Servicios Personalizados
Revista
Articulo
Indicadores
-
Citado por SciELO -
Accesos
Links relacionados
-
Similares en
SciELO
Compartir
Papeles de población
versión On-line ISSN 2448-7147versión impresa ISSN 1405-7425
Pap. poblac vol.15 no.61 Toluca jul./sep. 2009
Estudio comparativo de la inserción laboral de los migrantes calificados de América Latina en Estados Unidos, 19902000*
Comparative study of the labor insertion of Latin American qualified migrants in the United States, 19902000
Juan Gabino GonzálezBecerril
Universidad Autónoma del Estado de México. Correo electrónico: gabino2000gb@hotmail.com
Resumen
Se presenta un estudio sobre la inserción laboral de los inmigrantes calificados de América Latina entre 1990 y 2000. La investigación se basa en una muestra del cinco por ciento del Censo de Población de Estados Unidos y toma como referente a los nacidos en Estados Unidos y la India. Se evalúa la inserción laboral de los inmigrantes calificados mediante la determinación comparativa. En la explicación de este fenómeno son tomados en cuenta aspectos de capital humano, demográfico y de contexto. Por medio de la aplicación de modelos de regresión logística se describe la probabilidad de inserción laboral.
Palabras clave: globalización, mercado de trabajo segmentado, ocupación calificada, ocupación no calificada, subutilización, India, Estados Unidos, Sudamérica, Centroamérica, Caribe, México.
Abstract
A study on labor insertion of Latin American qualified worker immigrants between 1990 and 2000; the researched in based on a sample of five percent of the US Population Census and takes as a referent those born in the United States and India. The labor insertion of qualified immigrants by means of comparative determination is evaluated; in the explanation of this phenomenon aspects of human capital, demographic and context are taken into account. By means of the application of logistic regression models the probability of labor insertion is described.
Key words: globalization, segmented labor market, qualified employment, unqualified employment, subutilization, India, United States, South America, Central America, Caribbean, Mexico.
Introducción
La migración de latinoamericanos a Estados Unidos está presentando nuevas características en años recientes. Entre esas novedades se observan nuevos patrones, tendencias, orígenes y calificaciones laborales. El objetivo de este artículo es analizar la inserción laboral de los inmigrantes latinoamericanos calificados (con licenciatura o más)1 en Estados Unidos, observando la manera en que su capital humano, características sociodemográficas y el contexto influyen en esa inserción. Para ello comparamos la inserción ocupacional2 de los latinoamericanos con la inserción laboral de los nacidos en Estados Unidos y la India3 en 1990 y 2000. Se busca responder las siguientes interrogantes: ¿cuáles son las características individuales y de contexto que facilitan o dificultan la inserción laboral de los trabajadores calificados latinoamericanos en el mercado laboral estadunidense? ¿Cuáles son las diferencias en la ocupación con respecto de los nacidos en Estados Unidos y los de la India?
La metodología que se usa en este análisis es de carácter descriptivo y comparativo. Se verifica la probabilidad de inserción en el mercado laboral estadunidense mediante la regresión logística y con base en información incluida en la muestra censal de 1990 a 2000.
Nuestra exposición consta de los siguientes puntos básicos: globalización y migración calificada, segmentación de la economía global, migración y mercado de trabajo segmentado e interpretación del modelo general de regresión logística y una breve discusión..
Globalización y migración calificada
En años recientes y dentro del contexto de la globalización se han planteado varios conceptos para referirse a la migración internacional calificada o científica, de ahí han surgido denominaciones como las siguientes: 'nómadas de alta tecnología' o 'nómadas mejor reticulados' (Beck, 1999), 'nómadas globalmente móviles', 'trabajadores en red o del sector de la información' (Castells, 1999; Castles, 2000; Rifkin, 2000; Hardt y Negri, 2002), 'comunidades trasnacionales de la ciencia' o 'expertos', 'paisajes étnicos' y 'paisajes de personas' (Beck, 1998), 'subelites, elites y superelites' (Tofler, 1999); 'elites del negocio o profesionales' (Rodríguez, 1999), 'think tank' (Ianni, 1998 y 1999), 'brainpower' (el conocimiento y la destreza son la única ventaja comparativa) (Porter, 1991); 'migraciones globales e integrados' (Beck, 2000), 'transeúntes' (Appleyard, 1992), 'clase capitalista trasnacional' (Sklaier, 2000), 'cosmopolitas', 'rebaño cibernético', 'personas con alto capital humano' (LópezBassols, 2002), 'fuga de cerebros, 'intercambio de cerebros' (OECD, 2001; Pellegrino, 2000; Ouaked, 2002), 'trabajadores de elites subordinados' (Portes, 2003), etcétera.
Estos términos se han elaborado desde distintas perspectivas y expresan la importancia que está adquiriendo la migración calificada en el mundo, toda vez que los procesos de globalización e integración económica han fortalecido los cambios estructurales de la actividad económica, principalmente en la industria y los servicios donde se hace uso intensivo de la tecnología. En este contexto, estudios recientes han intentado encontrar relación alguna entre la migración calificada y el impacto económico en países receptores, con ganancias en habilidades, ganancias en innovación, crecimiento económico, aumento de la productividad, reducción de la escasez de trabajo calificado, ahorro en gasto educativo, etcétera, y por parte de los países de origen, pérdida de capital humano, fuga de cerebros o provisión de habilidades tecnológicas (OCDE, 2001).
La globalización ha hecho que la migración calificada sea mucho más fácil, toda vez que ha mejorado la diseminación de la información, la masificación de la comunicación y el transporte, entre otros factores.4
Por otro lado, se ha incrementado el flujo de inversión en la región de Asia y América Latina. La globalización ha reforzado el movimiento de trabajadores calificados, sobre todo de quienes se mueven con la inversión extranjera directa y las multinacionales. Profesionales, personas altamente calificadas y técnicos son bienvenidos por muchos países que atraen inversión extranjera. Sin embargo, la inversión extranjera directa y el comercio se concentran en la denominada tríada: Norteamérica, Unión Europea y Asia. Esto podría impactar en el flujo (expulsión o recepción) de la migración calificada, debido a la actuación diferenciada, cooperación y divergencia de las economías de los países involucrados, todo lo cual afecta al movimiento de la población (Agosín, 1992: 31).
La globalización incrementa las disparidades económicas entre países. Stalker (2000) argumenta que el flujo de bienes de consumo y capital entre países ricos y pobres no es bastante grande como para crear suficientes empleos en países pobres. Por ejemplo, la disrupción social en ciertas comunidades obliga a que salgan en busca de trabajo en el extranjero.
También se ha dicho que el incremento del comercio puede reducir la migración a través de la creación de empleos adicionales y el crecimiento de la ocupación en los países de origen.5 Si la inversión y las multinacionales crean trabajos y aumenta el ingreso en los países de origen, esto podría disminuir la emigración. Teóricamente, otra posibilidad abierta es la globalización de los servicios y el comercio. El incremento de los servicios intensivos en habilidades y conocimientos abre nuevas oportunidades para trabajos con altos ingresos en los países de origen, y se esperaría que indujera a los trabajadores calificados a permanecer en su país. El crecimiento fenomenal en la exportación de software de la India es un caso ilustrativo.
Sin embargo, esto no ha sucedido en general; por el contrario, han aumentado las migraciones, lo cual es propio de la contradicción de la globalización económica. Por otra parte, la tendencia de los vínculos globales en todas las áreas geográficas y todos los grupos humanos también establece diferencias entre grupos humanos: algunos se convierten en miembros con pleno derecho en el nuevo orden global, mientras que otros son discriminados. Esto quiere decir que las migraciones internacionales están estrechamente vinculadas a los procesos de inclusión y exclusión. Un número importante de migrantes perciben su situación de discriminación económica y social, condición que los induce a abandonar su país, porque consideran que no queda lugar para ellos. Pero en ocasiones los inmigrantes calificados también sufren discriminación en los lugares de destino, debido a las desventajas económicas, derechos humanos, etcétera (Castles, 2000: 2).
En síntesis, la migración internacional de trabajadores calificados se ha incrementado y ha emergido como un proceso de gran relevancia. De hecho, durante el periodo económico reciente de los países desarrollados se ha incrementado fuertemente la demanda de trabajadores calificados respecto de los no calificados, especialmente en el sector de la tecnología de la información combinado con la aparente escasez de tales trabajadores en varios países desarrollados fomentado por varios gobiernos que han aplicado políticas tendentes a facilitar la entrada de trabajadores extranjeros calificados. Al mismo tiempo, las barreras al movimiento internacional del trabajador no calificado representan una curiosa asimetría de la globalización.
La segmentación de la economía global
La globalización económica no debe entenderse como planetaria, toda vez que no es una economía global que abarque todos los procesos económicos del planeta, pues no incluye a todos los territorios ni a todas las personas en sus trabajos, aunque sí afecta de manera directa e indirecta la subsistencia de la humanidad. Mientras que sus efectos alcanzan a todo el planeta, su operación y estructura reales atañen a segmentos de las estructuras económicas ubicados en determinados países y regiones, en proporciones que varían según posición particular de un país o región en la división internacional del trabajo (Castells, 1999: 129).
Lo anterior se puede observar con respecto a la migración internacional: mientras el segmento de los más educados se encuentra vinculado con la red global, hay sectores de migrantes discriminados, desconectados de los procesos que caracterizan a la economía global o informacional. Esto quiere decir que aunque la economía dominante afecte a la mayor parte de la migración, la mayoría de la gente que migra no lo hace ni trabaja para la economía global o del conocimiento. Este es uno de los rasgos de la manera en que opera la economía de la información en el mundo (Castells, 1999).
Lo anterior nos permite negar que exista una economía realmente global, pues de suceder eso existiría un mercado laboral global y una mano de obra global, y no es así. Esto es, aunque el capital fluye libremente en los circuitos electrónicos de las redes financieras globales, la movilidad del trabajo sigue siendo limitada y discriminada, y lo será en el futuro, a causa de las instituciones, la cultura, las fronteras, la política y la xenofobia. Sólo existe un mercado global para una fracción de la mano de obra, y ésta es la mano de obra calificada, distribuida en áreas de la investigación y el desarrollo (I+D) innovador, ingeniería de vanguardia, gestión financiera, servicios empresariales avanzados y ocio, que cambia y se conmuta de unos nodos de las redes globales que controlan el planeta a otros (Castells, 1999: 261).
Esto quiere decir que aun con la integración para los más dotados que se les ha denominado generadores/manipuladores de símbolos del ámbito más elevado del conocimiento (Castells los denomina trabajadores de las redes, mandos e innovadores) no habrá en el futuro un mercado de trabajo global, ya que la mayoría de los movimientos son de personas con baja calificación, azotados por la guerra, el hambre, las crisis económicas, etcétera (Castells, 1999: 262). Esto, en cierta forma, es la manifestación de la interdependencia global de la mano de obra en la economía informacional y esta interdependencia se caracteriza por la segmentación jerárquica del trabajo. En términos de Canales (2000), una característica de la actual estructura de las ocupaciones y actividades económicas es la creciente polarización y segmentación que la globalización estaría generando. Se trata de un doble proceso que incide en la estructura social, en el cual coexisten sectores económicos con empleos de alta calificación, ingresos elevados, estabilidad laboral, incorporación en procesos de toma de decisiones, etc., y empleos discriminados, expuestos a formas extremas de flexibilidad laboral y desregulación contractual. En este marco, la mano de obra migrante documentada e indocumentada calificada y no calificada tiende a ser un recurso para ocupar los puestos precarios o discriminados.
Migración y mercado de trabajo segmentado
Para analizar las aportaciones que pueden hacerse al análisis de las migraciones desde las teorías de la segmentación, habría que comparar éstas con otros planteamientos teóricos que han intentado abordar este fenómeno, sea en cómo se inicia, sea en cómo se perpetúa o se reproduce.
No lo haremos aquí porque Massey et al. (2000) ya han efectuado una revisión de las cuatro grandes teorías (o grupos de teorías) que proponen esquemas interpretativos de la iniciación de procesos de migraciones internacionales: la economía neoclásica, tanto en la teoría macroeconómica como en la micro; la nueva economía de la migración; la teoría del mercado dual de trabajo, y la teoría del sistema mundial. En ese mismo trabajo, Massey et al. hacen un análisis de las teorías que permiten explicar la perpetuación o consolidación de las migraciones internacionales una vez iniciadas: la teoría de las redes y la de la causación acumulativa.
Para explicar lo acontecido en Estados Unidos durante la década de 1990, podemos decir con estos autores que "la migración internacional tiene su origen en procesos de desarrollo económico y de transformación política en el contexto de una economía de mercado en proceso de globalización (teoría del sistema mundial)", y que
...en las naciones centrales, el desarrollo postindustrial lleva a una bifurcación del mercado de trabajo, creando un sector secundario de empleos mal pagados, en condiciones inestables y con escasas oportunidades de progreso (teoría del mercado dual de trabajo). Esta bifurcación es particularmente aguda en las ciudades globales, donde la concentración de pericia empresarial, administrativa y técnica conduce a una concentración de rentas y a una fuerte demanda auxiliar de servicios con salarios bajos (teoría del sistema mundial). Puesto que los nativos rehúyen los empleos del sector secundario, los empleadores se valen de trabajadores inmigrantes, y a veces mediante la captación, desencadenan directamente los flujos migratorios (teoría del mercado dual de trabajo) (Massey et al., 2000).
El planteamiento de Piore critica dos ideas falsas sobre el origen y desarrollo de la inmigración que están muy extendidas entre algunas capas de la opinión pública de los países receptores:
• Que los inmigrantes reemplazan a los trabajadores marginales nacionales sobre todo a la gente joven y a las mujeres casadas. Porque no hay pruebas de que esto ocurra: aunque comparten los sectores, los nativos se ubican preferentemente en puestos con determinadas condiciones que no son las mismas que las de los inmigrantes.
• Que los puestos que tienen los inmigrantes reemplazan de alguna forma a los puestos que tienen los nativos. Los trabajos de los inmigrantes "parece que entran en dos categorías. En una están los trabajos que complementan o, de hecho, hacen posibles los buenos trabajos que tienen los trabajadores locales. En la segunda categoría se encuentran los trabajos que complementan necesariamente las ocupaciones que tienen los trabajadores nacionales, pero que contribuyen al nivel de vida de grupos en mejor posición" (Piore, 1983).
Este planteamiento de Piore sobre los procesos migratorios (recogido ampliamente en Piore, 1979) parte de sus planteamientos sobre la segmentación del mercado de trabajo (SMT) o mercado dual de trabajo (MDT). La idea básica es que
el mercado de trabajo está dividido en dos segmentos esencialmente distintos, denominados los sectores primario y secundario. El primero ofrece puestos de trabajo con salarios relativamente elevados, buenas condiciones de trabajo, posibilidades de avance, equidad y procedimientos establecidos en cuanto a administración de leyes laborales y, por encima de todo, estabilidad en el empleo (Piore, 1983: 194)
Por su parte, los puestos del sector secundario tienden a estar mal pagados, a tener condiciones de trabajo deplorables y pocas posibilidades de ascenso,
al tener una relación muy personalizada entre los trabajadores y los supervisores que deja un amplio margen para el favoritismo y lleva a una disciplina laboral dura y caprichosa; y a estar caracterizados por una considerable inestabilidad de empleo y una elevada rotación de la población trabajadora (Piore, 1983: 194195).
Dentro del sector primario "como mínimo, parece útil reconocer una distinción entre un segmento superior y un segmento inferior (el primero) formado por trabajadores profesionales y directivos" (Piore, 1983: 195).
Pero lo que es fundamental de este planteamiento inicial del MDT es que el mercado de trabajo es un mercado segmentado, por eso preferimos la expresión SMT. El mismo Piore señalaba unos años después de la primera formulación sobre el MDT:
Cuando comenzamos, dimos el nombre de dualismo a esta pauta de segmentación social y económica. A medida que avanzamos, quedó patente que la importancia del dualismo no radica en que la sociedad esté dividida en dos segmentos autónomos y discontinuos, sino que la sociedad está dividida en segmentos y no de una manera continua. Para nuestra concepción no es esencial que haya dos o más protuberancias de ese tipo, si bien el número de segmentos no puede multiplicarse indefinidamente sin restablecer el continuo y volver al paradigma que hemos rechazado (Berger y Piore, 1980: 2).
La migración calificada en el mundo
A fines de la década de 1990, Carrington y Detragiache (1999: 46) se propusieron realizar una estimación de la magnitud de este fenómeno en los países de la OCDE, considerando a 61 países de origen en 1990 que, según sus evaluaciones, comprendían 70 por ciento de la población en vías de desarrollo.6 Las conclusiones de este trabajo evidenciaron que la información es limitada para la mayoría de los países y que Estados Unidos es el que lleva estadísticas más precisas sobre la población inmigrante. Los datos de Carrington y Detragiache (1999) pueden ser usados para medir la selectividad educacional y la pérdida acumulada.
La selectividad educacional es el porcentaje de migrantes internacionales con alta calificación. Los resultados presentados mostraron que una fracción importante de los inmigrantes calificados en Estados Unidos provenientes de Asia y África habían completado la educación terciaria7 (75 por ciento de los de la India, 53 por ciento de los coreanos, 50 por ciento de los chinos); entre las principales corrientes de migrantes educados hacia Estados Unidos están los africanos, egipcios, ghaneses y sudafricanos, de los cuales más de 60 por ciento habían concluido la educación terciaria, en tanto que 40 por ciento para jamaiquinos, y sólo 13 por ciento de los mexicanos presentaba ese nivel educativo (Carrington y Detragiache, 1999).
La pérdida acumulativa se mide a través de la proporción de los migrantes calificados de un país en particular. Los países que han tenido una pérdida acumulativa significativa de sus personas calificadas han sido Jamaica, Guyana, y Trinidad y Tobago. También los citados autores estimaron que los migrantes a Estados Unidos tienden a ser más educados que el promedio de las poblaciones que permanecen en los países de origen y que las tasas más altas de emigración se encuentran entre los que tienen educación terciaria.
En otro estudio se ha estimado que el stock de la migración calificada en 1990 representaba 33 por ciento del total de la inmigración en los países que conforman la OCDE, y que solamente nueve por ciento de la fuerza de trabajo mundial tenía educación terciaria. Entre 1990 y 2000, el porcentaje de inmigrantes calificados se incrementó en 37 por ciento. Las proporciones de la emigración calificada son más impresionantes para África y Asia, por ejemplo:
• El 23 por ciento de inmigrantes africanos habían concluido su educación terciaria en 1990 y el 31.4 por ciento en 2000;
• El 43.5 por ciento de inmigrantes asiáticos habían concluido su educación terciaria en 1990 y el 47.2 por ciento en 2000;
• El 27.6 por ciento de los emigrantes latinoamericanos (incluyendo a Centroamérica y el Caribe) habían concluido su educación terciaria en 1990, y 28.1 por ciento, en 2000. La tasa de emigración para los mexicanos con educación terciaria pasó de 11.4 por ciento en 1990 a 14.3 por ciento en el año 2000. En cuanto al stock de la emigración de trabajadores calificados según país de origen, México (con 901 347 inmigrantes calificados) ocupa el sexto lugar. Le anteceden Reino Unido (1 542 011 personas), Filipinas (1 260 879 personas), India (1 260 613 personas), Alemania (1 016 007 personas) y China (906 337 personas) (Docquier y Marfouk, 2002: 22).
Esto indica que la fuga de talentos aumentó entre 1990 y 2000 en todo el mundo, incluyendo México y América Latina. Es decir, cada vez más trabajadores de países en desarrollo migran hacia países desarrollados. Hay importantes migraciones intrarregionales de trabajadores calificados en Europa, los países de América y Asia. Los países como Canadá, Francia, Alemania, Suecia y Reino Unido son importantes fuentes de migrantes calificados temporales a Estados Unidos (por ejemplo, estudiantes de postdoctorado, investigadores y transferencias a nivel de empresas), pero menor en términos de migración calificada permanente, sugieren más un patrón de circulación de talentos que a una fuga de talentos. Entre algunos países de la OCDE tales como Canadá, Francia y Alemania, la evidencia indica que la fuga de talentos ha sido sobrestimada notablemente porque la tasa de retorno es alta y porque estos países son receptores de extranjeros altamente calificados. Por ejemplo, una encuesta mostró que en 1999 solamente siete por ciento de los franceses graduados de doctores tres años antes trabajaban en el extranjero y muchos de ellos tenían planes de regresar a Francia en ese momento.
Metodología y fuentes de información
Las bases de datos utilizadas fueron las muestras censales de 1990 y 2000 de Estados Unidos, cada una de las cuales contiene cinco por ciento de los hogares. El Buró del Censo prepara muestras basadas en áreas que tienen que ver con estado, condado y colonia, que considera 15 por ciento de los cuestionarios. Debemos comentar que las variables han sido homogenizadas por el Minessota Population Center y ello permitirá hacer comparación en los dos puntos en el tiempo que cubre nuestro estudio. La construcción de la base de datos se hizo tomando al nivel educativo de quienes tenían entre 15 y 64 años de edad para discriminar por sexo, lugar de nacimiento, etc. También debemos comentar que se tomó como grupo de referencia a los inmigrantes calificados de la India por ser en su mayoría personas de mayor calificación y quienes nacieron en Estados Unidos como grupo de referencia principal. Grosso modo podemos decir que el cuadro 1 expresa un incremento en el número de casos de los inmigrantes calificados en Estados Unidos y sobre ello versa nuestra descripción.

Se aplicaron cuatro modelos distintos de regresión logística. Primero tenemos un modelo general, el cual expresa la inserción laboral de los migrantes calificados en Estados Unidos. También se agregó un modelo para nacidos en Estados Unidos, para los de la India, los de México, Sudamérica y otro más para Centroamérica y el Caribe. El modelo general se expresa de la siguiente manera: sea Y la variable dependiente binaria (ocupación calificada y no calificada) que toma dos valores posibles etiquetados como 0 y 1.
Variable de capital humano: x1 = nivel educativo, x2= dominio del inglés, x3 = años en Estados Unidos
Variables sociodemográficas: x4 = edad, x5 = sexo, x6 = estado civil.
Variable de contexto: x7 = residencia en área metropolitana, x8 = rama de actividad. Son el conjunto de variables independientes observadas con el fin de explicar y predecir el valor de la ocupación (calificada/no calificada).
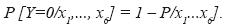
El objetivo es determinar:

Donde Ρ indica probabilidad, por tanto,

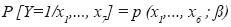
Se construye un modelo de la forma:

Donde:

Es una función que recibe el nombre de función de enlace (función de probabilidad) cuyo valor depende de un vector de parámetros β = (β1,..., β6).
Los modelos de regresión logística aplicados para los casos de México, Sudamérica, Centroamérica y el Caribe y la India incluyen las variables de capital humano (nivel educativo, dominio del inglés y años en Estados Unidos), las demográficas (sexo, edad y estado civil) y las de contexto (área de residencia y sector de actividad). En el caso de la función de regresión para Estados Unidos se excluye la variable relacionada con los años en dicho país.
El modelo se apoya en el esquema de mercado laboral segmentado, que se verá favorecido u obstaculizado según el capital humano, sus características sociodemográficas y las condicionantes que tienen que ver con el contexto de los lugares de destino de los inmigrantes calificados. Como hemos referido anteriormente, este marco teórico se puede aplicar en el proceso de la ocupación desde una perspectiva multinomial o bimodal en el mercado de trabajo. Es decir, lo que entendemos como 'inserción laboral' en este trabajo es la posibilidad (probabilidad) de estar trabajando en una ocupación, calificada o no. Dicha posibilidad está afectada por los factores de capital humano, características individuales y de contexto.
Resultados
Para la interpretación de los coeficientes decimos que si los resultados son positivos, quiere decir que aumenta la probabilidad de insertarse en un trabajo calificado, y si son negativos significa lo contrario; no obstante, debe aclararse que los resultados aquí expuestos no son concluyentes en virtud de que aún falta una revisión exhaustiva de las probabilidades de la inserción. Con esta acotación, la descripción de los coeficientes del nivel de escolaridad de los modelos para nacidos en Estados Unidos, la India, México, Sudamérica, Centroamérica y el Caribe tiene un peso significativo en la explicación de la inserción laboral en trabajos calificados. Se puede observar que las mayores probabilidades de que los trabajadores calificados se inserten en un empleo de acuerdo con sus capacidades recaen invariablemente en nacidos en Estados Unidos y la India. Esto quiere decir que las probabilidades de insertarse en algún trabajo calificado son menores para los grupos de mexicanos, sudamericanos, centroamericanos y caribeños.
El coeficiente que se refiere a la variable 'dominio del inglés' de los modelos en general indica que ésta tiene un peso poco significativo en la inserción ocupacional de los inmigrantes no siendo así la que hace referencia al tiempo de permanencia en Estados Unidos. La probabilidad es mayor para los indios, seguidos de los sudamericanos y mexicanos.
Los coeficientes derivados de las características sociodemográficas que se incluyeron en los modelos de regresión logística para todos los grupos aquí analizados no aportan datos significativos en la explicación de la inserción laboral de los inmigrantes calificados en Estados Unidos durante el periodo de 1990 y 2000. La única excepción serían las edades de más de 45 a 54 años para los nacidos en la India y los mayores de 25 a 34 años de edad para quienes nacieron en México, cuyas probabilidades son mayores que las de todos los demás grupos etáreos por nacionalidad.
Los coeficientes relacionados con el área de residencia de los inmigrantes calificados latinoamericanos en Estados Unidos entre 1990 y 2000 son significativos sólo para el caso de los mexicanos y los sudamericanos en el último momento de referencia. Esto quiere decir que a una mayor exposición en el área urbana sus probabilidades de insertarse en un trabajo calificado aumentan para ellos, no siendo así para los indios, los estadunidenses no hispanos, y los centroamericanos y caribeños.
Los coeficientes que miden el contexto de las transformaciones y laborales en Estados Unidos son positivos para los que nacieron en Estados Unidos y los de la India en aquellos sectores del mercado laboral que hacen aportaciones críticas a la economía. Estos sectores se refieren a los sectores de servicios relacionados con la producción, la transformación y sectores que tienen que ver con la administración pública. Y resultan negativos para quienes nacieron en México en cuanto a sus probabilidades de inserción laboral en aquéllas actividades económicas que requieren mayor calificación.
Por lo que toca a la significación estadística de las variables estudiadas (exponente β o momios), los modelos de regresión logística indican que el nivel educativo, los años en Estados Unidos, el área de residencia y el sector de actividad son mayores a uno, por tanto, son factores que explican la mayor probabilidad de insertarse laboralmente en ocupaciones calificadas. Las betas de las variables demográficas en el modelo general (edad, sexo y estado civil) son menores a uno, por tanto, son factores que no resultan relevantes para explicar la probabilidad de inserción laboral en ocupaciones calificadas.
Las betas del modelo para los nacidos en Estados Unidos muestran que el capital humano (nivel educativo) y situación del mercado laboral son mayores a uno, por tanto, constituyen factores que explican la probabilidad de estar trabajando en ocupaciones calificadas. Los comportamientos de las betas de edad, sexo y estado civil son factores que disminuyen la probabilidad de estar en ocupaciones calificadas.
Las betas del modelo indio indican una situación similar a las dos citadas anteriormente. Es decir, el peso de las variables de nivel educativo, años en Estados Unidos, estado civil y sector de actividad son fundamentales para explicar la inserción laboral de los inmigrantes calificados provenientes de India.
Las betas del modelo mexicano indican que las variables de mayor peso explicativo de la inserción laboral son el nivel educativo, los años en Estados Unidos, los intervalos de edad inicial, su residencia en área metropolitana y el sector de actividad.
Para el modelo sudamericano, el mayor peso recae en el nivel educativo, años en Estados Unidos, residencia en áreas metropolitanas y sector productivo de actividad económica.
Para Centroamérica y el Caribe, el valor de los momios mayores a uno se presentan en la escolaridad, años en Estados Unidos (11 a 15 años) y los sectores de actividad de transformación, los servicios de distribución y de la producción.
Discusión
Queda documentada la existencia de un incremento, en términos absolutos, de los inmigrantes calificados de América Latina en Estados Unidos entre 1990 y 2000, sobretodo en años recientes, como lo muestran las gráficas 1 y 2, derivadas de la Encuesta Continua de Población de Estados Unidos. Esto ha sido producto del subdesarrollo y la asimetría que profundizan la migración calificada en el contexto de la globalización segmentada. Hay una pérdida de capital humano cuyas potencialidades desearíamos que se plasmaran en el desarrollo nacional y regional. La migración de talentos expertos en tecnología, científicos, académicos, estudiantes, empresarios y profesionales en general que son un recurso económico importante que crea nuevos bienes, servicios, ideas y riqueza.

La pérdida permanente de capital intelectual representa una descapitalización estratégica para los países como México y el resto de América Latina, que están en vías de desarrollo. En los hechos, esa pérdida de capital humano constituye una nueva forma de subsidio que el Sur le concede al Norte, aunque ahora en forma de conocimiento y recursos humanos.
Con la regresión logística logramos los objetivos de identificar los factores asociados a la inserción en ocupaciones calificadas de los mexicanos en Estados Unidos. Nuestra atención se centró en el capital humano, las características sociodemográficas y las condiciones de contexto en el país de destino que afectaron la capacidad de inserción de los inmigrantes en el mercado de trabajo estadunidense entre 1990 y 2000. En el modelo se muestra que de las variables que tienen que ver con capital humano, las demográficas y el contexto son las que tienen un mayor peso en la explicación de la probabilidad de hallar una ocupación calificada. Sin embargo, nuestro hallazgo tiene que buscar otras explicaciones de la menor probabilidad de insertarse en trabajos calificados respecto del resto de los grupos de trabajadores calificados aquí analizados. Es decir, se deben buscar los procesos de discriminación y exclusión institucional. También es necesario buscar explicaciones en las redes sociales. Estas variables adicionales podrían sesgar la inserción laboral de nuestros connacionales. Es decir, que una parte importante de los migrantes mexicanos y latinoamericanos son de baja calificación y estos contactos de migrantes calificados mexicanos hacen que ingresen en ocupaciones que requieren una menor calificación. Esto nos lleva a decir que existen situaciones de subempleo o desperdicio de talento de los trabajadores calificados latinoamericanos que desempeñan ocupaciones que nada tienen que ver con sus estudios, capacitación profesional o actividades previas.
El modelo de regresión logística binaria aplicado a los datos de los trabajadores calificados de la India presenta resultados similares en lo tocante al peso de los factores de inserción laboral. Sólo que las probabilidades de inserción laboral en puestos de trabajo calificados son más altas que las de los mexicanos, por ejemplo, para los indios que tenían licenciatura era de 11.9 en 2000, en tanto que la de los mexicanos fue de 2.80. Sin embargo, las variables que presentan un peso significativo en la inserción laboral de ellos son las de capital humano, lugar de residencia y el contexto.
En relación con el modelo de regresión logística binaria de los trabajadores calificados nacidos en Estados Unidos (grupo de referencia), si consideramos a este grupo de trabajadores como el referente principal de comparación, tenemos que los trabajadores de la India incluso están en mejor posición que los nacidos en Estados Unidos y mucho mejor que los trabajadores calificados mexicanos y los de Centroamérica y el Caribe. En cuanto a los inmigrantes mexicanos calificados, se observa el mismo patrón en cuanto al peso de las variables en la inserción, pues las variables que tienen un mayor poder explicativo son las de 'capital humano' y 'contexto'. La diferencia es que los indicadores de probabilidad están por debajo de los de los indios y por arriba de los nacidos en el resto de América Latina.
Se verificó que ciertos factores tienen más peso que otros al convertirse en una ventaj a o desventaja para los migrantes mexicanos, centroamericanos y caribeños calificados que no se insertan en ocupaciones calificadas, pero sí en una probabilidad mayor en situación de alta subordinación o de alta subutilización de sus capacidades por discriminación, que pudo verse expresada en la ocupación. Esta situación es negativa para los migrantes altamente calificados, ya que sus habilidades no tienen un uso adecuado en Estados Unidos. Esto es conocido por algunos autores como el brain waste. Muchos inmigrantes de México y América Latina, por ejemplo, se encuentran ocupados en actividades que no corresponden a sus habilidades. Muchos latinoamericanos y mexicanos tienen grado de universidad o más y buen nivel de inglés, pero sus niveles de ocupación e ingresos no corresponden con su educación.
Una dificultad que los inmigrantes mexicanos y del resto de América Latina han tenido en la inserción ocupacional y en su promoción ha sido frecuentemente el resultado de que las personas altamente calificadas sólo realizan trabajos que no requieren altas calificaciones, por ejemplo, profesores que son conductores de carros, o ingenieros que son operadores de elevadores. La renuencia a reconocer su calificación en el extranjero es claramente una frustración muy costosa para los inmigrantes, porque además representa una pérdida para el país de origen, en este caso para América Latina y México. Una serie de estudios ha mostrado que el reconocimiento de la habilidad profesional y calificación son asuntos complicados. Las restricciones son altas para profesiones como la medicina, odontología, leyes y arquitectura, entre otros, en donde los inmigrantes pueden ser bloqueados completamente en sus áreas de formación y experiencia.
La subutilización del capital humano de los inmigrantes calificados latinoamericanos puede diferenciarse de acuerdo con elementos que permitan identificarlos con la información presentada: la subutilización del capital humano de los inmigrantes desde el punto de vista de la diferencia ocupacional. Los trabajadores desfavorecidos se ven obligados, por la discriminación, a ocupar empleos secundarios, siendo una de las características la inestabilidad y los bajos salarios.





Bibliografía
AGOSÍN, Manuel, 1996, Inversión extranjera directa en América Latina: su contribución al desarrollo, BID/FCE, Santiago de Chile. [ Links ]
APPLEYARD, Reginald T., 1992, Migración internacional y desarrollo: una relación por resolver, Ponencia del Seminario sobre Migración, en Migración y Desarrollo 10, Celebrada del 15 al 17 de septiembre de 1992, OIM. Ginebra. [ Links ]
BECK, Ulrich, 1998, ¿Qué es la globalización? Falacias del globalismo, respuestas a la globalización, Paidós, Estado y Sociedad, Barcelona. [ Links ]
BECK, Ulrich, 2000, La precariedad del trabajo en la era de la globalización, Paidós, Estado y Sociedad, Barcelona. [ Links ]
BECKER, Gary, 1964, Human capital: a theoretical and empirical analysis, with special reference to education, National Bureau of Economic Research, Nueva York. [ Links ]
BERGER, Susan y Michael PIORE, 1980, Dualism and discontinuity in industrial societies, Cambridge University Press. [ Links ]
CANALES, Alejandro, 2002, "La inserción laboral de los migrantes mexicanos en la nueva economía de Estados Unidos", en Jesús ARROYO et al., El Norte de todos: migración y trabajo en tiempos de globalización, Universidad de Guadalajara, UCLA Programa en México, PROFMEX, Juan Pablos Editor, Guadalajara. [ Links ]
CARRINGTON, W. y Enrica DETRAGIACHE, 1998, How big is the brain drain. International Monetary Fund Working Paper 98/102 Washington. [ Links ]
CASTELLS, Manuel, 1999, La era de la información. Economía, sociedad y cultura. La sociedad en Red, vol. I, Siglo XXI, México. [ Links ]
CASTLES, Stephen, 2000, Transnational communities: challenge to social order or new mode of immigrant incorporation?, paper presented at 5th International Metropolis Conference, Vancouver (http://www.international.metropolis.net) [ Links ]
CASTLES, Stephen, 2002, Globalization and inmigration, Paper en el Internacional Symposium on Inmigration Policies in Europe and the Mediterranean, Barcelona. [ Links ]
CURRENT POPULATION SURVEY, disponible en la página de la Minnesota Population Center de la Universidad de Minnessota, http://www.ipums.umn.edu/. [ Links ]
DOQUIER, Frédéric y Abdeslam MARFOUK, 2004, Measuring the international mobility of skilled workers (19902000), World Bank, en www.worldcatlibraries.org/wcpa/ow/8daf1ff201609f47a19afeb4da09e526.htm, Washington , D.C. [ Links ]
HARDT, Michael y Antonio NEGRI, 2002, Imperio, Paidós, Estado y Sociedad, Buenos Aires. [ Links ]
IANNI, Octavio, 1998, La sociedad global, Siglo XXI, México. [ Links ]
IANNI, Octavio, 1999, Teorías de la globalización, Siglo XXI, UNAM, México. [ Links ]
LÓPEZBASSOLS, Vladimir, 2002, "ICT Skills and Employment" en Organisation for Econimic CoPeration and Development, París. [ Links ]
MASSEY, Douglas, Joaquin ARANGO, Hugo GRAEME, Ali KOUAOUCI, Adela PELLEGRINO y Edward TAYLOR, 2000, "Teorías sobre migración internacional: una reseña y una evaluación", en Trabajo, año 2, núm. 3, CAT/ UUA/UNAM/Plaza y Janés. [ Links ]
MINCER, Jacob, 1974, Schooling, experience and earning, National Bureau of Economic Research, Nueva York. [ Links ]
OECD, 2001, Employment outlook, disponible en http://www.oecd.org/document/49/0,2340,en_2649_37457_1911857_1_1_1_37457,00.html. París. [ Links ]
OUAKED, Said, 2002, "Transatlantic roundtable on high skilled migration and sending countries issues", en International Migration, vol. 40 (4), Blackwell, Oxford. [ Links ]
PELLEGRINO, Adela, 2000, "Drenaje, movilidad, circulación: nuevas modalidades de la migración calificada", en Simposio sobre Migración Internacional en las Américas, ONUCepal, Santiago de Chile. [ Links ]
PIORE, Michael, 1979, Birds of passage: migrant labor and industrial societies, Cambridge University Press, Londres. [ Links ]
PIORE, Michael, 1983, "La importancia de la teoría del capital humano para la economía del trabajo; un punto de vista disidente", en L. TOHARIA, El mercado de trabajo: teoría y aplicaciones, Alianza, Madrid. [ Links ]
PORTER, Michael, 1991, La ventaja competitiva de las naciones, Javier Vergara Editor, Barcelona. [ Links ]
PORTES, Alejandro, 2003, "La persistente importancia de las clases: una interpretación nominalista", en Estudios Sociológicos, vol. XXI, núm. 61, El Colegio de México, México. [ Links ]
RIFKIN, Jeremy, 2000, El fin del trabajo. Nuevas tecnologías contra puestos de trabajo: nacimiento de una nueva era, Paidós, Estado y Sociedad, Barcelona. [ Links ]
RIFKIN, Jeremy, 2000, La era del acceso. La revolución en la economía, Paidós, Estado y Sociedad, Barcelona. [ Links ]
RODRÍGUEZ, Octavio, 1999, "Política y neoliberalismo",en John SAXEFERNÁNDEZ, Globalización: crítica a un paradigma de (coord.), UAM, IEE, DGAPA, Plaza y Janés, México. [ Links ]
SKLAIR, Leslie, 2000, The trasnacional capitslist class: intregrating the maquila industry into the global capitalist system, en conferencia presentada en el congreso Libre comercio, integración y el futuro de la industria maquiladora, El Colegio de la Frontera Norte, Tijuana. [ Links ]
STALKER, Peter, 1996, The work of strangers: a survey of internacional labour migration, ILO, Genova. [ Links ]
TIENDA, Martha y Patricia GUHLEMAN, 1985, The occupational position of employed Hispanic women, en Goerge BORJAS y Martha TIENDA (eds.), Hispanic in US economy, pp. 243273, Academia Press, Orlando. [ Links ]
TOFLER, Alvín, 1999, La tercera ola, Plaza y Janés, Barcelona. [ Links ]
* Trabajo presentado en el III Congreso de la Asociación Latinoamericana de Población, ALAP realizado en Córdoba Argentina, del 24 al 26 de septiembre de 2008.
1 Utilizaremos en este trabajo el nivel de escolaridad como una variable empírica aproximada para diferenciar los niveles de calificación. Estamos refiriéndonos a la variable de educación, que es usualmente categorizada como último grado de escolaridad obtenida, variable que nos permitirá distinguir en el análisis sexo, edad, estado civil, etcétera.
2 En la literatura sobre migración calificada se han usado categorías analíticas como las de 'profesionales, técnicos y afines', 'ciencia y tecnología', 'tecnología de la información' (IT), entre otras. En este estudio se decidió aplicar como variable dependiente la categoría de 'profesionales, técnicos y afines' (Pellegrino, 2000; Villa y Martínez, 2001; Stalker, 2000), toda vez que se trata de la categoría analítica aplicada en los censos nacionales de América Latina y Estados Unidos para clasificar a la población económicamente activa.
3 Denominamos 'indios' a los nacidos en la República de India.
4 La expansión reciente de las redes de comunicación a nivel global la conexión por teléfono, la fuente satelital y tiendas de video, etc. ha tenido un profundo efecto en las sociedades menos prósperas. Se han ampliado los horizontes y se incrementaron las expectativas y las diferencias culturales tienden a disminuir. Las imágenes llevadas por tales medios de comunicación son parciales o definitivamente falsas; sin embargo, llevan un potente mensaje acerca de las ventajas y desventajas experimentadas por las personas que viven en los países desarrollados (OCDE, 2001).
5 Sin embargo, en los países expulsores de trabajadores calificados, el mercado de trabajo presenta una alta rigidez, que crea condiciones de altas tasas de subempleo de personas altamente calificadas, y por consiguiente, bajos ingresos para este sector. Por ejemplo, las enfermeras, por la estrechez del mercado de trabajo en su lugar de origen, trabajan en hospitales por las noches, y durante los fines de semana, en casas privadas, lo cual permite que incrementen sus ingresos, o bien, algunas optan por migrar a países industrializados.
6 Los citados autores definen a las personas calificadas como aquéllas que tenían más de 12 años de escolaridad (Carrington y Detragiache, 1999:47).
7 Barros y Lee (1993, citado en Martín, 2003: 5) definen a la migración de baja calificación como la de quienes tenían 0 a 8 años de escolaridad (la denominaron educación primaria), a quienes tenían de 9 a 12 años de escolaridad los definieron como trabajadores con habilidades medias y son aquéllos con educación secundaria, y los trabajadores calificados son aquéllos que tenían una educación de 13 años o más de escolaridad, a los cuales denominaron trabajadores calificados con educación terciaria. Dicha definición en cierta forma coincide con lo planteado por Carrington y Detragiache, 1999.
Información sobre el autor
Juan Gabino González Becerril. Es economista, egresado de la Facultad de Economía de la Universidad Autónoma del Estado de México (Uaemex) y con maestría en Estudios de Población por el Colegio de la Frontera Norte. Ha concluido el Programa de doctorado en Estudios de Población en el Colegio de México. Ha sido articulista del periódico El Financiero, de revistas científicas mexicanas con temas de informalidad, urbanización y crecimiento demográfico, migración interna e internacional. Además, ha publicado libros con este último tema, poniendo énfasis en el Estado de México. Ha sido profesor de asignatura en las facultades de Geografía, Economía, Planeación Urbana y Ciencias Políticas de la Uaemex. También ha participado como docente en el Instituto Nacional de Administración Pública (INAP), El Colegio de Michoacán y la Universidad de Antioquia, Colombia. Ha sido ponente en congresos y reuniones nacionales e internacionales sobre población, específicamente, con temas de la migración internacional. Es miembro activo de la Sociedad Mexicana de Demografía (Somede), de la Asociación Mexicana de Estudio del Trabajo (AMET) y de la Population Association of America (PAA). Labora actualmente como profesor de tiempo completo en el Centro de Investigación y Estudios Avanzados de la Población (CIEAP) de la Universidad Autónoma del Estado de México y es el director de la revista Papeles de Población que se edita en el mismo centro.













