Servicios Personalizados
Revista
Articulo
Indicadores
-
Citado por SciELO -
Accesos
Links relacionados
-
Similares en
SciELO
Compartir
Ingeniería, investigación y tecnología
versión On-line ISSN 2594-0732versión impresa ISSN 1405-7743
Ing. invest. y tecnol. vol.8 no.4 Ciudad de México oct./dic. 2007
Estudios e investigaciones recientes
Sistema de medición de Nanoseñales en frecuencias ultra bajas utilizando la técnica de detección sincrónica
System of nanosignal measurements at ultralow frequencies using synchronous detection technique
E.K. NakamuraLabastida1, A. Mousatov2, R. AlcántaraSilva3
1 Instituto Mexicano del Petróleo, México, DF
Email: enakamu@imp.mx
2 Instituto Mexicano del Petróleo, México, DF
Email: amousat@imp.mx
3 División de Estudios de Posgrado de la Facultad de Ingeniería, UNAM, México
Email: rogeras@servidor.unam.mx
Recibido: junio de 2005
Aceptado: octubre de 2006
Resumen
En este artículo es presentado un sistema prototipo de medición de nanoseñales en frecuencias ultra bajas (ULF) que satisface con los requerimientos técnicos para realizar mediciones de resistividad de formación en pozos con tubería metálica. El sistema aplica la técnica de detección sincrónica (DS) para alcanzar altos niveles de factor de calidad Q y de relación señal a ruido.
Con base en un estudio teórico, las principales características de señales con diversas estructuras de secuencias periódicas (forma, numero de ciclos y duración de los mismos) fueron obtenidos para optimizar la aplicación de la detección como técnica de filtrado. La simulación del proceso de la DS permitió establecer las características de los bloques constitutivos del prototipo del sistema electrónico de medición.
El prototipo fue construido y sometido a pruebas experimentales de laboratorio. La precisión del sistema de medición fue del 9394% para señales de 40nV y un ruido intrínseco de 33.2nV. Los resultados experimentales demostraron que el equipo y la técnica de detección sincrónica son apropiados para la medición de nanoseñales en frecuencias ultra bajas (0.15Hz).
Descriptores: Sistemas de medición, detección sincrónica, detección coherente, nanoseñales, eliminación de armónicos.
Abstract
In this work the prototype of a measuring system for nanosignals at ultralow frequencies (ULF) is presented. This system permits to reach high levels of Qfactor and signal to noise ratio by using the synchronous detection technique (SD). Based on the oretical study, the main properties of signals with several structures of periodic sequences (wave form, cycle number, duration) were obtained to optimize the application of synchronous detection as a filter ing technique. The SD simulation as a filter ing process allowed establishing the constitutive blocks to the prototype of electronic measuring system.
The prototype was manufactured and submitted to experimental laboratory tests. The measuring accuracy with this system achieved 9394% for 40nV signals and intrinsic noise of 33.2 nV. The experimental results have shown that the equipment and the synchronous detection technique are appropriate for measurements of nanosignals at ultra low frequencies.
Keywords: Measurement system, synchronous detection, coherent detection, nanosignals, harmonic elimination.
Introducción
La medición de señales del orden de nano Volts es un problema de suma importancia en diferentes áreas técnicas, el cual se agudiza en el intervalo de frecuencias extremadamente bajas y ultra bajas. En particular, esta clase de mediciones es requerida en el área de registros eléctricos de pozos petroleros con revestimiento metálico, a fin de monitorear el proceso de producción del petróleo. Los registros de pozos permiten caracterizar a las formaciones geológicas de acuerdo a sus parámetros petrofísicos, es decir, permiten estimar su porosidad, el tipo y propiedades de los fluidos que contienen, su saturación y los cambios en los niveles de agua, aceite y gas existentes a lo largo del pozo, con base en las mediciones de resistividad de formación.
La determinación de la resistividad de las formaciones geológicas en el interior del pozo, a través de una tubería metálica, implica realizar mediciones de señales de 4050nV en frecuencias menores a 1 Hz, bajo condiciones de alta temperatura y en presencia de ruidos de diferente naturaleza: industriales, los producidos por el desplazamiento del equipo a lo largo del pozo y por los potenciales de contacto. En estos casos, las señales son acompañadas de ruido e interferencias periódicas que tienen niveles cientos o miles de veces más altas, por lo que la técnica de detección sincrónica (DS) resulta muy eficiente para determinar la amplitud de las señales en donde no es importante el restablecimiento de su forma, como lo demuestra un estudio detallado sobre el uso de la DS en equipos de prospección geoeléctrica de alta precisión (Kalinin y Mousatov, 1984).
Hoy en día, las investigaciones sobre la DS son llevadas a cabo, principalmente en el intervalo de frecuencias altas en variados sistemas electrónicos y de comunicaciones, entre los cuales destacan: arreglos interferométricos para espectroscopía de alta resolución, donde son necesarias resoluciones mayores a 1 Km/s para el análisis de líneas espectrales de objetos galácticos (Zmuidzinas, 1999), detectores de error de fase utilizados en demoduladores de televisiones de alta definición (Ido, 2001), en arreglos experimentales de equipos para comunicación láser (Xu, 2001) y en sistemas de almacenamiento óptico como DVD+RW (Fischer et al, 2002).
En todos estos casos no es importante el reestablecimiento de la forma de la señal después de su procesamiento y se conoce la forma de la señal transmitida. Sin embargo, existen estudios en el rango de altas frecuencias para determinar corrimientos de fase que utilizan la DS, aún sin conocer la forma de las señales transmitidas, en donde son determinados continuamente corrimientos relativos mediante algoritmos adaptivos para lograr la alineación de las señales transmitidas y calcular la fase (Coakley y Hale, 2001).
En el intervalo de ultra bajas frecuencias (ULF), la DS se puede aplicar en métodos que involucran sensitividad de detección óptica, como es el caso de sistemas de microanálisis bioquímicos en donde con ayuda de una variante de la DS, se pueden detectar fotocorrientes con valores absolutos de 3pA para frecuencias de 0.5Hz (Pittet et al., 2003), pero en donde la presencia del ruido de frecuencias industriales es prácticamente nulo.
En este artículo es presentado un sistema prototipo de medición de nanoseñales de ULF, que aplica la técnica de DS para determinar la amplitud de las señales del medio bajo estudio (pozo) para su caracterización. En este caso, no es importante el restablecimiento de la forma de las señales y resulta trascendental la eliminación de las componentes de frecuencia de las perturbaciones que afectan a las mediciones en un pozo, como pueden ser el ruido industrial con frecuencia de 60 Hz, y el ruido de ULF producido por la resistencia de contacto de los electrodos de medición.
A partir del estudio teórico y de las simulaciones numéricas, se establecieron las condiciones necesarias para optimizar la aplicación de la DS al analizar diferentes secuencias de pulsos como funciones de modulación. Se presentan las principales características de señales con diversas estructuras de secuencias periódicas (forma, número de ciclos y duración de los mismos) que fueron obtenidas teóricamente y que destacan por ser óptimas, en cuanto a la obtención de un mayor factor de calidad, a la reducción de armónicos no deseados y por ser sencillas y rápidas de implantar técnicamente.
Con base en el desarrollo teórico y las simulaciones numéricas, se establecieron los requerimientos y las características de los bloques constitutivos, tanto de software como de hardware del prototipo del sistema electrónico de medición. El software desarrollado, permitió el almacenamiento, procesamiento y visualización de datos en PC, así como la configuración y control del sistema electrónico. El hardware fue diseñado, construido y sometido a apruebas experimentales de laboratorio para la medición de nanoseñales de 1 Hz de frecuencia. La precisión del sistema de medición fue del 9394% para señales de 40nV y un ruido intrínseco de 33.2nV. Los resultados experimentales demostraron que el equipo y la técnica de detección sincrónica son apropiados para la medición de nanoseñales en ultra bajas frecuencias.
Técnica de detección sincrónica
El término detección sincrónica, para propósitos de éste trabajo, se refiere a un caso específico de la correlación aplicada con efectividad en dos situaciones (Baker, 1990):
Cuando se desea determinar cualquier parámetro de las señales recibidas que sea proporcional a su amplitud,
Cuando el restablecimiento de la forma de la señal transmitida al medio de estudio después de su procesamiento no es importante.
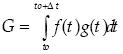
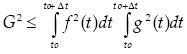
La detección sincrónica se puede expresar mediante una relación G(1):
...................................................................................(1)
Donde:
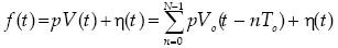
f(t): Señal de medición;
g(t): Función de modulación;
Δt: Tiempo de medición;
t0: Tiempo de inicio de la medición.
De acuerdo a la desigualdad de Schwartz (Ziemer, 1990):
.......................................................................(2)
Cuando f(t)=pg(t), donde p es constante, se satisface la igualdad en (2), y en este caso la integral (1) logra su valor máximo. Si f(t) no es igual a pg(t), la integral disminuye, y en el límite cuando las funciones f(t) y g(t) son ortogonales en el intervalo de integración, entonces G=0. La ortogonalidad de f(t) y g(t) no sólo puede ser una consecuencia de la diferencia de sus formas, sino también puede ser el resultado del desplazamiento de una señal con respecto a otra en el dominio del tiempo (Lathi, 1994).
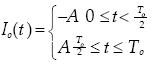
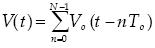
Suponiendo que en nuestro sistema de medición, el pulso de corriente definido mediante la expresión:
..............................................................................(3)
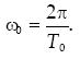
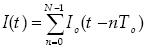
es producido periódicamente con período To y con una amplitud A, por un generador durante el intervalo de tiempo Δt=NTo, donde N es el número total de ciclos de la señal generada. Entonces, la corriente y el voltaje generados se expresan mediante:
...............................................................................(4)
.............................................................................(5)
Si para nuestro análisis consideramos el modelo más sencillo (Figura 1A), en el que se desprecia el retraso producido por el medio bajo estudio a las señales de corriente generadas, esto significa que el voltaje medido en la línea de recepción f(t), depende exclusivamente de las características resistivas del medio expresado a través de una constante "p" y de las perturbaciones o ruidos aditivos η(t), es decir:
...............................................(6)
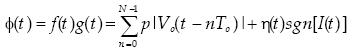
Debido que existen perturbaciones en el medio de medición, resulta óptimo seleccionar una función de modulación g(t), igual a la señal producida por el generador, esto es, g(t)=I(t). Sin embargo, considerando la complejidad técnica para efectuar la operación de multiplicación Φ(t), entre la señal de medición f(t) y la señal de modulación g(t), resulta más conveniente seleccionar una función de modulación de implantación electrónica sencilla, siendo ésta g(t)=sgn[I(t)].
Con esta selección, el resultado de la multiplicación, Φ(t), de la señal de medición f(t) y la señal de modulación g(t) en el proceso de detección es:
......................................(7)
La operación para obtener el módulo de la función es técnicamente sencilla comparada con la realización de la multiplicación.
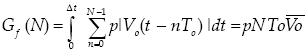
De (7) y (1) se tiene que la función de detección sincrónica, G, presenta un componente de interés Gf y un componente de ruido aditivo Gn, esto es:
......................................................(8)
De esta manera, de (7) y (8) tenemos que Gf y Gn están dados por:
..............................................(9)
........................................................................(10)
Donde
es la corriente promedio de un pulso en una secuencia,

En la figura 1B, se muestran las señales generadas y obtenidas en el proceso de detección sincrónica.
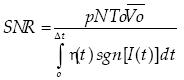
De (9) y (10), la razón señalruido SNR irá creciendo al incrementar el intervalo de las secuencias, ya que con un aumento en el número de ciclos N, se incrementa linealmente la señal útil o de interés.
.......................................................................(11)
En aplicaciones reales, la elección del intervalo de integración NT0 se determina considerando el tiempo disponible para efectuar las mediciones y por razones técnicas se usan frecuentemente generadores que transmiten corriente I(t) en forma rectangular.
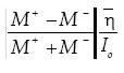
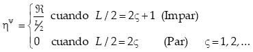
Considerando una secuencia de pulsos In(t) de longitud finita NLT0, que está formada por una señal impar con período T0, con una regla de cambio de signo del tren de pulsos I(M)+ ,M,N), donde M+ y M son la cantidad de pulsos rectangulares positivos y negativos en una secuencia que se repite periódicamente "N" veces con el período TL=M+ + M)T0 = LT0. Si M+≠M, aparece una componente continua de una función de perturbación o ruido
, la cual va a ser disminuida solamente en

veces (Kalinin y Mousatov, 1984).
La eliminación o reducción incompleta de este tipo de perturbaciones o ruido, puede producir errores significativos en las mediciones. Lo que significa que la cantidad de pulsos positivos debe ser igual a la cantidad de pulsos negativos dentro de la secuencia periódica, esto es:
.....................................................................................(12)
Además, si hay perturbaciones producidas por el generador de señales del sistema, al final de la detección sincrónica aparece una señal de ruido de fuga
con su amplitud respectiva y está dado por:
..................................(13)
Donde
es la relación de las amplitudes del ruido de fuga con respecto a la amplitud de la señal de interés o señal útil.
Entonces, IN (t) usando la secuencia es más apropiado emplear
(par), ya que en este caso se logra una disminución o eliminación de las perturbaciones.
Si la razón señalruido es pequeña y las perturbaciones regulares tienen un espectro discreto en todo el intervalo de frecuencias, se debe destruir la estructura regular de las perturbaciones, es decir, convertir las perturbaciones regulares en una estructura arbitraria, lo cual se logra al utilizar secuencias de pulsos rectangulares.
Una propiedad interesante del detector sincrónico es que un incremento del número de perturbaciones armónicas puede mantener inalterada la razón señalruido, pues la contribución de diferentes armónicos puede tener signos positivos y negativos. La razón señalruido tiene un carácter oscilatorio dependiendo del número de perturbaciones armónicas, entonces, para perturbaciones armónicas existentes se puede mejorar significativamente la razón señalruido escogiendo el intervalo de integración adecuado.
Para disminuir el ruido en toda la banda de frecuencias, el incremento de los pulsos rectangulares en las secuencias periódicas resulta efectivo.
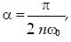
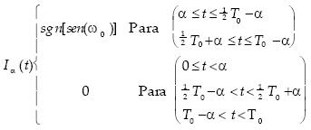
Una alternativa para lograr la reducción del ruido de perturbaciones armónicas, consiste en utilizar como corriente de excitación y función de modulación, a una secuencia de pulsos que permite la eliminación de los armónicos no deseados mediante la variación del ciclo útil, o relación de la duración del pulso con respecto al período del pulso. En la figura 2 se muestra esta nueva función de corriente a la que se denota como
debido a que su ciclo útil depende del parámetro "
"
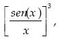
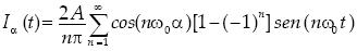
La función de la figura 2 se expresa como:
........................................(14)
donde

En el intervalo [0, T0] su desarrollo en serie de Fourier, se puede presentar como:
...........................................(15)
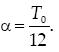
Al seleccionar el parámetro "
" de tal manera que

se puede disminuir la armónica "n" impar deseada. Tomando en cuenta que para una secuencia de pulsos rectangulares, la mayor aportación en el error por presencia de otros armónicos se debe al tercer armónico, para eliminar el tercer armónico (n=3), se requiere que

Entonces, la aplicación del método de detección sincrónica utilizando una corriente y función de modulación en forma rectangular con o sin variación de su ciclo útil, es sencilla de realizar electrónicamente, y por otro lado, permite una alta selectividad con respecto a las perturbaciones regulares y causales.
En la tabla 1, se presenta la magnitud de los coeficientes de la serie compleja de Fourier para una señal rectangular (
=0) y una señal rectangular con el tercer armónico eliminado.
Con base en el estudio teórico fueron simuladas dos secuencias periódicas:
1. Detección sincrónica para un tren continuo de pulsos rectangulares.
2. Detección sincrónica para un tren continuo de pulsos rectangulares con eliminación de armónicos.
Las características más relevantes al efectuar las simulaciones son las siguientes:
a) se emplearon secuencias de pulsos rectangulares para obtener una estructura arbitraria de las perturbaciones, mejorando con ello la relación señalruido,
b) la cantidad de pulsos positivos y negativos fue igual dentro de la secuencia de la señal de modulación, esto es,
c) se realizaron cálculos del espectro de la señal de modulación para diferentes cantidades de ciclos, N=1, 2, 4, 8, 16 y 32.
El espectro de amplitudes en frecuencia para las dos secuencias (1 y 2), se presenta en la figura 3. En ella, se observa que cuando se varía adecuadamente el ciclo útil de los pulsos rectangulares, se logra la eliminación de los armónicos no deseados.
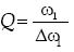
El análisis de las diferentes señales periódicas como corrientes de excitación (o funciones de modulación), mostró que para los dos tipos de secuencias de pulsos rectangulares, el factor de calidad para el armónico ω=l calculado mediante

(Δω es el ancho de banda y se determina en el nivel
), se incrementa en forma proporcional al número de ciclos en un factor de 2.2. Esto es:
.............................................................................................(16)
donde N es el número de ciclos
Se obtuvo que el número de ciclos óptimo en cuanto a tiempo requerido de medición y factor de calidad obtenido al aplicar la DS es de 16 y 32. Con los resultados obtenidos fue determinada la arquitectura del equipo electrónico para generar las secuencias de tren de pulsos.
Implementación del sistema de medición
Para verificar la eficacia de la DS fue diseñado un sistema prototipo de medición conformado por seis etapas y cuya arquitectura se presenta en la figura 4:
Un generador de campo eléctrico (I) capaz de producir señales rectangulares con ciclo útil variable a una frecuencia de 1 Hz y una corriente de hasta 1A.
Una etapa amplificadora con control automático de deriva (II), compuesta por dos secciones, con una ganancia total de 10,000.
Una etapa de conversión analógicodigital y multiplexado de datos (III) que agrupa a los convertidores analógicodigitales del tipo sigmadelta de 24 bits y los multiplexores de selección de canales.
Una etapa de control y preprocesamiento de datos (IV) encargada de: comunicarse con todos los elementos electrónicos verificando la correcta operación y estado de los mismos, inicializar todos los elementos del sistema, calibrar el sistema de medición y efectuar la sincronía de operación del sistema.
Una etapa de almacenamiento de datos (V).
Una computadora personal PC(VI) en donde se almacena la interfaz gráfica para el procesamiento y visualización de los resultados obtenidos. Y en donde es posible establecer los parámetros de configuración del sistema de medición como son: frecuencia, amplitud de corriente del generador, tipo de secuencia a generar, cantidad de ciclos a transmitir y medir.
El prototipo incorpora elementos electrónicos de especificaciones militares tales como amplificadores de instrumentación INA101, potenciómetros digitales AD8400, convertidores A/D sigmadelta AD7714, referencias de ultra precisión AD780, multiplexores 4053, memorias 27C64 y 6264 y un microcontrolador MC68HC12.
El funcionamiento del prototipo es como sigue: (IV) efectúa una rutina de diagnóstico de todo el sistema y carga los valores de configuración programados. El inicio del proceso de lecturas y operación de (I) es sincronizado por (IV). La frecuencia de 1Hz se genera a partir de dos PWM aplicados a la etapa de potencia de (I). Las correcciones por deriva en (II) y (III) se calculan en (IV). La señal de entrada amplificada y digitalizada es filtrada internamente con un filtro pasabajas con una función de transferencia

como se muestra en la figura 5. El dato resultante es almacenado en (V) y transmitido hacia (VI) en donde un programa elaborado en lenguaje C permite procesar la información y desplegar los resultados.
Resultados experimentales
El prototipo desarrollado, fue probado en laboratorio aplicando la técnica de procesamiento de detección sincrónica a mediciones de señales rectangulares del orden de 40 nV. Los resultados obtenidos son presentados en dos etapas:
1. Mediciones de ruido intrínseco del equipo, empleando 16 y 32 ciclos de muestreo.
2. Mediciones de nanoseñales rectangulares periódicas sin uso y con uso del proceso de eliminación de armónicos.
Mediciones del nivel de ruido intrínseco
El sistema prototipo fue sometido a pruebas para determinar el nivel de ruido intrínseco variando la cantidad de muestreos por período. La ganancia utilizada en la etapa de amplificación fue de 10, 000. Se programaron tres frecuencias de muestreo: 60, 100 y 250 mps, las cuales coinciden con el primer nodo del filtro digital del convertidor sigma delta. Las terminales de entrada fueron conectadas a tierra y fue utilizada una señal de modulación de 1 Hz de frecuencia para 16 y 32 ciclos por cada medición.
Para cada frecuencia de muestreo fueron obtenidas 60 mediciones del nivel de ruido del equipo. Las desviaciones estándar y valores estadísticos para las tres frecuencias de muestreo se presentan en la tabla 2:
De la tabla 2 se observa que para una secuencia de 16 ciclos en la función de modulación, el ruido intrínseco más bajo fue de 5.59nV, el cual se obtuvo empleando una frecuencia de muestreo de 60 mps. De la misma manera, para una secuencia de 32 ciclos, el menor ruido intrínseco se obtuvo al emplear una frecuencia de muestreo de 60 mps, pero en éste caso el nivel de ruido se redujo en un 45% con relación a la secuencia de 16 ciclos, alcanzando un valor de 3.04nV. De esta forma, se decidió programar al sistema de medición a una frecuencia de muestreo de 60 mps y realizar el proceso de detección para secuencias rectangulares de 32 ciclos en donde cada período es de un segundo.
Mediciones de nanoseñales para 32 ciclos con una frecuencia de muestreo de 60 mps.
En este etapa se realizaron mediciones de nanoseñales del orden de 40 nV y de su nivel de ruido a través de divisores de voltaje, con una frecuencia de muestreo de 60 mps, realizando cada medición durante 32 segundos, para una ganancia de amplificadores de 10, 000 unidades. Los datos fueron procesados utilizando la técnica de DS con y sin uso de la eliminación de armónicos. En ambos casos los resultados estadísticos se presentan en la tabla 3:
De la tabla 3 se tiene que para la secuencia de pulsos rectangulares, la desviación estándar para el ruido y la señal se encuentran en el intervalo de 33.2nV, variaciones que representan aproximadamente el 7.5% de 40.9nV. Por otro lado, aplicando la técnica de procesamiento de eliminación de armónicos, se obtiene una desviación estándar de 2.76nV y 2.68 nV para ruido y señal rectangular respectivamente, y que corresponden aproximadamente al 8.5% de 31nV que fue la magnitud de la señal medida. En este caso, si bien es cierto que en el dominio de la frecuencia se logra la eliminación del tercer armónico, se reduce el valor absoluto de la energía total de la secuencia de pulsos en un 33% y se incrementa el nivel de ruido medido en un 1% con relación a la energía y ruido respectivos para secuencias rectangulares.
En general, ambas secuencias de pulsos (rectangular y rectangular con eliminación de armónicos) son adecuadas para medir nanoseñales, y su uso dependerá de condiciones como: capacidad de almacenamiento y tiempo de operación de las baterías de alimentación del generador, así como la precisión requerida.
Una gráfica representativa de la nanoseñal rectangular procesada es presentada en la figura 6.
Los resultados comprueban que es posible medir señales del orden de 40 nV a frecuencias ultra bajas de 1 Hz (como en el caso de la señal mínima a medir requerida para determinar la resistividad de formación) con una desviación estándar de 3.07 nV, además, el ruido existente en el sistema de medición tiene una desviación estándar de 3.17 nV, lo cual representa el 7% del valor de la señal de 40 nV.
Conclusiones
Fue diseñado un prototipo de medición de señales del orden de nano Volts de frecuencias ultra bajas. El sistema fue desarrollado para satisfacer las condiciones técnicas requeridas en el área de registros de pozos petroleros con revestimiento metálico y fue fabricado con base en los resultados de las simulaciones numéricas, tanto para la técnica de medición como para el proceso de filtrado.
Con base en las pruebas experimentales realizadas fue determinado el ruido intrínseco del equipo, el cual fue de 3nV. La precisión de las mediciones con el sistema diseñado, alcanzó el 93% para medición de señales de 40 nV inclusive en presencia de ruido industrial de 1012 mV.
El estudio de diferentes secuencias de pulsos rectangulares como funciones transmitidas y de modulación, permitieron establecer las condiciones óptimas de aplicación de la detección sincrónica, tanto en número de ciclos, forma de las señales, así como características de las secuencias de pulsos. Así, el filtrado de alta selectividad y reducción del nivel de ruido se logró, utilizando secuencias pares de pulsos rectangulares con 16 y 32 ciclos.
Los resultados obtenidos demuestran que el equipo y la técnica de detección sincrónica son apropiados para las mediciones de nanoseñales de frecuencias ultra bajas.
Agradecimientos
Los autores expresan su agradecimiento a la Competencia de Geofísica de Pozos del Instituto Mexicano del Petróleo y al laboratorio de Sistemas de Procesamiento y Transmisión de Información de la División de Estudios de Posgrado de la Facultad de Ingeniería por el apoyo brindado para la realización de este estudio.
Referencias
Baker H. (1990). Analog and Digital Signal Processing. John Wiley and Sons, USA. [ Links ]
Coakley K.J. and Hale P.D. (2001). Align ment of Noisy Signals. IEEE Transac tions on Instrumentation and Measurement , 50 (1), pp. 144149. [ Links ]
Fisher M.C., Hogan J., Hurst T., Abramovitch D. and Taussing C. (2002). Missing Pulse Detector Using Synchro nous Detection. United States Patent, No. 6, pp. 393, 596, May 21. [ Links ]
Ido J. (2001). Phase Error Detector. United States Patent, No. 6, pp. 307, 898. Oct 23. Kalinin V.V. y Mousatov A.A. (1984). Posibilidades del método de detección sincrónica para aumentar la razón señalruido y para unificar equipos de prospección eléctrica. Geofisicheskaya Apparatura, N.79, pp. 4351, Moscú, (en ruso). [ Links ]
Lathi B.P. (1994). Introducción a la teoría y sistemas de comunicación. Limusa Noriega, México. [ Links ]
Pittet P., Lu G.N. and Pitaval M. (2003). Variable Time Synchronous Detection Method for Sensitive Optical Detection. Electronics Letters, 29th May, Vol. 39, No. 11, pp. 860862. [ Links ]
Xu Jing, Delaval, Arnaud, Sellar. R. Glenn; AlHabash, Ammar; Reardon, Pete; Phillips, Ronald L.; Andrews, Larry C. (2001). Experimental Comparison of Coherent Array Detec tion and Conventional Coherent Detection for Laser Radar and Communications. P [ Links ]
Ziemer R.E., Tranter W.H. (1990). Principles of Communications Systems, Modu lation and Noise. Houghton Mifflin Company, USA. [ Links ]
Zmuidzinas, J. (1999). The Physics and Chemistry of the Interstellar Medium. GCAVerlag Herdecke, pp. 423430. [ Links ]
Semblanza de los autores
Edgar Kiyoshi NakamuraLabastida. Se graduó de ingeniero en comunicaciones y electrónica en 1998, en el Instituto Politécnico Nacional, posteriormente, obtuvo el grado de maestría en 2001 y de doctorado en 2007, en ingeniería eléctrica (Sistemas electrónicos) por parte de la Universidad Nacional Autónoma de México. En el período de 1997 a 2001, laboró como becario en el Instituto Mexicano del Petróleo (IMP). En marzo de 2001, ingresó al IMP y desde esa fecha trabaja como investigador en el desarrollo de sistemas electrónico s, técnicas de medición y métodos para la inspección electromagnética de ductos y estudios de suelos contaminados por hidrocarburos. El Dr. Nakamura ha publicado 2 artículos en revistas arbitradas y 16 en memorias en extenso, tiene 6 derechos de autor, ha obtenido 1 patente y 2 más se encuentran en trámite.
Aleksandr Mousatov. Obtuvo el grado de maestría en 1973 y de doctorado en 1980 en Geofísica, por parte de la Universidad Estatal de Moscú (UEM). Trabajó para la UEM en el Departamento de Geofísica desde 1973 hasta 1994 como investigador y profesor asociado. En el período de 19941997 laboró como profesor de tiempo completo para la Universidad de Nuevo León. En 1997, ingresó al Instituto Mexicano del Petróleo como investigador científico. Sus principales líneas de investigación son: desarrollo de métodos electromagnéticos, sistemas y técnicas de medición para registros geofísicos de pozos, inspección de ductos y caracterización del subsuelo contaminado por hidrocarburos, modelado e inversión petrofísica conjunta de las propiedades físicas de medios heterogéneos porosos, así como teoría y métodos de simulación e inversión del campo electromagnético en medios heterogéneos anisótropos. El Dr. Mousatov ha publicado más de 30 artículos en revistas arbitradas y 50 en memorias en extenso, ha obtenido 5 patentes y 2 más se encuentran en trámite, tiene 10 derechos de autor, ha escrito un libro y 3 capítulos en libros. Es miembro del Sistema Nacional de Investigadores.
Rogelio Alcántara Silva. Obtuvo el grado de maestría en ingeniería de control y procesamiento digital de señales por parte de la Facultad de Ciencias de la Universidad de Niza, Francia, en 1983. Posteriormente, logra el grado de doctor en ingeniería de telecomunicaciones de la Escuela Nacional Supe rior de Telecomunicaciones, París, Francia, en 1986. Recibió el diploma de Ingeniero Mecánico Eléctrico, especialidad en electrónica y comunicaciones de la Facultad de Ingeniería de la Universidad Nacional Autónoma de México en 1979. Obtuvo el diploma de Especialización en Ingeniería de Control de la Escuela Nacional Supe rior de Ingenieros Electricistas de Grenoble, Francia, en 1981. Actualmente es profesor titular "B" de tiempo completo de la Sección de Ingeniería Eléctrica, División de Estudios de Posgrado de la Facultad de Ingeniería de la UNAM, y realiza actividades de docencia, divulgación, investigación y desarrollo de proyectos. Sus líneas de investigación incluyen el procesamiento de señales multimedia, el reconocimiento de formas; las comunicaciones digitales; los sistemas de telecomunicaciones; el diseño e implementación de arquitecturas de procesamiento en tiempo real; el diseño y desarrollo de sistemas para aplicaciones en Bioingeniería; el análisis, diseño y evaluación del desempeño de redes distribuidas para el procesamiento y la transmisión de la información; el diseño de sistemas para el manejo automático de documentos; el reconocimiento de caracteres manuscritos; y la caracterización y verificación de firmas.














