Introducción
Un modelo de crecimiento en altura dominante y su correspondiente expresión de índice de sitio permiten estimar la productividad de las masas forestales (Tamarit et al., 2014). Sin embargo, las diferencias en las potencialidades productivas de los sitios influyen en los aspectos del manejo de un rodal, como la definición de los objetivos productivos, el régimen silvicultural, el turno de cosecha, las técnicas de aprovechamiento y la rentabilidad de la inversión (Ivancich et al., 2011).
El silvicultor debe calcular el crecimiento en altura dominante para evaluar el potencial productivo, pues en un rodal es una de las variables menos afectadas por cambios en la densidad y por tratamientos silvícolas intermedios; además, está relacionada con el volumen total, es fácil de evaluar y representa un indicador de la productividad forestal (Clutter et al., 1983; Tamarit et al., 2014). El índice de sitio (IS) permite estimar de manera práctica la productividad de un sitio forestal. El concepto de IS se basa en que los sitios más fértiles para una especie dada, producirán árboles de dimensiones mayores a una cierta edad base (Daniel et al., 1979; Mendoza, 1993).
Los métodos para la construcción de las curvas de IS se clasifican en cuatro grupos: método de la curva guía (Guide Curve Method; GCM), método de ecuaciones en diferencia algebraica (Algebraic Difference Approach; ADA), que fue desarrollado por Bailey y Clutter (1974), método de predicción de parámetros (Parameter Prediction Method; PPM) (Clutter et al., 1983) y enfoque de diferencia algebraica generalizada (Generalized Algebraic Difference Approach; GADA), que fue propuesto por Cieszewsky y Bailey (2000).
El método de la curva guía emplea datos provenientes de parcelas temporales de muestreo y se ha utilizado para generar curvas de índice de sitio de tipo anamórficas y polimórficas (Clutter et al., 1983; García et al., 1998). Para el modelado dinámico es necesario disponer de datos medidos en árboles o rodales al menos en dos ocasiones, mediante parcelas de intervalo, parcelas permanentes o análisis troncal (Gadow et al., 2007). El método ADA involucra esencialmente la sustitución de un parámetro del modelo base para expresarlo como una función del sitio. Este enfoque permite construir modelos invariantes de la edad base e invariantes del camino de proyección (Bailey y Clutter, 1974).
Cieszewski y Bailey (2000) introdujeron una generalización a la metodología ADA, que originó el enfoque GADA, el cual considera que la ecuación base se expande para permitir que más de un parámetro dependa de la calidad de estación y que las familias de curvas que se obtengan incrementen su flexibilidad (Cieszewski y Bailey, 2000; Cieszewski, 2001). La ventaja principal de GAD es su capacidad para ampliar la base de ecuaciones de acuerdo con varias teorías sobre las características del crecimiento (asíntota, tasa de crecimiento). Esto incluye la posibilidad de simular polimorfismo concurrente y múltiples asíntotas, una propiedad importante de las ecuaciones de sitio (Cieszewski, 2003; Diéguez et al., 2006).
El objetivo de este estudio fue modelar con diferentes hipótesis de crecimiento (curvas anamórficas, polimórficas y de polimorfismo asintótico) la altura dominante de Pinus ayacahuite Ehren, y realizar proyecciones de su productividad. La hipótesis fue que los modelos polimórficos describen mejor el patrón de crecimiento y la productividad de la especie estudiada.
Materiales y Métodos
Área de estudio y datos dasométricos
El estudio se realizó en bosques del predio comunal de Ixtlán de Juárez, Oaxaca, México (17° 23´ 0.50´´, 17° 23´ 0.58´´ N, 96° 28´ 45´´, 96° 28´ 53´´ O, y altitud media de 2780 m). La base de datos se obtuvo del análisis troncal de 34 individuos de P. ayacahuite. Los datos dasométricos se obtuvieron de rodajas extraídas inmediatamente después del tocón, de la altura del diámetro normal (DN, a 1.3 m del suelo y después del DN, a cada longitud comercial (2.62 m, 2.54 m y 1.25 m) hasta llegar al ápice del árbol. La información dasométrica fue edad-altura en cada sección de corte y edad-altura total del árbol; con ella se reconstruyó el perfil completo de cada individuo.
Los datos cubrieron un intervalo amplio de edades y alturas dominantes (Cuadro 1). El resumen estadístico incluyó: media, mediana, desviación estándar e intervalo de las variables para el ajuste de las funciones de crecimiento en altura dominante (HD).
Modelos biométricos empleados y derivación de modelos de autorreferencia
Para predecir el comportamiento dinámico y biológico se probaron cinco modelos base (curva guía) con estructura no lineal (Cuadro 2), clásicos en biometría forestal.
Cuadro 2 Modelos biométricos probados para modelar el crecimiento en altura dominante de Pinus ayacahuite Ehren.
| Modelo | Expresión | Código de ecuación |
|---|---|---|
| Schumacher (Schumacher, 1939) |
|
Ec. 1 |
| ChapmanRichards (Richards, 1959) |
|
Ec. 2 |
| Levakovic II (Levakovic, 1935) |
|
Ec. 3 |
| Hossfeld IV (Hossfeld, 1822) |
|
Ec. 4 |
| Gompertz (Gompertz, 1825) |
|
Ec. 5 |
donde: HD es altura dominante (m), E es edad del rodal (años), exp es función exponencial, ln es logaritmo natural y bi es parámetros a estimar.
En el modelado del crecimiento en HD e IS de P. ayacahuite se expresó cada modelo en sus formulaciones bajo curva guía y ADA (Cuadro 3). Para el caso de los modelos de Hossfeld IV y Chapman-Richards se plantearon dos formulaciones GADA (Cuadro 4). Estos enfoques permitieron tipos diferentes de curvas de IS (anamórficas, polimórficas y de polimorfismo asintótico).
Cuadro 3 Estructura de los modelos de crecimiento en sus formulaciones ADA (Algebraic Difference Approach Generalized).
| Modelo de Predicción | Modelos de proyección | |
|---|---|---|
| Schumacher |
Anamórfico: |
Polimórfico: |
| Chapman-Richards |
Anamórfico: |
|
| Polimórfico
b1: |
Polimórfico
b2 |
|
| Levakovic II |
Anamórfico: |
|
| Polimórfico
b1: | ||
| Polimórfico
b2: | ||
| Hossfeld IV |
Anamórfico |
|
| Polimórfico
b1: | ||
| Polimórfico
b2: | ||
| Gompertz |
Anamórfico: |
|
| Polimórfico b1: | ||
| Polimórfico
b2: | ||
donde: HD1 es altura dominante (m) en el estado 1 de la medición; HD2 es altura dominante del estado 2; E1 y E2 son edad del árbol (años) correspondiente a los estados 1 y 2. ln es logaritmo natural y bi son parámetros a estimar.
Cuadro 4 Estructura de dos modelos base con sus formulaciones GADA (Generalized Algebraic Difference Approach).
| Modelo | Parámetro relacionado al sitio | Solución para X con valores iniciales (HD1, E1) |
|---|---|---|
| Chapman-Richards: |
|
donde: L0 = In[1 exp(-b0E1)] |
| Hossfeld IV: |
|
|
La derivación de los modelos con curva guía implicó ajustar los modelos base para obtener la curva promedio en todo el intervalo de observaciones de HD - E, a partir de la cual se generaron curvas proporcionales por arriba y por abajo de la curva central en el orden siguiente: 1) cada ecuación de crecimiento (en su forma integral) se ajustó para generar la curva guía a una edad base (EB) a partir del valor predicho de HD, 2) se formuló el modelo en su expresión de índice de sitio, 3) se seleccionó y despejó el parámetro de la hipótesis de crecimiento de interés de la expresión de IS, y 4) se sustituyó la solución del parámetro en la ecuación original (integral).
El método ADA consistió en desarrollar la ecuación a ajustar en su forma diferenciada, al expresar la altura dominante futura (HD2) como una función de la edad futura (E2), de la edad inicial (E1) y de la altura dominante inicial (HD1). El modelo de diferencia algebraica que define la familia de curvas de IS se expresa como HD2 = f (HD1, E2, E1, β), donde HD2 es el valor de la altura dominante a una edad E2 (edad de proyección), HD1 es la altura dominante a una edad E1 (edad inicial) y β es el vector de parámetros de regresión (Clutter et al., 1983; Diéguez et al., 2005; Magaña et al., 2008; Santiago et al., 2013).
En el desarrollo de los modelos GADA se consideró: 1) selección de un modelo de crecimiento e identificación de los parámetros dependientes de la calidad del sitio, 2) expresión de los parámetros seleccionados como funciones de la calidad de estación definida por la variable X (variable no observable e independiente que describe la productividad del sitio) y los nuevos parámetros, 3) la ecuación base bidimensional seleccionada fue expandida a una ecuación explícita tridimensional de índice de sitio, y 4) se despejó el valor de X a partir de condiciones iniciales de la estación; es decir, se partió de valores de partida de edad y altura, de tal forma que el modelo fuera implícito y aplicable (Cieszewski y Bailey, 2000; Cieszewski, 2002; Vargas et al., 2010; Quiñonez et al., 2015).
Ajuste de modelos
Para el ajuste de las ecuaciones de curva guía se emplearon 468 pares de datos altura dominante-edad. En ADA y GADA se realizaron ajustes simultáneos para minimizar simultáneamente los errores del sistema de ecuaciones; HD1 = f (E1, b), HD2 = f (HD1, E2, E1, b) con 434 pares de datos no traslapados. Estos ajustes se realizaron mediante mínimos cuadrados no lineales con el procedimiento PROC MODEL de SAS/ETS® v. 9.0 (SAS Institute Inc., 2002). El análisis gráfico se realizó con R Project 3.2.3 (R Development Core Team, 2015).
Indicadores estadísticos
Los indicadores estadísticos para evaluar la bondad de ajuste de cada modelo probado se presentan en el Cuadro 5. El análisis gráfico de la capacidad predictiva y la significancia de los estimadores de los parámetros de cada modelo fueron la base para la elección de los mejores modelos. La significancia se evaluó con la prueba t Student, bajo H0: b i = 0 y un valor crítico α = 0.05 (Infante y Zarate, 2012).
Cuadro 5 Indicadores estadísticos para evaluar la bondad de ajuste de los modelos de crecimiento en altura dominante para Pinus ayacahuite Ehren.
| Indicador | Expresión |
|---|---|
| Coeficiente de determinación (Pseudo R2) |
|
| Coeficiente de determinación ajustado por el número de parámetros (R2-adj) |
|
| Suma de cuadrados del error |
|
| Cuadrado medio del error |
|
| Raíz del error medio cuadrático |
|
donde
Resultados y Discusión
Curva guía
Todos los modelos no lineales generaron ajustes adecuados. Los valores mayores de R2-adj fueron de los modelos de Levakovic II, Hossfeld IV y Chapman-Richards, pues explicaron cerca de 93.6 % de la varianza total de la altura dominante. Además, los tres modelos generaron los valores menores en SCE y, en consecuencia, en RECM. Cada uno presentó parámetros significativos, con valor de P menor a 1 % (Cuadro 6).
Cuadro 6 Estadísticas de bondad de ajuste y parámetros estimados de los modelos de predicción del crecimiento en altura dominante para Pinus ayacahuite Ehren.
| Modelo | SCE | CME | RECM | R2 | R2-adj | Estimación | P > |t| | |
|---|---|---|---|---|---|---|---|---|
| Schumacher | 3049.4 | 6.5438 | 2.5581 | 0.9267 | 0.9265 | b0 | 42.74808 | <0.0001 |
| b1 | 33.5607 | <0.0001 | ||||||
| Chapman-Richards | 2659.3 | 5.7190 | 2.3914 | 0.9361 | 0.9358 | b0 | 38.56064 | <0.0001 |
| b1 | 0.022142 | <0.0001 | ||||||
| b2 | 1.469665 | <0.0001 | ||||||
| Levakovic II | 2655.5 | 5.7107 | 2.3897 | 0.9362 | 0.9359 | b0 | 61.15912 | <0.0001 |
| b1 | 41.13109 | <0.0001 | ||||||
| b2 | 1.756719 | <0.0001 | ||||||
| Hossfeld IV | 2656.9 | 5.7138 | 2.3904 | 0.9361 | 0.9359 | b0 | 48.14863 | <0.0001 |
| b1 | 5.827152 | <0.0001 | ||||||
| b2 | 1.431855 | <0.0001 | ||||||
| Gompertz | 2811.7 | 6.0468 | 2.4590 | 0.9324 | 0.9321 | b0 | 31.26157 | <0.0001 |
| b1 | -3.34316 | <0.0001 | ||||||
| b2 | -0.04461 | <0.0001 | ||||||
SCE: suma de cuadrados del error; CME: cuadrado medio del error; RECM: raíz del error medio cuadrático; R2: coeficiente de determinación; R2-adj: coeficiente de determinación ajustado por el número de parámetros; bi: valor de parámetros estimados.
El análisis gráfico indicó que el modelo de Schumacher subestimó el crecimiento en edades tempranas. Al contrario, el modelo de Gompertz sobreestimó el crecimiento hasta con 1.5 m a los 2 años de edad. De acuerdo con los parámetros estimados (Cuadro 6) los valores asintóticos de los modelos de Schumacher, Levakovic II y Hossfeld IV fueron mayores a los que la especie puede alcanzar (hasta 40 m) (Perry, 1991).
El modelo de Chapman-Richards, que generó un valor asintótico más real, se seleccionó para la construcción de curvas de índice de sitio y las estimaciones de crecimiento se compararon con las metodologías ADA y GADA.
Ecuaciones dinámicas
Los modelos de proyección ADA en sus expresiones anamórficas y polimórficas presentaron ajustes excelentes (Cuadro 7) y sus parámetros fueron significativos (p ≤ 0.0001) (Cuadro 8), la excepción fue el modelo de Schumacher. Destacaron los modelos polimórficos derivados de Chapman-Richards (b 2 ), Levakovic II (b 2 ) y Hossfeld IV (b 1 ) por su valor mayor de coeficiente de determinación ajustado por el número de parámetros (R2-adj) y explicar aproximadamente 99 % de la varianza total. Estos modelos presentaron valores menores de SCE y CME. Los errores estándar menores los mostraron el modelo b 2 de Chapman-Richards y b 1 de Hossfeld IV, en adición con los valores asintóticos más reales observados. Así, en esta fase del análisis numérico, los dos últimos modelos fueron superiores a los otros.
Cuadro 7 Estadísticas de bondad de ajuste de los modelos de predicción y proyección bajo la metodología ADA.
| Predicción (HD1) | Proyección (HD2) | ||||||
|---|---|---|---|---|---|---|---|
| Modelo | SCE | CME | R2-adj | SCE | CME | R2-adj | |
| Schumacher Anamórfico | 8987.9 | 20.7813 | 0.7387 | 2154.2 | 4.9692 | 0.9362 | |
| Schumacher Polimórfico | 2919.7 | 6.7509 | 0.9151 | 2221.3 | 5.124 | 0.9342 | |
| Chapman-Richards anamórfico | 2454.9 | 5.6827 | 0.9286 | 475.2 | 1.0975 | 0.9859 | |
| Chapman-Richards Polimórfico b1 | 2447.1 | 5.6646 | 0.9288 | 397.5 | 0.9180 | 0.9882 | |
| Chapman-Richards Polimórfico b2 | 2447.5 | 5.6656 | 0.9288 | 352.2 | 0.8135 | 0.9896 | |
| Levakovic II Anamórfico | 2459.5 | 5.6932 | 0.9284 | 474.0 | 1.0946 | 0.9859 | |
| Levakovic II Polimórfico b1 | 2450.9 | 5.6735 | 0.9287 | 399.2 | 0.9218 | 0.9882 | |
| Levakovic II Polimórfico b2 | 2449.9 | 5.6710 | 0.9287 | 371.2 | 0.8573 | 0.9890 | |
| Hossfeld IV Anamórfico | 2455.3 | 5.6837 | 0.9285 | 475.5 | 1.0981 | 0.9859 | |
| Hossfeld IV Polimórfico b1 | 2447.1 | 5.6647 | 0.9288 | 398.4 | 0.9201 | 0.9882 | |
| Hossfeld IV Polimórfico b2 | 2450.3 | 5.6720 | 0.9287 | 500.9 | 1.1567 | 0.9851 | |
| Gompertz Anamórfico | 2550.2 | 5.9032 | 0.9258 | 600.5 | 1.3868 | 0.9822 | |
| Gompertz Polimórfico b1 | 2556.9 | 5.9187 | 0.9256 | 461.7 | 1.0662 | 0.9863 | |
| Gompertz Polimórfico b2 | 2524.7 | 5.8577 | 0.9258 | 674.6 | 1.5616 | 0.9798 | |
Cuadro 8 Valores de los parámetros estimados de forma simultánea para los modelos de crecimiento en HD por el enfoque ADA.
| Modelo | bi | Estimación | Error estándar | P > |t| |
|---|---|---|---|---|
| Schumacher anamórfico | b0 | 23.653 | 0.3434 | <0.0001 |
| b1 | 10.45587 | 0.1550 | <0.0001 | |
| Schumacher polimórfico | b0 | 36.9377 | 0.6447 | <0.0001 |
| b1 | 27.97976 | 0.7368 | <0.0001 | |
| Chapman-Richards anamórfico | b0 | 38.68393 | 1.4155 | <0.0001 |
| b1 | 0.021054 | 0.00138 | <0.0001 | |
| b2 | 1.390515 | 0.0410 | <0.0001 | |
| Chapman-Richards Polimórfico b1 | b0 | 38.00643 | 1.0392 | <0.0001 |
| b1 | 0.022102 | 0.00117 | <0.0001 | |
| b2 | 1.437551 | 0.0401 | <0.0001 | |
| Chapman-Richards Polimórfico b2 | b0 | 39.22716 | 1.1530 | <0.0001 |
| b1 | 0.020946 | 0.00128 | <0.0001 | |
| b2 | 1.414433 | 0.0498 | <0.0001 | |
| Levakovic II Anamórfico | b0 | 63.94109 | 2.9284 | <0.0001 |
| b1 | 52.83666 | 5.7550 | <0.0001 | |
| b2 | 1.529662 | 0.0626 | <0.0001 | |
| Levakovic II Polimórfico b1 | b0 | 61.98111 | 2.2948 | <0.0001 |
| b1 | 46.82683 | 4.4259 | <0.0001 | |
| b2 | 1.621179 | 0.0646 | <0.0001 | |
| Levakovic II Polimórfico b2 | b0 | 63.458 | 2.5390 | <0.0001 |
| b1 | 49.42909 | 5.4951 | <0.0001 | |
| b2 | 1.59386 | 0.0785 | <0.0001 | |
| Hossfeld IV Anamórfico | b0 | 49.91392 | 2.5091 | <0.0001 |
| b1 | 5.625445 | 0.0718 | <0.0001 | |
| b2 | 1.362065 | 0.0337 | <0.0001 | |
| Hossfeld IV Polimórfico b1 | b0 | 47.85916 | 1.8841 | <0.0001 |
| b1 | 5.721145 | 0.0785 | <0.0001 | |
| b2 | 1.406078 | 0.0325 | <0.0001 | |
| Hossfeld IV Polimórfico b2 | b0 | 46.82266 | 1.7840 | <0.0001 |
| b1 | 5.708496 | 0.0622 | <0.0001 | |
| b2 | 1.413273 | 0.0271 | <0.0001 | |
| Gompertz Anamórfico | b0 | 29.96692 | 0.5068 | <0.0001 |
| b1 | -3.26372 | 0.0683 | <0.0001 | |
| b2 | -0.0462 | 0.00124 | <0.0001 | |
| Gompertz Polimórfico b1 | b0 | 31.0351 | 0.4086 | <0.0001 |
| b1 | -3.28957 | 0.0859 | <0.0001 | |
| b2 | -0.04436 | 0.00115 | <0.0001 | |
| Gompertz Polimórfico b2 | b0 | 30.20798 | 0.3979 | <0.0001 |
| b1 | -3.4001 | 0.0628 | <0.0001 | |
| b2 | -0.04679 | 0.00107 | <0.0001 |
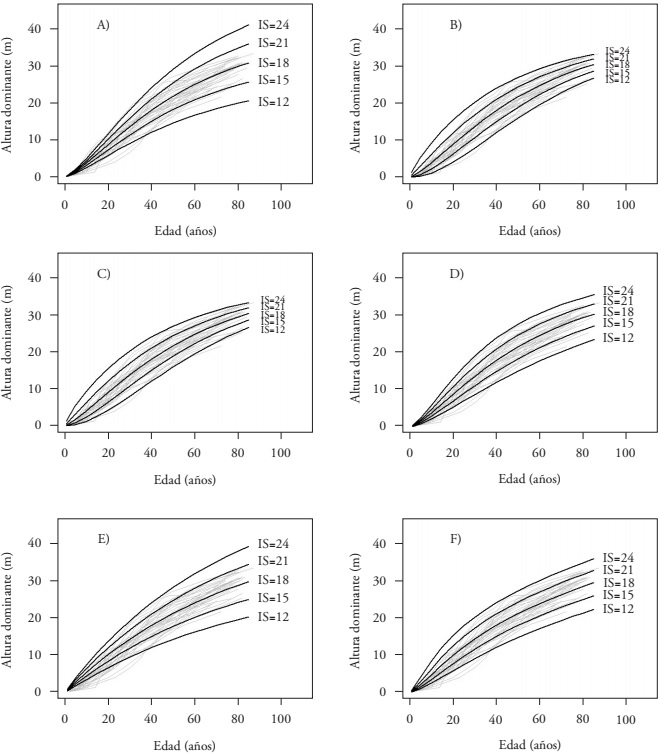
De acuerdo con la prueba t Student los parámetros de todos los modelos ajustados fueron estadísticamente significativos, con valores de p ≤ 0.0001, menores al valor crítico (α = 0.05). Así, cualquier valor menor a este límite representó un rechazo de H0. El análisis gráfico permitió verificar los resultados del ajuste al mostrar la tendencia dinámica para P. ayacahuite (Figura 1).

Figura 1 Familias de curvas de índice de sitio para Pinus ayacahuite a 40 años de edad base. A) y B): por el método de la curva guía, expresión anamórfica (b0) y polimórfica b2 de Chapman-Richards. C) y D): curvas dinámicas de crecimiento tipo ADA, modelo polimórfico b2 de Chapman-Richards y polimórfico b1 de Hossfeld IV. E) y F): curvas dinámicas de crecimiento tipo GADA del modelo de Chapman-Richards y Hossfeld, respectivamente.
Para la derivación de las estructuras GADA se consideraron los modelos de Chapman-Richards y Hossfeld IV (Cuadro 9), que se han utilizado ampliamente para el modelado del crecimiento forestal (Diéguez et al., 2006; Vargas et al., 2013; Tamarit et al., 2014; Quiñonez et al., 2015).
Cuadro 9 Estadísticas de bondad de ajuste y parámetros estimados de los modelos GADA
| Modelo | SCE | CME | RECM | R2-adj | Estimación | Error estándar | P > |t| | |
|---|---|---|---|---|---|---|---|---|
| Chapman-Richards | 353.6 | 0.9741 | 0.9870 | 0.9853 | b0 | 0.01255 | 0.00216 | <0.0001 |
| b1 | -0.83462 | 0.0384 | <0.0001 | |||||
| b2 | -0.29716 | 0.0809 | 0.0003 | |||||
| Hossfeld IV | 372.6 | 0.8645 | 0.9298 | 0.9889 | b0 | 33.00662 | 3.3777 | <0.0001 |
| b1 | 0.026752 | 0.00784 | 0.0007 | |||||
| b2 | -1.42868 | 0.0462 | <0.0001 | |||||
SCE: suma de cuadrados del error; CME: cuadrado medio del error; RECM: raíz del error cuadrático medio; R2-adj: coeficiente de determinación ajustado por el número de parámetros; bi: valor de parámetros estimados.
R2-adj de los dos modelos explicó varianza total mayor a 98 %. Los valores de SCE y CME fueron bajos, similares a los de los modelos ADA seleccionados y RECM mostró valores plausibles para ambas ecuaciones. Todas las estimaciones de los parámetros fueron significativas (p £ 0.01), y no existieron diferencias importantes entre ambos modelos ajustados. Las curvas se compararon para evaluar el desempeño de los modelos con estructura GADA (Figura 1).
Familias de curvas de índice de sitio para Pinus ayacahuite
Las curvas de IS, de 12, 15, 18, 21 y 24 m a la edad base de 40 años de los mejores modelos, construidas a partir de modelos con ajustes similares siguieren patrones de crecimiento diferentes (Figura 1a-f). Modelos diferentes pueden presentar los mismos estadísticos de bondad de ajuste o de comparación, pero respuesta distinta (unos subestiman en las primeras edades y sobreestiman con edades avanzadas y viceversa) (Diéguez et al., 2006).
Las trayectorias sobrepuestas de los datos observados de IS, en este caso de tipo anamórfica del modelo de Chapman-Richards, mostraron que el patrón de crecimiento en altura dominante de P. ayacahuite sigue tendencias diferentes, como reflejo del polimorfismo (Figura 1A). Al respecto, Corral et al. (2004) señalaron que las funciones anamórficas generalmente no son las más adecuadas para representar el crecimiento en altura dominante porque las formas de las curvas varían entre sitios. Por tanto, el crecimiento en altura dominante es realmente polimórfico. Debido a lo anterior, la estructura anamórfica fue descartada para describir el crecimiento en altura dominante.
Asimismo, las discrepancias mayores se observan en edades tempranas. Al respecto, Huang (1999) sugirió que el crecimiento errático de altura a edades jóvenes se debe a que estas reaccionan más a los extremos climáticos anormales y pueden tener efecto en la altura total del árbol, lo cual es frecuentemente determinado por factores distintos a la calidad del sitio. Por ello, Vargas et al. (2013) señalan inconveniente seleccionar una edad de referencia demasiado joven para clasificar correctamente la calidad del sitio.
La derivación polimórfica b 2 de Chapman-Richards y b 1 de Hossfeld IV fueron robustas en los modelos ADA, de acuerdo con los indicadores de bondad de ajuste y la significancia de los parámetros estimados (Cuadros 7 y 8). En los resultados gráficos (Figura 1C y D) se observó que ambos modelos agruparon satisfactoriamente los datos reales observados, de la calidad de sitio mayor y menor. Pero, el modelo derivado de Chapman-Richards agrupó mejor los datos de edades tempranas que el modelo de Hossfeld IV. Por lo tanto, la estructura polimórfica b 2 de Chapman-Richards fue superior que la derivación b 1 de Hossfeld IV para predecir el crecimiento en altura dominante. Este último modelo fue similar al de Hossfeld IV, seleccionado con la metodología GADA, que tuvo bondades de ajustes y desempeño gráfico adecuados. De esta forma, los dos modelos ADA especificados resultaron seleccionados.
El análisis numérico de los modelos derivados de Chapman-Richards y Hossfeld IV, con formulación GADA, no mostró diferencias importantes; pero el modelo de Hossfeld IV fue más realista en el resultado gráfico, porque generó predicciones con tendencias similares a los perfiles observados. Además, las curvas de índice de sitio agruparon mejor los datos observados.
Para los sitios de calidad mayor el modelo de Chapman-Richards sobreestimó el crecimiento, lo contrario sucedió en los sitios de calidad baja (Figura 1E). Por ello, se concluyó que para predecir el crecimiento en altura dominante de P. ayacahuite con estructura GADA el modelo derivado de Hossfeld IV es adecuado. En consecuencia, para comparar las estimaciones de crecimiento y la productividad de los rodales de P. ayacahuite con las tres metodologías la selección es: modelo polimórfico b 2 de Chapman-Richards por el método de la curva guía, polimórfico b 2 de Chapman-Richards y b 1 de Hossfeld IV en ADA y de Hossfeld IV en GADA.
Los modelos de Chapman-Richards y Hossfeld IV se han utilizado ampliamente para modelar el crecimiento forestal, por el método de la curva guía y en sus versiones de diferencia algebraica y diferencia algebraica generalizada. Como ejemplos para el modelo de Chapman-Richards, Diéguez et al. (2006) construyeron curvas dinámicas de crecimiento para Pinus tadea L. en EUA y Vargas et al. (2010) estudiaron Pinus cooperi Blanco en Durango, México, con los modelos comparados y derivaciones de Korf y Hossfeld IV. Además, Quiñonez et al. (2015) desarrollaron una expresión GADA para compararla con la estructura derivada por Krumland y Eng (2005) en masas forestales de Durango.
El modelo Hossfeld IV lo ejemplificaron Gómez et al. (2009) para describir la altura dominante de plantaciones de E. grandis Hill ex Maiden y De los Santos et al. (2006) con E. urophylla S. T. Blake, en Oaxaca. En este último evaluaron el crecimiento de plantaciones de Terminalia amazonia (Gmel.) Excell, en dos regiones de Costa Rica. También Santiago et al. (2013) investigaron la construcción de un sistema compatible de crecimiento y rendimiento para rodales coetáneos de Pinus patula Schl. et Cham.
Las gráficas de los residuos para los modelos seleccionados con las tres metodologías se presentan en lA. Se observa que en los modelos dinámicos ADA y GADA la dispersión de los residuales fue menor (-4 a 3 m), comparada con el modelo seleccionado bajo la curva guía (-6 a 8 m) (Figura 2). Además, esta última mostró tendencia ligera, con forma de embudo, a edades tempranas, la distribución de los residuales de los demás modelos no mostró evidencia de heterocedasticidad y mostró patrón aleatorio de los residuos alrededor de la línea de referencia (línea cero). Esto se debió a la naturaleza de los datos empleados en las ecuaciones dinámicas ADA y GADA, los que permitieron el ajuste simultáneo y la comparación de tasas de cambio. Por esto, los estudios realizados para la construcción de curvas de índice de sitio se han desarrollado con la metodología de las ecuaciones en diferencias algebraicas o en su forma generalizada (Castillo et al., 2013; Vargas et al., 2013; Quiñonez et al., 2015).
Conclusiones
Los modelos polimórfico b2 de Chapman-Richards en curva guía, el polimórfico b2 de Chapman-Richards, el polimórfico b1 de Hossfeld IV en diferencia algebraica y el modelo de Hossfeld IV en diferencia algebraica generalizada son una opción adecuada para predecir el crecimiento en altura dominante de P. ayacahuite. Con estos modelos puede cuantificarse la productividad maderera. El modelo polimórfico b2 de Chapman-Richards, en diferencia algebraica, se recomienda para determinar el índice de sitio y seleccionar los regímenes de manejo apropiados para rodales de P. ayacahuite del bosque de Ixtlán de Juárez, Oaxaca, dada su capacidad predictiva, el comportamiento gráfico y la implementación sencilla.










texto en 



