Servicios Personalizados
Revista
Articulo
Indicadores
-
Citado por SciELO -
Accesos
Links relacionados
-
Similares en
SciELO
Compartir
Papeles de población
versión On-line ISSN 2448-7147versión impresa ISSN 1405-7425
Pap. poblac vol.17 no.70 Toluca oct./dic. 2011
Estructura urbana y segregación socioresidencial: un análisis para Maceió-Alagoas, Brasil
Urban conditions and socioeconomic segregation: an analysis for Maceió-Alagoas, Brazil
Carlos Marmolejo-Duartey y Natália Júlia Batista-Dória de Souza
Universidad Politécnica de Cataluña.
Recibido: el 4 de marzo de 2009
Aprobado: el 3 de agosto de 2011.
Resumen
En la literatura se ha puesto poco énfasis a la interacción entre la segregación residencial y la calidad de la urbanización. Este artículo explora la relación que existe entre la estructura urbana (entendida como el conjunto de áreas diferenciadas entre sí por sus tipologías edilicias y servicios urbanísticos) y la segregación residencial (entendida como la distribución geográfica de grupos socioeconómicos diferentes). Los resultados sugieren que existe una concomitancia, aunque no lineal, entre el nivel de cualificación urbanística y la segregación. Así, las zonas con servicios urbanos aceptables poseen la mayor diversidad de grupos socioeconómicos y socioeducativos. Muy por el contrario, las zonas marginadas de dichos servicios no sólo están infradiversificadas, sino también, son el escenario en el cual se potencian los fenómenos de hípersegregación, detectados a través de técnicas espaciales LISA. El trabajo finaliza indicando algunas acciones sectoriales que podrían coadyuvar a fortalecer la cohesión urbana.
Palabras clave: segregación residencial, estructura socioeconómica, estructura urbana.
Abstract
In the literature little attention has been paid to the relationship between residential segregation and urban quality. In this paper we explore the interaction between urban structure (understood as homogenous areas in terms of architectonic and urban features) and residential segregation (understood as the spatial distribution of income groups). The results suggest that there is a correlation, although not lineal, between urban quality and segregation, since normal serviced areas high score in terms of social diversity. On other hand, those marginal areas not only are under-diversified, but mainly, do potentiate the hyper-segregation of social groups as suggested by econometric LISA analysis. The paper ends suggesting some implications regarding social inclusion for urban policy.
Key words: residential segregation, socioeconomic structure, urban structure.
Introducción
El estudio de la segregación ha sido abordado tanto por la geografía como por la sociología. Para la primera, la segregación es la disimilitud que caracteriza la distribución espacial de los grupos sociales (White, 1986). En cambio, para la sociología el énfasis está puesto en la efectiva interacción social que entre dichos grupos se suscita (Bayona, 2007; Fullaondo, 2008). Dichas aproximaciones se fundan respectivamente en los conceptos de proximidad física y sociológica, los cuales pueden coexistir, aunque la existencia de uno no implica necesariamente la del otro.
En este artículo se estudia la faceta geográfica del proceso, y en concreto, la residencial, según Sabatini et al. (2001) ésta es el grado de proximidad espacial o aglomeración territorial de las familias pertenecientes a un mismo grupo social. Por tanto, proximidad física y concentración son dos aspectos definidores del proceso, al cual se añade un tercero enfatizado por Rodríguez y Arraigada (2004): la homogeneidad.
Reiteradamente las investigaciones han señalado que la segregación residencial es el reflejo visible de la diferenciación social del espacio, y más concretamente de la desigualdad en el reparto de la renta y de las oportunidades que los grupos tienen para conseguir una movilidad social ascendente. Sin embargo, para Sabatini et al. (2001) la segregación no sólo refleja las desigualdades sociales, sino que es un proceso más profundo con identidad propia, en el cual más allá de la desigualdad económica, está la etnicidad, mientras que la proximidad sociológica, ve en la geográfica, un elemento para reafirmarse.
Empero, la segregación residencial no es sólo reflejo de la desigual distribución de la renta y de las redes sociales imbricadas en el territorio, sino también de la estructura física que le da sustento, aspecto no menor, pero que en la literatura, con excepción de algunos estudios (Petsimeris, 1998; Pader, 2002 o Dwyer, 2007) no ha gozado de mayor atención. La hipótesis de la que parte esta investigación es que la segregación no es aleatoria a lo largo del espacio urbano sino que guarda una relación compleja con su estructura. De manera que las características que lo definen influencian, tanto la localización de los grupos socioeconómicos que pueden elegir su lugar de residencia, como de aquellos que no. Este proceso tiene, a la postre, un reflejo en la estructura socioespacial de la ciudad.
El resto del artículo se estructura de la siguiente manera: de primera instancia se realiza una, muy breve, revisión de las causas y el estado de la segregación en América Latina; el segundo apartado describe el área de estudio; para después presentar la metodología utilizada; continuando con la estructura socioeconómica y urbana de la ciudad que son analizadas en el apartado cuatro y cinco, respectivamente; y finalmente la relación entre ambas se discute en el penúltimo apartado. El artículo concluye con algunas ideas para combatir, desde la perspectiva urbanística, los procesos de híper-segregación social.
Segregación residencial y estructuración urbana de la ciudad
Bayona (2007) sugiere que las causas de la desigual distribución de los colectivos poblacionales se afilian a tres dimensiones: i) socioeconómica, ii) demográfica y iii) étnica. A pesar de que no existe una concomitancia lineal y perfecta entre ellas, en la práctica suelen estar interrelacionadas, lo cual impide ver con nitidez el alcance efectivo de cada una.
• La primera dimensión se asocia a la capacidad de los individuos para acceder al mercado residencial, y para sufragar otros servicios cotidianos (movilidad, seguridad, servicios urbanos, etc.). En las ciudades latinoamericanas, según algunos autores, es producto de la importante polarización social, endémica a la especificidad del sistema capitalista implementado, la cual que se ha acentuado en las ciudades capitales debido a la globalización (Cariola y Lacabana, 2003).
• En segundo lugar están las condicionantes demográficas (edad, tipo de hogar, etc.) con implicaciones en las decisiones locacionales, en tanto el parque residencial (su calidad, superficie y programa arquitectónico), los equipamientos y las infraestructuras no son idénticos a lo largo del espacio urbano. Esta dimensión está estrechamente ligada con el concepto de "carrera residencial", es decir, con la secuencia de viviendas que un hogar ocupa a lo largo de su evolución. Emancipación, matrimonio, procreación y jubilación podrían ser algunos de los hitos en este proceso (Pareja-Eastaway, 2007).
• En la tercera dimensión, se ha insistido en el papel de la etnicidad. En este sentido Schelling (1978) supone que, más allá de las condicionantes socioeconómicas, las preferencias de los individuos son inductoras de la segregación, en tanto estos tienen un "umbral de tolerancia" en relación a la etnicidad de sus vecinos. Por ejemplo, Massey y Denton, en su American Aparheid (1993) señalan que en Estados Unidos a pesar que 88 por ciento de los "blancos" refrenda el principio de no-discriminación residencial racial (of fair housing),1 sólo 43 por ciento de ellos se sentirían cómodos viviendo en un área poblada en una tercera parte por negros. La segregación étnica puede adoptar connotaciones de gueto, si es que la concentración espacial es obligada, o de enclave étnico si es que es fruto de un proceso de autorganización social del espacio (Johnston et al., 1986; Amersfoort, 1980; Clark, 1965 y Marcuse, 1997). En Latinoamérica los estudios de segregación étnica han sido menores que los de segregación residencial; aunque no son menos importantes en tanto cuanto el crecimiento de las ciudades, con base en la inmigración de las áreas rurales, es un crisol de diversas filiaciones étnicas.
La segregación tiene aspectos positivos (p.e.: la reafirmación identitaria, las redes sociales que suplen la ausencia de políticas sociales, la conservación de los valores) y negativos (la estigmatización, la inmovilidad social, la exclusión, etc.), ver debate en Fullaondo (2008). Lo cual significa que "el mercado residencial y la discriminación separan a la gente en diferentes barrios, lo cual perfila la vida y muerte de sus residentes" (Logan, 2003:33).
De esta manera las necesidades de los individuos, en términos demográficos y sociológicos, aunadas a su capacidad de acceder a la ciudad terminan condicionando su localización y a la postre, la configuración geográfica social. Las especificidades del modelo económico-urbanístico de América Latina, impiden trasladar lineal y exitosamente las teorías de organización espacial gestadas en otras latitudes (p.e.: ecología humana, white flight o la polarización-globalización de Sassen), tres son las particularidades del mismo: i) un progresivo declive del estado manifiesto no solo por el desmantelamiento del sistema social y de su capacidad de redistribución rentística, sino también, por su pérdida de liderazgo en los procesos de planeamiento urbanístico (Janoschka, 2002), y de producción de vivienda digna; ii) el progresivo relevo, que en este sentido, ha cobrado el capital inmobiliario en la construcción y reconstrucción de los espacios urbanos (De Mattos, 2002); iii) la práctica insolidaridad privada en la construcción de espacios colectivos, seguramente asociada a la tradición latino-europea, basada en la exacerbación de la construcción individual de la ciudad y de la potenciación de la vivienda en propiedad, como mecanismo histórico de reforzamiento de los intereses familiares antepuestos a los colectivos (Arbaci, 2008). Estos procesos estructurales, aunados a los coyunturales asociados, sobre todo, a la crisis económica que la Región ha experimentado en las dos últimas décadas han provocado una evolución específica del modelo de ocupación territorial. Ribeiro y Lago (1995) los resumen en: (i) un decrecimiento de las grandes metrópolis a favor de las intermedias, (ii) la emergencia de una nueva forma de segregación socioespacial, y (iii) la aparición de clases altas donde antes solo había bajas.
Los procesos anteriores se materializan en ciertas formas de producción de la ciudad que reproducen la división social del espacio. Por una parte están los emprendimientos privados, originalmente ubicados en ciertas áreas de la ciudad, con una dimensión considerable, dirigidos a la élite y con un formato horizontal (p.e.: countries clubs); pero que han ido ganado diversidad en su localización, perfiles sociales, tamaño y formato (p.e.: condominios verticales). Al tiempo que han adoptado la faceta de gated communities que recrean "modelos" especializados de convivencia comunitaria, dan la sensación de seguridad, tematizan el estilo de vida o simulan espacios naturales (Bellet, 2007). De manera que se convierten en islarios defensivos frente a la otredad (Sacristán y Roca, 2007), y por eso incluyen toda clase de servicios, equipamientos e infraestructuras adaptados a las necesidades étnicas, socioeconómicas y demográficas de sus ocupantes, que les permiten emanciparse de la ciudad. Por tanto, sensación de seguridad, reafirmación de la identidad, y autosatisfacción de los servicios podrían estar detrás de su éxito crematístico, que ha provocado que en metrópolis como Buenos Aires, el conjunto de estos desarrollos cerrados ya sumen dos veces la superficie de la ciudad central (Vidal-Koppmann, 2008).
En seguida están los emprendimientos también privados pero auspiciados por el estado una vez delegada sobre los primeros su responsabilidad en la provisión residencial. Estas "precariopolis" en la terminología de Hidalgo (2008), estarían caracterizadas por espacios monofuncionales, segregados, fragmentados y con limitaciones en la prestación de los servicios urbanísticos elementales. Por eso Rodríguez (2006) las ha llamado el paisaje de la exclusión: producción masiva de vivienda barata, de calles cerradas y casas sin pasillo, en donde la vivienda social deficiente en tamaño, diseño y calidades sugiere una nueva configuración socioespacial del territorio, de paisajes y arquitecturas de la exclusión.
Aunado a las dos formas de producción urbana anteriores, relativamente recientes, coexisten otras dos históricas. La primera está relacionada con la producción informal de la vivienda (sobre suelos ilegales), persistente a pesar de (y a veces debido a) los programas de mejoramiento, básicamente orientada a grupos de renta baja o sin renta (Botelho, 2007), en dónde el gran negocio se lo lleva el parcelador (Smolka, 2003). Esta forma de urbanización tiene un impacto muy relevante en la segregación; Oliveira (2003) ha documentado, para el caso de Río de Janeiro, que el colectivo afroamericano tiende a segregarse más que el resto de grupos étnicos al ubicarse en las favelas y en las áreas periféricas. Por otra parte está la auto-provisión/producción de vivienda, abundante en las clases medias, pero que ha ido languideciendo junto con ellas; a la par que la emergencia del sistema hipotecario les ha permitido adquirir viviendas acabadas.
Lo importante es que la conjunción de las nuevas formas de producción de la ciudad latinoamericana en conjunción con las históricas puede representar una posibilidad estructural al reducir las distancias (físicas) entre los grupos sociales (Cáceres y Sabatini, 2004). A la vez que genera un mosaico muy imbricado que difícilmente se observa en las ciudades occidentales desarrolladas y, que a cierta escala, podría aparentar una baja segregación residencial, enmascarando en el fondo, procesos de marginación social. En este contexto la pregunta que emerge es ¿hasta qué punto existe una relación entre este mosaico de diferentes calidades urbanísticas y la segregación residencial?
Caso de estudio
Brasil es el país de América Latina con las mayores desigualdades sociales. Según datos del Anuario Estadístico de América Latina y el Caribe de la Cepal (2007) en el año 1999 (el más próximo a nuestro análisis) el coeficiente de Gini de la distribución de la renta era de 0.64,2 lo que lo sitúa junto con Sudáfrica en uno de los países más inequitativos del mundo. Así, en este país la desigualdad en las oportunidades laborales y la reproducción de la tenencia del capital sobre el resto de aspectos sociales tiene impactos significativos sobre la forma de organización socioespacial.
Sachs (1999) ha documentado cómo la industrialización por sustitución de importaciones (al igual que en gran parte de Latinoamérica) transformó al país en apenas cinco décadas, convirtiendo su base agrícola en otra terciario-industrial. En 1970, 56 por ciento de la población (93 millones) era urbana, mientras que en 2000 ya lo era 78 por ciento de los 169 millones. En sólo tres décadas las ciudades absorbieron, por tanto, más de 85 millones de personas (en su mayor parte inmigrantes éxodo rural a partir de la industrialización del campo). Sin embargo este extraordinario crecimiento, como es común en la región, no se acompañó de la necesaria oferta de servicios y desarrollo de equipamientos ni infraestructura, aunado a esto, la falta de vivienda digna produjo importantes procesos de marginación social (Maricato, 2001). Dicha marginación no es en absoluto un reflejo sólo espacial sino que forma parte de un proceso más complejo, cuyas raíces, en la esfera socioeconómica, están arraizadas en el mercado de trabajo. Según Caiado (1998), el modelo de desarrollo económico implementado en la transición se basa en la concentración del capital y en la exclusión, lo cual genera trabajadores subempleados, mal remunerados, insertos en circuitos de producción de baja capacidad de acumulación de riqueza y de baja productividad. Además las crisis recurrentes han precarizado las relaciones de trabajo, reducido los salarios, generando grandes bolsas de pobreza y aumentado la desigualdad en la distribución de la renta (Lago, 2004 y Rodrigues, 2004). Con lo cual Caiado argumenta que:
la expansión urbana ha estado apoyada en una sociedad con una distribución de renta desigual, teniendo como resultado la concentración de la renta y de la población en las grandes ciudades, y surgiendo una estructura social urbana fragmentada y segregada espacialmente" (Caiado, 1998: 458-459).
Por su parte el excesivo protagonismo del mercado y el inaceptable papel del Estado en el liderazgo de la urbanización ha provocado la aparición de una dualidad en la forma de urbanización privada, por una parte el mercado formal dirigido a los grupos socioeconómicos de rentas medias altas y altas los menos, y por otra el informal producto de la exclusión en el acceso al primero de los grupos de rentas bajas los más (Botelho, 2007). Así
la combinación entre la falta de una política habitacional y las acciones de un mercado inmobiliario, en gran parte incontrolado, tiene como resultado la ausencia de opciones adecuadas de vivienda para la mayor parte de la población urbana, lo que genera una proliferación de la ocupación ilegal del suelo urbano y de asentamientos ilegales, con todo tipo de problemas urbanos, sociales y ambientales (Fernandes, 2001: 27).
En Brasil la "ciudad ilegal", es decir aquella no regularizada desde el punto de vista fundiario (Sachs, op. cit.) representa, en las grandes aglomeraciones, entre 40 y 70 por ciento en términos poblacionales. Por otra parte está la construcción de promociones privadas orientadas a los grupos de renta alta que suelen ser favorecidas, en lo relativo a la flexibilización de las normativas y en el consentimiento discrecional por parte del Estado (Caiado, op. cit.). Incluso las acciones individuales de los privados, como la retención del suelo a efectos de capturar plusvalías, genera una subutilización de una buena parte de los suelos servidos con infraestructuras y equipamientos, generando la necesidad artificial de crecimiento urbano y de marginación en las periferias de los grupos sin acceso al mercado formal; los vacios urbanos, son por tanto, otro inductor de la segregación (Souza, 2007). Así, el clientelismo político, los intereses del capital (y sus prácticas ilegitimas como la especulación) y la marginación social son los tres componentes que han configurado la morfología social de las urbes brasileras.
Por su parte Alagoas, el estado del cual es capital Maceió, es una de las regiones en dónde los índices de distribución del ingreso alcanzan los niveles más críticos de todo el país:
La miseria de Alagoas... continua creciendo desde los años 1990, en donde, cruelmente, la renta se concentra en 10 por ciento de la población, mientras que en el restante 90 por ciento el nivel de miseria se vuelve evidente, especialmente en la parte de la población rural que inmigró a las ciudades y de todas las comunidades periféricas de los centros urbanos, que incrementan la pauperización que tanto precariza el bienestar social, humilla a la sociedad local y se vuelve un lastre para el poder público (Lobo, 2007:4).
Maceió (en el año 2000 tenía 769 mil personas, 109 km2 urbanos y 193 mil hogares) no sólo es la capital, sino también la ciudad principal de la región desde el siglo XIX. Su origen portuario atendió a la necesidad de exportar las riquezas maderables que se explotaban tierra adentro. El cultivo de caña de azúcar y su procesamiento fueron el fuelle que complementaba la economía. El patrón de urbanización estuvo, por mucho tiempo, influido por la localización del puerto y de la laguna Mundaú que servía de vía de comunicación con el territorio continental, papel que progresivamente fue cediendo a las carreteras que acabaron reconfigurando la morfología de la ciudad, a partir del siglo XX.
Con la industrialización por sustitución de importaciones Maceió experimenta un vertiginoso crecimiento, y las décadas de 1960 y 1970 están marcadas por importantes actuaciones del Estado en la dotación de vivienda social para renta baja en conjuntos ubicados en la periferia (Lopes y Junqueira, 2004). En 1980 fruto de la crisis azucarera, y la migración expulsada por las reformas laborales rurales, el déficit de vivienda aumentó aún más. Otro importante factor en el proceso de ocupación del territorio fueron las condiciones geomorfológicas del sitio natural donde la ciudad se formó, lo cual según Cavalcanti et al. (2004), puede ser descrito y dividido morfológicamente en dos tipologías de relieve: (i) la planicie costera y lagunar, constituye una gran área geográfica plana compuesta principalmente por playas, pequeños vestigios de dunas y manglar; y (ii) los tabuleiros, tienen superficie semiondulada, presentando en algunas localidades una conformación de relieve con valles y formas sinuosas conformando las grotas;3 el desnivel resultante entre la planicie y los tabuleiros compone las encostas, es decir pendientes de acentuadas inclinaciones. Las grotas y encostas poseen una función de drenaje de las aguas provenientes de los tabuleiros, originalmente protegidas por vegetación, y que debido a su función ambiental se caracterizan como áreas no sujetas a ocupación.
En este proceso las elites de la sociedad maceioense fueron concentrándose en las áreas centrales más favorecidas, mientras que en el otro extremo de la escala social, representada por el grupo de los pobres, se direccionaron hacia la periferia peor equipada. Maceió, al igual que el resto del país, diversificó su economía incorporando al sector terciario vinculado al ocio, y al turismo. De esta manera el frente litoral centro norte (Pajuçara, Jatiúca y Ponta Verde), a partir de 1980 se convirtió en una de las zonas de crecimiento de los grupos de renta alta, con un modelo de uso intensivo del espacios basado en lujosos apartamentos principalmente en las primeras líneas de mar (Cavalcanti et al., 2004). La conjunción de viviendas de alta calidad y actividades económicas terciarias generó una nueva centralidad y una profunda alteración del paisaje urbano convirtiendo este sector de la ciudad en área de creciente valor inmobiliario especulativo. Sin embargo ,el desarrollo litoral no ha sido homogéneo, en tanto la parte sur correspondiente a los barrios más tradicionales se ha desvalorizado, posiblemente por la implantación de una planta química y por las características ambientales más frágiles (p.e.: presencia de dunas); y el litoral norte tenido como área de expansión urbana, precaria de infraestructura y con presencia de muchas áreas vacías, pero es una nueva área de especulación del mercado inmobiliario.
La planicie lagunar también corresponde a los barrios antiguos de la ciudad, dado el antiguo carácter vial de la laguna; sin embargo, al tratarse de terrenos ambiental y sanitariamente no aptos para la construcción, tienen un valor relativamente bajo en el mercado inmobiliario. La parte interior de la ciudad está formada por un relieve ondulado, en dónde existen laderas y taludes inestables, que no pocas veces han provocado catástrofes, con origen meteorológico y la forma de ocupación inadecuada, de consecuencias mortales para los grupos de rentas bajas que habitan estas grotas. Según un estudio realizado por la Universidad Federal de Alagoas, en 1998, intitulado Exclusão Social de Maceió, la ciudad tiene 135 asentamientos vulnerables que concentran 45.8 por ciento de la población urbana, ubicados principalmente en el territorio lacustre y en las grotas. Sin embargo, estos sitios de difícil acceso y complicada orografía no son exclusivamente usados por la población excluida de la "ciudad legal", también los grupos de renta alta los prefieren por sus vistas panorámicas, ejemplo de esto son los desarrollos ubicados cerca de la laguna; u otros que han surgido mediante la, todavía no muy extendida fórmula, de barrios horizontales cerrados.
Este patrón de intrincadas zonas de urbanización legal e ilegal, según Botelho (op. cit.), crea un esquema en dónde la segregación socio-especial es aún más visible y se caracteriza por entornos céntricos, con servicios, equipamientos e infraestructuras adecuadas, destinados a la población más pudiente rodeados de áreas pobres cuyos déficits urbanísticos son similares a los de la periferia. En este artículo intentamos comprobar si efectivamente existe una concomitancia lineal entre la calidad urbanística y la segregación residencial; o si por el contrario, la relación entre la estructura urbana y la social es un proceso más complejo en el cual algunas áreas por su naturaleza urbanística coadyuvan a generar entornos socialmente diversificados, mientras que otras son verdaderos enclaves de exclusión y monotonía social.
Metodología y datos
Puesto de manera simple la metodología consiste en tres fases:
1. En una primera, la estructura socioeconómica, su distribución y la segregación de sus diferentes colectivos se analiza mediante el uso de los coeficientes de localización y diferentes índices de segregación sistematizados por Martori y Hoberg (2004) y Martori et al. (2006).
2. A continuación se estudia la estructura urbana a través de la identificación de zonas con similares características edilicias y urbanísticas, mediante el uso de un análisis factorial y clúster, como lo ha sugerido Checa y Arjona (2006).
3. Finalmente, estructura urbana y segregación socioeconómica son confrontadas, para ver en qué medida están relacionadas, y sobre todo, conocer cuáles son las características urbanísticas que rodean a las áreas de híper-segregación detectadas mediante Local Indicators of Spatial Association (LISA) sugeridos por Anselin (1995) y sistematizados por Martori y Hoberg (2008).
La información utilizada proviene del Censo de Población del año 2000 realizado por el Instituto Brasileiro de Geografia e Estatística (IBGE). Dichos datos están a escala de sección censal y se refieren: al tipo de vivienda, la forma de abastecimiento de agua, la forma de desalojo del agua servida, la forma de desalojo de los residuos sólidos, el nivel de renta de las personas principales de los hogares, el nivel educativo y la distribución de la población. Otra información, proveniente de las áreas urbanísticas con mayor necesidad de actuación pública, ha sido georeferenciada y con el concurso del SIG, se han obtenido informaciones relacionadas con la densidad, la proximidad a la costa y al centro urbano.4
Estructura y segregación socioresidencial
Según la información del Censo de 2000 en Maceió había 199 733 hogares cuyas personas principales pueden ser clasificadas, en función de la renta, en cinco grupos.5 Como se observa en la figura 1, la mayor parte de los hogares se sitúan por debajo de los tres salarios mínimos (SM). La clase, que se ha denominado, de renta "media" y "media alta" con ingresos entre tres y quince SM representa casi una cuarta parte de la población (26 por ciento), mientras que la minoría está formada por los hogares cuyas personas principales tienen una renta superior a 15 SM, que han sido clasificados como de renta "alta".

El predominio de las rentas medias bajas y bajas no es la única característica de la estructura socioeconómica, también lo es la enorme desigualdad en la distribución de la renta como lo documenta la Curva de Lorenz (figura 2). Como se ve la distribución del ingreso está muy alejada de la línea de equidistribución. De manera que 37 por ciento de las personas principales más pobres concentran solamente cinco por ciento de la renta, mientras que siete por ciento de las personas principales más ricas concentran poco menos de 50 por ciento del ingreso total.

El análisis de la distribución de los grupos socioeconómicos (figura 3) evidencia una fuerte concentración relativa (especialización) en ciertas partes de la ciudad. Los grupos de renta baja y media baja, por ejemplo, se concentran principalmente en áreas de expansión urbana que presentan, como se verá más adelante, importantes déficits urbanísticos, como Santa Lúcia, Santos Dumont, Clima Bom, etc., y en el céntrico barrio Jacintinho, (uno de los más densos, tanto en términos poblacionales como edilicios). Además, es un área bordeada por cuestas con altas pendientes, es decir, áreas no edificables que, sin embargo, se encuentran ocupadas por la población del barrio que, sin acceso al mercado formal inmobiliario, ha adoptado a estos espacios como opción de morada. Cabe resaltar que, de acuerdo con Souza (2007), el perfil socioeconómico de esta población está caracterizado por una inestabilidad en el mercado laboral, que conlleva a una falta de renta fija y en la extrema dificultad en obtener recursos propios. La ocupación predominante femenina se relaciona con la prestación de servicios domésticos.
La clase de renta media se encuentra más dispersa, localizándose también en las cercanías del Centro; en los barrios de la costa, pero con una considerable distancia de las manzanas más cercanas a la playa; y en Serraria, barrio también de expansión urbana que presenta condominios destinados a la clase media, como los Conjuntos Residenciales José Tenório, Rui Palmeira, entre otros.
Por su parte las clases media alta y alta se concentran básicamente en los barrios próximos al centro, como Farol, Pinheiro y Pitanguinha, caracterizados por la existencia de uno de los principales ejes de conexión de la ciudad de Maceió, la Avenida Fernandes Lima; así como en barrios como Gruta de Lourdes y Jardim Petrópolis, donde se encuentran los condominios cerrados de lujo; y principalmente en los barrios de la costa, Pajuçara, Ponta Verde, Jatiúca y Cruz das Almas, áreas con un paisaje dominado por lujosos edificios con vistas al mar, una urbanización de gran calidad, unos servicios altamente diversificados y los valores más altos de la ciudad.
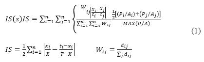
Como se ve los grupos socioeconómicos tienen unas pautas muy territorializadas de localización que hacen suponer una segregación importante. Del conjunto de indicadores de segregación revisados por Martori y Hoberg (2004), Martori et al. (2006) y Fullaondo (2008), en este artículo sólo reportamos dos , el primero de la dimensión igualdad (mide dentro de las áreas la relación entre la proporción del grupo en estudio y el resto -homogeneidad) y el segundo de la dimensión clustering (mide la relación espacial entre las áreas dónde se localiza el grupo en estudio):
1. El índice de segregación corregido por la forma IS(s), varía entre cero y uno (máxima segregación) y representa la proporción de la población en estudio (p.e.: hogares de renta alta) que tendrían que cambiar de residencia para obtener una distribución uniforme, una vez que la unidad espacial de estudio ha sido controlada.

Donde:
Xi = Población del grupo X en la unidad espacial i
Xj = Población del grupo X en la unidad espacial j
X = Población del grupo X en la ciudad
ti = Población total en la unidad espacial i
tj = Población total de la unidad espacial j
T = Población total en la ciudad
n = Número de unidades espaciales de la ciudad
Ai = Superficie de las unidades i
Aj = Superficie de las unidades j
A = Superficie de la ciudad
P = Proporción del grupo en la ciudad, sea X/T
Pi= Perímetro de la unidad espacial i, sea xi/ti
Pj= Perímetro de la unidad espacial, xj/tj
dij = Longitud de la frontera entre la zona i y la zona j
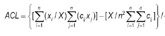
2. El índice de agrupamiento absoluto (ACL), varía entre cero y uno, cuando se maximiza significa que las áreas dominadas por el grupo en estudio están próximas entre sí y por tanto existe una concentración supra-local.


Donde:
cij = Elementos de una matriz de contactos binaria; matriz cuadrada y simétrica de dimensiones n por n.
Xi, Xj, X, n = ver ecuación (1).
Los resultados están en la figura 4, como se ve en el cuadrante 1 (que representa una baja segregación y un bajo agrupamiento espacial) quedan inscritos los grupos de renta media, lo cual es muy significativo porque sugiere una mayor exposición al resto de grupos y dispersión territorial. Muy por el contrario, en el cuadrante 3 (que representa una segregación muy alta y un alto agrupamiento espacial) quedan los extremos, por una parte el grupo de renta alta (>15 SM y siete por ciento de la población) que denota la segregación más alta (viven en secciones censales muy homogéneas) y el grupo de clase baja (<1 SM y 37 por ciento de la población) que vive en secciones censales no tan homogéneas, pero que espacialmente están muy próximas entre sí. Como se ve los resultados espaciales de la segregación de las clases altas y bajas pueden ser parecidos; sin embargo las causas están sideralmente alejadas entre sí, el acceso al mercado residencial y la libertad de albedrío en las decisiones locativas están detrás de este proceso.

Estructura urbana
El Censo de 2000 aporta algunas informaciones sobre las características urbanísticas de la ciudad, su análisis permite distinguir áreas interiormente homogéneas. Estas informaciones, aunque someras, revelan aspectos tanto de las dotaciones de servicios como de las tipologías edilicias. El cuadro 1 detalla los principales estadísticos de las variables utilizadas en la caracterización urbanística. Como se ve, la inmensa mayor parte de las secciones tienen una tipología residencial basada en casas (86 por ciento), conectadas a la red hidráulica (82 por ciento), con servicios de desalojo de aguas servidas (25 por ciento por alcantarillado + 22 por ciento por fosa séptica), mientras que la basura está colectada en 94 por ciento de los casos. Por su parte la densidad media es de 7 030 personas/km2. Según datos de Demographia World Urban Areas (2007) Maceió, es dentro de las ciudades brasileras de menos de un millón de habitantes, la que tras São Luis, tiene la mayor densidad demográfica.

Aparentemente la mayor parte de las secciones censales cuentan con servicios que podrían clasificarse como suficientes; sin embargo, las pequeñas deficiencias, y sobre todo, su combinación es lo que hace que aparezcan áreas deficitarias. La figura 5 da cuenta de la distribución geográfica de estas áreas desde la perspectiva de la distribución de agua de boca y del desalojo de aguas servidas. Como se ve, la mayor parte de los nuevos barrios que han ido apareciendo al norte de la ciudad, son los que presentan una dotación urbanística más baja. Así, Clima Bom, Benedito Bentes, Cidade Universitaria, Santa Lúcia o Jacintinho serían los barrios en dónde el desalojo de las aguas fecales se realiza por filtraciones subterráneas de escasa salubridad o, en menor medida, simples vertidos en zanjas a cielo abierto; mientras que Clima Bom y Cidade Univesitaria son los barrios que, según las declaraciones realizadas en el censo, no contaban con agua corriente ni de pozo o manantial, recurriendo a otras fuentes como el abastecimiento por camiones cisternas o, incluso, captaciones pluviales.
A efectos de encontrar la estructura, que subyace detrás de la ciudad, se ha realizado un análisis multivariante doble. En primera instancia, usando los datos del cuadro 1, se ha realizado un análisis de componentes principales, sobre los cuales, se ha procedido a clasificar a las secciones censales mediante un análisis de conglomerados de K-medias. De acuerdo con Pardo y del Campo (2007) la utilización de las coordenadas factoriales permite tener un marco común en el proceso de formación de conglomerados, en el cual, la información relevante ha sido extraída, mientras que la redundante eliminada.
En efecto, las puntuaciones factoriales, al ser ortogonales entre sí, muestran aspectos incorrelados de la realidad urbana. En este caso el análisis factorial se construyó con información sobre la tipología de las viviendas porcentaje de casas y porcentaje de apartamentos con características de la forma de abastecimiento hídrico (porcentaje de viviendas conectadas a la red, con pozo o manantial y otros), así como información relativa al desagüe (porcentaje de viviendas que desaguan en la red de drenaje, con fosa séptica o rudimentaria) y la forma en cómo se desaloja la basura. Como se ve no todas las categorías de las informaciones anteriores fueron incluidas, debido a que su escasa presencia o su poca correlación espacial con el resto de variables provocarían que el modelo factorial no fuese representativo de la información de origen. Así, el modelo utilizado tiene cuatro componentes principales (con autovalores superiores a 1, que en conjunto sintetizan 80.5 por ciento de la variación de las covariables originales, siendo la medida de adecuación a la muestra Kaiser-Meyer-Olkin de 0.28. Una vez obtenidos los componentes principales se recurrió a la conglomeración mediante un análisis de media variable, los resultados aparecen en la figura 6. Mediante el análisis de las variables originales y del del factor 1 (que explica 31 por ciento de la varianza de las variables incorporadas en el modelo), se realizó una categorización ordinal de los clústeres en función de su calidad urbanística.
Como se puede observar (cuadro 2) el clúster 3 es el mejor en términos urbanísticos. Esta área, que comprende fundamentalmente el barrio de Punta Verde, está caracterizada por tener un elevado porcentaje de apartamentos, de hecho es la zona con mayor densidad de viviendas por km2, esto responde al gran atractivo que representa, por una parte la cercanía al mar y por otra, la proximidad al centro urbano. Sin embargo, el clúster 3 no es único sólo por su peculiaridad tipológica sino también porque es la mejor zona de la ciudad en materia de servicios urbanos. De hecho tiene el máximo porcentaje de viviendas conectadas a la red hidráulica (98 por ciento), con drenaje (91 por ciento), mientras que las basuras son recolectadas a 100 por ciento. También es la zona más próxima al centro de servicios de la ciudad, al margen de que en sí misma, es un área con una gran cantidad y diversificación de servicios personales y empresariales dado su carácter turístico.

En segundo lugar se sitúa el clúster 1, categorizado como una zona de tipologías mixtas entre casas y apartamentos con servicios urbanos regulares. Dada su ubicación más periférica y la naturaleza de su sustrato el agua es provista en 42 por ciento por la red municipal, mientras que otro 51 por ciento mediante acuíferos subterráneos. El drenaje también es mixto, siendo las fosas sépticas, seguidas del alcantarillado (22 por ciento) y las fosas rudimentarias (20 por ciento) los tres principales medios de desagüe.
Detrás de esta zona está el clúster 4, que hemos categorizado como 'zona de casas con servicios urbanísticos regulares'. Se trata de un área que, a diferencia de las anteriores, está más diseminada a lo largo de la ciudad, en donde 96 por ciento de las viviendas cuentan con agua corriente, mientras que el desagüe se realiza tanto por alcantarillado como por fosas sépticas (38 y 46 por ciento, respectivamente).
En cuarto lugar está el clúster 5, una zona de casas, más alejada aún del centro, con servicios urbanísticos deficientes. En esta zona, por primera vez, otros abastecimientos de agua, como el provisto por los camiones cisterna o el agua de lluvia, empieza a tener protagonismo, así cinco por ciento de las viviendas no tiene agua corriente. El desalojo de las aguas fecales y grises no es mejor, en tanto cuanto 77 por ciento de las casas tienen fosas rudimentarias, siete por ciento desagua a cielo abierto (p.e.: zanjas que desembocan en cuerpos hídricos), e incluso cuatro por ciento de las familias no tiene baño propio.
Sin lugar a dudas en el último sitio del ranquin urbanístico, está el clúster 2. En esta área el porcentaje de viviendas improvisadas (chabolas) es el mayor (seis por ciento), mientras que la mayor parte de las familias no tiene agua corriente (84 por ciento), y 78 por ciento posee medios muy rudimentarios e insalubres de desalojo de aguas (63 por ciento en fosa rudimentaria, seis por ciento otros y nueve por ciento no tiene sanitario en casa). No es de extrañar, por otra parte, que las peores zonas de la ciudad sean las que tienen los niveles de hacinamiento más altos de Maceió, como es habitual en Latinoamérica.
Por tanto, Maceió no escapa del arquetipo de nuestras ciudades latinoamericanas, caracterizadas por amplios contrastes en dónde las zonas mejor provistas, en términos urbanísticos, ocupan las mejores localizaciones (en este caso la proximidad al mar y al centro histórico), mientras que las nuevas zonas no sólo son más periféricas, sino también, están progresivamente desprovistas de servicios urbanos. Además el patrón con el cual se fractura la ciudad es irregular y unas zonas se entremezclan con otras, fruto de los determinismos históricos, sólo modificados por la apertura de nuevas infraestructuras y el mejoramiento de los barrios.
Estructura urbana y segregación socioresidencial
Expuesta la estructura social y urbana por separado, en este epígrafe se realiza un análisis cruzado con el objeto de ver, de qué manera, el nivel de calidad urbana está relacionado con la segregación. A efectos de cruzar los datos de la estructura socioeconómica se ha realizado una segmentación de la información utilizando el clúster de pertenencia como variable de clasificación. De esta manera se han calculado, en primera instancia, dos indicadores sintéticos del nivel de renta y del nivel de formación. El primero se refiere al número medio de salarios mínimos del jefe/a del hogar (en España persona principal), mientras que el segundo es el nivel medio de estudios alcanzados por los mismos. A estos efectos, las variables nominales se han asumido como de tipo ordinal correspondiendo cero a los analfabetos y cinco a las personas con maestría o doctorado = 5. En segunda instancia se ha calculado un indicador de la diversidad socioeconómica y socioeducativa, que cumple con las características deseables de un índice de esta naturaleza según Pielou (1977), mediante la siguiente ecuación:

En (1) D es la diversidad socioprofesional o socioeducativa de una zona i (p.e.: un clúster), y P es la probabilidad de encontrar, en i, un determinado grupo socioeconómico o socioeducativo j de los n que conforman la estructura social; cuanto más grande es D mayor es la diversidad. Con meridiana claridad se observa (cuadro 3) la estrecha concomitancia entre el orden de calidad urbanística y el nivel medio tanto de renta y formación, lo cual era muy previsible y sugiere que la estructura urbana y la social son dos caras de un mismo proceso, en el cual el espacio no es el reflejo geográfico del mismo, sino como apuntan Cáceres y Sabatini (2004), es parte del mismo.
Sin embargo, lo relevante, de cara al diseño de las políticas urbanas, es que el análisis sugiere una clara relación entre el nivel de calidad urbanística y la diversidad social. Así, cuanto mejores son las prestaciones urbanísticas, mayor es la diversidad social, tanto desde la perspectiva del ingreso, como del nivel educacional. Empero esta concomitancia no es lineal, en tanto la zona mejor dotada de la ciudad (clúster 3, básicamente Ponta Verde) tiene una menor diversidad socioeconómica que las áreas con servicios urbanísticos aceptables, es decir el clúster 1, que es el más diversificado de todo Maceió tanto en términos de ingresos como educativos (aunque sólo tiene cinco por ciento de la población total). Lo relevante es que el clúster 2 en el cual existe una acuciante falta de servicios, la diversidad toca fondo, creando un paisaje social, desde esta sola perspectiva, monótono.
Dichos hallazgos refrendan la idea de la doble naturaleza de los procesos de segregación: aquella voluntaria en dónde las decisiones individuales o familiares conllevan a asentarse un zonas exclusivas de la ciudad; contrapuesta a aquella obligada, en donde las condiciones económicas obligan a asentarse en zonas precarias excluidas de los servicios y equipamientos más elementales. Individualismo y estructuralismo parecen, por tanto, estar detrás de los procesos de segregación urbana.
Los avances en las técnicas de análisis de la segregación permiten detectar clústeres residenciales en función de las características de la población. En este sentido Martori y Hoberg (2008) han señalado que la estadística aplicada al análisis geográfico ha experimentado un progreso muy significativo al incorporar explícitamente al espacio como eje fundamental del análisis. En este trabajo hemos utilizado los indicadores LISA (Local Indicator of Spatial Association) sugeridos por Anselin (1995) para detectar las secciones censales con una presencia estadísticamente significativa de un grupo socioeconómico determinado. Mediante el análisis de la significación de los indicadores locales (I de Moran), se pueden detectar zonas con presencia alta (porcentaje del total) de un grupo determinado rodeadas por zonas con una presencia también alta de este grupo (high-high), o zonas con presencia baja de ese grupo rodeadas por zonas de presencia alta (low-high) o zonas con presencia alta rodeadas por zonas de presencia baja (high-low), o zonas con presencia baja rodeadas por zonas con presencia baja (low-low), y finalmente el resto de zonas sin diferencias espaciales estadísticamente significativas. Entendemos que la segregación socio residencial se maximiza cuando existen áreas en las cuales existe una alta proporción de personas de un mismo grupo socioeconómico y que además están rodeadas por otras zonas en las que concurre la misma situación, estas serían las áreas de híper-segregación que pueden inducir un mayor nivel de aislamiento social.
El cuadro 4 contiene los resultados del análisis LISA por clústeres de la ciudad, como se observa las zonas peor dotadas urbanísticamente poseen el mayor porcentaje de secciones censales hípersegregadas en hogares de renta baja. Así, la zona urbana 2 (la peor de la ciudad) tiene 19 por ciento de sus secciones categorizadas como high-high, es decir, zonas contiguas en dónde, estadísticamente, la proporción de grupos de renta baja es alta, en este clúster urbano 49 por ciento de su población es de renta baja. Lo significativo es que tanto la zona urbana 3 (la mejor de ellas) y sobre todo la zona urbana 1 (con servicios urbanísticos aceptables) no tiene ninguna sección censal híper-segregada en clases baja, a pesar de la presencia de este grupo en ellas concretamente ocho por ciento en el primer caso y 17 por ciento en el segundo. Por tanto, las zonas con servicios urbanos adecuados no sólo son las más diversas en términos socioeconómicos, sino sobre todo, muestran nulos patrones de 'clusterización' espacial de los grupos sociales, lo que abre amplias posibilidades de interacción social, aun cuando sólo sean posibilidades. En relación a los hogares de renta alta dos situaciones llaman poderosamente la atención: en primera instancia el práctico dominio de este grupo de la zona urbanística 3 (la mejor), en ella 58 por ciento de sus secciones censales están clasificadas como high-high; en segunda instancia la presencia de clústeres de renta alta en la zona con servicios deficientes. Este último aspecto podría sugerir que cuando los grupos de renta alta, incursionan en zonas con predominio de otros grupos y con deficiencias urbanísticas, muestran patrones de enquistamiento (p.e.: barrios cerrados); que por otra parte no existen en el caso contrario, es decir, cuando los grupos de renta baja se ubican en zonas urbanas con servicios buenos y con predominios de renta alta.
El mismo cuadro 4 explicita el número de secciones censales consideradas como Zonas Especiales de Interés Social; es decir las áreas de acción social y urbanística municipal prioritaria. Como se observa existe una concomitancia entre esa aproximación cualitativa y la estructura urbana propuesta en este artículo con el concurso de las técnicas cuantitativas; así el clúster 2 es el que tiene casi una quinta parte de sus secciones censales consideradas como favelas.
Para verificar la validez de los hallazgos anteriores el análisis se ha repetido a escala de secciones censales. La figura 7 refrenda la concomitancia positiva entre el factor 1 (que sintetiza la calidad urbanística) y el nivel de formación y de renta. Mientras que el cuadro 5, documenta una correlación positiva y significativa entre la diversidad residencial y las diversidades tanto socioeconómicas como socioeducativas. Es relevante el hecho que la diversidad, sobre todo la socioeconómica, tenga una correlación negativa con la ausencia de agua corriente o de pozo; también que nuestro indicador, imperfecto, de hacinamiento esté inversamente correlacionado tanto con el nivel de renta como con el nivel educativo.
Así se constata uno de los hallazgos más significativos reportados por Sabatini et al. (2001) para Santiago de Chile: el hecho que cuanto mayor es el nivel de renta, mayor es la diversidad socioeconómica; con lo que entienden que cuando esto ocurre se trata de un nivel de segregación bajo. En el caso de Maceió, la correlación también es positiva y significativa. La figura 8 ilustra, sin embargo, que en este caso no es una función siempre ascendente, en tanto a partir de cierto nivel de renta (aproximadamente seis SM) la diversidad empieza a reducirse; no obstante la diversidad socioeconómica en las secciones censales con mayor nivel de renta nunca llega a ser tan baja como en el caso de aquellas que tienen el menor nivel de renta de la ciudad.
Conclusiones
La localización residencial de los individuos en la ciudad parece estar condicionada por aspectos individuales y estructurales, expresados a través del acceso a la ciudad formal e informal respectivamente. Sin embargo este proceso no es aleatorio y está estrechamente relacionado con la estructura urbana. Los resultados de esta investigación sugieren que existe una correlación positiva entre el nivel de cualificación urbanística y la diversidad de los residentes, estudiada desde la perspectiva de su nivel de renta y educativo; y que la segregación para estos grupos de análisis presenta grados diferenciados como también diferentes formas de asentamiento en el espacio. De manera que las zonas con servicios urbanos aceptables, son también las más diversificadas y sobre todo, en las cuales no existen pautas de híper-segregación geográfica de clases bajas. Si bien la proximidad geográfica no es condición suficiente para reducir la segregación sociológica, ésta abre nuevas oportunidades, dentro de las cuales se encuentran, la generación de empleo, de equipamientos e infraestructuras en el entorno.
En contraposición, las zonas peor servidas parecen ser verdaderos enclaves de marginación, de especialización social e híper-concentración, que seguramente favorecen el aislamiento social. En cierta medida este hallazgo apoya la tesis de Cáceres y Sabatini (2004) que sostiene que los pobres latinoamericanos han intentado siempre localizarse en sectores aledaños a residencias de mayores ingresos y a las actividades económicas que se concentran en los lugares de residencia de estos últimos, debido a que su geografía de oportunidades mejora a la vez que disminuye su vulnerabilidad social. En este sentido y si pensamos en la pobreza informal característica de la estructura social latinoamericana, los autores argumentan que se trata de una 'inclinación estructural'. Esta tendencia explicaría la penetración de grupos medios de los "conos de alta renta" y la marcada heterogeneidad (diversidad en nuestro caso) que estos sectores presentan, así como la ocupación de espacios intersticiales aledaños a barrios de mayores ingresos, por parte de familias pobres.
A nuestro juicio, una forma de modificar el panorama segregativo de nuestras ciudades sería la implantación de políticas públicas eficaces y más direccionadas a los factores propagadores de este proceso. En este sentido, Souza advierte que: "Não basta, para contribuir para o desenvolvimento urbano, ter princípios, objetivos e uma estratégia; é preciso munir-se de instrumentos adequados para implementar as propostas" (2005: 123).
Existen algunas experiencias adoptadas en otras realidades para combatir la segregación; empero, si no se consideran los factores colaterales, éstas podrían tener incluso efectos contraproducentes. Es necesario que las acciones en el control de la segregación tengan en cuenta la realidad de cada situación en un proceso iterativo y de aprendizaje, modificándolas periódicamente para que tengan los efectos buscados. En este sentido la intervención en ciertas áreas por tal de mejorar la distancia social (Anderson, 1998) podría ayudar a mejorar la cohesión urbana. Algunas ideas para favorecerla, desde la perspectiva urbanística, son:
Integración sociourbana: de acuerdo con Sabatini (2006), la integración social es el objetivo general de una política de control de la segregación; combinando el tradicional camino de la movilidad social con el de la integración a partir de la diversidad. Para los segmentos de la población pobre, buscarían reducir la concentración de estos sectores en determinadas áreas de la ciudad, ampliando la integración y la dispersión espacial de los mismos, a través de proyectos de viviendas sociales en otras zonas de la ciudad o por medio de mecanismos de subsidio a la compra o arrendamiento de vivienda, ofreciendo a las familias pobres la posibilidad de elegir donde vivir. De la experiencia norteamericana se destacan los programas de subsidio a vivienda que buscan mover hogares desde barrios pobres y racialmente segregados (Sabatini et al., 2001). Por su parte los grupos medios y altos, las políticas inducirían el desarrollo residencial en nuevas áreas de la ciudad, pero mediante fórmulas alternativas a los condominios cerrados, herencia inconveniente de las actuales formas de actuación del mercado inmobiliario; los cuales si bien no son predominantes en Maceió, van en aumento. El fortalecimiento de las identidades territoriales, del sentido de pertenencia a un barrio, de acuerdo con Sabatini (2006), parece ser una forma de agregar diversidad social y de convertir las desigualdades en diferencias. Para ello, otro camino sería dar atención a la presencia de minorías étnicas como por ejemplo grupos indígenas (considerando que ellos forman parte de los grupos pobres segregados), es decir, la valorización de su cultura permitiría contraponer una segregación socioeconómica 'mala' (homogeneidad social) en una segregación 'positiva' (concentración de la minoría en espacios que comparten con personas no indígenas). Eso garantizaría una diversidad social sin movilizaciones. Como alternativa a las murallas, hay muchas otras formas de crear zonas de transición entre barrios de clases distintas que podrían ser fomentadas, como avenidas con camellones, arborizaciones, cambios en la trama urbana, o mediante espacios y equipamientos públicos.
Creación de tejidos urbanos posmodernos: buscarían una nueva modelación del paisaje físico de las ciudades favoreciendo mejores condiciones a la integración urbana y social de la población, mediante la mezcla del uso del suelo y la consolidación de equipamientos e infraestructura, asegurando mayor acceso a la ciudad. Por ejemplo, se podrían adoptar cuotas mínimas de vivienda social por barrios garantizando mayor interacción física entre personas de distintos grupos sociales, como hicieron en Inglaterra, Francia y más recientemente en España. Estrategia que podría combatir la aleatoriedad de la construcción de este tipo de vivienda que casi siempre, en ciudades latinoamericanas, se direcciona hacia la periferia. Podrían incluirse otras medidas en las áreas más vulnerables, fomentando el desarrollo de otras actividades más allá de la residencial. Potenciación del papel cohesionador del espacio público: buscarían potenciar los espacios públicos, en tanto éstos, según Katzman (2001), son un elemento ordenador de la ciudad que contribuye con la redistribución e integración social, corrigiendo el excesivo peso que ha tenido la vivienda. Junto a esta política se podrían incluir programas de mejoramiento y recuperación de barrios; en este sentid, podemos reconocer el esfuerzo de los gobiernos de São Paulo y de Ciudad de México para mejorar la condición de barrios que concentran poblaciones pobres, a través de la aplicación de programas de rescate de conjuntos de vivienda social deteriorados. En Chile, la propuesta se direcciona por medio de programas de movilidad social, respecto a la transacción de viviendas sociales usadas. Del punto de vista de recuperación de áreas podemos citar el programa Favela Barrio en Rio de Janeiro, apoyado por el BID; este programa busca integrar los asentamientos populares a la ciudad formal, dotándolos de infraestructura urbana, servicios, equipamientos públicos y políticas sociales. Regulación del mercado inmobiliario: para reducir la especulación inmobiliaria y direccionar el mercado a los segmentos de ingreso medio y bajo con arrendamiento y regulación de precios. En Brasil, la parcelación, edificación obligatoria, impuesto predial y territorial urbano progresivo en el tiempo y la expropiación con pago del justiprecio en títulos de la deuda pública son instrumentos poderosos para el control de la captación de la plusvalía del suelo urbano, ya previstos en la Constituição Federal de 1988 y reglamentados por el Estatuto da Cidade de 2001. Sus aplicabilidades contribuirían también en el cumplimiento de la función social del suelo urbano, tan debatida y conocida en las políticas brasileñas y que, por motivos de desinterés político, tiene su empleo restringido. Según Sabatini (2006), la recuperación de plusvalía es un requisito para debilitar la lógica especulativa del mercado de suelo, mediante esquemas de licitación de la localización de las obras públicas (o de la prioridad temporal de las obras planificadas) y la licitación de modificaciones a las normas de uso del suelo. Estos pueden plantear una política de financiamiento del desarrollo urbano antes que como una creación de nuevos impuestos. Dentro de estas medidas está la regularización de tierras como un importante instrumento en contra de la segregación; muchos son los programas implantados en los países latinoamericanos donde se encuentras terrenos abonados en condición de ilegalidad. No basta con disponer de un buen conjunto de instrumentos de planeamiento y de gestión para conseguir los resultados esperados, pues en un país como Brasil, como bien lo ha señalado Souza (2005), hay leyes que pegam y leyes que não pegam. Empero, si bien estos instrumentos no son una condición suficiente son tan necesarios como la voluntad política, y por encima de todo, la cívica. Hará falta evaluar, a la luz de los aún no disponibles datos del Censo de 2010, el curso que ha adoptado el fenómeno aquí expuesto.
Bibliografía
AMERSFOORT, H. Van, 1980, "Woonsegregatie, gettovorming en de overhead", en P. W. BLAUW and C. PASTOR (eds.) Soort bij soort: beschouwingen over ruimtelijke segregatie als maatschappelijk probleem, Deventer: Van Loghum Slaterus. [ Links ]
ANDERSSON, R., 1998, Segregation dynamics and urban policy issues in Sweden. International Conference on Divided Cities and Strategies for Unidivided Cities, Recuperado de www.international.metropolis.net/event/goth/segregation.html. Goteborg, Sweden. [ Links ]
ANSELIN, L., 1995, "Local indicators of spatial Association-LISA", en Geographical Analysis. vol. 27, núm. 2. [ Links ]
ARBACI, Sonia, 2008, "Hacia la construcción de un discurso sobre la inmigración en las ciudades del sur de Europa. La política urbanística y de vivienda como mecanismos estructurales de marginación étnica residencial", en ACE: Architecture, City and Environment, año III, núm. 8 octubre. Disponible en <http://www.cpsv.upc.es/ace/Articles_n8/articles_pdf/ACE_8_SE_20.pdf. ISSN 1886-4805. [ Links ]
BAYONA, J. C., 2007, "La segregación residencial de la población extranjera en Barcelona: ¿una segregación fragmentada?", en Scripta Nova, vol. XI, núm. 235. Universidad de Barcelona. Recuperado el 20 de junio de 2008, de http://www.ub.es/geocrit/sn/sn-235.htm. Barcelona. [ Links ]
BELLET, C. S., 2007, "Los espacios residenciales de tipo privativo y la construcción de la nueva ciudad: visiones de privatopía", en Scripta Nova. Revista electrónica de geografía y ciencias sociales. Universidad de Barcelona, vol. XI, núm. 245. Recuperado el 31 de mayo de 2008, de http://www.ub.es/geocrit/sn/sn-169.htm. Barcelona. [ Links ]
BOTELHO, A., 2007, O urbano em fragmentos: A produção do espaço e da moradia pelas práticas do setor imobiliário. Annablume, Fapesp. São Paulo. [ Links ]
CÁCERES, G. y F. SABATINI, 2004, "Barrios cerrados en Santiago de Chile: entre la exclusión y la integración residencial", en EURE, vol. 30, núm. 91. Recuperado el 18 de junio de 2008, de http://www.scielo.cl/scielo.php?script=sci_arttext&pid=S0250-71612004009100009&lng=es&nrm=iso. [ Links ]
CAIADO, M. C. S., 1998, O padrão de urbanização brasileiro e a segregação espacial da população na região de Campinas: o papel dos instrumentos de gestão urbana. XI Encontro Nacional de Estudos Populacionais da ABEP, recuperado el 28 de octubre de 2006 de www.abep.nepo.unicamp.br. Caxambu MG, Brasil. [ Links ]
CARIOLA, C. y M. LACABANA, 2003, "Globalización y desigualdades socioterritoriales: la expansión de la periferia metropolitana de Caracas", en EURE, vol. XXIX, num. 87. [ Links ]
CAVALCANTI, Verônica, Regina Dulce LINS y Paula Regina ZACARIAS, 2004, Identificação e caracterização preliminar dos "vazios" urbanos em Maceió. NEST-Núcleo de Estudos do Estatuo da Cidade, Relatório Técnico , 2003-2004. Maceió [ Links ].
CHECA, J. C. y A. ARJONA, 2006, "Ecología factorial en Roquetas de Mar (Almería). La importancia de las migraciones en la configuración socioespacial", en Scripta Nova. Revista electrónica de geografía y ciencias sociales. Universidad de Barcelona, vol. X, núm. 219. Recuperado el 27 de mayo de 2008, de http://www.ub.es/geocrit/sn/sn-219.htm. Barcelona. [ Links ]
CLARK, K. B., 1965, Dark Ghetto. Harper and Row. New York. [ Links ]
DWYER, R. E., 2007, "Expanding homes and increasing inequities: US housing development and the residential segregation of the affluent", en Social Problems, vol.54. [ Links ]
DE MATTOS, C., 2002, "Mercado metropolitano de trabajo y desigualdades sociales en el Gran Santiago: ¿Una ciudad dual?", en EURE, 85. [ Links ]
FERNANDES, E., 2001, Direito urbanístico e política urbana no Brasil. Del Rey. Belo Horizonte. [ Links ]
FULLAONDO, A., 2008, Inserción y lógica residencial de la inmigración extranjera en la ciudad. El caso de Barcelona. Tesis Doctoral, Universidad Politécnica de Cataluña, Barcelona. [ Links ]
HIDALGO, R., A. BORSDORF, y H. ZUNINO, 2008, Tipologías de expansión metropolitana en Santiago de Chile: precariópolis estatal y privatópolis inmobiliaria. X Coloquio Internacional de Geocrítica. Diez años de cambios en el mundo, en la geografía y en las ciencias sociales, 1999-2008. Universidad de Barcelona. Recuperado el 01 de junio de 2008, de http://www.ub.es/geocrit/-xcol/434.htm. Barcelona. [ Links ]
IBGE, 2003a, Censo Demográfico 2000 Agregado por Setores Censitários dos Resultados do Universo, Documentação do Arquivo. Ministério de Planejamento, Orçamento e Gestão. Centro de Documentação e Disseminação de Informações, Instituto Brasileiro de Geografia e estatística. Rio de Janiero, Brasil. [ Links ]
IBGE, 2003b, Pesquisa de orçamentos familiares 2002-2003 Primeiros resultados. Ministério de Planejamento, Orçamento e Gestão. Instituto Brasileiro de Geografia e estatística Rio de Janeiro, Brasil. [ Links ]
JANOSCHKA, M., 2002, "El modelo de la ciudad latinoamericana: fragmentación y privatización", en EURE, vol. XXVIII, núm. 85. [ Links ]
JOHNSTON, R. J., D. GREGORY y S. M. SMITH, 1986, The Dictionary of Human Geography. Basil Blackwell. Oxford. [ Links ]
KATZMAN, R., 2001, Seducidos y abandonados: el aislamiento social de los pobres urbanos, CEPAL, 75. [ Links ]
LAGO, L. C., 2004, "Os instrumentos da reforma urbana e o ideal de cidadania: as contradições em curso", en Revista Brasileira de Estudos Urbanos e Regionais (ANPUR), v. 6, num. 2, São Paulo. [ Links ]
LOBO, F., 2007, "Situação de Alagoas", en Gazeta de Alagoas, Espaço do leitor. Maceió [ Links ].
LOGAN, J., 2003, "Life and death in the city: neighborhoods in context", en Contexts, vol. 2, núm. 2. [ Links ]
LOPES, A. C. y E. JUNQUEIRA, 2005, Habitação de interesse social em Maceió. IBAM/DUMA. Rio de Janeiro. [ Links ]
MARCUSE, P., 1997, "The ghetto of exclusion and the fortified enclave: new patterns in the United States", en American Behavioral Scientist, 41. [ Links ]
MARICATO, E., 2001, Brasil, cidades: alternativas para a crise urbana, Vozes. Petrópolis, RJ. [ Links ]
MARTORI, J. C., y K. HOBERG, 2004, "Indicadores cuantitativos de segregación residencial. El caso de la población inmigrante en Barcelona", en Scripta Nova. Revista electrónica de geografía y ciencias sociales.: Universidad de Barcelona. vol. VIII, núm. 169. Recuperado el 29 de junio de 2008, de http://www.ub.es/geocrit/sn/sn-169.htm. Barcelona. [ Links ]
MARTORI, J. C. y K. HOBERG, 2008, "Nuevas técnicas de estadística espacial para la detección de clústeres residenciales de población inmigrante", en Scripta Nova. Revista electrónica de geografía y ciencias sociales. Universidad de Barcelona, vol. XII, núm. 263. Recuperado el 31 de mayo de 2008, de http://www.ub.es/geocrit/sn/sn-263.htm. Barcelona. [ Links ]
MARTORI, J. C., K. HOBERG y J. SURINACH, 2006, "Población inmigrante y espacio urbano. Indicadores de segregación y pautas de localización", en EURE, vol. XXXII, núm. 97. [ Links ]
MASSEY, D. y N. DENTON, 1993, "The race and ethnicity book review discussion list", en American Apartheid. Harvard University Press. Recuperado el 18 de junio de 2008, de http://lilt.ilstu.edu/gmklass/pos334/archive/massey.htm. [ Links ]
OLIVEIRA, N. S., 2003, Segregação racial: uma experiência de reestruturação do capitalismo no Rio de Janeiro e Nova Iorque. X Encontro Nacional da Anpur. Belo Horizonte. [ Links ]
PADER, E., 2002, "Housing occupancy standards: inscribing ethnicity and family relations on the land", en Journal of Architectural and Planning Research, vol 19(4). [ Links ]
PARDO, C. E. y P. C. del CAMPO, 2007, "Combinación de métodos factoriales y de análisis de conglomerados en R: el paquete FactoClass", en Revista Colombiana de Estadística, vol.30, núm. 2. Recuperado el 18 de junio de 2008, de http://www.scielo.org.co/scielo.php?script=sci_arttext&pid=S0120-17512007000200006&lng=en&nrm=iso [ Links ]
PAREJA EASTAWAY, M., 2007, "Residential opportunities and emancipation strategies in an owner-occupied dominated market", en ACE: Arquitectura, Ciudad y Entorno. Año I, núm. 5. [ Links ]
PETSIMERIS, P., 1998, Urban decline and the new social and ethnic division in the core cities of the Italian industrial triangle, en Urban Studies, vol. 35 (3). [ Links ]
PIELOU, E. C., 1977, Mathematical Ecology. Wiley. New York. [ Links ]
RIBEIRO, L. C. Q. y L. C. LAGO, 1995, "Dinâmica urbana e novos padrões de desigualdade social", en São Paulo em Perspectiva, vol. 9, num. 2. [ Links ]
RODRIGUES, A. L., 2004, A pobreza mora ao lado: segregação socioespacial na região metropolitana de Maringá. Tesis Doctoral en Ciências Sociais. Pontifícia Universidade Católica de São Paulo. São Paulo. [ Links ]
RODRÍGUEZ, I. C., 2006, "Vivienda social latinoamericana: la clonación del paisaje de la exclusión", en ACE Arquitectura, Ciudad y Entorno, vol. 1, núm. 2. [ Links ]
RODRÍGUEZ, J. y C. ARRIAGADA, 2004, "Segregación residencial en la ciudad latinoamericana", en EURE, vol. 29, núm. 89. Recuperado el 31 de mayo de 2008, de http://www.scielo.cl/scielo.php?script=sci_arttext&pid=S0250-71612004008900001&lng=es&nrm=iso. [ Links ]
SABATINI, F., 2006, La segregación social del espacio en las ciudades de América Latina. Banco Interamericano de Desarrollo. Publicaciones. Estudios. Recuperado el 28 de julio de 2008, de http://www.iadb.org/index.cfm?language=Spanish. [ Links ]
SABATINI, F., G. CÁCERES y J. CERDA, 2001, "Segregación residencial en las principales ciudades chilenas: tendencia de las tres últimas décadas y posibles cursos de acción", en EURE, vol. XXVII, núm. 82. [ Links ]
SACHS, C., 1999, São Paulo: políticas públicas e habitação popular. Tradução de Cristina Murachco. Universidade de São Paulo. São Paulo. [ Links ]
SACRISTÁN, I. y J. ROCA, 2007, "Ciudad ensimismada, islarios defensivos frente a la otredad", en ACE: Arquitectura, Ciudad y Entorno, año II, núm. 5 octubre. Recuperado el 25 de mayo de 2008, de http://www-cpsv.upc.es/ace/Articles-n5/numero5_pdf/DEF19_IRUNE.pdf. [ Links ]
SCHELLING, T., 1978, Micromotives and macrobehavior, WN Norton & Company, Inc. New York. [ Links ]
SCHWARTZMAN, S., 1997, "Estatísticas da pobreza", en Revista Brasileira de Estatística, vol. 58, num. 209. [ Links ]
SMOLKA, M. O., 2003, "Informalidad, pobreza urbana y precio de la tierra", en Land Lines. vol. 15, núm. 1. [ Links ]
SOUZA, M. L., 2005, ABC do Desenvolvimento Urbano. Bertrand Brasil. Rio de Janeiro. [ Links ]
SOUZA, N. J. B. D., 2007, A destinação dos vazios urbanos nos bairros Ouro Preto e Serraria em Maceió para projetos de habitação de interesse social. Trabajo final de carrera en Arquitectura y Urbanismo, no publicado. Universidade Federal de Alagoas - UFAL. Maceió [ Links ].
VIDAL KOPPMANN, S., 2008, Mutaciones metropolitanas: de la construcción de barrios cerrados a la creación de ciudades privadas: balance de una década de urbanización privada en la región metropolitana de Buenos Aires. X Coloquio Internacional de Geocrítica. Diez años de cambios en el mundo, en la geografía y en las ciencias sociales, 1999-2008. Universidad de Barcelona. Recuperado el 01 de junio de 2008, de http://www.ub.es/geocrit/-xcol/96.htm. Barcelona. [ Links ]
WHITE, M. J., 1986, "Segregation and diversity measures in population distribution", en Population index, vol. 52, núm. 2. Recuperado el 12 de mayo de 2008, de http://www.jstor.org/stable/3644339. [ Links ]
1 Se refiere al Título VIII de la Civil Rights Act de 1968 que prohíbe la discriminación en la venta, el alquiler, el financiamiento de vivienda y de otras transacciones relacionadas con ella, en función de la raza, el color, la ascendencia nacional, la religión, el sexo, el tipo de familia o el niel de discapacidad.
2 Aunque los datos posteriores revelan, a diferencia de Sudáfrica, una reducción en esta injusticia social.
3 Una forma de relieve ubicado sobre laderas que generalmente abrigan asentamientos precarios.
4 A efectos de ganar robustez en los análisis estadísticos, y por tanto, representatividad de los mismos se han eliminado las secciones censales de escasa densidad demográfica (< 720 personas/km2) y población (< 200 personas), que por otra parte constituyen áreas rurales que, a pesar de estar inscritas en el término municipal, no forman parte del sistema urbano.
5 La información a la que se tuvo acceso se encuentra clasificaba en 10 grupos estos fueron agrupados en cinco clases con el objeto de generar análisis más simples. Para ello se tuvieron en cuenta las definiciones de pobreza de Scwartzman (1997), las del Programa de las Naciones Unidas para el Desarrollo y la Pesquisa de Orçamento Familiar (2003). Asimismo, se analizó, mediante el índice de segregación, la proximidad espacial entre cada uno de los grupos, con el objeto de unir los más afines.
Información sobre los autores
Carlos MARMOLEJO DUARTEY. Arquitecto por la UNAM, ha realizado su máster en la Universidad de Barcelona y el Doctorado en Gestión y Valoración Urbana en la Universidad Politécnica de Cataluña -UPC- (2001-2005) con mención de Dr. Europeo. Es premio extraordinario en Arquitectura y Urbanismo UPC (2007) y Generalitat de Catalunya (2006). Es profesor titular del Departamento de Construcciones Arquitectónicas I de la Escuela Técnica Superior de Arquitectura de Barcelona de la UPC, investigador del Centro de Política de Suelo y Valoraciones y editor de la Revista ACE. Ha participado como profesor invitado en la Universidad Carlos III (Madrid), el Lincoln Institute of Land Policy (Boston), Autónoma de Nuevo León (Monterrey), Universidad de Guadalajara (México), Politechnika Krakowska (Cracovia) y Nacional de Colombia (Bogotá). Ha publicado 21 artículos en revistas científicas indexadas y seis libros o capítulos de libro sobre los temas referentes a la estructura urbana, la valoración económica-social de la ciudad y las dinámicas de las áreas metropolitanas. Correo electrónico: carlos.marmolejo@upc.edu
Natália Júlia BATISTA-DÓRIA DE SOUZA. Arquitecta por la Universidad Federal de Alagoas UFAL Brasil (2002-2007), ha realizado sus estudios de máster en Gestión y Valoración Urbana en la Universidad Politécnica de Cataluña UPC. Su tesis de máster ha tenido por objeto estudiar la relación del proceso de segregación socio-espacial vinculado a la estructura urbanística de la ciudad de Maceió. Esos estudios han sido financiados por la Unión Europea a través del Programa AlBan. Entre los años de 2004-2006 participó como becaria de iniciación científica en la Pesquisa: Vazios Urbanos de Maceió: fronteiras e interstícios da Urbanização, realizada por el NEST Núcleo de Estudos do Estatuto da Cidade de la Universidade Federal de Alagoas UFAL. En ese período, trabajó la línea temática Apropiación, organización y gestión del espacio habitado. La investigación fue financiada por el Fundamento de Amparo à Pesquisa de Alagoas FAPEAL. Tiene nueve artículos publicados en revistas especializadas y anales de congresos y uno más en fase de evaluación. Su publicación más importante es Vazios Urbanos na Planície Litorânea de Maceió: o caso de Ponta Verde, Jatiúca e Cruz das Almas. (2006) Revista: Anais 58ª Reunião Anual da SBPC - Sociedade Brasileira para o Progresso da Ciência. Universidade Feral de Santa CatarinaUFSC. Correo electrónico: nataliajuliab@yahoo.com.br












