Introducción
El frijol (Phaseolus vulgaris L.) es la leguminosa alimenticia más importante en el mundo. Este cultivo se produce en sistemas, regiones y ambientes diversos en América Latina, África, el Medio Oriente, China, Europa, EE.UU. y Canadá. En 2013 la producción mundial fue 23.1 millones Mg (CEDRSSA, 2014). El cultivo de frijol se realiza en casi todas las regiones y condiciones de suelo y clima de México, desde el nivel del mar hasta 2700 m. Por lo tanto, el frijol es el segundo cultivo más importante en superficie sembrada total de México, después del maíz (Zea mays L.) (Secretaría de Economía, 2012).
El frijol es una fuente importante de proteínas (14 a 33%), almidón, vitaminas del complejo B, minerales (Ca, Cu, K, Mg, P, y Zn) y fibra alimentaria (15.5 a 21.0 g por cada 100 g de grano cocinado). Es deficiente en aminoácidos azufrados y triptófano pero contiene cantidades suficientes de lisina (1.2 a 1.5 g por 100 g de grano) (Peña-Valdivia et al., 2011). Las semillas pueden consumirse inmaduras, maduras, frescas o secas (OECD, 2016).
Los frijoles cultivados son resultado del proceso de domesticación de ancestros silvestres (Peña-Valdivia et al., 2012). Las variantes domesticadas difieren de las silvestres en el tamaño mayor de las semillas, la permeabilidad mayor de la testa seminal, pérdida de latencia, incremento de la variabilidad de colores y disminución del contenido de pigmentos antifisiológicos (Peña-Valdivia et al., 2012); Delgado y Gama, 2015). El color de la semilla, su brillo, tamaño y forma pudieron haber sido algunas de las características responsables de la selección al inicio del proceso de domesticación (Peña-Valdivia et al., 2012).
El tamaño de la semilla y el hábito de crecimiento están relacionados con la eficiencia en la asignación de biomasa al grano en el ambiente de crecimiento, pero además depende de otras características de la semilla, como el vigor (Celis-Velázquez et al., 2010; OECD, 2016). Según González et al. (2008), el peso de 100 semillas de frijol fue alterado por las condiciones de secano y la calidad de la semilla fue más afectada después del envejecimiento acelerado. En contraste el frijol silvestre mantuvo su capacidad de emergencia después de permanecer en condiciones de envejecimiento acelerado (Peña-Valdivia et al., 1999). La pérdida de latencia (Peña-Valdivia et al., 2002), el incremento de la impermeabilidad al agua y la disminución de la dureza de las semillas de frijol durante la domesticación se relacionan con características de la testa Peña-Valdivia et al., 1999 y 2011).
La latencia es un estado físico que impide la germinación de las semillas maduras aunque existan las condiciones ambientales que la promuevan (OECD, 2016). Esta condición no es estática, ya que algunas semillas pueden pasar por ciclos con latencia y sin ella, a menudo inducidos por las condiciones ambientales (Bewley, 1997). La escarificación mecánica, que no daña al embrión, rompe la latencia en las semillas de frijol silvestre (López H. et al., 2001), pero las semillas de los frijoles conocidos como intermedios no presentan este fenómeno (Lépiz I.et al., 2005). Además, el almacenamiento por varios meses a temperatura ambiente (unos 25 °C) elimina gradualmente la latencia de las semillas silvestres (Peña-Valdivia et al., 2005).
La capacidad de germinación y el vigor son los atributos principales involucrados en la calidad fisiológica de la semilla. La germinación es el proceso fisiológico mediante el cual emergen y desarrollan, a partir del embrión, las estructuras esenciales para la formación de una planta normal (Delouche, 2002). Este proceso inicia con una variedad de actividades anabólicas y catabólicas, como la respiración, la síntesis de proteínas y la movilización de las reservas después de la absorción de agua (Desai, 2004). El vigor de las semillas es su potencial biológico para el establecimiento rápido y uniforme en condiciones, incluso desfavorables, de las plantas en el campo (González et al., 2008). Los factores externos, como la temperatura, agua, oxígeno y luz, influyen directamente en la germinación de las semillas. La emergencia de una plántula depende entonces de las características fisiológicas y bioquímicas de las semillas, de su reacción a las condiciones externas a ella, y de la eficiencia al usar sus reservas durante la germinación (Peña-Valdivia et al., 2013). Al respecto, al evaluar la eficiencia del uso de reservas seminales para la germinación y emergencia de las plántulas en cultivares mejorados, cultivares criollos y variantes silvestres, Celis-Velázquez et al. (2010) observaron que los cultivares mejorados fueron más eficientes en el uso de reservas que las demás variantes.
Las semillas de frijol silvestre son impermeables al agua, lo cual puede impedir la germinación. En las semillas, las estructuras como el hilio, el micrópilo y el poro de la chalaza regulan la absorción de agua. Al respecto, Pérez-Herrera y Acosta-Gallegos (2002) señalan que la participación de la testa y la región micrópilo-hilio participan diferente en el proceso de absorción de agua en las variantes domesticadas y silvestres; en la mayoría de los genotipos silvestres y en algunos cultivares la participación de las estructuras micrópilo e hilio fue substancial en la imbibición y su testa fue impermeable. Una excepción fue el cv. Flor de Mayo Bajío en el que la absorción de agua se realiza principalmente a través de la testa.
La testa representa 8 a 10%del total de las semillas (Celis-Velázquez et al., 2010), está compuesta de 67% de fibra insoluble y 4% de fibra soluble, y es rica en compuestos fenólicos, que son susceptibles de polimerización y contribuyen a la impermeabilización de la testa (Shiga et al., 2011).
El almacenamiento en condiciones que dañan la semilla, como temperatura y humedad relativa altas, ocasionan el fenómeno dureza para la cocción del frijol domesticado, pero no del silvestre (Peña-Valdivia et al., 1999). Otras características intrínsecas a la semilla, como el grosor, la composición y la microestructura de la testa, pueden afectar la dureza de la semilla; además, los cambios durante la postcosecha, como la oxidación de lípidos, la formación de pectatos insolubles y las modificaciones de los componentes de la pared celular, también pueden alterar irreversiblemente a las semillas. Según Velasco-González et al. (2013), cultivares de frijol con contenido alto de cenizas (de 3.60 a 4.63%) presentan absorción mayor de agua, y la dureza de la semilla se correlacionó inversamente con la absorción. Los autores confirman que las estructuras más densas de la testa provocaron menos absorción de agua y dureza mayor de las semillas. Al respecto, Peña-Valdivia et al., (2012) coinciden en la correlación inversa de la dureza de la semilla y la absorción de agua entre variantes silvestres y cultivares de frijol, pero el contenido de cenizas en las silvestres fue mayor o igual (4.3%) que en los cultivares.
En México existe un potencial genético con numerosas variantes silvestres de frijol, que pueden usarse como fuente de resistencia a estrés biótico y abiótico, con características agronómicas y nutricionales mejores que los tipos domesticados (Peña-Valdivia et al., 2011; Delgado y Gama, 2015). Las respuestas bioquímicas y fisiológicas de las plantas silvestres, a factores ambientales que influyen en su crecimiento y desarrollo, y de las semillas silvestres se conocen parcialmente (García H. et al., 1997; Celis-Velázquez et al., 2010; Peña-Valdivia et al., 2010; 2011; Porch et al., 2013), pero las características morfológicas y bioquímico-fisiológicas de la progenie de las variantes domesticadas y silvestres de frijol son casi desconocidas. Ello se debe a que estas cruzas se han realizado muy poco, pues los mejoradores prefieren usar líneas élite dentro de las clases comerciales y evitan el germoplasma silvestre (Porch et al., 2013).
El objetivo de este estudio fue evaluar las características físicas y la germinación de semillas y la emergencia de plántulas de frijol (P. vulgaris L.) silvestre, domesticado y su progenie. La hipótesis fue que una o más características de la progenie sobresalen respecto a los cultivares.
Materiales y Métodos
Material biológico
En este estudio se evaluaron tres variantes silvestres de frijol (Chihuahua, Durango Típico y S13), dos domesticadas (cv. Bayo Mecentral y Negro Tacaná) y cinco progenies derivadas de la cruza del cv. Negro Tacaná y la variante silvestre S13 (Número de identificación 3.3, 11.1, 51b, 53b y 118b) (Fernández et al., 1982; Toro et al., 1990; García-Nava et al., 2014).
Variables evaluadas
Las características evaluadas fueron: anchura, biomasa, grosor, longitud, proporción de cotiledones, eje embrionario y testa, porcentaje de germinación y emergencia de las plántulas.
Biomasa. Cien semillas de cada variante se pesaron individualmente en una balanza analítica (Marca Scentiech Modelo No: SA120, precisión ±0.0001 g).
Dimensiones. Cien semillas de cada variante se midieron individualmente, con un vernier digital (Truper, CALDI-6MP; 14388).
Estructuras de la semilla. La testa, los cotiledones y el eje embrionario se separaron con bisturí después de remojar las semillas 12 h a 5±2 °C; se deshidrataron a 75 °C por 72 h y su biomasa se determinó en una balanza analítica. El porcentaje de cada estructura se calculó en seis repeticiones de tres semillas cada una.
Germinación. La germinación de las semillas a 25±1 °C y oscuridad (ISTA, 2009) se evaluó en cajas Petri con semillas no escarificadas. Diez semillas por caja Petri representaron una unidad experimental y se evaluaron cinco repeticiones. El número de semillas germinadas se cuantificó cada 12 h. La germinado las semillas se consideró ocurrida cuando la radícula había emergido y tenía longitud de 1 cm; esta medición se realizó con un calibrador digital tipo Vernier, estándar y milimétrico (Truper, CALDI-6MP; 14388).
Emergencia. La emergencia se cuantificó después de sembrar las semillas en charolas de material plástico, con tezontle como sustrato con partículas ≤0.5 cm y a 4 cm de profundidad. Las semillas se escarificaron con un corte, con un bisturí, en la testa, en el lado opuesto al micrópilo. Quince semillas se sembraron por charola, se obtuvieron cinco charolas por variante y cada una fue una repetición. Las charolas se mantuvieron húmedas mediante riego con agua dos o tres veces por semana, desde la siembra hasta que las hojas primarias estuvieron completamente desplegadas (etapa V2) (Fernández et al., 1982). La emergencia de las plántulas se evaluó cada 12 h; la emergencia se consideró exitosa cuando los cotiledones se observaron al nivel de suelo (Fernández et al., 1982). Las charolas se colocaron en un invernadero de polietileno ubicado en el Colegio de Postgraduados en Montecillo, Municipio de Texcoco, Estado de México (19° 31’ N, 98° 53’ O y 2353 msnm), durante el ciclo otoño-invierno del 2014. La temperatura promedio máxima fue de 19.4 °C y la mínima de 12.2 °C dentro del invernadero.
Diseño experimental y análisis de resultados
El diseño experimental fue completamente al azar, los tratamientos fueron las 10 variantes de frijol (tres silvestres, dos domesticadas y cinco progenies derivadas de la cruza del cultivar Negro Tacaná y el silvestre S13), con cinco repeticiones. Los resultados se analizaron con ANDEVA y comparación múltiple de medias de Tukey (p≤0.05).
Resultados y Discusión
Biomasa de las semillas
La biomasa promedio de las semillas fue diferente (p≤0.05) entre los tres grupos, las silvestres tuvieron los valores menores, en promedio entre 49.9 y 76.1 mg por semilla. De ellas las de S13 fueron las más livianas y las de Chihuahua y Durango Típico fueron en promedio 52% más pesadas. Las muestras de frijol silvestre tuvieron cierta heterogeneidad en la biomasa seminal, pues el coeficiente de variación (CV) de las muestras varió entre 14.93% y 16.82% en S13 y Durango Típico hasta 27.27% en Chihuahua (Figura 1).

Figura 1 Biomasa de semillas (±error estándar) de frijol (Phaseolus vulgaris L.) silvestre, domesticado y progenie del domesticado Negro Tacaná y silvestre S13.
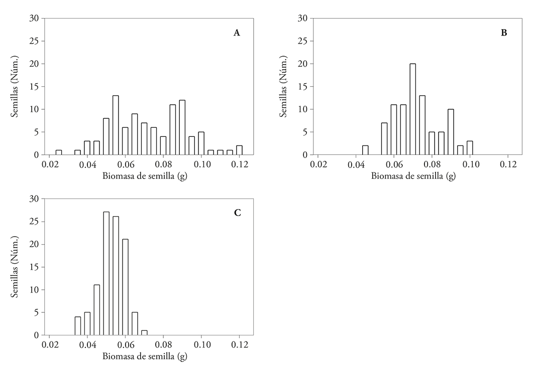
Las diferencias en la biomasa de las semillas silvestres dentro de cada muestra se confirmaron con la distribución de la frecuencia de biomasa (Figura 2), la cual difirió entre las tres variantes silvestres. La de las semillas de Chihuahua fue asimétrica y mostró dos máximos, uno alrededor de 55 mg y otro alrededor de 90 mg. La biomasa de las semillas de Chihuahua mostró la distribución más amplia entre las silvestres, desde 30 hasta 120 mg, es decir las semillas con biomasa menor de la muestra fueron cuatro veces más livianas que las más pesadas (Figura 2A).

Figura 2 Frecuencia de biomasa de semillas de frijol (Phaseolus vulgaris L.) silvestre. (A) Chihuahua, (B) Durango Típico y (C) S13. Núm: Número.
La distribución de la frecuencia de biomasa de las semillas en la muestra Durango Típico fue casi simétrica, con cierto sesgo hacia semillas con biomasa menor que la media, y mostró moda en torno a los 70 mg. Esa distribución mostró que las semillas de esta muestra se localizaron entre 45 y 100 mg, y que las semillas con biomasa menor fueron dos veces más livianas que las más pesadas (Figura 2B).
La distribución de la frecuencia de biomasa de las semillas de la muestra S13 fue simétrica, mostró moda alrededor de los 50 mg. Esa distribución mostró que las semillas S13 pesaban entre 35 y 70 mg, pero 73% de las semillas en la muestra se concentró alrededor de los 50 y 60 mg (Figura 2C).
Entre las características distintivas de las poblaciones silvestres de frijol, y de otras especies, está la heterogeneidad de sus caracteres morfológicos, fisiológicos y agronómicos que contrastan con la homogeneidad de los tipos domesticados (Harlan, 1992; Peña-Valdivia et al., 2012). En oposición a lo que podría esperarse, de acuerdo con el CV, la heterogeneidad de la biomasa de las semillas de los cultivares fue similar a la de las muestras silvestres, con excepción de Chihuahua, que fue cerca del doble que las otras.
Ya que las semillas silvestres se multiplicaron varias veces en condiciones de campo de cultivo, antes de usarlas en el estudio, es posible que uno de los efectos del cultivo de estas semillas haya sido la tendencia a homogeneizar su biomasa después de varios ciclos. Un efecto similar se observó en algunas plantas de una población silvestre originaria de Durango, que duplicaron su biomasa seminal de una generación a otra (Peña-Valdivia et al., 2012). Según García H. et al. (1997) y Berrocal-Ibarra et al. (2002) hay otros cambios sobresalientes en la morfología y biomasa de las semillas silvestres debidos al cultivo repetido.
Como se esperaba, las semillas de los cultivares fueron las más pesadas entre todas las muestras, pues una característica del síndrome de domesticación es el incremento del tamaño de semilla (Harlan, 1992). La biomasa de los cultivares fue diferente (p≤0.001); en promedio las semillas de Bayo Mecentral (311.6 mg; CV=15.21%) fueron 26% más pesadas que las de Negro Tacaná (247.6 mg; CV=17.98%) y de acuerdo con el CV la homogeneidad fue relativamente similar en ambas muestras. Esto último se confirmó con la distribución de frecuencia de la biomasa seminal, que fue simétrica alrededor de la media y la moda (47% de las semillas de la muestra de Negro Tacaná y 29% de la de Bayo Mecentral) se situó próxima a los 250 y 325 mg (Figura 2B).
La biomasa varias veces menor de las semillas silvestres de frijol respecto a las domesticadas está documentado (Celis-Velázquez et al., 2010; Lépiz I.et al., 2010). Pero la distribución de frecuencia de biomasa seminal mostró traslapo entre las semillas silvestres, Chihuahua y Durango Típico, con las domesticadas. La biomasa de las semillas más pesadas (entre 150 y poco más de 250 mg) de esas muestras silvestres fue similar a la de las más ligeras de ambos cultivares (Figuras 3A-B y 4A-B). Estos resultados fueron similares a los obtenidos por Peña-Valdivia et al. (1998) con otras muestras silvestres y domesticadas.

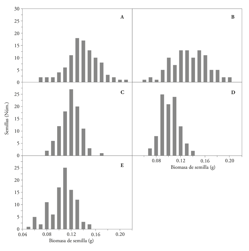
Figura 3 Frecuencia de biomasa de las semillas de frijol (Phaseolus vulgaris L.) domesticado. (A) Bayo Mecentral y (B) Negro Tacaná. Núm: Número.
En la biomasa seminal de la progenie se detectaron diferencias estadísticas (p≤0.05). Los valores promedio fluctuaron de 106.3 a 138.9 mg por semilla; las semillas de la muestra 53b tuvieron 20 a 23% menos biomasa que 3.3, 11.1 y 51.b (Figura 1). De acuerdo con el CV la heterogeneidad de esta característica en las semillas en la progenie 51b (12.77%) y 53b (13.94%) fue baja y en 3.3 (19.94%), 11.1 (21.09%) y 118b (19.15%) fue mayor. Las muestras de las selecciones 51b y 53b fueron las más homogéneas, incluyendo las silvestres y las domesticadas; y sobresalió que fueran 1 a 5% más homogéneas que sus progenitores. Según estos resultados, las semillas de la progenie de frijol domesticado y silvestre pueden presentar como característica excepcional la homogeneidad alta en su biomasa.
La distribución de la frecuencia de biomasa de las semillas en la progenie mostró diferencias entre las muestras evaluadas (Figura 4). En las selecciones 3.3, 51b y 118b la biomasa seminal presentó distribución simétrica, con moda entorno a los 130, 120 y 110 mg. La biomasa de las semillas de la muestra 3.3 abarcó el intervalo más amplio (35 y 70 mg) de las tres muestras y 33% de la biomasa de las semillas en ella se concentró alrededor de 13 y 14 mg (Figura 4A) y 60% y 50% de las semillas de 51b y 118b tuvieron entre 110 y 120 mg (Figuras 4C y E).

Figura 4 Frecuencia de biomasa de semillas de la progenie de frijol (Phaseolus vulgaris L.) domesticado (Negro Tacaná) y silvestre (S13). (A) 3.3, (B) 1.11, (C) 51b, (D) 53b y (E) 118b. Núm: Número.
Entre los cambios reconocidos como resultado de la domesticación está el aumento de la biomasa o del tamaño de los órganos de la planta, en particular de las semillas. PeroPeña-Valdivia et al. (1998) muestran que el aumento de la biomasa seminal, como parte del síndrome de domesticación, no representa el incremento proporcional de cada una de sus estructuras. Esos cambios se relacionaron con la capacidad de emergencia de las plántulas y su vigor (biomasa acumulada en la raíz y foliolos y diámetro del hipocótilo) (Celis-Velázquez et al., 2008). Así, la biomasa o tamaño homogéneo de la semilla es un carácter de calidad agronómica y para los consumidores del grano (Celis-Velázquez et al., 2010).
Proporción de cotiledones, eje embrionario y testa en las semillas
La proporción de los cotiledones, el eje embrionario y la testa en las semillas mostraron diferencias (p≤0.05) entre las variantes silvestres, domesticadas y progenie y entre los grupos (Cuadro 1).
Cuadro 1 Proporción relativa (%) de estructuras seminales en semillas de frijol (Phaseolus vulgaris L.) silvestre, domesticado y progenie del domesticado Negro Tacaná y silvestre S13.

Valores con letras diferentes en una columna muestran diferencias significativas (p≤0.05).
Entre las variantes silvestres se observó un gradiente del contenido de estructuras seminales; en S13 tuvo la proporción menor (p≤0.05) de cotiledones, y la proporción de eje embrionario y testa fue mayor (doble y 46% más) que en Chihuahua y Durango Típico (Cuadro 1).
La proporción de cotiledones y de testa fue similar (p›0.05) entre los cultivares, pero la del eje embrionario fue mayor (p≤0.05) en Bayo Mecentral; la diferencia representó 13.6% más de esta estructura en las semillas de este cultivar, respecto a las de Negro Tacaná. Además, en promedio la proporción de cotiledones en los cultivares fue significativamente mayor (22.4%) que en los silvestres (Cuadro 1).
La proporción de cotiledones no fue diferente (p›0.05) entre las semillas de la progenie y en promedio fue 86.15% de la biomasa total de ellas; pero sí difirió (p≤0.05) de la de ambos progenitores; fue 3.7% menor respecto al domesticado y 16% mayor respecto al silvestre. Estos resultados indicaron que las selecciones de la progenie evaluadas tendieron a igualar la proporción de cotiledones en las semillas del progenitor domesticado (Cuadro 1).
La germinación es una respuesta coordinada que involucra las interacciones bidireccionales entre el eje embrionario y los cotiledones; por lo tanto, la relación de esas dos estructuras en las semillas de frijol es fisiológicamente relevante. Según Yan et al. (2014), los tejidos como los cotiledones en la semilla tienen una función importante en el crecimiento embrionario por suministro de nutrientes, protección del eje embrionario y control de su crecimiento, pues actúan como barrera mecánica durante la germinación y desarrollo de la plántula. Esos autores señalan que un subconjunto de tejidos de los cotiledones está compuesto de células vivas aún después de la maduración de la semilla y son activas en la regulación de la germinación y además, análisis de transcriptoma muestran funciones reguladoras nuevas de los cotiledones durante este proceso. Además, el eje embrionario libera señales hacia los cotiledones relacionadas con la degradación de las reservas de la semilla. Los avances en biología de semillas muestran que los cotiledones detectan señales ambientales, producen y liberan señales que regulan el crecimiento del eje embrionario (Yan et al. (2014).
El contenido adecuado de cotiledón en la semilla puede favorecer la germinación y emergencia de la plántula por la cantidad de reservas que representa; pero el eje embrionario puede ser la estructura seminal más importante porque la germinación, emergencia y establecimiento de la planta como organismo autótrofo dependen de su actividad metabólica (Peña Valdivia et al., 1998). Esto se puede relacionar con la capacidad de las semillas silvestres para sobrevivir y germinar en las condiciones adversas de los ambientes donde subsisten. Así, la misma característica en las semillas de la progenie podría favorecer su éxito de germinación en ambientes agrícolas restrictivos.
La proporción de testa mostró diferencias (p≤0.05) entre y dentro de los grupos de variantes. Entre las semillas silvestres S13 tuvo la proporción mayor de esta estructura y fue poco más de 30% que en las semillas de Chihuahua y Durango Típico (Cuadro 1).
El contenido de testa en los frijoles domesticados fue 7.79% del total de la semilla. Esta proporción fue menor (p≤0.05) a la correspondiente al grupo silvestre, pues en promedio fue la mitad. La diferencia entre S13 y cv. Negro Tacaná fue una de las mayores, pues en las semillas del silvestre la testa fue cerca de tres veces más abundante que en las domesticadas (Cuadro 1). Peña-Valdivia et al., 1999 reportan resultados similares (9% y 14%, en cada caso) en muestras de frijol domesticado y silvestre.
La proporción de testa en las progenies formó dos grupos con base en su similitud; 3.3 y 51b fue un grupo con contenido promedio de 11.07% y fue menor (p≤0.05) al grupo formado por 53b y 118b, con promedio de 12.53%. El contenido de testa en las semillas de la progenie se redujo 43 y 35.3% respecto al progenitor silvestre S13 y aumento 45.2 a 64.3% respecto al progenitor domesticado, Negro Tacaná (Cuadro 1). Estos resultados indicaron que la progenie del frijol silvestre y domesticado tendió a mantener una proporción de testa equivalente al promedio de los progenitores.
De acuerdo con Peña-Valdivia et al. (2002), la proporción mayor de testa en los frijoles silvestres parece estar relacionada con la regulación de la entrada de agua a la semilla durante la imbibición y la protección de sus estructuras internas, debido a la adaptación al ambiente natural donde permanecen estas semillas, por meses o años, desde su liberación de la planta que las origina hasta su germinación. Por lo anterior, la disminución de la proporción de testa en las semillas de la progenie, respecto al progenitor silvestre, es un carácter agronómico deseable.
La proporción de eje embrionario en las semillas mostró diferencias (p≤0.05) entre y dentro de los grupos de variantes. Las variantes silvestres formaron dos grupos según su proporción de esta estructura seminal. Las de Chihuahua y Durango Típico formaron un grupo con (1.53%) cerca de 30% menos proporción que las semillas de S13 (Cuadro 1). Estos resultados mostraron que la proporción significativamente menor de cotiledones en las semillas S13 se complementó con la testa y el eje embrionario.
La proporción de eje embrionario no difirió entre los cultivares (1.33%), y contrastó con las proporciones mayores de esta estructura en las semillas silvestres; las diferencias representaron entre 12.2 y 38.2% menos eje embrionario en aquellos respecto a los silvestres (Cuadro 1). Estos resultados fueron similares a los de Peña-Valdivia et al. (1998) con muestras silvestres originarias de Durango y el cultivar Bayo Mecentral multiplicados en el mismo campo y ciclo de cultivo; además, las semillas silvestres tuvieron 2.18% de testa y las del cultivar 1.6%.
El análisis estadístico indicó que la proporción de eje embrionario no fue diferente (p›0.05) entre las semillas de la progenie (2.12% en promedio). La proporción de eje embrionario en éstas fue mayor (p≤0.05) respecto al progenitor domesticado y el aumento fue 69%; en contraste, esa proporción fue menor (p≤0.05) respecto al progenitor silvestre, aunque en promedio representó solo 2.3% (Cuadro 1). Las semillas de las progenies en nuestro estudio tendieron a mantener la proporción relativa de eje embrionario que presentaron las silvestres.
Dimensiones de las semillas
Anchura
La anchura de las semillas silvestres varió de 4.02 mm, en S13, a 4.66 mm, en Durango Típico, y mostró diferencias (p≤0.05) entre las variantes. Aunque en promedio las de Bayo Mecentral fueron solo 2% más anchas que las de Negro Tacaná, la diferencia fue estadísticamente significativa y en promedio fueron 65% más anchas que las variantes silvestres; pero la diferencia entre las de Negro Tacaná y S13 fue menor, ya que aquellas fueron 42% más anchas que las silvestres (Figura 5A).

Figura 5 Anchura y longitud (±error estándar) de semillas de frijol (Phaseolus vulgaris L.) silvestre, domesticado y progenie de la cruza de domesticado Negro Tacaná y silvestre S13.
La anchura de las semillas fue un carácter poco variable dentro y entre las variantes silvestres y domesticadas, ya que en el primer grupo el CV varió entre 6.47% (en S13) y 9.38% (en Durango Típico) y en los domesticados fue menor a 8% (7.67% en Bayo Mecentral y 5.63% en Negro Tacaná) (Figura 5A).
La anchura de las semillas en las selecciones de la progenie fluctuó entre 5.29 mm (en 53b) y 5.96 mm (en 11.1); aunque existieron diferencias significativas (p≤0.05) entre alguna de ellas y en otras no; así, la selección 118b fue similar (p≤0.05) con 1.1 y 51b (Figura 5A). Esta característica seminal fue homogénea entre la progenie, como lo mostró el CV menor a 7.72% de la mayoría, con excepción de 11.1 (CV 10%).
La anchura de las semillas S13 fue 42% menor que la del domesticado Negro Tacaná, y la progenie fue en promedio 42% mayor que la del progenitor silvestre y 18% menor que la del progenitor domesticado (Figura 5A). Los resultados indicaron que la anchura es una característica seminal sobresaliente de la progenie, pues es un carácter estable.
Longitud
En la longitud de las semillas hubo diferencias estadísticas dentro y entre los grupos de las silvestres, domesticadas y progenie (Figura 5B). En las silvestres esta característica varió de 6.48 mm (CV 9.35%), en S13, a 7.06 mm (CV 7.98%) en las semillas de Durango Típico. La longitud de las semillas de los frijoles domesticados fue diferente (p≤0.001) entre ellos: las del cv. Negro Tacaná 10% más largas (CV 7.43%) que las del cv. Bayo Mecentral (CV 8.36%).
La longitud de las semillas de la progenie también mostró diferencias significativas. Las de 53b fueron pequeñas (7.67 mm; CV 10.42%), las otras cuatro tuvieron en promedio 8.67 mm de longitud (CV entre 7.63 y 9.95%). Las primeras fueron 15.5% más largas que el progenitor silvestre y 25% más cortas que el progenitor domesticado; en contraste el grupo con longitud similar, formado por 3.3, 11.1, 51b, y 118b, mostró 37.2% y 15% longitud mayor y menor que los progenitores silvestre y domesticado, respectivamente (Figura 5B). Estos resultados indicaron que la progenie tendió a igualar la longitud del progenitor domesticado.
Grosor
Diferencias significativas en el grosor seminal se detectaron dentro de los grupos de variantes y entre ellos. Entre las muestras silvestres las semillas de S13 fueron más homogéneas (CV de 7.37%), y Durango Típico fue la menos homogénea (CV de 13.07%) (Figura 6).

Figura 6 Grosor de semillas (±error estándar) de frijol (Phaseolus vulgaris L.) silvestre, domesticado y progenie de la cruza del domesticado Negro Tacaná y silvestre S13. Variantes 1: Chihuahua, 2: Durango Típico, 3: W13, 4: Bayo Mecentral, 5: Negro Tacaná, 6: 3.3, 7: 11.1, 8: 51b, 9: 53b y 10: 118b.
El grosor de las semillas silvestres en promedio tuvo (2.6 mm) cerca de la mitad que las domesticadas (4.9 mm). Las proporciones cambiaron en la progenie, pues su promedio fue 43% mayor que el progenitor silvestre y 24.2% menor que el progenitor domesticado (Figura 6).
Germinación y emergencia
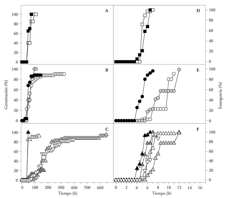
El porcentaje de germinación en laboratorio fue similar (p≤0.05) entre las variantes silvestres, domesticadas o la progenie, excepto 51b (Figuras 7A-C). La germinación promedio de las semillas silvestres (92%), los cultivares (99%) y la progenie (93%) fue un carácter importante para calificar la calidad de esta última respecto a los progenitores, pues fue cercana a 100% en todos los casos. Esta característica fue independiente de las diferencias en la biomasa y las dimensiones de las semillas (Figuras 1 a 6).

Figura 7 Germinación acumulada (25±1 °C y obscuridad) de semillas de frijol (Phaseolus vulgaris L.) (A) domesticado, (B) silvestre y (C) progenie de la cruza de domesticado Negro Tacaná y silvestre S13; y emergencia acumulada (25±3 °C) de las plántulas de frijol (D) domesticado, (E) silvestre y (F) progenie de la cruza de domesticado Negro Tacaná y silvestre S13. Variantes: Bayo Mecentral (
), Negro Tacaná (
), Chihuahua (
), Durango Típico (
), S13 (
), 3.3 (
), 11.1 (
), 51b (
), 53b (
) y 118b (
).
Las diferencias entre y dentro de las variantes de los grupos se detectaron en el tiempo para alcanzar la germinación máxima. Entre las variantes silvestres los tiempos fluctuaron entre 84 h en Durango Típico y 252 h en Chihuahua y entre los cultivares los valores fueron 72 h en Negro Tacaná y el triple en Bayo Mecentral. Entre la progenie el tiempo para la germinación máxima también varió ampliamente, desde 48 h en 53b hasta 648 h en 11.1. El tiempo para la germinación máxima y las diferencias entre las variantes no mostraron alguna relación directa entre las características físicas de las semillas. La selección 51b no se consideró en este análisis porque las 168 h que permanecieron las semillas en condiciones de germinación fueron insuficientes para evaluar su germinación total (Figuras 7A-C).
El porcentaje de emergencia en invernadero no fue diferente (p›0.05) entre las variantes silvestres, domesticadas o progenie (Figuras 7D-F ). La emergencia promedio de las plántulas silvestres (95%), los cultivares (100%) y la progenie (97%) es un carácter importante para calificar la calidad de las semillas y específicamente en el caso de la progenie debe señalarse que no hubo diferencia respecto a los progenitores. Así, esta característica, como en la germinación, fue independiente de la biomasa de la semilla, de sus estructuras y dimensiones de las semillas (Figuras 1 a 6).
Las diferencias entre y dentro de las variantes de los grupos también se detectaron en el tiempo para alcanzar la emergencia máxima. Entre las variantes silvestres los tiempos fluctuaron entre 15, 23 y 24 d en S13, Chihuahua y Durango Típico. En los cultivares el tiempo para la emergencia máxima de las plántulas de Negro Tacaná fue (14 d) cerca de la mitad que en Bayo Mecentral (25 d). Entre las selecciones de la progenie el tiempo para la emergencia máxima también varió desde 14 d en 53b hasta 24 d en 3.3 y 11.1 (Figuras 7D-E ).
Como en la germinación, el tiempo para la emergencia máxima no mostró relación directa con las características físicas de las semillas en ninguna de las variantes. Además, en las variantes silvestres y en la progenie el tiempo para la emergencia máxima no mostró una relación directa con el tiempo para la germinación máxima; ya que las variantes germinadas en menos tiempo no emergieron antes o viceversa (Figura 7). Las excepciones fueron los cultivares, porque Bayo Mecentral tardó 70% más tiempo que Negro Tacaná para la germinación máxima y 79% más para su emergencia máxima. En las condiciones de este estudio la emergencia total del cultivar Negro Tacaná y del silvestre S13 y tres de las cinco selecciones de su progenie fue 14 y 15 d. Este aspecto es sobresaliente porque con el mejoramiento se esperan modificaciones de los caracteres agronómicos de las semillas, como la emergencia máxima y sincrónica; esto reduce la pérdida de semillas y propicia el desarrollo homogéneo del cultivo (Celis-Velázquez et al., 2010).
Conclusiones
Las características físicas, como la biomasa, anchura, grosor y longitud de las semillas de frijol silvestres, domesticadas y su progenie son típicas de cada uno de estos grupos; y las características fisiológicas, como la germinación y la capacidad de emergencia en condiciones de laboratorio e invernadero son similares entre los grupos.
Pocas características de la progenie son superiores respecto a los cultivares de origen, entre ellas la proporción de cotiledones y de eje embrionario en las semillas.










texto en 


