Servicios Personalizados
Revista
Articulo
Indicadores
-
Citado por SciELO -
Accesos
Links relacionados
-
Similares en
SciELO
Compartir
Revista mexicana de ciencias farmacéuticas
versión impresa ISSN 1870-0195
Rev. mex. cienc. farm vol.45 no.4 Ciudad de México oct./dic. 2014
Trabajo científico
Biotransformación de la esclareólida con Aspergillus niger (ATCC 20107) en tres medios de cultivo diferente
Biotransformation of the sclareolide with Aspergillus niger (ATCC 20107) in three different culture media
Rigoberto Ramos, Arturo Cano-Flores
Laboratorio de Biotransformaciones y Química de Productos Naturales, L-314 Facultad de Estudios Superiores Zaragoza, Campo II, UNAM.
Correspondencia:
Dr. Arturo Cano Flores
Laboratorio de Biotransformaciones y Química
de Productos Naturales, L-314
Facultad de Estudios Superiores Zaragoza, Campo II,
UNAM
e-mail: aecanomx@unam.mx, aecanomx@yahoo.com
Fecha de recepción: 22 de enero de 2015
Fecha de recepción de modificaciones: 28 de abril de 2015
Fecha de aceptación: 20 de mayo 2015
Resumen
La esclareólida (1) se biotransformó con Aspergillus niger (ATCC 20107) en tres medios de cultivos diferentes, obteniéndose cuatro productos de oxidación en los C-1 y C-3 de la esclareólida (1): 3-cetoesclareólida (2), 1β-hidroxiesclareólida (3), 3 β-hidroxiesclareólida (4) y 1-cetoesclareólida (17). El rendimiento y diversidad de los productos obtenidos, al parecer están determinados por la composición química del medio de cultivo.
Palabras clave: esclareólida, biotransformación, hongos filamentosos, hidroxilaciones, transformación microbiológica.
Abstract
The sclareolide (1) was incubated with Aspergillus niger (ATCC 20107) in three different culture medium. As a result of this, four oxidation products obtained in C-1 and C-3 of the sclareolide (1): A 3-ketosclareolide (2), 1β-hidroxiesclareólida (3), 3 β-hydroxysclareolide (4) and 1-ketosclareolide (17). Yield and diversity of the products obtained seem to be determined by the chemical composition of the culture medium.
Key words: sclareolide, biotransformation, filamentous fungi, hydroxylations, microbiological transformation.
Introducción
Las Biotransformaciones son una herramienta útil e interesante para la obtención de una diversidad de compuestos químicos, los cuales tienen diferentes aplicaciones en la industria farmacéutica, de agroquímicos, alimenticia, biológica, química, entre otras.1-4 La utilidad actual de los microrganismos, y en especial de los hongos como biocatalizadores ha despertado un interés muy particular, por su habilidad para producir grandes cantidades de biomasa y una amplia variedad de enzimas en un corto tiempo. Además, muchos microrganismos pueden crecer bajo condiciones diversas y en una amplia variedad de sustratos. Esta flexibilidad metabólica permite que los microrganismos posean la capacidad de producir una diversidad de enzimas que pueden biotransformar una serie de compuestos químicos, mediante reacciones de hidrolisis, de óxido-reducción, formación de enlaces C-C, de adición-eliminación, entre otras; así como, en sustratos naturales y no naturales con estructuras químicas complejas. La preparación de compuestos semisintéticos a partir de productos naturales por medio de la introducción de un grupo hidroxilo, es de gran utilidad debido a sus variadas posibilidades de reacción en el carbono sobre el que está situado y sobre la zona vecina de la molécula. En este caso, los sistemas enzimáticos involucrados son mono-oxigenasas, particularmente del Citocromo P450.5,6 Las "biohidroxilaciones" ha tenido un gran desarrollo, principalmente en el campo de los esteroides7 y terpenoides8 debido a la gran demanda industrial de sus productos finales.9 Un ejemplo clásico de la hidroxilación de un metileno no activado, es la hidroxilación del C-11 de la progesterona por Rhizopus arrhizus en 1952,10 biotransformación que procedió con una alta regio- y estereo-selectividad.
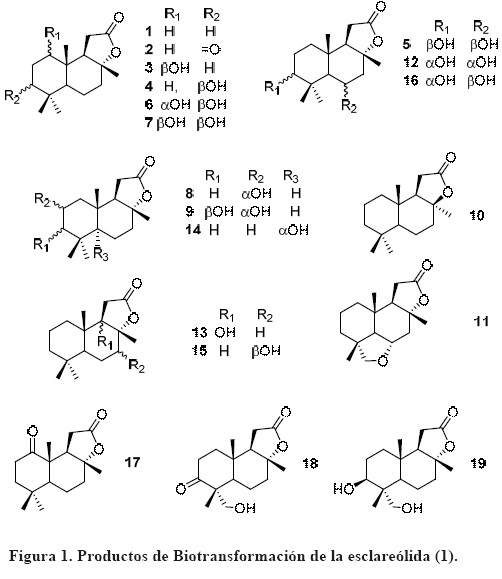
En la literatura química especializada se ha descrito la oxidación microbiológica de la esclareólida (1), componente minoritario de Arnica angustifolia y Sideritis nutans, para dar diferentes productos de mono- y bi- hidroxilación; además, de los productos correspondientes de oxidación. En la figura 1, se muestran los productos obtenidos de la biotransformación de 1, mediante el empleo de diferentes hongos como biocatalizadores, donde los productos más frecuentes son: 3-cetoesclareólida (2), 1β-hidroxiesclareólida (3) y 3 β-hidroxiesclareólida (4).11-16 El compuesto 3α,6 β-dihidroxiesclareólida (5) fue obtenida de la biotransformación de 1 por Cephalosporium aphidicola}2 Atta-ur-Rahman, et al.13 describe la transformación microbiológica de 1 con Curvularia lunata y Aspergillus niger, para obtener las sustancias 2-4 y dos compuestos de biohidroxilación en las posiciones C-1 (1α,3 β-dihidroxiesclareólida, 6) y C-3 (1β,3β-dihidroxiesclareólida, 7). Otros productos minoritarios descritos en la literatura son los obtenidos de la biotransformación de 1 con Cunninghamella elegans, como 2α-hidroxiesclareólida (8), 2α,3 β-dihidroxiesclareólida (9) y 3β-hidroxi-8-epiesclareólida (10).14 De la biotransformación 1 con Cunninghamella. blakesleeana se obtuvieron tres nuevos productos: O6-esclareólida (11), 3β,6α-dihidroxiesclareólida (12) y la 9-hidroxiesclareólida (13), y los productos ya conocidos (2, 4 y 7), mientras de la transformación microbiológica de 1 con Cunninghamella. echinulata (ATCC 9424) se aislaron a la 5 β-hidroxiesclareólida (14) y 7β-hidroxiesclareólida (15), además de los productos 4 y 7.15 Recientemente, se ha informado la transformación microbiológica de la esclareólida por diferentes hongos filamentosos en medios de cultivos con diferente composición.16 En la biotransformación del compuesto 1 con A. niger en medio YEPGA (glucosa, extracto de levadura, extracto de carne y peptona) se obtuvieron los compuestos 2 y 4, compuestos comunes en todas las biotransformaciones microbiológicas de 1 con diferentes hongos, mientras que en un medio de cultivo diferente con A. niger se obtuvieron los productos 16-19, donde 18 (15-hidroxi-3-cetoesclareólida) y 19 (3 β,15-dihidroxiesclareólida) resultaron ser productos novedosos con hidroxilación en el CH3-15.16 Los productos 3α,6 β-dihidroxiesclareólida (16) y 1-cetoesclareólida (17) son productos también de la biotransformación de 1 con Cunninghamella blackesleeana en el mismo medio. Por otro lado, Curvularia lunata produjo 2, 4 y 17, mientras Beauveria bassiana generó 4 como único producto. El compuesto 16 fue un producto común en la biotranformación de 1 con R. nigricans y Fusarium moliniforme.16 Con base en lo anterior y por el interés de generar conocimientos sobre la biotransformación de productos naturales con hongos filamentosos,17 en el presente trabajo se dan a conocer los resultados obtenidos de la biotransformación de la esclareólida (1) en tres medios de cultivos diferentes, para determinar su influencia en la diversidad estructural y rendimiento de los productos de biotransformación.

Material y métodos
La separación y purificación de las materias primas y productos de biotransformación se realizó mediante técnicas cromatográficas usuales: cromatografía en columna a presión reducida (CCV), cromatografía de placa preparativa (CCP). En los procesos de purificación cromatográficos se empleó como fase estacionaria Sílica gel (SiO2), marca Macherey-Nagel® con tamaño de malla 70/230 y 230/400 ASTM. Los disolventes utilizados como fase móvil fueron: éter de petróleo, CH2Cl2, AcOEt, acetona, MeOH, benceno y tolueno en diferentes proporciones. El análisis por Cromatografia en Capa Fina (CCF), se efectuó en cromatofolios de sílica gel de la marca Merck® 60F254 (0.20 mm de espesor) y como reveladores: sulfato cérico amoniacal [(NH4)4Ce(SO4)4] al 1 % en H2SO4 2N. Las cromatografías en CCP se realizaron en placas preparativas Merck® (20 x 20 cm y 2 mm de espesor). Los puntos de fusión se determinaron en un aparato Fischer-Johns y no fueron corregidos. Los espectros de infrarrojo (IR) se obtuvieron en un equipo FT-IR BrokerTensor 750. La determinación de la rotación óptica se realizó en un polarimetro Perkin-Elmer 341. Los espectros de espectrometría de masas (EM) se obtuvieron en un espectrofotómetro Jeol JMS-AX505HA utilizando la técnica de impacto electrónico con un potencial de 70 eV y un espectrómetro Jeol JMX-SX102A para la técnica de bombardeo rápido de átomos (FAB+). Los espectros de resonancia magnética nuclear de hidrogeno (RMN1H) y carbono-13 (RMN 13C) fueron realizados en los espectrofotómetros Varian Inova 500 (500/125 MHz), Bruker (400/100 MHz), Varian XR-300 (300/75 MHz) y Bruker ARX300 (300/75 MHz). Los espectros fueron obtenidos en CDCl3 y DMSO como disolvente, utilizando TMS como referencia interna. Los valores de desplazamientos químicos se encuentran en ppm.
Microorganismo, medio y condiciones de cultivo
Aspergillus niger (ATCC 20107) fue proporcionado por la Maestra Dora A. Pérez del Laboratorio de Microbiología Farmacéutica de la FES-Zaragoza, UNAM.
Preparación de los medios
Medio A (YEPGA): peptona (1 g), extracto de levadura (1 g), extracto de carne (1 g) y glucosa (5 g) a pH 7, se esterilizó a 120 °C y 1.5 lb durante 15 min. Medio B: glucosa (10 g), glicerol (10 g), peptona (5 g), extracto de levadura (5 g), KH2PO4 (5 g), NaCl (5 g) a pH 7, se esterilizó a 120 °C y 1.5 lb durante 15 min. Medio C (Czapek-Dox): sacarosa (30 g), NaNO3 (3 g), MgSO4 (0.25 g), KCl (0.25 g), FeSO4 (0.01 g), KH2PO4 (1 g) a pH 7, se esterilizaron a 120°C y 1.5 lb de presión durante 15 min.
Preparación de la solución densa de esporas.
A partir de la resiembra de A. niger (ATCC 20107) en APD y después de cinco días de esporulación a temperatura ambiente, se realizó la preparación de una solución densa de esporas; mediante la adición de H2O destilada estéril (15 mL).
Factibilidad de biotransformación de la esclareólida (1) en tres medios de cultivo diferente.
Para determinar la factibilidad de biotransformación de la esclareólida (1) con A. niger; se procedió a inocular a los diferentes matraces (125 mL) que contienen medio YEPGA (75 mL), mediante la adición de 2 mL de una solución densa de esporas (excepto al blanco del medio) y se incubaron en un orbital rotatorio a 28 °C y 150 rpm. Después de 48 horas de incubación, se procedió a disolver la esclareólida (5-10 mg) en la mínima cantidad de acetona y se distribuyó en cada uno de los matraces (excepto en el blanco del hongo y blanco del medio). El curso de la biotransformación se siguió por medio de CCF; para lo cual, se tomó una alícuota de 2-3 mL del sistema de biotransformación, del blanco del medio, del blanco del hongo y del blanco de la sustancia, durante 14 días. A cada fracción se le realizó una extracción líquido-líquido con CH2Cl2; la fase orgánica se secó con Na2SO4 anhidro. La fiabilidad de las pruebas de biotransformación de manera cualitativa y cuantitativa requirió de diferentes controles (medio, sustrato y del hongo), para poder eliminar la posibilidad de que los productos aislados fueran metabolitos secundarios del hongo y/o producto de descomposición del medio y/o de la materia prima.16
Obtención de la mezcla de productos de biotransformación.
Después de 14 días, el sistema de cultivo se filtró a vacío para separar la biomasa del medio líquido. A la fase acuosa se le determinó el pH y fue saturada con NaCl. Para recuperar la mezcla de biotransformación, se realizó una extracción líquido-líquido con CH2Cl2 (5 x 20 mL), la fase orgánica resultante se secó con Na2SO4 anhidro y se concentró a baja presión.16
A la biomasa se le agregó AcOEt y se agitó durante un intervalo de tiempo determinado hasta la extracción de los productos retenidos en la biomasa, esto se determinó por medio de CCF. El procedimiento experimental antes descrito se realizó de igual manera para los procesos de biotransformación de forma cuali-y cuantitativamente.16
Los residuos obtenidos de la fase líquida y de la biomasa de los procesos de biotransformación cuantitativos, fueron separados y purificados por medio de CCV y CCF preparativa. Asimismo, la fase líquida de cada uno de los controles se trató con CH2Cl2 para la obtención del residuo orgánico. Los residuos sirvieron como referencia para identificar y descartar aquellos productos que no corresponden a la biotransformación de 1.16
Biotransformación Cuantitativa de la Esclareólida (1).
Biotransformación de la esclareólida (1) con A. niger en el medio A.
La biotransformación de 1 (204.3 mg disueltos en 10 mL de acetona) en el medio A (YEPGA) con A. niger procedió durante 14 días de incubación. Al término de este período, el sistema fue procesado como se indica arriba para obtener un residuo aceitoso (194.3mg) de color amarillo. De la separación cromatográfica (CCV)18 con mezclas de éter de petróleo/AcOEt de polaridad creciente, se obtuvieron la 3-cetoesclareólida (2, 44.2 mg, 22.7 %), 3β-hidroxiesclare0lida (4, 72.7 mg, 37.4 %) sustancias previamente descritas en la literatura.11-16 y se recuperaron 12.6 mg (6.5 %) de esclareólida (1).
Biotransformación de la esclareólida (1) con A. niger en el medio B.
El sustrato 1 (210 mg disueltos en 10 mL de acetona) fue distribuido en 20 matraces Erlenmeyer (125 mL) conteniendo medio B y 48 h previas de inoculación con A. niger. La biotransformación procedió durante 14 días y el sistema de biotransformación fue tratado como se indicó anteriormente. De la separación y purificación de la mezcla de biotransformación se obtuvieron: 1 (6 mg 2.8 %), 2 (24.5 mg, 11.7 %), 4 (58.2 mg, 27.7 %), 1-cetoesclareólida (17, 6.8 mg, 3.4 %)16 y 1 β-hidroxiesclareólida (3, 21.2 mg, 10.1 %).
1β-hidroxiesclareólida (3); pf. 180-182 °C. IR vmax (CHCl3): 3618, 3000, 2966, 1756, 1232 cm-1. RMN 1H (500 MHz, CDCl3, COSY, NOESY): ver tabla 1. RMN 13C (125 MHz, CDCl3): ver tabla 1. EM (IE) m/z: [M++1, 267], [M+, 266], 233(45.3 %), 140(60 %), 136(70.5 %), 121(56.3 %), 109(42.2 %), 93(50 %), 81(60.2 %), 55(55.5 %), 41(50.8 %) y 28(42.9 %).

Biotransformación de la esclareólida (1) con A. niger en el medio C (Czapek-Dox).
El sustrato 1 (210 mg disueltos en 10 mL de acetona) fue distribuido en 20 matraces Erlenmeyer (125 mL) con medio C (Czapek-Dox) y 48 h previas de inoculación con A. niger. La biotransformación procedió durante 14 días y el sistema de biotransformación fue tratado como se describió anteriormente. En la mezcla de biotransformación se identificaron por medio de CCF empleando muestras auténticas de la esclareólida (1), 3-cetoesclareólida (2),1β-hidroxiesclareólida (3), 3β-hidroxiesclareólida (4) y 1-cetoesclareólida (17).16
Resultados y discusión
De la biotransformación de 1 con A. niger en medio YEPGA se obtuvieron 3-cetoesclareólida (2) y 3β-hidroxiesclareólida (4), ambas sustancias fueron identificadas con base en sus propiedades físicas y constantes espectroscópicas (RMN 1H y RMN 13C).16
En el medio de cultivo B se aislaron e identificaron los compuestos 3-cetoesclareólida (2), 3β-hidroxiesclareólida (4), 5 y 17 descritos en la literatura como productos de bioconversión de 1 con A. niger (ATCC 20107). Sin embargo, resultados previos obtenidos en la biotransformación de 1 con A. niger (ATCC 16404)16 por nuestro grupo de investigación, describió la obtención de los compuestos 16, 18 y 19, los cuales no fueron identificados en esta ocasión.
Adicionalmente, se obtuvo un sólido blanco cristalino de pf. 180-182 °C. El espectro EM (IE) sugiere una formula molecular C16H26O3 por su ion molecular de m/z 266. Su espectro de RMN13C en desacoplamiento total corroboró la presencia de dieciséis átomos de C y con base en el experimento DEPT, se estableció la multiplicidad de cada átomo de carbono, donde se observan cuatro metilos, cinco metilenos, tres metinos y cuatro carbonos cuaternarios. En su espectro de RMN 1H (tabla 1) se observan cuatro señales simples en δH 1.34, δH 0.92, δH 0.88 y δH 0.84, los cuales fueron asignados a CH3-13, CH3-14, CH3-15 y CH3-16 respectivamente. Además de una señal doble de doble (dd) en δH 3.32 (1H, J= 10.8, 4.8) que corresponde a un hidrógeno con orientación α-axial. La localización del grupo hidroxilo en C-1 se determinó con base en los experimentos de HMBC, en particular por las correlaciones de H-1 (δH 3.32) con C-10 (δC 41.4), C-5 (δC 54.9), C-14 (δC 11.0) y C-9 (δC 86.1), ver figura 2. La orientación del grupo hidroxilo β-ecuatorial fue confirmada con el experimento NOESY, al observarse las correlaciones entre H-1 (δH3.32) con H-5 (δH 1.02), H-9 (δH 1.99) y H-3 (δH 1.47), ver figura 3. Los experimentos HSQC, HMBC, COSY y NOESY permitieron asignar los desplazamientos químicos para los diferentes carbonos e hidrógenos presentes en la molécula y confirmar la estructura del 1β-hidroxiesclareólida (3), sustancia ya descrita en la literatura13 pero aislada e identificada por primera vez en la biotransformación de 1 con A. niger (ATCC 20107) en los medios de cultivo B y C.


Los compuestos 2, 4, 5 y 17 fueron identificados por CCF empleando muestras auténticas como productos de bioconversión de 1 con A. niger (ATCC 20107) en el medio C (Czapek-Dox).16
Conclusiones
De la biotransformación de 1 con A. niger (ATCC 20107) se obtuvieron los productos de hidroxilación en C-1 (3) y C-3 (4) y los derivados ceto en C-1 (17) y C-3 (2), lo cual está de acuerdo con la literatura. Por otro lado, se observó que hay una mayor diversidad de compuestos en los medios de cultivo B y C (2, 3, 4 y 17) con respecto al medio A (2 y 4). Estos resultados sugieren que la composición del medio es determinante en la diversidad y rendimiento de los diferentes productos. Los compuestos 1β-hidroxiesclareólida (3) y 3β-hidroxiesclareólida (4) son los compuestos mayoritarios en el medio de cultivo B, mientras que en el medio de cultivo A es el compuesto 4.
Agradecimientos
A la Dirección General de Asuntos del Personal Académico, UNAM por el apoyo al proyecto IN216012. Al personal Técnico del Instituto de Química de la UNAM. Al Dr. Guillermo Delgado del Instituto de Química de la UNAM. A la carrera de Biología de la FES-Zaragoza, UNAM. A la Maestra Dora A. Pérez del Laboratorio de Microbiología Farmacéutica de la FES-Zaragoza, UNAM la Lic. Fabiola Cano y al M. en C. Joan Robert Chávez por sus sugerencias y comentarios al manuscrito final.
Referencias
1. Aleu J, Bustillo AJ, Hernández-Galán R, Collado IG. Biocatalysis applied to the synthesis of agrochemicals. Curr Org Chem. 2006; 10: 2037-2054. [ Links ]
2. Simeó Y, Sinisterra JV. Biotransformation of terpenoids: A green alternative for producing molecules with pharmacology activity. Mini-Rev Org Chem. 2009; 6: 128-134. [ Links ]
3. Tao J, Xu J-H. Biocatalysis in development of green pharmaceutical process. Curr Opin Chem Biol. 2009; 13: 43-50. [ Links ]
4. Wohlegemuth R, Biocatalysis-key to sustainable industrial chemistry. Curr Opin Biotechnol. 2010; 21: 713-724. [ Links ]
5. Lehman LR, Stewart JD. Filamentous fungi; potential useful catalyst for the hydroxilations of non-actived carbon centers. Curr Org Chem. 2001; 5: 439-470. [ Links ]
6. Leak DJ, Sheldon RA, Woodley JM, Adlercreutz P. Biocatalysts for selective introduction of oxygen. Biocatal Biotransform. 2009; 27: 1-26. [ Links ]
7. García JL, Ramos R, Gómez J, Vázquez JC, Cano-Flores A. Biotransformación de esteroides con diferentes microrganismos. Rev Mex Cienc Farm. 2015; 46: en prensa. [ Links ]
8. Cano-Flores A, Biotransformación de triterpenos con diferentes microorganismos. Rev Mex Cienc Farm. 2013; 44: 7-16. [ Links ]
9.Thomas SM, Di Cosimo R, Nagarajan V. Biocatalysis applications and potentials for the chemical industry. Trends Biotechnol. 2002; 6: 238-242. [ Links ]
10. Peterson DH, Murray HC. Microbiological oxygenation of steroids at carbon 11. J Am Chem Soc. 1952; 74: 1871-1872. [ Links ]
11. Aranda G. El-Korbi M S, Lallemand J-Y, Neuman A, Hammoumi A, Bacón I, Azerad R. Microbial transformation of diterpene: Hydroxylation of sclareol, manool and derivates by Mucor plumbeus. Tetrahedron 1991; 39: 8339-8350. [ Links ]
12. Hanson J, Truneh A. The biotransformation of ambrox and sclareolide by Cephalosporium aphidicola. Phytochemistry 1996; 42: 1021-1023. [ Links ]
13. Atta-ur-Rahman; Farooq A, Choudhary MI. Microbial transformation of sclareolide. J Nat Prod. 1997; 60: 1038-1040. [ Links ]
14. Choudhary M I, Musharraf G, Atta-ur-Rahman. Microbial transformation of sesquiterpenes, (-)-ambrox and (+)-sclareolide. Helv Chim Acta. 2004; 87: 2685-2694. [ Links ]
15. Ata A, Conci LJ, Betteridge J, Orhan I, Sener B. Novel Microbial transformation of sclareolide. Chem Pharm Bull. 2007; 55: 118-123. [ Links ]
16. Cano A, Ramírez-Apan MT, Delgado G. Biotransformation of Sclareolide by Filamentous Fungi: Cytotoxic Evaluations of the Derivatives. J Braz Chem Soc. 2012; 22: 1177-1182. [ Links ]
17. Cano A, Biotransformación de algunos productos naturales con diferentes microrganismos. Bol Soc Quim Mex. 2014; 8: 1-12. [ Links ]
18. Coll JC, Bowden BF. The application of vacuum liquid chromatography to the separation of terpene mixtures. J Nat Prod. 1986; 49: 934-936. [ Links ]













