistry plays an important role in the design of new compounds. There are numerous tools available that allow evaluating important properties of derivatives, particularly when they are meant to be used as medical drugs. Some useful descriptors in this context are those known as ADME (Absorption, Distribution, Metabolism y Excretion) properties. They comprise the octanol/water partition coefficient (logP), molecular weight, number of H bond donors, number of H bond acceptors, molar refractivity, number of non-hydrogen atoms, and polar surface area. There are other important properties to consider such as synthetic accessibility and toxicity. Using computational strategies allows building candidates, sampling the chemical space and evaluating the potential of the new molecules for the intended purpose. In addition, these strategies save time, resources, and even animal testing. Thus, they have become relevant tools for the development of new formulations with health benefits.

Table 4 Some antioxidants found in coffee. 

Common name Structure IUPAC name Ref.
4-ethylguaiacol

4-ethyl-2-methoxyphenol [754-756]
4-vinylguaiacol

4-ethenyl-2-methoxyphenol [757-759]
caffeic acid

(E)-3-(3,4-dihydroxyphenyl)prop-2-enoic acid [312,391,760-772]
caffeine

1,3,7-trimethylpurine-2,6-dione [450,773-776]
chlorogenic acid

(1S,3R,4R,5R)-3-[(E)-3-(3,4-dihydroxyphenyl)prop-2-enoyl]oxy-1,4,5-trihydroxycyclohexane-1-carboxylic acid [96,391,760,777-788]
dihydrocaffeic acid

3-(3,4-dihydroxyphenyl)propanoic acid [789-791]
eugenol

2-methoxy-4-prop-2-enylphenol [349,350,578,792-805]
ferulic acid

(E)-3-(4-hydroxy-3-methoxyphenyl)prop-2-enoic acid [354,355,481,758,806-813]
guaiacol

2-methoxyphenol [814,815]
isoeugenol

2-methoxy-4-[(E)-prop-1-enyl]phenol [190,202,816]
isoferulic acid

(E)-3-(3-hydroxy-4-methoxyphenyl)prop-2-enoic acid [817-820]
mangiferin

1,3,6,7-tetrahydroxy-2-[(2S,3R,4R,5S,6R)-3,4,5-trihydroxy-6-(hydroxymethyl)oxan-2-yl]xanthen-9-one [821]
paraxanthine

1,7-dimethyl-3H-purine-2,6-dione [822]
p-coumaric acid

(E)-3-(4-hydroxyphenyl)prop-2-enoic acid [357,766,823-827]
protocatechuic acid

3,4-dihydroxybenzoic acid [204,828-841]
quercetin

2-(3,4-dihydroxyphenyl)-3,5,7-trihydroxychromen-4-one [842]
scopoletin

7-hydroxy-6-methoxychromen-2-one [843-848]
tannic acid

[2,3-dihydroxy-5-[[(2R,3R,4S,5R,6S)-3,4,5,6-tetrakis[[3,4-dihydroxy-5-(3,4,5-trihydroxybenzoyl) oxybenzoyl]oxy]oxan-2-yl]methoxycarbonyl]phenyl] 3,4,5-trihydroxybenzoate [849-859]
theobromine

3,7-dimethylpurine-2,6-dione [860,861]
theophylline

1,3-dimethyl-7H-purine-2,6-dione [861-863]
vanillic acid

4-hydroxy-3-methoxybenzoic acid [864-868]
vanillin

4-hydroxy-3-methoxybenzaldehyde [432,756,865,869-873]
vanillyl alcohol

4-(hydroxymethyl)-2-methoxyphenol [874,875]
xanthine

3,7-dihydropurine-2,6-dione [822,860]

Antioxidant activity (AOx) can arise from a variety of processes. This review focuses on chemical ones, albeit there are other protection routes that involve enzymatic systems. From a chemical point of view, AOx can be roughly grouped into the following categories.

AOX-I (or primary AOX, or chain braking, or free radical scavenging activity).

It involves the direct reaction with oxidants, mainly free radicals yielding less reactive species or ending the radical chain process. During such a process, the antioxidant acts as a sacrificial target that prevents the oxidation of crucial biomolecules, such as DNA, proteins, and lipids. However, the amounts of these biomolecules in living organisms are significantly higher than those of chemical antioxidants that might be consumed in the diet or as dietary supplements. Consequently, to be efficient as a primary antioxidant, a molecule must react with oxidants faster than the biological target. This makes imperative to establish some quantitative thresholds that allow identifying a particular chemical as a primary antioxidant. The rate constants of the OOH damage to polyunsaturated fatty acids have been proposed to that purpose.[126] It ranges from 1.18(103 to 3.05(103 M-1s-1,[876] at acid pH values, i.e. when the molar fraction of HOO( is (1. Since lipids are the most easily oxidized among the biomolecules mentioned above, i.e., those reacting the fastest with free radicals, it is expected that any molecule capable of protecting them from oxidation would also be capable of protecting proteins and DNA.

Important points arise from this analysis. The first one is that kinetics is a key aspect when evaluating free radical scavenging activity. In addition, it is also important to consider the nature of the free radical. OH is so reactive that it would react with almost any molecule, usually at diffusion-limited rates. In fact, it might be assumed that OH will react with the first molecule it finds near its production site. It has been known for over a decade that peroxyl radicals are among the oxidants likely to be efficiently scavenged to counteract oxidative stress.[877-880] Thus they are a logical counterpart of chemicals when analyzing AOX-I. This kind of AOX, will be further discussed in the sections 5.1 to 5.3. The other categories are briefly summarized next.

AOX-II (or secondary AOX, or preventing, or OIL behavior).

It may involve diverse chemical routes besides direct free radical scavenging processes. Among them, probably the most relevant one is usually referred to as OH-inactivating ligands (OIL) behavior.[881,882] It involves metal chelation and may occur by sequestering metal ions from reductants or by deactivating OH radicals as soon as they are produced via Fenton-like, or Haber-Weiss recombination, processes. The metal chelation step can take place, at least, through two pathways. Namely, by the direct chelation mechanism (DCM) or by the coupled deprotonation-chelation mechanism (CDCM). The latter may become the most important one for antioxidants acid protons.

AOX-III (or tertiary AOX, or fixing AOX, or repairing AOX).

Preventing biomolecules from oxidative damage is not always possible. Therefore, repairing them after damage is an important way of preserving their chemical integrity. The routes involved in such a process depend on the nature of the damage. Formal hydrogen atom transfer (f-HAT) restores allylic hydrogens to lipids. The same mechanism is involved when the most frequent lesions on Cys, Tyr, Leu, Met, and His are fixed, while single electron transfer (SET) repairs oxidized Tyr and Trp. DNA damage, on the other hand, may occur in at least three different ways, and, logically, the repairing route depends on the kind of damage. One electron loss from guanine, the nucleobase most easily oxidizable, [883] is repaired by SET from the antioxidant. One H loss from the deoxyribose units, yielding C-centered radicals; [884-887] is repaired by f-HAT from the antioxidant. Particular attention deserves the formation of the 8-OH-dG adduct by addition of an OH radical, which in turn yields the most abundant DNA lesion, i.e., 8-oxo-7,8-dihydro-2′-deoxyguanosine. [888]. The latter is considered a biomarker of oxidative stress, [1243,1244] and it has been proposed that such a damage can be fixed via sequential hydrogen atom transfer followed by dehydration (SHATD). [889]

AOX-IV (or versatile AOX, or multifunctional AOX, or multipurpose AOX).

This would apply to molecules capable of exerting their antioxidant activity through two or more of the above-described mechanisms, or by one of them and triggering enzymatic AOX.

AOX-I chemical routes

Free radical scavenging processes in living organisms occur in complex chemical environments. Numerous species are present in biological media, which may influence or be involved in competing reactions. In addition, antioxidants’ reactivity depends on their chemical nature and may be modulated by the polarity of the environment and pH. Some of the most common chemical routes that may contribute to the observable AOX-I activity are detailed in Table 5.

Table 5 Some of the most common chemical routes that may contribute to the observable AOX-I activity (HnAntiox and R represent the antioxidant and the free radical, respectively). 

Single Step Mechanisms

  • Radical Adduct Formation (RAF)

  • HnAntiox + R → [HnAntiox-R]

  • Relevant for antioxidants with multiple bonds and electrophilic free radicals. Viable in polar and non polar media.

  • Examples:

  • Carotenoids + OOH, [890] or benzylperoxyl [891] or alkyl, alkoxyl, and alkylperoxyl radicals. [892]

  • OH scavenging activity of caffeine, [123] gentisic acid, [893] hydroxybenzyl alcohols, [894] edaravone, [895,896] melatonin,[897] and its metabolites, [898,899] carnosine, [900] and rebamipide. [901]

  • Single Electron Transfer (SET)

  • HnAntiox + R → HnAntiox +• + R-

  • Relevant for electrophilic free radicals and antioxidants that are good electron donors. Viable in polar media.

  • Examples:

  • For antioxidants curcumin,[902] and highly galloylated tannin fractions.[903]

  • Edaravone derivatives + OH, OCCl3 and CH3COO.[904]

  • Resveratrol with oxygen radical.[905]

  • Catechin analogues with ROO. [906]

  • Carotenoids with CCl3OO [907,908] and NO2 [909,910].

  • Formal Hydrogen Atom Transfer

  • (f-HAT)

  • HnAntiox + R → Hn-1Antiox + HR

  • Relevant for antioxidants with labile H atoms. Viable in polar and non-polar media.

  • Examples:

  • Polyphenols, [911] chlorogenic acids, [912] procyanidins, [913] chalcones,[914] cynarine, [912] orientin, [915] capsaicin, [916] silybin, [912] α-mangostin, [917] fisetin, [918] hydroxychalcones, [919] baicalein, [918] ellagic acid, [920]

  • Lipoic acids, [921] glutathione, [922] tryptophan, [923], N-acetylcystein amide.[924]

Multiple Step Mechanisms

  • Sequential Proton Loss Electron Transfer (SPLET)

  • HnAntiox → Hn-1Antiox- + H+

  • Hn-1Antiox- + R → Hn-1Antiox + R-

  • Relevant for antioxidants with acid protons. Viable in polar and protic solvents.

  • Examples:

  • Curcumin, [925, 926] esculetin, [927] alizarin, [928] deoxybenzoins,[929] hydroxybenzoic acids, [930-933] resveratrol, [934, 935] fraxetin, [936] piceatannol, [937] morin, [938] hydroxychalcones, [939-941] xanthones, [942] flavonoids, [943] quercetin, [944] kaempferol, [945] gallic acid, [946] Trolox, [947] isoflavonoids, [948,949] baicalein, [950] purpurin.[951]

  • Sequential Electron Proton Transfer (SEPT)

  • HnAntiox + R → Hn-1Antiox•+ + R(

  • Hn-1Antiox•+ → Hn-1Antiox + H+

  • Relevant for antioxidants that are good electron donors. Viable in polar and protic solvents.

  • Examples:

  • Baicalein, [952] astaxanthin, [953] quercetin, in the presence of bases that have HOMO energies lower than that of the SOMO of its radical cation.[954]

  • DPPH and galvinoxyl radical scavenging activity of vitamin E models. [955]

  • The theroxyl radical-scavenging process of α-tocopherol.[956]

  • Sequential Proton Loss Hydrogen Atom Transfer (SPLHAT)

  • HnAntiox → Hn-1Antiox( + H+

  • Hn-1Antiox( + R → Hn-2Antiox•( + HR

  • Relevant for antioxidants with acid protons and labile H atoms. Viable in polar and protic solvents.

  • Examples:

  • α-mangostin, [917] ellagic acid, [957] propyl gallate, [958] caffeic and other phenolic acids. [959]

  • Esculetin + OOCH3 and OOCHCH2 radicals. [927]

  • Gallic acid + OH. [960]

Trends in activity

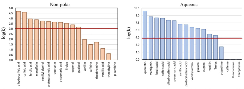
As previously mentioned, kinetics is crucial to assess free radical scavenging activity. Therefore, this analysis will be based on rate constants. However, for trends to be fair, it is essential to consider reactions with the same radical and that the rate constants (k) are estimated with the same methodology, and under the same conditions. Those reported in Table 6 correspond to reactions between coffee components and the HOO( radical, in non-polar media that mimic lipid environments. Those reported in Table 7 correspond to the same reactions but in aqueous solution, at physiological pH, i.e., pH=7.4. To facilitate comparisons, their log(k) values have been plotted in Fig. 3. Trolox has been included as a referent antioxidant. The main metabolites of caffeine are also included in the analyses.

Table 6 Overall, or apparent, rate constants (k) of the reactions between coffee components (and Trolox as reference) and HOO(, in non-polar environments. 

Component k (M-1 s-1, at 298 K) Ref.
caffeic acid 3.93E+04 [101]
caffeine 3.19E+01 [123]
dihydrocaffeic acid 4.95E+04 [101]
eugenol 2.49E+03 [961]
ferulic acid 9.13E+03 [101]
guaiacol 1.55E+03 [961]
mangiferin 7.74E+03 [101]
p-coumaric acid 4.35E+03 [101]
paraxanthine 1.05E+00 [962]
protocatechuic acid 5.14E+03 [963]
quercetin 4.39E+03 [101]
theobromine 5.34E+01 [962]
theophylline 4.21E+00 [962]
Trolox 3.40E+03 [947]
vanillin 9.75E+01 [961]
vanillic acid 1.29E+01 [961]
vanillyl alcohol 5.67E+03 [961]

Table 7 Overall, or apparent, rate constants (k) of the reactions between coffee components (and Trolox as reference) and HOO(, in aqueous solution at physiological pH. 

Component k (M-1 s-1, at 298 K, pH=7.4) Ref.
caffeic acid 2.69E+08 [101]
caffeine 3.29E-01 [123]
dihydrocaffeic acid 1.04E+08 [101]
eugenol 1.55E+06 [961]
ferulic acid 3.36E+08 [101]
guaiacol 2.38E+06 [961]
mangiferin 5.52E+08 [101]
p-coumaric acid 8.51E+07 [101]
paraxanthine 4.18E-02 [962]
protocatechuic acid 1.26E+07 [963]
quercetin 8.11E+09 [101]
theobromine 2.76E-01 [962]
theophylline 3.86E-02 [962]
Trolox 8.96E+04 [947]
vanillin 1.54E+05 [961]
vanillic acid 1.65E+07 [961]
vanillyl alcohol 4.12E+06 [961]

The values in Tables 6 and 7 were all computed with the Quantum Mechanics-based Test for Overall Free Radical Scavenging Activity (QM-ORSA).[126] This computational protocol was designed to calculate reliable rate constants in solution and was validated by comparisons with experimental data. The electronic calculations necessary to obtain the rate constants reported in Tables 6 and 7 were carried out with the M05-2X Density Functional Theory approach, combined with basis sets 6-31+G(d) to 6-311++G(d,p), and the SMD solvation model to mimic solvent effects. All possible reaction mechanisms and sites were taken into account, and the overall (or apparent) rate coefficients were estimated as the sum of the rate constants of each thermochemical viable reaction path. More details on this protocol can be found elsewhere.[126]

According to the gathered data, dihydrocaffeic acid and ferulic acid are the most efficient HOO• scavengers in non-polar media and aqueous solution, at pH=7.4, respectively. The trend in non-polar environment was found to be dihydrocaffeic acid > caffeic acid > ferulic acid > mangiferin > vanillyl alcohol > protocatechuic acid > quercetin > p-coumaric acid > eugenol > guaiacol > vanillin > caffeine > theobromine > vanillic acid > theophylline > p-xanthine. In aqueous solution such a trend changes to quercetin > mangiferin > ferulic acid > caffeic acid > dihydrocaffeic acid > p-coumaric acid > vanillic acid > protocatechuic acid > vanillyl alcohol > guaiacol > eugenol > vanillin > caffeine > theobromine > p-xanthine > theophylline.

Fig. 3 log(k) for the reactions between coffee components (and Trolox as reference) with HOO. The red line corresponds to the reaction of HOO with polyunsaturated fatty acids. 

The threshold above-mentioned, i.e., 103 M-1s-1, corresponds to the reaction of HOO with polyunsaturated fatty acids, and has been used to identify the coffee components that are expected to be efficient as free radical scavengers in biological systems. It has been marked with a red line in Fig. 3. According to this criterion, dihydrocaffeic, caffeic, ferulic, protocatechuic, and p-coumaric acids, as well as vanillyl alcohol, eugenol, and guaiacol should be capable of preventing peroxyl damage to biomolecules both in lipid and in aqueous environments. For the latter, vanillin and vanillic acid also seem to be suitable for that purpose.

It seems worthwhile mentioning that the reactions of caffeine and its metabolites p-xanthine, theobromine, and theophylline with HOO are too slow to protect lipids from the oxidative damage caused by this kind of radicals. This is in line with previous works. Šeremet et. al. found that the antioxidant properties of coffee brews do not depend on their caffeine content. [122] Miłek et. al. reported that while ‘specialty’ quality coffees have similar caffeine content as other brands, they significantly surpass them in antioxidant activity. [121] Based on the likeliness of f-HAT and SET mechanisms as protective routes, Petrucci et. al. concluded that caffeine can hardly be considered as an antioxidant. Thus, despite of being the most emblematic coffee component, this brew's antioxidant activity arises from its phenolic species, not from caffeine.

Structure-activity relationships

The reaction mechanism contributing the most to the antioxidant activity of the analyzed coffee components is reported in Tables 8 and 9 for lipid and aqueous environments, respectively. The most reactive site or species are also reported in these tables. The relatively low reactivity of caffeine and its metabolites p-xanthine, theobromine, and theophylline can be attributed to their lack of the phenol moiety. They have not labile H atoms to be involved in f-HAT, nor acid protons that favored deprotonation and, consequently, the SPLET mechanisms, i.e., SET from the anions. Thus, the main chemical route involved in their reactions with HOO( is the radical adduct formation.

Table 8 Main reaction mechanism and most reactive site in the reactions between coffee components and HOO(, in non-polar environments. 

Component Mechanism Site Ref.
caffeic acid f-HAT

[101]
caffeine RAF

[123]
dihydrocaffeic acid f-HAT

[101]
eugenol f-HAT

[961]
ferulic acid f-HAT

[101]
guaiacol f-HAT

[961]
mangiferin f-HAT

[101]
p-coumaric acid f-HAT

[101]
paraxanthine RAF

[962]
protocatechuic acid f-HAT

[963]
quercitin f-HAT

[101]
theobromine RAF

[962]
theophylline RAF

[962]
vanillin f-HAT

[961]
vanillic acid f-HAT

[961]
vanillyl alcohol f-HAT

[961]

Table 9 Main reaction mechanism and most reactive site or species in the reactions between coffee components and HOO(, in aqueous solution at physiological pH. 

Component Mechanism Site or species Ref.
caffeic acid SPLET phenolate anion [101]
caffeine RAF

[123]
dihydrocaffeic acid SPLET phenolate anion [101]
eugenol SPLET phenolate anion [961]
ferulic acid SPLET phenolate anion [101]
guaiacol SPLET phenolate anion [961]
mangiferin SPLET phenolate anion [101]
p-coumaric acid SPLET phenolate anion [101]
paraxanthine RAF

[962]
protocatechuic acid SPLET phenolate anion [963]
quercetin SPLET phenolate anion [963]
theobromine RAF

[962]
theophylline RAF

[962]
vanillin SPLET phenolate anion [961]
vanillic acid SPLET phenolate anion [961]
vanillyl alcohol SPLET phenolate anion [961]

The phenolic structural feature seems to be the key to the high efficiency of coffee components as peroxyl radical scavengers. In lipid media, the OH group acts as H donor leading to AOX-I via f-HAT. In aqueous solution, their acid-base equilibria rule reactivity. At physiological pH, there is enough phenolate fraction, which is excellent as electron donor. Thus, under such conditions, the SPLET mechanism becomes the highest contributor to the antioxidant activity of phenolic compounds in general, and of the phenolic compounds present in coffee.

The solvent also plays an important role in this context. The antioxidant + HOO( reactions are faster in aqueous solution, i.e., polar and protic solvent, than in lipid media (Tables 6 and 7, and Fig. 3). In addition, the fact that water is a polar and protic solvent promotes the SPLET mechanism, which was proposed by Litwinienko and Ingold, [925,964-966] and it is recognized as more efficient than f-HAT, and certainly much more than RAF, when phenols scavenge free radicals.

Perspectives

Albeit much information has been retrieved from the investigations on coffee, some aspects still deserve further research. Some of the many questions to be answered in more detail are:

  • -How much does the presence of redox metals modify the chemistry of the coffee components?

  • -How effective are they as chelating agents?

  • -Would they act as OH inactivating ligands?

  • -Are any of them capable of repairing oxidatively damaged biological targets?

  • -Which of them can be considered multifunctional antioxidants?

  • -Are their derivatives safe enough to be used as medical drugs?

  • -What are the metabolites of these derivatives, and what properties do they have?

Nature gave us coffee. Revealing its chemical wonders is up to us.

Summary

Many natural products are known for their health benefits, but they comprise a large variety of components. Thus, it is essential to identify their bioactive substances as well as the specific functions and medicinal effects of these substances.

Coffee is a complex mixture containing many chemicals, including alkaloids, amino acids, carbohydrates, carotenoids, fatty acids, flavonoids, organic acids, phenolic acids, sugars, terpenes, and volatile compounds. It is also known to have many beneficial properties such as antibacterial, anticarcinogenic, antidiabetic, antifungal, anti-inflammatory, anti-obesity, cardioprotective, gastroprotective, hepatoprotective, and neuroprotective effects, provided that it is consumed in moderate amounts. The chemicals responsible for such valuable effects have been summarized in this review, as well as numerous investigations devoted to the design and synthesis of their derivatives.

The antioxidative protection of coffee has been related to most of its benefits. Several reaction mechanisms contributing to this protection were overviewed. Namely: radical adduct formation (RAF), single electron transfer (SET), formal hydrogen atom transfer (f-HAT), sequential proton loss electron transfer (SPLET), sequential electron proton transfer (SEPT), and sequential proton loss hydrogen atom transfer (SPLHAT). The ones contributing the most to the antioxidant activity of several coffee components were discussed.

The trends in free radical scavenging activity showed that phenolic acids are the ones contributing the most to the antioxidant effects of coffee, while alkaloids are not efficient for that purpose, at least as chemical antioxidants. Thus, despite being the most emblematic coffee component, the antioxidant activity of this brew does not arise from caffeine. In fact, it is not expected to be a good free radical scavenger.

The structure-activity relationships were associated with the main reaction mechanisms and the role of the solvent on the reactivity of the explored compounds. Alkaloids, i.e. caffeine and its metabolites p-xanthine, theobromine, and theophylline, mainly react via RAF, regardless of the solvent nature. Phenolic compounds, on the other hand, mainly react via f-HAT in non-polar media, and via SPLET in aqueous solution, at physiological pH.

Although there are many aspects to be explored in the context of coffee chemistry, this review is meant to provide molecular insights on one of its main effects, i.e., antioxidant protection. The data gathered here demonstrate that computational and theoretical chemistry are very helpful tools to understand the molecular insights of antioxidants, and also for the design of new compounds that combines this behavior with other health benefits. Hopefully, this review will contribute to a better understanding of the chemistry of our morning cup and promote further investigations on this topic.

Acknowledgements

E.G.G.L. acknowledges CONAHCYT for Doctoral fellowship. L.F.H.A thanks to Estancias Posdoctorales por México (2022) CONAHCYT program for postdoctoral grant.

References

1. Nolan, L. The world's favorite beverage- coffee- and health. J. Herbs Spices Med. Plants 2001, 8 (2-3), 119-159. DOI: https://doi.org/10.1300/J044v08n02_04. [ Links ]

2. Muhie, S. H. Strategies to improve the quantity and quality of export coffee in Ethiopia, a look at multiple opportunities. J. Agric. Food Res. 2022, 10. DOI: https://doi.org/10.1016/j.jafr.2022.100372. [ Links ]

3. Mussatto, S. I.; Machado, E. M. S.; Martins, S.; Teixeira, J. A. Production, Composition, and Application of Coffee and Its Industrial Residues. Food Bioprocess Technol. 2011, 4 (5), 661-672. DOI: https://doi.org/10.1007/s11947-011-0565-z. [ Links ]

4. Elder, L. W. Staling vs. Rancidity in Roasted Coffee: Antioxygens Produced by Roasting. Ind. Eng. Chem. 1940, 32 (6), 798-801. DOI: https://doi.org/10.1021/ie50366a014. [ Links ]

5. Hassan, W.; Noreen, H.; Rehman, S.; Kamal, M. A.; da Rocha, J. B. T. Association of Oxidative Stress with Neurological Disorders. Curr. Neuropharmacol. 2022, 20 (6), 1046-1072. DOI: https://doi.org/10.2174/1570159X19666211111141246. [ Links ]

6. Korovesis, D.; Rubio-Tomás, T.; Tavernarakis, N. Oxidative Stress in Age-Related Neurodegenerative Diseases: An Overview of Recent Tools and Findings. Antioxidants 2023, 12 (1). DOI: https://doi.org/10.3390/antiox12010131. [ Links ]

7. Martínez Leo, E. E.; Segura Campos, M. R. Systemic Oxidative Stress: A Key Point in Neurodegeneration - A Review. J. Nutr. Health Aging 2019, 23 (8), 694-699. DOI: https://doi.org/10.1007/s12603-019-1240-8. [ Links ]

8. Sienes Bailo, P.; Llorente Martín, E.; Calmarza, P.; Montolio Breva, S.; Bravo Gómez, A.; Pozo Giráldez, A.; Sánchez-Pascuala Callau, J. J.; Vaquer Santamaría, J. M.; Dayaldasani Khialani, A.; Cerdá Micó, C.; et al. The role of oxidative stress in neurodegenerative diseases and potential antioxidant therapies. Adv. Lab. Med. 2022, 3 (4), 342-350. DOI: https://doi.org/10.1515/almed-2022-0111. [ Links ]

9. Singh, A.; Kukreti, R.; Saso, L.; Kukreti, S. Oxidative stress: A key modulator in neurodegenerative diseases. Molecules 2019, 24 (8). DOI: https://doi.org/10.3390/molecules24081583. [ Links ]

10. Singh, E.; Devasahayam, G. Neurodegeneration by oxidative stress: a review on prospective use of small molecules for neuroprotection. Mol. Biol. Rep. 2020, 47 (4), 3133-3140. DOI: https://doi.org/10.1007/s11033-020-05354-1. [ Links ]

11. Aborode, A. T.; Pustake, M.; Awuah, W. A.; Alwerdani, M.; Shah, P.; Yarlagadda, R.; Ahmad, S.; Silva Correia, I. F.; Chandra, A.; Nansubuga, E. P.; et al. Targeting Oxidative Stress Mechanisms to Treat Alzheimer's and Parkinson's Disease: A Critical Review. Oxidative Med. Cell. Longev. 2022, 2022. DOI: https://doi.org/10.1155/2022/7934442. [ Links ]

12. Chang, K. H.; Chen, C. M. The role of oxidative stress in Parkinson’s disease. Antioxidants 2020, 9 (7), 1-32. DOI: https://doi.org/10.3390/antiox9070597. [ Links ]

13. Dorszewska, J.; Kowalska, M.; Prendecki, M.; Piekut, T.; Kozłowska, J.; Kozubski, W. Oxidative stress factors in Parkinson's disease. Neural Regen. Res. 2021, 16 (7), 1383-1391. DOI: https://doi.org/10.4103/1673-5374.300980. [ Links ]

14. Percário, S.; Da Silva Barbosa, A.; Varela, E. L. P.; Gomes, A. R. Q.; Ferreira, M. E. S.; De Nazaré Araújo Moreira, T.; Dolabela, M. F. Oxidative Stress in Parkinson's Disease: Potential Benefits of Antioxidant Supplementation. Oxidative Med. Cell. Longev . 2020, 2020. DOI: https://doi.org/10.1155/2020/2360872. [ Links ]

15. Pyatha, S.; Kim, H.; Lee, D.; Kim, K. Association between Heavy Metal Exposure and Parkinson’s Disease: A Review of the Mechanisms Related to Oxidative Stress. Antioxidants 2022, 11 (12). DOI: https://doi.org/10.3390/antiox11122467. [ Links ]

16. Wei, Z.; Li, X.; Li, X.; Liu, Q.; Cheng, Y. Oxidative Stress in Parkinson's Disease: A Systematic Review and Meta-Analysis. Front. Mol. Neurosci. 2018, 11. DOI: https://doi.org/10.3389/fnmol.2018.00236. [ Links ]

17. Arfin, S.; Jha, N. K.; Jha, S. K.; Kesari, K. K.; Ruokolainen, J.; Roychoudhury, S.; Rathi, B.; Kumar, D. Oxidative stress in cancer cell metabolism. Antioxidants 2021, 10 (5). DOI: https://doi.org/10.3390/antiox10050642. [ Links ]

18. Calaf, G. M.; Urzua, U.; Termini, L.; Aguayo, F. Oxidative stress in female cancers. Oncotarget 2018, 9 (34), 23824-23842. DOI: https://doi.org/10.18632/oncotarget.25323. [ Links ]

19. Cruz-Gregorio, A.; Aranda-Rivera, A. K.; Ortega-Lozano, A. J.; Pedraza-Chaverri, J.; Mendoza-Hoffmann, F. Lipid metabolism and oxidative stress in HPV-related cancers. Free Radic. Biol. Med. 2021, 172, 226-236. DOI: https://doi.org/10.1016/j.freeradbiomed.2021.06.009. [ Links ]

20. Ding, D. N.; Xie, L. Z.; Shen, Y.; Li, J.; Guo, Y.; Fu, Y.; Liu, F. Y.; Han, F. J. Insights into the Role of Oxidative Stress in Ovarian Cancer. Oxidative Med. Cell. Longev . 2021, 2021. DOI: https://doi.org/10.1155/2021/8388258. [ Links ]

21. Ebrahimi, S.; Soltani, A.; Hashemy, S. I. Oxidative stress in cervical cancer pathogenesis and resistance to therapy. J. Cell. Biochem. 2019, 120 (5), 6868-6877. DOI: https://doi.org/10.1002/jcb.28007. [ Links ]

22. Hayes, J. D.; Dinkova-Kostova, A. T.; Tew, K. D. Oxidative Stress in Cancer. Cancer Cell 2020, 38 (2), 167-197. DOI: https://doi.org/10.1016/j.ccell.2020.06.001. [ Links ]

23. Jelic, M. D.; Mandic, A. D.; Maricic, S. M.; Srdjenovic, B. U. Oxidative stress and its role in cancer. J. Cancer Res. Ther. 2021, 17 (1), 22-28. DOI: https://doi.org/10.4103/jcrt.JCRT_862_16. [ Links ]

24. Katakwar, P.; Metgud, R.; Naik, S.; Mittal, R. Oxidative stress marker in oral cancer: A review. J. Cancer Res. Ther . 2016, 12 (2), 438-446. DOI: https://doi.org/10.4103/0973-1482.151935. [ Links ]

25. Klaunig, J. E. Oxidative stress and cancer. Curr. Pharm. Des. 2018, 24 (40), 4771-4778. DOI: https://doi.org/10.2174/1381612825666190215121712. [ Links ]

26. Kruk, J.; Aboul-Enein, H. Y. Reactive oxygen and nitrogen species in carcinogenesis: Implications of oxidative stress on the progression and development of several cancer types. Mini-Rev. Med. Chem. 2017, 17 (11), 904-919. DOI: https://doi.org/10.2174/1389557517666170228115324. [ Links ]

27. Wang, Z.; Li, Z.; Ye, Y.; Xie, L.; Li, W. Oxidative stress and liver cancer: Etiology and therapeutic targets. Oxidative Med. Cell. Longev . 2016, 2016. DOI: https://doi.org/10.1155/2016/7891574. [ Links ]

28. Zahra, K. F.; Lefter, R.; Ali, A.; Abdellah, E. C.; Trus, C.; Ciobica, A.; Timofte, D. The Involvement of the Oxidative Stress Status in Cancer Pathology: A Double View on the Role of theAntioxidants . Oxidative Med. Cell. Longev . 2021, 2021. DOI: https://doi.org/10.1155/2021/9965916. [ Links ]

29. De Almeida, A. J. P. O.; De Almeida Rezende, M. S.; Dantas, S. H.; De Lima Silva, S.; De Oliveira, J. C. P. L.; De Lourdes Assunção Araújo De Azevedo, F.; Alves, R. M. F. R.; De Menezes, G. M. S.; Dos Santos, P. F.; Gonçalves, T. A. F.; et al. Unveiling the Role of Inflammation and Oxidative Stress on Age-Related Cardiovascular Diseases. Oxidative Med. Cell. Longev . 2020, 2020. DOI: https://doi.org/10.1155/2020/1954398. [ Links ]

30. De Geest, B.; Mishra, M. Role of Oxidative Stress in Diabetic Cardiomyopathy. Antioxidants 2022, 11 (4). DOI: https://doi.org/10.3390/antiox11040784. [ Links ]

31. Izzo, C.; Vitillo, P.; Di Pietro, P.; Visco, V.; Strianese, A.; Virtuoso, N.; Ciccarelli, M.; Galasso, G.; Carrizzo, A.; Vecchione, C. The role of oxidative stress in cardiovascular aging and cardiovascular diseases. Life 2021, 11 (1), 1-42. DOI: https://doi.org/10.3390/life11010060. [ Links ]

32. Jakovljevic, V.; Djuric, D.; Pechanova, O.; Bolevich, S.; Tyagi, S. Oxidative Stress and Cardiovascular Dysfunction: From Basic Science to Applied Investigations. Oxidative Med. Cell. Longev . 2020, 2020. DOI: https://doi.org/10.1155/2020/6985284. [ Links ]

33. Panda, P.; Verma, H. K.; Lakkakula, S.; Merchant, N.; Kadir, F.; Rahman, S.; Jeffree, M. S.; Lakkakula, B. V. K. S.; Rao, P. V. Biomarkers of Oxidative Stress Tethered to Cardiovascular Diseases. Oxidative Med. Cell. Longev . 2022, 2022. DOI: https://doi.org/10.1155/2022/9154295. [ Links ]

34. Pignatelli, P.; Menichelli, D.; Pastori, D.; Violi, F. Oxidative stress and cardiovascular disease: New insights. Kardiol. Pol. 2018, 76 (4), 713-722. DOI: https://doi.org/10.5603/KP.a2018.0071. [ Links ]

35. Shaito, A.; Aramouni, K.; Assaf, R.; Parenti, A.; Orekhov, A.; Yazbi, A. E.; Pintus, G.; Eid, A. H. Oxidative Stress-Induced Endothelial Dysfunction in Cardiovascular Diseases. Front. Biosci. - Landmark 2022, 27 (3). DOI: https://doi.org/10.31083/j.fbl2703105. [ Links ]

36. Wang, W.; Kang, P. M. Oxidative stress and antioxidant treatments in cardiovascular diseases. Antioxidants 2020, 9 (12), 1-25. DOI: https://doi.org/10.3390/antiox9121292. [ Links ]

37. Yan, F.; Li, K.; Xing, W.; Dong, M.; Yi, M.; Zhang, H. Role of Iron-Related Oxidative Stress and Mitochondrial Dysfunction in Cardiovascular Diseases. Oxidative Med. Cell. Longev . 2022, 2022. DOI: https://doi.org/10.1155/2022/5124553. [ Links ]

38. Xu, T.; Ding, W.; Ji, X.; Ao, X.; Liu, Y.; Yu, W.; Wang, J. Oxidative Stress in Cell Death and Cardiovascular Diseases. Oxidative Med. Cell. Longev . 2019, 2019. DOI: https://doi.org/10.1155/2019/9030563. [ Links ]

39. Bhatti, J. S.; Sehrawat, A.; Mishra, J.; Sidhu, I. S.; Navik, U.; Khullar, N.; Kumar, S.; Bhatti, G. K.; Reddy, P. H. Oxidative stress in the pathophysiology of type 2 diabetes and related complications: Current therapeutics strategies and future perspectives. Free Radic. Biol. Med . 2022, 184, 114-134. DOI: https://doi.org/10.1016/j.freeradbiomed.2022.03.019. [ Links ]

40. Black, H. S. A Synopsis of the Associations of Oxidative Stress, ROS, and Antioxidants with Diabetes Mellitus. Antioxidants 2022, 11 (10). DOI: https://doi.org/10.3390/antiox11102003. [ Links ]

41. Ghasemi-Dehnoo, M.; Amini-Khoei, H.; Lorigooini, Z.; Rafieian-Kopaei, M. Oxidative stress and antioxidants in diabetes mellitus. Asian Pac. J. Trop. Med. 2020, 13 (10), 431-438. DOI: https://doi.org/10.4103/1995-7645.291036. [ Links ]

42. Ighodaro, O. M. Molecular pathways associated with oxidative stress in diabetes mellitus. Biomed. Pharmacother. 2018, 108, 656-662. DOI: https://doi.org/10.1016/j.biopha.2018.09.058. [ Links ]

43. Ramos-Riera, K. P.; Pérez-Severiano, F.; López-Meraz, M. L. Oxidative stress: a common imbalance in diabetes and epilepsy. Metab. Brain Dis. 2023, 38 (3),767-782. DOI: https://doi.org/10.1007/s11011-022-01154-7. [ Links ]

44. Thakur, P.; Kumar, A.; Kumar, A. Targeting oxidative stress through antioxidants in diabetes mellitus. J. Drug Target. 2018, 26 (9), 766-776. DOI: https://doi.org/10.1080/1061186X.2017.1419478. [ Links ]

45. Zhang, P.; Li, T.; Wu, X.; Nice, E. C.; Huang, C.; Zhang, Y. Oxidative stress and diabetes: antioxidative strategies. Front. Med. 2020, 14 (5), 583-600. DOI: https://doi.org/10.1007/s11684-019-0729-1. [ Links ]

46. Eguchi, N.; Vaziri, N. D.; Dafoe, D. C.; Ichii, H. The role of oxidative stress in pancreatic β cell dysfunction in diabetes. Int. J. Mol. Sci. 2021, 22 (4), 1-18. DOI: https://doi.org/10.3390/ijms22041509. [ Links ]

47. Ferreira, H. B.; Melo, T.; Paiva, A.; Domingues, M. D. R. Insights in the role of lipids, oxidative stress and inflammation in rheumatoid arthritis unveiled by new trends in lipidomic investigations. Antioxidants 2021, 10 (1), 1-21. DOI: 10.3390/antiox10010045. [ Links ]

48. Kaur, G.; Sharma, A.; Bhatnagar, A. Role of oxidative stress in pathophysiology of rheumatoid arthritis: insights into NRF2-KEAP1 signalling. Autoimmunity 2021, 54 (7), 385-397. DOI: https://doi.org/10.1080/08916934.2021.1963959. [ Links ]

49. Kunsch, C.; Sikorski, J. A.; Sundell, C. L. Oxidative stress and the use of antioxidants for the treatment of rheumatoid arthritis. Curr. Med. Chem.: Immunol. Endocr. Metabol. Agents 2005, 5 (3), 249-258. DOI: https://doi.org/10.2174/1568013054022490. [ Links ]

50. Quinonez-Flores, C. M.; Gonzalez-Chavez, S. A.; Del Rio Najera, D.; Pacheco-Tena, C. Oxidative Stress Relevance in the Pathogenesis of the Rheumatoid Arthritis: A Systematic Review. Biomed. Res. Int. 2016, 2016. DOI: https://doi.org/10.1155/2016/6097417. [ Links ]

51. Zamudio-Cuevas, Y.; Martínez-Flores, K.; Martínez-Nava, G. A.; Clavijo-Cornejo, D.; Fernández-Torres, J.; Sánchez-Sánchez, R. Rheumatoid arthritis and oxidative stress, a review of a decade. Cell. Mol. Biol. 2022, 68 (6), 174-184. DOI: https://doi.org/10.14715/cmb/2022.68.6.28. [ Links ]

52. Amiri, M. Oxidative stress and free radicals in liver and kidney diseases; an updated short-review. J. Nephropathol. 2018, 7 (3), 127-131. DOI: https://doi.org/10.15171/jnp.2018.30. [ Links ]

53. Coppolino, G.; Leonardi, G.; Andreucci, M.; Bolignano, D. Oxidative stress and kidney function: A brief update. Curr. Pharm. Des . 2018, 24 (40), 4794-4799. DOI: https://doi.org/10.2174/1381612825666190112165206. [ Links ]

54. Daenen, K.; Andries, A.; Mekahli, D.; Van Schepdael, A.; Jouret, F.; Bammens, B. Oxidative stress in chronic kidney disease. Pediatr. Nephrol. 2019, 34 (6), 975-991. DOI: 10.1007/s00467-018-4005-4. [ Links ]

55. Duni, A.; Liakopoulos, V.; Roumeliotis, S.; Peschos, D.; Dounousi, E. Oxidative stress in the pathogenesis and evolution of chronic kidney disease: Untangling ariadne’s thread. Int. J. Mol. Sci . 2019, 20 (15). DOI: https://doi.org/10.3390/ijms20153711. [ Links ]

56. Hsu, C. N.; Tain, Y. L. Developmental origins of kidney disease: Why oxidative stress matters? Antioxidants 2021, 10 (1), 1-18. DOI: https://doi.org/10.3390/antiox10010033. [ Links ]

57. Jha, J. C.; Banal, C.; Chow, B. S. M.; Cooper, M. E.; Jandeleit-Dahm, K. Diabetes and Kidney Disease: Role of Oxidative Stress. Antioxid. Redox Signal. 2016, 25 (12), 657-684. DOI: https://doi.org/10.1089/ars.2016.6664. [ Links ]

58. Ling, X. C.; Kuo, K. L. Oxidative stress in chronic kidney disease. Ren. Replace. Ther. 2018, 4 (1). DOI: https://doi.org/10.1186/s41100-018-0195-2. [ Links ]

59. Tamay-Cach, F.; Quintana-Pérez, J. C.; Trujillo-Ferrara, J. G.; Cuevas-Hernández, R. I.; Del Valle-Mondragón, L.; García-Trejo, E. M.; Arellano-Mendoza, M. G. A review of the impact of oxidative stress and some antioxidant therapies on renal damage. Ren. Fail. 2016, 38 (2), 171-175. DOI: https://doi.org/10.3109/0886022X.2015.1120097. [ Links ]

60. Verma, S.; Singh, P.; Khurana, S.; Ganguly, N. K.; Kukreti, R.; Saso, L.; Rana, D. S.; Taneja, V.; Bhargava, V. Implications of oxidative stress in chronic kidney disease: A review on current concepts and therapies. Kidney Res. Clin. Pract. 2021, 40 (2), 183-193. DOI: https://doi.org/10.23876/j.krcp.20.163. [ Links ]

61. Antunes, M. A.; Lopes-Pacheco, M.; Rocco, P. R. M. Oxidative Stress-Derived Mitochondrial Dysfunction in Chronic Obstructive Pulmonary Disease: A Concise Review. Oxidative Med. Cell. Longev . 2021, 2021. DOI: https://doi.org/10.1155/2021/6644002. [ Links ]

62. Bargagli, E.; Olivieri, C.; Bennett, D.; Prasse, A.; Muller-Quernheim, J.; Rottoli, P. Oxidative stress in the pathogenesis of diffuse lung diseases: A review. Respir. Med. 2009, 103 (9), 1245-1256. DOI: https://doi.org/10.1016/j.rmed.2009.04.014. [ Links ]

63. Barnes, P. J. Oxidative Stress in Chronic Obstructive Pulmonary Disease. Antioxidants 2022, 11 (5). DOI: https://doi.org/10.3390/antiox11050965. [ Links ]

64. Bast, A.; Weseler, A. R.; Haenen, G. R. M. M.; Den Hartog, G. J. M. Oxidative stress and antioxidants in interstitial lung disease. Curr. Opin. Pulm. Med. 2010, 16 (5), 516-520. DOI: https://doi.org/10.1097/MCP.0b013e32833c645d. [ Links ]

65. Cheresh, P.; Kim, S. J.; Tulasiram, S.; Kamp, D. W. Oxidative stress and pulmonary fibrosis. Biochim. Biophys. Acta - Mol. Basis Dis. 2013, 1832 (7), 1028-1040. DOI: https://doi.org/10.1016/j.bbadis.2012.11.021. [ Links ]

66. Hecker, L. Mechanisms and consequences of oxidative stress in lung disease: Therapeutic implications for an aging populace. Am. J. Physiol. Lung Cell. Mol. Physiol. 2018, 314 (4), L642-L653. DOI: https://doi.org/10.1152/ajplung.00275.2017. [ Links ]

67. Hsueh, Y. J.; Chen, Y. N.; Tsao, Y. T.; Cheng, C. M.; Wu, W. C.; Chen, H. C. The Pathomechanism, Antioxidant Biomarkers, and Treatment of Oxidative Stress-Related Eye Diseases. Int. J. Mol. Sci . 2022, 23 (3). DOI: https://doi.org/10.3390/ijms23031255. [ Links ]

68. Ivanov, I. V.; Mappes, T.; Schaupp, P.; Lappe, C.; Wahl, S. Ultraviolet radiation oxidative stress affects eye health. J. Biophotonics 2018, 11 (7). DOI: https://doi.org/10.1002/jbio.201700377. [ Links ]

69. Nita, M.; Grzybowski, A. The Role of the Reactive Oxygen Species and Oxidative Stress in the Pathomechanism of the Age-Related Ocular Diseases and Other Pathologies of the Anterior and Posterior Eye Segments in Adults. Oxidative Med. Cell. Longev . 2016, 2016. DOI: https://doi.org/10.1155/2016/3164734. [ Links ]

70. Seen, S.; Tong, L. Dry eye disease and oxidative stress. Acta Ophthalmol. (Copenh.) 2018, 96 (4), e412-e420. DOI: https://doi.org/10.1111/aos.13526. [ Links ]

71. Subramaniam, M. D.; Iyer, M.; Nair, A. P.; Venkatesan, D.; Mathavan, S.; Eruppakotte, N.; Kizhakkillach, S.; Chandran, M. K.; Roy, A.; Gopalakrishnan, A. V.; Vellingiri, B. Oxidative stress and mitochondrial transfer: A new dimension towards ocular diseases. Genes Dis. 2022, 9 (3), 610-637. DOI: https://doi.org/10.1016/j.gendis.2020.11.020. [ Links ]

72. Ung, L.; Pattamatta, U.; Carnt, N.; Wilkinson-Berka, J. L.; Liew, G.; White, A. J. R. Oxidative stress and reactive oxygen species: A review of their role in ocular disease. Clin. Sci. 2017, 131 (24), 2865-2883. DOI: https://doi.org/10.1042/CS20171246. [ Links ]

73. Aouache, R.; Biquard, L.; Vaiman, D.; Miralles, F. Oxidative stress in preeclampsia and placental diseases. Int. J. Mol. Sci . 2018, 19 (5). DOI: https://doi.org/10.3390/ijms19051496. [ Links ]

74. Chiarello, D. I.; Abad, C.; Rojas, D.; Toledo, F.; Vázquez, C. M.; Mate, A.; Sobrevia, L.; Marín, R. Oxidative stress: Normal pregnancy versus preeclampsia. Biochim. Biophys. Acta - Mol. Basis Dis . 2020, 1866 (2). DOI: https://doi.org/10.1016/j.bbadis.2018.12.005. [ Links ]

75. Siddiqui, I. A.; Jaleel, A.; Tamimi, W.; Al Kadri, H. M. F. Role of oxidative stress in the pathogenesis of preeclampsia. Arch. Gynecol. Obstet. 2010, 282 (5), 469-474. DOI: https://doi.org/10.1007/s00404-010-1538-6. [ Links ]

76. Taysi, S.; Tascan, A. S.; Ugur, M. G.; Demir, M. Radicals, oxidative/nitrosative stress and preeclampsia. Mini-Rev. Med. Chem . 2019, 19 (3), 178-193. DOI: https://doi.org/10.2174/1389557518666181015151350. [ Links ]

77. Thompson, L. P.; Al-Hasan, Y. Impact of oxidative stress in fetal programming. J. Pregnancy 2012, 2012. DOI: https://doi.org/10.1155/2012/582748. [ Links ]

78. Liang, N.; Kitts, D. D. Antioxidant property of coffee components: Assessment of methods that define mechanism of action. Molecules 2014, 19 (11), 19180-19208. DOI: 10.3390/molecules191119180. [ Links ]

79. Aguiar, J.; Estevinho, B. N.; Santos, L. Microencapsulation of natural antioxidants for food application - The specific case of coffee antioxidants - A review. Trends Food Sci. Technol. 2016, 58, 21-39. DOI: https://doi.org/10.1016/j.tifs.2016.10.012. [ Links ]

80. Bothiraj, K. V.; Murugan; Vanitha, V. Green coffee bean seed and their role in antioxidant-a review. Int. J. Pharm. Sci. Res. 2020, 11 (1), 233-240. DOI: https://doi.org/10.26452/ijrps.v11i1.1812. [ Links ]

81. Iriondo-DeHond, A.; Ramírez, B.; Escobar, F. V.; del Castillo, M. D. Antioxidant properties of high molecular weight compounds from coffee roasting and brewing byproducts. Bioact. Compd. Health Dis. 2019, 2 (3), 48-63. DOI: https://doi.org/10.31989/bchd.v2i3.588. [ Links ]

82. Ahmed Ali, A. M.; Yagi, S.; Qahtan, A. A.; Alatar, A. A.; Angeloni, S.; Maggi, F.; Caprioli, G.; Abdel-Salam, E. M.; Sinan, K. I.; Zengin, G. Evaluation of the chemical constituents, antioxidant and enzyme inhibitory activities of six Yemeni green coffee beans varieties. Food Biosci. 2022, 46. DOI: https://doi.org/10.1016/j.fbio.2022.101552. [ Links ]

83. AlAmri, O. D.; Albeltagy, R. S.; M. A. Akabawy, A.; Mahgoub, S.; Abdel-Mohsen, D. M.; Abdel Moneim, A. E.; Amin, H. K. Investigation of antioxidant and anti-inflammatory activities as well as the renal protective potential of green coffee extract in high fat-diet/streptozotocin-induced diabetes in male albino rats. J. Funct. Foods 2020, 71. DOI: https://doi.org/10.1016/j.jff.2020.103996. [ Links ]

84. Andrade, C.; Perestrelo, R.; Câmara, J. S. Bioactive Compounds and Antioxidant Activity from Spent Coffee Grounds as a Powerful Approach for Its Valorization. Molecules 2022, 27 (21). DOI: https://doi.org/10.3390/molecules27217504. [ Links ]

85. Angeloni, S.; Freschi, M.; Marrazzo, P.; Hrelia, S.; Beghelli, D.; Juan-García, A.; Juan, C.; Caprioli, G.; Sagratini, G.; Angeloni, C. Antioxidant and Anti-Inflammatory Profiles of Spent Coffee Ground Extracts for the Treatment of Neurodegeneration. Oxidative Med. Cell. Longev . 2021, 2021. DOI: https://doi.org/10.1155/2021/6620913. [ Links ]

86. Botto, L.; Bulbarelli, A.; Lonati, E.; Cazzaniga, E.; Tassotti, M.; Mena, P.; Del Rio, D.; Palestini, P. Study of the antioxidant effects of coffee phenolic metabolites on c6 glioma cells exposed to diesel exhaust particles. Antioxidants 2021, 10 (8). DOI: https://doi.org/10.3390/antiox10081169. [ Links ]

87. Castaldo, L.; Toriello, M.; Sessa, R.; Izzo, L.; Lombardi, S.; Narváez, A.; Ritieni, A.; Grosso, M. Antioxidant and anti-inflammatory activity of coffee brew evaluated after simulated gastrointestinal digestion. Nutrients 2021, 13 (12). DOI: https://doi.org/10.3390/nu13124368. [ Links ]

88. Lemos, M. F.; de Andrade Salustriano, N.; de Souza Costa, M. M.; Lirio, K.; da Fonseca, A. F. A.; Pacheco, H. P.; Endringer, D. C.; Fronza, M.; Scherer, R. Chlorogenic acid and caffeine contents and anti-inflammatory and antioxidant activities of green beans of conilon and arabica coffees harvested with different degrees of maturation. J. Saudi Chem. Soc. 2022, 26 (3). DOI: https://doi.org/10.1016/j.jscs.2022.101467. [ Links ]

89. Lonati, E.; Carrozzini, T.; Bruni, I.; Mena, P.; Botto, L.; Cazzaniga, E.; Del Rio, D.; Labra, M.; Palestini, P.; Bulbarelli, A. Coffee-Derived Phenolic Compounds Activate Nrf2 Antioxidant Pathway in I/R Injury In Vitro Model: A Nutritional Approach Preventing Age Related-Damages. Molecules 2022, 27 (3). DOI: https://doi.org/10.3390/molecules27031049. [ Links ]

90. Montenegro, J.; dos Santos, L. S.; de Souza, R. G. G.; Lima, L. G. B.; Mattos, D. S.; Viana, B. P. P. B.; da Fonseca Bastos, A. C. S.; Muzzi, L.; Conte-Júnior, C. A.; Gimba, E. R. P.; et al. Bioactive compounds, antioxidant activity and antiproliferative effects in prostate cancer cells of green and roasted coffee extracts obtained by microwave-assisted extraction (MAE). Food Res. Int. 2021, 140. DOI: https://doi.org/10.1016/j.foodres.2020.110014. [ Links ]

91. Nemzer, B.; Kalita, D.; Abshiru, N. Quantification of major bioactive constituents, antioxidant activity, and enzyme inhibitory effects of whole coffee cherries (Coffea arabica) and their extracts. Molecules 2021, 26 (14). DOI: https://doi.org/10.3390/molecules26144306. [ Links ]

92. Nosal, B. M.; Sakaki, J. R.; Kim, D. O.; Chun, O. K. Impact of coffee preparation on total phenolic content in brewed coffee extracts and their contribution to the body’s antioxidant status. Food Sci. Biotechnol. 2022, 31 (8), 1081-1088. DOI: https://doi.org/10.1007/s10068-022-01100-4. [ Links ]

93. Nzekoue, F. K.; Angeloni, S.; Navarini, L.; Angeloni, C.; Freschi, M.; Hrelia, S.; Vitali, L. A.; Sagratini, G.; Vittori, S.; Caprioli, G. Coffee silverskin extracts: Quantification of 30 bioactive compounds by a new HPLC-MS/MS method and evaluation of their antioxidant and antibacterial activities. Food Res. Int . 2020, 133. DOI: https://doi.org/10.1016/j.foodres.2020.109128. [ Links ]

94. Pergolizzi, S.; D’Angelo, V.; Aragona, M.; Dugo, P.; Cacciola, F.; Capillo, G.; Dugo, G.; Lauriano, E. R. Evaluation of antioxidant and anti-inflammatory activity of green coffee beans methanolic extract in rat skin. Nat. Prod. Res. 2020, 34 (11), 1535-1541. DOI: https://doi.org/10.1080/14786419.2018.1523161. [ Links ]

95. Sunoqrot, S.; Al-Shalabi, E.; Al-Bakri, A. G.; Zalloum, H.; Abu-Irmaileh, B.; Ibrahim, L. H.; Zeno, H. Coffee Bean Polyphenols Can Form Biocompatible Template-free Antioxidant Nanoparticles with Various Sizes and Distinct Colors. ACS Omega 2021, 6 (4), 2767-2776. DOI: https://doi.org/10.1021/acsomega.0c05061. [ Links ]

96. Yin, X.; He, X.; Wu, L.; Yan, D.; Yan, S. Chlorogenic Acid, the Main Antioxidant in Coffee, Reduces Radiation-Induced Apoptosis and DNA Damage via NF-E2-Related Factor 2 (Nrf2) Activation in Hepatocellular Carcinoma. Oxid. Med. Cell. Longev. 2022, 2022. DOI: https://doi.org/10.1155/2022/4566949. [ Links ]

97. Natella, F.; Nardini, M.; Giannetti, I.; Dattilo, C.; Scaccini, C. Coffee drinking influences plasma antioxidant capacity in humans. J. Agric. Food Chem. 2002, 50 (21), 6211-6216. DOI: https://doi.org/10.1021/jf025768c. [ Links ]

98. Hoelzl, C.; Knasmüller, S.; Wagner, K.; Elbling, L.; Huber, W.; Kager, N.; Ferk, F.; Ehrlich, V.; Nersesyan, A.; Neubauer, O.; et al. Instant coffee with high chlorogenic acid levels protects humans against oxidative damage of macromolecules. Mol. Nutr. Food Res. 2010, 54 (12), 1722-1733. DOI: https://doi.org/10.1002/mnfr.201000048. [ Links ]

99. Hori, A.; Kasai, H.; Kawai, K.; Nanri, A.; Sato, M.; Ohta, M.; Mizoue, T. Coffee intake is associated with lower levels of oxidative DNA damage and decreasing body iron storage in healthy women. Nutr. Cancer 2014, 66 (6), 964-969. DOI: https://doi.org/10.1080/01635581.2014.932398. [ Links ]

100. Nicoli, M. C.; Anese, M.; Manzocco, L.; Lerici, C. R. Antioxidant properties of coffee brews in relation to the roasting degree. LWT 1997, 30 (3), 292-297. DOI: https://doi.org/10.1006/fstl.1996.0181. [ Links ]

101. León-Carmona, J. R.; Alvarez-Idaboy, J. R.; Galano, A. On the peroxyl scavenging activity of hydroxycinnamic acid derivatives: Mechanisms, kinetics, and importance of the acid-base equilibrium. Phys. Chem. Chem. Phys. 2012, 14 (36), 12534-12543. [ Links ]

102. Baggio, J.; Lima, A.; Mancini Filho, J.; Fett, R. Identification of phenolic acids in coffee (Coffea Arabica L.) dust and its antioxidant activity. Ital. J. Food Sci. 2007, 19 (2), 191-201. [ Links ]

103. Beder-Belkhiri, W.; Zeghichi-Hamri, S.; Kadri, N.; Boulekbache-Makhlouf, L.; Cardoso, S.; Oukhmanou-Bensidhoum, S.; Madani, K. Hydroxycinnamic acids profiling, in vitro evaluation of total phenolic compounds, caffeine and antioxidant properties of coffee imported, roasted and consumed in Algeria. Mediterr. J. Nutr. Metab. 2018, 11 (1), 51-63. DOI: https://doi.org/10.3233/MNM-17181. [ Links ]

104. Górnaś, P.; Dwiecki, K.; Siger, A.; Tomaszewska-Gras, J.; Michalak, M.; Polewski, K. Contribution of phenolic acids isolated from green and roasted boiled-type coffee brews to total coffee antioxidant capacity. Eur. Food Res. Technol. 2016, 242 (5), 641-653. DOI: https://doi.org/10.1007/s00217-015-2572-1. [ Links ]

105. Saeed Alkaltham, M.; Musa Özcan, M.; Uslu, N.; Salamatullah, A. M.; Hayat, K. Effect of microwave and oven roasting methods on total phenol, antioxidant activity, phenolic compounds, and fatty acid compositions of coffee beans. J. Food Process. Preserv. 2020, 44 (11). DOI: https://doi.org/10.1111/jfpp.14874. [ Links ]

106. Alnsour, L.; Issa, R.; Awwad, S.; Albals, D.; Al-Momani, I. Quantification of Total Phenols and Antioxidants in Coffee Samples of Different Origins and Evaluation of the Effect of Degree of Roasting on Their Levels. Molecules 2022, 27 (5). DOI: https://doi.org/10.3390/molecules27051591. [ Links ]

107. Delgado-Andrade, C.; Morales, F. J. Unraveling the contribution of melanoidins to the antioxidant activity of coffee brews. J. Agric. Food Chem . 2005, 53 (5), 1403-1407. DOI: https://doi.org/10.1021/jf048500p. [ Links ]

108. Pérez-Hernández, L. M.; Chávez-Quiroz, K.; Medina-Juárez, L. Á.; Gámez Meza, N. Phenolic characterization, melanoidins, and antioxidant activity of some commercial coffees from Coffea arabica and Coffea canephora. J. Mex. Chem. Soc. 2012, 56 (4), 430-435. [ Links ]

109. Perrone, D.; Farah, A.; Donangelo, C. M. Influence of coffee roasting on the incorporation of phenolic compounds into melanoidins and their relationship with antioxidant activity of the brew. J. Agric. Food Chem . 2012, 60 (17), 4265-4275. DOI: https://doi.org/10.1021/jf205388x. [ Links ]

110. Vignoli, J. A.; Bassoli, D. G.; Benassi, M. T. Antioxidant activity, polyphenols, caffeine and melanoidins in soluble coffee: The influence of processing conditions and raw material. Food Chem. 2011, 124 (3), 863-868. DOI: https://doi.org/10.1016/j.foodchem.2010.07.008. [ Links ]

111. Fuster, M. D.; Mitchell, A. E.; Ochi, H.; Shibamoto, T. Antioxidative activities of heterocyclic compounds formed in brewed coffee. J. Agric. Food Chem . 2000, 48 (11), 5600-5603. DOI: https://doi.org/10.1021/jf000605e. [ Links ]

112. Yanagimoto, K.; Lee, K. G.; Ochi, H.; Shibamoto, T. Antioxidative activity of heterocyclic compounds found in coffee volatiles produced by Maillard reaction. J. Agric. Food Chem . 2002, 50 (19), 5480-5484. DOI: https://doi.org/10.1021/jf025616h. [ Links ]

113. Liu, Y.; Kitts, D. D. Confirmation that the Maillard reaction is the principle contributor to the antioxidant capacity of coffee brews. Food Res. Int . 2011, 44 (8), 2418-2424. DOI: https://doi.org/10.1016/j.foodres.2010.12.037. [ Links ]

114. Nebesny, E.; Budryn, G. Antioxidative activity of green and roasted coffee beans as influenced by convection and microwave roasting methods and content of certain compounds. Eur. Food Res. Technol . 2003, 217 (2), 157-163. DOI: https://doi.org/10.1007/s00217-003-0705-4. [ Links ]

115. Cheong, M. W.; Tong, K. H.; Ong, J. J. M.; Liu, S. Q.; Curran, P.; Yu, B. Volatile composition and antioxidant capacity of Arabica coffee. Food Res. Int . 2013, 51 (1), 388-396. DOI: https://doi.org/10.1016/j.foodres.2012.12.058. [ Links ]

116. Haile, M.; Bae, H. M.; Kang, W. H. Comparison of the antioxidant activities and volatile compounds of coffee beans obtained using digestive bio-processing (elephant dung coffee) and commonly known processing methods. Antioxidants 2020, 9 (5). DOI: https://doi.org/10.3390/antiox9050408. [ Links ]

117. Kang, D. E.; Lee, H. U.; Davaatseren, M.; Chung, M. S. Comparison of acrylamide and furan concentrations, antioxidant activities, and volatile profiles in cold or hot brew coffees. Food Sci. Biotechnol . 2020, 29 (1), 141-148. DOI: https://doi.org/10.1007/s10068-019-00644-2. [ Links ]

118. Kulapichitr, F.; Borompichaichartkul, C.; Pratontep, S.; Lopetcharat, K.; Boonbumrung, S.; Suppavorasatit, I. Differences in volatile compounds and antioxidant activity of ripe and unripe green coffee beans (Coffea arabica L. ‘Catimor’). Acta Hortic. 2017, 1179, 261-268. DOI: https://doi.org/10.17660/ActaHortic.2017.1179.41. [ Links ]

119. Ludwig, I. A.; Sánchez, L.; De Peña, M. P.; Cid, C. Contribution of volatile compounds to the antioxidant capacity of coffee. Food Res. Int . 2014, 61, 67-74. DOI: https://doi.org/10.1016/j.foodres.2014.03.045. [ Links ]

120. Stadler, R. H.; Fay, L. B. Antioxidative Reactions of Caffeine: Formation of 8-Oxocaffeine (1,3,7-Trimethyluric Acid) in Coffee Subjected to Oxidative Stress. J. Agric. Food Chem . 1995, 43 (5), 1332-1338. DOI: https://doi.org/10.1021/jf00053a038. [ Links ]

121. Miłek, M.; Młodecki, Ł.; Dżugan, M. Caffeine Content and Antioxidant Activity of Various Brews of Specialty Grade Coffee. Acta Sci. Pol., Technol. Aliment. 2021, 20 (2), 179-188. DOI: https://doi.org/10.17306/J.AFS.2021.0890. [ Links ]

122. Šeremet, D.; Fabečić, P.; Cebin, A. V.; Jarić, A. M.; Pudić, R.; Komes, D. Antioxidant and Sensory Assessment of Innovative Coffee Blends of Reduced Caffeine Content. Molecules 2022, 27 (2). DOI: https://doi.org/10.3390/molecules27020448. [ Links ]

123. León-Carmona, J. R.; Galano, A. Is caffeine a good scavenger of oxygenated free radicals? J. Phys. Chem. B 2011, 115 (15), 4538-4546. DOI: https://doi.org/10.1021/jp201383y. [ Links ]

124. Prior, R. L.; Wu, X.; Schaich, K. Standardized methods for the determination of antioxidant capacity and phenolics in foods and dietary supplements. J. Agric. Food Chem . 2005, 53 (10), 4290-4302. DOI: https://doi.org/10.1021/jf0502698. [ Links ]

125. Frankel, E. N.; Meyer, A. S. The problems of using one-dimensional methods to evaluate multifunctional food and biological antioxidants. J. Sci. Food Agric. 2000, 80 (13), 1925-1941. DOI: https://doi.org/10.1021/jf103813t. [ Links ]

126. Galano, A.; Alvarez-Idaboy, J. R. A computational methodology for accurate predictions of rate constants in solution: Application to the assessment of primary antioxidant activity. J. Comput. Chem. 2013, 34 (28), 2430-2445. DOI: https://doi.org/10.1002/jcc.23409. [ Links ]

127. Yashin, A.; Yashin, Y.; Wang, J. Y.; Nemzer, B. Antioxidant and antiradical activity of coffee. Antioxidants 2013, 2 (4), 230-245. DOI: https://doi.org/10.3390/antiox2040230. [ Links ]

128. Febrianto, N. A.; Zhu, F. Coffee bean processing: Emerging methods and their effects on chemical, biological and sensory properties. Food Chem . 2023, 412. DOI: https://doi.org/10.1016/j.foodchem.2023.135489. [ Links ]

129. Saud, S.; Salamatullah, A. M. Relationship between the chemical composition and the biological functions of coffee. Molecules 2021, 26 (24). DOI: https://doi.org/10.3390/molecules26247634. [ Links ]

130. Hall, R. D.; Trevisan, F.; de Vos, R. C. H. Coffee berry and green bean chemistry - Opportunities for improving cup quality and crop circularity. Food Res. Int . 2022, 151. DOI: https://doi.org/10.1016/j.foodres.2021.110825. [ Links ]

131. Kusumah, J.; Gonzalez de Mejia, E. Coffee constituents with antiadipogenic and antidiabetic potentials: A narrative review. Food Chem. Toxicol. 2022, 161. DOI: https://doi.org/10.1016/j.fct.2022.112821. [ Links ]

132. Munyendo, L. M.; Njoroge, D. M.; Owaga, E. E.; Mugendi, B. Coffee phytochemicals and post-harvest handling-A complex and delicate balance. J. Food Compos. Anal. 2021, 102. DOI: https://doi.org/10.1016/j.jfca.2021.103995. [ Links ]

133. Pua, A.; Goh, R. M. V.; Huang, Y.; Tang, V. C. Y.; Ee, K. H.; Cornuz, M.; Liu, S. Q.; Lassabliere, B.; Yu, B. Recent advances in analytical strategies for coffee volatile studies: Opportunities and challenges. Food Chem . 2022, 388. DOI: https://doi.org/10.1016/j.foodchem.2022.132971. [ Links ]

134. Van Dijk, A. E.; Olthof, M. R.; Meeuse, J. C.; Seebus, E.; Heine, R. J.; Van Dam, R. M. Acute effects of decaffeinated coffee and the major coffee components chlorogenic acid and trigonelline on glucose tolerance. Diabetes Care 2009, 32 (6), 1023-1025. DOI: https://doi.org/10.2337/dc09-0207. [ Links ]

135. Chen, X. A review on coffee leaves: Phytochemicals, bioactivities and applications. Crit. Rev. Food Sci. Nutr. 2019, 59 (6), 1008-1025. DOI: https://doi.org/10.1080/10408398.2018.1546667. [ Links ]

136. Prakash, I.; R, S. S.; P, S. H.; Kumar, P.; Om, H.; Basavaraj, K.; Murthy, P. S. Metabolomics and volatile fingerprint of yeast fermented robusta coffee: A value added coffee. LWT 2022, 154. DOI: https://doi.org/10.1016/j.lwt.2021.112717. [ Links ]

137. Sualeh, A.; Tolessa, K.; Mohammed, A. Biochemical composition of green and roasted coffee beans and their association with coffee quality from different districts of southwest Ethiopia. Heliyon 2020, 6 (12). DOI: https://doi.org/10.1016/j.heliyon.2020.e05812. [ Links ]

138. Campa, C.; Ballester, J. F.; Doulbeau, S.; Dussert, S.; Hamon, S.; Noirot, M. Trigonelline and sucrose diversity in wild Coffea species. Food Chem . 2004, 88 (1), 39-43. DOI: https://doi.org/10.1016/j.foodchem.2004.01.020. [ Links ]

139. Campa, C.; Doulbeau, S.; Dussert, S.; Hamon, S.; Noirot, M. Qualitative relationship between caffeine and chlorogenic acid contents among wild Coffea species. Food Chem . 2005, 93 (1), 135-139. DOI: https://doi.org/10.1016/j.foodchem.2004.10.015. [ Links ]

140. Dias, E. C.; Borém, F. M.; Pereira, R. G. F. A.; Guerreiro, M. C. Amino acid profiles in unripe Arabica coffee fruits processed using wet and dry methods. Eur. Food Res. Technol . 2012, 234 (1), 25-32. DOI: https://doi.org/10.1007/s00217-011-1607-5. [ Links ]

141. Dong, W.; Tan, L.; Zhao, J.; Hu, R.; Lu, M. Characterization of fatty acid, amino acid and volatile compound compositions and bioactive components of seven coffee (Coffea robusta) cultivars grown in Hainan Province, China. Molecules 2015, 20 (9), 16687-16708. DOI: https://doi.org/10.3390/molecules200916687. [ Links ]

142. Fitri; Laga, A.; Dwyana, Z.; Tawali, A. B. Composition of amino acids and fatty acids on luwak coffee processing. Food Res. 2021, 5 (3), 60-64. DOI: https://doi.org/10.26656/fr.2017.5(3).637. [ Links ]

143. Macheiner, L.; Schmidt, A.; Mayer, H. K. Green coffee derived supplements and infusions as a source of polyamines and free amino acids. Eur. Food Res. Technol . 2021, 247 (1), 85-99. DOI: https://doi.org/10.1007/s00217-020-03609-6. [ Links ]

144. Dong, W.; Hu, R.; Chu, Z.; Zhao, J.; Tan, L. Effect of different drying techniques on bioactive components, fatty acid composition, and volatile profile of robusta coffee beans. Food Chem . 2017, 234, 121-130. DOI: https://doi.org/10.1016/j.foodchem.2017.04.156. [ Links ]

145. Esquivel, P.; Viñas, M.; Steingass, C. B.; Gruschwitz, M.; Guevara, E.; Carle, R.; Schweiggert, R. M.; Jiménez, V. M. Coffee (Coffea arabica L.) by-Products as a Source of Carotenoids and Phenolic Compounds-Evaluation of Varieties With Different Peel Color. Front. Sustain. Food Syst. 2020, 4. DOI: https://doi.org/10.3389/fsufs.2020.590597. [ Links ]

146. Simkin, A. J.; Kuntz, M.; Moreau, H.; McCarthy, J. Carotenoid profiling and the expression of carotenoid biosynthetic genes in developing coffee grain. Plant Physiol. Biochem. 2010, 48 (6), 434-442. DOI: https://doi.org/10.1016/j.plaphy.2010.02.007. [ Links ]

147. Koshima, Y.; Kitamura, Y.; Islam, M. Z.; Kokawa, M. Quantitative and qualitative evaluation of fatty acids in coffee oil and coffee residue. Food Sci. Technol. Res. 2020, 26 (4), 545-552. DOI: https://doi.org/10.3136/FSTR.26.545. [ Links ]

148. Peñuela-Martínez, A. E.; Zapata-Zapata, A. E.; Durango-Restrepo, D. L. Performance of different fermentation methods and the effect on coffee quality (coffea arabica l.). Coffee Sci. 2018, 13 (4), 465-476. DOI: https://doi.org/10.25186/cs.v13i4.1486. [ Links ]

149. Yeager, S. E.; Batali, M. E.; Guinard, J. X.; Ristenpart, W. D. Acids in coffee: A review of sensory measurements and meta-analysis of chemical composition. Crit. Rev. Food Sci. Nutr . 2021, 63 (8), 1010-1036. DOI: https://doi.org/10.1080/10408398.2021.1957767. [ Links ]

150. Pereira, P. V.; Bravim, D. G.; Grillo, R. P.; Bertoli, L. D.; Osório, V. M.; da Silva Oliveira, D.; da Cruz Pedrozo Miguel, M. G.; Schwan, R. F.; de Assis Silva, S.; Coelho, J. M.; Bernardes, P. C. Microbial diversity and chemical characteristics of Coffea canephora grown in different environments and processed by dry method. World J. Microbiol. Biotechnol. 2021, 37 (3). DOI: https://doi.org/10.1007/s11274-021-03017-2. [ Links ]

151. Badmos, S.; Lee, S. H.; Kuhnert, N. Comparison and quantification of chlorogenic acids for differentiation of green Robusta and Arabica coffee beans. Food Res. Int . 2019, 126. DOI: https://doi.org/10.1016/j.foodres.2019.108544. [ Links ]

152. Köseoglu Yilmaz, P.; Kolak, U. SPE-HPLC Determination of Chlorogenic and Phenolic Acids in Coffee. J. Chromatogr. Sci. 2017, 55 (7), 712-718. DOI: https://doi.org/10.1093/chromsci/bmx025. [ Links ]

153. Marmet, C.; Actis-Goretta, L.; Renouf, M.; Giuffrida, F. Quantification of phenolic acids and their methylates, glucuronides, sulfates and lactones metabolites in human plasma by LC-MS/MS after oral ingestion of soluble coffee. J. Pharm. Biomed. Anal. 2014, 88, 617-625. DOI: https://doi.org/10.1016/j.jpba.2013.10.009. [ Links ]

154. Somporn, C.; Kamtuo, A.; Theerakulpisut, P.; Siriamornpun, S. Effect of shading on yield, sugar content, phenolic acids and antioxidant property of coffee beans (Coffea Arabica L. cv. Catimor) harvested from north-eastern Thailand. J. Sci. Food Agric . 2012, 92 (9), 1956-1963. DOI: https://doi.org/10.1002/jsfa.5568. [ Links ]

155. Kishimoto, N.; Kakino, Y.; Iwai, K.; Mochida, K.; Fujita, T. In vitro antibacterial, antimutagenic and anti-influenza virus activity of caffeic acid phenethyl esters. Biocontrol Sci. 2005, 10 (4), 155-161. DOI: https://doi.org/10.4265/bio.10.155. [ Links ]

156. Dos Santos, R. A.; Prado, M. A.; Pertierra, R. E.; Palacios, H. A. Analysis of sugars and chlorogenic acid in coffee harvested at different ripening stages and after processing. Braz. J. Food Technol. 2018, 21. DOI: https://doi.org/10.1590/1981-6723.16317. [ Links ]

157. Chindapan, N.; Soydok, S.; Devahastin, S. Roasting Kinetics and Chemical Composition Changes of Robusta Coffee Beans During Hot Air and Superheated Steam Roasting. J. Food Sci. 2019, 84 (2), 292-302. DOI: https://doi.org/10.1111/1750-3841.14422. [ Links ]

158. Wang, X.; Peng, X.; Lu, J.; Hu, G.; Qiu, M. Ent-kaurane diterpenoids from the cherries of Coffea arabica. Fitoterapia 2019, 132, 7-11. DOI: https://doi.org/10.1016/j.fitote.2018.08.023. [ Links ]

159. Wang, X.; Meng, Q.; Peng, X.; Hu, G.; Qiu, M. Identification of new diterpene esters from green Arabica coffee beans, and their platelet aggregation accelerating activities. Food Chem . 2018, 263, 251-257. DOI: https://doi.org/10.1016/j.foodchem.2018.04.081. [ Links ]

160. Shu, Y.; Liu, J. Q.; Peng, X. R.; Wan, L. S.; Zhou, L.; Zhang, T.; Qiu, M. H. Characterization of diterpenoid glucosides in roasted puer coffee beans. J. Agric. Food Chem . 2014, 62 (12), 2631-2637. DOI: https://doi.org/10.1021/jf500788t. [ Links ]

161. Chu, R.; Wan, L. S.; Peng, X. R.; Yu, M. Y.; Zhang, Z. R.; Zhou, L.; Li, Z. R.; Qiu, M. H. Characterization of New Ent-kaurane Diterpenoids of Yunnan Arabica Coffee Beans. Nat. Prod. Bioprospect. 2016, 6 (4), 217-223. DOI: https://doi.org/10.1007/s13659-016-0099-1. [ Links ]

162. Wang, X.; Peng, X. R.; Lu, J.; Hu, G. L.; Qiu, M. H. New Dammarane Triterpenoids, Caffruones A-D, from the Cherries of Coffea arabica. Nat. Prod. Bioprospect . 2018, 8 (6), 413-418. DOI: https://doi.org/10.1007/s13659-018-0181-y. [ Links ]

163. Lang, R.; Fromme, T.; Beusch, A.; Lang, T.; Klingenspor, M.; Hofmann, T. Raw coffee based dietary supplements contain carboxyatractyligenin derivatives inhibiting mitochondrial adenine-nucleotide-translocase. Food Chem. Toxicol. 2014, 70, 198-204. DOI: https://doi.org/10.1016/j.fct.2014.05.017. [ Links ]

164. Barbosa, M. D. S. G.; Scholz, M. B. D. S.; Kitzberger, C. S. G.; Benassi, M. D. T. Correlation between the composition of green Arabica coffee beans and the sensory quality of coffee brews. Food Chem . 2019, 292, 275-280. DOI: https://doi.org/10.1016/j.foodchem.2019.04.072. [ Links ]

165. Caporaso, N.; Whitworth, M. B.; Cui, C.; Fisk, I. D. Variability of single bean coffee volatile compounds of Arabica and robusta roasted coffees analysed by SPME-GC-MS. Food Res. Int . 2018, 108, 628-640. DOI: https://doi.org/10.1016/j.foodres.2018.03.077. [ Links ]

166. Piccino, S.; Boulanger, R.; Descroix, F.; Sing, A. S. C. Aromatic composition and potent odorants of the "specialty coffee" brew "Bourbon Pointu" correlated to its three trade classifications. Food Res. Int . 2014, 61, 264-271. DOI: https://doi.org/10.1016/j.foodres.2013.07.034. [ Links ]

167. Angeloni, S.; Mustafa, A. M.; Abouelenein, D.; Alessandroni, L.; Acquaticci, L.; Nzekoue, F. K.; Petrelli, R.; Sagratini, G.; Vittori, S.; Torregiani, E.; Caprioli, G. Characterization of the aroma profile and main key odorants of espresso coffee. Molecules 2021, 26 (13). DOI: https://doi.org/10.3390/molecules26133856. [ Links ]

168. Kim, H. J.; Hong, D. L.; Yu, J. W.; Lee, S. M.; Lee, Y. B. Identification of headspace volatile compounds of blended coffee and application to principal component analysis. Prev. Nutr. Food Sci. 2019, 24 (2), 217-223. DOI: https://doi.org/10.3746/pnf.2019.24.2.217. [ Links ]

169. Lee, K. G.; Shibamoto, T. Analysis of volatile components isolated from Hawaiian green coffee beans (Coffea arabica L.). Flavour Fragr. J. 2002, 17 (5), 349-351. DOI: https://doi.org/10.1002/ffj.1067. [ Links ]

170. Sarghini, F.; Fasano, E.; De Vivo, A.; Tricarico, M. C. Influence of roasting process in six coffee Arabica cultivars: Analysis of volatile components profiles. Chem. Eng. Trans. 2019, 75, 295-300. DOI: https://doi.org/10.3303/CET1975050. [ Links ]

171. Butt, M. S.; Sultan, M. T. Coffee and its consumption: Benefits and risks. Crit. Rev. Food Sci. Nutr . 2011, 51 (4), 363-373. DOI: https://doi.org/10.1080/10408390903586412. [ Links ]

172. Colombo, R.; Papetti, A. Decaffeinated coffee and its benefits on health: focus on systemic disorders. Crit. Rev. Food Sci. Nutr . 2021, 61 (15), 2506-2522. DOI: https://doi.org/10.1080/10408398.2020.1779175. [ Links ]

173. Dirks-Naylor, A. J. The benefits of coffee on skeletal muscle. Life Sci. 2015, 143, 182-186. DOI: https://doi.org/10.1016/j.lfs.2015.11.005. [ Links ]

174. Pourshahidi, L. K.; Navarini, L.; Petracco, M.; Strain, J. J. A Comprehensive Overview of the Risks and Benefits of Coffee Consumption. Compr. Rev. Food Sci. Food Saf. 2016, 15 (4), 671-684. DOI: https://doi.org/10.1111/1541-4337.12206. [ Links ]

175. dos Santos, H. D.; Boffo, E. F. Coffee beyond the cup: analytical techniques used in chemical composition research-a review. Eur. Food Res. Technol . 2021, 247 (4), 749-775. DOI: https://doi.org/10.1007/s00217-020-03679-6. [ Links ]

176. Barrea, L.; Pugliese, G.; Frias-Toral, E.; El Ghoch, M.; Castellucci, B.; Chapela, S. P.; Carignano, M. D. L. A.; Laudisio, D.; Savastano, S.; Colao, A.; Muscogiuri, G. Coffee consumption, health benefits and side effects: a narrative review and update for dietitians and nutritionists. Crit. Rev. Food Sci. Nutr . 2023, 63 (9), 1238-1261. DOI: https://doi.org/10.1080/10408398.2021.1963207. [ Links ]

177. Jeong, J. M.; Lee, K. I.; Kim, S. M. Simultaneous determination of benzoic Acid, Caffeic acid and Chlorogenic acid in seeds of Eriobotrya japonica and their antibacterial Effect. J. Appl. Biol. Chem. 2014, 57 (1), 89-93. DOI: https://doi.org/10.3839/jabc.2014.014. [ Links ]

178. Park, M. Y.; Kang, D. H. Antibacterial Activity of Caffeic Acid Combined with UV-A Light against Escherichia coli O157:H7, Salmonella enterica Serovar Typhimurium, and Listeria monocytogenes. Appl. Environ. Microbiol. 2021, 87 (15). DOI: https://doi.org/10.1128/AEM.00631-21. [ Links ]

179. Pinho, E.; Soares, G.; Henriques, M. Evaluation of antibacterial activity of caffeic acid encapsulated by β-cyclodextrins. J. Microencapsul. 2015, 32 (8), 804-810. DOI: https://doi.org/10.3109/02652048.2015.1094531. [ Links ]

180. Niu, Y.; Wang, K.; Zheng, S.; Wang, Y.; Ren, Q.; Li, H.; Ding, L.; Li, W.; Zhang, L. Antibacterial effect of caffeic acid phenethyl ester on cariogenic bacteria and streptococcus mutans biofilms. Antimicrob. Agents Chemother. 2020, 64 (9). DOI: https://doi.org/10.1128/AAC.00251-20. [ Links ]

181. Rojas-González, A.; Figueroa-Hernández, C. Y.; González-Rios, O.; Suárez-Quiroz, M. L.; González-Amaro, R. M.; Hernández-Estrada, Z. J.; Rayas-Duarte, P. Coffee Chlorogenic Acids Incorporation for Bioactivity Enhancement of Foods: A Review. Molecules 2022, 27 (11). DOI: https://doi.org/10.3390/molecules27113400. [ Links ]

182. Elbestawy, M. K. M.; El-Sherbiny, G. M.; Moghannem, S. A. Antibacterial, Antibiofilm and Anti-Inflammatory Activities of Eugenol Clove Essential Oil against Resistant Helicobacter pylori. Molecules 2023, 28 (6). DOI: https://doi.org/10.3390/molecules28062448. [ Links ]

183. Ashrafudoulla, M.; Mizan, M. F. R.; Ha, A. J. W.; Park, S. H.; Ha, S. D. Antibacterial and antibiofilm mechanism of eugenol against antibiotic resistance Vibrio parahaemolyticus. Food Microbiol. 2020, 91. DOI: https://doi.org/10.1016/j.fm.2020.103500. [ Links ]

184. Bai, X.; Li, X.; Liu, X.; Xing, Z.; Su, R.; Wang, Y.; Xia, X.; Shi, C. Antibacterial Effect of Eugenol on Shigella flexneri and Its Mechanism. Foods 2022, 11 (17). DOI: https://doi.org/10.3390/foods11172565. [ Links ]

185. Bezerra, S. R.; Bezerra, A. H.; de Sousa Silveira, Z.; Macedo, N. S.; dos Santos Barbosa, C. R.; Muniz, D. F.; Sampaio dos Santos, J. F.; Melo Coutinho, H. D.; Bezerra da Cunha, F. A. Antibacterial activity of eugenol on the IS-58 strain of Staphylococcus aureus resistant to tetracycline and toxicity in Drosophila melanogaster. Microb. Pathog. 2022, 164. DOI: https://doi.org/10.1016/j.micpath.2022.105456. [ Links ]

186. Devi, K. P.; Nisha, S. A.; Sakthivel, R.; Pandian, S. K. Eugenol (an essential oil of clove) acts as an antibacterial agent against Salmonella typhi by disrupting the cellular membrane. J. Ethnopharmacol. 2010, 130 (1), 107-115. DOI: https://doi.org/10.1016/j.jep.2010.04.025. [ Links ]

187. Pavesi, C.; Banks, L. A.; Hudaib, T. Antifungal and antibacterial activities of eugenol and non-polar extract of Syzygium aromaticum L. J. Pharm. Sci. Res. 2018, 10 (2), 337-339. [ Links ]

188. Silva, J. C.; Silva Pereira, R. L.; Sampaio de Freitas, T.; Rocha, J. E.; Macedo, N. S.; de Fatima Alves Nonato, C.; Linhares, M. L.; Arruda Tavares, D. S.; Bezerra da Cunha, F. A.; Melo Coutinho, H. D.; et al. Evaluation of antibacterial and toxicological activities of essential oil of Ocimum gratissimum L. and its major constituent eugenol. Food Biosci . 2022, 50. DOI: https://doi.org/10.1016/j.fbio.2022.102128. [ Links ]

189. Su, R.; Bai, X.; Liu, X.; Song, L.; Liu, X.; Zhan, X.; Guo, D.; Wang, Y.; Chang, Y.; Shi, C. Antibacterial Mechanism of Eugenol Against Shigella sonnei and Its Antibacterial Application in Lettuce Juice. Foodborne Pathog. Dis. 2022, 19 (11), 779-786. DOI: https://doi.org/10.1089/fpd.2022.0046. [ Links ]

190. Zhang, L. L.; Zhang, L. F.; Xu, J. G.; Hu, Q. P. Comparison study on antioxidant, DNA damage protective and antibacterial activities of eugenol and isoeugenol against several foodborne pathogens. Food Nutr. Res. 2017, 61. DOI: https://doi.org/10.1080/16546628.2017.1353356. [ Links ]

191. Amani, F.; Rezaei, A.; Kharazmi, M. S.; Jafari, S. M. Loading ferulic acid into β-cyclodextrin nanosponges; antibacterial activity, controlled release and application in pomegranate juice as a copigment agent. Colloids Surf. Physicochem. Eng. Aspects 2022, 649. DOI: https://doi.org/10.1016/j.colsurfa.2022.129454. [ Links ]

192. Borges, A.; Ferreira, C.; Saavedra, M. J.; Simões, M. Antibacterial activity and mode of action of ferulic and gallic acids against pathogenic bacteria. Microb. Drug Resist. 2013, 19 (4), 256-265. DOI: https://doi.org/10.1089/mdr.2012.0244. [ Links ]

193. Ordoñez, R.; Atarés, L.; Chiralt, A. Antibacterial properties of cinnamic and ferulic acids incorporated to starch and PLA monolayer and multilayer films. Food Control 2022, 136. DOI: https://doi.org/10.1016/j.foodcont.2022.108878. [ Links ]

194. Tu, Q. B.; Shi, H. C.; Li, P.; Sheng, S.; Wu, F. A. Antibacterial Activity of Ferulic Acid Ester against Ralstonia solanacearum and Its Synergy with Essential Oils. Sustainability 2022, 14 (24). DOI: https://doi.org/10.3390/su142416348. [ Links ]

195. Sung, W. S.; Jung, H. J.; Lee, I. S.; Kim, H. S.; Lee, D. G. Antimicrobial effect of furaneol against human pathogenic bacteria and fungi. J. Microbiol. Biotechnol. 2006, 16 (3), 349-354. [ Links ]

196. Aulestia-Viera, P. V.; Gontijo, S. M. L.; Gomes, A. D. M.; Sinisterra, R. D.; Rocha, R. G.; Cortés, M. E.; dos Santos, M. F.; Borsatti, M. A. Guaiacol/β-cyclodextrin for rapid healing of dry socket: antibacterial activity, cytotoxicity, and bone repair-an animal study. Oral Maxillofac. Surg. 2019, 23 (1), 53-61. DOI: https://doi.org/10.1007/s10006-019-00747-4. [ Links ]

197. Cooper, R. A. Inhibition of biofilms by glucose oxidase, lactoperoxidase and guaiacol: The active antibacterial component in an enzyme alginogel. Int. Wound J. 2013, 10 (6), 630-637. DOI: https://doi.org/10.1111/iwj.12083. [ Links ]

198. Mangal, S.; Chhibber, S.; Singh, V.; Harjai, K. Guaiacol augments quorum quenching potential of ciprofloxacin against Pseudomonas aeruginosa. J. Appl. Microbiol. 2022, 133 (4), 2235-2254. DOI: https://doi.org/10.1111/jam.15787. [ Links ]

199. Galvão, J. L. F. M.; Rosa, L. L. S.; Neto, H. D.; Silva, D. F.; Nóbrega, J. R.; Cordeiro, L. V.; de Figueiredo, P. T. R.; Andrade Júnior, F. P.; Filho, A. A. O.; Lima, E. O. Antibacterial effect of isoeugenol against Pseudomonas aeruginosa. Braz. J. Pharm. Sci. 2022, 58. DOI: https://doi.org/10.1590/s2175-97902022e20075. [ Links ]

200. Krogsgård Nielsen, C.; Kjems, J.; Mygind, T.; Snabe, T.; Schwarz, K.; Serfert, Y.; Meyer, R. L. Antimicrobial effect of emulsion-encapsulated isoeugenol against biofilms of food pathogens and spoilage bacteria. Int. J. Food Microbiol . 2017, 242, 7-12. DOI: https://doi.org/10.1016/j.ijfoodmicro.2016.11.002. [ Links ]

201. Nielsen, C. K.; Subbiahdoss, G.; Zeng, G.; Salmi, Z.; Kjems, J.; Mygind, T.; Snabe, T.; Meyer, R. L. Antibacterial isoeugenol coating on stainless steel and polyethylene surfaces prevents biofilm growth. J. Appl. Microbiol . 2018, 124 (1), 179-187. DOI: https://doi.org/10.1111/jam.13634. [ Links ]

202. Siva, S.; Li, C.; Cui, H.; Lin, L. Encompassment of isoeugenol in 2-hydroxypropyl-β-cyclodextrin using ultrasonication: Characterization, antioxidant and antibacterial activities. J. Mol. Liq. 2019, 296. DOI: https://doi.org/10.1016/j.molliq.2019.111777. [ Links ]

203. Ajiboye, T. O.; Habibu, R. S.; Saidu, K.; Haliru, F. Z.; Ajiboye, H. O.; Aliyu, N. O.; Ibitoye, O. B.; Uwazie, J. N.; Muritala, H. F.; Bello, S. A.; et al. Involvement of oxidative stress in protocatechuic acid-mediated bacterial lethality. Microbiol. Open 2017, 6 (4). DOI: https://doi.org/10.1002/mbo3.472. [ Links ]

204. Bernal-Mercado, A. T.; Vazquez-Armenta, F. J.; Tapia-Rodriguez, M. R.; Islas-Osuna, M. A.; Mata-Haro, V.; Gonzalez-Aguilar, G. A.; Lopez-Zavala, A. A.; Ayala-Zavala, J. F. Comparison of single and combined use of catechin, protocatechuic, and vanillic acids as antioxidant and antibacterial agents against uropathogenic Escherichia coli at planktonic and biofilm levels. Molecules 2018, 23 (11). DOI: https://doi.org/10.3390/molecules23112813. [ Links ]

205. Chao, C. Y.; Yin, M. C. Antibacterial effects of roselle calyx extracts and protocatechuic acid in ground beef and apple juice. Foodborne Pathog. Dis . 2009, 6 (2), 201-206. DOI: https://doi.org/10.1089/fpd.2008.0187. [ Links ]

206. Liu, K. S.; Tsao, S. M.; Yin, M. C. In vitro antibacterial activity of roselle calyx and protocatechuic acid. Phytother. Res. 2005, 19 (11), 942-945. DOI: https://doi.org/10.1002/ptr.1760. [ Links ]

207. Stojković, D. S.; Živković, J.; Soković, M.; Glamočlija, J.; Ferreira, I. C. F. R.; Janković, T.; Maksimović, Z. Antibacterial activity of Veronica montana L. extract and of protocatechuic acid incorporated in a food system. Food Chem. Toxicol. 2013, 55, 209-213. DOI: https://doi.org/10.1016/j.fct.2013.01.005. [ Links ]

208. Wu, M.; Tian, L.; Fu, J.; Liao, S.; Li, H.; Gai, Z.; Gong, G. Antibacterial mechanism of Protocatechuic acid against Yersinia enterocolitica and its application in pork. Food Control 2022, 133. DOI: https://doi.org/10.1016/j.foodcont.2021.108573. [ Links ]

209. Buathong, R.; Chamchumroon, V.; Schinnerl, J.; Bacher, M.; Santimaleeworagun, W.; Kraichak, E.; Vajrodaya, S. Chemovariation and antibacterial activity of extracts and isolated compounds from species of Ixora and Greenea (Ixoroideae, Rubiaceae). PeerJ 2019, 2019 (5). DOI: https://doi.org/10.7717/peerj.6893. [ Links ]

210. Napiroon, T.; Bacher, M.; Balslev, H.; Tawaitakham, K.; Santimaleeworagun, W.; Vajrodaya, S. Scopoletin from Lasianthus lucidus Blume (Rubiaceae): A potential antimicrobial against multidrug-resistant Pseudomonas aeruginosa. J. Appl. Pharm. Sci. 2018, 8 (9), 1-6. DOI: https://doi.org/10.7324/JAPS.2018.8901. [ Links ]

211. De La Cruz-Sánchez, N. G.; Gómez-Rivera, A.; Alvarez-Fitz, P.; Ventura-Zapata, E.; Pérez-García, M. D.; Avilés-Flores, M.; Gutiérrez-Román, A. S.; González-Cortazar, M. Antibacterial activity of Morinda citrifolia Linneo seeds against Methicillin-Resistant Staphylococcus spp. Microb. Pathog . 2019, 128, 347-353. DOI: https://doi.org/10.1016/j.micpath.2019.01.030. [ Links ]

212. Firmansyah, A.; Winingsih, W.; Manobi, J. D. Y. Review of scopoletin: Isolation, analysis process, and pharmacological activity. Biointerface Res. Appl. Chem. 2021, 11 (4), 12006-12019. DOI: https://doi.org/10.33263/BRIAC114.1200612019. [ Links ]

213. Mfonku, N. A.; Tadjong, A. T.; Kamsu, G. T.; Kodjio, N.; Ren, J.; Mbah, J. A.; Gatsing, D.; Zhan, J. Isolation and characterization of antisalmonellal anthraquinones and coumarins from Morinda lucida Benth. (Rubiaceae). Chem. Pap. 2021, 75 (5), 2067-2073. DOI: https://doi.org/10.1007/s11696-020-01460-3. [ Links ]

214. Naz, F.; Kumar, M.; Koley, T.; Sharma, P.; Haque, M. A.; Kapil, A.; Kumar, M.; Kaur, P.; Ethayathulla, A. S. Screening of plant-based natural compounds as an inhibitor of FtsZ from Salmonella Typhi using the computational, biochemical and in vitro cell-based studies. Int. J. Biol. Macromol. 2022, 219, 428-437. DOI: https://doi.org/10.1016/j.ijbiomac.2022.07.241. [ Links ]

215. Qian, W.; Fu, Y.; Liu, M.; Wang, T.; Zhang, J.; Yang, M.; Sun, Z.; Li, X.; Li, Y. In vitro antibacterial activity and mechanism of vanillic acid against carbapenem-resistant Enterobacter cloacae. Antibiotics 2019, 8 (4). DOI: https://doi.org/10.3390/antibiotics8040220. [ Links ]

216. Qian, W.; Yang, M.; Wang, T.; Sun, Z.; Liu, M.; Zhang, J.; Zeng, Q.; Cai, C.; Li, Y. Antibacterial Mechanism of Vanillic Acid on Physiological, Morphological, and Biofilm Properties of Carbapenem-Resistant Enterobacter hormaechei. J. Food Prot. 2020, 83 (4), 576-583. DOI: https://doi.org/10.4315/JFP-19-469. [ Links ]

217. Luo, Y.; Wang, C. Z.; Sawadogo, R.; Yuan, J.; Zeng, J.; Xu, M.; Tan, T.; Yuan, C. S. 4-Vinylguaiacol, an Active Metabolite of Ferulic Acid by Enteric Microbiota and Probiotics, Possesses Significant Activities against Drug-Resistant Human Colorectal Cancer Cells. ACS Omega 2021, 6 (7), 4551-4561. DOI: https://doi.org/10.1021/acsomega.0c04394. [ Links ]

218. Sudhagar, S.; Sathya, S.; Anuradha, R.; Gokulapriya, G.; Geetharani, Y.; Lakshmi, B. S. Inhibition of epidermal growth factor receptor by ferulic acid and 4-vinylguaiacol in human breast cancer cells. Biotechnol. Lett. 2018, 40 (2), 257-262. DOI: https://doi.org/10.1007/s10529-017-2475-2. [ Links ]

219. Cavin, C.; Holzhaeuser, D.; Scharf, G.; Constable, A.; Huber, W. W.; Schilter, B. Cafestol and kahweol, two coffee specific diterpenes with anticarcinogenic activity. Food Chem. Toxicol. 2002, 40 (8), 1155-1163. DOI: https://doi.org/10.1016/S0278-6915(02)00029-7. [ Links ]

220. Ren, Y.; Wang, C.; Xu, J.; Wang, S. Cafestol and kahweol: A review on their bioactivities and pharmacological properties. Int. J. Mol. Sci . 2019, 20 (17). DOI: https://doi.org/10.3390/ijms20174238. [ Links ]

221. Iwamoto, H.; Izumi, K.; Natsagdorj, A.; Naito, R.; Marino, T.; Kadomoto, S.; Hiratsuka, K.; Shigehara, K.; Radono, Y.; Mizorami, A.; et al. Coffee diterpenes, kahweol acetate and cafestol, synergistically induce apoptosis and inhibit the epithelial-mesenchymal transition of prostate cancer cells. Nishinihon J. Urol. 2019, 81 (3), 364-371. [ Links ]

222. Lee, K. A.; Chae, J. I.; Shim, J. H. Natural diterpenes from coffee, cafestol and kahweol induce apoptosis through regulation of specificity protein 1 expression in human malignant pleural mesothelioma. J. Biomed. Sci. 2012, 19 (1). DOI: https://doi.org/10.1186/1423-0127-19-60. [ Links ]

223. Bovilla, V.; Anantharaju, P.; Dornadula, S.; Veeresh, P.; Kuruburu, M.; Bettada, V.; Ramkumar, K.; Madhunapantula, S. Caffeic acid and protocatechuic acid modulate Nrf2 and inhibit Ehrlich ascites carcinomas in mice. Asian Pac. J. Trop. Biomed. 2021, 11 (6), 244-253. DOI: https://doi.org/10.4103/2221-1691.314045. [ Links ]

224. Brautigan, D. L.; Gielata, M.; Heo, J.; Kubicka, E.; Wilkins, L. R. Selective toxicity of caffeic acid in hepatocellular carcinoma cells. Biochem. Biophys. Res. Commun. 2018, 505 (2), 612-617. DOI: https://doi.org/10.1016/j.bbrc.2018.09.155. [ Links ]

225. Celińska-Janowicz, K.; Zarȩba, I.; Lazarek, U.; Teul, J.; Tomczyk, M.; Pałka, J.; Miltyk, W. Constituents of propolis: Chrysin, caffeic acid, p-coumaric acid, and ferulic acid induce PRODH/POX-dependent apoptosis in human tongue squamous cell carcinoma cell (CAL-27). Front. Pharmacol. 2018, 9 (APR). DOI: https://doi.org/10.3389/fphar.2018.00336. [ Links ]

226. Matejczyk, M.; Świsłocka, R.; Golonko, A.; Lewandowski, W.; Hawrylik, E. Cytotoxic, genotoxic and antimicrobial activity of caffeic and rosmarinic acids and their lithium, sodium and potassium salts as potential anticancer compounds. Adv. Med. Sci. 2018, 63 (1), 14-21. DOI: https://doi.org/10.1016/j.advms.2017.07.003. [ Links ]

227. Tyszka-Czochara, M.; Bukowska-Strakova, K.; Kocemba-Pilarczyk, K. A.; Majka, M. Caffeic acid targets AMPK signaling and regulates tricarboxylic acid cycle anaplerosis while metformin downregulates HIF-1α-induced glycolytic enzymes in human cervical squamous cell carcinoma lines. Nutrients 2018, 10 (7). DOI: https://doi.org/10.3390/nu10070841. [ Links ]

228. Tyszka-Czochara, M.; Konieczny, P.; Majka, M. Caffeic acid expands anti-tumor effect of metformin in human metastatic cervical carcinoma HTB-34 cells: Implications of AMPK activation and impairment of fatty acids de novo biosynthesis. Int. J. Mol. Sci . 2017, 18 (2). DOI: https://doi.org/10.3390/ijms18020462. [ Links ]

229. Chang, K. S.; Tsui, K. H.; Hsu, S. Y.; Sung, H. C.; Lin, Y. H.; Hou, C. P.; Yang, P. S.; Chen, C. L.; Feng, T. H.; Juang, H. H. The Antitumor Effect of Caffeic Acid Phenethyl Ester by Downregulating Mucosa-Associated Lymphoid Tissue 1 via AR/p53/NF-κB Signaling in Prostate Carcinoma Cells. Cancers (Basel) 2022, 14 (2). DOI: https://doi.org/10.3390/cancers14020274. [ Links ]

230. Hou, C. P.; Tsui, K. H.; Chang, K. S.; Sung, H. C.; Hsu, S. Y.; Lin, Y. H.; Yang, P. S.; Chen, C. L.; Feng, T. H.; Juang, H. H. Caffeic acid phenethyl ester inhibits the growth of bladder carcinoma cells by upregulating growth differentiation factor 15. Biomed. J. 2022, 45 (5), 763-775. DOI: https://doi.org/10.1016/j.bj.2021.10.006. [ Links ]

231. Kapare, H.; Nagaraj, S.; Wakalkar, S.; Rathi, K. Caffeic Acid Phenethyl Ester: A Potential Anticancer Bioactive Constituent of Propolis. Curr. Cancer Ther. Rev. 2022, 18 (3), 181-192. DOI: https://doi.org/10.2174/1573394718666220603103458. [ Links ]

232. Liang, Y.; Feng, G.; Wu, L.; Zhong, S.; Gao, X.; Tong, Y.; Cui, W.; Qin, Y.; Xu, W.; Xiao, X.; et al. Caffeic acid phenethyl ester suppressed growth and metastasis of nasopharyngeal carcinoma cells by inactivating the NF-κB pathway. Drug Des. Devel. Ther. 2019, 13, 1335-1345. DOI: https://doi.org/10.2147/DDDT.S199182. [ Links ]

233. Sung, H. C.; Chang, K. S.; Chen, S. T.; Hsu, S. Y.; Lin, Y. H.; Hou, C. P.; Feng, T. H.; Tsui, K. H.; Juang, H. H. Metallothionein 2A with Antioxidant and Antitumor Activity Is Upregulated by Caffeic Acid Phenethyl Ester in Human Bladder Carcinoma Cells. Antioxidants 2022, 11 (8). DOI: https://doi.org/10.3390/antiox11081509. [ Links ]

234. Lu, H.; Tian, Z.; Cui, Y.; Liu, Z.; Ma, X. Chlorogenic acid: A comprehensive review of the dietary sources, processing effects, bioavailability, beneficial properties, mechanisms of action, and future directions. Compr. Rev. Food Sci. Food Saf . 2020, 19 (6), 3130-3158. DOI: https://doi.org/10.1111/1541-4337.12620. [ Links ]

235. Abdullah, M. L.; Al-Shabanah, O.; Hassan, Z. K.; Hafez, M. M. Eugenol-induced autophagy and apoptosis in breast cancer cells via pi3k/akt/foxo3a pathway inhibition. Int. J. Mol. Sci . 2021, 22 (17). DOI: https://doi.org/10.3390/ijms22179243. [ Links ]

236. Abdullah, M. L.; Hafez, M. M.; Al-Hoshani, A.; Al-Shabanah, O. Anti-metastatic and anti-proliferative activity of eugenol against triple negative and HER2 positive breast cancer cells. BMC Complement. Altern. Med. 2018, 18 (1). DOI: https://doi.org/10.1186/s12906-018-2392-5. [ Links ]

237. Al-Kharashi, L. A.; Bakheet, T.; AlHarbi, W. A.; Al-Moghrabi, N.; Aboussekhra, A. Eugenol modulates genomic methylation and inactivates breast cancer-associated fibroblasts through E2F1-dependent downregulation of DNMT1/DNMT3A. Mol. Carcinog. 2021, 60 (11), 784-795. DOI: https://doi.org/10.1002/mc.23344. [ Links ]

238. Bezerra, D. P.; Militão, G. C. G.; De Morais, M. C.; De Sousa, D. P. The dual antioxidant/prooxidant effect of eugenol and its action in cancer development and treatment. Nutrients 2017, 9 (12). DOI: https://doi.org/10.3390/nu9121367. [ Links ]

239. Choudhury, P.; Barua, A.; Roy, A.; Pattanayak, R.; Bhattacharyya, M.; Saha, P. Eugenol restricts Cancer Stem Cell population by degradation of β-catenin via N-terminal Ser37 phosphorylation-an in vivo and in vitro experimental evaluation. Chem. Biol. Interact. 2020, 316. DOI: https://doi.org/10.1016/j.cbi.2020.108938. [ Links ]

240. Choudhury, P.; Barua, A.; Roy, A.; Pattanayak, R.; Bhattacharyya, M.; Saha, P. Eugenol emerges as an elixir by targeting β-catenin, the central cancer stem cell regulator in lung carcinogenesis: An: In vivo and in vitro rationale. Food Funct. 2021, 12 (3), 1063-1078. DOI: https://doi.org/10.1039/d0fo02105a. [ Links ]

241. Cui, Z.; Liu, Z.; Zeng, J.; Chen, L.; Wu, Q.; Mo, J.; Zhang, G.; Song, L.; Xu, W.; Zhang, S.; Guo, X. Eugenol inhibits non-small cell lung cancer by repressing expression of NF-κB-regulated TRIM59. Phytother. Res . 2019, 33 (5), 1562-1569. DOI: https://doi.org/10.1002/ptr.6352. [ Links ]

242. Das, A.; Harshadha, K.; Dhinesh Kannan, S. K.; Hari Raj, K.; Jayaprakash, B. Evaluation of therapeutic potential of Eugenol-A natural derivative of Syzygium aromaticum on cervical cancer. Asian Pac. J. Cancer Prev. 2018, 19 (7), 1977-1985. DOI: https://doi.org/10.22034/APJCP.2018.19.7.1977. [ Links ]

243. Fangjun, L.; Zhijia, Y. Tumor suppressive roles of eugenol in human lung cancer cells. Thorac. Cancer 2018, 9 (1), 25-29. DOI: https://doi.org/10.1111/1759-7714.12508. [ Links ]

244. Fouad, M. A.; Sayed-Ahmed, M. M.; Huwait, E. A.; Hafez, H. F.; Osman, A. M. M. Epigenetic immunomodulatory effect of eugenol and astaxanthin on doxorubicin cytotoxicity in hormonal positive breast Cancer cells. BMC Pharmacol. Toxicol. 2021, 22 (1). DOI: https://doi.org/10.1186/s40360-021-00473-2. [ Links ]

245. Ghodousi-Dehnavi, E.; Hosseini, R. H.; Arjmand, M.; Nasri, S.; Zamani, Z. A Metabolomic Investigation of Eugenol on Colorectal Cancer Cell Line HT-29 by Modifying the Expression of APC, p53, and KRAS Genes. Evid. Based Complement. Alternat. Med. 2021, 2021. DOI: https://doi.org/10.1155/2021/1448206. [ Links ]

246. Morsy, H. M.; Ahmed, O. M.; Zoheir, K. M. A.; Abdel-Moneim, A. The anticarcinogenic effect of eugenol on lung cancer induced by diethylnitrosamine/2-acetylaminofluorene in Wistar rats: insight on the mechanisms of action. Apoptosis 2023, 10.1007/s10495-023-01852-2. DOI: https://doi.org/10.1007/s10495-023-01852-2. [ Links ]

247. Padhy, I.; Paul, P.; Sharma, T.; Banerjee, S.; Mondal, A. Molecular Mechanisms of Action of Eugenol in Cancer: Recent Trends and Advancement. Life 2022, 12 (11). DOI: https://doi.org/10.3390/life12111795. [ Links ]

248. Permatasari, H. K.; Effendi, A. B.; Qhabibi, F. R.; Fawwaz, F.; Dominique, A. Eugenol isolated from Syzygium aromaticum inhibits HeLa cancer cell migration by altering epithelial-mesenchymal transition protein regulators. J. Appl. Pharm. Sci . 2021, 11 (5), 49-53. DOI: https://doi.org/10.7324/JAPS.2021.110507. [ Links ]

249. Ranjitkar, S.; Zhang, D.; Sun, F.; Salman, S.; He, W.; Venkitanarayanan, K.; Tulman, E. R.; Tian, X. Cytotoxic effects on cancerous and non-cancerous cells of trans-cinnamaldehyde, carvacrol, and eugenol. Sci. Rep. 2021, 11 (1). DOI: https://doi.org/10.1038/s41598-021-95394-9. [ Links ]

250. Shi, X.; Zhang, W.; Bao, X.; Liu, X.; Yang, M.; Yin, C. Eugenol modulates the NOD1-NF-κB signaling pathway via targeting NF-κB protein in triple-negative breast cancer cells. Front. Endocrinol. 2023, 14. DOI: https://doi.org/10.3389/fendo.2023.1136067. [ Links ]

251. Shirazi, P. T.; Farjadian, S.; Dabbaghmanesh, M. H.; Jonaidi, H.; Alavianmehr, A.; Kalani, M.; Emadi, L. Eugenol: A New Option in Combination Therapy with Sorafenib for the Treatment of Undifferentiated Thyroid Cancer. Iran. J. Allergy Asthma Immunol. 2022, 21 (3), 313-321. DOI: https://doi.org/10.18502/ijaai.v21i3.9804. [ Links ]

252. Kumar, N.; Kumar, S.; Abbat, S.; Nikhil, K.; Sondhi, S. M.; Bharatam, P. V.; Roy, P.; Pruthi, V. Ferulic acid amide derivatives as anticancer and antioxidant agents: synthesis, thermal, biological and computational studies. Med. Chem. Res. 2016, 25 (6), 1175-1192. DOI: https://doi.org/10.1007/s00044-016-1562-6. [ Links ]

253. Ani, G.; Tanya, T. Y.; Reneta, T. Antitumor and apoptogenic effects of ferulic acid on cervical carcinoma cells. Res. J. Biotechnol. 2021, 16 (4), 6-11. [ Links ]

254. Bakholdina, L. A.; Markova, A. A.; Khlebnikov, A. I.; Sevodin, V. P. Cytotoxicity of New Ferulic-Acid Derivatives on Human Colon Carcinoma (HCT116) Cells. Pharm. Chem. J. 2019, 53 (6), 516-520. DOI: https://doi.org/10.1007/s11094-019-02030-y. [ Links ]

255. Cao, Y.; Zhang, H.; Tang, J.; Wang, R. Ferulic Acid Mitigates Growth and Invasion of Esophageal Squamous Cell Carcinoma through Inducing Ferroptotic Cell Death. Dis. Markers 2022, 2022. DOI: https://doi.org/10.1155/2022/4607966. [ Links ]

256. Cui, K.; Wu, H.; Fan, J.; Zhang, L.; Li, H.; Guo, H.; Yang, R.; Li, Z. The Mixture of Ferulic Acid and P-Coumaric Acid Suppresses Colorectal Cancer through lncRNA 495810/PKM2 Mediated Aerobic Glycolysis. Int. J. Mol. Sci . 2022, 23 (20). DOI: https://doi.org/10.3390/ijms232012106. [ Links ]

257. Damasceno, S. S.; Dantas, B. B.; Ribeiro-Filho, J.; Araújo, D. A. M.; Da Costa, J. G. M. Chemical properties of caffeic and ferulic acids in biological system: Implications in cancer therapy. A review. Curr. Pharm. Des . 2017, 23 (20), 3015-3023. DOI: https://doi.org/10.2174/1381612822666161208145508. [ Links ]

258. Dodurga, Y.; Eroğlu, C.; Seçme, M.; Elmas, L.; Avcı, Ç. B.; Şatıroğlu-Tufan, N. L. Anti-proliferative and anti-invasive effects of ferulic acid in TT medullary thyroid cancer cells interacting with URG4/URGCP. Tumour Biol. 2016, 37 (2), 1933-1940. DOI: https://doi.org/10.1007/s13277-015-3984-z. [ Links ]

259. El-Gogary, R. I.; Nasr, M.; Rahsed, L. A.; Hamzawy, M. A. Ferulic acid nanocapsules as a promising treatment modality for colorectal cancer: Preparation and in vitro/in vivo appraisal. Life Sci. 2022, 298. DOI: https://doi.org/10.1016/j.lfs.2022.120500. [ Links ]

260. ElKhazendar, M.; Chalak, J.; El-Huneidi, W.; Vinod, A.; Abdel-Rahman, W. M.; Abu-Gharbieh, E. Antiproliferative and proapoptotic activities of ferulic acid in breast and liver cancer cell lines. Trop. J. Pharm. Res. 2019, 18 (12), 2571-2576. DOI: https://doi.org/10.4314/tjpr.v18i12.16. [ Links ]

261. Eroğlu, C.; Seçme, M.; Bağcı, G.; Dodurga, Y. Assessment of the anticancer mechanism of ferulic acid via cell cycle and apoptotic pathways in human prostate cancer cell lines. Tumour Biol . 2015, 36 (12), 9437-9446. DOI: https://doi.org/10.1007/s13277-015-3689-3. [ Links ]

262. Fahrioğlu, U.; Dodurga, Y.; Elmas, L.; Seçme, M. Ferulic acid decreases cell viability and colony formation while inhibiting migration of MIA PaCa-2 human pancreatic cancer cells in vitro. Gene 2016, 576 (1), 476-482. DOI: https://doi.org/10.1016/j.gene.2015.10.061. [ Links ]

263. Gao, J.; Yu, H.; Guo, W.; Kong, Y.; Gu; Li, Q.; Yang, S.; Zhang, Y.; Wang, Y. The anticancer effects of ferulic acid is associated with induction of cell cycle arrest and autophagy in cervical cancer cells. Cancer Cell Int. 2018, 18 (1). DOI: https://doi.org/10.1186/s12935-018-0595-y. [ Links ]

264. Gupta, A.; Singh, A. K.; Loka, M.; Pandey, A. K.; Bishayee, A. Ferulic acid-mediated modulation of apoptotic signaling pathways in cancer. Adv. Protein Chem. Struct. Biol. 2021, 125, 215-257. DOI: https://doi.org/10.1016/bs.apcsb.2020.12.005. [ Links ]

265. Luo, L.; Zhu, S.; Tong, Y.; Peng, S. Ferulic acid induces apoptosis of HeLa and caski cervical carcinoma cells by down-regulating the phosphatidylinositol 3-kinase (PI3K)/Akt signaling pathway. Med. Sci. Monit. 2020, 26. DOI: https://doi.org/10.12659/MSM.920095. [ Links ]

266. Zhang, X.; Lin, D.; Jiang, R.; Li, H.; Wan, J.; Li, H. Ferulic acid exerts antitumor activity and inhibits metastasis in breast cancer cells by regulating epithelial to mesenchymal transition. Oncol. Rep. 2016, 36 (1), 271-278. DOI: https://doi.org/10.3892/or.2016.4804. [ Links ]

277. Dajas, F. Life or death: Neuroprotective and anticancer effects of quercetin. J. Ethnopharmacol . 2012, 143 (2), 383-396. DOI: https://doi.org/10.1016/j.jep.2012.07.005. [ Links ]

268. Davoodvandi, A.; Shabani Varkani, M.; Clark, C. C. T.; Jafarnejad, S. Quercetin as an anticancer agent: Focus on esophageal cancer. J. Food Biochem. 2020, 44 (9). DOI: https://doi.org/10.1111/jfbc.13374. [ Links ]

269. Khan, F.; Niaz, K.; Maqbool, F.; Hassan, F. I.; Abdollahi, M.; Nagulapalli Venkata, K. C.; Nabavi, S. M.; Bishayee, A. Molecular targets underlying the anticancer effects of quercetin: An update. Nutrients 2016, 8 (9). DOI: https://doi.org/10.3390/nu8090529. [ Links ]

270. Kubina, R.; Iriti, M.; Kabała-Dzik, A. Anticancer potential of selected flavonols: Fisetin, kaempferol, and quercetin on head and neck cancers. Nutrients 2021, 13 (3), 1-20. DOI: https://doi.org/10.3390/nu13030845. [ Links ]

271. Rauf, A.; Imran, M.; Khan, I. A.; ur-Rehman, M.; Gilani, S. A.; Mehmood, Z.; Mubarak, M. S. Anticancer potential of quercetin: A comprehensive review. Phytother. Res . 2018, 32 (11), 2109-2130. DOI: https://doi.org/10.1002/ptr.6155. [ Links ]

272. Mei, S.; Ma, H.; Chen, X. Anticancer and anti-inflammatory properties of mangiferin: A review of its molecular mechanisms. Food Chem. Toxicol. 2021, 149. DOI: https://doi.org/10.1016/j.fct.2021.111997. [ Links ]

273. Acquaviva, R.; Tomasello, B.; Di Giacomo, C.; Santangelo, R.; Mantia, A. L.; Naletova, I.; Sarpietro, M. G.; Castelli, F.; Malfa, G. A. Protocatechuic acid, a simple plant secondary metabolite, induced apoptosis by promoting oxidative stress through ho-1 downregulation and p21 upregulation in colon cancer cells. Biomolecules 2021, 11 (10). DOI: https://doi.org/10.3390/biom11101485. [ Links ]

274. Lin, H. H.; Chen, J. H.; Chou, F. P.; Wang, C. J. Protocatechuic acid inhibits cancer cell metastasis involving the down-regulation of Ras/Akt/NF-κB pathway and MMP-2 production by targeting RhoB activation. Br. J. Pharmacol. 2011, 162 (1), 237-254. DOI: https://doi.org/10.1111/j.1476-5381.2010.01022.x. [ Links ]

275. Peiffer, D. S.; Zimmerman, N. P.; Wang, L. S.; Ransom, B. W. S.; Carmella, S. G.; Kuo, C. T.; Siddiqui, J.; Chen, J. H.; Oshima, K.; Huang, Y. W.; et al. Chemoprevention of esophageal cancer with black raspberries, their component anthocyanins, and a major anthocyanin metabolite, protocatechuic acid. Cancer Prev. Res. 2014, 7 (6), 574-584. DOI: https://doi.org/10.1158/1940-6207.CAPR-14-0003. [ Links ]

276. Tanaka, T.; Tanaka, T.; Tanaka, M. Potential Cancer Chemopreventive Activity of Protocatechuic Acid. J. Exp. Clin. Med. 2011, 3 (1), 27-33. DOI: https://doi.org/10.1016/j.jecm.2010.12.005. [ Links ]

277. Tsao, S. M.; Hsia, T. C.; Yin, M. C. Protocatechuic acid inhibits lung cancer cells by modulating FAK, MAPK, and NF- B pathways. Nutr. Cancer 2014, 66 (8), 1331-1341. DOI: https://doi.org/10.1080/01635581.2014.956259. [ Links ]

278. Xie, Z.; Guo, Z.; Wang, Y.; Lei, J.; Yu, J. Protocatechuic acid inhibits the growth of ovarian cancer cells by inducing apoptosis and autophagy. Phytother. Res . 2018, 32 (11), 2256-2263. DOI: https://doi.org/10.1002/ptr.6163. [ Links ]

279. Yin, M. C.; Lin, C. C.; Wu, H. C.; Tsao, S. M.; Hsu, C. K. Apoptotic effects of protocatechuic acid in human breast, lung, liver, cervix, and prostate cancer cells: Potential mechanisms of action. J. Agric. Food Chem . 2009, 57 (14), 6468-6473. DOI: https://doi.org/10.1021/jf9004466. [ Links ]

280. Baer-Dubowska, W.; Szaefer, H.; Majchrzak-Celińska, A.; Krajka-Kuźniak, V. Tannic Acid: Specific Form of Tannins in Cancer Chemoprevention and Therapy-Old and New Applications. Curr. Pharmacol. Rep. 2020, 6 (2), 28-37. DOI: https://doi.org/10.1007/s40495-020-00211-y. [ Links ]

281. Bona, N. P.; Pedra, N. S.; Azambuja, J. H.; Soares, M. S. P.; Spohr, L.; Gelsleichter, N. E.; de M. Meine, B.; Sekine, F. G.; Mendonça, L. T.; de Oliveira, F. H.; et al. Tannic acid elicits selective antitumoral activity in vitro and inhibits cancer cell growth in a preclinical model of glioblastoma multiforme. Metab. Brain Dis . 2020, 35 (2), 283-293. DOI: https://doi.org/10.1007/s11011-019-00519-9. [ Links ]

282. Chariyarangsitham, W.; Krungchanuchat, S.; Khuemjun, P.; Pilapong, C. Effect of advanced oxidation and amino acid addition on antioxidant capability, iron chelating property and anti-cancer activity of tannic acid. Arab. J. Chem. 2021, 14 (9). DOI: https://doi.org/10.1016/j.arabjc.2021.103312. [ Links ]

283. Chen, M. C.; Annseles Rajula, S.; Bharath Kumar, V.; Hsu, C. H.; Day, C. H.; Chen, R. J.; Wang, T. F.; Viswanadha, V. P.; Li, C. C.; Huang, C. Y. Tannic acid attenuate AKT phosphorylation to inhibit UMUC3 bladder cancer cell proliferation. Mol. Cell. Biochem. 2022, 477 (12), 2863-2869. DOI: https://doi.org/10.1007/s11010-022-04454-9. [ Links ]

284. Hatami, E.; B Nagesh, P. K.; Sikander, M.; Dhasmana, A.; Chauhan, S. C.; Jaggi, M.; Yallapu, M. M. Tannic Acid Exhibits Antiangiogenesis Activity in Nonsmall-Cell Lung Cancer Cells. ACS Omega 2022, 7 (27), 23939-23949. DOI: https://doi.org/10.1021/acsomega.2c02727. [ Links ]

285. Nagesh, P. K. B.; Chowdhury, P.; Hatami, E.; Jain, S.; Dan, N.; Kashyap, V. K.; Chauhan, S. C.; Jaggi, M.; Yallapu, M. M. Tannic acid inhibits lipid metabolism and induce ROS in prostate cancer cells. Sci. Rep . 2020, 10 (1). DOI: https://doi.org/10.1038/s41598-020-57932-9. [ Links ]

286. Nagesh, P. K. B.; Hatami, E.; Chowdhury, P.; Kashyap, V. K.; Khan, S.; Hafeez, B. B.; Chauhan, S. C.; Jaggi, M.; Yallapu, M. M. Tannic acid induces endoplasmic reticulum stress-mediated apoptosis in prostate cancer. Cancers (Basel) 2018, 10 (3). DOI: https://doi.org/10.3390/cancers10030068. [ Links ]

287. Sp, N.; Kang, D. Y.; Kim, D. H.; Yoo, J. S.; Jo, E. S.; Rugamba, A.; Jang, K. J.; Yang, Y. M. Tannic acid inhibits Non-small Cell Lung Cancer (NSCLC) stemness by inducing G0/G1 Cell cycle arrest and intrinsic apoptosis. Anticancer Res. 2020, 40 (6), 3209-3220. DOI: https://doi.org/10.2196/10.21873/anticanres.14302. [ Links ]

288. Yang, P.; Ding, G. B.; Liu, W.; Fu, R.; Sajid, A.; Li, Z. Tannic acid directly targets pyruvate kinase isoenzyme M2 to attenuate colon cancer cell proliferation. Food Funct . 2018, 9 (11), 5547-5559. DOI: https://doi.org/10.1039/c8fo01161c. [ Links ]

289. Youness, R. A.; Kamel, R.; Elkasabgy, N. A.; Shao, P.; Farag, M. A. Recent advances in tannic acid (gallotannin) anticancer activities and drug delivery systems for efficacy improvement; a comprehensive review. Molecules 2021, 25 (6). DOI: https://doi.org/10.3390/molecules26051486. [ Links ]

290. Cadoná, F. C.; Dantas, R. F.; de Mello, G. H.; Silva-Jr, F. P. Natural products targeting into cancer hallmarks: An update on caffeine, theobromine, and (+)-catechin. Crit. Rev. Food Sci. Nutr . 2022, 62 (26), 7222-7241. DOI: https://doi.org/10.1080/10408398.2021.1913091. [ Links ]

291. Shojaei-Zarghani, S.; Rafraf, M.; Yari Khosroushahi, A.; Sheikh-Najafi, S. Effectiveness of theobromine on inhibition of 1,2-dimethylhydrazine-induced rat colon cancer by suppression of the Akt/GSK3β/β-catenin signaling pathway. J. Funct. Foods 2020, 75. DOI: https://doi.org/10.1016/j.jff.2020.104293. [ Links ]

292. Shojaei-Zarghani, S.; Yari Khosroushahi, A.; Rafraf, M. Oncopreventive effects of theanine and theobromine on dimethylhydrazine-induced colon cancer model. Biomed. Pharmacother . 2021, 134. DOI: https://doi.org/10.1016/j.biopha.2020.111140. [ Links ]

293. De Souza Rosa, L.; Jordão, N. A.; Da Costa Pereira Soares, N.; De Mesquita, J. F.; Monteiro, M.; Teodoro, A. J. Pharmacokinetic, antiproliferative and apoptotic effects of phenolic acids in human colon adenocarcinoma cells using in vitro and in silico approaches. Molecules 2018, 23 (10). DOI: https://doi.org/10.3390/molecules23102569. [ Links ]

294. Gong, J.; Zhou, S.; Yang, S. Vanillic acid suppresses HIF-1α expression via inhibition of mTOR/p70S6K/4E-BP1 and Raf/MEK/ERK pathways in human colon cancer HCT116 cells. Int. J. Mol. Sci . 2019, 20 (3). DOI: https://doi.org/10.3390/ijms20030465. [ Links ]

295. Velli, S. K.; Sundaram, J.; Murugan, M.; Balaraman, G.; Thiruvengadam, D. Protective effect of vanillic acid against benzo(a)pyrene induced lung cancer in Swiss albino mice. J. Biochem. Mol. Toxicol. 2019, 33 (10). DOI: https://doi.org/10.1002/jbt.22382. [ Links ]

296. Wang, M.; Qi, Y.; Sun, Y. Exploring the Antitumor Mechanisms of Zingiberis Rhizoma Combined with Coptidis Rhizoma Using a Network Pharmacology Approach. Biomed Res. Int. 2020, 2020. DOI: https://doi.org/10.1155/2020/8887982. [ Links ]

297. Zhu, M.; Tang, X.; Zhu, Z.; Gong, Z.; Tang, W.; Hu, Y.; Cheng, C.; Wang, H.; Sarwar, A.; Chen, Y.; et al. STING activation in macrophages by vanillic acid exhibits antineoplastic potential. Biochem. Pharmacol. 2023, 213. DOI: https://doi.org/10.1016/j.bcp.2023.115618. [ Links ]

298. Bezerra, D. P.; Soares, A. K. N.; De Sousa, D. P. Overview of the role of vanillin on redox status and cancer development. Oxidative Med. Cell. Longev . 2016, 2016. DOI: https://doi.org/10.1155/2016/9734816. [ Links ]

299. Ho, K.; Yazan, L. S.; Ismail, N.; Ismail, M. Apoptosis and cell cycle arrest of human colorectal cancer cell line HT-29 induced by vanillin. Cancer Epidemiol. 2009, 33 (2), 155-160. DOI: https://doi.org/10.1016/j.canep.2009.06.003. [ Links ]

300. Li, J. M.; Lee, Y. C.; Li, C. C.; Lo, H. Y.; Chen, F. Y.; Chen, Y. S.; Hsiang, C. Y.; Ho, T. Y. Vanillin-Ameliorated Development of Azoxymethane/Dextran Sodium Sulfate-Induced Murine Colorectal Cancer: The Involvement of Proteasome/Nuclear Factor-κB/Mitogen-Activated Protein Kinase Pathways. J. Agric. Food Chem . 2018, 66 (22), 5563-5573. DOI: https://doi.org/10.1021/acs.jafc.8b01582. [ Links ]

301. Lirdprapamongkol, K.; Kramb, J. P.; Suthiphongchai, T.; Surarit, R.; Srisomsap, C.; Dannhardt, G.; Svasti, J. Vanillin suppresses metastatic potential of human cancer cells through PI3K inhibition and decreases angiogenesis in Vivo. J. Agric. Food Chem . 2009, 57 (8), 3055-3063. DOI: https://doi.org/10.1021/jf803366f. [ Links ]

302. Lirdprapamongkol, K.; Sakurai, H.; Kawasaki, N.; Choo, M. K.; Saitoh, Y.; Aozuka, Y.; Singhirunnusorn, P.; Ruchirawat, S.; Svasti, J.; Saiki, I. Vanillin suppresses in vitro invasion and in vivo metastasis of mouse breast cancer cells. Eur. J. Pharm. Sci. 2005, 25 (1), 57-65. DOI: https://doi.org/10.1016/j.ejps.2005.01.015. [ Links ]

303. Naz, H.; Tarique, M.; Khan, P.; Luqman, S.; Ahamad, S.; Islam, A.; Ahmad, F.; Hassan, M. I. Evidence of vanillin binding to CAMKIV explains the anti-cancer mechanism in human hepatic carcinoma and neuroblastoma cells. Mol. Cell. Biochem . 2018, 438 (1-2), 35-45. DOI: https://doi.org/10.1007/s11010-017-3111-0. [ Links ]

304. Ramadoss, D. P.; Sivalingam, N. Vanillin extracted from Proso and Barnyard millets induce apoptotic cell death in HT-29 human colon cancer cell line. Nutr. Cancer 2020, 72 (8), 1422-1437. DOI: https://doi.org/10.1080/01635581.2019.1672763. [ Links ]

305. Srinual, S.; Chanvorachote, P.; Pongrakhananon, V. Suppression of cancer stem-like phenotypes in NCI-H460 lung cancer cells by vanillin through an Akt-dependent pathway. Int. J. Oncol. 2017, 50 (4), 1341-1351. DOI: https://doi.org/10.3892/ijo.2017.3879. [ Links ]

306. Yousuf, M.; Shamsi, A.; Queen, A.; Shahbaaz, M.; Khan, P.; Hussain, A.; Alajmi, M. F.; Rizwanul Haque, Q. M.; Imtaiyaz Hassan, M. Targeting cyclin-dependent kinase 6 by vanillin inhibits proliferation of breast and lung cancer cells: Combined computational and biochemical studies. J. Cell. Biochem . 2021, 122 (8), 897-910. DOI: https://doi.org/10.1002/jcb.29921. [ Links ]

307. Liu, J. C.; Chen, P. Y.; Hao, W. R.; Liu, Y. C.; Lyu, P. C.; Hong, H. J. Cafestol Inhibits High-Glucose-Induced Cardiac Fibrosis in Cardiac Fibroblasts and Type 1-Like Diabetic Rats. Evid. Based Complement. Alternat. Med . 2020, 2020. DOI: https://doi.org/10.1155/2020/4503747. [ Links ]

308. Mellbye, F. B.; Jeppesen, P. B.; Shokouh, P.; Laustsen, C.; Hermansen, K.; Gregersen, S. Cafestol, a Bioactive Substance in Coffee, Has Antidiabetic Properties in KKAy Mice. J. Nat. Prod. 2017, 80 (8), 2353-2359. DOI: https://doi.org/10.1021/acs.jnatprod.7b00395. [ Links ]

309. Oboh, G.; Agunloye, O. M.; Adefegha, S. A.; Akinyemi, A. J.; Ademiluyi, A. O. Caffeic and chlorogenic acids inhibit key enzymes linked to type 2 diabetes (in vitro): A comparative study. J. Basic Clin. Physiol. Pharmacol. 2015, 26 (2), 165-170. DOI: https://doi.org/10.1515/jbcpp-2013-0141. [ Links ]

310. Chao, C. Y.; Mong, M. C.; Chan, K. C.; Yin, M. C. Anti-glycative and anti-inflammatory effects of caffeic acid and ellagic acid in kidney of diabetic mice. Mol. Nutr. Food Res . 2010, 54 (3), 388-395. DOI: https://doi.org/10.1002/mnfr.200900087. [ Links ]

311. Oršolić, N.; Sirovina, D.; Odeh, D.; Gajski, G.; Balta, V.; Šver, L.; Jembrek, M. J. Efficacy of Caffeic acid on diabetes and its complications in the mouse. Molecules 2021, 26 (11). DOI: https://doi.org/10.3390/molecules26113262. [ Links ]

312. Xu, W.; Luo, Q.; Wen, X.; Xiao, M.; Mei, Q. Antioxidant and anti-diabetic effects of caffeic acid in a rat model of diabetes. Trop. J. Pharm. Res . 2020, 19 (6), 1227-1232. DOI: https://doi.org/10.4314/tjpr.v19i6.17. [ Links ]

313. Yusuf, M.; Nasiruddin, M.; Sultana, N.; Badruddeen; Akhtar, J.; Khan, M. I.; Ahmad, M. Regulatory mechanism of caffeic acid on glucose metabolism in diabetes. Res. J. Pharm. Technol. 2019, 12 (10), 4735-4740. DOI: https://doi.org/10.5958/0974-360X.2019.00816.3. [ Links ]

314. Ontawong, A.; Duangjai, A.; Muanprasat, C.; Pasachan, T.; Pongchaidecha, A.; Amornlerdpison, D.; Srimaroeng, C. Lipid-lowering effects of Coffea arabica pulp aqueous extract in Caco-2 cells and hypercholesterolemic rats. Phytomedicine 2019, 52, 187-197. DOI: https://doi.org/10.1016/j.phymed.2018.06.021. [ Links ]

315. Pimpley, V.; Patil, S.; Srinivasan, K.; Desai, N.; Murthy, P. S. The chemistry of chlorogenic acid from green coffee and its role in attenuation of obesity and diabetes. Prep. Biochem. Biotechnol. 2020, 50 (10), 969-978. DOI: https://doi.org/10.1080/10826068.2020.1786699. [ Links ]

316. Bagdas, D.; Etoz, B. C.; Gul, Z.; Ziyanok, S.; Inan, S.; Turacozen, O.; Gul, N. Y.; Topal, A.; Cinkilic, N.; Tas, S.; et al. In vivo systemic chlorogenic acid therapy under diabetic conditions: Wound healing effects and cytotoxicity/genotoxicity profile. Food Chem. Toxicol. 2015, 81, 54-61. DOI: https://doi.org/10.1016/j.fct.2015.04.001. [ Links ]

317. Jin, S.; Chang, C.; Zhang, L.; Liu, Y.; Huang, X.; Chen, Z. Chlorogenic acid improves late diabetes through adiponectin receptor signaling pathways in db/db mice. PLoS One 2015, 10 (4). DOI: https://doi.org/10.1371/journal.pone.0120842. [ Links ]

318. Williamson, G. Protection against developing type 2 diabetes by coffee consumption: Assessment of the role of chlorogenic acid and metabolites on glycaemic responses. Food Funct . 2020, 11 (6), 4826-4833. DOI: https://doi.org/10.1039/d0fo01168a. [ Links ]

319. Yan, Y.; Li, Q.; Shen, L.; Guo, K.; Zhou, X. Chlorogenic acid improves glucose tolerance, lipid metabolism, inflammation and microbiota composition in diabetic db/db mice. Front. Endocrinol . 2022, 13. DOI: https://doi.org/10.3389/fendo.2022.1042044. [ Links ]

320. Yan, Y.; Zhou, X.; Guo, K.; Zhou, F.; Yang, H. Use of Chlorogenic Acid against Diabetes Mellitus and Its Complications. J. Immunol. Res. 2020, 2020. DOI: https://doi.org/10.1155/2020/9680508. [ Links ]

321. Topal, F. Anticholinergic and antidiabetic effects of isoeugenol from clove (Eugenia caryophylata) oil. Int. J. Food Prop. 2019, 22 (1), 583-592. DOI: https://doi.org/10.1080/10942912.2019.1597882. [ Links ]

322. Park, J. E.; Kim, S. Y.; Han, J. S. Scopoletin stimulates the secretion of insulin via a KATP channel-dependent pathway in INS-1 pancreatic β cells. J. Pharm. Pharmacol. 2022, 74 (9), 1274-1281. DOI: https://doi.org/10.1093/jpp/rgab143. [ Links ]

323. Jang, J. H.; Park, J. E.; Han, J. S. Scopoletin inhibits α-glucosidase in vitro and alleviates postprandial hyperglycemia in mice with diabetes. Eur. J. Pharmacol. 2018, 834, 152-156. DOI: https://doi.org/10.1016/j.ejphar.2018.07.032. [ Links ]

324. Batra, G. K.; Anand, A.; Sharma, S.; Sharma, S.; Bhansali, S.; Patil, A. N. Scopoletin Improves Glucose Homeostasis in the High-Fructose High-Fat Diet-Induced Diabetes Model in Wistar Rats. J. Med. Food 2023, 26 (4), 270-274. DOI: https://doi.org/10.1089/jmf.2022.K.0153. [ Links ]

325. Liang, Y.; Zeng, X.; Guo, J.; Liu, H.; He, B.; Lai, R.; Zhu, Q.; Zheng, Z. Scopoletin and umbelliferone from Cortex Mori as protective agents in high glucose-induced mesangial cell as in vitro model of diabetic glomerulosclerosis. Chin. J. Physiol. 2021, 64 (3), 150-158. DOI: https://doi.org/10.4103/cjp.cjp_9_21. [ Links ]

326. Verma, A.; Dewangan, P.; Kesharwani, D.; Kela, S. P. Hypoglycemic and hypolipidemic activity of scopoletin (coumarin derivative) in streptozotocin induced diabetic rats. Int. J. Pharm. Sci. Rev. Res. 2013, 22 (1), 79-83. [ Links ]

327. Duangjai, A.; Nuengchamnong, N.; Suphrom, N.; Trisat, K.; Limpeanchob, N.; Saokaew, S. Potential of coffee fruit extract and quinic acid on adipogenesis and lipolysis in 3T3-L1 adipocytes. Kobe J. Med. Sci. 2018, 64 (3), E84-E92. [ Links ]

328. AlEraky, D. M.; Abuohashish, H. M.; Gad, M. M.; Alshuyukh, M. H.; Bugshan, A. S.; Almulhim, K. S.; Mahmoud, M. M. The Antifungal and Antibiofilm Activities of Caffeine against Candida albicans on Polymethyl Methacrylate Denture Base Material. Biomedicines 2022, 10 (9). DOI: https://doi.org/10.3390/biomedicines10092078. [ Links ]

329. Saracino, I. M.; Foschi, C.; Pavoni, M.; Spigarelli, R.; Valerii, M. C.; Spisni, E. Antifungal Activity of Natural Compounds vs. Candida spp.: A Mixture of Cinnamaldehyde and Eugenol Shows Promising In Vitro Results. Antibiotics 2022, 11 (1). DOI: https://doi.org/10.3390/antibiotics11010073. [ Links ]

330. Biernasiuk, A.; Baj, T.; Malm, A. Clove Essential Oil and Its Main Constituent, Eugenol, as Potential Natural Antifungals against Candida spp. Alone or in Combination with Other Antimycotics Due to Synergistic Interactions. Molecules 2023, 28 (1). DOI: https://doi.org/10.3390/molecules28010215. [ Links ]

331. Cai, R.; Hu, M.; Zhang, Y.; Niu, C.; Yue, T.; Yuan, Y.; Wang, Z. Antifungal activity and mechanism of citral, limonene and eugenol against Zygosaccharomyces rouxii. LWT 2019, 106, 50-56. DOI: https://doi.org/10.1016/j.lwt.2019.02.059. [ Links ]

332. Gupta, P.; Mishra, P.; Mehra, L.; Rastogi, K.; Prasad, R.; Mittal, G.; Poluri, K. M. Eugenol-acacia gum-based bifunctional nanofibers as a potent antifungal transdermal substitute. Nanomedicine 2021, 16 (25), 2269-2289. DOI: https://doi.org/10.2217/nnm-2021-0274. [ Links ]

333. Hassanpour, P.; Shams-Ghahfarokhi, M.; Razzaghi-Abyaneh, M. Antifungal activity of eugenol on Cryptococcus neoformans biological activity and Cxt1p gene expression. Curr. Med. Mycol. 2020, 6 (1), 9-14. DOI: https://doi.org/10.18502/CMM.6.1.2502. [ Links ]

334. Zhao, Y.; Wang, Q.; Wu, X.; Jiang, M.; Jin, H.; Tao, K.; Hou, T. Unraveling the polypharmacology of a natural antifungal product, eugenol, against Rhizoctonia solani. Pest Manag. Sci. 2021, 77 (7), 3469-3483. DOI: https://doi.org/10.1002/ps.6400. [ Links ]

335. Goswami, L.; Gupta, L.; Paul, S.; Vermani, M.; Vijayaraghavan, P.; Bhattacharya, A. K. Design and synthesis of eugenol/isoeugenol glycoconjugates and other analogues as antifungal agents against Aspergillus fumigatus. RSC Med. Chem. 2022, 13 (8), 955-962. DOI: https://doi.org/10.1039/d2md00138a. [ Links ]

336. Pinheiro, L. S.; Sousa, J. P.; Barreto, N. A.; Lima, A. L. A.; Dantas, T. B.; Pérez, A. L. A. L.; Menezes, C. P.; Abrantes, J. P.; Filho, A. A. O.; Lima, E. O. Investigation of antifungal activity and mode of action of isoeugenol against strains of Cryptococcus neoformans. Lat. Am. J. Pharm. 2017, 36 (11), 2220-2225. [ Links ]

337. Cui, W.; Du, K. Y.; Ling, Y. X.; Yang, C. J. Activity of eugenol derivatives against Fusarium graminearum Q1 strain and screening of isoeugenol mixtures. J. Plant Pathol. 2021, 103 (3), 915-921. DOI: https://doi.org/10.1007/s42161-021-00875-5. [ Links ]

338. Medeiros, D.; Oliveira-Júnior, J.; Nóbrega, J.; Cordeiro, L.; Jardim, J.; Souza, H.; Silva, G.; Athayde-Filho, P.; Barbosa-Filho, J.; Scotti, L.; Lima, E. Isoeugenol and hybrid acetamides against candida albicans isolated from the oral cavity. Pharmaceuticals 2020, 13 (10), 1-13. DOI: https://doi.org/10.3390/ph13100291. [ Links ]

339. Fitzgerald, D. J.; Stratford, M.; Gasson, M. J.; Narbad, A. Structure-function analysis of the vanillin molecule and its antifungal properties. J. Agric. Food Chem . 2005, 53 (5), 1769-1775. DOI: https://doi.org/10.1021/jf048575t. [ Links ]

340. Li, Q.; Zhu, X.; Xie, Y.; Zhong, Y. o-Vanillin, a promising antifungal agent, inhibits Aspergillus flavus by disrupting the integrity of cell walls and cell membranes. Appl. Microbiol. Biotechnol. 2021, 105 (12), 5147-5158. DOI: https://doi.org/10.1007/s00253-021-11371-2. [ Links ]

341. Li, Q.; Zhu, X.; Zhao, Y.; Xie, Y. The antifungal activity of o-vanillin against Aspergillus flavus via disrupting ergosterol biosynthesis and promoting oxidative stress, and an RNA-seq analysis thereof. LWT 2022, 164. DOI: https://doi.org/10.1016/j.lwt.2022.113635. [ Links ]

342. Weng, W. T.; Kuo, P. C.; Brown, D. A.; Scofield, B. A.; Furnas, D.; Paraiso, H. C.; Wang, P. Y.; Yu, I. C.; Yen, J. H. 4-Ethylguaiacol modulates neuroinflammation and Th1/Th17 differentiation to ameliorate disease severity in experimental autoimmune encephalomyelitis. J. Neuroinflammation 2021, 18 (1). DOI: https://doi.org/10.1186/s12974-021-02143-w. [ Links ]

343. Weng, W. T.; Kuo, P. C.; Scofield, B. A.; Paraiso, H. C.; Brown, D. A.; Yu, I. C.; Yen, J. H. 4-Ethylguaiacol Modulates Neuroinflammation and Promotes Heme Oxygenase-1 Expression to Ameliorate Brain Injury in Ischemic Stroke. Front. Immunol. 2022, 13. DOI: https://doi.org/10.3389/fimmu.2022.887000. [ Links ]

344. Zhao, D. R.; Jiang, Y. S.; Sun, J. Y.; Li, H. H.; Luo, X. L.; Zhao, M. M. Anti-inflammatory Mechanism Involved in 4-Ethylguaiacol-Mediated Inhibition of LPS-Induced Inflammation in THP-1 Cells. J. Agric. Food Chem . 2019, 67 (4), 1230-1243. DOI: https://doi.org/10.1021/acs.jafc.8b06263. [ Links ]

345. Rahimi, M. R.; Semenova, E. A.; Larin, A. K.; Kulemin, N. A.; Generozov, E. V.; Łubkowska, B.; Ahmetov, I. I.; Golpasandi, H. The ADORA2A TT Genotype Is Associated with Anti-Inflammatory Effects of Caffeine in Response to Resistance Exercise and Habitual Coffee Intake. Nutrients 2023, 15 (7). DOI: https://doi.org/10.3390/nu15071634. [ Links ]

346. Mei, S.; Chen, X. Combination of HPLC-orbitrap-MS/MS and network pharmacology to identify the anti-inflammatory phytochemicals in the coffee leaf extracts. Food Front. 2023, 10.1002/fft2.248. DOI: https://doi.org/10.1002/fft2.248. [ Links ]

347. Lu, R.; Wang, Y. G.; Qu, Y.; Wang, S. X.; Peng, C.; You, H.; Zhu, W.; Chen, A. Dihydrocaffeic acid improves IL-1β-induced inflammation and cartilage degradation via inhibiting NF-κB and MAPK signalling pathways. Bone Joint Res. 2023, 12 (4), 259-273. DOI: https://doi.org/10.1302/2046-3758.124.BJR-2022-0384.R1. [ Links ]

348. Mateen, S.; Rehman, M. T.; Shahzad, S.; Naeem, S. S.; Faizy, A. F.; Khan, A. Q.; Khan, M. S.; Husain, F. M.; Moin, S. Anti-oxidant and anti-inflammatory effects of cinnamaldehyde and eugenol on mononuclear cells of rheumatoid arthritis patients. Eur. J. Pharmacol . 2019, 852, 14-24. DOI: https://doi.org/10.1016/j.ejphar.2019.02.031. [ Links ]

349. Barboza, J. N.; da Silva Maia Bezerra Filho, C.; Silva, R. O.; Medeiros, J. V. R.; de Sousa, D. P. An overview on the anti-inflammatory potential and antioxidant profile of eugenol. Oxidative Med. Cell. Longev . 2018, 2018. DOI: https://doi.org/10.1155/2018/3957262. [ Links ]

350. De Araújo Lopes, A.; Da Fonseca, F. N.; Rocha, T. M.; De Freitas, L. B.; Araújo, E. V. O.; Wong, D. V. T.; Júnior, R. C. P. L.; Leal, L. K. A. M. Eugenol as a promising molecule for the treatment of dermatitis: Antioxidant and anti-inflammatory activities and its nanoformulation. Oxidative Med. Cell. Longev . 2018, 2018. DOI: https://doi.org/10.1155/2018/8194849. [ Links ]

351. El-kady, A. M.; Ahmad, A. A.; Hassan, T. M.; El-Deek, H. E. M.; Fouad, S. S.; Althagfan, S. S. Eugenol, a potential schistosomicidal agent with anti-inflammatory and antifibrotic effects against Schistosoma mansoni, induced liver pathology. Infect. Drug Resist. 2019, 12, 709-719. DOI: https://doi.org/10.2147/IDR.S196544. [ Links ]

352. Esmaeili, F.; Rajabnejhad, S.; Partoazar, A. R.; Mehr, S. E.; Faridi-Majidi, R.; Sahebgharani, M.; Syedmoradi, L.; Rajabnejhad, M. R.; Amani, A. Anti-inflammatory effects of eugenol nanoemulsion as a topical delivery system. Pharm. Dev. Technol. 2016, 21 (7), 887-893. DOI: https://doi.org/10.3109/10837450.2015.1078353. [ Links ]

353. Huang, X.; Liu, Y.; Lu, Y.; Ma, C. Anti-inflammatory effects of eugenol on lipopolysaccharide-induced inflammatory reaction in acute lung injury via regulating inflammation and redox status. Int. Immunopharmacol. 2015, 26 (1), 265-271. DOI: https://doi.org/10.1016/j.intimp.2015.03.026. [ Links ]

354. Mir, S. M.; Ravuri, H. G.; Pradhan, R. K.; Narra, S.; Kumar, J. M.; Kuncha, M.; Kanjilal, S.; Sistla, R. Ferulic acid protects lipopolysaccharide-induced acute kidney injury by suppressing inflammatory events and upregulating antioxidant defenses in Balb/c mice. Biomed. Pharmacother . 2018, 100, 304-315. DOI: https://doi.org/10.1016/j.biopha.2018.01.169. [ Links ]

355. Yin, Z. N.; Wu, W. J.; Sun, C. Z.; Liu, H. F.; Chen, W. B.; Zhan, Q. P.; Lei, Z. G.; Xin, X.; Ma, J. J.; Yao, K.; et al. Antioxidant and Anti-inflammatory Capacity of Ferulic Acid Released from Wheat Bran by Solid-state Fermentation of Aspergillus niger. Biomed. Environ. Sci. 2019, 32 (1), 11-21. DOI: https://doi.org/10.3967/bes2019.002. [ Links ]

356. Funakoshi-Tago, M.; Matsutaka, M.; Hokimoto, S.; Kobata, K.; Tago, K.; Tamura, H. Coffee ingredients, hydroquinone, pyrocatechol, and 4-ethylcatechol exhibit anti-inflammatory activity through inhibiting NF-κB and activating Nrf2. J. Funct. Foods 2022, 90. DOI: https://doi.org/10.1016/j.jff.2022.104980. [ Links ]

357. Abazari, M. F.; Nasiri, N.; Karizi, S. Z.; Nejati, F.; Haghiaminjan, H.; Norouzi, S.; Piri, P.; Estakhr, L.; Faradonbeh, D. R.; Kohandani, M.; et al. An updated review of various medicinal applications of p-coumaric acid: From antioxidative and anti-inflammatory properties to effects on cell cycle and proliferation. Mini-Rev. Med. Chem . 2021, 21 (15), 2187-2201. DOI: https://doi.org/10.2174/1389557521666210114163024. [ Links ]

358. Da Silva, E. C. O.; Dos Santos, F. M.; Ribeiro, A. R. B.; De Souza, S. T.; Barreto, E.; Da Silva Fonseca, E. J. Drug-induced anti-inflammatory response in A549 cells, as detected by Raman spectroscopy: A comparative analysis of the actions of dexamethasone and: p -coumaric acid. Analyst 2019, 144 (5), 1622-1631. DOI: https://doi.org/10.1039/c8an01887a. [ Links ]

359. Lee, M.; Rho, H. S.; Choi, K. Anti-inflammatory Effects of a P-coumaric Acid and Kojic Acid Derivative in LPS-stimulated RAW264.7 Macrophage Cells. Biotechnol. Bioprocess Eng. 2019, 24 (4), 653-657. DOI: https://doi.org/10.1007/s12257-018-0492-1. [ Links ]

360. Moradi, M.; Farbood, Y.; Mard, S. A.; Dianat, M.; Goudarzi, G.; Khorsandi, L.; Seyedian, S. S. p-Coumaric acid has pure anti-inflammatory characteristics against hepatopathy caused by ischemia-reperfusion in the liver and dust exposure. Iran. J. Basic Med. Sci. 2022, 26 (2), 164-175. DOI: https://doi.org/10.22038/IJBMS.2022.66192.14554. [ Links ]

361. Pragasam, S. J.; Venkatesan, V.; Rasool, M. Immunomodulatory and anti-inflammatory effect of p-coumaric acid, a common dietary polyphenol on experimental inflammation in rats. Inflammation 2013, 36 (1), 169-176. DOI: https://doi.org/10.1007/s10753-012-9532-8. [ Links ]

362. Venkatesan, A.; Samy, J. V. R. A.; Balakrishnan, K.; Natesan, V.; Kim, S. J. In vitro Antioxidant, Anti-inflammatory, Antimicrobial, and Antidiabetic Activities of Synthesized Chitosan-loaded p-Coumaric Acid Nanoparticles. Curr. Pharm. Biotechnol. 2023, 24 (9), 1178-1194. DOI: https://doi.org/10.2174/1389201023666220822112923. [ Links ]

363. Allen, S.; Khattab, A.; Vassallo, M.; Kwan, J. Inflammation and muscle weakness in COPD: Considering a renewed role for Theophylline? Curr. Respir. Med. Rev. 2018, 14 (1), 35-41. DOI: https://doi.org/10.2174/1573398X14666180525113544. [ Links ]

364. Bin, Y.; Xiao, Y.; Huang, D.; Ma, Z.; Liang, Y.; Bai, J.; Zhang, W.; Liang, Q.; Zhang, J.; Zhong, X.; He, Z. Theophylline inhibits cigarette smoke-induced inflammation in skeletal muscle by upregulating hdac2 expression and decreasing nf-κb activation. Am. J. Physiol. Lung Cell. Mol. Physiol . 2019, 316 (1), L197-L205. DOI: https://doi.org/10.1152/ajplung.00005.2018. [ Links ]

365. Eid, N. S.; O’Hagan, A.; Bickel, S.; Morton, R.; Jacobson, S.; Myers, J. A. Anti-inflammatory dosing of theophylline in the treatment of status asthmaticus in children. J. Asthma Allergy 2016, 9, 183-189. DOI: https://doi.org/10.2147/JAA.S113747. [ Links ]

366. Talmon, M.; Massara, E.; Brunini, C.; Fresu, L. G. Comparison of anti-inflammatory mechanisms between doxofylline and theophylline in human monocytes. Pulm. Pharmacol. Ther. 2019, 59. DOI: https://doi.org/10.1016/j.pupt.2019.101851. [ Links ]

367. Urbanova, A.; Kertys, M.; Simekova, M.; Mikolka, P.; Kosutova, P.; Mokra, D.; Mokry, J. Bronchodilator and anti-inflammatory action of theophylline in a model of ovalbumin-induced allergic inflammation. Adv. Exp. Med. Biol. 2016, 935, 53-62. DOI: https://doi.org/10.1007/5584_2016_31. [ Links ]

368. Bains, M.; Kaur, J.; Akhtar, A.; Kuhad, A.; Sah, S. P. Anti-inflammatory effects of ellagic acid and vanillic acid against quinolinic acid-induced rat model of Huntington's disease by targeting IKK-NF-κB pathway. Eur. J. Pharmacol . 2022, 934. DOI: https://doi.org/10.1016/j.ejphar.2022.175316. [ Links ]

369. Calixto-Campos, C.; Carvalho, T. T.; Hohmann, M. S. N.; Pinho-Ribeiro, F. A.; Fattori, V.; Manchope, M. F.; Zarpelon, A. C.; Baracat, M. M.; Georgetti, S. R.; Casagrande, R.; Verri, W. A. Vanillic Acid Inhibits Inflammatory Pain by Inhibiting Neutrophil Recruitment, Oxidative Stress, Cytokine Production, and NFκB Activation in Mice. J. Nat. Prod . 2015, 78 (8), 1799-1808. DOI: https://doi.org/10.1021/acs.jnatprod.5b00246. [ Links ]

370. Hu, R.; Wu, S.; Li, B.; Tan, J.; Yan, J.; Wang, Y.; Tang, Z.; Liu, M.; Fu, C.; Zhang, H.; He, J. Dietary ferulic acid and vanillic acid on inflammation, gut barrier function and growth performance in lipopolysaccharide-challenged piglets. Anim. Nutr. 2022, 8 (1), 144-152. DOI: https://doi.org/10.1016/j.aninu.2021.06.009. [ Links ]

371. Ibrahim, S. S.; Abd-allah, H. “Spanlastic nanovesicles for enhanced ocular delivery of vanillic acid: design, in vitro characterization, and in vivo anti-inflammatory evaluation”. Int. J. Pharm. 2022, 625. DOI: https://doi.org/10.1016/j.ijpharm.2022.122068. [ Links ]

372. Kim, M. C.; Kim, S. J.; Kim, D. S.; Jeon, Y. D.; Park, S. J.; Lee, H. S.; Um, J. Y.; Hong, S. H. Vanillic acid inhibits inflammatory mediators by suppressing NF-κB in lipopolysaccharide-stimulated mouse peritoneal macrophages. Immunopharmacol. Immunotoxicol. 2011, 33 (3), 525-532. DOI: https://doi.org/10.3109/08923973.2010.547500. [ Links ]

373. Ma, Z.; Huang, Z.; Zhang, L.; Li, X.; Xu, B.; Xiao, Y.; Shi, X.; Zhang, H.; Liao, T.; Wang, P. Vanillic Acid Reduces Pain-Related Behavior in Knee Osteoarthritis Rats Through the Inhibition of NLRP3 Inflammasome-Related Synovitis. Front. Pharmacol . 2021, 11. DOI: https://doi.org/10.3389/fphar.2020.599022. [ Links ]

374. Zhao, J.; Yang, Y. Vanillic acid alleviates lipopolysaccharides-induced endoplasmic reticulum stress and inflammation in human lung fibroblasts by `inhibiting MAPK and NF-κB pathways. Qual. Assur. Saf. Crops Foods . 2022, 14 (1), 55-63. DOI: https://doi.org/10.15586/QAS.V14I1.1018. [ Links ]

375. Ziadlou, R.; Barbero, A.; Martin, I.; Wang, X.; Qin, L.; Alini, M.; Grad, S. Anti‐inflammatory and chondroprotective effects of vanillic acid and epimedin C in human osteoarthritic chondrocytes. Biomolecules 2020, 10 (6), 1-28. DOI: https://doi.org/10.3390/biom10060932. [ Links ]

376. Bezerra-Filho, C. S. M.; Barboza, J. N.; Souza, M. T. S.; Sabry, P.; Ismail, N. S. M.; de Sousa, D. P. Therapeutic potential of vanillin and its main metabolites to regulate the inflammatory response and oxidative stress. Mini-Rev. Med. Chem . 2019, 19 (20), 1681-1693. DOI: https://doi.org/10.2174/1389557519666190312164355. [ Links ]

377. Cheng, H. M.; Chen, F. Y.; Li, C. C.; Lo, H. Y.; Liao, Y. F.; Ho, T. Y.; Hsiang, C. Y. Oral Administration of Vanillin Improves Imiquimod-Induced Psoriatic Skin Inflammation in Mice. J. Agric. Food Chem. 2017, 65 (47), 10233-10242. DOI: https://doi.org/10.1021/acs.jafc.7b04259. [ Links ]

378. Costantini, E.; Sinjari, B.; Falasca, K.; Reale, M.; Caputi, S.; Jagarlapodii, S.; Murmura, G. Assessment of the Vanillin Anti-Inflammatory and Regenerative Potentials in Inflamed Primary Human Gingival Fibroblast. Mediators Inflamm. 2021, 2021. DOI: https://doi.org/10.1155/2021/5562340. [ Links ]

379. Kim, M. E.; Na, J. Y.; Park, Y. D.; Lee, J. S. Anti-Neuroinflammatory Effects of Vanillin Through the Regulation of Inflammatory Factors and NF-κB Signaling in LPS-Stimulated Microglia. Appl. Biochem. Biotechnol. 2019, 187 (3), 884-893. DOI: https://doi.org/10.1007/s12010-018-2857-5. [ Links ]

380. Liu, X.; Yang, J.; Li, J.; Xu, C.; Jiang, W. Vanillin Attenuates Cadmium-Induced Lung Injury Through Inhibition of Inflammation and Lung Barrier Dysfunction Through Activating AhR. Inflammation 2021, 44 (6), 2193-2202. DOI: https://doi.org/10.1007/s10753-021-01492-1. [ Links ]

381. Yan, X.; Liu, D. F.; Zhang, X. Y.; Liu, D.; Xu, S. Y.; Chen, G. X.; Huang, B. X.; Ren, W. Z.; Wang, W.; Fu, S. P.; Liu, J. X. Vanillin protects dopaminergic neurons against inflammation-mediated cell death by inhibiting ERK1/2, P38 and the NF-κB signaling pathway. Int. J. Mol. Sci . 2017, 18 (2). DOI: https://doi.org/10.3390/ijms18020389. [ Links ]

382. Zhao, D.; Jiang, Y.; Sun, J.; Li, H.; Huang, M.; Sun, X.; Zhao, M. Elucidation of The Anti-Inflammatory Effect of Vanillin In Lps-Activated THP-1 Cells. J. Food Sci . 2019, 84 (7), 1920-1928. DOI: https://doi.org/10.1111/1750-3841.14693. [ Links ]

383. Jung, H. J.; Song, Y. S.; Lim, C. J.; Park, E. H. Anti-angiogenic, anti-inflammatory and anti-nociceptive activities of vanillyl alcohol. Arch. Pharmacal Res. 2008, 31 (10), 1275-1279. DOI: https://doi.org/10.1007/s12272-001-2106-1. [ Links ]

384. Cho, A. S.; Jeon, S. M.; Kim, M. J.; Yeo, J.; Seo, K. I.; Choi, M. S.; Lee, M. K. Chlorogenic acid exhibits anti-obesity property and improves lipid metabolism in high-fat diet-induced-obese mice. Food Chem. Toxicol. 2010, 48 (3), 937-943. DOI: https://doi.org/10.1016/j.fct.2010.01.003. [ Links ]

385. He, X.; Zheng, S.; Sheng, Y.; Miao, T.; Xu, J.; Xu, W.; Huang, K.; Zhao, C. Chlorogenic acid ameliorates obesity by preventing energy balance shift in high-fat diet induced obese mice. J. Sci. Food Agric . 2021, 101 (2), 631-637. DOI: https://doi.org/10.1002/jsfa.10675. [ Links ]

386. Kumar, R.; Sharma, A.; Iqbal, M. S.; Srivastava, J. K. Therapeutic promises of chlorogenic acid with special emphasis on its anti-obesity property. Curr. Mol. Pharmacol. 2020, 13 (1), 7-16. DOI: https://doi.org/10.2174/1874467212666190716145210. [ Links ]

387. Wang, Z.; Lam, K. L.; Hu, J.; Ge, S.; Zhou, A.; Zheng, B.; Zeng, S.; Lin, S. Chlorogenic acid alleviates obesity and modulates gut microbiota in high-fat-fed mice. Food Sci. Nutr. 2019, 7 (2), 579-588. DOI: https://doi.org/10.1002/fsn3.868. [ Links ]

388. Baek, J. H.; Kim, N. J.; Song, J. K.; Chun, K. H. Kahweol inhibits lipid accumulation and induces Glucose-uptake through activation of AMP-activated protein kinase (AMPK). BMB Rep. 2017, 50 (11), 566-571. DOI: https://doi.org/10.5483/BMBRep.2017.50.11.031. [ Links ]

389. Farias-Pereira, R.; Park, C. S.; Park, Y. Kahweol Reduces Food Intake of Caenorhabditis elegans. J. Agric. Food Chem . 2020, 68 (36), 9683-9689. DOI: https://doi.org/10.1021/acs.jafc.0c03030. [ Links ]

390. Kim, J. S.; Lee, S. G.; Kang, Y. J.; kwon, T. K.; Nam, J. O. Kahweol inhibits adipogenesis of 3T3-L1 adipocytes through downregulation of PPARγ. Nat. Prod. Res . 2018, 32 (10), 1216-1219. DOI: https://doi.org/10.1080/14786419.2017.1326039. [ Links ]

391. Agunloye, O. M.; Oboh, G.; Ademiluyi, A. O.; Ademosun, A. O.; Akindahunsi, A. A.; Oyagbemi, A. A.; Omobowale, T. O.; Ajibade, T. O.; Adedapo, A. A. Cardio-protective and antioxidant properties of caffeic acid and chlorogenic acid: Mechanistic role of angiotensin converting enzyme, cholinesterase and arginase activities in cyclosporine induced hypertensive rats. Biomed. Pharmacother . 2019, 109, 450-458. DOI: https://doi.org/10.1016/j.biopha.2018.10.044. [ Links ]

392. Bıçakçı, N.; Karaboğa, İ.; Dökmeci, A. H.; Güzel, S.; Fidanol Erboğa, Z. Cardioprotective effect of caffeic acid phenethyl ester on cardiac contusion following blunt chest trauma in rats. Biotech. Histochem. 2019, 94 (6), 442-448. DOI: https://doi.org/10.1080/10520295.2019.1586999. [ Links ]

393. Kumaran, K. S.; Prince, P. S. M. Protective effect of caffeic acid on cardiac markers and lipid peroxide metabolism in cardiotoxic rats: An in vivo and in vitro study. Metabolism 2010, 59 (8), 1172-1180. DOI: https://doi.org/10.1016/j.metabol.2009.11.010. [ Links ]

394. Salau, V. F.; Erukainure, O. L.; Islam, M. S. Caffeic Acid Protects against Iron-Induced Cardiotoxicity by Suppressing Angiotensin-Converting Enzyme Activity and Modulating Lipid Spectrum, Gluconeogenesis and Nucleotide Hydrolyzing Enzyme Activities. Biol. Trace Elem. Res. 2021, 199 (3), 1052-1061. DOI: https://doi.org/10.1007/s12011-020-02227-3. [ Links ]

395. Silva, H.; Lopes, N. M. F. Cardiovascular Effects of Caffeic Acid and Its Derivatives: A Comprehensive Review. Front. Physiol. 2020, 11. DOI: https://doi.org/10.3389/fphys.2020.595516. [ Links ]

396. Banitalebi, E.; Rahimi, A.; Faramarzi, M.; Mardaniyan Ghahfarrokhi, M. The effects of elastic resistance band training and green coffee bean extract supplement on novel combined indices of cardiometabolic risk in obese women. Res. Pharm. Sci. 2019, 14 (5), 414-423. DOI: https://doi.org/10.4103/1735-5362.268202. [ Links ]

397. Caro-Gómez, E.; Sierra, J. A.; Escobar, J. S.; Álvarez-Quintero, R.; Naranjo, M.; Medina, S.; Velásquez-Mejía, E. P.; Tabares-Guevara, J. H.; Jaramillo, J. C.; León-Varela, Y. M.; et al. Green coffee extract improves cardiometabolic parameters and modulates gut microbiota in high-fat-diet-fed ApoE -/- mice. Nutrients 2019, 11 (3). DOI: https://doi.org/10.3390/nu11030497. [ Links ]

398. Lara-Guzmán, O. J.; Álvarez, R.; Muñoz-Durango, K. Changes in the plasma lipidome of healthy subjects after coffee consumption reveal potential cardiovascular benefits: A randomized controlled trial. Free Radic. Biol. Med . 2021, 176, 345-355. DOI: https://doi.org/10.1016/j.freeradbiomed.2021.10.012. [ Links ]

399. Suzuki, A.; Nomura, T.; Jokura, H.; Kitamura, N.; Saiki, A.; Fujii, A. Chlorogenic acid-enriched green coffee bean extract affects arterial stiffness assessed by the cardio-ankle vascular index in healthy men: a pilot study. Int. J. Food Sci. Nutr. 2019, 70 (7), 901-908. DOI: https://doi.org/10.1080/09637486.2019.1585763. [ Links ]

400. Baeza, G.; Bachmair, E. M.; Wood, S.; Mateos, R.; Bravo, L.; De Roos, B. The colonic metabolites dihydrocaffeic acid and dihydroferulic acid are more effective inhibitors of in vitro platelet activation than their phenolic precursors. Food Funct . 2017, 8 (3), 1333-1342. DOI: https://doi.org/10.1039/c6fo01404f. [ Links ]

401. Alam, M. A.; Sernia, C.; Brown, L. Ferulic acid improves cardiovascular and kidney structure and function in hypertensive rats. J. Cardiovasc. Pharmacol. 2013, 61 (3), 240-249. DOI: https://doi.org/10.1097/FJC.0b013e31827cb600. [ Links ]

402. Li, C.; Chen, L.; Song, M.; Fang, Z.; Zhang, L.; Coffie, J. W.; Zhang, L.; Ma, L.; Wang, Q.; Yang, W.; et al. Ferulic acid protects cardiomyocytes from TNF-α/cycloheximide-induced apoptosis by regulating autophagy. Arch. Pharmacal Res . 2020, 43 (8), 863-874. DOI: https://doi.org/10.1007/s12272-020-01252-z. [ Links ]

403. Monceaux, K.; Gressette, M.; Karoui, A.; Pires Da Silva, J.; Piquereau, J.; Ventura-Clapier, R.; Garnier, A.; Mericskay, M.; Lemaire, C. Ferulic Acid, Pterostilbene, and Tyrosol Protect the Heart from ER-Stress-Induced Injury by Activating SIRT1-Dependent Deacetylation of eIF2α. Int. J. Mol. Sci . 2022, 23 (12). DOI: https://doi.org/10.3390/ijms23126628. [ Links ]

404. Neto-Neves, E. M.; Filho, C. D. S. M. B.; Dejani, N. N.; de Sousa, D. P. Ferulic acid and cardiovascular health: Therapeutic and preventive potential. Mini-Rev. Med. Chem . 2021, 21 (13), 1625-1637. DOI: https://doi.org/10.2174/1389557521666210105122841. [ Links ]

405. Pandi, A.; Raghu, M. H.; Chandrashekar, N.; Kalappan, V. M. Cardioprotective effects of Ferulic acid against various drugs and toxic agents. Beni-Suef Univ. J. Basic Appl. Sci. 2022, 11 (1). DOI: https://doi.org/10.1186/s43088-022-00273-5. [ Links ]

406. Salau, V. F.; Erukainure, O. L.; Olofinsan, K. A.; Msomi, N. Z.; Ijomone, O. K.; Islam, M. S. Ferulic acid mitigates diabetic cardiomyopathy via modulation of metabolic abnormalities in cardiac tissues of diabetic rats. Fundam. Clin. Pharmacol. 2023, 37 (1), 44-59. DOI: https://doi.org/10.1111/fcp.12819. [ Links ]

407. Zhang, X. X.; Zhao, D. S.; Wang, J.; Zhou, H.; Wang, L.; Mao, J. L.; He, J. X. The treatment of cardiovascular diseases: A review of ferulic acid and its derivatives. Pharmazie 2021, 76 (2-3), 55-60. DOI: https://doi.org/10.1691/ph.2021.0958. [ Links ]

408. Xing, D.; Yoo, C.; Gonzalez, D.; Jenkins, V.; Nottingham, K.; Dickerson, B.; Leonard, M.; Ko, J.; Faries, M.; Kephart, W.; et al. Dose-response of paraxanthine on cognitive function: A double blind, placebo controlled, crossover trial. Nutrients 2021, 13 (12). DOI: https://doi.org/10.3390/nu13124478. [ Links ]

409. Yoo, C.; Xing, D.; Gonzalez, D.; Jenkins, V.; Nottingham, K.; Dickerson, B.; Leonard, M.; Ko, J.; Faries, M.; Kephart, W.; et al. Acute paraxanthine ingestion improves cognition and short-term memory and helps sustain attention in a double-blind, placebo-controlled, crossover trial. Nutrients 2021, 13 (11). DOI: https://doi.org/10.3390/nu13113980. [ Links ]

410. Choi, J. R.; Kim, J. H.; Lee, S.; Cho, E. J.; Kim, H. Y. Protective effects of protocatechuic acid against cognitive impairment in an amyloid beta-induced Alzheimer's disease mouse model. Food Chem. Toxicol. 2020, 144. DOI: https://doi.org/10.1016/j.fct.2020.111571. [ Links ]

411. Muley, M. M.; Thakare, V. N.; Patil, R. R.; Bafna, P. A.; Naik, S. R. Amelioration of cognitive, motor and endogenous defense functions with silymarin, piracetam and protocatechuic acid in the cerebral global ischemic rat model. Life Sci. 2013, 93 (1), 51-57. DOI: https://doi.org/10.1016/j.lfs.2013.05.020. [ Links ]

412. Song, Y.; Cui, T.; Xie, N.; Zhang, X.; Qian, Z.; Liu, J. Protocatechuic acid improves cognitive deficits and attenuates amyloid deposits, inflammatory response in aged AβPP/PS1 double transgenic mice. Int. Immunopharmacol . 2014, 20 (1), 276-281. DOI: https://doi.org/10.1016/j.intimp.2014.03.006. [ Links ]

413. Yin, X.; Zhang, X.; Lv, C.; Li, C.; Yu, Y.; Wang, X.; Han, F. Protocatechuic acid ameliorates neurocognitive functions impairment induced by chronic intermittent hypoxia. Sci. Rep . 2015, 5. DOI: https://doi.org/10.1038/srep14507. [ Links ]

414. Gao, L.; Ge, W.; Peng, C.; Guo, J.; Chen, N.; He, L. Association between Dietary Theobromine and Cognitive Function in a Representative American Population: A Cross-Sectional Study. J. Prev. Alzheimers Dis. 2022, 9 (3), 449-457. DOI: https://doi.org/10.14283/jpad.2022.39. [ Links ]

415. Mendiola-Precoma, J.; Padilla, K.; Rodríguez-Cruz, A.; Berumen, L. C.; Miledi, R.; García-Alcocer, G. Theobromine-induced changes in A1 purinergic receptor gene expression and distribution in a rat brain Alzheimer's disease model. J. Alzheimer’s Dis. 2017, 55 (3), 1273-1283. DOI: https://doi.org/10.3233/JAD-160569. [ Links ]

416. Singh, J. C. H.; Kakalij, R. M.; Kshirsagar, R. P.; Kumar, B. H.; Komakula, S. S. B.; Diwan, P. V. Cognitive effects of vanillic acid against streptozotocin-induced neurodegeneration in mice. Pharm. Biol. 2015, 53 (5), 630-636. DOI: https://doi.org/10.3109/13880209.2014.935866. [ Links ]

417. Ul Amin, F.; Shah, S. A.; Kim, M. O. Vanillic acid attenuates Aβ1-42-induced oxidative stress and cognitive impairment in mice. Sci. Rep . 2017, 7. DOI: https://doi.org/10.1038/srep40753. [ Links ]

418. Al Asmari, A.; Al Shahrani, H.; Al Masri, N.; Al Faraidi, A.; Elfaki, I.; Arshaduddin, M. Vanillin abrogates ethanol induced gastric injury in rats via modulation of gastric secretion, oxidative stress and inflammation. Toxicol. Rep. 2016, 3, 105-113. DOI: https://doi.org/10.1016/j.toxrep.2015.11.001. [ Links ]

419. Ciciliato, M. P.; de Souza, M. C.; Tarran, C. M.; de Castilho, A. L. T.; Vieira, A. J.; Rozza, A. L. Anti-Inflammatory Effect of Vanillin Protects the Stomach against Ulcer Formation. Pharmaceutics 2022, 14 (4). DOI: https://doi.org/10.3390/pharmaceutics14040755. [ Links ]

420. Mu, H. N.; Li, Q.; Fan, J. Y.; Pan, C. S.; Liu, Y. Y.; Yan, L.; Sun, K.; Hu, B. H.; Huang, D. D.; Zhao, X. R.; et al. Caffeic acid attenuates rat liver injury after transplantation involving PDIA3-dependent regulation of NADPH oxidase. Free Radic. Biol. Med . 2018, 129, 202-214. DOI: https://doi.org/10.1016/j.freeradbiomed.2018.09.009. [ Links ]

421. Mu, H. N.; Zhou, Q.; Yang, R. Y.; Tang, W. Q.; Li, H. X.; Wang, S. M.; Li, J.; Chen, W. X.; Dong, J. Caffeic acid prevents non-alcoholic fatty liver disease induced by a high-fat diet through gut microbiota modulation in mice. Food Res. Int . 2021, 143. DOI: https://doi.org/10.1016/j.foodres.2021.110240. [ Links ]

422. Pang, C.; Shi, L.; Sheng, Y.; Zheng, Z.; Wei, H.; Wang, Z.; Ji, L. Caffeic acid attenuated acetaminophen-induced hepatotoxicity by inhibiting ERK1/2-mediated early growth response-1 transcriptional activation. Chem. Biol. Interact . 2016, 260, 186-195. DOI: https://doi.org/10.1016/j.cbi.2016.10.009. [ Links ]

423. Pang, C.; Zheng, Z.; Shi, L.; Sheng, Y.; Wei, H.; Wang, Z.; Ji, L. Caffeic acid prevents acetaminophen-induced liver injury by activating the Keap1-Nrf2 antioxidative defense system. Free Radic. Biol. Med . 2016, 91, 236-246. DOI: https://doi.org/10.1016/j.freeradbiomed.2015.12.024. [ Links ]

424. Sánchez-Medina, A.; Redondo-Puente, M.; Dupak, R.; Bravo-Clemente, L.; Goya, L.; Sarriá, B. Colonic Coffee Phenols Metabolites, Dihydrocaffeic, Dihydroferulic, and Hydroxyhippuric Acids Protect Hepatic Cells from TNF-α-Induced Inflammation and Oxidative Stress. Int. J. Mol. Sci . 2023, 24 (2). DOI: https://doi.org/10.3390/ijms24021440. [ Links ]

425. Gressner, O. A. About coffee, cappuccino and connective tissue growth factor-Or how to protect your liver!? Environ. Toxicol. Pharmacol. 2009, 28 (1), 1-10. DOI: https://doi.org/10.1016/j.etap.2009.02.005. [ Links ]

426. Gressner, O. A.; Lahme, B.; Siluschek, M.; Gressner, A. M. Identification of paraxanthine as the most potent caffeine-derived inhibitor of connective tissue growth factor expression in liver parenchymal cells. Liver Int. 2009, 29 (6), 886-897. DOI: https://doi.org/10.1111/j.1478-3231.2009.01987.x. [ Links ]

427. Klemmer, I.; Yagi, S.; Gressner, O. A. Oral application of 1,7-dimethylxanthine (paraxanthine) attenuates the formation of experimental cholestatic liver fibrosis. Hepatol. Res. 2011, 41 (11), 1094-1109. DOI: https://doi.org/10.1111/j.1872-034X.2011.00856.x. [ Links ]

428. Wei, D.; Wu, S.; Liu, J.; Zhang, X.; Guan, X.; Gao, L.; Xu, Z. Theobromine ameliorates nonalcoholic fatty liver disease by regulating hepatic lipid metabolism via mtor signaling pathway in vivo and in vitro. Can. J. Physiol. Pharmacol. 2021, 99 (8), 775-785. DOI: https://doi.org/10.1139/cjpp-2020-0259. [ Links ]

429. Ben Saad, H.; Driss, D.; Ben Amara, I.; Boudawara, O.; Boudawara, T.; Ellouz Chaabouni, S.; Mounir Zeghal, K.; Hakim, A. Altered hepatic mRNA expression of immune response-associated DNA damage in mice liver induced by potassium bromate: Protective role of vanillin. Environ. Toxicol. 2016, 31 (12), 1796-1807. DOI: https://doi.org/10.1002/tox.22181. [ Links ]

430. Ghanim, A. M. H.; Younis, N. S.; Metwaly, H. A. Vanillin augments liver regeneration effectively in hioacetamide induced liver fibrosis rat model. Life Sci. 2021, 286. DOI: https://doi.org/10.1016/j.lfs.2021.120036. [ Links ]

431. Liang, J. A.; Wu, S. L.; Lo, H. Y.; Hsiang, C. Y.; Ho, T. Y. Vanillin inhibits matrix metalloproteinase-9 expression through down-regulation of nuclear factor-κB signaling pathway in human hepatocellular carcinoma cells. Mol. Pharmacol. 2009, 75 (1), 151-157. DOI: https://doi.org/10.1124/mol.108.049502. [ Links ]

432. Makni, M.; Chtourou, Y.; Fetoui, H.; Garoui, E. M.; Boudawara, T.; Zeghal, N. Evaluation of the antioxidant, anti-inflammatory and hepatoprotective properties of vanillin in carbon tetrachloride-treated rats. Eur. J. Pharmacol . 2011, 668 (1-2), 133-139. DOI: https://doi.org/10.1016/j.ejphar.2011.07.001. [ Links ]

433. Abdelrahman, R. S.; El-Tanbouly, G. S. Protocatechuic acid protects against thioacetamide-induced chronic liver injury and encephalopathy in mice via modulating mTOR, p53 and the IL-6/ IL-17/ IL-23 immunoinflammatory pathway. Toxicol. Appl. Pharmacol. 2022, 440. DOI: https://doi.org/10.1016/j.taap.2022.115931. [ Links ]

434. Salama, A.; Elgohary, R.; Amin, M. M.; Elwahab, S. A. Immunomodulatory effect of protocatechuic acid on cyclophosphamide induced brain injury in rat: Modulation of inflammosomes NLRP3 and SIRT1. Eur. J. Pharmacol . 2022, 932. DOI: https://doi.org/10.1016/j.ejphar.2022.175217. [ Links ]

435. Adeyanju, A. A.; Molehin, O. R.; Asejeje, F. O.; Oyenuga, V.; Etokakpan, R. U. Protocatechuic acid through modulation of signaling pathways and oxidative stress exerts protective effects in rat model of carbon tetrachloride-induced renal and reproductive toxicities. Comp. Clin. Path. 2022, 31 (3), 465-474. DOI: https://doi.org/10.1007/s00580-022-03345-1. [ Links ]

436. Kassab, R. B.; Theyab, A.; Al-Ghamdy, A. O.; Algahtani, M.; Mufti, A. H.; Alsharif, K. F.; Abdella, E. M.; Habotta, O. A.; Omran, M. M.; Lokman, M. S.; et al. Protocatechuic acid abrogates oxidative insults, inflammation, and apoptosis in liver and kidney associated with monosodium glutamate intoxication in rats. Environ. Sci. Pollut. Res. 2022, 29 (8), 12208-12221. DOI: https://doi.org/10.1007/s11356-021-16578-4. [ Links ]

437. Lin, C. Y.; Tsai, S. J.; Huang, C. S.; Yin, M. C. Antiglycative effects of protocatechuic acid in the kidneys of diabetic mice. J. Agric. Food Chem . 2011, 59 (9), 5117-5124. DOI: https://doi.org/10.1021/jf200103f. [ Links ]

438. Salama, A. A. A.; Elgohary, R.; Fahmy, M. I. Protocatechuic acid ameliorates lipopolysaccharide-induced kidney damage in mice via downregulation of TLR-4-mediated IKBKB/NF-κB and MAPK/Erk signaling pathways. J. Appl. Toxicol. 2023, 10.1002/jat.4447. DOI: https://doi.org/10.1002/jat.4447. [ Links ]

439. Yamabe, N.; Park, J. Y.; Lee, S.; Cho, E. J.; Lee, S.; Kang, K. S.; Hwang, G. S.; Kim, S. N.; Kim, H. Y.; Shibamoto, T. Protective effects of protocatechuic acid against cisplatin-induced renal damage in rats. J. Funct. Foods 2015, 19, 20-27. DOI: https://doi.org/10.1016/j.jff.2015.08.028. [ Links ]

440. Chattaraj, K. G.; Paul, S. Inclusion of Theobromine Modifies Uric Acid Aggregation with Possible Changes in Melamine-Uric Acid Clusters Responsible for Kidney Stones. J. Phys. Chem. B 2019, 123 (49), 10483-10504. DOI: https://doi.org/10.1021/acs.jpcb.9b08487. [ Links ]

441. Hernandez, Y.; Costa-Bauza, A.; Calvó, P.; Benejam, J.; Sanchis, P.; Grases, F. Comparison of two dietary supplements for treatment of uric acid renal lithiasis: Citrate vs. citrate + theobromine. Nutrients 2020, 12 (7), 1-8. DOI: https://doi.org/10.3390/nu12072012. [ Links ]

442. Julià, F.; Costa-Bauza, A.; Berga, F.; Grases, F. Effect of theobromine on dissolution of uric acid kidney stones. World J. Urol. 2022, 40 (8), 2105-2111. DOI: https://doi.org/10.1007/s00345-022-04059-3. [ Links ]

443. Papadimitriou, A.; Silva, K. C.; Peixoto, E. B. M. I.; Borges, C. M.; de Faria, J. M. L.; de Faria, J. B. L. Theobromine increases NAD+/Sirt-1 activity and protects the kidney under diabetic conditions. Am. J. Physiol. Ren. Physiol. 2015, 308 (3), F209-F225. DOI: https://doi.org/10.1152/ajprenal.00252.2014. [ Links ]

444. Prediger, R. D. S. Effects of caffeine in Parkinson's disease: From neuroprotection to the management of motor and non-motor symptoms. J. Alzheimer’s Dis . 2010, 20 (SUPPL.1), S205-S220. DOI: https://doi.org/10.3233/JAD-2010-091459. [ Links ]

445. Arendash, G. W.; Cao, C. Caffeine and coffee as therapeutics against Alzheimer's disease. J. Alzheimer’s Dis . 2010, 20 (SUPPL.1), S117-S126. DOI: https://doi.org/10.3233/JAD-2010-091249. [ Links ]

446. Chu, Y. F.; Chang, W. H.; Black, R. M.; Liu, J. R.; Sompol, P.; Chen, Y.; Wei, H.; Zhao, Q.; Cheng, I. H. Crude caffeine reduces memory impairment and amyloid β1-42 levels in an Alzheimer's mouse model. Food Chem . 2012, 135 (3), 2095-2102. DOI: https://doi.org/10.1016/j.foodchem.2012.04.148. [ Links ]

447. Di Martino, E.; Bocchetta, E.; Tsuji, S.; Mukai, T.; Harris, R. A.; Blomgren, K.; Ådén, U. Defining a Time Window for Neuroprotection and Glia Modulation by Caffeine After Neonatal Hypoxia-Ischaemia. Mol. Neurobiol. 2020, 57 (5), 2194-2205. DOI: https://doi.org/10.1007/s12035-020-01867-9. [ Links ]

448. Endesfelder, S.; Weichelt, U.; Strauß, E.; Schlör, A.; Sifringer, M.; Scheuer, T.; Bührer, C.; Schmitz, T. Neuroprotection by caffeine in hyperoxia-induced neonatal brain injury. Int. J. Mol. Sci . 2017, 18 (1). DOI: https://doi.org/10.3390/ijms18010187. [ Links ]

449. Farrokhi, M. R.; Emamghoreishi, M.; Amiri, A.; Keshavarz, M. Neuroprotective effects of caffeine against beta-amyliod neurotoxicity: The involvement of glycogen synthase kinase-3β protein. Physiol. Pharmacol. (Iran) 2019, 23 (3), 150-153. [ Links ]

450. Ikram, M.; Park, T. J.; Ali, T.; Kim, M. O. Antioxidant and neuroprotective effects of caffeine against Alzheimer’s and parkinson’s disease: Insight into the role of Nrf-2 and A2AR signaling. Antioxidants 2020, 9 (9), 1-21. DOI: https://doi.org/10.3390/antiox9090902. [ Links ]

451. Karuppagounder, S. S.; Uthaythas, S.; Govindarajulu, M.; Ramesh, S.; Parameshwaran, K.; Dhanasekaran, M. Caffeine, a natural methylxanthine nutraceutical, exerts dopaminergic neuroprotection. Neurochem. Int. 2021, 148. DOI: https://doi.org/10.1016/j.neuint.2021.105066. [ Links ]

452. Khadrawy, Y. A.; Salem, A. M.; El-Shamy, K. A.; Ahmed, E. K.; Fadl, N. N.; Hosny, E. N. Neuroprotective and Therapeutic Effect of Caffeine on the Rat Model of Parkinson’s Disease Induced by Rotenone. J. Diet. Suppl. 2017, 14 (5), 553-572. DOI: https://doi.org/10.1080/19390211.2016.1275916. [ Links ]

453. Kolahdouzan, M.; Hamadeh, M. J. The neuroprotective effects of caffeine in neurodegenerative diseases. CNS Neurosci. Ther. 2017, 23 (4), 272-290. DOI: https://doi.org/10.1111/cns.12684. [ Links ]

454. Pereira-Figueiredo, D.; Nascimento, A. A.; Cunha-Rodrigues, M. C.; Brito, R.; Calaza, K. C. Caffeine and Its Neuroprotective Role in Ischemic Events: A Mechanism Dependent on Adenosine Receptors. Cell. Mol. Neurobiol . 2022, 42 (6), 1693-1725. DOI: https://doi.org/10.1007/s10571-021-01077-4. [ Links ]

455. Xu, K.; Di Luca, D. G.; Orrú, M.; Xu, Y.; Chen, J. F.; Schwarzschild, M. A. Neuroprotection by caffeine in the MPTP model of parkinson's disease and its dependence on adenosine A2A receptors. Neuroscience 2016, 322, 129-137. DOI: https://doi.org/10.1016/j.neuroscience.2016.02.035. [ Links ]

456. Xu, K.; Xu, Y. H.; Chen, J. F.; Schwarzschild, M. A. Neuroprotection by caffeine: Time course and role of its metabolites in the MPTP model of Parkinson's disease. Neuroscience 2010, 167 (2), 475-481. DOI: https://doi.org/10.1016/j.neuroscience.2010.02.020. [ Links ]

457. Yan, R.; Zhang, J.; Park, H. J.; Park, E. S.; Oh, S.; Zheng, H.; Junn, E.; Voronkov, M.; Stock, J. B.; Mouradian, M. M. Synergistic neuroprotection by coffee components eicosanoyl-5-hydroxytryptamide and caffeine in models of Parkinson’s disease and DLB. Proc. Natl. Acad. Sci. U. S. A. 2018, 115 (51), E12053-E12062. DOI: https://doi.org/10.1073/pnas.1813365115. [ Links ]

458. Yelanchezian, Y. M. M.; Waldvogel, H. J.; Faull, R. L. M.; Kwakowsky, A. Neuroprotective Effect of Caffeine in Alzheimer’s Disease. Molecules 2022, 27 (12). DOI: https://doi.org/10.3390/molecules27123737. [ Links ]

459. Zhou, X.; Zhang, L. The Neuroprotective Effects of Moderate and Regular Caffeine Consumption in Alzheimer's Disease. Oxidative Med. Cell. Longev . 2021, 2021. DOI: https://doi.org/10.1155/2021/5568011. [ Links ]

460. Tan, E. K.; Chua, E.; Fook-Chong, S. M.; Teo, Y. Y.; Yuen, Y.; Tan, L.; Zhao, Y. Association between caffeine intake and risk of Parkinson's disease among fast and slow metabolizers. Pharmacogenet. Genomics 2007, 17 (11), 1001-1005. DOI: https://doi.org/10.1097/FPC.0b013e3282f09265. [ Links ]

461. Alves-Martinez, P.; Atienza-Navarro, I.; Vargas-Soria, M.; Carranza-Naval, M. J.; Infante-Garcia, C.; Benavente-Fernandez, I.; Del Marco, A.; Lubian-Lopez, S.; Garcia-Alloza, M. Caffeine Restores Neuronal Damage and Inflammatory Response in a Model of Intraventricular Hemorrhage of the Preterm Newborn. Front. Microbiol. 2022, 10. DOI: https://doi.org/10.3389/fcell.2022.908045. [ Links ]

462. Heise, J.; Schmitz, T.; Bührer, C.; Endesfelder, S. Protective Effects of Early Caffeine Administration in Hyperoxia-Induced Neurotoxicity in the Juvenile Rat. Antioxidants 2023, 12 (2). DOI: https://doi.org/10.3390/antiox12020295. [ Links ]

463. Kim, E.; Robinson, N. M.; Newman, B. M. A Brewed Awakening: Neuropsychiatric Effects of Caffeine in Older Adults. Clin. Geriatr. Med. 2022, 38 (1), 133-144. DOI: https://doi.org/10.1016/j.cger.2021.07.009. [ Links ]

464. Pohanka, M. Role of Caffeine in the Age-related Neurodegenerative Diseases: A Review. Mini-Rev. Med. Chem . 2022, 22 (21), 2726-2735. DOI: https://doi.org/10.2174/1389557522666220413103529. [ Links ]

465. Ruggiero, M.; Calvello, R.; Porro, C.; Messina, G.; Cianciulli, A.; Panaro, M. A. Neurodegenerative Diseases: Can Caffeine Be a Powerful Ally to Weaken Neuroinflammation? Int. J. Mol. Sci . 2022, 23 (21). DOI: https://doi.org/10.3390/ijms232112958. [ Links ]

466. Basu Mallik, S.; Mudgal, J.; Nampoothiri, M.; Hall, S.; Dukie, S. A.; Grant, G.; Rao, C. M.; Arora, D. Caffeic acid attenuates lipopolysaccharide-induced sickness behaviour and neuroinflammation in mice. Neurosci. Lett. 2016, 632, 218-223. DOI: https://doi.org/10.1016/j.neulet.2016.08.044. [ Links ]

467. Saenno, R.; Dornlakorn, O.; Anosri, T.; Kaewngam, S.; Sirichoat, A.; Aranarochana, A.; Pannangrong, W.; Wigmore, P.; Welbat, J. U. Caffeic Acid Alleviates Memory and Hippocampal Neurogenesis Deficits in Aging Rats induced by D‐Galactose. Nutrients 2022, 14 (10). DOI: https://doi.org/10.3390/nu14102169. [ Links ]

468. Zaitone, S. A.; Ahmed, E.; Elsherbiny, N. M.; Mehanna, E. T.; El-Kherbetawy, M. K.; ElSayed, M. H.; Alshareef, D. M.; Moustafa, Y. M. Caffeic acid improves locomotor activity and lessens inflammatory burden in a mouse model of rotenone-induced nigral neurodegeneration: Relevance to Parkinson's disease therapy. Pharmacol. Rep. 2019, 71 (1), 32-41. DOI: https://doi.org/10.1016/j.pharep.2018.08.004. [ Links ]

469. Heitman, E.; Ingram, D. K. Cognitive and neuroprotective effects of chlorogenic acid. Nutr. Neurosci. 2017, 20 (1), 32-39. DOI: https://doi.org/10.1179/1476830514Y.0000000146. [ Links ]

470. Kumar, G.; Mukherjee, S.; Paliwal, P.; Singh, S. S.; Birla, H.; Singh, S. P.; Krishnamurthy, S.; Patnaik, R. Neuroprotective effect of chlorogenic acid in global cerebral ischemia-reperfusion rat model. Naunyn-Schmiedeberg's Arch. Pharmacol. 2019, 392 (10), 1293-1309. DOI: https://doi.org/10.1007/s00210-019-01670-x. [ Links ]

471. Kwon, S. H.; Lee, H. K.; Kim, J. A.; Hong, S. I.; Kim, H. C.; Jo, T. H.; Park, Y. I.; Lee, C. K.; Kim, Y. B.; Lee, S. Y.; Jang, C. G. Neuroprotective effects of chlorogenic acid on scopolamine-induced amnesia via anti-acetylcholinesterase and anti-oxidative activities in mice. Eur. J. Pharmacol . 2010, 649 (1-3), 210-217. DOI: https://doi.org/10.1016/j.ejphar.2010.09.001. [ Links ]

472. Liberato, J. L.; Rosa, M. N.; Miranda, M. C. R.; Lopes, J. L. C.; Lopes, N. P.; Gobbo-Neto, L.; Fontana, A. C. K.; Dos Santos, W. F. Neuroprotective Properties of Chlorogenic Acid and 4,5-Caffeoylquinic Acid from Brazilian arnica (Lychnophora ericoides) after Acute Retinal Ischemia. Planta Med. 2023, 89 (2), 183-193. DOI: https://doi.org/10.1055/a-1903-2387. [ Links ]

473. Liu, Y.; Wang, F.; Li, Z.; Mu, Y.; Yong, V. W.; Xue, M. Neuroprotective Effects of Chlorogenic Acid in a Mouse Model of Intracerebral Hemorrhage Associated with Reduced Extracellular Matrix Metalloproteinase Inducer. Biomolecules 2022, 12 (8). DOI: https://doi.org/10.3390/biom12081020. [ Links ]

474. Metwally, D. M.; Alajmi, R. A.; El-Khadragy, M. F.; Yehia, H. M.; Al-Megrin, W. A.; Akabawy, A. M. A.; Amin, H. K.; Abdel Moneim, A. E. Chlorogenic acid confers robust neuroprotection against arsenite toxicity in mice by reversing oxidative stress, inflammation, and apoptosis. J. Funct. Foods 2020, 75. DOI: https://doi.org/10.1016/j.jff.2020.104202. [ Links ]

475. Rebai, O.; Belkhir, M.; Sanchez-Gomez, M. V.; Matute, C.; Fattouch, S.; Amri, M. Differential Molecular Targets for Neuroprotective Effect of Chlorogenic Acid and its Related Compounds Against Glutamate Induced Excitotoxicity and Oxidative Stress in Rat Cortical Neurons. Neurochem. Res. 2017, 42 (12), 3559-3572. DOI: https://doi.org/10.1007/s11064-017-2403-9. [ Links ]

476. Sharma, N.; Soni, R.; Sharma, M.; Chatterjee, S.; Parihar, N.; Mukarram, M.; kale, R.; Sayyed, A. A.; Behera, S. K.; Khairnar, A. Chlorogenic Acid: a Polyphenol from Coffee Rendered Neuroprotection Against Rotenone-Induced Parkinson’s Disease by GLP-1 Secretion. Mol. Neurobiol . 2022, 59 (11), 6834-6856. DOI: https://doi.org/10.1007/s12035-022-03005-z. [ Links ]

477. Singh, S. S.; Rai, S. N.; Birla, H.; Zahra, W.; Rathore, A. S.; Dilnashin, H.; Singh, R.; Singh, S. P. Neuroprotective Effect of Chlorogenic Acid on Mitochondrial Dysfunction-Mediated Apoptotic Death of da Neurons in a Parkinsonian Mouse Model. Oxidative Med. Cell. Longev . 2020, 2020. DOI: https://doi.org/10.1155/2020/6571484. [ Links ]

478. Zheng, Y.; Li, L.; Chen, B.; Fang, Y.; Lin, W.; Zhang, T.; Feng, X.; Tao, X.; Wu, Y.; Fu, X.; Lin, Z. Chlorogenic acid exerts neuroprotective effect against hypoxia-ischemia brain injury in neonatal rats by activating Sirt1 to regulate the Nrf2-NF-κB signaling pathway. Cell Commun. Signal. 2022, 20 (1). DOI: https://doi.org/10.1186/s12964-022-00860-0. [ Links ]

479. Lee, K.; Lee, B. J.; Bu, Y. Protective effects of dihydrocaffeic acid, a coffee component metabolite, on a focal cerebral ischemia rat model. Molecules 2015, 20 (7), 11930-11940. DOI: https://doi.org/10.3390/molecules200711930. [ Links ]

480. Alharthy, K. M.; Balaha, M. F.; Devi, S.; Altharawi, A.; Yusufoglu, H. S.; Aldossari, R. M.; Alam, A.; Giacomo, V. D. Ameliorative Effects of Isoeugenol and Eugenol against Impaired Nerve Function and Inflammatory and Oxidative Mediators in Diabetic Neuropathic Rats. Biomedicines 2023, 11 (4). DOI: https://doi.org/10.3390/biomedicines11041203. [ Links ]

481. Ren, Z.; Li, Y.; Zhang, R.; Li, Y.; Yang, Z.; Yang, H. Ferulic acid exerts neuroprotective effects against cerebral ischemia/reperfusion-induced injury via antioxidant and anti-apoptotic mechanisms in vitro and in vivo. Int. J. Mol. Med. 2017, 40 (5), 1444-1456. DOI: https://doi.org/10.3892/ijmm.2017.3127. [ Links ]

482. Di Giacomo, S.; Percaccio, E.; Gullì, M.; Romano, A.; Vitalone, A.; Mazzanti, G.; Gaetani, S.; Di Sotto, A. Recent Advances in the Neuroprotective Properties of Ferulic Acid in Alzheimer’s Disease: A Narrative Review. Nutrients 2022, 14 (18). DOI: https://doi.org/10.3390/nu14183709. [ Links ]

483. Dong, X.; Huang, R. Ferulic acid: An extraordinarily neuroprotective phenolic acid with anti-depressive properties. Phytomedicine 2022, 105. DOI: https://doi.org/10.1016/j.phymed.2022.154355. [ Links ]

484. Hassanzadeh, P.; Arbabi, E.; Atyabi, F.; Dinarvand, R. Ferulic acid, a phenolic compound with therapeutic effects in neuropsychiatric disorders, stimulates the production of nerve growth factor and endocannabinoids in rat brain. Physiol. Pharmacol. (Iran) 2017, 21 (4), 279-294. [ Links ]

485. Liu, G.; Nie, Y.; Huang, C.; Zhu, G.; Zhang, X.; Hu, C.; Li, Z.; Gao, Y.; Ma, Z. Ferulic acid produces neuroprotection against radiation-induced neuroinflammation by affecting NLRP3 inflammasome activation. Int. J. Radiat. Biol. 2022, 98 (9), 1442-1451. DOI: https://doi.org/10.1080/09553002.2022.2055798. [ Links ]

486. Liu, Y. M.; Shen, J. D.; Xu, L. P.; Li, H. B.; Li, Y. C.; Yi, L. T. Ferulic acid inhibits neuro-inflammation in mice exposed to chronic unpredictable mild stress. Int. Immunopharmacol . 2017, 45, 128-134. DOI: https://doi.org/10.1016/j.intimp.2017.02.007. [ Links ]

487. Long, T.; Wu, Q.; Wei, J.; Tang, Y.; He, Y. N.; He, C. L.; Chen, X.; Yu, L.; Yu, C. L.; Law, B. Y.; et al. Ferulic Acid Exerts Neuroprotective Effects via Autophagy Induction in C. elegans and Cellular Models of Parkinson’s Disease. Oxidative Med. Cell. Longev . 2022, 2022. DOI: https://doi.org/10.1155/2022/3723567. [ Links ]

488. Ojha, S.; Javed, H.; Azimullah, S.; Khair, S. B. A.; Haque, M. E. Neuroprotective potential of ferulic acid in the rotenone model of Parkinson’s disease. Drug Des. Devel. Ther . 2015, 9, 5499-5510. DOI: https://doi.org/10.2147/DDDT.S90616. [ Links ]

489. Singh, S.; Arthur, R.; Upadhayay, S.; Kumar, P. Ferulic acid ameliorates neurodegeneration via the Nrf2/ARE signalling pathway: A Review. Pharmacol. Res. Mod. Chin. Med. 2022, 5. DOI: https://doi.org/10.1016/j.prmcm.2022.100190. [ Links ]

490. Thapliyal, S.; Singh, T.; Handu, S.; Bisht, M.; Kumari, P.; Arya, P.; Srivastava, P.; Gandham, R. A Review on Potential Footprints of Ferulic Acid for Treatment of Neurological Disorders. Neurochem. Res . 2021, 46 (5), 1043-1057. DOI: https://doi.org/10.1007/s11064-021-03257-6. [ Links ]

491. Yin, C. L.; Lu, R. G.; Zhu, J. F.; Huang, H. M.; Liu, X.; Li, Q. F.; Mo, Y. Y.; Zhu, H. J.; Chin, B.; Wu, J. X.; et al. The study of neuroprotective effect of ferulic acid based on cell metabolomics. Eur. J. Pharmacol . 2019, 864. DOI: https://doi.org/10.1016/j.ejphar.2019.172694. [ Links ]

492. Prasad, S. N. Neuroprotective efficacy of eugenol and isoeugenol in acrylamide-induced neuropathy in rats: Behavioral and biochemical evidence. Neurochem. Res . 2013, 38 (2), 330-345. DOI: https://doi.org/10.1007/s11064-012-0924-9. [ Links ]

493. Costentin, J. Main neurotropic and psychotropic effects of methylxanthines (caffeine, theophylline, theobromine, paraxanthine). PSN 2010, 8 (4), 182-186. DOI: https://doi.org/10.1007/s11836-010-0141-z. [ Links ]

494. Crotty, G. F.; Maciuca, R.; Macklin, E. A.; Wang, J.; Montalban, M.; Davis, S. S.; Alkabsh, J. I.; Bakshi, R.; Chen, X.; Ascherio, A.; et al. Association of caffeine and related analytes with resistance to Parkinson disease among LRRK2 mutation carriers: A metabolomic study. Neurology 2020, 95 (24), e3428-e3437. DOI: https://doi.org/10.1212/WNL.0000000000010863. [ Links ]

495. Guerreiro, S.; Toulorge, D.; Hirsch, E.; Marien, M.; Sokoloff, P.; Michel, P. P. Paraxanthine, the primary metabolite of caffeine, provides protection against dopaminergic cell death via stimulation of ryanodine receptor channels. Mol. Pharmacol . 2008, 74 (4), 980-989. DOI: https://doi.org/10.1124/mol.108.048207. [ Links ]

496. Matsumura, N.; Kinoshita, C.; Bhadhprasit, W.; Nakaki, T.; Aoyama, K. A purine derivative, paraxanthine, promotes cysteine uptake for glutathione synthesis. J. Pharmacol. Sci. 2023, 151 (1), 37-45. DOI: https://doi.org/10.1016/j.jphs.2022.11.001. [ Links ]

497. Adedara, I. A.; Fasina, O. B.; Ayeni, M. F.; Ajayi, O. M.; Farombi, E. O. Protocatechuic acid ameliorates neurobehavioral deficits via suppression of oxidative damage, inflammation, caspase-3 and acetylcholinesterase activities in diabetic rats. Food Chem. Toxicol. 2019, 125, 170-181. DOI: https://doi.org/10.1016/j.fct.2018.12.040. [ Links ]

498. Al Olayan, E. M.; Aloufi, A. S.; AlAmri, O. D.; El-Habit, O. H.; Abdel Moneim, A. E. Protocatechuic acid mitigates cadmium-induced neurotoxicity in rats: Role of oxidative stress, inflammation and apoptosis. Sci. Total Environ. 2020, 723. DOI: https://doi.org/10.1016/j.scitotenv.2020.137969. [ Links ]

499. Hornedo-Ortega, R.; Álvarez-Fernández, M. A.; Cerezo, A. B.; Richard, T.; Troncoso, A. M.; Garcia-Parrilla, M. C. Protocatechuic Acid: Inhibition of Fibril Formation, Destabilization of Preformed Fibrils of Amyloid-β and α-Synuclein, and Neuroprotection. J. Agric. Food Chem . 2016, 64 (41), 7722-7732. DOI: https://doi.org/10.1021/acs.jafc.6b03217. [ Links ]

500. Kale, S.; Sarode, L. P.; Kharat, A.; Ambulkar, S.; Prakash, A.; Sakharkar, A. J.; Ugale, R. R. Protocatechuic Acid Prevents Early Hour Ischemic Reperfusion Brain Damage by Restoring Imbalance of Neuronal Cell Death and Survival Proteins. J. Stroke Cerebrovasc. Dis. 2021, 30 (2). DOI: https://doi.org/10.1016/j.jstrokecerebrovasdis.2020.105507. [ Links ]

501. Kangtao; Yangqian; Bais, S. Neuroprotective effect of protocatechuic acid through MAO-B inhibition in aluminium chloride induced dementia of alzheimer’s type in rats. Int. J. Pharmacol. 2018, 14 (6), 879-888. DOI: https://doi.org/10.3923/ijp.2018.879.888. [ Links ]

502. Kho, A. R.; Choi, B. Y.; Lee, S. H.; Hong, D. K.; Lee, S. H.; Jeong, J. H.; Park, K. H.; Song, H. K.; Choi, H. C.; Suh, S. W. Effects of protocatechuic acid (PCA) on global cerebral ischemia-induced hippocampal neuronal death. Int. J. Mol. Sci . 2018, 19 (5). DOI: https://doi.org/10.3390/ijms19051420. [ Links ]

503. Krzysztoforska, K.; Mirowska-Guzel, D.; Widy-Tyszkiewicz, E. Pharmacological effects of protocatechuic acid and its therapeutic potential in neurodegenerative diseases: Review on the basis of in vitro and in vivo studies in rodents and humans. Nutr. Neurosci . 2019, 22 (2), 72-82. DOI: https://doi.org/10.1080/1028415X.2017.1354543. [ Links ]

504. Lee, S. H.; Choi, B. Y.; Kho, A. R.; Jeong, J. H.; Hong, D. K.; Lee, S. H.; Lee, S. Y.; Lee, M. W.; Song, H. K.; Choi, H. C.; Suh, S. W. Protective effects of protocatechuic acid on seizure-induced neuronal death. Int. J. Mol. Sci . 2018, 19 (1). DOI: https://doi.org/10.3390/ijms19010187. [ Links ]

505. Lee, S. H.; Choi, B. Y.; Lee, S. H.; Kho, A. R.; Jeong, J. H.; Hong, D. K.; Suh, S. W. Administration of protocatechuic acid reduces traumatic brain injury-induced neuronal death. Int. J. Mol. Sci . 2017, 18 (12). DOI: https://doi.org/10.3390/ijms18122510. [ Links ]

506. Li, H.; Zheng, T.; Lian, F.; Xu, T.; Yin, W.; Jiang, Y. Anthocyanin-rich blueberry extracts and anthocyanin metabolite protocatechuic acid promote autophagy-lysosomal pathway and alleviate neurons damage in in vivo and in vitro models of Alzheimer's disease. Nutrition 2022, 93. DOI: https://doi.org/10.1016/j.nut.2021.111473. [ Links ]

507. Mert, H.; Kerem, Ö.; Mıs, L.; Yıldırım, S.; Mert, N. Effects of protocatechuic acid against cisplatin-induced neurotoxicity in rat brains: an experimental study. Int. J. Neurosci. 2022, 10.1080/00207454.2022.2147430. DOI: https://doi.org/10.1080/00207454.2022.2147430. [ Links ]

508. Winter, A. N.; Brenner, M. C.; Punessen, N.; Snodgrass, M.; Byars, C.; Arora, Y.; Linseman, D. A. Comparison of the Neuroprotective and Anti-Inflammatory Effects of the Anthocyanin Metabolites, Protocatechuic Acid and 4-Hydroxybenzoic Acid. Oxidative Med. Cell. Longev . 2017, 2017. DOI: https://doi.org/10.1155/2017/6297080. [ Links ]

509. Zhang, H. N.; An, C. N.; Zhang, H. N.; Pu, X. P. Protocatechuic acid inhibits neurotoxicity induced by MPTP in vivo. Neurosci. Lett . 2010, 474 (2), 99-103. DOI: https://doi.org/10.1016/j.neulet.2010.03.016. [ Links ]

510. Zhang, Z.; Li, G.; Szeto, S. S. W.; Chong, C. M.; Quan, Q.; Huang, C.; Cui, W.; Guo, B.; Wang, Y.; Han, Y.; et al. Examining the neuroprotective effects of protocatechuic acid and chrysin on in vitro and in vivo models of Parkinson disease. Free Radic. Biol. Med . 2015, 84, 331-343. DOI: https://doi.org/10.1016/j.freeradbiomed.2015.02.030. [ Links ]

511. Lee, M.; McGeer, E. G.; McGeer, P. L. Quercetin, not caffeine, is a major neuroprotective component in coffee. Neurobiol. Aging 2016, 46, 113-123. DOI: https://doi.org/10.1016/j.neurobiolaging.2016.06.015. [ Links ]

512. Alvarez-Arellano, L.; Salazar-García, M.; Corona, J. C. Neuroprotective effects of Quercetin in pediatric neurological diseases. Molecules 2020, 25 (23). DOI: https://doi.org/10.3390/molecules25235597. [ Links ]

513. Barreca, D.; Bellocco, E.; D’Onofrio, G.; Nabavi, S. F.; Daglia, M.; Rastrelli, L.; Nabavi, S. M. Neuroprotective effects of quercetin: From chemistry to medicine. CNS Neurol. Disord. Drug Targets 2016, 15 (8), 964-975. DOI: https://doi.org/10.2174/1871527315666160813175406. [ Links ]

514. Bhat, I. U. H.; Bhat, R. Quercetin: A bioactive compound imparting cardiovascular and neuroprotective benefits: Scope for exploring fresh produce, their wastes, and by-products. Biology 2021, 10 (7). DOI: https://doi.org/10.3390/biology10070586. [ Links ]

515. Chiang, M. C.; Tsai, T. Y.; Wang, C. J. The Potential Benefits of Quercetin for Brain Health: A Review of Anti-Inflammatory and Neuroprotective Mechanisms. Int. J. Mol. Sci . 2023, 24 (7). DOI: https://doi.org/10.3390/ijms24076328. [ Links ]

516. Costa, L. G.; Garrick, J. M.; Roquè, P. J.; Pellacani, C. Mechanisms of Neuroprotection by Quercetin: Counteracting Oxidative Stress and More. Oxidative Med. Cell. Longev . 2016, 2016. DOI: https://doi.org/10.1155/2016/2986796. [ Links ]

517. Fideles, S. O. M.; de Cássia Ortiz, A.; Buchaim, D. V.; de Souza Bastos Mazuqueli Pereira, E.; Parreira, M. J. B. M.; de Oliveira Rossi, J.; da Cunha, M. R.; de Souza, A. T.; Soares, W. C.; Buchaim, R. L. Influence of the Neuroprotective Properties of Quercetin on Regeneration and Functional Recovery of the Nervous System. Antioxidants 2023, 12 (1). DOI: https://doi.org/10.3390/antiox12010149. [ Links ]

518. Khan, H.; Ullah, H.; Aschner, M.; Cheang, W. S.; Akkol, E. K. Neuroprotective effects of quercetin in alzheimer’s disease. Biomolecules 2020, 10 (1). DOI: https://doi.org/10.3390/biom10010059. [ Links ]

519. Ossola, B.; Kääriäinen, T. M.; Männistö, P. T. The multiple faces of quercetin in neuroprotection. Expert Opin. Drug Saf. 2009, 8 (4), 397-409. DOI: https://doi.org/10.1517/14740330903026944. [ Links ]

520. Zhang, L.; Ma, J.; Yang, F.; Li, S.; Ma, W.; Chang, X.; Yang, L. Neuroprotective Effects of Quercetin on Ischemic Stroke: A Literature Review. Front. Pharmacol . 2022, 13. DOI: https://doi.org/10.3389/fphar.2022.854249. [ Links ]

521. Luo, L.; Sun, T.; Yang, L.; Liu, A.; Liu, Q. Q.; Tian, Q. Q.; Wang, Y.; Zhao, M. G.; Yang, Q. Scopoletin ameliorates anxiety-like behaviors in complete Freund's adjuvant-induced mouse model. Mol. Brain 2020, 13 (1). DOI: https://doi.org/10.1186/s13041-020-0560-2. [ Links ]

522. Lee, J. H.; Ki, T. L.; Jae, H. Y.; Nam, I. B.; Dae, K. K. Acetylcholinesterase inhibitors from the twigs of Vaccinium oldhami miquel. Arch. Pharmacol. Res. 2004, 27 (1), 53-56. DOI: https://doi.org/10.1007/BF02980046. [ Links ]

523. Gay, N. H.; Suwanjang, W.; Ruankham, W.; Songtawee, N.; Wongchitrat, P.; Prachayasittikul, V.; Prachayasittikul, S.; Phopin, K. Butein, isoliquiritigenin, and scopoletin attenuate neurodegenerationviaantioxidant enzymes and SIRT1/ADAM10 signaling pathway. RSC Adv. 2020, 10 (28), 16593-16606. DOI: https://doi.org/10.1039/c9ra06056a. [ Links ]

524. Kashyap, P.; Ram, H.; Shukla, S. D.; Kumar, S. Scopoletin: Antiamyloidogenic, Anticholinesterase, and Neuroprotective Potential of a Natural Compound Present in Argyreia speciosa Roots by In Vitro and In Silico Study. Neurosci. Insights 2020, 15. DOI: https://doi.org/10.1177/2633105520937693. [ Links ]

525. Pradhan, P.; Majhi, O.; Biswas, A.; Joshi, V. K.; Sinha, D. Enhanced accumulation of reduced glutathione by Scopoletin improves survivability of dopaminergic neurons in Parkinson’s model. Cell Death Dis. 2020, 11 (9). DOI: https://doi.org/10.1038/s41419-020-02942-8. [ Links ]

526. Zhang, W.; Zhao, W.; Ge, C.; Li, X.; Sun, Z. Scopoletin Attenuates Intracerebral Hemorrhage-Induced Brain Injury and Improves Neurological Performance in Rats. Neuroimmunomodulation 2021, 28 (2), 74-81. DOI: https://doi.org/10.1159/000505731. [ Links ]

527. Ashafaq, M.; Tabassum, H.; Parvez, S. Modulation of Behavioral Deficits and Neurodegeneration by Tannic Acid in Experimental Stroke Challenged Wistar Rats. Mol. Neurobiol . 2017, 54 (8), 5941-5951. DOI: https://doi.org/10.1007/s12035-016-0096-8. [ Links ]

528. Gerzson, M. F. B.; Bona, N. P.; Soares, M. S. P.; Teixeira, F. C.; Rahmeier, F. L.; Carvalho, F. B.; da Cruz Fernandes, M.; Onzi, G.; Lenz, G.; Gonçales, R. A.; et al. Tannic Acid Ameliorates STZ-Induced Alzheimer’s Disease-Like Impairment of Memory, Neuroinflammation, Neuronal Death and Modulates Akt Expression. Neurotox. Res. 2020, 37 (4), 1009-1017. DOI: https://doi.org/10.1007/s12640-020-00167-3. [ Links ]

529. Hasanvand, A.; Hosseinzadeh, A.; Saeedavi, M.; Goudarzi, M.; Basir, Z.; Mehrzadi, S. Neuroprotective effects of tannic acid against kainic acid-induced seizures in mice. Hum. Exp. Toxicol. 2022, 41. DOI: https://doi.org/10.1177/09603271221093989. [ Links ]

530. Kim, S. W.; Kim, D. B.; Kim, H. S. Neuroprotective effects of tannic acid in the postischemic brain via direct chelation of Zn2+. Anim. Cells Syst. 2022, 26 (4), 183-191. DOI: https://doi.org/10.1080/19768354.2022.2113915. [ Links ]

531. Salman, M.; Tabassum, H.; Parvez, S. Tannic Acid Provides Neuroprotective Effects Against Traumatic Brain Injury Through the PGC-1α/Nrf2/HO-1 Pathway. Mol. Neurobiol . 2020, 57 (6), 2870-2885. DOI: https://doi.org/10.1007/s12035-020-01924-3. [ Links ]

532. Wu, Y.; Zhong, L.; Yu, Z.; Qi, J. Anti-neuroinflammatory effects of tannic acid against lipopolysaccharide-induced BV2 microglial cells via inhibition of NF-κB activation. Drug Dev. Res. 2019, 80 (2), 262-268. DOI: https://doi.org/10.1002/ddr.21490. [ Links ]

533. Bhat, J. A.; Gupta, S.; Kumar, M. Neuroprotective effects of theobromine in transient global cerebral ischemia-reperfusion rat model. Biochem. Biophys. Res. Commun . 2021, 571, 74-80. DOI: https://doi.org/10.1016/j.bbrc.2021.07.051. [ Links ]

534. Bhat, J. A.; Kumar, M. Neuroprotective Effects of Theobromine in permanent bilateral common carotid artery occlusion rat model of cerebral hypoperfusion. Metab. Brain Dis . 2022, 37 (6), 1787-1801. DOI: https://doi.org/10.1007/s11011-022-00995-6. [ Links ]

535. Shanahan, P.; O'Sullivan, J.; Tipton, K. F.; Kinsella, G. K.; Ryan, B. J.; Henehan, G. T. M. Theobromine and related methylxanthines as inhibitors of Primary Amine Oxidase. J. Food Biochem . 2019, 43 (2). DOI: https://doi.org/10.1111/jfbc.12697. [ Links ]

536. Dhanalakshmi, C.; Janakiraman, U.; Manivasagam, T.; Justin Thenmozhi, A.; Essa, M. M.; Kalandar, A.; Khan, M. A. S.; Guillemin, G. J. Vanillin Attenuated Behavioural Impairments, Neurochemical Deficts, Oxidative Stress and Apoptosis Against Rotenone Induced Rat Model of Parkinson’s Disease. Neurochem. Res . 2016, 41 (8), 1899-1910. DOI: https://doi.org/10.1007/s11064-016-1901-5. [ Links ]

537. Dhanalakshmi, C.; Manivasagam, T.; Nataraj, J.; Justin Thenmozhi, A.; Essa, M. M. Neurosupportive Role of Vanillin, a Natural Phenolic Compound, on Rotenone Induced Neurotoxicity in SH-SY5Y Neuroblastoma Cells. Evid. Based Complement. Alternat. Med . 2015, 2015. DOI: https://doi.org/10.1155/2015/626028. [ Links ]

538. Iannuzzi, C.; Liccardo, M.; Sirangelo, I. Overview of the Role of Vanillin in Neurodegenerative Diseases and Neuropathophysiological Conditions. Int. J. Mol. Sci . 2023, 24 (3). DOI: https://doi.org/10.3390/ijms24031817. [ Links ]

539. Lan, X. B.; Wang, Q.; Yang, J. M.; Ma, L.; Zhang, W. J.; Zheng, P.; Sun, T.; Niu, J. G.; Liu, N.; Yu, J. Q. Neuroprotective effect of Vanillin on hypoxic-ischemic brain damage in neonatal rats. Biomed. Pharmacother . 2019, 118. DOI: https://doi.org/10.1016/j.biopha.2019.109196. [ Links ]

540. Rani, L.; Ghosh, B.; Ahmad, M. H.; Mondal, A. C. Evaluation of Potential Neuroprotective Effects of Vanillin Against MPP+/MPTP-Induced Dysregulation of Dopaminergic Regulatory Mechanisms in SH-SY5Y Cells and a Mouse Model of Parkinson’s Disease. Mol. Neurobiol . 2023, 10.1007/s12035-023-03358-z. DOI: https://doi.org/10.1007/s12035-023-03358-z. [ Links ]

541. Huang, S. M.; Hsu, C. L.; Chuang, H. C.; Shih, P. H.; Wu, C. H.; Yen, G. C. Inhibitory effect of vanillic acid on methylglyoxal-mediated glycation in apoptotic Neuro-2A cells. Neurotoxicology 2008, 29 (6), 1016-1022. DOI: https://doi.org/10.1016/j.neuro.2008.07.002. [ Links ]

542. Khoshnam, S. E.; Sarkaki, A.; Rashno, M.; Farbood, Y. Memory deficits and hippocampal inflammation in cerebral hypoperfusion and reperfusion in male rats: Neuroprotective role of vanillic acid. Life Sci. 2018, 211, 126-132. DOI: https://doi.org/10.1016/j.lfs.2018.08.065. [ Links ]

543. Siddiqui, S.; Kamal, A.; Khan, F.; Jamali, K. S.; Saify, Z. S. Gallic and vanillic acid suppress inflammation and promote myelination in an in vitro mouse model of neurodegeneration. Mol. Biol. Rep . 2019, 46 (1), 997-1011. DOI: https://doi.org/10.1007/s11033-018-4557-1. [ Links ]

544. Ullah, R.; Ikram, M.; Park, T. J.; Ahmad, R.; Saeed, K.; Alam, S. I.; Rehman, I. U.; Khan, A.; Khan, I.; Jo, M. G.; Kim, M. O. Vanillic acid, a bioactive phenolic compound, counteracts lps-induced neurotoxicity by regulating c-jun n-terminal kinase in mouse brain. Int. J. Mol. Sci . 2021, 22 (1), 1-21. DOI: https://doi.org/10.3390/ijms22010361. [ Links ]

545. Kim, I. S.; Choi, D. K.; Jung, H. J. Neuroprotective effects of vanillyl alcohol in gastrodia elata blume through suppression of oxidative stress and anti-apoptotic activity in toxin-induced dopaminergic MN9D cells. Molecules 2011, 16 (7), 5349-5361. DOI: https://doi.org/10.3390/molecules16075349. [ Links ]

546. Agunloye, O. M.; Oboh, G. Hypercholesterolemia, angiotensin converting enzyme and ecto-enzymes of purinergic system: Ameliorative properties of caffeic and chlorogenic acid in hypercholesterolemic rats. J. Food Biochem . 2018, 42 (5). DOI: https://doi.org/10.1111/jfbc.12604. [ Links ]

547. Farias-Pereira, R.; Oshiro, J.; Kim, K. H.; Park, Y. Green coffee bean extract and 5-O-caffeoylquinic acid regulate fat metabolism in Caenorhabditis elegans. J. Funct. Foods 2018, 48, 586-593. DOI: https://doi.org/10.1016/j.jff.2018.07.049. [ Links ]

548. Adem, Ş.; Eyupoglu, V.; Sarfraz, I.; Rasul, A.; Zahoor, A. F.; Ali, M.; Abdalla, M.; Ibrahim, I. M.; Elfiky, A. A. Caffeic acid derivatives (CAFDs) as inhibitors of SARS-CoV-2: CAFDs-based functional foods as a potential alternative approach to combat COVID-19. Phytomedicine 2021, 85. DOI: https://doi.org/10.1016/j.phymed.2020.153310. [ Links ]

549. Degotte, G.; Pirotte, B.; Frédérich, M.; Francotte, P. Potential of Caffeic Acid Derivatives as Antimalarial Leads. Lett. Drug Des. Discovery 2022, 19 (9), 823-836. DOI: https://doi.org/10.2174/1570180819666220202160247. [ Links ]

550. Ekeuku, S. O.; Pang, K. L.; Chin, K. Y. Effects of caffeic acid and its derivatives on bone: A systematic review. Drug Des. Devel. Ther . 2021, 15, 259-275. DOI: https://doi.org/10.2147/DDDT.S287280. [ Links ]

551. Elkamhawy, A.; Oh, N. K.; Gouda, N. A.; Abdellattif, M. H.; Alshammari, S. O.; Abourehab, M. A. S.; Alshammari, Q. A.; Belal, A.; Kim, M.; Al-Karmalawy, A. A.; Lee, K. Novel Hybrid Indole-Based Caffeic Acid Amide Derivatives as Potent Free Radical Scavenging Agents: Rational Design, Synthesis, Spectroscopic Characterization, In Silico and In Vitro Investigations. Metabolites 2023, 13 (2). DOI: https://doi.org/10.3390/metabo13020141. [ Links ]

552. Huang, C. W.; Lee, S. Y.; Wei, T. T.; Kuo, Y. H.; Wu, S. T.; Ku, H. C. A novel caffeic acid derivative prevents renal remodeling after ischemia/reperfusion injury. Biomed. Pharmacother . 2021, 142. DOI: https://doi.org/10.1016/j.biopha.2021.112028. [ Links ]

553. Jöhrer, K.; Galarza Pérez, M.; Kircher, B.; Çiçek, S. S. Flavones, Flavonols, Lignans, and Caffeic Acid Derivatives from Dracocephalum moldavica and Their In Vitro Effects on Multiple Myeloma and Acute Myeloid Leukemia. Int. J. Mol. Sci . 2022, 23 (22). DOI: https://doi.org/10.3390/ijms232214219. [ Links ]

554. Khan, F.; Bamunuarachchi, N. I.; Tabassum, N.; Kim, Y. M. Caffeic Acid and Its Derivatives: Antimicrobial Drugs toward Microbial Pathogens. J. Agric. Food Chem . 2021, 69 (10), 2979-3004. DOI: https://doi.org/10.1021/acs.jafc.0c07579. [ Links ]

555. Kim, C. K.; Yu, J.; Le, D.; Han, S.; Yu, S.; Lee, M. Anti-inflammatory activity of caffeic acid derivatives from Ilex rotunda. Int. Immunopharmacol . 2023, 115. DOI: https://doi.org/10.1016/j.intimp.2022.109610. [ Links ]

556. Lee, S. Y.; Kuo, Y. H.; Du, C. X.; Huang, C. W.; Ku, H. C. A novel caffeic acid derivative prevents angiotensin II-induced cardiac remodeling. Biomed. Pharmacother . 2023, 162. DOI: https://doi.org/10.1016/j.biopha.2023.114709. [ Links ]

557. Peng, X.; Wu, G.; Zhao, A.; Huang, K.; Chai, L.; Natarajan, B.; Yang, S.; Chen, H.; Lin, C. Synthesis of novel caffeic acid derivatives and their protective effect against hydrogen peroxide induced oxidative stress via Nrf2 pathway. Life Sci. 2020, 247. DOI: https://doi.org/10.1016/j.lfs.2020.117439. [ Links ]

558. Wu, M. Y.; Liu, C. C.; Lee, S. C.; Kuo, Y. H.; Hsieh, T. J. N-Octyl Caffeamide, a Caffeic Acid Amide Derivative, Prevents Progression of Diabetes and Hepatic Steatosis in High-Fat Diet Induced Obese Mice. Int. J. Mol. Sci . 2022, 23 (16). DOI: https://doi.org/10.3390/ijms23168948. [ Links ]

559. Zeng, Y. F.; Su, Y. L.; Liu, W. L.; Chen, H. G.; Zeng, S. G.; Zhou, H. B.; Chen, W. M.; Zheng, J. X.; Sun, P. H. Design and synthesis of caffeic acid derivatives and evaluation of their inhibitory activity against Pseudomonas aeruginosa. Med. Chem. Res . 2022, 31 (1), 177-194. DOI: https://doi.org/10.1007/s00044-021-02810-w. [ Links ]

560. Abu-Hashem, A. A.; Hussein, H. A. R. Synthesis and antitumor activity of new pyrimidine and caffeine derivatives. Lett. Drug Des. Discovery 2015, 12 (6), 471-478. DOI: https://doi.org/10.2174/1570180812666150429234237. [ Links ]

561. Andrs, M.; Muthna, D.; Rezacova, M.; Seifrtova, M.; Siman, P.; Korabecny, J.; Benek, O.; Dolezal, R.; Soukup, O.; Jun, D.; Kuca, K. Novel caffeine derivatives with antiproliferative activity. RSC Adv . 2016, 6 (39), 32534-32539. DOI: https://doi.org/10.1039/c5ra22889a. [ Links ]

562. Boulaamane, Y.; Ibrahim, M. A. A.; Britel, M. R.; Maurady, A. In silico studies of natural product-like caffeine derivatives as potential MAO-B inhibitors/AA2AR antagonists for the treatment of Parkinson's disease. J. Integr. Bioinform. 2022, 19 (4). DOI: https://doi.org/10.1515/jib-2021-0027. [ Links ]

563. Jasiewicz, B.; Sierakowska, A.; Wandyszewska, N.; Warżajtis, B.; Rychlewska, U.; Wawrzyniak, R.; Mrówczyńska, L. Antioxidant properties of thio-caffeine derivatives: Identification of the newly synthesized 8-[(pyrrolidin-1-ylcarbonothioyl)sulfanyl]caffeine as antioxidant and highly potent cytoprotective agent. Bioorg. Med. Chem. Lett. 2016, 26 (16), 3994-3998. DOI: https://doi.org/10.1016/j.bmcl.2016.06.091. [ Links ]

564. Mitkov, J.; Kondeva-Burdina, M.; Zlatkov, A. Synthesis and preliminary hepatotoxicity evaluation of new caffeine-8-(2-thio)-propanoic hydrazid-hydrazone derivatives. Pharmacia 2019, 66 (3), 99-106. DOI: https://doi.org/10.3897/pharmacia.66.e37263. [ Links ]

565. Navid Soltani Rad, M.; Behrouz, S.; Zokaei, K.; Behrouz, M.; Ghanbariasad, A.; Zarenezhad, E. Synthesis of some novel 8-(4-Alkylpiperazinyl) caffeine derivatives as potent anti-Leishmania agents. Bioorg. Chem. 2022, 128. DOI: https://doi.org/10.1016/j.bioorg.2022.106062. [ Links ]

566. Reddy, A. B.; Hymavathi, R. V.; Swamy, G. N.; Sadiku, E. R. Triazino-caffeine derivatives by intramolecular cyclization: Synthesis, characterization and antimicrobial studies. Lett. Org. Chem. 2018, 15 (6), 540-545. DOI: https://doi.org/10.2174/1570178614666171010161357. [ Links ]

567. Reshetnikov, D. V.; Burova, L. G.; Rybalova, T. V.; Bondareva, E. A.; Patrushev, S. S.; Evstropov, A. N.; Shults, E. E. Synthesis and Antibacterial Activity of Caffeine Derivatives Containing Amino-Acid Fragments. Chem. Nat. Compd. 2022, 58 (5), 908-915. DOI: https://doi.org/10.1007/s10600-022-03826-3. [ Links ]

568. Sierakowska, A.; Jasiewicz, B.; Piosik, Ł.; Mrówczyńska, L. New C8-substituted caffeine derivatives as promising antioxidants and cytoprotective agents in human erythrocytes. Sci. Rep . 2023, 13 (1). DOI: https://doi.org/10.1038/s41598-022-27205-8. [ Links ]

569. Hwang, S. H.; Zuo, G.; Wang, Z.; Lim, S. S. Novel aldose reductase inhibitory and antioxidant chlorogenic acid derivatives obtained by heat treatment of chlorogenic acid and amino acids. Food Chem . 2018, 266, 449-457. DOI: https://doi.org/10.1016/j.foodchem.2018.06.053. [ Links ]

570. Jo, H.; Zhou, Y.; Viji, M.; Choi, M.; Lim, J. Y.; Sim, J.; Rhee, J.; Kim, Y.; Seo, S. Y.; Kim, W. J.; et al. Synthesis, biological evaluation, and metabolic stability of chlorogenic acid derivatives possessing thiazole as potent inhibitors of α-MSH-stimulated melanogenesis. Bioorg. Med. Chem. Lett . 2017, 27 (21), 4854-4857. DOI: https://doi.org/10.1016/j.bmcl.2017.09.044. [ Links ]

571. Kataria, R.; Khatkar, A. In-silico design, synthesis, ADMET studies and biological evaluation of novel derivatives of Chlorogenic acid against Urease protein and H. Pylori bacterium. BMC Chemistry 2019, 13 (3). DOI: https://doi.org/10.1186/s13065-019-0556-0. [ Links ]

572. Liu, Z.; Mohsin, A.; Wang, Z.; Zhu, X.; Zhuang, Y.; Cao, L.; Guo, M.; Yin, Z. Enhanced Biosynthesis of Chlorogenic Acid and Its Derivatives in Methyl-Jasmonate-Treated Gardenia jasminoides Cells: A Study on Metabolic and Transcriptional Responses of Cells. Front. bioeng. biotechnol. 2021, 8. DOI: https://doi.org/10.3389/fbioe.2020.604957. [ Links ]

573. Mei, Y.; Pan, D.; Jiang, Y.; Zhang, W.; Yao, X.; Dai, Y.; Yu, Y.; Yao, X. Target discovery of chlorogenic acid derivatives from the flower buds of Lonicera macranthoides and their MAO B inhibitory mechanism. Fitoterapia 2019, 134, 297-304. DOI: https://doi.org/10.1016/j.fitote.2018.12.009. [ Links ]

574. Wang, S.; Li, Y.; Huang, D.; Chen, S.; Xia, Y.; Zhu, S. The inhibitory mechanism of chlorogenic acid and its acylated derivatives on α-amylase and α-glucosidase. Food Chem . 2022, 372. DOI: https://doi.org/10.1016/j.foodchem.2021.131334. [ Links ]

575. Wang, S.; Li, Y.; Meng, X.; Chen, S.; Huang, D.; Xia, Y.; Zhu, S. Antioxidant activities of chlorogenic acid derivatives with different acyl donor chain lengths and their stabilities during in vitro simulated gastrointestinal digestion. Food Chem . 2021, 357. DOI: https://doi.org/10.1016/j.foodchem.2021.129904. [ Links ]

576. Yang, J. Q.; Zeng, F. K.; Li, G.; Xu, T. S.; Shu, B. Synthesis and bioactivity evaluation of novel chlorogenic acid derivatives containing amide group. Chin. Pharm. J. 2016, 51 (4), 264-268. DOI: https://doi.org/10.11669/cpj.2016.04.003. [ Links ]

577. Abdou, A.; Elmakssoudi, A.; El Amrani, A.; JamalEddine, J.; Dakir, M. Recent advances in chemical reactivity and biological activities of eugenol derivatives. Med. Chem. Res . 2021, 30 (5), 1011-1030. DOI: https://doi.org/10.1007/s00044-021-02712-x. [ Links ]

578. Abdou, A.; Idouaarame, S.; Salah, M.; Nor, N.; Zahm, S.; El Makssoudi, A.; Mazoir, N.; Benharref, A.; Dari, A.; Eddine, J. J.; et al. Phytochemical Study: Molecular Docking of Eugenol Derivatives as Antioxidant and Antimicrobial Agents. Lett. Org. Chem . 2022, 19 (9), 774-783. DOI: https://doi.org/10.2174/1570178619666220111112125. [ Links ]

579. Alam, M. M. Synthesis and anticancer activity of novel Eugenol derivatives against breast cancer cells. Nat. Prod. Res . 2023, 37 (10), 1632-1640. DOI: https://doi.org/10.1080/14786419.2022.2103809. [ Links ]

580. Alam, M. M.; Elbehairi, S. E. I.; Shati, A. A.; Hussien, R. A.; Alfaifi, M. Y.; Malebari, A. M.; Asad, M.; Elhenawy, A. A.; Asiri, A. M.; Mahzari, A. M.; et al. Design, synthesis and biological evaluation of new eugenol derivatives containing 1,3,4-oxadiazole as novel inhibitors of thymidylate synthase. New J. Chem. 2023, 47 (10), 5021-5032. DOI: https://doi.org/10.1039/d2nj05711e. [ Links ]

581. Anjum, N. F.; Purohit, M. N.; Yogish Kumar, H.; Ramya, K.; Javid, S.; Salahuddin, M. D.; Prashantha Kumar, B. R. Semisynthetic Derivatives of Eugenol and their Biological Properties: A Fleeting Look at the Promising Molecules . J. Biol. Active Prod. Nat. 2020, 10 (5), 379-404. DOI: https://doi.org/10.1080/22311866.2020.1837674. [ Links ]

582. Anjum, N. F.; Shanmugarajan, D.; Prashantha Kumar, B. R.; Faizan, S.; Durai, P.; Raju, R. M.; Javid, S.; Purohit, M. N. Novel Derivatives of Eugenol as a New Class of PPARγ Agonists in Treating Inflammation: Design, Synthesis, SAR Analysis and In Vitro Anti-Inflammatory Activity. Molecules 2023, 28 (9). DOI: https://doi.org/10.3390/molecules28093899. [ Links ]

583. Anjum, N. F.; Shanmugarajan, D.; Shivaraju, V. K.; Faizan, S.; Naishima, N. L.; Prashantha Kumar, B. R.; Javid, S.; Purohit, M. N. Novel derivatives of eugenol as potent anti-inflammatory agents via PPARγ agonism: rational design, synthesis, analysis, PPARγ protein binding assay and computational studies. RSC Adv . 2022, 12 (26), 16966-16978. DOI: https://doi.org/10.1039/d2ra02116a. [ Links ]

584. Arianie, L.; Supriatna, M. I.; Kazal, N.; Widodo, N.; Warsito, W.; Iftitah, E. D. Synthesis, In vitro, and In silico Studies of Methyl Eugenol Derivatives for Plasmodium falciparum Inhibitor. Trop. J. Nat. Prod. Res . 2022, 6 (9), 1446-1454. DOI: https://doi.org/10.26538/tjnpr/v6i9.19. [ Links ]

585. Dutra, J. A. P.; Maximino, S. C.; Gonçalves, R.; Morais, P. A. B.; de Lima Silva, W.; Rodrigues, R. P.; Neto, Á. C.; Júnior, V. L.; de Souza Borges, W.; Kitagawa, R. R. Anti-Candida, docking studies, and in vitro metabolism-mediated cytotoxicity evaluation of Eugenol derivatives. Chem. Biol. Drug Des. 2023, 101 (2), 350-363. DOI: https://doi.org/10.1111/cbdd.14131. [ Links ]

586. Elattar, E. M.; Galala, A. A.; Saad, H. E. A.; Badria, F. A. Hyaluronidase Inhibitory Activity and In Silico Docking Study of New Eugenol 1,2,3-triazole Derivatives. Chem. Select 2022, 7 (42). DOI: https://doi.org/10.1002/slct.202202194. [ Links ]

587. Fernandes, M. J. G.; Pereira, R. B.; Pereira, D. M.; Fortes, A. G.; Castanheira, E. M. S.; Gonçalves, M. S. T. New eugenol derivatives with enhanced insecticidal activity. Int. J. Mol. Sci . 2020, 21 (23), 1-14. DOI: https://doi.org/10.3390/ijms21239257. [ Links ]

588. Lima, Â. M. A.; de Paula, W. T.; Leite, I. C. H. L.; Gazolla, P. A. R.; de Abreu, L. M.; Fonseca, V. R.; Romão, W.; Lacerda, V.; de Queiroz, V. T.; Teixeira, R. R.; Costa, A. V. Synthesis of Eugenol-Fluorinated Triazole Derivatives and Evaluation of Their Fungicidal Activity. J. Braz. Chem. Soc. 2022, 33 (10), 1200-1210. DOI: https://doi.org/10.21577/0103-5053.20220040. [ Links ]

589. Maurya, A. K.; Agarwal, K.; Gupta, A. C.; Saxena, A.; Nooreen, Z.; Tandon, S.; Ahmad, A.; Bawankule, D. U. Synthesis of eugenol derivatives and its anti-inflammatory activity against skin inflammation. Nat. Prod. Res . 2020, 34 (2), 251-260. DOI: https://doi.org/10.1080/14786419.2018.1528585. [ Links ]

590. Maximino, S. C.; Dutra, J. A. P.; Rodrigues, R. P.; Gonçalves, R. C. R.; Morais, P. A. B.; Ventura, J. A.; Schuenck, R. P.; Júnior, V. L.; Kitagawa, R. R.; Borges, W. S. Synthesis of eugenol derivatives and evaluation of their antifungal activity against fusarium solani f. Sp. piperis. Curr. Pharm. Des . 2020, 26 (14), 1532-1542. DOI: https://doi.org/10.2174/1381612826666200403120448. [ Links ]

591. Moraes, A. M.; da Silva, E. T.; Wardell, J. L.; de Souza, M. V. N. Synthesis and First-Time Assessment of o-Eugenol Derivatives against Mycobacterium tuberculosis. Chem. Nat. Compd . 2020, 56 (4), 633-638. DOI: https://doi.org/10.1007/s10600-020-03110-2. [ Links ]

592. Muniz, D. F.; dos Santos Barbosa, C. R.; de Menezes, I. R. A.; de Sousa, E. O.; Pereira, R. L. S.; Júnior, J. T. C.; Pereira, P. S.; de Matos, Y. M. L. S.; da Costa, R. H. S.; de Morais Oliveira-Tintino, C. D.; et al. In vitro and in silico inhibitory effects of synthetic and natural eugenol derivatives against the NorA efflux pump in Staphylococcus aureus. Food Chem . 2021, 337. DOI: https://doi.org/10.1016/j.foodchem.2020.127776. [ Links ]

593. Nour, H.; Abdou, A.; Belaidi, S.; Jamal, J.; Elmakssoudi, A.; Dakir, M.; Chtita, S. Discovery of promising cholinesterase inhibitors for Alzheimer's disease treatment through DFT, docking, and molecular dynamics studies of eugenol derivatives. J. Chin. Chem. Soc. 2022, 69 (9), 1534-1551. DOI: https://doi.org/10.1002/jccs.202200195. [ Links ]

594. Nunes, D. O. S.; Vinturelle, R.; Martins, F. J.; dos Santos, T. F.; Valverde, A. L.; Ribeiro, C. M. R.; Castro, H. C.; Folly, E. Biotechnological Potential of Eugenol and Thymol Derivatives Against Staphylococcus aureus from Bovine Mastitis. Curr. Microbiol. 2021, 78 (5), 1846-1855. DOI: https://doi.org/10.1007/s00284-021-02344-9. [ Links ]

595. Pelozo, M. F.; Lima, G. F. S.; Cordeiro, C. F.; Silva, L. S.; Caldas, I. S.; Carvalho, D. T.; Lavorato, S. N.; Hawkes, J. A.; Franco, L. L. Synthesis of new hybrid derivatives from metronidazole and eugenol analogues as trypanocidal agents. J. Pharm. Pharm. Sci. 2021, 24, 421-434. DOI: https://doi.org/10.18433/jpps31839. [ Links ]

596. Teixeira, R. R.; Rodrigues Gazolla, P. A.; Borsodi, M. P. G.; Castro Ferreira, M. M.; Andreazza Costa, M. C.; Costa, A. V.; Cabral Abreu Grijó, B.; Rossi Bergmann, B.; Lima, W. P. Eugenol derivatives with 1,2,3-triazole moieties: Oral treatment of cutaneous leishmaniasis and a quantitative structure-activity relationship model for their leishmanicidal activity. Exp. Parasitol. 2022, 238. DOI: https://doi.org/10.1016/j.exppara.2022.108269. [ Links ]

597. Wu, J.; Yin, W.; Zhang, Y.; Ye, H.; Li, Y.; Tian, J.; Huang, Z.; Zhang, Y. Design and synthesis of the ring-opened derivative of 3-n-butylphthalide-ferulic acid-glucose trihybrids as potential anti-ischemic agents. Chin. Chem. Lett. 2020, 31 (7), 1881-1886. DOI: https://doi.org/10.1016/j.cclet.2020.02.031. [ Links ]

598. Wu, Y.; Shi, Y. G.; Zheng, X. L.; Dang, Y. L.; Zhu, C. M.; Zhang, R. R.; Fu, Y. Y.; Zhou, T. Y.; Li, J. H. Lipophilic ferulic acid derivatives protect PC12 cells against oxidative damage: Via modulating β-amyloid aggregation and activating Nrf2 enzymes. Food Funct . 2020, 11 (5), 4707-4718. DOI: https://doi.org/10.1039/d0fo00800a. [ Links ]

599. Yuan, T.; Wang, Z.; Lan, S.; Gan, X. Design, synthesis, antiviral activity, and mechanisms of novel ferulic acid derivatives containing amide moiety. Bioorg. Chem . 2022, 128. DOI: https://doi.org/10.1016/j.bioorg.2022.106054. [ Links ]

600. Xie, Y.; Liu, Y.; Sun, J.; Zheng, L. Synthesis of mitochondria-targeted ferulic acid amide derivatives with antioxidant, anti-inflammatory activities and inducing mitophagy. Bioorg. Chem . 2022, 127. DOI: https://doi.org/10.1016/j.bioorg.2022.106037. [ Links ]

601. Kolaj, I.; Wang, Y.; Ye, K.; Meek, A.; Liyanage, S. I.; Santos, C.; Weaver, D. F. Ferulic acid amide derivatives with varying inhibition of amyloid-β oligomerization and fibrillization. Bioorg. Med. Chem. 2021, 43. DOI: https://doi.org/10.1016/j.bmc.2021.116247. [ Links ]

602. Wang, F.; Peng, Q.; Liu, J.; Alolga, R. N.; Zhou, W. A novel ferulic acid derivative attenuates myocardial cell hypoxia reoxygenation injury through a succinate dehydrogenase dependent antioxidant mechanism. Eur. J. Pharmacol . 2019, 856, 172417. DOI: https://doi.org/10.1016/j.ejphar.2019.172417. [ Links ]

603. Montaser, A.; Huttunen, J.; Ibrahim, S. A.; Huttunen, K. M. Astrocyte-Targeted Transporter-Utilizing Derivatives of Ferulic Acid Can Have Multifunctional Effects Ameliorating Inflammation and Oxidative Stress in the Brain. Oxidative Med. Cell. Longev . 2019, 2019. DOI: https://doi.org/10.1155/2019/3528148. [ Links ]

604. Khatkar, A.; Nanda, A.; Kumar, P.; Narasimhan, B. Synthesis and antimicrobial evaluation of ferulic acid derivatives. Res. Chem. Intermed. 2015, 41 (1), 299-309. DOI: https://doi.org/10.1007/s11164-013-1192-2. [ Links ]

605. Drăgan, M.; Stan, C. D.; Iacob, A. T.; Dragostin, O. M.; Boancă, M.; Lupuşoru, C. E.; Zamfir, C. L.; Profire, L. Biological evaluation of azetidine-2-one derivatives of ferulic acid as promising anti-inflammatory agents. Processes 2020, 8 (11), 1-19. DOI: https://doi.org/10.3390/pr8111401. [ Links ]

606. Drăgan, M.; Stan, C. D.; Iacob, A.; Profire, L. Assessment of in vitro antioxidant and anti-inflammatory activities of new azetidin-2-one derivatives of ferulic acid. Farmacia 2016, 64 (5), 717-721. [ Links ]

607. Lan, J. S.; Zeng, R. F.; Jiang, X. Y.; Hou, J. W.; Liu, Y.; Hu, Z. H.; Li, H. X.; Li, Y.; Xie, S. S.; Ding, Y.; Zhang, T. Design, synthesis and evaluation of novel ferulic acid derivatives as multi-target-directed ligands for the treatment of Alzheimer's disease. Bioorg. Chem . 2020, 94. DOI: https://doi.org/10.1016/j.bioorg.2019.103413. [ Links ]

608. Gan, X.; Zhang, W.; Lan, S.; Hu, D. Novel Cyclized Derivatives of Ferulic Acid as Potential Antiviral Agents through Activation of Photosynthesis. J. Agric. Food Chem . 2023, 71 (3), 1369-1380. DOI: https://doi.org/10.1021/acs.jafc.2c06422. [ Links ]

609. Sang, Z.; Wang, K.; Han, X.; Cao, M.; Tan, Z.; Liu, W. Design, Synthesis, and Evaluation of Novel Ferulic Acid Derivatives as Multi-Target-Directed Ligands for the Treatment of Alzheimer's Disease. ACS Chem. Neurosci. 2019, 10 (2), 1008-1024. DOI: https://doi.org/10.1021/acschemneuro.8b00530. [ Links ]

610. Jung, J. S.; Yan, J. J.; Li, H. M.; Sultan, M. T.; Yu, J.; Lee, H. S.; Shin, K. J.; Song, D. K. Protective effects of a dimeric derivative of ferulic acid in animal models of Alzheimer's disease. Eur. J. Pharmacol . 2016, 782, 30-34. DOI: https://doi.org/10.1016/j.ejphar.2016.04.047. [ Links ]

611. Yue, S. J.; Zhang, P. X.; Zhu, Y.; Li, N. G.; Chen, Y. Y.; Li, J. J.; Zhang, S.; Jin, R. Y.; Yan, H.; Shi, X. Q.; et al. A ferulic acid derivative FXS-3 inhibits proliferation and metastasis of human lung cancer A549 cells via positive JNK signaling pathway and negative ERK/p38, AKt/mTOR and MEK/ERK signaling pathways. Molecules 2019, 24 (11). DOI: https://doi.org/10.3390/molecules24112165. [ Links ]

612. Pinheiro, P. G.; Santiago, G. M. P.; da Silva, F. E. F.; de Araújo, A. C. J.; de Oliveira, C. R. T.; Freitas, P. R.; Rocha, J. E.; Neto, J. B. D. A.; da Silva, M. M. C.; Tintino, S. R.; et al. Ferulic acid derivatives inhibiting Staphylococcus aureus tetK and MsrA efflux pumps. Biotechnol. Rep. 2022, 34. DOI: https://doi.org/10.1016/j.btre.2022.e00717. [ Links ]

613. Pinheiro, P.; Santiago, G.; Da Silva, F.; De Araujo, A.; De Oliveira, C.; Freitas, P.; Rocha, J.; De Araujo Neto, J.; Da Silva, M.; Tintino, S.; et al. Antibacterial activity and inhibition against Staphylococcus aureus NorA efflux pump by ferulic acid and its esterified derivatives. Asian Pac. J. Trop. Biomed . 2021, 11 (9), 405-413. DOI: https://doi.org/10.4103/2221-1691.321130. [ Links ]

614. Kong, H.; Fu, X.; Chang, X.; Ding, Z.; Yu, Y.; Xu, H.; Wang, R.; Shan, Y.; Ding, S. The ester derivatives of ferulic acid exhibit strong inhibitory effect on the growth of Alternaria alternata in vitro and in vivo. Postharvest Biol. Technol. 2023, 196. DOI: https://doi.org/10.1016/j.postharvbio.2022.112158. [ Links ]

615. Zhang, P. X.; Lin, H.; Qu, C.; Tang, Y. P.; Li, N. G.; Kai, J.; Shang, G.; Li, B.; Zhang, L.; Yan, H.; et al. Design, synthesis, and in vitro antiplatelet aggregation activities of ferulic acid derivatives. J. Chem. 2015, 2015, 1-7. DOI: https://doi.org/10.1155/2015/376527. [ Links ]

616. Li, W.; Li, N.; Tang, Y.; Li, B.; Liu, L.; Zhang, X.; Fu, H.; Duan, J. A. Biological activity evaluation and structure-activity relationships analysis of ferulic acid and caffeic acid derivatives for anticancer. Bioorg. Med. Chem. Lett . 2012, 22 (19), 6085-6088. DOI: https://doi.org/10.1016/j.bmcl.2012.08.038. [ Links ]

617. Wang, F.; Yang, L.; Huang, K.; Li, X.; Hao, X.; Stöckigt, J.; Zhao, Y. Preparation of ferulic acid derivatives and evaluation of their xanthine oxidase inhibition activity. Nat. Prod. Res . 2007, 21 (3), 196-202. DOI: https://doi.org/10.1080/14786410601129648. [ Links ]

618. Serafim, T. L.; Carvalho, F. S.; Marques, M. P. M.; Calheiros, R.; Silva, T.; Garrido, J.; Milhazes, N.; Borges, F.; Roleira, F.; Silva, E. T.; et al. Lipophilic caffeic and ferulic acid derivatives presenting cytotoxicity against human breast cancer cells. Chem. Res. Toxicol. 2011, 24 (5), 763-774. DOI: https://doi.org/10.1021/tx200126r. [ Links ]

619. Adeyemi, O. S.; Atolani, O.; Banerjee, P.; Arolasafe, G.; Preissner, R.; Etukudoh, P.; Ibraheem, O. Computational and experimental validation of antioxidant properties of synthesized bioactive ferulic acid derivatives. Int. J. Food Prop . 2018, 21 (1), 101-113. DOI: https://doi.org/10.1080/10942912.2018.1439958. [ Links ]

620. Kikugawa, M.; Tsutsuki, H.; Ida, T.; Nakajima, H.; Ihara, H.; Sakamoto, T. Water-soluble ferulic acid derivatives improve amyloid-β-induced neuronal cell death and dysmnesia through inhibition of amyloid-β aggregation. Biosci. Biotechnol. Biochem. 2016, 80 (3), 547-553A. DOI: https://doi.org/10.1080/09168451.2015.1107463. [ Links ]

621. Malik, S. A.; Ali, K. F.; Dawood, A. H. Synthesis, Characterization, and Preliminary Evaluation of Ferulic Acid Derivatives Containing Heterocyclic Moiety. J. Med. Chem. Sci. 2023, 6 (6), 1444-1456. DOI: https://doi.org/10.26655/JMCHEMSCI.2023.6.24. [ Links ]

622. Machado, K. C.; Oliveira, G. L. S.; Islam, M. T.; Junior, A. L. G.; De Sousa, D. P.; Freitas, R. M. Anticonvulsant and behavioral effects observed in mice following treatment with an ester derivative of ferulic acid: Isopentyl ferulate. Chem. Biol. Interact . 2015, 242, 273-279. DOI: https://doi.org/10.1016/j.cbi.2015.10.003. [ Links ]

623. Bautista-Aguilera, O. M.; Alonso, J. M.; Catto, M.; Iriepa, I.; Knez, D.; Gobec, S.; Marco-Contelles, J. N-Hydroxy-N-Propargylamide Derivatives of Ferulic Acid: Inhibitors of Cholinesterases and Monoamine Oxidases. Molecules 2022, 27 (21). DOI: https://doi.org/10.3390/molecules27217437. [ Links ]

624. Sang, Z.; Pan, W.; Wang, K.; Ma, Q.; Yu, L.; Yang, Y.; Bai, P.; Leng, C.; Xu, Q.; Li, X.; et al. Design, synthesis and evaluation of novel ferulic acid-O-alkylamine derivatives as potential multifunctional agents for the treatment of Alzheimer's disease. Eur. J. Med. Chem. 2017, 130, 379-392. DOI: https://doi.org/10.1016/j.ejmech.2017.02.039. [ Links ]

625. Cui, M. Y.; Xiao, M. W.; Xu, L. J.; Chen, Y.; Liu, A. L.; Ye, J.; Hu, A. X. Bioassay of ferulic acid derivatives as influenza neuraminidase inhibitors. Arch. Pharm. 2020, 353 (1). DOI: https://doi.org/10.1002/ardp.201900174. [ Links ]

626. Adeyemi, O. S.; Awakan, O. J.; Atolani, O.; Iyeye, C. O.; Oweibo, O. O.; Adejumo, O. J.; Ibrahim, A.; Batiha, G. E. S. New ferulic acid derivatives protect against carbon tetrachloride-induced liver injury in rats. Open Biochem. J. 2019, 13 (1), 13-22. DOI: https://doi.org/10.2174/1874091X01913010013. [ Links ]

627. Yuan, T.; Wang, Z.; Liu, D.; Zeng, H.; Liang, J.; Hu, D.; Gan, X. Ferulic acid derivatives with piperazine moiety as potential antiviral agents. Pest Manag. Sci . 2022, 78 (4), 1749-1758. DOI: https://doi.org/10.1002/ps.6794. [ Links ]

628. Pellerito, C.; Emanuele, S.; Ferrante, F.; Celesia, A.; Giuliano, M.; Fiore, T. Tributyltin(IV) ferulate, a novel synthetic ferulic acid derivative, induces autophagic cell death in colon cancer cells: From chemical synthesis to biochemical effects. J. Inorg. Biochem. 2020, 205, 110999. DOI: https://doi.org/10.1016/j.jinorgbio.2020.110999. [ Links ]

629. Guzmán-López, E. G.; Reina, M.; Hernández-Ayala, L. F.; Galano, A. Rational Design of Multifunctional Ferulic Acid Derivatives Aimed for Alzheimer's and Parkinson's Diseases. Antioxidants 2023; 12 (6), 1256, DOI: https://doi.org/10.3390/antiox12061256. [ Links ]

630. Basas-Jaumandreu, J.; López, J.; De Las Heras, F. X. C. Resorcinol and m-guaiacol alkylated derivatives and asymmetrical secondary alcohols in the leaves from Tamarix canariensis. Phytochem. Lett. 2014, 10, 240-248. DOI: https://doi.org/10.1016/j.phytol.2014.10.009. [ Links ]

631. Ordoudi, S. A.; Tsimidou, M. Z.; Vafiadis, A. P.; Bakalbassis, E. G. Structure-DPPH• scavenging activity relationships: Parallel study of catechol and guaiacol acid derivatives. J. Agric. Food Chem . 2006, 54 (16), 5763-5768. DOI: https://doi.org/10.1021/jf060132x. [ Links ]

632. Premkumar, J.; Sampath, P.; Sanjay, R.; Chandrakala, A.; Rajagopal, D. Synthetic Guaiacol Derivatives as Promising Myeloperoxidase Inhibitors Targeting Atherosclerotic Cardiovascular Disease. ChemMedChem 2020, 15 (13), 1187-1199. DOI: https://doi.org/10.1002/cmdc.202000084. [ Links ]

633. Bhagat, S. D.; Mathur, R. K.; Siddhanta, N. N. Synthesis of New Derivatives of Eugenol and Isoeugenol. J. Chem. amp; Eng. Data 1982, 27 (2), 209-210. DOI: https://doi.org/10.1021/je00028a033. [ Links ]

634. Nafie, M. S.; Elghazawy, N. H.; Owf, S. M.; Arafa, K.; Abdel-Rahman, M. A.; Arafa, R. K. Control of ER-positive breast cancer by ERα expression inhibition, apoptosis induction, cell cycle arrest using semisynthetic isoeugenol derivatives. Chem. Biol. Interact . 2022, 351. DOI: https://doi.org/10.1016/j.cbi.2021.109753. [ Links ]

635. Shen, K. P.; Chang, W. T.; Lin, H. L.; Chu, L. W.; Chen, I. J.; Wu, B. N. Structure-activity relationships of isoeugenol-based chlorophenylpiperazine derivatives on serotonergic/adrenergic receptor, platelet aggregation, and lipid peroxidation. Drug Dev. Res . 2010, 71 (5), 285-293. DOI: https://doi.org/10.1002/ddr.20373. [ Links ]

636. Zuhrufa, Z.; Julianto, T. S. Molecular Interaction Analysis of COX-2 against Aryl Amino Alcohol Derivatives from Isoeugenol as Anti Breast Cancer using Molecular Docking. Bull. Chem. React. Eng. Catal. 2021, 16 (3), 581-587. DOI: https://doi.org/10.9767/BCREC.16.3.10324.581-587. [ Links ]

637. Lu, W.; Wang, F.; Zhang, T.; Dong, J.; Gao, H.; Su, P.; Shi, Y.; Zhang, J. Search for novel histone deacetylase inhibitors. Part II: Design and synthesis of novel isoferulic acid derivatives. Bioorg. Med. Chem . 2014, 22 (9), 2707-2713. DOI: https://doi.org/10.1016/j.bmc.2014.03.019. [ Links ]

638. Merlani, M.; Barbakadze, V.; Amiranashvili, L.; Gogilashvili, L. Synthesis of new dihydroxylated derivatives of ferulic and isoferulic acids. Bull. Georgian Natl. Acad. Sci. 2018, 12 (4), 119-124. [ Links ]

639. Ekowati, J.; Diyah, N. W.; Syahrani, A. Synthesis and antiplatelet activities of some derivatives of p-coumaric acid. Chem. Chem. Technol. 2019, 13 (3), 296-302. DOI: https://doi.org/10.23939/chcht13.03.296. [ Links ]

640. Khatkar, A.; Nanda, A.; Kumar, P.; Narasimhan, B. Synthesis, antimicrobial evaluation and QSAR studies of p-coumaric acid derivatives. Arab. J. Chem . 2017, 10, S3804-S3815. DOI: https://doi.org/10.1016/j.arabjc.2014.05.018. [ Links ]

641. Lopes, S. P.; Castillo, Y. P.; Monteiro, M. L.; de Menezes, R. R. P. P. B.; Almeida, R. N.; Martins, A. M. C.; de Sousa, D. P. Trypanocidal mechanism of action and in silico studies of p-coumaric acid derivatives. Int. J. Mol. Sci . 2019, 20 (23). DOI: https://doi.org/10.3390/ijms20235916. [ Links ]

642. Lopes, S. P.; Yepe, L. M.; Pérez-Castillo, Y.; Robledo, S. M.; De Sousa, D. P. Alkyl and aryl derivatives based on p-coumaric acid modification and inhibitory action against leishmania braziliensis and plasmodium falciparum. Molecules 2020, 25 (14). DOI: https://doi.org/10.3390/molecules25143178. [ Links ]

643. Rodrigues, D. M.; Portapilla, G. B.; de Sicco, G. S.; da Silva, I. F. R.; de Albuquerque, S.; Bastos, J. K.; Campo, V. L. Novel synthetic derivatives of cinnamic and p-coumaric acids with antiproliferative effect on breast MCF-7 tumor cells. Nat. Prod. Res . 2023, 10.1080/14786419.2023.2177992. DOI: https://doi.org/10.1080/14786419.2023.2177992. [ Links ]

644. Shirai, A.; Kajiura, M.; Matsumura, K.; Omasa, T. Improved photobactericidal activity of ultraviolet-a light in combination with isomerizable p-coumaric acid derivatives. Biocontrol Sci . 2015, 20 (4), 231-238. DOI: https://doi.org/10.4265/bio.20.231. [ Links ]

645. Reina, M.; Guzmán-López, E. G.; Romeo, I.; Marino, T.; Russo, N.; Galano, A. Computationally designed: P -coumaric acid analogs: Searching for neuroprotective antioxidants. New J. Chem . 2021, 45 (32), 14369-14380. DOI: https://doi.org/10.1039/d1nj01235e. [ Links ]

646. Cho, J.; Jung, H.; Kang, D. Y.; Sp, N.; Shin, W.; Lee, J.; Park, B. G.; Kang, Y. A.; Jang, K. J.; Bae, S. W. The Skin-Whitening and Antioxidant Effects of Protocatechuic Acid (PCA) Derivatives in Melanoma and Fibroblast Cell Lines. Curr. Issues Mol. Biol. 2023, 45 (3), 2157-2169. DOI: https://doi.org/10.3390/cimb45030138. [ Links ]

647. Lu, F. J.; Tseng, S. N.; Li, M. L.; Shih, S. R. In vitro anti-influenza virus activity of synthetic humate analogues derived from protocatechuic acid. Arch. Virol. 2002, 147 (2), 273-284. DOI: https://doi.org/10.1007/s705-002-8319-5. [ Links ]

648. Reis, B.; Martins, M.; Barreto, B.; Milhazes, N.; Garrido, E. M.; Silva, P.; Garrido, J.; Borges, F. Structure-property-activity relationship of phenolic acids and derivatives. Protocatechuic acid alkyl esters. J. Agric. Food Chem . 2010, 58 (11), 6986-6993. DOI: https://doi.org/10.1021/jf100569j. [ Links ]

649. Saito, S.; Kawabata, J. Effects of electron-withdrawing substituents on DPPH radical scavenging reactions of protocatechuic acid and its analogues in alcoholic solvents. Tetrahedron 2005, 61 (34), 8101-8108. DOI: https://doi.org/10.1016/j.tet.2005.06.040. [ Links ]

650. Sheng, G. H.; Zhou, Q. C.; Hu, X. M.; Wang, C. F.; Chen, X. F.; Xue, D.; Yan, K.; Ding, S. S.; Wang, J.; Du, Z. Y.; et al. Synthesis, structure, urease inhibitory, and cytotoxic activities of two complexes with protocatechuic acid derivative and phenanthroline. J. Coord. Chem. 2015, 68 (9), 1571-1582. DOI: https://doi.org/10.1080/00958972.2015.1023718. [ Links ]

651. Sheng, G. H.; Zhou, Q. C.; Sun, J.; Cheng, X. S.; Qian, S. S.; Zhang, C. Y.; You, Z. L.; Zhu, H. L. Synthesis, structure, and urease inhibitory activities of three binuclear copper(II) complexes with protocatechuic acid derivative. J. Coord. Chem . 2014, 67 (7), 1265-1278. DOI: https://doi.org/10.1080/00958972.2014.910597. [ Links ]

652. Wei, J.; Liu, K.; Du, C.; Zhou, Y.; Lin, C. A Novel Mannich Derivative of Protocatechuic Acid: Synthesis, Crystal Structure and Antioxidant Activity. Proc. Natl. Acad. Sci. India Sect. A - Phys. Sci. 2017, 87 (2), 181-188. DOI: https://doi.org/10.1007/s40010-017-0356-7. [ Links ]

653. Cai, X.; Yang, J.; Zhou, J.; Lu, W.; Hu, C.; Gu, Z.; Huo, J.; Wang, X.; Cao, P. Synthesis and biological evaluation of scopoletin derivatives. Bioorg. Med. Chem . 2013, 21 (1), 84-92. DOI: https://doi.org/10.1016/j.bmc.2012.10.059. [ Links ]

654. Khunnawutmanotham, N.; Chimnoi, N.; Saparpakorn, P.; Techasakul, S. Synthesis and anti-acetylcholinesterase activity of scopoletin derivatives. Bioorg. Chem . 2016, 65, 137-145. DOI: https://doi.org/10.1016/j.bioorg.2015.12.002. [ Links ]

655. Liu, C.; Zheng, P.; Wang, H.; Wei, Y.; Wang, C.; Hao, S. Design and Synthesis of Scopoletin Sulfonate Derivatives as Potential Insecticidal Agents. Molecules 2023, 28 (2). DOI: https://doi.org/10.3390/molecules28020530. [ Links ]

656. Liu, W.; Hua, J.; Zhou, J.; Zhang, H.; Zhu, H.; Cheng, Y.; Gust, R. Synthesis and in vitro antitumor activity of novel scopoletin derivatives. Bioorg. Med. Chem. Lett . 2012, 22 (15), 5008-5012. DOI: https://doi.org/10.1016/j.bmcl.2012.06.014. [ Links ]

657. Lu, X.; Zhu, C.; Zhang, C.; Li, X.; Yu, Z.; Zhang, Z.; Shi, X. Design, synthesis and biological evaluation of 3-aryl-7-hydroxy scopoletin derivatives as autophagy activators against tumorigenesis. Eur. J. Med. Chem . 2022, 244. DOI: https://doi.org/10.1016/j.ejmech.2022.114805. [ Links ]

658. Luo, J.; Lai, T.; Guo, T.; Chen, F.; Zhang, L.; Ding, W.; Zhang, Y. Synthesis and acaricidal activities of scopoletin phenolic ether derivatives: Qsar, molecular docking study and in silico Adme predictions. Molecules 2018, 23 (5). DOI: https://doi.org/10.3390/molecules23050995. [ Links ]

659. Shi, W.; Zhang, J.; Bao, N.; Guan, F.; Chen, L.; Sun, J. Design, synthesis, and cytotoxic evaluation of novel scopoletin derivatives. Chem. Biol. Drug Des . 2018, 91 (2), 641-646. DOI: https://doi.org/10.1111/cbdd.13120. [ Links ]

660. Shi, Z.; Chen, L.; Sun, J. Novel scopoletin derivatives kill cancer cells by inducing mitochondrial depolarization and apoptosis. Anticancer Agents Med. Chem. 2021, 21 (14), 1774-1782. DOI: https://doi.org/10.2174/1871520621666201207094416. [ Links ]

661. Shi, Z.; Li, N.; Chen, C.; Wang, Y.; Lei, Z.; Chen, L.; Sun, J. Novel NO-releasing scopoletin derivatives induce cell death via mitochondrial apoptosis pathway and cell cycle arrest. Eur. J. Med. Chem . 2020, 200. DOI: https://doi.org/10.1016/j.ejmech.2020.112386. [ Links ]

662. Yu, N.; Li, N.; Wang, K.; Deng, Q.; Lei, Z.; Sun, J.; Chen, L. Design, synthesis and biological activity evaluation of novel scopoletin-NO donor derivatives against MCF-7 human breast cancer in vitro and in vivo. Eur. J. Med. Chem . 2021, 224. DOI: https://doi.org/10.1016/j.ejmech.2021.113701. [ Links ]

663. Zhao, P.; Dou, Y.; Chen, L.; Li, L.; Wei, Z.; Yu, J.; Wu, X.; Dai, Y.; Xia, Y. SC-III3, a novel scopoletin derivative, induces autophagy of human hepatoma HepG2 cells through AMPK/mTOR signaling pathway by acting on mitochondria. Fitoterapia 2015, 104, 31-40. DOI: https://doi.org/10.1016/j.fitote.2015.05.002. [ Links ]

664. Zhou, J.; Wang, L.; Wei, L.; Zheng, Y.; Zhang, H.; Wang, Y.; Cao, P.; Niu, A.; Wang, J.; Dai, Y. Synthesis and antitumor activity of scopoletin derivatives. Lett. Drug Des. Discovery 2012, 9 (4), 397-401. DOI: https://doi.org/10.2174/157018012799859972. [ Links ]

665. Dahab, M. A.; Mahdy, H. A.; Elkady, H.; Taghour, M. S.; Elwan, A.; Elkady, M. A.; Elsakka, E. G. E.; Elkaeed, E. B.; Alsfouk, A. A.; Ibrahim, I. M.; et al. Semi-synthesized anticancer theobromine derivatives targeting VEGFR-2: in silico and in vitro evaluations. J. Biomol. Struct. Dyn. 2023, 1, DOI: https://doi.org/10.1080/07391102.2023.2219333. [ Links ]

666. Eissa, I. H.; G.Yousef, R.; Elkady, H.; Alsfouk, A. A.; Husein, D. Z.; Ibrahim, I. M.; El-Deeb, N.; Kenawy, A. M.; Eldehna, W. M.; Elkaeed, E. B.; Metwaly, A. M. New apoptotic anti-triple-negative breast cancer theobromine derivative inhibiting EGFRWT and EGFRT790M: in silico and in vitro evaluation. Mol. Divers. 2023, DOI: https://doi.org/10.1007/s11030-023-10644-4. [ Links ]

667. Eissa, I. H.; Yousef, R. G.; Elkady, H.; Alsfouk, A. A.; Alsfouk, B. A.; Husein, D. Z.; Ibrahim, I. M.; Elkaeed, E. B.; Metwaly, A. M. A New Anticancer Semisynthetic Theobromine Derivative Targeting EGFR Protein: CADDD Study. Life 2023, 13 (1). DOI: https://doi.org/10.3390/life13010191. [ Links ]

668. Eissa, I. H.; Yousef, R. G.; Elkaeed, E. B.; Alsfouk, A. A.; Husein, D. Z.; Ibrahim, I. M.; Alesawy, M. S.; Elkady, H.; Metwaly, A. M. Anticancer derivative of the natural alkaloid, theobromine, inhibiting EGFR protein: Computer-aided drug discovery approach. PLoS One 2023, 18. DOI: https://doi.org/10.1371/journal.pone.0282586. [ Links ]

669. Elkaeed, E. B.; Yousef, R. G.; Elkady, H.; Alsfouk, A. A.; Husein, D. Z.; Ibrahim, I. M.; Metwaly, A. M.; Eissa, I. H. New Anticancer Theobromine Derivative Targeting EGFRWT and EGFRT790M: Design, Semi-Synthesis, In Silico, and In Vitro Anticancer Studies. Molecules 2022, 27 (18). DOI: https://doi.org/10.3390/molecules27185859. [ Links ]

670. Georgieva, M.; Kondeva-Burdina, M.; Mitkov, J.; Tzankova, V.; Momekov, G.; Zlatkov, A. Determination of the antiproliferative activity of new theobromine derivatives and evaluation of their in vitro hepatotoxic effects. Anticancer Agents Med. Chem . 2016, 16 (7), 925-932. DOI: https://doi.org/10.2174/1871520616666151116122633. [ Links ]

671. Gonçalves-Pereira, R.; Pereira, M. P.; Serra, S. G.; Loesche, A.; Csuk, R.; Silvestre, S.; Costa, P. J.; Oliveira, M. C.; Xavier, N. M. Furanosyl Nucleoside Analogues Embodying Triazole or Theobromine Units as Potential Lead Molecules for Alzheimer's Disease. Eur. J. Org. Chem. 2018, 2018 (20), 2667-2681. DOI: https://doi.org/10.1002/ejoc.201800245. [ Links ]

672. Ivanchenko, D. G.; Romanenko, N. I.; Kornienko, V. I.; Polishchuk, N. N.; Sharapova, T. A. Synthesis and Properties of 8-Substituted 1-(2-Oxopropyl)Theobromine Derivatives. Chem. Nat. Compd . 2019, 55 (3), 509-512. DOI: https://doi.org/10.1007/s10600-019-02727-2. [ Links ]

673. Xavier, N. M.; Sousa, E. C.; Pereira, M.; Loesche, A.; Serbian, I.; Csuk, R.; Oliveira, M. C. Synthesis and biological evaluation of structurally varied 50-/60-isonucleosides and theobromine-containing n-isonucleosidyl derivatives. Pharmaceuticals 2019, 12 (3). DOI: https://doi.org/10.3390/ph12030103. [ Links ]

674. Alafeefy, A. M.; Alqasoumi, S. I.; Abdel Hamid, S. G.; El-Tahir, K. E. H.; Mohamed, M.; Zain, M. E.; Awaad, A. S. Synthesis and hypoglycemic activity of some new theophylline derivatives. J. Enzyme Inhib. Med. Chem. 2014, 29 (3), 443-448. DOI: https://doi.org/10.3109/14756366.2013.795957. [ Links ]

675. Aninye, I. O.; Berg, K. C.; Mollo, A. R.; Nordeen, S. K.; Wilson, E. M.; Shapiro, D. J. 8-Alkylthio-6-thio-substituted theophylline analogues as selective noncompetitive progesterone receptor antagonists. Steroids 2012, 77 (6), 596-601. DOI: https://doi.org/10.1016/j.steroids.2012.02.003. [ Links ]

676. Chang, Y.; Zhang, J.; Yang, S.; Lu, W.; Ding, L.; Zheng, Y.; Li, W. Design, synthesis, biological evaluation, and molecular docking of 1,7-dibenzyl-substituted theophylline derivatives as novel BRD4-BD1-selective inhibitors. Med. Chem. Res . 2021, 30 (8), 1453-1468. DOI: https://doi.org/10.1007/s00044-021-02737-2. [ Links ]

677. Faghih, Z.; Emami, L.; Zomoridian, K.; Sabet, R.; Bargebid, R.; Mansourian, A.; Zeinali, B.; Rostami, Z.; Khabnadideh, S. Aryloxy Alkyl Theophylline Derivatives as Antifungal Agents: Design, Synthesis, Biological Evaluation and Computational Studies. Chem. Select 2022, 7 (25). DOI: https://doi.org/10.1002/slct.202201618. [ Links ]

678. Gopinatha, V. K.; Mantelingu, K.; Rangappa, K. S. Synthesis and biological evaluation of theophylline acetohydrazide hydrazone derivatives as antituberculosis agents. J. Chin. Chem. Soc . 2020, 67 (8), 1453-1461. DOI: https://doi.org/10.1002/jccs.201900558. [ Links ]

679. Hayallah, A. M.; Elgaher, W. A.; Salem, O. I.; Abdel Alim, A. A. M. Design and synthesis of some new theophylline derivatives with bronchodilator and antibacterial activities. Arch. Pharmacal Res. 2011, 34 (1), 3-21. DOI: https://doi.org/10.1007/s12272-011-0101-8. [ Links ]

680. Hayallah, A. M.; Talhouni, A. A.; Abdel Alim, A. A. M. Design and synthesis of new 8-anilide theophylline derivatives as bronchodilators and antibacterial agents. Arch. Pharmacal Res . 2012, 35 (8), 1355-1368. DOI: https://doi.org/10.1007/s12272-012-0805-4. [ Links ]

681. Hierrezuelo, J.; Manuel López-Romero, J.; Rico, R.; Brea, J.; Isabel Loza, M.; Cai, C.; Algarra, M. Synthesis of theophylline derivatives and study of their activity as antagonists at adenosine receptors. Bioorg. Med. Chem . 2010, 18 (6), 2081-2088. DOI: https://doi.org/10.1016/j.bmc.2010.02.014. [ Links ]

682. Kiran, G.; Prasad, D. K.; Bakshi, V.; Gouthami, T. In vitro anti-diabetic activity and molecular docking studies of theophylline containing acetylene derivatives. Biointerface Res. Appl. Chem . 2018, 8 (5), 3618-3620. [ Links ]

683. Managutti, P. B.; Mangasuli, S. N.; Malaganvi, S. S. Synthesis, crystal structure, electronic structure, and anti-tubercular properties of two new coumarin derivatives bearing theophylline moiety. Journal of Molecular Structure 2023, 1277. DOI: https://doi.org/10.1016/j.molstruc.2022.134888. [ Links ]

684. Partyka, A.; Jarosz, J.; Wasik, A.; Jastrzębska-Więsek, M.; Zagórska, A.; Pawłowski, M.; Wesołowska, A. Novel tricyclic[2,1-f]theophylline derivatives of LCAP with activity in mouse models of affective disorders. J. Pharm. Pharmacol . 2014, 66 (12), 1755-1762. DOI: https://doi.org/10.1111/jphp.12305. [ Links ]

685. Profire, L.; Şunel, V.; Lupaşcu, D.; Baican, M. C.; Bibire, N.; Vasile, C. New theophylline derivatives with potential pharmacological activity. Farmacia 2010, 58 (2), 170-176. [ Links ]

686. Prohre, L.; Lupascu, D. A. N.; Sunel, V.; Bibire, N.; Vasile, C. Synthesis and characterization of some new theophylline derivatives. Rev. Chim. 2010, 61 (6), 553-556. [ Links ]

687. Ruddarraju, R. R.; Kiran, G.; Murugulla, A. C.; Maroju, R.; Prasad, D. K.; Kumar, B. H.; Bakshi, V.; Reddy, N. S. Design, synthesis and biological evaluation of theophylline containing variant acetylene derivatives as α-amylase inhibitors. Bioorg. Chem . 2019, 92. DOI: https://doi.org/10.1016/j.bioorg.2019.103120. [ Links ]

688. Ruddarraju, R. R.; Murugulla, A. C.; Kotla, R.; Chandra Babu Tirumalasetty, M.; Wudayagiri, R.; Donthabakthuni, S.; Maroju, R.; Baburao, K.; Parasa, L. S. Design, synthesis, anticancer, antimicrobial activities and molecular docking studies of theophylline containing acetylenes and theophylline containing 1,2,3-triazoles with variant nucleoside derivatives. Eur. J. Med. Chem . 2016, 123, 379-396. DOI: https://doi.org/10.1016/j.ejmech.2016.07.024. [ Links ]

689. Ruddarraju, R. R.; Murugulla, A. C.; Kotla, R.; Tirumalasetty, M. C. B.; Wudayagiri, R.; Donthabakthuni, S.; Maroju, R. Design, synthesis, anticancer activity and docking studies of theophylline containing 1,2,3-triazoles with variant amide derivatives. MedChemComm 2017, 8 (1), 176-183. DOI: https://doi.org/10.1039/c6md00479b. [ Links ]

690. Saeedan, A. S.; Mohamed, M. A.; Soliman, G. A.; Alasiri, K. M.; Abdel-Kader, M. S.; Elnaggar, M. H. Semisynthetic Theophylline Analogues as Potent Diuretics: An Integrated in vivo and Molecular Docking Study. Lat. Am. J. Pharm . 2022, 41 (7), 1408-1416. [ Links ]

691. Stavrakov, G.; Valcheva, V.; Voynikov, Y.; Philipova, I.; Atanasova, M.; Konstantinov, S.; Peikov, P.; Doytchinova, I. Design, Synthesis, and Antimycobacterial Activity of Novel Theophylline-7-Acetic Acid Derivatives with Amino Acid Moieties. Chem. Biol. Drug Des . 2016, 87 (3), 335-341. DOI: https://doi.org/10.1111/cbdd.12676. [ Links ]

692. Voynikov, Y.; Valcheva, V.; Momekov, G.; Peikov, P.; Stavrakov, G. Theophylline-7-acetic acid derivatives with amino acids as anti-tuberculosis agents. Bioorg. Med. Chem. Lett . 2014, 24 (14), 3043-3045. DOI: https://doi.org/10.1016/j.bmcl.2014.05.026. [ Links ]

693. Ye, J.; Mao, L.; Xie, L.; Zhang, R.; Liu, Y.; Peng, L.; Yang, J.; Li, Q.; Yuan, M. Discovery of a Series of Theophylline Derivatives Containing 1,2,3-Triazole for Treatment of Non-Small Cell Lung Cancer. Front. Pharmacol . 2021, 12. DOI: https://doi.org/10.3389/fphar.2021.753676. [ Links ]

694. Yousaf, M.; Zahoor, A. F.; Faiz, S.; Javed, S.; Irfan, M. Recent Synthetic Approaches Towards Biologically Potent Derivatives/Analogues of Theophylline. J. Heterocycl. Chem. 2018, 55 (11), 2447-2479. DOI: https://doi.org/10.1002/jhet.3311. [ Links ]

695. Zagórska, A.; Pawłowski, M.; Siwek, A.; Kazek, G.; Partyka, A.; Wróbel, D.; Jastrzȩbska-Wiȩsek, M.; Wesołowska, A. Synthesis and pharmacological evaluation of novel tricyclic[2,1-f] theophylline derivatives. Arch. Pharm . 2013, 346 (11), 832-839. DOI: https://doi.org/10.1002/ardp.201300257. [ Links ]

696. Gupta, N.; Mukerjee, A.; Mishra, S. B. Design, Synthesis and Molecular Docking of Vanillic Acid Derivatives as Amylolytic Enzyme Inhibitors. Pharm. Chem. J . 2021, 55 (5), 427-435. DOI: https://doi.org/10.1007/s11094-021-02439-4. [ Links ]

697. Ishimata, N.; Ito, H.; Tai, A. Structure-activity relationships of vanillic acid ester analogs in inhibitory effect of antigen-mediated degranulation in rat basophilic leukemia RBL-2H3 cells. Bioorg. Med. Chem. Lett . 2016, 26 (15), 3533-3536. DOI: https://doi.org/10.1016/j.bmcl.2016.06.028. [ Links ]

698. Satpute, M. S.; Gangan, V. D.; Shastri, I. Synthesis and antibacterial activity of novel vanillic acid hybrid derivatives. Rasayan J. Chem . 2019, 12 (1), 383-388. DOI: https://doi.org/10.31788/RJC.2019.1215023. [ Links ]

699. Tang, J. F.; Lv, X. H.; Wang, X. L.; Sun, J.; Zhang, Y. B.; Yang, Y. S.; Gong, H. B.; Zhu, H. L. Design, synthesis, biological evaluation and molecular modeling of novel 1,3,4-oxadiazole derivatives based on Vanillic acid as potential immunosuppressive agents. Bioorg. Med. Chem . 2012, 20 (14), 4226-4236. DOI: https://doi.org/10.1016/j.bmc.2012.05.055. [ Links ]

700. Tawfeeq, M. F.; Qassir, A. J. Synthesis, characterization, and antibacterial evaluation of new vanillic acid derivatives. Iraqi J. Pharm. Sci. 2020, 29 (2), 129-138. DOI: https://doi.org/10.31351/vol29iss2pp129-138. [ Links ]

701. Wodnicka, A.; Huzar, E. Synthesis and photoprotective properties of new salicylic and vanillic acid derivatives. Curr. Chem. Lett. 2017, 6 (3), 125-134. DOI: https://doi.org/10.5267/j.ccl.2017.3.002. [ Links ]

702. Xu, B.; Xu, X.; Zhang, C.; Zhang, Y.; Wu, G. R.; Yan, M.; Jia, M.; Xie, T.; Jia, X.; Wang, P.; Lei, H. Synthesis and protective effect of new ligustrazine-vanillic acid derivatives against CoCl2-induced neurotoxicity in differentiated PC12 cells. Chem. Cent. J. 2017, 11 (1). DOI: https://doi.org/10.1186/s13065-017-0250-z. [ Links ]

703. Bender, O.; Celik, I.; Dogan, R.; Atalay, A.; Shoman, M. E.; Ali, T. F. S.; Beshr, E. A. M.; Mohamed, M.; Alaaeldin, E.; Shawky, A. M.; et al. Vanillin-Based Indolin-2-one Derivative Bearing a Pyridyl Moiety as a Promising Anti-Breast Cancer Agent via Anti-Estrogenic Activity. ACS Omega 2023, 8 (7), 6968-6981. DOI: https://doi.org/10.1021/acsomega.2c07793. [ Links ]

704. Blaikie, L.; Kay, G.; Kong Thoo Lin, P. Synthesis and in vitro evaluation of vanillin derivatives as multi-target therapeutics for the treatment of Alzheimer's disease. Bioorg. Med. Chem. Lett . 2020, 30 (21). DOI: https://doi.org/10.1016/j.bmcl.2020.127505. [ Links ]

705. Boiko, Y. A.; Nesterkina, M. V.; Shandra, A. A.; Kravchenko, I. A. Analgesic and Anti-Inflammatory Activity of Vanillin Derivatives. Pharm. Chem. J . 2019, 53 (7), 650-654. DOI: https://doi.org/10.1007/s11094-019-02056-2. [ Links ]

706. da Silva Rodrigues, J. V.; Rodrigues Gazolla, P. A.; da Cruz Pereira, I.; Dias, R. S.; Poly da Silva, I. E.; Oliveira Prates, J. W.; de Souza Gomes, I.; de Azevedo Silveira, S.; Costa, A. V.; de Oliveira, F. M.; et al. Synthesis and virucide activity on zika virus of 1,2,3-triazole-containing vanillin derivatives. Antiviral Res. 2023, 212. DOI: https://doi.org/10.1016/j.antiviral.2023.105578. [ Links ]

707. Ekowati, J.; Diyah, N. W.; Tejo, B. A.; Ahmed, S. Chemoinformatics approach to design and develop vanillin analogs as COX-1 inhibitor. J. Public Health Afr. 2023, 14 (S1). DOI: https://doi.org/10.4081/jphia.2023.2517. [ Links ]

708. Freitas, C. S.; Santiago, S. S.; Lage, D. P.; Antinarelli, L. M. R.; Oliveira, F. M.; Vale, D. L.; Martins, V. T.; Magalhaes, L. N. D.; Bandeira, R. S.; Ramos, F. F.; et al. In vitro evaluation of antileishmanial activity, mode of action and cellular response induced by vanillin synthetic derivatives against Leishmania species able to cause cutaneous and visceral leishmaniasis. Exp. Parasitol . 2023, 251. DOI: https://doi.org/10.1016/j.exppara.2023.108555. [ Links ]

709. Gao, J.; Qiu, S.; Liang, L.; Hao, Z.; Zhou, Q.; Wang, F.; Mou, J.; Lin, Q. Design, synthesis, and biological evaluation of vanillin hydroxamic acid derivatives as novel peptide deformylase inhibitors. Curr. Comput. Aided Drug Des. 2018, 14 (1), 95-101. DOI: https://doi.org/10.2174/1573409913666170613074601. [ Links ]

710. Gazolla, P. A. R.; de Aguiar, A. R.; Costa, M. C. A.; Oliveira, O. V.; Costa, A. V.; da Silva, C. M.; do Nascimento, C. J.; Junker, J.; Ferreira, R. S.; de Oliveira, F. M.; et al. Synthesis of vanillin derivatives with 1,2,3-triazole fragments and evaluation of their fungicide and fungistatic activities. Arch. Pharm . 2023, 356 (6). DOI: https://doi.org/10.1002/ardp.202200653. [ Links ]

711. Gharai, P. K.; Khan, J.; Mallesh, R.; Garg, S.; Saha, A.; Ghosh, S.; Ghosh, S. Vanillin Benzothiazole Derivative Reduces Cellular Reactive Oxygen Species and Detects Amyloid Fibrillar Aggregates in Alzheimer’s Disease Brain. ACS Chem. Neurosci . 2023, 14 (4), 773-786. DOI: https://doi.org/10.1021/acschemneuro.2c00771. [ Links ]

712. Gu, M. M.; Li, M.; Gao, D.; Liu, L. H.; Lang, Y.; Yang, S. M.; Ou, H.; Huang, B.; Zhou, P. K.; Shang, Z. F. The vanillin derivative 6-bromine-5-hydroxy-4-methoxybenzaldehyde induces aberrant mitotic progression and enhances radio-sensitivity accompanying suppression the expression of PLK1 in esophageal squamous cell carcinoma. Toxicol. Appl. Pharmacol . 2018, 348, 76-84. DOI: https://doi.org/10.1016/j.taap.2018.04.021. [ Links ]

713. Harismah, K.; Fazeli, F.; Zandi, H. Structural analyses of vanillin derivative compounds and their molecular docking with mpro and rdrp enzymes of covid-19. Biointerface Res. Appl. Chem . 2022, 12 (2), 1660-1669. DOI: https://doi.org/10.33263/BRIAC122.16601669. [ Links ]

714. He, H. W.; Wang, F. Y.; Zhang, D.; Chen, C. Y.; Xu, D.; Zhou, H.; Liu, X.; Xu, G. Discovery of Novel α-Methylene-γ-Butyrolactone Derivatives Containing Vanillin Moieties as Antiviral and Antifungal Agents. J. Agric. Food Chem . 2022, 70 (33), 10316-10325. DOI: https://doi.org/10.1021/acs.jafc.2c03632. [ Links ]

715. Illicachi, L. A.; Montalvo-Acosta, J. J.; Insuasty, A.; Quiroga, J.; Abonia, R.; Sortino, M.; Zacchino, S.; Insuasty, B. Synthesis and DFT calculations of novel vanillin-chalcones and their 3-Aryl-5-(4-(2-(dimethylamino)- ethoxy)-3-methoxyphenyl)-4,5-dihydro-1H-pyrazole-1-carbaldehyde derivatives as antifungal agents. Molecules 2017, 22 (9). DOI: https://doi.org/10.3390/molecules22091476. [ Links ]

716. Li, M.; Lang, Y.; Gu, M. M.; Shi, J.; Chen, B. P. C.; Yu, L.; Zhou, P. K.; Shang, Z. F. Vanillin derivative VND3207 activates DNA-PKcs conferring protection against radiation-induced intestinal epithelial cells injury in vitro and in vivo. Toxicol. Appl. Pharmacol . 2020, 387. DOI: https://doi.org/10.1016/j.taap.2019.114855. [ Links ]

717. Luković, J.; Mitrović, M.; Popović, S.; Milosavljević, Z.; Stanojević-Pirković, M.; An-Elković, M.; Zelen, I.; Šorak, M.; Muškinja, J.; Ratković, Z.; Nikolić, I. Antitumor effects of vanillin based chalcone analogs in vitro. Acta Pol. Pharm. Drug Res. 2020, 77 (1), 57-67. DOI: https://doi.org/10.32383/appdr/112786. [ Links ]

718. Ma, W.; Zhang, Q.; Li, X.; Ma, Y.; Liu, Y.; Hu, S.; Zhou, Z.; Zhang, R.; Du, K.; Syed, A.; et al. IPM712, a vanillin derivative as potential antitumor agents, displays better antitumor activity in colorectal cancers cell lines. Eur. J. Pharm. Sci . 2020, 152. DOI: https://doi.org/10.1016/j.ejps.2020.105464. [ Links ]

719. Marton, A.; Kúsz, E.; Kolozsi, C.; Tubak, V.; Zagotto, G.; Buzás, K.; Quintieri, L.; Vizler, C. Vanillin analogues o-vanillin and 2,4,6-trihydroxybenzaldehyde inhibit NFκB activation and suppress growth of A375 human melanoma. Anticancer Res . 2016, 36 (11), 5743-5750. DOI: https://doi.org/10.21873/anticanres.11157. [ Links ]

720. Pagare, P. P.; Ghatge, M. S.; Musayev, F. N.; Deshpande, T. M.; Chen, Q.; Braxton, C.; Kim, S.; Venitz, J.; Zhang, Y.; Abdulmalik, O.; Safo, M. K. Rational design of pyridyl derivatives of vanillin for the treatment of sickle cell disease. Bioorg. Med. Chem . 2018, 26 (9), 2530-2538. DOI: https://doi.org/10.1016/j.bmc.2018.04.015. [ Links ]

721. Sahoo, C. R.; Paidesetty, S. K.; Sarathbabu, S.; Dehury, B.; Senthil Kumar, N.; Padhy, R. N. Molecular dynamics simulation, synthesis and topoisomerase inhibitory actions of vanillin derivatives: a systematic computational structural integument. J. Biomol. Struct. Dyn . 2022, 40 (22), 11653-11663. DOI: https://doi.org/10.1080/07391102.2021.1961867. [ Links ]

722. Scipioni, M.; Kay, G.; Megson, I.; Kong Thoo Lin, P. Novel vanillin derivatives: Synthesis, anti-oxidant, DNA and cellular protection properties. Eur. J. Med. Chem . 2018, 143, 745-754. DOI: https://doi.org/10.1016/j.ejmech.2017.11.072. [ Links ]

723. Scipioni, M.; Kay, G.; Megson, I. L.; Kong Thoo Lin, P. Synthesis of novel vanillin derivatives: Novel multi-targeted scaffold ligands against Alzheimer's disease. MedChemComm 2019, 10 (5), 764-777. DOI: https://doi.org/10.1039/c9md00048h. [ Links ]

724. Shanan, S. H.; Kadem, K. J. The synthesis of some new heterocyclic compounds from vanillin derivatives. Int. J. Drug Deliv. Technol. 2021, 11 (2), 376-378. DOI: https://doi.org/10.25258/ijddt.11.2.24. [ Links ]

725. Shastry, R. P.; Ghate, S. D.; Sukesh Kumar, B.; Srinath, B. S.; Kumar, V. Vanillin derivative inhibits quorum sensing and biofilm formation in Pseudomonas aeruginosa: a study in a Caenorhabditis elegans infection model. Nat. Prod. Res . 2022, 36 (6), 1610-1615. DOI: https://doi.org/10.1080/14786419.2021.1887866. [ Links ]

726. Tokalı, F. S.; Şenol, H.; Katmerlikaya, T. G.; Dağ, A.; Şendil, K. Novel thiosemicarbazone and thiazolidin-4-one derivatives containing vanillin core: Synthesis, characterization, and anticancer activity studies. J. Heterocycl. Chem . 2023, 60 (4), 645-656. DOI: https://doi.org/10.1002/jhet.4619. [ Links ]

727. Wu, Q.; Cai, H.; Yuan, T.; Li, S.; Gan, X.; Song, B. Novel vanillin derivatives containing a 1,3,4-thiadiazole moiety as potential antibacterial agents. Bioorg. Med. Chem. Lett . 2020, 30 (10). DOI: https://doi.org/10.1016/j.bmcl.2020.127113. [ Links ]

728. Yuldasheva, N.; Acikyildiz, N.; Akyuz, M.; Yabo-Dambagi, L.; Aydin, T.; Cakir, A.; Kazaz, C. The Synthesis of Schiff bases and new secondary amine derivatives of p-vanillin and evaluation of their neuroprotective, antidiabetic, antidepressant and antioxidant potentials. J. Mol. Struct. 2022, 1270. DOI: https://doi.org/10.1016/j.molstruc.2022.133883. [ Links ]

729. Zhou, Z.; Wang, Y.; Ji, R.; Zhang, D.; Ma, C.; Ma, W.; Ma, Y.; Jiang, X.; Du, K.; Zhang, R.; Chen, P. Vanillin Derivatives Reverse Fusobacterium nucleatum-Induced Proliferation and Migration of Colorectal Cancer Through E-Cadherin/β-Catenin Pathway. Front. Pharmacol . 2022, 13. DOI: https://doi.org/10.3389/fphar.2022.841918. [ Links ]

730. Abou-Zied, H. A.; Youssif, B. G. M.; Mohamed, M. F. A.; Hayallah, A. M.; Abdel-Aziz, M. EGFR inhibitors and apoptotic inducers: Design, synthesis, anticancer activity and docking studies of novel xanthine derivatives carrying chalcone moiety as hybrid molecules. Bioorg. Chem . 2019, 89. DOI: https://doi.org/10.1016/j.bioorg.2019.102997. [ Links ]

731. Andonova, L.; Valkova, I.; Zheleva-Dimitrova, D.; Georgieva, M.; Momekov, G.; Zlatkov, A. Synthesis of new N1 arylpiperazine substituted xanthine derivatives and evaluation of their antioxidant and cytotoxic effects. Anticancer Agents Med. Chem . 2019, 19 (4), 528-537. DOI: https://doi.org/10.2174/1871520619666190121155651. [ Links ]

732. Banga, A. R.; Sekhar, K. R.; Rayford, K. J.; Arun, A.; Odiase, P.; Garg, A. P.; Lima, M. F.; Nde, P. N.; Villalta, F.; Rachakonda, G. Xanthine Analogs Suppress Trypanosoma cruzi Infection In Vitro Using PDEs as Targets. Microbiol. Res. 2022, 13 (4), 721-739. DOI: https://doi.org/10.3390/microbiolres13040052. [ Links ]

733. El-Kalyoubi, S.; Agili, F.; Zordok, W. A.; El-Sayed, A. S. A. Synthesis, in silico prediction and in vitro evaluation of antimicrobial activity, dft calculation and theoretical investigation of novel xanthines and uracil containing imidazolone derivatives. Int. J. Mol. Sci . 2021, 22 (20). DOI: https://doi.org/10.3390/ijms222010979. [ Links ]

734. Gumber, D.; Yadav, D.; Yadav, R.; Kachler, S.; Klotz, K. N. Bronchospasmolytic activity and adenosine receptor binding of some newer 1,3-dipropyl-8-phenyl substituted xanthine derivatives. Chem. Biol. Drug Des . 2020, 95 (6), 600-609. DOI: https://doi.org/10.1111/cbdd.13673. [ Links ]

735. Hisham, M.; Youssif, B. G. M.; Osman, E. E. A.; Hayallah, A. M.; Abdel-Aziz, M. Synthesis and biological evaluation of novel xanthine derivatives as potential apoptotic antitumor agents. Eur. J. Med. Chem . 2019, 176, 117-128. DOI: https://doi.org/10.1016/j.ejmech.2019.05.015. [ Links ]

736. Kapri, A.; Pant, S.; Gupta, N.; Nain, S. Recent Advances in the Biological Significance of Xanthine and its Derivatives: A Review. Pharm. Chem. J . 2022, 56 (4), 461-474. DOI: https://doi.org/10.1007/s11094-022-02661-8. [ Links ]

737. Kasabova-Angelova, A.; Tzankova, D.; Mitkov, J.; Georgieva, M.; Tzankova, V.; Zlatkov, A.; Kondeva-Burdina, M. Xanthine derivatives as agents affecting non-dopaminergic neuroprotection in parkinson’s disease. Curr. Med. Chem. 2020, 27 (12), 2021-2036. DOI: https://doi.org/10.2174/0929867325666180821153316. [ Links ]

738. Kuo, C. H.; Zhang, B. H.; Huang, S. E.; Hsu, J. H.; Wang, Y. H.; Nguyen, T. T. N.; Lai, C. H.; Yeh, J. L. Xanthine Derivative KMUP-1 Attenuates Experimental Periodontitis by Reducing Osteoclast Differentiation and Inflammation . Front. Pharmacol . 2022, 13. DOI: https://doi.org/10.3389/fphar.2022.821492. [ Links ]

739. Lai, C. H.; Chang, C. W.; Lee, F. T.; Kuo, C. H.; Hsu, J. H.; Liu, C. P.; Wu, H. L.; Yeh, J. L. Targeting vascular smooth muscle cell dysfunction with xanthine derivative KMUP-3 inhibits abdominal aortic aneurysm in mice. Atherosclerosis 2020, 297, 16-24. DOI: https://doi.org/10.1016/j.atherosclerosis.2020.01.029. [ Links ]

740. Lee, L. C.; Peng, Y. H.; Chang, H. H.; Hsu, T.; Lu, C. T.; Huang, C. H.; Hsueh, C. C.; Kung, F. C.; Kuo, C. C.; Jiaang, W. T.; Wu, S. Y. Xanthine Derivatives Reveal an Allosteric Binding Site in Methylenetetrahydrofolate Dehydrogenase 2 (MTHFD2). J. Med. Chem. 2021, 64 (15), 11288-11301. DOI: https://doi.org/10.1021/acs.jmedchem.1c00663. [ Links ]

741. Li, G.; Meng, B.; Yuan, B.; Huan, Y.; Zhou, T.; Jiang, Q.; Lei, L.; Sheng, L.; Wang, W.; Gong, N.; et al. The optimization of xanthine derivatives leading to HBK001 hydrochloride as a potent dual ligand targeting DPP-IV and GPR119. Eur. J. Med. Chem . 2020, 188. DOI: https://doi.org/10.1016/j.ejmech.2019.112017. [ Links ]

742. Li, Q.; Meng, L.; Zhou, S.; Deng, X.; Wang, N.; Ji, Y.; Peng, Y.; Xing, J.; Yao, G. Rapid generation of novel benzoic acid-based xanthine derivatives as highly potent, selective and long acting DPP-4 inhibitors: Scaffold-hopping and prodrug study. Eur. J. Med. Chem . 2019, 180, 509-523. DOI: https://doi.org/10.1016/j.ejmech.2019.07.045. [ Links ]

743. Lindemann, M.; Dukic-Stefanovic, S.; Hinz, S.; Deuther-Conrad, W.; Teodoro, R.; Juhl, C.; Steinbach, J.; Brust, P.; Müller, C. E.; Wenzel, B. Synthesis of novel fluorinated xanthine derivatives with high adenosine a2b receptor binding affinity. Pharmaceuticals 2021, 14 (5). DOI: https://doi.org/10.3390/ph14050485. [ Links ]

744. Ma, Q. S.; Yao, Y.; Zheng, Y. C.; Feng, S.; Chang, J.; Yu, B.; Liu, H. M. Ligand-based design, synthesis and biological evaluation of xanthine derivatives as LSD1/KDM1A inhibitors. Eur. J. Med. Chem . 2019, 162, 555-567. DOI: https://doi.org/10.1016/j.ejmech.2018.11.035. [ Links ]

745. Minard, A.; Bauer, C. C.; Chuntharpursat-Bon, E.; Pickles, I. B.; Wright, D. J.; Ludlow, M. J.; Burnham, M. P.; Warriner, S. L.; Beech, D. J.; Muraki, K.; Bon, R. S. Potent, selective, and subunit-dependent activation of TRPC5 channels by a xanthine derivative. Br. J. Pharmacol . 2019, 176 (20), 3924-3938. DOI: https://doi.org/10.1111/bph.14791. [ Links ]

746. Narsimha, S.; Battula, K. S.; Ravinder, M.; Reddy, Y. N.; Nagavelli, V. R. Design, synthesis and biological evaluation of novel 1,2,3-triazole-based xanthine derivatives as DPP-4 inhibitors. J. Chem. Sci. 2020, 132 (1). DOI: https://doi.org/10.1007/s12039-020-1760-0. [ Links ]

747. Pretze, M.; Neuber, C.; Kinski, E.; Belter, B.; Köckerling, M.; Caflisch, A.; Steinbach, J.; Pietzsch, J.; Mamat, C. Synthesis, radiolabelling and initial biological characterisation of 18F-labelled xanthine derivatives for PET imaging of Eph receptors. Org. Biomol. Chem. 2020, 18 (16), 3104-3116. DOI: https://doi.org/10.1039/d0ob00391c. [ Links ]

748. Qiao, M. Q.; Li, Y.; Yang, Y. X.; Pang, C. X.; Liu, Y. T.; Bian, C.; Wang, L.; Chen, X. F.; Hong, B. Structure-activity relationship and biological evaluation of xanthine derivatives as PCSK9 inhibitors for the treatment of atherosclerosis. Eur. J. Med. Chem . 2023, 247. DOI: https://doi.org/10.1016/j.ejmech.2022.115047. [ Links ]

749. Satish, M.; Sandhya, K.; Nitin, K.; Yashas Kiran, N.; Aleena, B.; Satish Kumar, A.; Guruprasad, K.; Rajakumara, E. Computational, biochemical and ex vivo evaluation of xanthine derivatives against phosphodiesterases to enhance the sperm motility. J. Biomol. Struct. Dyn . 2022, 41(11):5317-5327. DOI: https://doi.org/10.1080/07391102.2022.2085802. [ Links ]

750. Shatokhin, S. S.; Tuskaev, V. A.; Gagieva, S. C.; Markova, A. A.; Pozdnyakov, D. I.; Denisov, G. L.; Melnikova, E. K.; Bulychev, B. M.; Oganesyan, E. T. Synthesis, cytotoxicity and antioxidant activity of new 1,3-dimethyl-8-(chromon-3-yl)-xanthine derivatives containing 2,6-di-: Tert -butylphenol fragments. New J. Chem . 2022, 46 (2), 621-631. DOI: https://doi.org/10.1039/d1nj03726a. [ Links ]

751. Singh, S.; Ojha, M.; Yadav, D.; Kachler, S.; Klotz, K. N.; Yadav, R. Bronchospasmolytic and Adenosine Binding Activity of 8-(Proline / Pyra-zole)-Substituted Xanthine Derivatives. Curr. Drug Disc. Technol. 2021, 18 (5). DOI: https://doi.org/10.2174/1570163817666200922121005. [ Links ]

752. Specker, E.; Matthes, S.; Wesolowski, R.; Schütz, A.; Grohmann, M.; Alenina, N.; Pleimes, D.; Mallow, K.; Neuenschwander, M.; Gogolin, A.; et al. Structure-Based Design of Xanthine-Benzimidazole Derivatives as Novel and Potent Tryptophan Hydroxylase Inhibitors. J. Med. Chem . 2022, 65 (16), 11126-11149. DOI: https://doi.org/10.1021/acs.jmedchem.2c00598. [ Links ]

753. Tam, D. N. H.; Mostafa, E. M.; Tu, V. L.; Rashidy, A. I.; Matenoglou, E.; Kassem, M.; Soa, D. T.; Bayumi, A.; Emam, H. E. S.; Tran, L.; et al. Efficacy of chalcone and xanthine derivatives on lipase inhibition: A systematic review. Chem. Biol. Drug Des . 2020, 95 (2), 205-214. DOI: https://doi.org/10.1111/cbdd.13626. [ Links ]

754. Fujioka, K.; Shibamoto, T. Quantitation of volatiles and nonvolatile acids in an extract from coffee beverages: Correlation with antioxidant activity. J. Agric. Food Chem . 2006, 54 (16), 6054-6058. DOI: https://doi.org/10.1021/jf060460x. [ Links ]

755. Li, H.; Lin, L.; Feng, Y.; Zhao, M.; Li, X.; Zhu, Q.; Xiao, Z. Enrichment of antioxidants from soy sauce using macroporous resin and identification of 4-ethylguaiacol, catechol, daidzein, and 4-ethylphenol as key small molecule antioxidants in soy sauce. Food Chem . 2018, 240, 885-892. DOI: https://doi.org/10.1016/j.foodchem.2017.08.001. [ Links ]

756. Zhao, D.; Sun, J.; Sun, B.; Zhao, M.; Zheng, F.; Huang, M.; Sun, X.; Li, H. Intracellular antioxidant effect of vanillin, 4-methylguaiacol and 4-ethylguaiacol: Three components in Chinese Baijiu. RSC Adv . 2017, 7 (73), 46395-46405. DOI: https://doi.org/10.1039/c7ra09302k. [ Links ]

757. Esatbeyoglu, T.; Ulbrich, K.; Rehberg, C.; Rohn, S.; Rimbach, G. Thermal stability, antioxidant, and anti-inflammatory activity of curcumin and its degradation product 4-vinyl guaiacol. Food Funct . 2015, 6 (3), 887-893. DOI: https://doi.org/10.1039/c4fo00790e. [ Links ]

758. Shin, J. A.; Jeong, S. H.; Jia, C. H.; Hong, S. T.; Lee, K. T. Comparison of antioxidant capacity of 4-vinylguaiacol with catechin and ferulic acid in oil-in-water emulsion. Food Sci. Biotechnol . 2019, 28 (1), 35-41. DOI: https://doi.org/10.1007/s10068-018-0458-2. [ Links ]

759. Tańska, M.; Mikołajczak, N.; Konopka, I. Comparison of the effect of sinapic and ferulic acids derivatives (4-vinylsyringol vs. 4-vinylguaiacol) as antioxidants of rapeseed, flaxseed, and extra virgin olive oils. Food Chem . 2018, 240, 679-685. DOI: https://doi.org/10.1016/j.foodchem.2017.08.007. [ Links ]

760. Agunloye, O. M.; Oboh, G. Caffeic acid and chlorogenic acid: Evaluation of antioxidant effect and inhibition of key enzymes linked with hypertension. J. Food Biochem . 2018, 42 (4). DOI: https://doi.org/10.1111/jfbc.12541. [ Links ]

761. Coelho, V. R.; Vieira, C. G.; De Souza, L. P.; Moysés, F.; Basso, C.; Papke, D. K. M.; Pires, T. R.; Siqueira, I. R.; Picada, J. N.; Pereira, P. Antiepileptogenic, antioxidant and genotoxic evaluation of rosmarinic acid and its metabolite caffeic acid in mice. Life Sci. 2015, 122, 65-71. DOI: https://doi.org/10.1016/j.lfs.2014.11.009. [ Links ]

762. Fan, J.; Cai, X.; Feng, X.; Jiang, M.; Yu, X. Studies on the antioxidant activity in vitro of caffeic acid. J. Chin. Inst. Food Sci. Technol. 2015, 15 (3), 65-73. DOI: https://doi.org/10.16429/j.1009-7848.2015.03.009. [ Links ]

763. Genaro-Mattos, T. C.; Maurício, Â. Q.; Rettori, D.; Alonso, A.; Hermes-Lima, M. Antioxidant activity of Caffeic acid against iron-induced free radical generation-A chemical approach. PLoS One 2015, 10 (6). DOI: https://doi.org/10.1371/journal.pone.0129963. [ Links ]

764. Jamali, N.; Mostafavi-Pour, Z.; Zal, F.; Kasraeian, M.; Poordast, T.; Nejabat, N. Antioxidant ameliorative effect of caffeic acid on the ectopic endometrial cells separated from patients with endometriosis. Taiwan. J. Obstet. Gynecol. 2021, 60 (2), 216-220. DOI: https://doi.org/10.1016/j.tjog.2020.12.003. [ Links ]

765. Kassa, T.; Whalin, J. G.; Richards, M. P.; Alayash, A. I. Caffeic acid: an antioxidant with novel antisickling properties. FEBS Open Bio 2021, 11 (12), 3293-3303. DOI: https://doi.org/10.1002/2211-5463.13295. [ Links ]

766. Masek, A.; Chrzescijanska, E.; Latos, M. Determination of antioxidant activity of caffeic acid and p-coumaric acid by using electrochemical and spectrophotometric assays. Int. J. Electrochem. Sci. 2016, 11 (12), 10644-10658. DOI: https://doi.org/10.20964/2016.12.73. [ Links ]

767. Mohammed, F. Z.; Al-Hussaini, A. S. E. D.; El-Shehabi, M. E. S. Antidiabetic activity of caffeic acid and 18β-glycyrrhetinic acid and its relationship with the antioxidant property. Asian J. Pharm. Clin. Res. 2015, 8 (5), 255-260. [ Links ]

768. Purushothaman, A.; Babu, S. S.; Naroth, S.; Janardanan, D. Antioxidant activity of caffeic acid: thermodynamic and kinetic aspects on the oxidative degradation pathway. Free Radic. Res. 2022, 56 (9-10), 617-630. DOI: https://doi.org/10.1080/10715762.2022.2161379. [ Links ]

769. Sato, Y.; Itagaki, S.; Kurokawa, T.; Ogura, J.; Kobayashi, M.; Hirano, T.; Sugawara, M.; Iseki, K. In vitro and in vivo antioxidant properties of chlorogenic acid and caffeic acid. Int. J. Pharm . 2011, 403 (1-2), 136-138. DOI: https://doi.org/10.1016/j.ijpharm.2010.09.035. [ Links ]

770. Sheng, X.; Zhu, Y.; Zhou, J.; Yan, L.; Du, G.; Liu, Z.; Chen, H. Antioxidant Effects of Caffeic Acid Lead to Protection of Drosophila Intestinal Stem Cell Aging. Front. Cell Dev. Biol. 2021, 9. DOI: https://doi.org/10.3389/fcell.2021.735483. [ Links ]

771. Spagnol, C. M.; Assis, R. P.; Brunetti, I. L.; Isaac, V. L. B.; Salgado, H. R. N.; Corrêa, M. A. In vitro methods to determine the antioxidant activity of caffeic acid. Spectrochim. Acta A Mol. Biomol. Spectrosc. 2019, 219, 358-366. DOI: https://doi.org/10.1016/j.saa.2019.04.025. [ Links ]

772. Uranga, J. G.; Podio, N. S.; Wunderlin, D. A.; Santiago, A. N. Theoretical and Experimental Study of the Antioxidant Behaviors of 5-O-Caffeoylquinic, Quinic and Caffeic Acids Based on Electronic and Structural Properties. ChemistrySelect 2016, 1 (13), 4113-4120. DOI: https://doi.org/10.1002/slct.201600582. [ Links ]

773. Hosny, E. N.; Sawie, H. G.; Elhadidy, M. E.; Khadrawy, Y. A. Evaluation of antioxidant and anti-inflammatory efficacy of caffeine in rat model of neurotoxicity. Nutr. Neurosci . 2019, 22 (11), 789-796. DOI: https://doi.org/10.1080/1028415X.2018.1446812. [ Links ]

774. Ősz, B. E.; Jîtcă, G.; Ștefănescu, R. E.; Pușcaș, A.; Tero-Vescan, A.; Vari, C. E. Caffeine and Its Antioxidant Properties-It Is All about Dose and Source. Int. J. Mol. Sci . 2022, 23 (21). DOI: https://doi.org/10.3390/ijms232113074. [ Links ]

775. Ruiss, M.; Findl, O.; Kronschläger, M. The human lens: An antioxidant-dependent tissue revealed by the role of caffeine. Ageing Res. Rev. 2022, 79. DOI: https://doi.org/10.1016/j.arr.2022.101664. [ Links ]

776. Vieira, A. J. S. C.; Gaspar, E. M.; Santos, P. M. P. Mechanisms of potential antioxidant activity of caffeine. Radiat. Phys. Chem. 2020, 174. DOI: https://doi.org/10.1016/j.radphyschem.2020.108968. [ Links ]

777. Bai, D.; Liu, K.; He, X.; Tan, H.; Liu, Y.; Li, Y.; Zhang, Y.; Zhen, W.; Zhang, C.; Ma, Y. Effect of Dietary Chlorogenic Acid on Growth Performance, Antioxidant Function, and Immune Response of Broiler Breeders under Immune Stress and Stocking Density Stress. Vet. Sci. 2022, 9 (10). DOI: https://doi.org/10.3390/vetsci9100582. [ Links ]

778. Bender, O.; Atalay, A. Polyphenol chlorogenic acid, antioxidant profile, and breast cancer. In Cancer: Oxidative Stress and Dietary Antioxidants , Academic Press; Chapter 28, pp 311-321. [ Links ]

779. Carolina Chaves-Ulate, E.; Esquivel-Rodríguez, P. Chlorogenic acids present in coffee: Antioxidant and antimicrobial capacity. Agron. Mesoam. 2019, 30 (1), 299-311. DOI: https://doi.org/10.15517/am.v30i1.32974. [ Links ]

780. Chen, F.; Zhang, H.; Zhao, N.; Yang, X.; Du, E.; Huang, S.; Guo, W.; Zhang, W.; Wei, J. Effect of chlorogenic acid on intestinal inflammation, antioxidant status, and microbial community of young hens challenged with acute heat stress. Anim. Sci. J. 2021, 92 (1). DOI: https://doi.org/10.1111/asj.13619. [ Links ]

781. Chen, J.; Yu, B.; Chen, D.; Huang, Z.; Mao, X.; Zheng, P.; Yu, J.; Luo, J.; He, J. Chlorogenic acid improves intestinal barrier functions by suppressing mucosa inflammation and improving antioxidant capacity in weaned pigs. J. Nutr. Biochem. 2018, 59, 84-92. DOI: https://doi.org/10.1016/j.jnutbio.2018.06.005. [ Links ]

782. Girsang, E.; Lister, I. N. E.; Ginting, C. N.; Nasution, S. L.; Suhartina, S.; Munshy, U. Z.; Rizal, R.; Widowati, W. Antioxidant and Anti-Inflammatory activity of Chlorogenic Acid on Lead-Induced Fibroblast Cells. J. Phys. Conf. Ser. 2019; 1374. DOI: https://doi.org/10.1088/1742-6596/1374/1/012006. [ Links ]

783. Liang, N.; Xue, W.; Kennepohl, P.; Kitts, D. D. Interactions between major chlorogenic acid isomers and chemical changes in coffee brew that affect antioxidant activities. Food Chem . 2016, 213, 251-259. DOI: https://doi.org/10.1016/j.foodchem.2016.06.041. [ Links ]

784. Mei, Y.; Sun, H.; Du, G.; Wang, X.; Lyu, D. Exogenous chlorogenic acid alleviates oxidative stress in apple leaves by enhancing antioxidant capacity. Sci. Hortic. 2020, 274. DOI: https://doi.org/10.1016/j.scienta.2020.109676. [ Links ]

785. Preetha Rani, M. R.; Anupama, N.; Sreelekshmi, M.; Raghu, K. G. Chlorogenic acid attenuates glucotoxicity in H9c2 cells via inhibition of glycation and PKC α upregulation and safeguarding innate antioxidant status. Biomed. Pharmacother . 2018, 100, 467-477. DOI: https://doi.org/10.1016/j.biopha.2018.02.027. [ Links ]

786. Tomac, I.; Šeruga, M.; Labuda, J. Evaluation of antioxidant activity of chlorogenic acids and coffee extracts by an electrochemical DNA-based biosensor. Food Chem . 2020, 325. DOI: https://doi.org/10.1016/j.foodchem.2020.126787. [ Links ]

787. Xu, J. G.; Hu, Q. P.; Liu, Y. Antioxidant and DNA-protective activities of chlorogenic acid isomers. J. Agric. Food Chem . 2012, 60 (46), 11625-11630. DOI: https://doi.org/10.1021/jf303771s. [ Links ]

788. Zhou, Y.; Zhou, L.; Ruan, Z.; Mi, S.; Jiang, M.; Li, X.; Wu, X.; Deng, Z.; Yin, Y. Chlorogenic acid ameliorates intestinal mitochondrial injury by increasing antioxidant effects and activity of respiratory complexes. Biosci. Biotechnol. Biochem . 2016, 80 (5), 962-971. DOI: https://doi.org/10.1080/09168451.2015.1127130. [ Links ]

789. Huang, J.; De Paulis, T.; May, J. M. Antioxidant effects of dihydrocaffeic acid in human EA.hy926 endothelial cells. J. Nutr. Biochem . 2004, 15 (12), 722-729. DOI: https://doi.org/10.1016/j.jnutbio.2004.07.002. [ Links ]

790. Moon, J. H.; Terao, J. Antioxidant Activity of Caffeic Acid and Dihydrocaffeic Acid in Lard and Human Low-Density Lipoprotein. J. Agric. Food Chem . 1998, 46 (12), 5062-5065. DOI: https://doi.org/10.1021/jf9805799. [ Links ]

791. Sørensen, A. D. M.; Petersen, L. K.; de Diego, S.; Nielsen, N. S.; Lue, B. M.; Yang, Z.; Xu, X.; Jacobsen, C. The antioxidative effect of lipophilized rutin and dihydrocaffeic acid in fish oil enriched milk. Eur. J. Lipid Sci. Technol. 2012, 114 (4), 434-445. DOI: https://doi.org/10.1002/ejlt.201100354. [ Links ]

792. Adefegha, S. A.; Okeke, B. M.; Oboh, G. Antioxidant properties of eugenol, butylated hydroxylanisole, and butylated hydroxyl toluene with key biomolecules relevant to Alzheimer’s diseases-In vitro. J. Food Biochem . 2021, 45 (3). DOI: https://doi.org/10.1111/jfbc.13276. [ Links ]

793. Alminderej, F.; Bakari, S.; Almundarij, T. I.; Snoussi, M.; Aouadi, K.; Kadri, A. Antioxidant activities of a new chemotype of piper cubeba L. Fruit essential oil (methyleugenol/eugenol): In silico molecular docking and admet studies. Plants 2020, 9 (11), 1-18. DOI: https://doi.org/10.3390/plants9111534. [ Links ]

794. Bonilla, J.; Poloni, T.; Lourenço, R. V.; Sobral, P. J. A. Antioxidant potential of eugenol and ginger essential oils with gelatin/chitosan films. Food Biosci . 2018, 23, 107-114. DOI: https://doi.org/10.1016/j.fbio.2018.03.007. [ Links ]

795. Candido Júnior, J. R.; Romeiro, L. A. S.; Marinho, E. S.; Monteiro, N. K. V.; de Lima-Neto, P. Antioxidant activity of eugenol and its acetyl and nitroderivatives: the role of quinone intermediates-a DFT approach of DPPH test. J. Mol. Model. 2022, 28 (5). DOI: https://doi.org/10.1007/s00894-022-05120-z. [ Links ]

796. Ekinci Akdemir, F. N.; Yildirim, S.; Kandemir, F. M.; Aksu, E. H.; Guler, M. C.; Kiziltunc Ozmen, H.; Kucukler, S.; Eser, G. The antiapoptotic and antioxidant effects of eugenol against cisplatin-induced testicular damage in the experimental model. Andrologia 2019, 51 (9). DOI: https://doi.org/10.1111/and.13353. [ Links ]

797. Ferreira, V. R. F.; Militani, I. A.; de Almeida, K. J.; Lunguinho, A. D. S.; Saczk, A. A.; Ionta, M.; da Silva, G. A. F.; Felix, F. S.; Nelson, D. L.; Cardoso, M. D. G. Antioxidant and Cytotoxic Activity of Essential Oils and Their Principal Components: Spectrophotometric, Voltammetric, and Theoretical Investigation of the Chelating Effect of Eugenol and Carvacrol. ACS Food Sci. Technol. 2023, 3 (2), 350-360. DOI: https://doi.org/10.1021/acsfoodscitech.2c00378. [ Links ]

798. Gülçin, I. Antioxidant activity of eugenol: A structure-activity relationship study. J. Med. Food 2011, 14 (9), 975-985. DOI: https://doi.org/10.1089/jmf.2010.0197. [ Links ]

799. Hamed, S. F.; Sadek, Z.; Edris, A. Antioxidant and antimicrobial activities of clove bud essential oil and eugenol nanoparticles in alcohol-free microemulsion. J. Oleo Sci. 2012, 61 (11), 641-648. DOI: https://doi.org/10.5650/jos.61.641. [ Links ]

800. Hobani, Y. H.; Mohan, S.; Shaheen, E.; Abdelhaleem, A.; Faruque Ahmad, M.; Bhatia, S.; Abou-Elhamd, A. S. Gastroprotective effect of low dose Eugenol in experimental rats against ethanol induced toxicity: Involvement of antiinflammatory and antioxidant mechanism. J. Ethnopharmacol . 2022, 289. DOI: https://doi.org/10.1016/j.jep.2022.115055. [ Links ]

801. Horvathova, E.; Navarova, J.; Galova, E.; Sevcovicova, A.; Chodakova, L.; Snahnicanova, Z.; Melusova, M.; Kozics, K.; Slamenova, D. Assessment of antioxidative, chelating, and DNA-Protective effects of selected essential oil components (Eugenol, Carvacrol, Thymol, Borneol, Eucalyptol) of plants and intact rosmarinus officinalis oil. J. Agric. Food Chem . 2014, 62 (28), 6632-6639. DOI: https://doi.org/10.1021/jf501006y. [ Links ]

802. Mahboub, R.; Memmou, F. Antioxidant activity and kinetics studies of eugenol and 6-bromoeugenol. Nat. Prod. Res . 2015, 29 (10), 966-971. DOI: https://doi.org/10.1080/14786419.2014.958738. [ Links ]

803. Nam, H.; Kim, M. M. Eugenol with antioxidant activity inhibits MMP-9 related to metastasis in human fibrosarcoma cells. Food Chem. Toxicol. 2013, 55, 106-112. DOI: https://doi.org/10.1016/j.fct.2012.12.050. [ Links ]

804. Oroojan, A. A.; Chenani, N.; An'Aam, M. Antioxidant Effects of Eugenol on Oxidative Stress Induced by Hydrogen Peroxide in Islets of Langerhans Isolated from Male Mouse. Int. J. Hepatol. 2020, 2020. DOI: https://doi.org/10.1155/2020/5890378. [ Links ]

805. Sharma, U. K.; Sharma, A. K.; Gupta, A.; Kumar, R.; Pandey, A.; Pandey, A. K. Pharmacological activities of cinnamaldehyde and eugenol: Antioxidant, cytotoxic and anti-leishmanial studies. Cell. Mol. Biol . 2017, 63 (6), 73-78. DOI: https://doi.org/10.14715/cmb/2017.63.6.15. [ Links ]

806. Alam, M. A. Anti-hypertensive Effect of Cereal Antioxidant Ferulic Acid and Its Mechanism of Action. Front. Vet. Sci . 2019, 6. DOI: https://doi.org/10.3389/fnut.2019.00121. [ Links ]

807. Amić, A.; Marković, Z.; Dimitrić Marković, J. M.; Milenković, D.; Stepanić, V. Antioxidative potential of ferulic acid phenoxyl radical. Phytochemistry 2020, 170. DOI: https://doi.org/10.1016/j.phytochem.2019.112218. [ Links ]

808. Hasanvand, A.; Kharazmkia, A.; Mir, S.; Khorramabadi, R. M.; Darabi, S. Ameliorative effect of ferulic acid on gentamicin-induced nephrotoxicity in a rat model; role of antioxidant effects. J. Renal Inj. Prev. 2018, 7 (2), 73-77. DOI: https://doi.org/10.15171/jrip.2018.18. [ Links ]

809. Hwang, H. J.; Lee, S. R.; Yoon, J. G.; Moon, H. R.; Zhang, J.; Park, E.; Yoon, S. I.; Cho, J. A. Ferulic Acid as a Protective Antioxidant of Human Intestinal Epithelial Cells. Antioxidants 2022, 11 (8). DOI: https://doi.org/10.3390/antiox11081448. [ Links ]

810. Kaur, S.; Dhiman, M.; Mantha, A. K. Ferulic acid: A natural antioxidant with application towards neuroprotection against Alzheimer's disease. In Functional Food and Human Health, Springer Nature; Singapure, 2018, pp 575-586. [ Links ]

811. Wang, Y.; Chen, X.; Huang, Z.; Chen, D.; Yu, B.; Yu, J.; Chen, H.; He, J.; Luo, Y.; Zheng, P. Dietary ferulic acid supplementation improves antioxidant capacity and lipid metabolism in weaned piglets. Nutrients 2020, 12 (12), 1-11. DOI: https://doi.org/10.3390/nu12123811. [ Links ]

812. Zduńska, K.; Dana, A.; Kolodziejczak, A.; Rotsztejn, H. Antioxidant properties of ferulic acid and its possible application. Skin Pharmacol. Physiol. 2018, 31 (6), 332-336. DOI: https://doi.org/10.1159/000491755. [ Links ]

813. Zduńska-Pęciak, K.; Kołodziejczak, A.; Rotsztejn, H. Two superior antioxidants: Ferulic acid and ascorbic acid in reducing signs of photoaging-A split-face comparative study. Dermatol. Ther. 2022, 35 (2). DOI: https://doi.org/10.1111/dth.15254. [ Links ]

814. Azadfar, M.; Gao, A. H.; Chen, S. Structural characterization of lignin: A potential source of antioxidants guaiacol and 4-vinylguaiacol. Int. J. Biol. Macromol . 2015, 75, 58-66. DOI: https://doi.org/10.1016/j.ijbiomac.2014.12.049. [ Links ]

815. Gao, T.; Zhang, Y.; Shi, J.; Mohamed, S. R.; Xu, J.; Liu, X. The Antioxidant Guaiacol Exerts Fungicidal Activity Against Fungal Growth and Deoxynivalenol Production in Fusarium graminearum. Front. Microbiol . 2021, 12. DOI: https://doi.org/10.3389/fmicb.2021.762844. [ Links ]

816. Bortolomeazzi, R.; Sebastianutto, N.; Toniolo, R.; Pizzariello, A. Comparative evaluation of the antioxidant capacity of smoke flavouring phenols by crocin bleaching inhibition, DPPH radical scavenging and oxidation potential. Food Chem . 2007, 100 (4), 1481-1489. DOI: https://doi.org/10.1016/j.foodchem.2005.11.039. [ Links ]

817. Wang, X.; Li, X.; Chen, D. Evaluation of antioxidant activity of isoferulic acid in vitro. Nat. Prod. Commun. 2011, 6 (9), 1285-1288. DOI: https://doi.org/10.1177/1934578x1100600919. [ Links ]

818. Gao, Q.; Li, Y.; Li, Y.; Zhang, Z.; Liang, Y. Antioxidant and prooxidant activities of phenolic acids commonly existed in vegetablesand their relationship with structures. Free Radic. Biol. Med . 2022, 42. DOI: https://doi.org/10.1590/fst.07622. [ Links ]

819. Li, X.; Lin, J.; Gao, Y.; Han, W.; Chen, D. Antioxidant activity and mechanism of Rhizoma Cimicifugae. Chem. Cent. J . 2012, 6 (1). DOI: https://doi.org/10.1186/1752-153X-6-140. [ Links ]

820. Wang, F.; Zhao, S.; Li, F.; Zhang, B.; Qu, Y.; Sun, T.; Luo, T.; Li, D. Investigation of antioxidant interactions between radix Astragali and Cimicifuga foetida and identification of synergistic antioxidant compounds. PLoS One 2014, 9 (1). DOI: https://doi.org/10.1371/journal.pone.0087221. [ Links ]

821. Mendoza-Sarmiento, G.; Rojas-Hernández, A.; Galano, A.; Gutiérrez, A. A combined experimental-theoretical study of the acid-base behavior of mangiferin: implications for its antioxidant activity. RSC Adv . 2016, 6 (56), 51171-51182. DOI: https://doi.org/10.1039/C6RA06328D. [ Links ]

822. Vieira, A. J. S. C.; Telo, J. P.; Pereira, H. F.; Patrocínio, P. F.; Dias, R. M. B. Antioxidant effect of naturally occurring xanthines on the oxidative damage of DNA bases. J. Chim. Phys. Phys.-Chim. Biol. 1999, 96 (1), 116-123. DOI: https://doi.org/10.1051/jcp:1999118. [ Links ]

823. Boz, H. p-Coumaric acid in cereals: Presence, antioxidant and antimicrobial effects. Int. J. Food Sci. Technol. 2015, 50 (11), 2323-2328. DOI: https://doi.org/10.1111/ijfs.12898. [ Links ]

824. Liu, X.; Ji, D.; Cui, X.; Zhang, Z.; Li, B.; Xu, Y.; Chen, T.; Tian, S. p-Coumaric acid induces antioxidant capacity and defense responses of sweet cherry fruit to fungal pathogens. Postharvest Biol. Technol . 2020, 169. DOI: https://doi.org/10.1016/j.postharvbio.2020.111297. [ Links ]

825. Mozaffari Godarzi, S.; Valizade Gorji, A.; Gholizadeh, B.; Mard, S. A.; Mansouri, E. Antioxidant effect of p-coumaric acid on interleukin 1-β and tumor necrosis factor-α in rats with renal ischemic reperfusion. Nefrologia 2020, 40 (3), 311-319. DOI: https://doi.org/10.1016/j.nefroe.2020.06.017. [ Links ]

826. Stojković, D.; Petrović, J.; Soković, M.; Glamočlija, J.; Kukić-Marković, J.; Petrović, S. In situ antioxidant and antimicrobial activities of naturally occurring caffeic acid, p-coumaric acid and rutin, using food systems. J. Sci. Food Agric . 2013, 93 (13), 3205-3208. DOI: https://doi.org/10.1002/jsfa.6156. [ Links ]

827. Zang, L. Y.; Cosma, G.; Gardner, H.; Shi, X.; Castranova, V.; Vallyathan, V. Effect of antioxidant protection by p-coumaric acid on low-density lipoprotein cholesterol oxidation. Am. J. Physiol. - Cell Physiol. 2000, 279 (4 48-4), C954-C960. DOI: https://doi.org/10.1152/ajpcell.2000.279.4.c954. [ Links ]

828. Adefegha, S. A.; Oboh, G.; Ejakpovi, I. I.; Oyeleye, S. I. Antioxidant and antidiabetic effects of gallic and protocatechuic acids: a structure-function perspective. Comp. Clin. Path . 2015, 24 (6), 1579-1585. DOI: https://doi.org/10.1007/s00580-015-2119-7. [ Links ]

829. El-Sonbaty, Y. A.; Suddek, G. M.; Megahed, N.; Gameil, N. M. Protocatechuic acid exhibits hepatoprotective, vasculoprotective, antioxidant and insulin-like effects in dexamethasone-induced insulin-resistant rats. Biochimie 2019, 167, 119-134. DOI: https://doi.org/10.1016/j.biochi.2019.09.011. [ Links ]

830. Graton, M. E.; Ferreira, B. H. S. H.; Troiano, J. A.; Potje, S. R.; Vale, G. T.; Nakamune, A. C. M. S.; Tirapelli, C. R.; Miller, F. J.; Ximenes, V. F.; Antoniali, C. Comparative study between apocynin and protocatechuic acid regarding antioxidant capacity and vascular effects. Front. Physiol . 2022, 13. DOI: https://doi.org/10.3389/fphys.2022.1047916. [ Links ]

831. Han, L.; Yang, Q.; Ma, W.; Li, J.; Qu, L.; Wang, M. Protocatechuic Acid Ameliorated Palmitic-Acid-Induced Oxidative Damage in Endothelial Cells through Activating Endogenous Antioxidant Enzymes via an Adenosine-Monophosphate-Activated-Protein-Kinase-Dependent Pathway. J. Agric. Food Chem . 2018, 66 (40), 10400-10409. DOI: https://doi.org/10.1021/acs.jafc.8b03414. [ Links ]

832. Harini, R.; Pugalendi, K. V. Antioxidant and antihyperlipidaemic activity of protocatechuic acid on streptozotocindiabetic rats. Redox Rep. 2010, 15 (2), 71-80. DOI: https://doi.org/10.1179/174329210X12650506623285. [ Links ]

833. Hyogo, A.; Kobayashi, T.; del Saz, E. G.; Seguchi, H. Antioxidant effects of protocatechuic acid, ferulic acid, and caffeic acid in human neutrophils using a fluorescent substance. Int. J. Morphol 2010, 28 (3), 911-920. DOI: https://doi.org/10.4067/S0717-95022010000300040. [ Links ]

834. Jiang, S. Q.; Chen, Z. L.; Zhang, S.; Ye, J. L.; Wang, Y. B. Protective effects of protocatechuic acid on growth performance, intestinal barrier and antioxidant capacity in broilers challenged with lipopolysaccharide. Animal 2023, 17 (1). DOI: https://doi.org/10.1016/j.animal.2022.100693. [ Links ]

835. Li, X.; Wang, X.; Chen, D.; Chen, S. Antioxidant activity and mechanism of protocatechuic acid in Vitro. Cancer: Oxid. Stress Dietary Antioxid. 2011, 1 (7), 232-244. DOI: https://doi.org/10.31989/ffhd.v1i7.127. [ Links ]

836. Menezes, V. G.; Santos, J. M. S.; Macedo, T. J. S.; Lins, T. L. B. G.; Barberino, R. S.; Gouveia, B. B.; Bezerra, M. É. S.; Cavalcante, A. Y. P.; Queiroz, M. A. A.; Palheta, R. C.; Matos, M. H. T. Use of protocatechuic acid as the sole antioxidant in the base medium for in vitro culture of ovine isolated secondary follicles. Reprod. Domest. Anim. 2017, 52 (5), 890-898. DOI: https://doi.org/10.1111/rda.12995. [ Links ]

837. Safaeian, L.; Emami, R.; Hajhashemi, V.; Haghighatian, Z. Antihypertensive and antioxidant effects of protocatechuic acid in deoxycorticosterone acetate-salt hypertensive rats. Biomed. Pharmacother . 2018, 100, 147-155. DOI: https://doi.org/10.1016/j.biopha.2018.01.107. [ Links ]

838. Varì, R.; D'Archivio, M.; Filesi, C.; Carotenuto, S.; Scazzocchio, B.; Santangelo, C.; Giovannini, C.; Masella, R. Protocatechuic acid induces antioxidant/detoxifying enzyme expression through JNK-mediated Nrf2 activation in murine macrophages. J. Nutr. Biochem . 2011, 22 (5), 409-417. DOI: https://doi.org/10.1016/j.jnutbio.2010.03.008. [ Links ]

839. Yang, L.; Chen, X.; Chen, D.; Yu, B.; He, J.; Luo, Y.; Zheng, P.; Chen, H.; Yan, H.; Huang, Z. Effects of protocatechuic acid on antioxidant capacity, mitochondrial biogenesis and skeletal muscle fiber transformation. J. Nutr. Biochem . 2023, 116. DOI: https://doi.org/10.1016/j.jnutbio.2023.109327. [ Links ]

840. Zhang, S.; Gai, Z.; Gui, T.; Chen, J.; Chen, Q.; Li, Y. Antioxidant Effects of Protocatechuic Acid and Protocatechuic Aldehyde: Old Wine in a New Bottle. Evid. Based Complement. Alternat. Med . 2021, 2021. DOI: https://doi.org/10.1155/2021/6139308. [ Links ]

841. Zhang, X.; Shi, G. F.; Liu, X. Z.; An, L. J.; Guan, S. Anti-ageing effects of protocatechuic acid from Alpinia on spleen and liver antioxidative system of senescent mice. Cell Biochem. Funct. 2011, 29 (4), 342-347. DOI: https://doi.org/10.1002/cbf.1757. [ Links ]

842. Castañeda-Arriaga, R.; Marino, T.; Russo, N.; Alvarez-Idaboy, J. R.; Galano, A. Chalcogen effects on the primary antioxidant activity of chrysin and quercetin. New J. Chem . 2020, 44 (21), 9073-9082. DOI: https://doi.org/10.1039/d0nj01795g. [ Links ]

843. Jamuna, S.; Karthika, K.; Paulsamy, S.; Thenmozhi, K.; Kathiravan, S.; Venkatesh, R. Confertin and scopoletin from leaf and root extracts of Hypochaeris radicata have anti-inflammatory and antioxidant activities. Ind. Crops Prod. 2015, 70, 221-230. DOI: https://doi.org/10.1016/j.indcrop.2015.03.039. [ Links ]

844. Lee, H. I.; Lee, M. K. Effects of scopoletin supplementation on insulin resistance and antioxidant defense system in chronic alcohol-fed rats. J. Korean Soc. Food Sci. Nutr . 2015, 44 (2), 173-181. DOI: https://doi.org/10.3746/jkfn.2015.44.2.173. [ Links ]

845. Malik, A.; Kushnoor, A.; Saini, V.; Singhal, S.; Kumar, S.; Yadav, Y. C. In vitro antioxidant properties of Scopoletin. J. Chem. Pharm. Res. 2011, 3 (3), 659-665. [ Links ]

846. Mogana, R.; Teng-Jin, K.; Wiart, C. Anti-inflammatory, anticholinesterase, and antioxidant potential of scopoletin isolated from Canarium patentinervium Miq. (Burseraceae Kunth). Evid. Based Complement. Alternat. Med . 2013, 2013. DOI: https://doi.org/10.1155/2013/734824. [ Links ]

847. Panda, S.; Kar, A. Evaluation of the antithyroid, antioxidative and antihyperglycemic activity of scopoletin from Aegle marmelos leaves in hyperthyroid rats. Phytother. Res . 2006, 20 (12), 1103-1105. DOI: https://doi.org/10.1002/ptr.2014. [ Links ]

848. Shaw, C. Y.; Chen, C. H.; Hsu, C. C.; Chen, C. C.; Tsai, Y. C. Antioxidant properties of scopoletin isolated from Sinomonium acutum. Phytother. Res . 2003, 17 (7), 823-825. DOI: https://doi.org/10.1002/ptr.1170. [ Links ]

849. Alawsy, T. T. J.; Al-Jumaili, E. F. Antioxidant activity of tannic acid purified from sumac seeds (Rhus coriaria L.): ItS scavenging effect on free radicaland active oxygen. Plant Arch. 2020, 20, 2901-2906. [ Links ]

850. Daré, R. G.; Nakamura, C. V.; Ximenes, V. F.; Lautenschlager, S. O. S. Tannic acid, a promising anti-photoaging agent: Evidences of its antioxidant and anti-wrinkle potentials, and its ability to prevent photodamage and MMP-1 expression in L929 fibroblasts exposed to UVB. Free Radic. Biol. Med . 2020, 160, 342-355. DOI: https://doi.org/10.1016/j.freeradbiomed.2020.08.019. [ Links ]

851. Esmaiel, E. M.; Abo-Youssef, A. M.; Tohamy, M. A. Antidiabetic and antioxidant effects of tannic acid and melatonin on streptozotocin induced diabetes in rats. Pak. J. Pharm. Sci. 2019, 32 (4), 1453-1459. [ Links ]

852. Gülçin, I.; Huyut, Z.; Elmastaş, M.; Aboul-Enein, H. Y. Radical scavenging and antioxidant activity of tannic acid. Arab. J. Chem . 2010, 3 (1), 43-53. DOI: https://doi.org/10.1016/j.arabjc.2009.12.008. [ Links ]

853. Karakurt, S.; Adali, O. Tannic acid inhibits proliferation, migration, invasion of prostate cancer and modulates drug metabolizing and antioxidant enzymes. Anticancer Agents Med. Chem . 2016, 16 (6), 781-789. DOI: https://doi.org/10.2174/1871520616666151111115809. [ Links ]

854. Lou, W.; Chen, Y.; Ma, H.; Liang, G.; Liu, B. Antioxidant and α-amylase inhibitory activities of tannic acid. J. Food Sci. Technol. 2018, 55 (9), 3640-3646. DOI: https://doi.org/10.1007/s13197-018-3292-x. [ Links ]

855. Türkan, F.; Taslimi, P.; Saltan, F. Z. Tannic acid as a natural antioxidant compound: Discovery of a potent metabolic enzyme inhibitor for a new therapeutic approach in diabetes and Alzheimer's disease. J. Biochem. Mol. Toxicol . 2019, 33 (8). DOI: https://doi.org/10.1002/jbt.22340. [ Links ]

856. Wang, M.; Huang, H.; Liu, S.; Zhuang, Y.; Yang, H.; Li, Y.; Chen, S.; Wang, L.; Yin, L.; Yao, Y.; He, S. Tannic acid modulates intestinal barrier functions associated with intestinal morphology, antioxidative activity, and intestinal tight junction in a diquat-induced mouse model. RSC Adv . 2019, 9 (55), 31988-31998. DOI: https://doi.org/10.1039/c9ra04943f. [ Links ]

857. Wang, M.; Huang, H.; Wang, L.; Yin, L.; Yang, H.; Chen, C.; Zheng, Q.; He, S. Tannic acid attenuates intestinal oxidative damage by improving antioxidant capacity and intestinal barrier in weaned piglets and IPEC-J2 cells. Front. Vet. Sci . 2022, 9. DOI: https://doi.org/10.3389/fnut.2022.1012207. [ Links ]

858. Xi, Y.; Chen, J.; Guo, S.; Wang, S.; Liu, Z.; Zheng, L.; Qi, Y.; Xu, P.; Li, L.; Zhang, Z.; Ding, B. Effects of tannic acid on growth performance, relative organ weight, antioxidative status, and intestinal histomorphology in broilers exposed to aflatoxin B1. Funct. Food Hum. Health 2022, 9. DOI: https://doi.org/10.3389/fvets.2022.1037046. [ Links ]

859. Yu, M.; Sun, X.; Dai, X.; Gu, C.; Gu, M.; Wang, A.; Wei, W.; Yang, S. Effects of Tannic Acid on Antioxidant Activity and Ovarian Development in Adolescent and Adult Female Brandt’s Voles. Reprod. Sci. 2021, 28 (10), 2839-2846. DOI: https://doi.org/10.1007/s43032-021-00578-3. [ Links ]

860. Azam, S.; Hadi, N.; Khan, N. U.; Hadi, S. M. Antioxidant and prooxidant properties of caffeine, theobromine and xanthine. Med. Sci. Monit . 2003, 9 (9), BR325-BR330. [ Links ]

861. Wu, F.; Liu, R.; Shen, X.; Xu, H.; Sheng, L. Study on the interaction and antioxidant activity of theophylline and theobromine with SOD by spectra and calculation. Spectrochim. Acta - Part A: Mol. Biomol. Spectrosc. 2019, 215, 354-362. DOI: https://doi.org/10.1016/j.saa.2019.03.001. [ Links ]

862. Ekin, S.; Yildirim, S.; Akkoyun, M. B.; Gok, H. N.; Arihan, O.; Oto, G.; Akkoyun, T.; Basbugan, Y.; Aslan, S. Theophylline attenuates bleomycin-induced oxidative stress in rats: The role of IL-6, NF-κB, and antioxidant enzymes. Braz. J. Pharm. Sci . 2022, 58. DOI: https://doi.org/10.1590/s2175-97902022e20827. [ Links ]

863. Santos, P. M. P.; Silva, S. A. G.; Justino, G. C.; Vieira, A. J. S. C. Demethylation of theophylline (1,3-dimethylxanthine) to 1-methylxanthine: The first step of an antioxidising cascade. Redox Rep . 2010, 15 (3), 138-144. DOI: https://doi.org/10.1179/174329210X12650506623726. [ Links ]

864. Kumar, S.; Prahalathan, P.; Raja, B. Antihypertensive and antioxidant potential of vanillic acid, a phenolic compound in L-NAME-induced hypertensive rats: A dose-dependence study. Redox Rep . 2011, 16 (5), 208-215. DOI: https://doi.org/10.1179/1351000211Y.0000000009. [ Links ]

865. Salau, V. F.; Erukainure, O. L.; Ibeji, C. U.; Olasehinde, T. A.; Koorbanally, N. A.; Islam, M. S. Vanillin and vanillic acid modulate antioxidant defense system via amelioration of metabolic complications linked to Fe2+-induced brain tissues damage. Metab. Brain Dis . 2020, 35 (5), 727-738. DOI: https://doi.org/10.1007/s11011-020-00545-y. [ Links ]

866. Shabani, M.; Jamali, Z.; Bayrami, D.; Salimi, A. Vanillic acid alleviates methamphetamine-induced mitochondrial toxicity in cardiac mitochondria via antioxidant activity and inhibition of MPT Pore opening: an in-vitro study. BMC Pharmacol. Toxicol . 2023, 24 (1). DOI: https://doi.org/10.1186/s40360-023-00676-9. [ Links ]

867. Stanely Mainzen Prince, P.; Rajakumar, S.; Dhanasekar, K. Protective effects of vanillic acid on electrocardiogram, lipid peroxidation, antioxidants, proinflammatory markers and histopathology in isoproterenol induced cardiotoxic rats. Eur. J. Pharmacol . 2011, 668 (1-2), 233-240. DOI: https://doi.org/10.1016/j.ejphar.2011.06.053. [ Links ]

868. Vinothiya, K.; Ashokkumar, N. Modulatory effect of vanillic acid on antioxidant status in high fat diet-induced changes in diabetic hypertensive rats. Biomed. Pharmacother . 2017, 87, 640-652. DOI: https://doi.org/10.1016/j.biopha.2016.12.134. [ Links ]

869. Gonzalez-Baro, A. C.; Izquierdo, D.; Heras, A.; Colina, A. UV/Vis spectroelectrochemistry of o-vanillin: Study of the antioxidant properties. J. Electroanal. Chem. 2020, 859. DOI: https://doi.org/10.1016/j.jelechem.2020.113844. [ Links ]

870. Kamat, J. P.; Ghosh, A.; Devasagayam, T. P. A. Vanillin as an antioxidant in rat liver mitochondria: Inhibition of protein oxidation and lipid peroxidation induced by photosensitization. Mol. Cell. Biochem . 2000, 209 (1-2), 47-53. DOI: https://doi.org/10.1023/a:1007048313556. [ Links ]

871. Tai, A.; Sawano, T.; Yazama, F.; Ito, H. Evaluation of antioxidant activity of vanillin by using multiple antioxidant assays. Biochim. Biophys. Acta - Gen. Subj. 2011, 1810 (2), 170-177. DOI: https://doi.org/10.1016/j.bbagen.2010.11.004. [ Links ]

872. Widowati, W.; Fauziah, N.; Herdiman, H.; Afni, M.; Afifah, E.; Kusuma, H. S. W.; Nufus, H.; Arumwardana, S.; Rihibiha, D. D. Antioxidant and anti aging assays of Oryza sativa extracts, vanillin and coumaric acid. J. Nat. Remedies 2016, 16 (3), 88-99. DOI: https://doi.org/10.18311/jnr/2016/7220. [ Links ]

873. Xiong, S.; Li, R.; Ye, S.; Ni, P.; Shan, J.; Yuan, T.; Liang, J.; Fan, Y.; Zhang, X. Vanillin enhances the antibacterial and antioxidant properties of polyvinyl alcohol-chitosan hydrogel dressings. Int. J. Biol. Macromol . 2022, 220, 109-116. DOI: https://doi.org/10.1016/j.ijbiomac.2022.08.052. [ Links ]

874. Tai, A.; Sawano, T.; Yazama, F. Antioxidant properties of ethyl vanillin in vitro and in vivo. Biosci. Biotechnol. Biochem . 2011, 75 (12), 2346-2350. DOI: https://doi.org/10.1271/bbb.110524. [ Links ]

875. Zieniuk, B.; Groborz, K.; Wołoszynowska, M.; Ratusz, K.; Białecka‐florjańczyk, E.; Fabiszewska, A. Enzymatic synthesis of lipophilic esters of phenolic compounds, evaluation of their antioxidant activity and effect on the oxidative stability of selected oils. Biomolecules 2021, 11 (2), 1-12. DOI: https://doi.org/10.3390/biom11020314. [ Links ]

876. Bielski, B. H. J.; Arudi, R. L.; Sutherland, M. W. A study of the reactivity of HO2/O2 - with unsaturated fatty acids. J. Biol. Chem. 1983, 258 (8), 4759-4761. [ Links ]

877. Terpinc, P.; Abramovič, H. A kinetic approach for evaluation of the antioxidant activity of selected phenolic acids. Food Chem . 2010, 121 (2), 366-371. DOI: https://doi.org/10.1016/j.foodchem.2009.12.037. [ Links ]

878. Sies, H. Oxidative stress: Oxidants and antioxidants. .1997, 82 (2), 291-295. DOI: https://doi.org/10.1113/expphysiol.1997.sp004024. [ Links ]

879. Masuda, T.; Yamada, K.; Maekawa, T.; Takeda, Y.; Yamaguchi, H. Antioxidant mechanism studies on ferulic acid: Identification of oxidative coupling products from methyl ferulate and linoleate. J. Agric. Food Chem . 2006, 54 (16), 6069-6074. DOI: https://doi.org/10.1021/jf060676z. [ Links ]

880. Masuda, T.; Yamada, K.; Maekawa, T.; Takeda, Y.; Yamaguchi, H. Antioxidant mechanism studies on ferulic acid: Isolation and structure identification of the main antioxidation product from methyl ferulate. Food Sci. Technol. Res . 2006, 12 (3), 173-177. DOI: https://doi.org/10.3136/fstr.12.173. [ Links ]

881. Miche, H.; Brumas, V.; Berthon, G. Copper(II) interactions with nonsteroidal antiinflammatory agents. II. Anthranilic acid as a potential OH-inactivating ligand. J. Inorg. Biochem . 1997, 68 (1), 27-38. DOI: https://doi.org/10.1016/S0162-0134(97)00005-6. [ Links ]

882. Gaubert, S.; Bouchaut, M.; Brumas, V.; Berthon, G. Copper-ligand interactions and physiological free radical processes. Part 3. Influence of histidine, salicylic acid and anthranilic acid on copper-driven Fenton chemistry in vitro. Free Radic. Res . 2000, 32 (5), 451-461. DOI: https://doi.org/10.1080/10715760000300451. [ Links ]

883. Steenken, S.; Jovanovic, S. V. How easily oxidizable is DNA? One-electron reduction potentials of adenosine and guanosine radicals in aqueous solution. J. Am. Chem. Soc. 1997, 119 (3), 617-618. DOI: https://doi.org/10.1021/ja962255b. [ Links ]

884. Galano, A.; Alvarez-Idaboy, J. R. On the evolution of one-electron-oxidized deoxyguanosine in damaged DNA under physiological conditions: A DFT and ONIOM study on proton transfer and equilibrium. Phys. Chem. Chem. Phys . 2012, 14 (36), 12476-12484. DOI: https://doi.org/10.1039/c2cp40799j. [ Links ]

885. Tronche, C.; Goodman, B. K.; Greenberg, M. M. DNA damage induced via independent generation of the radical resulting from formal hydrogen atom abstraction from the C1'-position of a nucleotide. Chem. Biol. 1998, 5 (5), 263-271. DOI: https://doi.org/10.16/S1074-5521(98)90619-6. [ Links ]

886. Pogozelski, W. K.; Tullius, T. D. Oxidative Strand Scission of Nucleic Acids: Routes Initiated by Hydrogen Abstraction from the Sugar Moiety. Chem. Rev. 1998, 98 (3), 1089-1108. DOI: https://doi.org/10.1021/cr960437i. [ Links ]

887. Dedon, P. C. The Chemical Toxicology of 2-Deoxyribose Oxidation in DNA. Chem. Res. Toxicol . 2007, 21 (1), 206-219. DOI: https://doi.org/10.1021/tx700283c. [ Links ]

888. Yu, Y.; Cui, Y.; Niedernhofer, L. J.; Wang, Y. Occurrence, Biological Consequences, and Human Health Relevance of Oxidative Stress-Induced DNA Damage. Chem. Res. Toxicol . 2016, 29 (12), 2008-2039. DOI: https://doi.org/10.1021/acs.chemrestox.6b00265. [ Links ]

889. Pérez-González, A.; Castañeda-Arriaga, R.; Álvarez-Idaboy, J. R.; Reiter, R. J.; Galano, A. Melatonin and its metabolites as chemical agents capable of directly repairing oxidized DNA. J. Pineal Res. 2019, 66 (2). DOI: https://doi.org/10.1111/jpi.12539. [ Links ]

890. Galano, A.; Francisco-Marquez, M. Reactions of OOH radical with β-carotene, lycopene, and torulene: Hydrogen atom transfer and adduct formation mechanisms. J. Phys. Chem. B 2009, 113 (32), 11338-11345. DOI: https://doi.org/10.1021/jp904061q. [ Links ]

891. Mortensen, A. Scavenging of benzylperoxyl radicals by carotenoids. Free Radic. Res . 2002, 36 (2), 211-216. DOI: https://doi.org/10.1080/10715760290006501. [ Links ]

892. Liebler, D. C.; McClure, T. D. Antioxidant reactions of β-carotene: Identification of carotenoid-radical adducts. Chem. Res. Toxicol . 1996, 9 (1), 8-11. DOI: https://doi.org/10.1021/tx950151t. [ Links ]

893. Joshi, R.; Gangabhagirathi, R.; Venu, S.; Adhikari, S.; Mukherjee, T. Antioxidant activity and free radical scavenging reactions of gentisic acid: In-vitro and pulse radiolysis studies. Free Radic. Res . 2012, 46 (1), 11-20. DOI: https://doi.org/10.3109/10715762.2011.633518. [ Links ]

894. Dhiman, S. B.; Kamat, J. P.; Naik, D. B. Antioxidant activity and free radical scavenging reactions of hydroxybenzyl alcohols. Biochemical and pulse radiolysis studies. Chem. Biol. Interact . 2009, 182 (2-3), 119-127. DOI: https://doi.org/10.1016/j.cbi.2009.07.025. [ Links ]

895. Hata, K.; Lin, M.; Katsumura, Y.; Muroya, Y.; Fu, H.; Yamashita, S.; Nakagawa, H. Pulse radiolysis study on free radical scavenger edaravone(3-methyl-1-phenyl-2-pyrazolin-5-one).2: A comparative study on edaravone derivatives. J. Radiat. Res. 2011, 52 (1), 15-23. DOI: https://doi.org/10.1269/jrr.10060. [ Links ]

896. Pérez-González, A.; Galano, A. OH radical scavenging activity of edaravone: Mechanism and kinetics. J. Phys. Chem. B 2011, 115 (5), 1306-1314. DOI: https://doi.org/10.1021/jp110400t. [ Links ]

897. Galano, A. On the direct scavenging activity of melatonin towards hydroxyl and a series of peroxyl radicals. Phys. Chem. Chem. Phys . 2011, 13 (15), 7178-7188. DOI: https://doi.org/10.1039/c0cp02801k. [ Links ]

898. Galano, A.; Tan, D. X.; Reiter, R. J. On the free radical scavenging activities of melatonin's metabolites, AFMK and AMK. J. Pineal Res . 2013, 54 (3), 245-257. DOI: https://doi.org/10.1111/jpi.12010. [ Links ]

899. Galano, A.; Tan, D. X.; Reiter, R. J. Cyclic 3-hydroxymelatonin, a key metabolite enhancing the peroxyl radical scavenging activity of melatonin. RSC Adv . 2014, 4 (10), 5220-5227. DOI: https://doi.org/10.1039/C3RA44604B. [ Links ]

900. Tamba, M.; Torreggiani, A. Hydroxyl radical scavenging by carnosine and Cu(II)-carnosine complexes: A pulse-radiolysis and spectroscopic study. Int. J. Radiat. Biol . 1999, 75 (9), 1177-1188. DOI: https://doi.org/10.1080/095530099139656. [ Links ]

901. Sakurai, K.; Sasabe, H.; Koga, T.; Konishi, T. Mechanism of hydroxyl radical scavenging by rebamipide: Identification of mono-hydroxylated rebamipide as as a major reaction product. Free Radic. Res . 2004, 38 (5), 487-494. DOI: https://doi.org/10.1080/1071576042000209808. [ Links ]

902. Barzegar, A. The role of electron-transfer and H-atom donation on the superb antioxidant activity and free radical reaction of curcumin. Food Chem . 2012, 135 (3), 1369-1376. DOI: https://doi.org/10.1016/j.foodchem.2012.05.070. [ Links ]

903. Touriño, S.; Lizárraga, D.; Carreras, A.; Lorenzo, S.; Ugartondo, V.; Mitjans, M.; Vinardell, M. P.; Julía, L.; Cascante, M.; Torres, J. L. Highly galloylated tannin fractions from witch hazel (Hamamelis virginiana) bark: Electron transfer capacity, in vitro antioxidant activity, and effects on skin-related cells. Chem. Res. Toxicol . 2008, 21 (3), 696-704. DOI: https://doi.org/10.1021/tx700425n. [ Links ]

904. Pérez-González, A.; Galano, A. On the outstanding antioxidant capacity of edaravone derivatives through single electron transfer reactions. J. Phys. Chem. B 2012, 116 (3), 1180-1188. DOI: https://doi.org/10.1021/jp209930y. [ Links ]

905. Nakanishi, I.; Shimada, T.; Ohkubo, K.; Manda, S.; Shimizu, T.; Urano, S.; Okuda, H.; Miyata, N.; Ozawa, T.; Anzai, K.; et al. Involvement of electron transfer in the radical-scavenging reaction of resveratrol. Chem. Lett. 2007, 36 (10), 1276-1277. DOI: https://doi.org/10.1246/cl.2007.1276. [ Links ]

906. Nakanishi, I.; Ohkubo, K.; Miyazaki, K.; Hakamata, W.; Urano, S.; Ozawa, T.; Okuda, H.; Fukuzumi, S.; Ikota, N.; Fukuhara, K. A Planar Catechin Analogue Having a More Negative Oxidation Potential than (+)-Catechin as an Electron Transfer Antioxidant against a Peroxyl Radical. Chem. Res. Toxicol . 2004, 17 (1), 26-31. DOI: https://doi.org/10.1021/tx034134c. [ Links ]

907. Hill, T. J.; Land, E. J.; McGarvey, D. J.; Schalch, W.; Tinkler, J. H.; Truscott, T. G. Interactions between carotenoids and the CCl3O2 • radical. J. Am. Chem. Soc . 1995 , 117 (32), 8322-8326. DOI: https://doi.org/10.1021/ja00137a004. [ Links ]

908. Packer, J. E.; Mahood, J. S.; Mora-Arellano, V. O.; Slater, T. F.; Willson, R. L.; Wolfenden, B. S. Free radicals and singlet oxygen scavengers: Reaction of a peroxy-radical with β-carotene, diphenyl furan and 1,4-diazobicyclo(2,2,2)-octane. Biochem .Biophys. Res. Commun. 1981, 98 (4), 901-906. DOI: https://doi.org/10.1016/0006-291x(81)91196-7. [ Links ]

909. Mortensen, A.; Skibsted, L. H.; Sampson, J.; Rice-Evans, C.; Everett, S. A. Comparative mechanisms and rates of free radical scavenging by carotenoid antioxidants. FEBS Lett. 1997, 418 (1-2), 91-97. DOI: https://doi.org/10.1016/s0014-5793(97)01355-0. [ Links ]

910. Everett, S. A.; Kundu, S. C.; Maddix, S.; Willson, R. L. Mechanisms of free-radical scavenging by the nutritional antioxidant β-carotene. Biochem. Soc. Trans. 1995 , 23 (2), 230S. DOI: https://doi.org/10.1042/bst023230s. [ Links ]

911. Cao, L.; Yu, H.; Shao, S.; Wang, S.; Guo, Y. Evaluating the antioxidant capacity of polyphenols with an off-on fluorescence probe and the mechanism study. Anal. Methods 2014, 6 (18), 7149-7153. DOI: https://doi.org/10.1039/C4AY01276C. [ Links ]

912. Mikulski, D.; Eder, K.; Molski, M. Quantum-chemical study on relationship between structure and antioxidant properties of hepatoprotective compounds occurring in Cynara scolymus and Silybum marianum. J. Theor. Comput. Chem. 2014, 13 (1). DOI: https://doi.org/10.1142/S0219633614500047. [ Links ]

913. Mendoza-Wilson, A. M.; Castro-Arredondo, S. I.; Balandrán-Quintana, R. R. Computational study of the structure-free radical scavenging relationship of procyanidins. Food Chem . 2014, 161, 155-161. DOI: https://doi.org/10.1016/j.foodchem.2014.03.111. [ Links ]

914. Wang, G.; Xue, Y.; An, L.; Zheng, Y.; Dou, Y.; Zhang, L.; Liu, Y. Theoretical study on the structural and antioxidant properties of some recently synthesised 2,4,5-trimethoxy chalcones. Food Chem . 2014, 171, 89-97. DOI: https://doi.org/10.1016/j.foodchem.2014.08.106. [ Links ]

915. Praveena, R.; Sadasivam, K.; Deepha, V.; Sivakumar, R. Antioxidant potential of orientin: A combined experimental and DFT approach. J. Mol. Struct . 2014, 1061 (1), 114-123. DOI: https://doi.org/10.1016/j.molstruc.2014.01.002. [ Links ]

916. Galano, A.; Martínez, A. Capsaicin, a tasty free radical scavenger: Mechanism of action and kinetics. J. Phys. Chem. B 2012, 116 (3), 1200-1208. DOI: https://doi.org/10.1021/jp211172f. [ Links ]

917. Martínez, A.; Galano, A.; Vargas, R. Free radical scavenger properties of α-mangostin: Thermodynamics and kinetics of HAT and RAF mechanisms. J. Phys. Chem. B 2011, 115 (43), 12591-12598. DOI: https://doi.org/10.1021/jp205496u. [ Links ]

918. Dimitrić Marković, J. M.; Milenković, D.; Amić, D.; Mojović, M.; Pašti, I.; Marković, Z. S. The preferred radical scavenging mechanisms of fisetin and baicalein towards oxygen-centred radicals in polar protic and polar aprotic solvents. RSC Adv . 2014, 4 (61), 32228-32236. DOI: https://doi.org/10.1039/C4RA02577F. [ Links ]

919. Xue, Y.; Zheng, Y.; An, L.; Zhang, L.; Qian, Y.; Yu, D.; Gong, X.; Liu, Y. A theoretical study of the structure-radical scavenging activity of hydroxychalcones. Comput. Theor. Chem. 2012, 982, 74-83. DOI: https://doi.org/10.1016/j.comptc.2011.12.020. [ Links ]

920. Mazzone, G.; Toscano, M.; Russo, N. Density functional predictions of antioxidant activity and UV spectral features of nasutin A, isonasutin, ellagic acid, and one of its possible derivatives. J. Agric. Food Chem . 2013, 61 (40), 9650-9657. DOI: https://doi.org/10.1021/jf403262k. [ Links ]

921. Castañeda-Arriaga, R.; Alvarez-Idaboy, J. R. Lipoic acid and dihydrolipoic acid. A comprehensive theoretical study of their antioxidant activity supported by available experimental kinetic data. J. Chem. Inf. Model. 2014, 54 (6), 1642-1652. DOI: https://doi.org/10.1021/ci500213p. [ Links ]

922. Galano, A.; Alvarez-Idaboy, J. R. Glutathione: Mechanism and kinetics of its non-enzymatic defense action against free radicals. RSC Adv . 2011, 1 (9), 1763-1771. DOI: https://doi.org/10.1039/C1RA00474C. [ Links ]

923. Farmanzadeh, D.; Najafi, M. On the antioxidant activity of the tryptophan derivatives. Bull. Chem. Soc. Jpn. 2013, 86 (9), 1041-1050. DOI: https://doi.org/10.1246/bcsj.20130035. [ Links ]

924. Galano, A. Mechanism and kinetics of the hydroxyl and hydroperoxyl radical scavenging activity of N-acetylcysteine amide. Theor. Chem. Acc. 2011, 130 (1), 51-60. DOI: https://doi.org/10.1007/s00214-011-0958-0. [ Links ]

925. Litwinienko, G.; Ingold, K. U. Abnormal solvent effects on hydrogen atom abstraction. 2. Resolution of the curcumin antioxidant controversy. The role of sequential proton loss electron transfer. J. Org. Chem. 2004, 69 (18), 5888-5896. DOI: https://doi.org/10.1021/jo049254j. [ Links ]

926. Galano, A.; Álvarez-Diduk, R.; Ramírez-Silva, M. T.; Alarcón-Ángeles, G.; Rojas-Hernández, A. Role of the reacting free radicals on the antioxidant mechanism of curcumin. Chem. Phys. 2009, 363 (1-3), 13-23. DOI: https://doi.org/10.1016/j.chemphys.2009.07.003. [ Links ]

927. Medina, M. E.; Galano, A.; Alvarez-Idaboy, J. R. Theoretical study on the peroxyl radicals scavenging activity of esculetin and its regeneration in aqueous solution. Phys. Chem. Chem. Phys . 2014, 16 (3), 1197-1207. DOI: https://doi.org/10.1039/c3cp53889c. [ Links ]

928. Jeremić, S.; Filipović, N.; Peulić, A.; Marković, Z. Thermodynamical aspect of radical scavenging activity of alizarin and alizarin red S. Theoretical comparative study. Comput. Theor. Chem . 2014, 1047, 15-21. DOI: https://doi.org/10.1016/j.comptc.2014.08.007. [ Links ]

929. Xue, Y.; Zheng, Y.; An, L.; Dou, Y.; Liu, Y. Density functional theory study of the structure-antioxidant activity of polyphenolic deoxybenzoins. Food Chem . 2014, 151, 198-206. DOI: https://doi.org/10.1016/j.foodchem.2013.11.064. [ Links ]

930. Marković, Z.; Crossed D Signorović, J.; Dimitrić Marković, J. M.; Živić, M.; Amić, D. Investigation of the radical scavenging potency of hydroxybenzoic acids and their carboxylate anions. Monatsh. Chem. 2014, 145 (6), 953-962. DOI: https://doi.org/10.1007/s00706-014-1163-3. [ Links ]

931. Pérez-González, A.; Galano, A.; Alvarez-Idaboy, J. R. Dihydroxybenzoic acids as free radical scavengers: Mechanisms, kinetics, and trends in activity. New J. Chem. 2014, 38 (6), 2639-2652. DOI: https://doi.org/10.1039/C4NJ00071D. [ Links ]

932. Urbaniak, A.; Szelag, M.; Molski, M. Theoretical investigation of stereochemistry and solvent influence on antioxidant activity of ferulic acid. Comput. Theor. Chem . 2013, 1012, 33-40. DOI: https://doi.org/10.1016/j.comptc.2013.02.018. [ Links ]

933. Fifen, J. J.; Nsangou, M.; Dhaouadi, Z.; Motapon, O.; Jaidane, N. Solvent effects on the antioxidant activity of 3,4-dihydroxyphenylpyruvic acid: DFT and TD-DFT studies. Comput. Theor. Chem . 2011, 966 (1-3), 232-243. DOI: https://doi.org/10.1016/j.comptc.2011.03.006. [ Links ]

934. Iuga, C.; Alvarez-Idaboy, J. R.; Russo, N. Antioxidant activity of trans -resveratrol toward hydroxyl and hydroperoxyl radicals: A quantum chemical and computational kinetics study. J. Org. Chem . 2012, 77 (8), 3868-3877. DOI: https://doi.org/10.1021/jo3002134. [ Links ]

935. Benayahoum, A.; Amira-Guebailia, H.; Houache, O. Homolytic and heterolytic O-H bond cleavage in trans-resveratrol and some phenantrene analogs: A theoretical study. Comput. Theor. Chem . 2014, 1037, 1-9. DOI: https://doi.org/10.1016/j.comptc.2014.03.016. [ Links ]

936. Medina, M. E.; Iuga, C.; Álvarez-Idaboy, J. R. Antioxidant activity of fraxetin and its regeneration in aqueous media. A density functional theory study. RSC Adv . 2014, 4 (95), 52920-52932. DOI: https://doi.org/10.1039/C4RA08394F. [ Links ]

937. Cordova-Gomez, M.; Galano, A.; Alvarez-Idaboy, J. R. Piceatannol, a better peroxyl radical scavenger than resveratrol. RSC Adv . 2013, 3 (43), 20209-20218. DOI: https://doi.org/10.1039/C3RA42923G. [ Links ]

938. Marković, Z.; Milenković, D.; Orović, J.; Dimitrić Marković, J. M.; Stepanić, V.; Lučić, B.; Amić, D. Free radical scavenging activity of morin 2′-O- phenoxide anion. Food Chem . 2012, 135 (3), 2070-2077. DOI: https://doi.org/10.1016/j.foodchem.2012.05.119. [ Links ]

939. Xue, Y.; Zhang, L.; Li, Y.; Yu, D.; Zheng, Y.; An, L.; Gong, X.; Liu, Y. A DFT study on the structure and radical scavenging activity of newly synthesized hydroxychalcones. J. Phys. Org. Chem. 2013, 26 (3), 240-248. DOI: https://doi.org/10.1002/poc.3074. [ Links ]

940. Xue, Y.; Zheng, Y.; Zhang, L.; Wu, W.; Yu, D.; Liu, Y. Theoretical study on the antioxidant properties of 2′- hydroxychalcones: H-atom vs. electron transfer mechanism. J. Mol. Model . 2013, 19 (9), 3851-3862. DOI: https://doi.org/10.1007/s00894-013-1921-x. [ Links ]

941. Qian, Y. P.; Shang, Y. J.; Teng, Q. F.; Chang, J.; Fan, G. J.; Wei, X.; Li, R. R.; Li, H. P.; Yao, X. J.; Dai, F.; Zhou, B. Hydroxychalcones as potent antioxidants: Structure-activity relationship analysis and mechanism considerations. Food Chem . 2011, 126 (1), 241-248. DOI: https://doi.org/10.1016/j.foodchem.2010.11.011. [ Links ]

942. Martínez, A.; Hernández-Marin, E.; Galano, A. Xanthones as antioxidants: A theoretical study on the thermodynamics and kinetics of the single electron transfer mechanism. Food Funct . 2012, 3 (4), 442-450. DOI: https://doi.org/10.1039/C2FO10229C. [ Links ]

943. Musialik, M.; Kuzmicz, R.; Pawlowski, T. S.; Litwinienko, G. Acidity of hydroxyl groups: An overlooked influence on antiradical properties of flavonoids. J. Org. Chem . 2009, 74 (7), 2699-2709. DOI: https://doi.org/10.1021/jo802716v. [ Links ]

944. Di Meo, F.; Lemaur, V.; Cornil, J.; Lazzaroni, R.; Duroux, J. L.; Olivier, Y.; Trouillas, P. Free radical scavenging by natural polyphenols: Atom versus electron transfer. J. Phys. Chem. A 2013, 117 (10), 2082-2092. DOI: https://doi.org/10.1021/jp3116319. [ Links ]

945. Dimitrić Marković, J. M.; Milenković, D.; Amić, D.; Popović-Bijelić, A.; Mojović, M.; Pašti, I. A.; Marković, Z. S. Energy requirements of the reactions of kaempferol and selected radical species in different media: towards the prediction of the possible radical scavenging mechanisms. Struct. Chem. 2014, 25, 1795-1804. DOI: https://doi.org/10.1007/s11224-014-0453-z. [ Links ]

946. Dorović, J.; Marković, J. M. D.; Stepanić, V.; Begović, N.; Amić, D.; Marković, Z. Influence of different free radicals on scavenging potency of gallic acid. J. Mol. Model . 2014, 20 (7), 2345. DOI: https://doi.org/10.1007/s00894-014-2345-y. [ Links ]

947. Alberto, M. E.; Russo, N.; Grand, A.; Galano, A. A physicochemical examination of the free radical scavenging activity of Trolox: Mechanism, kinetics and influence of the environment. Phys. Chem. Chem. Phys . 2013, 15 (13), 4642-4650. DOI: https://doi.org/10.1039/c3cp43319f. [ Links ]

948. Lengyel, J.; Rimarčík, J.; Vagánek, A.; Klein, E. On the radical scavenging activity of isoflavones: Thermodynamics of O-H bond cleavage. Phys. Chem. Chem. Phys. 2013, 15 (26), 10895-10903. DOI: https://doi.org/10.1039/c3cp00095h. [ Links ]

949. Senthil kumar, K.; Kumaresan, R. A DFT study on the structural, electronic properties and radical scavenging mechanisms of calycosin, glycitein, pratensein and prunetin. Comput. Theor. Chem . 2012, 985, 14-22. DOI: https://doi.org/10.1016/j.comptc.2012.01.028. [ Links ]

950. Marković, Z. S.; Dimitrić Marković, J. M.; Milenković, D.; Filipović, N. Mechanistic study of the structure-activity relationship for the free radical scavenging activity of baicalein. J. Mol. Model . 2011, 17 (10), 2575-2584. DOI: https://doi.org/10.1007/s00894-010-0942-y. [ Links ]

951. Jeremić, S. R.; Šehović, S. F.; Manojlović, N. T.; Marković, Z. S. Antioxidant and free radical scavenging activity of purpurin. Monatsh. Chem . 2012, 143 (3), 427-435. DOI: https://doi.org/10.1007/s00706-011-0695-z. [ Links ]

952. Marković, Z. S.; Marković, S.; Dimitrić Marković, J. M.; Milenković, D. Structure and reactivity of baicalein radical cation. Int. J. Quantum Chem. 2012, 112 (8), 2009-2017. DOI: https://doi.org/10.1002/qua.23175. [ Links ]

953. Focsan, A. L.; Pan, S.; Kispert, L. D. Electrochemical study of astaxanthin and astaxanthin n-octanoic monoester and diester: Tendency to form radicals. J. Phys. Chem. B 2014, 118 (9), 2331-2339. DOI: https://doi.org/10.1021/jp4121436. [ Links ]

954. Marković, Z.; Amić, D.; Milenković, D.; Dimitrić-Marković, J. M.; Marković, S. Examination of the chemical behavior of the quercetin radical cation towards some bases. Phys. Chem. Chem. Phys. 2013, 15 (19), 7370-7378. DOI: https://doi.org/10.1039/C3CP44605K. [ Links ]

955. Nakanishi, I.; Kawashima, T.; Ohkubo, K.; Kanazawa, H.; Inami, K.; Mochizuki, M.; Fukuhara, K.; Okuda, H.; Ozawa, T.; Itoh, S.; et al. Electron-transfer mechanism in radical-scavenging reactions by a vitamin E model in a protic medium. Org. Biomol. Chem . 2005, 3 (4), 626-629. DOI: https://doi.org/10.1039/b416572a. [ Links ]

956. Ouchi, A.; Nagaoka, S. I.; Abe, K.; Mukai, K. Kinetic study of the aroxyl radical-scavenging reaction of α-tocopherol in methanol solution: Notable effect of the alkali and alkaline earth metal salts on the reaction rates. J. Phys. Chem. B 2009, 113 (40), 13322-13331. DOI: https://doi.org/10.1021/jp906425r. [ Links ]

957. Galano, A.; Francisco Marquez, M.; Pérez-González, A. Ellagic acid: An unusually versatile protector against oxidative stress. Chem. Res. Toxicol . 2014, 27 (5), 904-918. DOI: https://doi.org/10.1021/tx500065y. [ Links ]

958. Medina, M. E.; Iuga, C.; Alvarez-Idaboy, J. R. Antioxidant activity of propyl gallate in aqueous and lipid media: A theoretical study. Phys. Chem. Chem. Phys. 2013, 15 (31), 13137-13146. DOI: https://doi.org/10.1039/C3CP51644J. [ Links ]

959. Amorati, R.; Pedulli, G. F.; Cabrini, L.; Zambonin, L.; Landi, L. Solvent and pH effects on the antioxidant activity of caffeic and other phenolic acids. J. Agric. Food Chem. 2006, 54 (8), 2932-2937. DOI: https://doi.org/10.1021/jf053159+. [ Links ]

960. Marino, T.; Galano, A.; Russo, N. Radical Scavenging Ability of Gallic Acid toward OH and OOH Radicals. Reaction Mechanism and Rate Constants from the Density Functional Theory. J. Phys. Chem. B 2014, 118 (35), 10380-10389. DOI: https://doi.org/10.1021/jp505589b. [ Links ]

961. Galano, A.; León-Carmona, J. R.; Alvarez-Idaboy, J. R. Influence of the environment on the protective effects of guaiacol derivatives against oxidative stress: Mechanisms, kinetics, and relative antioxidant activity. J. Phys. Chem. B 2012, 116 (24), 7129-7137. DOI: https://doi.org/10.1021/jp302810w. [ Links ]

962. León-Carmona, J. R.; Galano, A. Free radical scavenging activity of caffeine's metabolites. Int. J. Quantum Chem . 2012, 112 (21), 3472-3478. DOI: https://doi.org/10.1002/qua.24084. [ Links ]

963. Galano, A.; Pérez-González, A. On the free radical scavenging mechanism of protocatechuic acid, regeneration of the catechol group in aqueous solution. Theor. Chem. Acc . 2012, 131 (9), 1-13. DOI: https://doi.org/10.1007/s00214-012-1265-0. [ Links ]

964. Litwinienko, G.; Ingold, K. U. Abnormal Solvent Effects on Hydrogen Atom Abstractions. 1. The Reactions of Phenols with 2,2-Diphenyl-1-picrylhydrazyl (dpph•) in Alcohols. J. Org. Chem . 2003, 68 (9), 3433-3438. DOI: https://doi.org/10.1021/jo026917t. [ Links ]

965. Litwinienko, G.; Ingold, K. U. Abnormal Solvent Effects on Hydrogen Atom Abstraction. 3. Novel Kinetics in Sequential Proton Loss Electron Transfer Chemistry. J. Org. Chem . 2005, 70 (22), 8982-8990. DOI: https://doi.org/10.1021/jo051474p. [ Links ]

966. Litwinienko, G.; Ingold, K. U. Solvent Effects on the Rates and Mechanisms of Reaction of Phenols with Free Radicals. Acc. Chem. Res. 2007, 40 (3), 222-230. DOI: https://doi.org/10.1021/ar0682029. [ Links ]

Received: March 14, 2024; Accepted: May 24, 2024; Published: September 30, 2024

*Corresponding author: Annia Galano, email: agal@xanum.uam.mx

Creative Commons License This is an open-access article distributed under the terms of the Creative Commons Attribution License