Servicios Personalizados
Revista
Articulo
Indicadores
Links relacionados
-
Similares en
SciELO
Compartir
Agrociencia
versión On-line ISSN 2521-9766versión impresa ISSN 1405-3195
Agrociencia vol.44 no.3 Texcoco abr./may. 2010
Socioeconomía
Modelos de valoración de maquinaria agrícola en el sur de Europa. Un análisis de la depreciación real
Valuation models of agricultural machinery in southern Europe. An analysis of real depreciation
Natividad GuadalajaraOlmeda1*, M. Loreto FenollosaRibera2
1 Universidad Politécnica de Valencia. Centro de Ingeniería Económica, Facultad de Administración y Dirección de Empresas, Campus de Vera, 46022Valencia, España, * Autor responsable: (nguadala@omp.upv.es).
2 Universidad Politécnica de Valencia, España. Email: (maferi0@esp.upv.es).
Recibido: Enero, 2009.
Aprobado: Febrero, 2010.
RESUMEN
En el presente trabajo se obtienen modelos de valoración de la maquinaria agrícola nueva y usada, mediante métodos econométricos, para España e Italia, y a partir de ellos se deducen los modelos empíricos de depreciación. La vida útil media de los tractores en operación es aproximadamente el doble en España que en Italia, y en ambos países la depreciación es mayor en los tractores de mayor potencia y menor en los de potencias más reducidas; pero en España estas diferencias son más marcadas y llegan a ser de 20 % a partir de los 15 años.
Palabras clave: depreciación, España, Italia, modelos BoxCox, tractores y cosechadoras.
ABSTRACT
Valuation models of new and used agricultural machinery are obtained through the use of econometric methods for Spain and Italy, from which the empirical depreciation models are deduced. The mean useful life of the tractors in operation in Spain is approximately twice that of Italy, and in both countries depreciation is higher in the most powerful tractors and lower in those of less power; but in Spain these differences are more pronounced and are as high as 20 % after 15 years.
Key words: depreciation, Spain, Italy, BoxCox models, tractors and harvesters.
INTRODUCCIÓN
Hoy en día, los administradores de las empresas y la normativa fiscal utilizan modelos teóricos (lineal, dígitos decrecientes y crecientes, y porcentaje constante sobre el valor residual) definidos por expresiones matemáticas estándar, para estimar la depreciación real del activo inmovilizado en general, y de la maquinaria en particular, a causa del uso y el paso del tiempo. No obstante, para determinar los modelos de amortización más apropiados se debe conocer, en primer lugar, la evolución del valor de mercado de la maquinaria en su vida útil y, a partir de dicho valor, su depreciación. Esto permite determinar también la vida útil de la maquinaria que, para efectos fiscales, se establece entre 9 y 18 años para los tractores y cosechadoras en España (Reglamento del Impuesto sobre Sociedades, Real Decreto 1777/2004 de 30 de julio de 2004).
En EE.UU. se ha estudiado el coste de depreciación de la maquinaria con el método del valor presente (Audsley y Wheeler, 1978; Penson et al., 1981). Mediante métodos econométricos de regresión, Reid y Bradford (1983), Weersink y Stauber (1988) y Hansen y Lee (1991) han ajustado modelos de valoración de la maquinaria usada y de su depreciación real. Galletto (1987) usó métodos econométricos para valorar maquinaria agrícola nueva en Italia; Cooper (1994) formuló modelos de inversión en tractores agrícolas para el Reino Unido; Arias (2001), Guadalajara (2002) y Fenollosa y Guadalajara (2007) obtuvieron modelos de valoración de maquinaria en España.
Italia, Francia, Alemania y España son los países con mayor número de maquinaria agrícola; Italia es líder en número de tractores y Alemania en cosechadoras. Fenollosa y Guadalajara (2007) obtuvieron modelos empíricos de depreciación de tractores en España a partir de 12 570 compraventas realizadas de 1999 a 2002. La presente investigación, dentro de la misma línea, tuvo como objetivo analizar y comparar el comportamiento del valor de mercado de los tractores agrícolas en España e Italia y de las cosechadoras en Italia, de primera y segunda mano, mediante modelos matemáticos que estiman el valor en función de sus características. Estos valores se refieren a niveles medios de mercado, sin considerar su valoración marginal según el cultivo. Dichos modelos serán muy útiles para los agentes que operan en el mercado, pues les permitirán conocer las variables que determinan el valor en cada caso y el grado en que lo hacen. Luego, con dichos modelos se obtendrán métodos de depreciación real y empíricos, procedentes del mercado y no definidos según expresiones matemáticas estándar, que reflejen el verdadero valor de la maquinaria usada, como se ha hecho en EE.UU., pero adaptados al comportamiento de los mercados español e italiano. Esto será más adecuado para la práctica contable por los administradores de las empresas agrarias, para las compañías de seguros, y para los fines fiscales de la Administración de Estado. Pero los métodos de depreciación real obtenidos sólo tendrán validez para el periodo analizado y deberán ser actualizados periódicamente. Finalmente, de la comparación entre España e Italia, muy similares desde el punto de vista agrícola, se podrán deducir diferencias de comportamiento en la gestión del parque de la maquinaria.
MATERIALES Y MÉTODOS
La hipótesis fue que el valor de mercado de la maquinaria se explica por sus características, siendo las más importantes: potencia, tracción, marca y edad. La fuente de información del mercado de la maquinaria agrícola nueva y usada en Italia procede de la revista L'Informatore Agrario, mientras que la relativa al mercado de tractores nuevos en España se obtuvo de las páginas web de algunos fabricantes (MOMA3 e Infoagro4). Las bases de datos de tractores usados y nuevos en Italia tienen 38 095 observaciones (de 1999 a 2004); para cosechadoras usadas y nuevas en Italia hay 648 (1995 a 1999) y 245 (2001 a 2004) observaciones; y de tractores nuevos en España 250 observaciones (2002 a 2005). No hay estudio de las cosechadoras en España debido a la ausencia de datos en las fuentes de información disponibles.
Se usaron dos técnicas multivariantes: el análisis de regresión por mínimos cuadrados para obtener los modelos de valoración de los tractores y cosechadoras nuevos y usados; y el análisis de conglomerados para identificar, en los tractores nuevos, grupos con mayor homogeneidad en potencia.
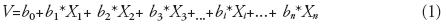
Con el modelo general (1) se obtuvo la relación entre el valor absoluto (V), deflactado al año inicial de una máquina, nueva o usada, y el resto de las variables independientes recogidas de las bases de datos:

donde,
los coeficientes estimados en la ecuación de regresión y X. las variables independientes.
Se consideraron los supuestos de normalidad, homocedasticidad y linealidad, y se aplicó la transformación logarítmica para las variables cuantitativas5. Una vez obtenidos los modelos se comprobó el cumplimiento de los tres supuestos mediante el análisis de los residuales.
RESULTADOS Y DISCUSIÓN
Modelos de valoración de maquinaria.
Usando como variable a explicar la transformación logarítmica del valor de cada máquina (en Euros) se obtuvieron los modelos que se muestran en el Cuadro 1.
La variable potencia se mide en CV (CV=736 W); la obsolescencia y la antigüedad en años, la longitud y el ancho (en m) y las demás variables (marcas, tipo de tracción, sacudidor, aire acondicionado, cabina y barra de protección contra vuelcos) son binarias. Respecto a la maquinaria nueva, el modelo para tractores en España es muy simple: sólo intervienen la potencia y la marcas. La potencia por si sola explica 89 % de la variabilidad de valor, frente a Italia con un 73 %. En Italia el mercado es mucho más diferenciado al incluirse variables como tipo de tracción, sistema de protección y obsolescencia. Ello muestra un mercado de maquinaria más complejo, con un mayor grado de diferenciación que en España.
La variable de mayor peso para explicar el valor de las cosechadoras nuevas es la anchura de trabajo, seguida por la longitud y el tipo de sacudidor (rotante u oscilante), y en último lugar la potencia. Todas las variables pueden explicar 90.68 % de la variabilidad del valor. El restante 9.32 % se explica por causas no identificadas en el estudio (mercadeo, gustos, confort, ergonomía). Se puede considerar que el valor de las cosechadoras depende más de la calidad y rapidez del trabajo que realizan (determinado por las dimensiones de la máquina y el tipo de sacudidor) que por su potencia.
Como proponen Cross y Perry (1995), Unterschultz y Mumey (1996) y Dumler et al. (2003), los modelos obtenidos para estimar el valor de mercado de los tractores usados son de tipo logarítmicolineal. Tienen un nivel de explicación de 90 % y las variables potencia, edad, tipo de tracción y marcas son significativas en ambos países. La variable edad es cuadrática en el caso de Italia, lo que indica una depreciación más alta durante los primeros años de vida de los tractores en Italia que en España. El modelo seleccionado para las cosechadoras usadas explica 90.6 % de la variabilidad. Sin embargo, la variable potencia se sustituyó por el valor de la cosechadora nueva como variable explicativa del valor de la cosechadora usada. Esto indica una mayor complejidad de las cosechadoras en comparación con los tractores, ya que en el valor de una cosechadora nueva se incluye no sólo la potencia, sino también otras características relacionadas con su conducción. En este caso no se consideraron directamente por no estar incluidas en la fuente de información utilizada. Por la misma razón no se pudo analizar el efecto del uso o desgaste funcional de los tractores y cosechadoras en operación, debido a que no se tenía información de las horas de trabajo.
El efecto edad en el valor de la maquinaria usada
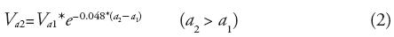
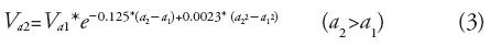
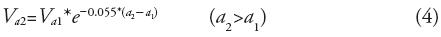
Con los modelos obtenidos (Cuadro 1) variando la edad y dejando constante las otras variables, se obtuvieron los siguientes modelos de depreciación:
Para tractores entre 4 y 29 años de edad, en España:

Para tractores entre 2 y 21 años de edad, en Italia:

Para cosechadoras de hasta 11 años de edad, en Italia:

donde, Va1 = valor de la maquinaria (
)con una edad al años; Va2 = valor de la maquinaria (
) con una edad a2 años.
Con base en la información disponible, en los modelos de tractores la depreciación no se inicia a partir de su valor en el año 0, sino del cuarto año en España y segundo en Italia. Por tanto, para conocer la evolución del valor del tractor durante su vida útil y comparar los valores en ambos países, se partió de la información procedente del mercado primario de maquinaria acerca de precios de tractores nuevos para los modelos coincidentes con los recolectados en la base de datos para tractores usados.
De este modo se determinó el porcentaje medio del valor del tractor con una antigüedad de cuatro años en España y de dos en Italia, respecto a su valor como nuevo, que fue 56.16 % y 60.89 %. Con dichos valores promedio y los modelos (2), (3) y (4) se elaboró la Figura 1, que representa la evolución del valor de los tractores y cosechadoras desde su primer año de vida.
En España un tractor de cuatro años de edad conserva 56.16 % de su valor cuando nuevo, y 16.78 % a los 29 años; en Italia a los dos años sólo conserva 60.89 % de su valor inicial, y 1530 % a los 21 años. Así, para España, se deduce la discrepancia entre la vida fiscal que propone la administración para los tractores (9 a 18 años) y el tiempo de uso en la agricultura, que puede ser de 29 años. En las cosechadoras la depreciación es menor que en los tractores y es prácticamente lineal desde el primer año, alcanzándose una depreciación de 54.4 % a los 11 años, lo que equivale a una depreciación media de 5 % anual.
La influencia de la potencia y la edad en el valor de los tractores usados
Coincidiendo con otros autores (Perry et al., 1990; Arias, 2001; Fenollosa y Guadalajara 2007), se proponen modelos de depreciación por grupos de potencia en tractores, con el fin de destacar la variable antigüedad e identificar pautas de comportamiento diferentes en función de su tamaño o potencia.
Tradicionalmente las casas comerciales de maquinaria agrícola, así como algunos autores (Arias, 2001; Guadalajara, 2002; Fenollosa y Guadalajara, 2007), consideran tres grupos de tractores según su potencia (CV): pequeña (P<60), mediana (60<P<90) y grande (90<P). Para cada grupo se obtuvo un modelo de valoración y hubo escasas diferencias entre los tractores pequeños y medianos, así como coeficientes de determinación bajos. En consecuencia, se parte de la hipótesis de que una nueva agrupación de los tractores con mayor homogeneidad en cuanto a potencia, permite obtener modelos de valoración para cada grupo más diferenciados entre sí. Para ello se aplicó el análisis de conglomerados para identificar otra clasificación por potencia en tres grupos6 que mejore el ajuste de los modelos. En el Cuadro 2 se presenta esta nueva agrupación y los coeficientes de los modelos econométricos, logarítmicolineal, de valoración obtenidos.
Esta clasificación por conglomerados, similar a la usada por Cross y Perry (1996) (<80, 80150, > 150 CV) y Wu y Perry (2004) (<80, 81120, 121145, > 145 CV), es más útil para efectos de valoración, dado que genera modelos de valoración diferentes para cada grupo de potencia.
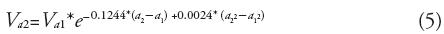
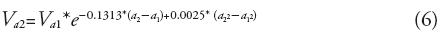
Como se procedió anteriormente y a partir del Cuadro 2, variando la edad y dejando constante las otras variables, se obtienen los modelos (5), (6) y (7), que muestran la evolución del valor del tractor usado en Italia, desde los dos hasta los 21 años, para cada grupo de potencia.
Para tractores pequeños P<83:

Para tractores medianos 83147:

Para tractores grandes P> 147:

En España e Italia los modelos para los diferentes grupos de potencia son similares. Los tractores pequeños pierden valor más lentamente que los medianos y éstos también más despacio que los tractores grandes (Figura 2). Esta menor depreciación de los tractores pequeños se debe a que se usan en pequeñas explotaciones exclusivamente en sus labores; así el desgaste es muy bajo. Por el contrario, los grandes tractores son comprados por grandes empresas o grupos de propietarios y, además, suelen alquilarse a propietarios de las tierras colindantes; por tanto, el desgaste es mucho mayor.
No obstante, existe una menor diferencia de la depreciación de los tractores según el tamaño en Italia que en España. Además, en Italia las diferencias son visibles sólo en tractores muy antiguos, de más de 15 años, mientras que en España las diferencias entre los grupos aparecen más temprano.
CONCLUSIONES
España e Italia presentan diferencias en el mercado de la maquinaria. En España los tractores tienen potencias ligeramente menores, y se venden y compran tractores con mayor antigüedad.
Las características de la maquinaria agrícola explican alrededor de 90 % del valor de mercado. La potencia es la variable que más influye en el valor de los tractores nuevos: 89 % en España y 73 % en Italia. En las cosechadoras las variables importantes son anchura, la longitud y el tipo de sacudidor, más que su potencia.
En España e Italia se obtuvieron modelos de depreciación de tipo exponencial, como lo propone la American Society of Agricultural Engineers (ASAE) en EE.UU. Así, se deduce que la depreciación es muy marcada en los primeros años de vida, y disminuye con el tiempo. Este efecto es mayor en los tractores que en las cosechadoras; y dentro de los tractores mayor en Italia que en España, lo que causa una vida útil mayor en España; alrededor de 29 años, comparada con 21 en Italia.
La clasificación de los tractores por potencias obtenida para establecer modelos de depreciación más diferenciados entre grupos, es similar a la propuesta en EE.UU. (<80 CV, 80140 CVy > 14O CV, aproximadamente). Esto supone intervalos de potencias en cada grupo mayores que en la agrupación tradicional del mercado (<60 CV, 6090 CV y > 90 CV), debido al aumento generalizado de su potencia en las últimas décadas. En España e Italia la depreciación es mayor en los grupos de tractores de mayor potencia, lo que significa una vida útil menor que en los pequeños. Sin embargo, estas diferencias son mucho menores en Italia que en España y sólo se reflejan en los últimos años de vida de los tractores.
LITERATURA CITADA
Arias, P. 2001. Análisis temporal de las ventas y estimación del valor residual de tractores en España. Revista Española de Estudios Agrosociales y Pesqueros 192: 195222. [ Links ]
Audsley, E., and J. Wheeler. 1978. The annual cost of machinery calculated using actual cash flows. J. Agrie. Eng. Res. 23: 189201. [ Links ]
Box, G. E.R., and D. R. Cox. 1964. An analysis of transformations. J. Royal Stat. Soc, Series B 26 (2): 221243. [ Links ]
Cooper, D. N. 1994. Net investment in agricultural tractors. J. Agrie. Econ. 45 (3): 339350. [ Links ]
Cross, T. L., and G. M. Perry. 1995. Depreciation patterns for agricultural machinery. Am. J. Agrie. Econ. 77: 194204. [ Links ]
Cross, T. L., and G. M. Perry. 1996. Remaining value functions for farm equipment. Appl. Eng. Agrie. 12(5): 547553. [ Links ]
Dumler, T.J., R.O. Burton, and T.L. Kastens. 2003. Predicting farm tractor values through alternative depreciation methods. Rev. Agrie. Econ. 25 (2): 506522. [ Links ]
Fenollosa, M.L., and N. Guadalajara. 2007. An empirical depreciation model for agricultural tractors in Spain. Spanish J. Agrie. Res. 5(2): 1833. [ Links ]
Galletto, L. 1987. Un'analisi dei prezzi di alcune macchine agricole. Genio rurale 6: 3346. [ Links ]
Guadalajara, N. 2002. Valoración de tractores agrícolas mediante métodos econométricos. Su aplicación en España e Italia. Revista Española de Estudios Agrosociales y Pesqueros 196: 6794. [ Links ]
Hansen, L., and H. Lee. 1991. Estimating farm tractor depreciation: tax implications. Can. J. Agrie. Econ. 39: 46379. [ Links ]
Penson, J. B., R. F. J. Romain, and D. W. Hughes. 1981. Net investment in farm tractors: An econometric analysis. Am. J. Agrie. Econ. 63(4): 629635. [ Links ]
Reid, D.W., and G.L. Bradford. 1983. On optimal replacement of farm tractors. Am. J. Agrie. Econ. 65(2): 326331. [ Links ]
Unterschultz, J., and G. Mumey. 1996. Reducing investment risk in tractors and cabins with improved terminal asset value forecast. Can. J. Agrie. Econ. 44: 295309. [ Links ]
Weersink, A., and S. Stauber. 1988. Optimal replacement interval and depreciation method for a grain combine. Western J. Agrie. Econ. 13(1): 1828. [ Links ]
Wu, J., and M. Perry. 2004. Estimating farm equipment depreciation: Which functional form is best?. Am. J. Agrie. Econ. 86:483491. [ Links ]
3 http://www.noma.es (2004 y 2005).
4 http://www.infoagro.com. Con información de todos los campos de la agricultura (2004 y 2005).
5 Se estudiaron otras transformaciones(BoxCox, 1964)sin obtener mejores resultados.
6 Se probó una clasificación por conglomerados en cuatro grupos, sin resultados relevantes y menos operativos que la clasificación aquí presentada.












