Introducción
El cambio climático (CC) y la pérdida de biodiversidad son los problemas más apremiantes y complejos que enfrenta la humanidad en el siglo XXI (IPCC, 2014; Watts, Amann, Arnell, Ayeb-Karlsson et al., 2019; Naciones Unidas, 2015). Comprender el CC y generar acciones para enfrentarlo no solamente demanda de conocimiento científico proveniente de las ciencias del clima, física, biología, etcétera, también precisa de las ciencias sociales. Es necesario conocer, entre otros asuntos, cómo la sociedad representa este fenómeno y cómo y porqué actuamos o no ante sus impactos, para saber cómo comunicar adecuadamente el CC. En el ámbito educativo, también se plantean cuestionamientos acerca de qué procesos de enseñanza-aprendizaje son pertinentes, cómo generar resiliencia social y cómo incorporar el CC en el currículo (Bangay y Blum, 2010; Henderson, Long, Berger, Russell et al., 2017; Stevenson, Nicholson y Whitehouse, 2017). Estos cuestionamientos han desembocado en diversas propuestas orientadas a la educación para el cambio climático (EpCC), con variados enfoques: alfabetización climática, educación para la descarbonización y educación para la resiliencia, principalmente (García-Vinuesa y Meira-Cartea, 2019; Monroe, Plate, Oxarart, Bowers et al., 2019).
En el campo de la investigación educativa han surgido diversas líneas de estudio. Por ejemplo, se ha estudiado cómo el alumnado comprende y actúa ante el CC y de qué manera la educación formal incide en tal comprensión (Bello Benavides, Meira Cartea y González Gaudiano, 2017; González Gaudiano y Maldonado González, 2013; Henderson et al., 2017). Como consecuencia de la producción científica en este campo han surgido estudios meta-analíticos (García-Vinuesa y Meira-Cartea, 2019; Prosser Bravo y Romo-Medina, 2019) que revelan, por una parte, múltiples desafíos educativos (formación de profesorado, trascender de la alfabetización científica a la gestión de prácticas resilientes, transversalización de la EpCC, entre otros), a fin de generar aprendizajes sobre el CC que incidan en las acciones de mitigación y adaptación ante el fenómeno por parte de la población. Por otra parte, coinciden en que, si bien los estudios en este campo han aumentado paulatinamente, aún son escasos si se comparan con los reportados en otros de la educación como políticas públicas, evaluación, didáctica, etc.1
De manera simultánea, las Partes que conforman la Convención Marco de las Naciones Unidas sobre el Cambio Climático han incorporado, a través de sus sistemas educativos, la EpCC como respuesta a los acuerdos signados, como en el caso de México (SEP, 2017). Uno de los acuerdos más destacados en términos de mitigación y adaptación es el Acuerdo de París (Convención Marco de las Naciones Unidas sobre el Cambio Climático, 2015) que, además, resalta la importancia de la comunicación y educación en estos procesos. En su artículo 12 enfatiza el papel de la EpCC a fin de generar procesos de sensibilización y participación de la población en acciones de respuesta al CC.
En el mismo tenor, las instituciones de educación superior (IES), como integrantes centrales de los sistemas educativos, tienen una tarea preponderante en tanto formadoras de profesionistas en múltiples campos del conocimiento (Gutiérrez Pérez y González Dulzaides, 2005), capaces de enfrentar variados desafíos, entre ellos, los socioambientales, como el CC.
El cambio climático en las instituciones de educación superior
La incorporación del CC en las IES tiene antecedentes en las acciones educativas sobre desarrollo sustentable. Estas han sido impulsadas, principalmente, por organismos internacionales como la Unesco (2017) y la Asociación Internacional de Universidades (IAU, por sus siglas en inglés); esta última, en 1993, signa la Declaración de Kyoto sobre Desarrollo Sostenible (IAU, 1993). Estos organismos instan a las IES a impulsar en sus agendas académicas acciones orientadas a fortalecer sus funciones sustantivas y contribuir en la tarea de un mundo sostenible. La Unesco (2017), por ejemplo, lo hace a través del objetivo de desarrollo sostenible 13: acciones por el clima. La Asociación Nacional de Universidades e Instituciones de Educación Superior (ANUIES) incluye, en el documento Visión y acción 2030 (ANUIES, 2018), 8 de los 17 objetivos del desarrollo sostenible para ser atendidos prioritariamente por las IES; entre ellos, el 13.3, relativo a Acciones por el Clima: “Mejorar la educación, la sensibilización y la capacidad humana e institucional respecto de la mitigación del cambio climático, la adaptación a él, la reducción de sus efectos y la alerta temprana” (Naciones Unidas, 2015: 33).
Estudios acerca de la incorporación de la EpCC en las IES revelan datos para profundizar en investigaciones y generar propuestas educativas. En cuanto al nivel de alfabetización climática en estudiantado universitario, Meira-Cartea, Gutiérrez-Pérez, Arto-Blanco y Escoz-Roldán (2018) destacan que la formación universitaria incide en la alfabetización climática en conocimientos sobre las causas y procesos físicos del CC, no así en lo relacionado con las consecuencias y las acciones de respuesta. En cuanto a la incorporación de la EpCC en los currícula, estudios como los de Marrero, Guerra Salcedo, Morales Crespo y Rifa Téllez (2019) apuntan hacia enfoques pedagógicos orientados a la acción; esto es, a incorporar contenidos sobre el CC afines a las diversas experiencias educativas para su aplicabilidad en el campo laboral. Por su parte, González Gaudiano (2019) destaca la importancia de la incorporación de la EpCC en los currícula desde perspectivas inter y transdisciplinarias, en virtud de la complejidad del fenómeno. Sánchez y Murga (2019) y Vilches y Gil (2012) enfatizan la importancia de los procesos de formación académica en asuntos ambientales.
Estudios como los de O’Neill y Hulme (2009) y Sauvé (2014) plantean vincular la comprensión del CC con acciones de respuesta. Respaldando esta idea, Romero Sánchez Luque y Meira Cartea (2018) ponen en el centro de la discusión la construcción de un currículo basado en procesos educativos con enfoques de enseñanza para la acción. Otros más (González Gaudiano y Maldonado González, 2013; Marrero et al., 2019; Meira-Cartea et al., 2018; Stevenson et al., 2017) apuntan a la necesidad de impulsar enfoques educativos que trasciendan la alfabetización climática y se orienten a la comprensión del CC, considerando su complejidad y la participación comunitaria, y tengan en cuenta los aprendizajes socioculturales.
En tal virtud, la investigación que aquí presentamos tuvo como propósito analizar e indagar posibles diferencias en las representaciones sociales (RS) sobre el CC, así como las prácticas educativas desplegadas sobre este fenómeno por profesores de la Universidad Veracruzana (UV) de la región Poza Rica-Tuxpan, pertenecientes a cuatro áreas académicas: Técnica, Económico-administrativa, Ciencias de la salud y Humanidades. El supuesto de investigación fue que las RS del CC de los docentes, en los cuatro grupos de estudio, son similares, aunque pueden presentar algunas diferencias por área académica, que incidan en sus prácticas educativas; estas últimas las consideramos actividades que se inscriben en el campo de la actitud, de acuerdo con la teoría social de las representaciones sociales (RS) de Moscovici (1979).
El referente teórico al que nos adscribimos en esta investigación es la noción de RS (Moscovici, 1979; Jodelet, 2000), el cual articulamos con el de prácticas educativas (Valladares, 2017). Las RS son construcciones sociales que permiten a los integrantes de un colectivo comprender su realidad acerca de un objeto social, en este caso el CC, así como sus implicaciones en términos de vulnerabilidad social,2 configurando guías de acción y comunicación. Las RS, de acuerdo con Moscovici (1979), en tanto conocimiento práctico, son desplegadas por los sujetos para comunicar y orientar sus acciones respecto de un objeto social. Esto es, asumir una posición frente al mismo y ser guías para la acción. Se conforman, principalmente, a partir de la incorporación de elementos sociales, científicos, culturales, creencias y juicios de valor (Ibáñez, 1994).
Un caso particular son aquellos objetos sociales que emergen de la esfera científica y trascienden al dominio público, por ejemplo, el CC, cuyo campo de la información se compone, además de lo ya señalado, por la integración de conocimientos provenientes de la cultura científica del propio fenómeno y del conocimiento de sentido común, generando esquemas cognitivos complejos que se distinguen por dotar de un mayor número de características al objeto social representado (Wagner y Hayes, 2011). Este proceso se genera, de acuerdo con Moscovici (1979), en dos etapas. La primera consiste en el tránsito de una teoría científica a la elaboración de su esquema figurativo o imagen; la segunda, es el traspaso de esa imagen a la realidad, a lo social (Ibáñez, 1994). De ahí que la organización de la RS obedezca a una lógica práctica, de orientación de la conducta y de comunicación.
Moscovici (1979) y Jodelet (2000) señalan que las RS se conforman a partir de la integración de tres campos: a) la información, b) la representación: imagen del objeto social y c) la actitud. Esta última remite tanto a las acciones como a la disposición o al no actuar en relación con el objeto representado. En esta dirección teórica, y dado que el estudio que presentamos tuvo como participantes centrales académicos de la UV -esto es, sujetos del currículo (De Alba, 1998) que desarrollan un rol central en los procesos educativos a través de sus prácticas educativas-, consideramos pertinente analizar dichas prácticas. De acuerdo con Valladares (2017:10), las prácticas educativas remiten a formas de “entender (decires), nuevos modos de acción (haceres) y nuevas maneras en las cuales las personas se relacionan unas con otras (relaciones) en espacios (educativos) de intersubjetividad”. De este modo, conocer cómo representan los académicos el CC y lo incorporan en sus prácticas aporta insumos en el campo de la investigación educativa para formular propuestas de EpCC.
Acerca del contexto
En años recientes, México y, particularmente, el estado de Veracruz, se han visto afectados por los impactos del CC. Destaca la agudización de fenómenos como las sequías, la alteración de patrones pluviales, inundaciones e incremento en el nivel del mar, entre otros. Estos fenómenos se han constituido en factores que impactan sobre la salud, la producción de alimentos, la pérdida de especies, la seguridad y la economía de la población (INECC, 2019). Por su parte, el estado de Veracruz no ha sido ajeno a estas nuevas realidades climáticas, se ha visto interpelado por diversos fenómenos hidrometeorológicos: Karl, en 2010; Ingrid, en 2013; y Kathia, en 2017. Aclaramos que, aunque estos eventos se producen de manera natural, el incremento en su probabilidad de ocurrencia, duración e intensidad es atribuible al CC (IPCC, 2014).
De acuerdo con el Programa Veracruzano de Cambio Climático (Gobierno del Estado de Veracruz, 2009a), en el escenario más aceptado para este estado, se prevé que se acentúen eventos hidrometeorológicos como lluvias abundantes, mayor incidencia de huracanes, su duración, así como precipitaciones intensas y sequías en algunas regiones. De cara a este escenario, la región en la que se ubica la investigación que desarrollamos, Tuxpan-Poza Rica, en la zona norte de Estado de Veracruz, por su posición geográfica es especialmente susceptible a estos fenómenos. Allí se ubica una de las zonas industriales más importantes del sureste del país. Por mencionar una, se encuentra la Hidroeléctrica de Tuxpan (Gobierno del Estado de Veracruz, 2019b, 2019c). Asunto de especial relevancia dada la relación entre consumo de energía proveniente de combustibles fósiles y CC.
La Universidad Veracruzana se ha implicado en el CC y, desde 2009, cuenta con el Programa de Estudios Sobre Cambio Climático (PECCUV).3 Este aglutina a un colectivo de más de 70 investigadores de las áreas académicas: Técnica, Ciencias de la salud, Económico-administrativa, Químico-biológica, Sociales y Humanidades, que contribuyen en la generación de conocimiento relacionado con mitigación y adaptación al CC.
Ruta metodológica
Para arribar al propósito de la investigación, optamos por una ruta metodológica mixta: cuantitativa y cualitativa, con un enfoque interpretativo y crítico (Guba y Lincon, 2012). En la primera etapa -la que detallamos en este artículo- las actividades se orientaron a conocer e identificar diferencias en las RS sobre el cambio climático en académicos de la región Poza Rica de la UV y las prácticas educativas que despliegan, en parte del campo de la actitud. En la segunda etapa, con base en la interpretación de los datos obtenidos, elaboramos un curso-taller dirigido para este colectivo de académicos, con el propósito de que profundizaran en el conocimiento del CC y en estrategias de EpCC. Estas acciones fueron sistematizadas y analizadas. La investigación inició en octubre de 2018 y finalizó en septiembre de 2019.
A partir de nuestro objetivo de investigación y de su articulación con el supuesto de investigación, formulamos como variables de investigación las dimensiones de información, representación y actitud de las RS y las posibles diferencias significativas que pudieran existir entre los grupos. Asimismo, la práctica educativa, esto es, las actividades académicas en las que incorporan el CC, se tradujeron en categorías analíticas.
La muestra
La población de estudio la conformaron 504 profesores, agrupados en las cuatro áreas académicas ya señaladas. Con el propósito de contar con una muestra representativa, optamos por un muestreo estratificado con fijación proporcional, con un nivel de confianza de 95% y un margen de error de 8% para cuatro estratos, áreas: a) Técnica, b) Ciencias de la salud, c) Económico-administrativa y d) Humanidades. Por cuestiones de extensión no incluimos en este reporte las variables: género, antigüedad académica, grado académico y condición laboral, aunque sí han sido consideradas en el estudio. Así, obtuvimos una muestra representativa de 104 académicos, todos en esquemas de contratación de base que oscilan entre medio tiempo y tiempo completo. La caracterización de la muestra la exponemos en la Tabla 1, donde indicamos el porcentaje de cada estrato y si los participantes cuentan con estudios de posgrado o alguna especialización en educación ambiental.
Tabla 1 Población y muestra de estudio
| Estrato | Área académica | Población | Proporción (%) | Muestra del estrato | Genero (%) | Posgrado (%) | Estudios en Educación ambiental (%) | |
|---|---|---|---|---|---|---|---|---|
| F | M | |||||||
| 1 | Técnica | 203 | 40.3 | 42 | 10.0 | 25.0 | 26.8 | 15.5 |
| 2 | Económico-Admva. | 83 | 16.5 | 17 | 6.1 | 8.2 | 12.3 | 1 |
| 3 | C. Salud | 92 | 18.2 | 19 | 8.6 | 7.3 | 11.3 | 3.3 |
| 4 | Humanidades | 126 | 25.0 | 26 | 13.9 | 7.9 | 13.9 | 6.9 |
| Total | 505 | 100 | 104 | 38.6 | 48.4 | 64.3 | 26.7 | |
Fuente: elaboración propia.
El cuestionario
Se empleó un cuestionario elaborado ad hoc y conformado por 45 ítems: 12 de control (género, perfil profesional, grado de estudios, antigüedad laboral, etc.), 12 preguntas abiertas de respuesta breve y 21 cerradas. Las preguntas cerradas fueron de diseño variado: 11 tipo Liket y 10 con tres opciones de respuesta (si/no/no sé). Tal variedad obedeció al tipo de información que se buscó y que, mediante la teoría de las RS, exploramos en las dimensiones de: información (nociones, causas e impactos globales y regionales), representación y acciones desplegadas (prácticas sobre CC).
Una vez elaborado el cuestionario se sometió a análisis de expertos, con el propósito de evitar imprecisiones relacionadas con conceptos y características biofísicas del CC, así como para contar con un instrumento confiable en términos estadísticos. El grupo quedó conformado por cinco investigadores con especialidad en: climatología, investigación cuantitativa en ciencias sociales, investigación en temas de RS y lingüística. Aquí se realizaron los ajustes necesarios, en dos rondas, hasta obtener claridad en su lectura e interpretación.
Posteriormente, se realizó el pilotaje con 20 académicos de la Facultad de Pedagogía de la Universidad Veracruzana, zona Xalapa. Los resultados se analizaron mediante pruebas estadísticas de alfa de Cronbach y chi cuadrada (X2). Se ajustaron cinco ítems y se sometió el cuestionario a un segundo pilotaje, a fin de corroborar que cumpliera con pruebas de confiabilidad. Una vez alcanzada la confiabilidad estadística deseada: alfa de Cronbach 0.81, se procedió a su aplicación.
La aplicación del cuestionario se llevó a cabo durante dos meses. En un primer momento, se seleccionó un grupo de seis encuestadores -estudiantes de posgrado de la Universidad Veracruzana en la región Poza Rica-Tuxpan- y se impartió un taller de cinco horas de capacitación para su aplicación, consistente en explicar la importancia del estudio, las características del cuestionario, la información que se busca conocer y el llenado de cada tipo de pregunta. Posteriormente, se asignaron encuestadores para cada estrato de la muestra. Finalmente, se aplicaron los cuestionarios, con un tiempo para su cumplimentación de entre 40 y 50 minutos.
Para el análisis de los datos obtenidos se formularon cinco conjuntos de categorías analíticas, teniendo en cuenta los tres campos de las RS, las prácticas educativas y el modelo energético centrado en energías fósiles en sus implicaciones con el CC. En la Tabla 2 exponemos las categorías analíticas así como las preguntas relacionadas con cada una.
Tabla 2 Información recuperada en el cuestionario
| Categoría analítica | Pregunta | Información obtenida |
|---|---|---|
| 1. ¿Qué es el CC? Sus causas y consecuencias (dimensión de la información de las RS) |
16, 18, 19 y 20 | Información relacionada con el
CC Concepto, causas y consecuencias del CC |
| 2. Impactos locales y regionales del CC |
22, 23 | Consecuencias del CC a nivel local |
| 3. CC y modelo energético | 24, 29, 30, 31 y 32 | Responsables de acciones de
respuesta CC Sectores consumidores de energía Políticas energéticas en México Actividades y consumo de energía |
| 4. Representación del CC | 13, 14, 21 27 y 28 | Identificación del CC como problema Grado de importancia del CC en relación con otros problemas Representación del CC |
| 5 Actitud: Acciones/prácticas educativas sobre CC |
34, 35, 36 y 39 | Tópicos abordados sobre CC y tipo de actividades desplegadas |
Fuente: elaboración propia.
Análisis de datos
El tratamiento analítico de los datos ha sido de tipo estadístico, previa captura y codificación en el programa SPSS y, posteriormente, en Excel. La primera parte del análisis fue descriptiva con el propósito de identificar características de las dimensiones de las RS y contar con insumos para orientar la segunda etapa del estudio.
La segunda parte del análisis fue inferencial y comparativa; nos enfocamos en reconocer diferencias significativas en las RS de las cuatro áreas académicas y en identificar qué conocimientos sobre el CC son los que más presencia tienen en su correlación con las RS. Para ello, realizamos las siguientes pruebas estadísticas:
Estudio de diferencias significativas: chi cuadrada (X2), de ANOVA de una vía y prueba de Fisher. El grado de significación fue p<0.05, lo que señala la existencia de diferencias significativas. Para profundizar en la comparación de medias significativas entre los cuatro grupos se hizo una segunda prueba post hoc de Tukey y se realizó una comparación múltiple entre las preguntas de cada categoría analítica.
Correlación de Pearson, para identificar correlaciones entre preguntas tanto de una misma como de otras categorías analíticas. El nivel de significancia bilateral empleado fue de 0.05 y 0.01.
Diagrama de Ishikawa, esta herramienta ayuda a identificar las causas-raíces de un problema, visibilizando factores o elementos implicados.
Resultados y discusión
Presentamos los resultados por categoría analítica formulada a partir de la teoría de las RS.
Cambio climático, causas y consecuencias
Los conocimientos acerca de la noción sobre el CC, sus causas y consecuencias se exploraron a partir de cuatro peguntas. El alfa de Cronbach para estas preguntas fue de 0.754. El espectro y peso de información sobre el CC es un factor que determina las RS (Moscovici, 1979). Como se aprecia en la Figura 1, los académicos son portadores de conocimientos diversos sobre el CC relacionados con su dimensión biofísica y política; esto es, los acuerdos nacionales e internacionales que determinan las políticas sobre el fenómeno.
En el estudio de correlaciones, buscamos conocer cómo los académicos articulan esta información. Para ello, empleamos la prueba de Pearson, cuyos resultados señalan correlaciones con un mayor peso en tópicos sobre gases de efecto invernadero (GEI), el Protocolo de Kioto, el Panel Intergubernamental de Cambio Climático (IPCC, por sus siglas en inglés) y la estrategia nacional de CC, tal como se indica en la Tabla 3. Los resultados también indican que a pesar de que toda la información expuesta se relaciona entre sí, se presenta un mayor peso en articulaciones centradas en aquellos asuntos más comunes y difundidos principalmente por los medios de comunicación masiva. Asimismo, es de destacar la interrelación entre datos procedentes del campo de las ciencias del clima y las políticas nacionales e internacionales sobre el CC, que revela una visión más compleja del fenómeno en contraste con otros estudios similares (Meira-Cartea et al., 2018).
Tabla 3 Correlación de Pearson entre ítems*
| Ítem | 16.2 | 16.3 | 16.4 | 16.5 | 16.6 | 16.7 | 16.8 | 16.9 | 16.10 |
|---|---|---|---|---|---|---|---|---|---|
| 16.2 | .317** | ||||||||
| 16.4 | .367** | .253** | .331** | .223* | |||||
| 16.5 | . | .* | .342** | .307** | .302** | ||||
| 16.6 | .* | .475** | .381** | .196* | |||||
| 16.7 | . | . | . | . | .475** | .232* |
*Correlación significativa en el nivel 0.05 (2-colas).
**Correlación significativa en el nivel 0.01 (2-colas).
Nota: Se muestran únicamente datos donde existe correlación entre ítems.
Fuente: elaboración propia.
En cuanto a las causas del CC inciden diferentes factores: incremento en GEI, su origen antrópico y cambio de uso de suelo (IPCC, 2014). Los resultados obtenidos señalan que existe consenso entre los cuatro grupos de estudio en lo relacionado con los puntos señalados (88.0, 92.9, 58.7 y 91.2%). Estos datos hacen inferir una visión amplia del fenómeno por parte de los académicos en términos de conformación de la dimensión de la información de la RS.
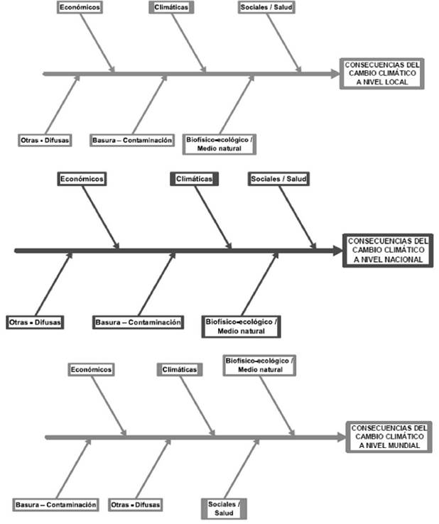
Las consecuencias del CC a nivel regional, nacional y mundial se exponen en gráficos de Ishikawa (Figura 2) y son las que los académicos expresaron en las encuestas. Entre las señaladas como de mayor impacto destacan las relacionadas con la salud y el medio ambiente. Los resultados del estudio de correlaciones nos hacen inferir que el espectro de consecuencias señaladas por los académicos puede atribuirse a: a) una visión más compleja del CC por parte de los cuatro grupos de estudio al vincular la dimensión biofísica y social del fenómeno y b) que en el estado de Veracruz, especialmente en regiones como Poza Rica, el incremento en enfermedades trasmitidas por vectores como dengue y zika ha aumentado en los años recientes.4 Otro punto relevante en los resultados es que a pesar de que la región norte del estado de Veracruz se ha visto impactada por eventos hidrometeorológicos agravados por el CC (INECC, 2019), posicionan estas consecuencias en tercer lugar y dan mayor énfasis a la salud.
Por otra parte, los cuatro grupos reconocen diferentes impactos a nivel mundial, en contraste con el nacional y el local. Este asunto puede identificarse a partir de la influencia de las fuentes de información como los medios de comunicación masiva (Teso, 2016) e informes científicos como los del IPCC (2014). El discurso de estos medios se caracteriza por posicionar en primer lugar los impactos en la dimensión biofísica y en el medio natural. Tal diferenciación pone en perspectiva la presencia de impactos distintos en términos globales y locales del CC.
Las pruebas estadísticas revelaron que no existen diferencias significativas entre los cuatro grupos de estudio en esta categoría analítica, por lo que la dimensión de información sobre CC es similar en peso y amplitud.
Impactos regionales y locales del cambio climático
En cuanto a las amenazas locales y regionales derivadas y agravadas por el CC, el alfa de Cronbach fue de 1.785. La Figura 3 muestra los resultados. Como se puede advertir, la tendencia en respuesta es homogénea, se refleja con porcentajes altos de aceptación en la mayoría de las aseveraciones y hace inferir que en los cuatro grupos de estudio están presentes los impactos regionales del CC. Esto es, existe, por parte de los académicos, reconocimiento del fenómeno y de su presencia en términos espacio-temporales, por lo que representan el CC como un fenómeno cercano que los interpela. Esta representación guarda congruencia con los reportes sobre vulnerabilidad del CC en aspectos como la producción ganadera, la salud, los impactos hidrometeorológicos, entre otros, reportados en el Atlas Nacional de Vulnerabilidad (INECC, 2019). No obstante, se observan algunos matices en los resultados: de las 11 amenazas posibles que se plantean, las de mayor peso se ubican en impactos hidrometeorológicos e inundaciones, disponibilidad del agua, implicaciones económicas en el mayor consumo de energía y en algunos alimentos.
En relación con visiones acerca de afectaciones biofísicas regionales agravadas por el CC, se advierte coincidencia en los cuatro grupos de estudio (Figura 4). Los impactos relacionados con sequías, con el litoral, con hidrometeoros son los de mayor peso. Destaca la tendencia en el alto peso que tienen las afectaciones formuladas, lo que hace inferir la presencia de estos impactos en la RS del CC en los cuatro grupos (Jodelet, 2000). Esto es, están presentes nuevas realidades climáticas que impactan en la región veracruzana (INECC, 2019).

Fuente: elaboración propia.
Figura 4 Posibles afectaciones regionales agravadas por el cambio climático
El estudio de correlaciones realizado con las preguntas sobre impactos regionales del CC es heterogéneo. Por una parte, indica un mayor número de correlaciones en las afectaciones: a) impactos de hidrometeoros: tormentas intensas, ciclones, etc., agudizados por el CC; b) alteración en las características climáticas de las estaciones del año; c) periodos de sequía son más prolongados; d) extinción de plantas y animales y e) disponibilidad del agua es cada vez menor (Tabla 4).
Tabla 4 Correlación de Pearson entre ítems
| Ítem | 22.2 | 22.3 | 22.4 | 22.6 | 22.8 | 22.9 | 22.10 | 22.11 | 23.1 | 23.2 | 23.3 | 23.4 | 23.5 | 23.6 | 23.7 | 23.8 | 23.9 | 23.10 |
|---|---|---|---|---|---|---|---|---|---|---|---|---|---|---|---|---|---|---|
| 22.1 | .128 | .229* | .240* | .234* | .264** | .260** | .283** | .272** | . | |||||||||
| 22.2 | .435** | .213* | .223* | .216* | .222* | .227* | .266** | .268** | ||||||||||
| 22.3 | . | .418** | .327** | .366** | .243* | .407** | .222* | .350** | .237* | .228* | .372** | .270** | .333** | |||||
| 22.4 | . | .228* | .338** | . | .231* | .092 | .093 | |||||||||||
| 22.5 | . | .424** | .537** | .203* | .368** | .217* | .437** | .371** | ||||||||||
| 22.6 | . | .197* | .061 | |||||||||||||||
| 22.7 | .466** | |||||||||||||||||
| 22.8 | .386** | .011 | ||||||||||||||||
| 22.9 | .084 | .343** | ||||||||||||||||
| 22.10 | . | .041 | ||||||||||||||||
| 22.11 | .195* | .053 | .345** | .326** | .711** | |||||||||||||
| 23.1 | .344** | .303** | .448** | .453** | .345** | .272** | ||||||||||||
| 23.2 | .358** | .224* | .142 | |||||||||||||||
| 23.3 | . | .387** | .477** | .515** | .694** | .302** | ||||||||||||
| 23.4 | . | .687** | .270** | .511** | .221* | .273** | ||||||||||||
| 23.5 | .278** | .520** | .242* | .275** | .373** | |||||||||||||
| 23.6 | .481** | .237* | ||||||||||||||||
| 23.7 | * | .413** | .253* | |||||||||||||||
| 23.8 | .406** | .435** | ||||||||||||||||
| 23.9 | . | .549** |
Nota: Se muestran únicamente datos donde existe correlación entre ítems
*La correlación es significativa en el nivel 0.05 (2-colas).
**La correlación es significativa en el nivel 0.01 (2-colas).
La afirmación para cada ítem está en las gráficas 3 y 4
Fuente: elaboración propia.
Por otra parte, los impactos que presentan menor correlación son: a) pérdida de cultivos y animales de corral, b) menor variedad de alimentos para elegir, c) inversión en la vivienda para ahorrar energía, d) mayor consumo de energía por concepto de ventiladores y aire acondicionado, e) alteración del litoral veracruzano, f) mayor exposición a enfermedades transmisibles por vectores, g) riesgo de verse afectado por inundaciones y h) riesgo de perder sus pertenencias. Este dato acerca de la presencia correlacional de impactos del CC, que se distingue por variabilidad en el espectro de los riesgos derivados del fenómeno, nos hace inferir que la RS en los cuatro grupos de estudio presenta asimetrías entre el riesgo real frente a impactos y el riesgo percibido. Esto es, el colectivo le otorga mayor peso a unos impactos y menor a otros (García Acosta, 2005).
Lo anterior pudiera encontrar su explicación en la amplia gama de impactos del CC en esferas como la biofísica, económica, de salud, etcétera, así como en la complejidad de estos (IPCC, 2014). Consideramos relevante ilustrar en la Tabla 4 estas correlaciones, en virtud de que este tratamiento estadístico visibiliza cómo se interrelacionan estos datos.
En esta categoría analítica, las pruebas estadísticas reportaron que no existe evidencia de diferencias significativas entre los cuatro grupos de estudio. Por lo que se infiere que existe homogeneidad en el campo de la información relacionada con impactos del CC.
Cambio climático y modelo energético
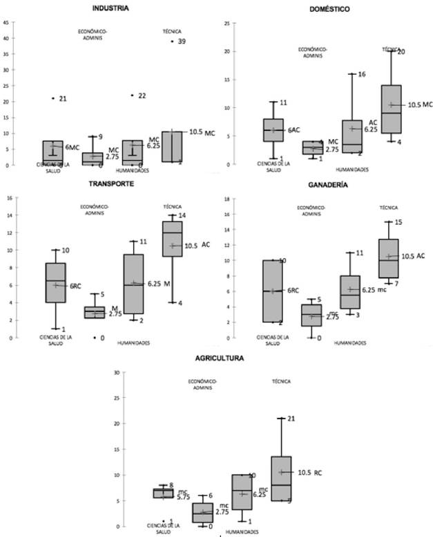
La relevancia de explorar, desde la RS, información sobre el modelo energético basado en energías fósiles reposa en su relación directa con el CC y, en consecuencia, con las posibles acciones de respuesta al fenómeno por parte del colectivo. El alfa de Cronbach para esta categoría fue de .793. El análisis estadístico de la opinión de los académicos acerca de los sectores que más consumen energía, lo realizamos mediante un estudio comparativo de medias a fin de identificar y diferenciar cómo cada grupo incorpora esta dimensión del CC en su RS. Lo exponemos en la Figura 5, gráfica de caja y bigotes/alambres, para facilitar la observación y comparación del comportamiento en la respuesta de los cuatro grupos. El cuartil de menor frecuencia se representa mediante bigote en la parte inferior del gráfico y el de mayor frecuencia es el ubicado en la parte superior. Las dos cajas simbolizan los cuartiles dos y tres que corresponden al resto de frecuencias de respuesta. Las opciones de respuesta en estas preguntas fueron: menos consumo (mc), regular consumo (RC), mayor consumo (MC) y alto consumo (AC). El valor promedio (media) por grupo en cada respuesta se indica con el símbolo +.
Tal como se indica, los cuatro grupos coinciden en que el sector industrial es el que más consume energía. Los sectores doméstico y transporte presentan variaciones en las medias entre alto y mayor consumo. Igualmente, el resto de los sectores oscila entre alto, mayor y regular consumo. Destacamos el bajo peso en las respuestas al consumo energético por parte del sector ganadero, la agricultura y transporte, así como el contraste entre estas visiones y los reportes acerca del consumo de energía en México: 46.6% transporte, 31.2% industria, 18.7% residencial y servicios y 3.5% agropecuario (CEPAL, 2018).
No obstante las coincidencias, el estudio de medias para cada grupo académico reporta variabilidad en la distribución de medias acerca de su opinión sobre los cinco sectores que consumen energéticos. Esto podría atribuirse al perfil profesional de cada grupo analizado, más que a información sobre el CC, que no reportó variabilidad en el estudio de las categorías analíticas sobre la dimensión de la información del CC.
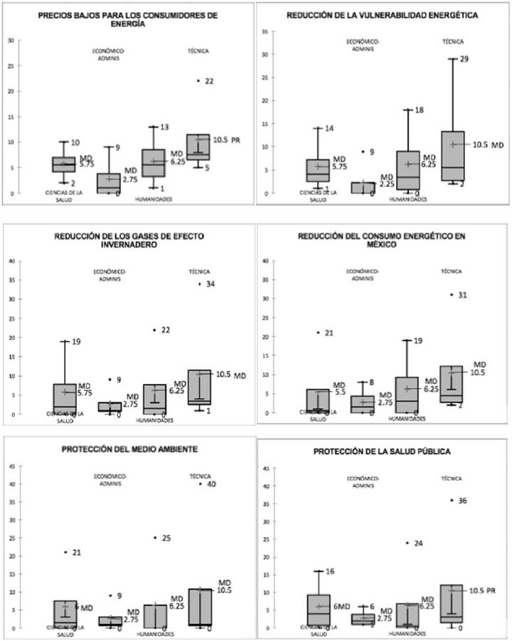
En cuanto a políticas energéticas, formulamos seis posibles objetivos con cuatro opciones de respuesta para la pregunta: ¿cuál de los siguientes objetivos debería ser el más relevante en relación con la política energética en México?: nada relevante (NR), poco relevante (PR), medianamente relevante (mr) y muy relevante (MR). La Figura 6 ilustra el comportamiento de medias.
Si bien los cuatro grupos de académicos consideran que los seis objetivos son relevantes, concentrándose mayor homogeneidad en lo relacionado con la importancia en la reducción de GEI y en el consumo energético, se advierten diferencias. El grupo del área de Humanidades señaló que la protección al medio ambiente es lo que mayor prioridad debe tener en estas políticas. En el caso de la salud, 54% del grupo del área Económico-administrativa considera su protección como muy relevante; 66.7% del área de Ciencias de la salud así lo indica, y 95% del resto de las áreas considera que este objetivo es muy relevante.
La valoración de diferencias significativas se realizó con el estadístico ANOVA y prueba de Fisher (Tabla 5). Se observa que en cinco de las seis opciones de respuesta a posibles prioridades frente a políticas energéticas existen diferencias significativas en las opiniones de los cuatro colectivos de académicos. Este dato es especialmente relevante, pues las opciones de acciones gubernamentales frente a emisiones de GEI y protección del medio ambiente no generan consenso en este colectivo académico, a pesar de que en lo relacionado con la información sobre CC sí existe homogeneidad. Tales divergencias pueden atribuirse al campo de formación profesional propia de cada uno de los colectivos, que incide en la representación del fenómeno.
Tabla 5 Diferencias significativas en políticas energéticas
| 30. En su opinión ¿cuál de los siguientes
objetivos debería ser el más relevante en relación con la política energética en México y cuál el menos? En una escala de 1 (menos relevante) a 4 (muy relevante) |
Prueba de ANOVA p<0.05= diferencia significativa |
|---|---|
| Precios bajos para los consumidores de energía | F= 0.0689 |
| Protección del medio ambiente | F= 0.0000 |
| Protección de la salud pública | F= 0.0000 |
| Reducción de los gases de efecto invernadero | F= 0.0013 |
| Reducción de la vulnerabilidad energética (asegurar la autonomía energética) | F= 0.0000 |
Fuente: elaboración propia.
La representación del cambio climático
El valor de confiabilidad para esta categoría analítica, mediante alfa de Cronbach, fue de: 0.759. Nos interesamos por indagar el grado de importancia que los académicos le otorgan al CC en relación con otros problemas. Por ello, se les solicitó que expresaran cuáles consideran que son los tres problemas más relevantes que enfrenta la sociedad a nivel mundial, nacional y regional. El espectro de respuestas en los tres escenarios lo exponemos en los gráficos de Ishikawa (Figura 7), donde el CC está presente, pero en penúltimo lugar para los tres, pese al reconocimiento de sus impactos. A nivel local y nacional, la inseguridad y otros problemas ambientales ocupan lugares prioritarios; a nivel internacional, le preceden los problemas sociales.
Estos datos resultan paradójicos, pues si bien los académicos están informados sobre el CC y sensibilizados frente a sus impactos en la esfera internacional, nacional y regional, existen otros problemas frente a los que se visualizan más vulnerables y, en consecuencia, cobran mayor relevancia. En el ámbito nacional están los asuntos económicos y los relacionados con la inseguridad que en los medios de comunicación cobran centralidad (Boycoff, 2015).
El análisis de la representación expuesto en la Figura 8 señala que las coincidencias por parte de los cuatro colectivos de académicos sobre la visión y posición respecto del CC se ubican en lo relacionado con impactos del fenómeno, en tanto que se configuran como nuevas realidades climáticas a las que se enfrentan tanto a nivel nacional como regional.
Asimismo, existe coincidencia acerca de que las IES deberían abordar estos aspectos del CC en sus ofertas educativas. Tampoco creen que el CC sea un invento, que la acción individual y de la población veracruzana tenga poca relevancia y que únicamente afecte a algunos sectores.
Destacamos, en esta exposición de resultados, el peso bajo que se le otorga al consumo de carnes rojas y de productos de importación en tanto causas del fenómeno. Estos datos en su conjunto apuntan a que en la representación del CC están presentes sus impactos como partes de la realidad que interpela a este colectivo, así como de la relevancia de formular acciones de respuesta.
Las diferencias significativas entre los cuatro grupos de académicos, analizadas con el estadístico Anova y la prueba de Tukey (Tabla 6), reportan diferencias en 7 de 14 aseveraciones sobre CC.
Tabla 6 Diferencias significativas en representación del CC
| 21. | De las siguientes frases sobre el cambio
climático, dígame el grado de acuerdo o desacuerdo. |
Diferencias significativas p>0.05 existen dif. significativas |
|---|---|---|
| 21.1. | Los principales responsables son los países industrializados | - |
| 21.2. | Sus consecuencias
aún no las estamos padeciendo. Se verán en algunos años |
0.000 |
| 21.3. | Es un invento, no existe | 0.001 |
| 21.4. | Afecta sólo a determinados sectores de la población y del mundo | 0.000 |
| 21.5. | En el caso de México, sus efectos se están viendo ya | 0.000 |
| 21.6. | La región Tuxpan-Poza Rica ya está padeciendo sus consecuencias | 0.000 |
| 21.7. | Es un problema
mundial frente al que poco o nada puede hacer la población veracruzana |
0.698 |
| 21.8. | Es un problema mundial frente al que poco o nada yo puedo hacer | 0.389 |
| 21.9. | Las universidades
deberían abordar este asunto en la formación profesional que ofrecen |
0.046 |
| 21.10. | Cada vez que se consumen carnes rojas contribuimos al cambio climático | 0.147 |
| 21.11. | Cada vez que se consumen productos importados contribuimos al cambio climático | 0.889 |
| 21.12. | Cada vez que se
utiliza carbono o combustibles fósiles contribuimos al cambio climático |
0.947 |
| 21.13. | El cambio climático
es un asunto prioritario para México y para Veracruz |
0.495 |
| 21.14. | El cambio climático es una moda, pasará en unos años | 0.206 |
Fuente: elaboración propia.
Estas afirmaciones remiten a aspectos del CC relacionados, principalmente, con su dimensión biofísica, política y económica. Por una parte, existe consenso entre los cuatro grupos de estudio en sus apreciaciones sobre impactos en México y la región de Poza Rica. Por otra parte, los datos señalan diferencias significativas en lo relacionado con: a) acciones de respuesta al CC como estilos de consumo, b) uso de combustibles fósiles y c) prioridad en las políticas públicas nacionales y estatales. Esto es, se identifica consistencia estadística con lo reportado en la dimensión de la información.
A la luz de del análisis estadístico, tanto descriptivo como correlacional de los datos, es posible inferir que este colectivo de académicos es poseedor de información pertinente sobre el CC, principalmente en su dimensión biofísica y política, que incide en su representación. Esto es, una RS más compleja del CC, que hace visible la articulación entre las dimensiones ya señaladas, lo que puede explicarse a partir de la actividad académica que despliegan, pues están en mayor contacto con información especializada que guarda relación con el CC. Asimismo, las diferencias significativas encontradas se pueden atribuir, como lo señalan Moscovici (1979) y Jodelet (2000), a experiencias con el objeto social, las que se corresponden con el campo de formación profesional que distingue a cada uno de los cuatro colectivos de académicos.
Actitud: incorporación del cambio climático en las prácticas educativas
El alfa de Cronbach para la categoría analítica que explora la dimensión de la actitud a través de la incorporación los académicos el CC en su práctica académica fue de .876. En primer término, exploramos si los académicos abordan tópicos sobre CC en sus prácticas educativas (Tabla 7). Como se puede advertir, la apropiación del CC en la práctica académica es heterogénea en términos porcentuales.
Tabla 7 Incorporación de tópicos de cambio climático en prácticas educativas
| Porcentaje de incorporación de CC por áreas académicas (%) | |||
|---|---|---|---|
| Ciencias de la salud | Económico-admva. | Humanidades | Técnica |
| 37.5 | 72.2 | 56.0 | 52.9 |
Fuente: elaboración propia.
La Tabla 8 muestra que los tópicos abordados en las actividades académicas son congruentes con la complejidad del CC, posibilitando, por una parte, su estudio desde diversas áreas del conocimiento y, por otra, la especificidad de tópicos en estos estudios, determinados por cada área académica. Esto desemboca en la tendencia de abordajes educativos del CC desde campos de conocimiento específicos, ya sea, por ejemplo, la salud o las ingenierías, con poca articulación con otras disciplinas. Esto es, se evidencian prácticas educativas (Valladares, 2017) que reposan en tradiciones pedagógicas que se distinguen por la presencia de teoría implícitas (Pozo, Scheuer, Mateos y Pérez, 2006) centradas en la enseñanza específica de conocimientos con poca articulación con otros campos del conocimiento que podrían propiciar visiones complejas de fenómenos como el CC.
Tabla 8 Tópicos de cambio climático presentes en las experiencias educativas
| Ciencias de la salud | Económico-administrativa | Humanidades | Técnica |
|---|---|---|---|
| • Atención primaria en salud • Cultura y desarrollo organizacional • Ética • Microbiología y CC • Psicología ambiental |
• Sustentabilidad social • Manejo de artículos electrónicos • Incentivos fiscales verdes • Contaminación de playas y turismo |
• Pensamiento complejo • Cuidado del agua y del medio ambiente • Derecho ambiental • Desarrollo comunitario • Educación en CC |
• Contaminación de agua y aire • CC y ciclos biogeoquímicos • CC, efecto invernadero y resiliencia • Construcción sustentable • Consumo energético • Estudio de GEI |
Fuente: elaboración propia.
Otro aspecto analizado de la dimensión de la actitud de las RS de los académicos es la disposición que señalan para incorporar el CC en sus prácticas educativas (Figura 9). Destacamos el consenso en los cuatro colectivos del profesorado en el interés por incrementar su participación en actividades académicas vinculadas con el CC. Estas se reflejan en rangos altos de frecuencia, tanto en acciones que tienen que ver con actividades individuales (por ejemplo: diseño de experiencias didácticas para un curso), como colegiadas. De ahí que podamos inferir que en los cuatro grupos de académicos está presente una RS del CC proactiva en lo relacionado con su práctica educativa. Aquí aclaramos que tal disposición a actuar no necesariamente en todos los casos ha desembocado en prácticas educativas desarrolladas.

Fuente: elaboración propia.
Figura 9 Disposición (de acuerdo) para realizar las siguientes acciones académicas
A la luz de lo expuesto, cabe interpretar que prevalecen las prácticas educativas donde el peso de tradiciones educativas y teorías implícitas (Pozo et al., 2006) supera abordajes desde perspectivas interdisciplinarias o trasversales que posibiliten aproximaciones complejas al CC, en las que se problematice y profundice en sus causas, impactos y posibles vías de acción de respuesta. Esto es, las prácticas y tradiciones educativas a las que los profesores recurren hacen evidente que aún predominan visiones acotadas a áreas del conocimiento específicas y centradas en la transmisión de contenidos (Korthagen, 2010; Pérez Gómez, 2010).
Conclusiones
De acuerdo con los resultados del estudio, podemos concluir que el colectivo de académicos ha construido una RS sobre el CC cuya dimensión de la información les permite comprender el fenómeno desde visiones complejas en las que incide su dimensión biofísica, económica y política, aunque con mayor peso la primera; así como sus impactos en la esfera internacional, nacional y regional, lo mismo que se reflejó en el estudio de correlaciones. No obstante, frente a otros problemas internacionales y especialmente nacionales, el CC pierde centralidad.
Respecto del comparativo de las RS en los cuatro colectivos de estudio, no se encontraron diferencias significativas en el campo de la información. Sin embargo, en lo relacionado con uso de energías fósiles, políticas energéticas y la representación de fenómeno sí emergieron diferencias significativas que se pueden atribuir a comprensiones de estos datos a partir de la interacción con el objeto representado derivada de la formación profesional específica en cada uno de los cuatro grupos de áreas académicas. Por ello, podemos inferir que la RS del CC en los cuatro grupos de estudio es compartida, guardando homogeneidad en la dimensión de la información y la actitud, no así en aspectos de la dimensión de la representación. Por lo que el análisis estadístico nos permite validar el supuesto de investigación en lo relacionado con la presencia de algunas diferencias significativas.
El análisis de la variable de investigación dimensión de la actitud, vista desde las prácticas educativas desplegadas, permite afirmar el supuesto de partida en la investigación en términos de la disposición que los académicos expresan para incorporar el CC a sus prácticas educativas. Por ello, es posible inferir que la RS del CC sí incide en estas prácticas, en tanto que es parte de la dimisión de la actitud proactiva en los cuatro grupos de estudio. Cabe señalar que los académicos del área económico-administrativa son los que más acciones despliegan, atribuibles a variables no exploradas en este instrumento, pero que en los grupos focales sí fueron discutidas.
Asimismo, los resultados indican que, por una parte, se afirma el planteamiento que el CC es un fenómeno complejo para su comprensión en virtud de que diferentes áreas del conocimiento involucradas en el entendimiento de sus causas e impactos (ciencias del clima, física, química, ecología, ciencias sociales, etc.). Este rasgo incide en la dimensión de la información, representación y, en consecuencia, en la actitud frente a este (Moscovici, 1979), lo cual se advierte en las características de la práctica educativa desplegada en los cuatro grupos de académicos. Estas prácticas se distinguen por ser incipientes y de reciente incorporación, prevaleciendo tradiciones pedagógicas y teorías implícitas que limitan abordajes complejos del CC.
Por otra parte, identificamos también que tales prácticas educativas se centran en la apropiación de contenidos, además de abordajes de fenómenos desde un solo campo del conocimiento, omitiendo otros enfoques pedagógicos, como el crítico que permitan una mayor comprensión de las actuales realidades climáticas derivadas del CC y su vinculación con la generación de acciones de respuesta desde la formación profesional en la que están inscritos (González Gaudiano y Meira Cartea, 2020).
El escenario educativo descrito nos lleva a formular recomendaciones de EpCC orientadas a propiciar procesos de formación de profesorado que les posibilite incorporar el CC en sus experiencias educativas desde enfoques que trasciendan la transmisión de contenidos. Esto es, enfoques de EpCC críticos, participativos, inter y transdisciplinarios, a fin de comprender la compleja realidad acerca del CC para articularla con acciones ecociudadanas. Asimismo, es deseable que dicha comprensión trascienda las funciones sustantivas de las IES en lo relacionado con la generación de conocimiento, investigación y vinculación para, desde dicha trinchera, contribuir al logro del objetivo de desarrollo sostenible 13: acciones por el clima (Unesco, 2017).










nueva página del texto (beta)










