Servicios Personalizados
Revista
Articulo
Indicadores
-
Citado por SciELO -
Accesos
Links relacionados
-
Similares en
SciELO
Compartir
Revista odontológica mexicana
versión impresa ISSN 1870-199X
Rev. Odont. Mex vol.18 no.2 Ciudad de México abr./jun. 2014
Trabajos originales
Evaluación de protocolos de biología molecular en la asignatura de Bioquímica de la Facultad de Odontología, Universidad Nacional Autónoma de México
Gloria Gutiérrez-Venegas,* Sergio Sánchez-García,§ Alejandro Golzarri-Moreno,II Adrián Ramírez Peralta,II Cristina Hernández Bermúdez*
* Laboratorio de Bioquímica, División de Estudios de Postgrado e Investigación, Facultad de Odontología, Universidad Nacional Autónoma de México, Ciudad Universitaria, México, Distrito Federal.
§ Unidad de Investigación Epidemiológica y en Servicios de Salud, Área de Envejecimiento. Centro Médico Nacional Siglo XXI, Instituto Mexicano del Seguro Social, México, D.F.
II Departamento de Informática. Facultad de Odontología, Universidad Nacional Autónoma de México, Ciudad Universitaria, México, Distrito Federal.
RESUMEN
Desde hace más de un década, se ha reforzado la enseñanza experimental de la asignatura de Bioquímica en la Facultad de Odontología mediante la implementación de prácticas de laboratorio. El proyecto sobre el fortalecimiento de la enseñanza en bioquímica tiene la intención de que el estudiante sea capaz de comprender los conceptos básicos de bioquímica y biología molecular con la finalidad de que los estudiantes mejoren sus competencias profesionales. Con este propósito, en el ciclo escolar 2011-2012, se han introducido tres protocolos experimentales en el ámbito de la biología molecular. Objetivo: Analizar la encuesta de opinión sobre los protocolos de Biología Molecular en la generación 2011-2012. Material y métodos: Se aplicó una encuesta a los estudiantes del primer año de la Facultad de Odontología, la cual se resolvió de manera anónima y voluntaria, en la que se evaluaron seis aspectos sobre los protocolos de biología molecular, que consistieron en aprendizaje, participación, planificación, interacción con el grupo, evaluación e infraestructura. Se obtuvieron las medias y desviación estándar (± DE) para evaluar la confiabilidad del instrumento; así mismo, se obtuvo la consistencia de interna de la encuesta y el porcentaje de evaluación de cada reactivo. Se utilizó el programa SPSS para Windows versión 12. Resultados: Participaron un total de 430 estudiantes. La media de las diferentes categorías fueron las siguientes: aprendizaje 71.1% (± 13); participación 91.85 (± 11.7); planificación 77.1 (± 12.5); evaluación 78.6% (± 17.1); infraestructura 81.8% (± 17.9). La evaluación global presentó un porcentaje de 78.1 ± 10.3. Así mismo, la consistencia interna de la encuesta presentó un alfa de Crombach de 0.889 global. Los resultados obtenidos del análisis de la encuesta sugieren que la formación contemporánea para los estudiantes de odontología debe combinar la experiencia didáctica de trabajo en el laboratorio junto con actividades en el aula. Sin embargo, deberá ser potenciada la infraestructura y fomentar la capacidad de los estudiantes para interpretar resultados.
Palabras clave: Bioquímica, biología molecular, encuesta, evaluación de protocolos.
INTRODUCCIÓN
Durante el siglo veinte, la práctica odontológica permaneció relativamente estática, se introdujeron nuevos productos y técnicas en materiales que permitieron tratamientos efectivos y eficientes. Sin embargo, con el arribo del siglo veintiuno, las ciencias bioquímicas y tecnológicas, a través de un mayor conocimiento de las biomoléculas y con la aplicación de diferentes tecnologías, han tenido un gran impacto en la sociedad mediante la búsqueda en el mejoramiento en la salud humana. La práctica dental no es la excepción, y las técnicas de bioquímica y biología molecular se han hecho presentes en el diagnóstico, la evaluación de riesgos, la prevención y en muchos aspectos clínicos de la Odontología.1-5 Los avances están principalmente dirigidos a los aspectos bioquímicos-moleculares de tejido conectivo, en la bioquímica de la regeneración tisular y en la bioquímica y biología molecular de la terapia génica, así como en los estudios sobre la liberación de fármacos y en la dinámica del transporte de los mismos.6-9 Todo esto en conjunto con la búsqueda del conocimiento de la arquitectura macromolecular, estructura de proteínas y de terapias moleculares.10,11 Por otra parte, existen en el mercado comercial dispositivos relacionados con el diagnóstico y riesgo de caries o enfermedad periodontal basados en polimorfismos genéticos y en técnicas asociadas a la biología molecular. De igual manera, con el desarrollo de novedosas técnicas de diagnóstico en muestras de saliva, se ha colocado a la odontología en la vanguardia de la vigilancia de la salud sistémica y de riesgo a padecer enfermedad.12-15 Por este motivo, las diferentes técnicas emanadas de la bioquímica, como la aplicación de la genómica o proteómica en las diferentes pruebas de diagnóstico y en las medidas preventivas, requieren que los estudiantes, docentes y profesionales reciban los conocimientos necesarios en relación con la genética humana y de medicina molecular para hacer diagnósticos y tratamientos eficientes.16-22
En este sentido, los temas que se abordan en la asignatura de Bioquímica en la Facultad de Odontología abarcan temas de estudio sobre la estructura y función de las biomoléculas, metabolismo celular y biología molecular. En el ámbito de la biología molecular, se destina un total de catorce horas. Por este motivo, y como parte del financiamiento otorgado por el Programa de Apoyo para la Innovación y Mejoramiento de la Enseñanza de la Universidad Nacional Autónoma de México, se han introducido tres protocolos sobre técnicas elementales en biología molecular, con lo que el tiempo dedicado a este tema abarca ahora un total de veinte horas, distribuidas entre la parte teórica y la experimental.
Los protocolos sobre biología molecular tienen la intención de enseñar sobre algunas de las estrategias experimentales que existen para manipular, aislar y caracterizar los ácidos nucleicos, a saber, el ácido desoxirribonucleico (DNA) y ácido ribonucleico (RNA). Estos procedimientos, cuyas primeras investigaciones inician entre 1950 y 1960, en donde surgen un gran número de trabajos de investigación de destacados investigadores que se abocaron en el aislamiento del DNA, RNA y la caracterización de las enzimas involucradas en la transcripción y traducción. Una de las técnicas elementales de biología molecular para estudiar la función de las proteínas es la clonación, en la cual una proteína de interés se clona mediante el uso de diferentes enzimas, entre las que se encuentran las enzimas de restricción, en un plásmido, designado también como un vector de expresión. El plásmido contiene tres elementos fundamentales, que consisten en un origen de replicación, una región que actúa como un marcador de resistencia a los antibióticos lo que permite dar seguimiento al plásmido y una región denominada «de clonación múltiple», que es reconocida por diferentes enzimas de restricción y que permite la inserción de la proteína de interés.
Con el propósito de revisar las técnicas básicas de clonación, los estudiantes realizan la transformación bacteriana, que consiste en la captura de DNA exógeno, contenido en un plásmido, por parte de la bacteria Escherichia coli (DH5α) competente. Así mismo, se realiza la selección de las bacterias transformadas, mediante su crecimiento en un medio de cultivo que contiene el antibiótico, en este caso, ampicilina. Una vez seleccionado, se enseña la técnica de aislamiento y corte del plásmido por enzimas de restricción y su visualización mediante la técnica de electroforesis en geles de agarosa. Finalmente, se analiza la expresión de la proteína contenida en el plásmido, que en este caso es la proteína verde fluorescente que se observa al iluminar las bacterias con luz ultravioleta (Figura I).
El objetivo de esta investigación consistió en analizar una encuesta sobre la percepción de los alumnos en cuanto a los protocolos de biología molecular. Previamente, al analizar la encuesta, se consideró que era necesario conocer las propiedades psicométricas del instrumento empleado.
Los resultados obtenidos mostraron que la aplicación de la encuesta para la evaluación de los protocolos de biología molecular es una herramienta útil para analizar nuevas estrategias docentes y el impacto que tienen en el mejoramiento de la enseñanza en ciencias básicas.
Los resultados del análisis de la encuesta sugieren que la utilización de técnicas de vanguardia en el ámbito de la biología molecular motiva a los estudiantes a mejorar su comprensión en la asignatura y a definir su importancia en la aplicación de las ciencias básicas en la práctica médica.
MATERIAL Y MÉTODOS
El estudio se realizó al final del ciclo escolar 20112012, generación en donde se realizaron los tres protocolos de biología molecular, con el fin de evaluar la percepción de los alumnos que cursaron la asignatura de bioquímica como parte de su formación como cirujanos dentistas.
Cuestionario de evaluación de los protocolos de biología molecular como parte de su enseñanza experimental
Los cuestionarios se repartieron a estudiantes del primer año de la Facultad de Odontología de la UNAM. La participación fue de manera voluntaria y anónima. Se requirieron aproximadamente 30 minutos para completar el cuestionario.
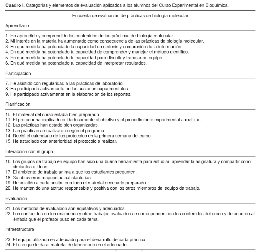
El cuestionario consiste de 24 preguntas organizadas en seis categorías: 1) aprendizaje (determina el proceso a través del cual se adquieren nuevas habilidades); 2) participación (determina la capacidad para involucrarse); 3) planificación (determina si el profesor promovió un clima propicio en el laboratorio); 4) interacción con el grupo (determina la capacidad que tienen los alumnos para trabajar en equipo); 5) evaluación (determina la supervisión y análisis por parte del profesor y los resultados obtenidos); 6) infraestructura (determina si los reactivos y equipos son suficientes para el desarrollo de la práctica) (Cuadro I).
Criterios para la evaluación del puntaje
El formato de respuesta es de tipo Likert con valores del uno al cinco. Se dividieron en: muy en desacuerdo (1); en desacuerdo (2); neutro (3); de acuerdo (4), y muy de acuerdo (5) (Cuadro II).

Consistencia interna de la encuesta de protocolos de biología molecular
Se calculó el coeficiente alpha de Cronbach para determinar la consistencia interna del cuestionario de evaluación de los protocolos de biología molecular. Se exploraron las dimensiones subyacentes y fundamentales mediante un análisis factorial, con extracción de factores por el método de componentes principales y una rotación posterior por el método ortogonal varimax. Se evaluó la adecuación del análisis factorial mediante la prueba de Kaiser-Meyer-Olkin y la prueba de esfericidad de Bartlett.
Índice de la evaluación de los protocolos de biología molecular
Se obtuvo de la sumatoria de los criterios para la frecuencia del puntaje de la evaluación de las siguientes categorías: aprendizaje, participación, planificación, interacción con el grupo, evaluación e infraestructura; se dividieron entre el puntaje máximo (120), y La evaluación de los protocolos de biología molecular ese resultado se multiplicó por 100 (Cuadro II).
Índice de la evaluación de los protocolo de biología (IEPBM)
IEPBM= Σ [(aprendizaje) + (participación) +
(planificación) + (interacción con el grupo) +
(evaluación) + (infraestructura)/120]*100
Análisis de resultados
La evaluación de los protocolos de biología molecular se llevó a cabo por medio de la obtención de medias, desviación estándar (± 1 DE) y porcentajes, utilizando el programa SPSS para Windows versión 12.
RESULTADOS
La participación fue de 77.75% (n = 430) de 553 estudiantes que cursan el primer año de la carrera de Cirujano Dentista del ciclo escolar 2011-2012 de la Facultad de Odontología de la UNAM.
Consistencia interna de la encuesta de evaluación de las prácticas de biología molecular
La consistencia interna de la encuesta de evaluación de las prácticas de biología molecular tuvo una contabilidad de 0.889, según el alfa de Cronbach. En el cuadro III, se presenta la consistencia interna de las dimensiones valoradas en la encuesta de evaluación de las prácticas de biología molecular. En el análisis factorial se observó que las seis dimensiones se integraron en cuatro factores capaces de explicar 52.8% de la varianza total. Los factores que se delinearon con el análisis factorial se presentaron en el siguiente orden: a) temario y organización de la realización de las prácticas (31.3% de la varianza); b) interés del alumno por las prácticas (9.5% de la varianza); c) capacidad adquirida por el alumno en la realización de las prácticas (6.7% de la varianza) y d) compromiso de los profesores en la enseñanza (5.2% de la varianza). La medida de adecuación muestral de Kaiser-Meyer-Olkin fue de 0.89 y la prueba de esfericidad de Bartlett de 0.003 con 276 grados de libertad (p < 0.001), lo que nos sugiere que es un instrumento aceptable para realizar la evaluación.

Puntaje obtenido en la encuesta de evaluación de las prácticas de biología molecular
La media del puntaje obtenido para las diferentes dimensiones evaluadas mostró que las dimensiones participación (91.8); planificación (77.1); interacción con el grupo (77.7); evaluación (78.6) e infraestructura (81.8) mostraron un valor cercano al máximo (Cuadro IV). Sin embargo, la dimensión aprendizaje (71.1) no muestra un resultado satisfactorio; por este motivo, realizamos el análisis porcentual por cada reactivo en la encuesta, con el fin de determinar qué factor en el modelo de aprendizaje no resulta satisfactorio a los alumnos.

Porcentaje de evaluación de reactivo
En cuanto al análisis de los porcentajes de evaluación, encontramos que el reactivo de la dimensión de aprendizaje muestra que los protocolos de biología molecular son parcialmente importantes en aumentar el interés por la bioquímica (Cuadro V). Así mismo, estos protocolos son claros en cuanto al objetivo de la enseñanza, potencian la capacidad de síntesis y comprensión de la información, potencian la capacidad para manejar el método científico, interpretar resultados y trabajar en equipo. Por otra parte, en relación con la dimensión de participación, los alumnos muestran interés en la actividad experimental y cumplimiento en asistencia. Consideran, así mismo, que el material y el conocimiento del profesor sobre la materia resultó ser adecuado y que la evaluación es justa. Esto nos sugiere que los protocolos de investigación en biología molecular son una herramienta útil en potenciar su capacidad de análisis y de manejo del método científico.
DISCUSIÓN
Los resultados obtenidos de la encuesta de evaluación de los protocolos de biología molecular muestran que la implementación de protocolos de biología molecular es una herramienta metodológica importante para aproximar a los alumnos con las ciencias básicas y la investigación. Por este motivo, es importante promover un aprendizaje activo y cooperativo en la asignatura de bioquímica con el propósito de potenciar las competencias profesionales del cirujano dentista.
Resulta interesante señalar que a la velocidad con la que avanza el conocimiento y su acceso a través de las tecnologías de la información y comunicación, es indispensable que los profesionistas de la salud cuyo principal objetivo es la práctica clínica estén en contacto con los avances tecnológicos y científicos, y vincular este conocimiento con su aplicación en la clínica. Así mismo, las ciencias biomédicas y la tecnología son conceptos que están encaminados al mejoramiento de la salud. Son áreas del saber en las que trabajan muchos grupos de investigación; en particular, la genómica ha realizado grandes aportes en el estudio de los genes y en su papel en la salud y en la enfermedad. El campo de la salud oral no es la excepción, y ahora es posible que el conocimiento que aportan la bioquímica y la biología molecular tenga una alta coincidencia con las actividades que realizan en la clínica.23-27 De esta forma, ha crecido la comprensión sobre los principales padecimientos en el ámbito odontológico, como la caries y la enfermedad periodontal, enfermedades cuya etiología ha sido ampliamente estudiada y que son producto de la conjunción entre los micro organismos, con factores genéticos y medio ambientales. Por este motivo, diversas investigaciones se han abocado a correlacionar estas enfermedades dentales con otras enfermedades sistémicas para llegar a la identificación de los factores de riesgo asociados al desarrollo de estas enfermedades. Así mismo, la regeneración tisular ha emergido a partir de los diversos estudios realizados con células madre. De igual manera, las investigaciones realizadas en el ámbito de la genómica y proteómica han permitido que, en el año 2007, se publicara el proteoma completo de la saliva y la utilización de chips affymetrix con el fin de detectar la susceptibilidad a desarrollar enfermedad periodontal.28-30
Por otra parte, el aprendizaje participativo es efectivo en el estudio de alumnos universitarios, ya que implica que el estudiante se involucre de forma activa en su proceso de aprendizaje y, de esta forma, el conocimiento adquirido sea independiente y autodirigido, que aprenda a desarrollar un razonamiento crítico y a escribir de forma precisa y clara.25,26,31
CONCLUSIONES
Este trabajo de investigación se enmarca en el Plan de Desarrollo Institucional de la Facultad de Odontología de la Universidad Nacional Autónoma de México, en donde se analiza la aplicación de protocolos de investigación que permitan reforzar el aprendizaje en ciencias básicas, en particular en el ámbito de la Bioquímica. Los resultados presentados muestran que la introducción de estas actividades en la asignatura del primer año es positiva y que la planificación de detallada de la realización de estos protocolos es correcta, lo que conlleva a la resolución de problemas, a fomentar el trabajo en equipo y promover un razonamiento crítico en los alumnos de la Facultad de Odontología.
REFERENCIAS
1. Zajtchuk R. New technologies in medicine: biotechnology and nanotechnology. Dis Mon. 1999; 45: 449-495. [ Links ]
2. Slavkin HC. Implications of pharmacogenomics in oral health. Pharmacogen J. 2002; 2: 148-151. [ Links ]
3. Bayne SC. Why are the next steps in biomaterials research so difficult? Commentary. J Oral Rehabil. 2006; 33: 631-633. [ Links ]
4. Thesleff I. Developmental biology and building a tooth. Quintess Int. 2003; 34: 613-620. [ Links ]
5. Gaengler P. Evolution of tooth attachment in lower vertebrates to tetrapods. In: Teaford MF, Smith MM, Ferguson MW et al. Development, function and evolution of teeth. Cambridge, UK: Cambridge University Press, 2000. pp. 173-185. [ Links ]
6. Ainamo A, Ainamo J. The dentition is intended to last a lifetime. Int Dent J. 1984; 2: 87-92. [ Links ]
7. Kirchheiner J, Brockmoller J. Clinical consequences of cytochrome P450 2C9 polymorphisms. Clin Pharmacol Ther. 2005; 77: 1-16. [ Links ]
8. Plotkin SA. Vaccines: past, present and future. Nature Med. 2005; 11: S5-S11. [ Links ]
9. Garcia-Godoy F. Tissue engineering. Dent Clin North Am. 2006; 50: XIII-XIV. [ Links ]
10. Cotrim AP, Mineshiba F, Sugito T, Samuni Y, Baum BJ: Salivary gland gene therapy. Dent Clin North Am. 2006; 50: 157-173. [ Links ]
11. Patel V, Leethanakul C, Gutkind JS. New approaches to the understanding of the molecular basis of oral cancer. Crit Rev Oral Biol Med. 2001; 12: 55-63. [ Links ]
12. Zimmermann BG, Park NJ, Wong DT. Genomic targets in saliva. Ann NY Acad Sci. 2007; 1098: 184-191. [ Links ]
13. Wright JT, Hart TC. The genome projects: implications for dental practice and education. J Dent Educ. 2002; 66: 659-671. [ Links ]
14. Li Y, Denny P, Ho CM. The Oral Fluid MEMS/NEMS Chip (OFM-NC): diagnostic and translational applications. Adv Dent Res. 2005; 18: 3-5. [ Links ]
15. Debnath AK. Application of 3D-QSAR techniques in anti-HIV-1 drug design - an overview. Curr Pharm Des. 2005; 11: 3091-3110. [ Links ]
16. Ratner BD. Replacing and renewing: synthetic materials, biomimetics, and tissue engineering in implant dentistry. J Dent Educ. 2001; 65: 1340-1347. [ Links ]
17. Shuler CF. Emerging scientific advances: how do they enter dental curricula and the profession? J Calif Dent Assoc. 2005; 33: 805-809. [ Links ]
18. DePaola D, Howell H, Baker CG. Research and the dental student. Eur J Dent Educ. 2002; 6: 45-51. [ Links ]
19. Lantz MS, Chaves JF. What should biomedical sciences education in dental schools achieve? J Dent Educ. 1997; 61: 426-433. [ Links ]
20. Baum BJ. Can biomedical science be made relevant in dental education? A North American perspective. Eur J Dent Educ. 2003; 7: 49-55. [ Links ]
21. Iacopino AM. The influence of "new science" on dental education: current concepts, trends and models for the future. J Dent Educ. 2007; 71: 450-462. [ Links ]
22. American Library Association. Information literacy competency standards for higher education, 2006. http://www.ala.org/acrl/ilcomstan.html (last accessed 9 April 2007). [ Links ]
23. Elmborg J. Critical information literacy: implications for instructional practice. J Acad Librar. 2006; 32: 192-199. [ Links ]
24. Ford P, Seymour G, Beeley JA, Curro F, Depaola D, Ferguson D, Finkelstein M, Gaengler P, Neo J, Niessen L, Oktay I, Park BK, Wolowski A, Claffey N. Adapting to changes in molecular biosciences and technologies. 2008: 12 (Suppl. 1): 40-47. [ Links ]
25. Astin AW. What matters in college? Four critical years revisited. San Francisco, CA, US: Jossey-Bass, 1993. [ Links ]
26. Goodsell A, Meher M, Tinto V. Collaborative learning: a sourcebook for higher education. National Center on Postsecondary Teaching, Learning and Assessment, University Park, PA. 1992. [ Links ]
27. Schulte AG, Pitts NB, Huysmans MCDNJM, Splieth C, Buchalla W. European core curriculum in cariology for undergraduate dental students. Eur J Dent Educ. 2011; 15 (Suppl. 1): 9-17. [ Links ]
28. Snyman WD, Kroon J. Vertical and horizontal integration of knowledge and skills - a working model. Eur J Dent Educ. 2005; 9: 26-31. [ Links ]
29. Cowpe J, Plasschaert A, Harzer W, Vinkka-Puakka H, Walmsley AD. Profile and competences for the graduating European dentist - update 2009. Eur J Dent Educ. 2010; 14: 193-202. [ Links ]
30. Iacopino AM. The influence of ''new science'' on dental education: current concepts, trends, and models for the future. J Dent Educ. 2007; 71: 450-462. [ Links ]
31. Johnson DW, Johnson RT, Smith KA. Cooperative Learning: Increasing College Faculty Instructional Productivity, ASHE-ERIC Higher Education report No. 4. Washington, D.C.: George Washington University. [ Links ]
Dirección de correspondencia:
Gloria Gutiérrez-Venegas
E-mail: gloria@fo.odonto.unam.mx
Nota
Este artículo puede ser consultado en versión completa en http://www.medigraphic.com/facultadodontologiaunam










texto en 


