SciELO - Scientific Electronic Library Online

 
vol.25 número1Coherencia y políticas públicas: Metas, instrumentos y poblaciones objetivoLa privatización de las telecomunicaciones en Colombia: El rol de las empresas públicas en el nuevo marco institucional índice de autoresíndice de materiabúsqueda de artículos
Home Pagelista alfabética de revistas  

Servicios Personalizados

Revista

Articulo

Indicadores

Links relacionados

  • No hay artículos similaresSimilares en SciELO

Compartir


Gestión y política pública

versión impresa ISSN 1405-1079

Gest. polít. pública vol.25 no.1 Ciudad de México ene./jun. 2016

 

Gestión y política pública

 

La capacidad potencial de influencia del sector industrial manufacturero: Un análisis del Programa de Inspección y Vigilancia Industrial en México

 

The Potential Ability to Influence of the Manufacturing Sector: An Analysis of the Inspection and Monitoring Program in Mexico

 

Ma. Ofelia Camacho García*

 

* Ma. Ofelia Camacho García es académica e investigadora del Departamento de Gestión Pública de la Universidad de Guanajuato. Lascuráin de Retana 5. Col. Centro, 36000, Guanajuato, Guanajuato. Tel: (473) 732 00 06, ext. 4071. Correo-e: ofelia29@gmail.com y mcamacho@ugto.mx.

 

Artículo recibido el 22 de octubre de 2013.
Aceptado para su publicación el 25 de mayo de 2015.

 

Resumen

La investigación contribuye al estudio de los grupos industriales y su influencia en la regulación ambiental en México. Las industrias contaminantes poseen incentivos para influir y evitar visitas, de inspección y verificación, de la Procuraduría Federal de Protección al Ambiente (Profepa). A través de un análisis de componentes principales, se define la capacidad potencial de influencia de 62 ramas manufactureras, con base en sus estructuras organizativas y recursos de poder, y se estima un modelo para determinar qué efectos tienen los vínculos comerciales con el exterior, la producción, la capacidad potencial de influencia y la prioridad de inspección de la Profepa, en las visitas que ésta realiza. Los resultados del estudio señalan que las visitas de inspección se determinan por el nivel de producción, así como la prioridad que los sectores tienen para la Profepa; mientras que las visitas de verificación sólo se determinan por el nivel de prioridad.

Palabras clave: política ambiental, contaminación ambiental, industria manufacturera, grupos de interés empresariales.

 

Abstract

The research contributes to the study of industrial groups and their influence on the environmental regulation in Mexico. Polluting industries have incentives to influence and avoid inspection and verification visits of the Federal Attorney for Environmental Protection (Profepa). Through principal component analysis, it is defined the potential ability to influence of 62 manufacturing industries, based on their organizational structures and power resources. A model is estimated to determine what are the effects of trade links, production, potential ability to influence, and inspection priority for the Profepa, in the visits of the Profepa. The results indicate that the level of production, and the inspection priority for the Profepa determine the inspections; whereas level of priority determines the verification visits.

Keywords: environmental policy, environmental pollution, manufacturing industry, business interest groups.

 

INTRODUCCIÓN

La contaminación atmosférica en las ciudades es un problema que los automóviles generan en mayor proporción; sin embargo, el sector industrial, aun cuando contribuye con menor volumen a la mala calidad del aire, emite sustancias con efectos directos y más graves que los automóviles para el ambiente y la salud de la población; pues estos contaminantes pueden ser precursores de ozono, cancerígenos o mutagénicos (Molina y Molina, 2002). La contaminación industrial también tiene efectos en la salud mental de la población (Downey y Van Willigen, 2005) y en sus niveles de bienestar, optimismo, ansiedad y depresión (Marqués y Lima, 2011). Asimismo, los efectos de la contaminación industrial pueden ser indirectos. El estudio de Hsu, Selvaraj y Agoramoorthy (2006), sobre niveles de bioconcentración de metales pesados en hongos, plantas, gusanos de tierra, caracoles, cangrejos, insectos, anfibios, lagartijas, víboras y murciélagos, en el Parque Nacional Kenting en Taiwán, reveló que las altas concentraciones de cadmio, mercurio y estaño en estas especies se explican por la contaminación industrial en la comunidad biótica; lo cual afecta la cadena trófica de la que depende la alimentación y salud de la población.

A través de la gestión y la política ambiental se analiza la actuación de los gobiernos y sus instituciones, para diseñar e implementar políticas y regulaciones industriales que motiven cambios en las conductas de quienes contaminan y favorecer el ambiente (Rosenbaum, 2011; Vig y Kraft, 2010; Lubell y Vedlitz, 2006; McKitrick, 2006, entre otros). Las políticas conllevan diferentes concentraciones y distribuciones de beneficios y costos, en los extremos éstos pueden centrarse en un sector o propagarse en un amplio número de personas o grupos. De acuerdo con Wilson (1995), la distribución o concentración de los costos y beneficios de una política dependen del tipo de regulación que se busca implementar y, sobre todo, de los participantes que se involucran e influyen en el proceso.

El sector empresarial es el principal receptor de los efectos de una política ambiental. La regulación ambiental puede incentivar mejores prácticas productivas de las industrias y, con ello, ofrecer beneficios, por ejemplo, al favorecer exenciones fiscales, promover una imagen limpia frente a los consumidores y, en algunos casos, reducir la frecuencia de las visitas de inspección de las autoridades. Sin embargo, la política ambiental también puede concentrar sus costos en las industria, pues la regulación obliga a modificar los procesos productivos, así como su tecnología, para evitar o reducir los impactos al ambiente. El sector empresarial, al concentrar los costos de la política ambiental, se organiza a través de grupos de interés para influir en las decisiones del gobierno y en el resultado de la regulación. Asimismo, los esfuerzos de influencia son mayores cuando los establecimientos son contaminantes intensivos, lo que motiva la conformación de estructuras más sólidas al interior de los grupos.

La política ambiental en México, a nivel federal, está a cargo de la Secretaría de Medio Ambiente y Recursos Naturales (Semarnat) y la ejecuta la Procuraduría Federal de Protección al Ambiente (Profepa), órgano desconcentrado al interior de la Semarnat. La Profepa, desde su surgimiento en 1992, creó el Programa de Inspección y Vigilancia (PIV) para prevenir, controlar y evitar la contaminación generada por establecimientos de competencia federal.

Este programa realiza visitas de inspección y de verificación a los establecimientos, para garantizar el cumplimiento de la regulación ambiental. Las visitas de inspección consisten en verificar "el cumplimiento de la normatividad ambiental o de las medidas ordenadas mediante Acuerdo o Resolución Administrativa, constando ello en una acta" (Profepa, 2014, 1). Las visitas de verificación consisten en comprobar que se realizaron las medidas ordenadas mediante Acuerdo o Resolución Administrativa, las cuales se derivaron de la inspección (Profepa, 2014, 1). Las visitas de la Profepa a los establecimientos se programan de acuerdo con diversos criterios, el más relevante es el impacto al ambiente de las actividades que realizan. Este criterio de inspección se define a través de una lista de 32 sectores económicos ordenados de mayor a menor prioridad.1

Este estudio busca contribuir al estudio de los grupos de interés industriales y su influencia en la regulación ambiental en México. Con este propósito, se examinan diversas características de 62 ramas industriales del sector manufacturero (31 a 33, con cuatro dígitos del Sistema de Clasificación Industrial de América del Norte [SCIAN]). La investigación plantea dos objetivos. Por un lado, se busca determinar si las ramas industriales con mayor capacidad potencial de influencia son, también, las más intensivo-contaminantes. En este sentido, se define la capacidad potencial de influencia con base en tres características, tamaño, composición y colectividad de los grupos industriales, así como un conjunto de recursos de poder, económicos, políticos y simbólicos; también se estiman, a través de un análisis de componentes principales (ACP), las variables más relevantes en esta definición.

Y, por otro, se busca conocer qué determina las visitas, de inspección y verificación, de la Profepa. Para esto, se examinan qué características de los sectores industriales podrían evitar o favorecer las visitas de la Profepa. En este sentido, se emplea un modelo multivariable para determinar los efectos de los vínculos comerciales, la producción, la capacidad potencial de influencia, antes definida, y la prioridad de inspección en las visitas de la Profepa.

La investigación se integra por cuatro secciones y las conclusiones del trabajo. La primera sección revisa la literatura acerca de la política ambiental y los grupos de interés. La segunda sección explica, de manera breve, la gestión ambiental en México y se examina el PIV. La tercera sección estudia la organización del sector industrial en México; asimismo, se define la capacidad potencial de influencia del sector industrial en México, a través de un análisis de componentes principales. Y la quinta sección analiza las visitas de inspección al sector manufacturero. Finalmente, se ofrecen las conclusiones de la investigación.

 

POLÍTICA AMBIENTAL Y GRUPOS EMPRESARIALES

La creación de políticas públicas conlleva la participación y articulación de diversas instituciones, grupos y sociedad. El ingreso de diversos actores en el proceso, afectados por la política o por el problema en cuestión, tiene la finalidad de influir en las áreas en donde son expertos (Sabatier, 1991). Merino (2001) argumenta que la participación dentro del proceso de política pública es un componente fundamental para transmitir la información sobre la regulación que se busca impulsar, legitimar las acciones gubernamentales para evitar que sean vistas como actos arbitrarios y promover la democracia. Entender las posturas, los valores y los recursos de cada participante permite explicar la manera en que se elaboran y ejecutan las políticas (Portney, 1986). En el caso de las políticas ambientales se distinguen diversos actores con intereses específicos: el gobierno busca distribuir los beneficios, al ser bienes colectivos y de interés público, las empresas son el objetivo de la regulación, y los grupos ambientalistas o de la sociedad civil son el contrapeso que evita el dominio del proceso de política por el sector privado. De todos los participantes en el proceso de política, Lindblom (1991) señala que el sector empresarial destaca por su control económico y poder sobre el orden social.

Desde el inicio del movimiento ambiental moderno, hace casi 35 años, las empresas juegan un papel muy importante en el diseño de políticas ambientales (Kraft y Kamieniecki, 2007, 3). Sus actividades no se limitan a una sola etapa del proceso de políticas, al contrario, permanecen constantes en el tiempo y se dirigen a todo el aparato gubernamental (congreso, legisladores, agencias gubernamentales federales y locales, entre otros). Una gran cantidad de estudios resaltan la participación de las empresas en los procesos de políticas ambientales porque sus actividades pueden determinar, parcial o totalmente, el resultado y rumbo de la regulación (Kamieniecki, 2006; Vogel, 1978; Presthus, 1974).

Los participantes del proceso de política buscan representar y proteger sus intereses frente a la autoridad y a los otros involucrados. Los participantes escogen las estrategias políticas para participar con base en los costos y beneficios que conlleva la regulación y los recursos que posee (económicos, de información, políticos, entre otros). Una vez que se conocen los costos y beneficios de la regulación, los recursos para participar e influir pueden no ser suficientes si se actúa de manera individual. Por lo tanto, el sector empresarial se organiza en grupos, los cuales facilitan la obtención de recursos y permiten mayor representación en el debate político. Así, las empresas dentro de grupos pueden obtener más beneficios al concentrar sus intereses, de manera organizada, y hacer frente al resto de los participantes, con intereses dispersos o difusos (Vogel, 1993).

¿Qué determina la capacidad de influencia de los grupos de interés empresariales? Los estudios que analizan la influencia de los grupos de interés encuentran enormes dificultades para medir el poder y observarlo en el diseño de una política (Baumgartner y Leech, 1998). No existe una metodología única para analizar el ejercicio del poder; tampoco existe un consenso sobre los efectos de la intervención de los grupos de interés en el proceso de políticas. Algunos estudios argumentan que se sobreestima la influencia de los grupos de interés en el debate político,2 mientras otros establecen que pueden erosionar la democracia y el bienestar público.3

Para explicar la capacidad de influencia de los grupos de interés son útiles los argumentos de Olson (1965) sobre la estructura organizativa y la acción colectiva.4 Olson (1965) y Sandler (1992) argumentan que los grupos siguen una lógica colectiva para proteger sus intereses, la cual se relaciona con tres aspectos: el tamaño de la organización, la composición interna y la superación de problemas colectivos.

El tamaño del grupo favorece la representación de los intereses porque cuanto más numerosa es la organización existen mayores recursos económicos y vínculos políticos que facilitan las acciones para influir en el proceso de política. Sin embargo, cuando el tamaño del grupo es grande es más difícil concertar estrategias y objetivos entre los miembros porque es mayor la heterogeneidad de intereses y se incrementa la presencia de free riders.5 Cuando el tamaño del grupo es pequeño, la representación de intereses tiende a ser menor; sin embargo, la vigilancia entre los miembros para el cumplimiento de los objetivos es mayor y los intereses son más homogéneos.

La composición del grupo, el segundo aspecto, se asocia con la explotación de los miembros al interior del grupo. La composición del grupo se vincula con la importancia relativa y la cantidad diferenciada de los miembros. Los miembros en mayor número y con más recursos tienden, generalmente, a abastecer los bienes públicos, si es de su interés resarcirlos o generarlos, y los más pequeños se beneficien de estas acciones sin colaborar en el esfuerzo, que se explica por la no exclusividad y no rivalidad.

La superación de problemas de la acción colectiva, el tercer aspecto, indica las soluciones para incentivar acciones grupales: el diseño de estructuras institucionales y los incentivos seleccionados (Sandler, 1992). El diseño de estructuras institucionales se refiere a organizaciones con interés en obtener beneficios para todos los miembros. Los grupos grandes pueden obtener la cooperación si forman una estructura central con pequeños subgrupos (Olson, 1965).6 Los grupos que poseen incentivos seleccionados "tienen la autoridad y capacidad para ser coercitivos" y "una fuente de incentivos positivos que pueden ofrecer a los individuos en un grupo latente" (Olson, 1965, 133).7

Una vez que se establece la estructura organizativa del grupo es posible examinar los recursos de poder, con los cuales se realizarán las estrategias políticas. De acuerdo con Tirado (2006), los recursos de poder empresariales se pueden clasificar en cuatro categorías: políticos, económicos, simbólicos e intelectuales (véase cuadro 1).

La mayor, o menor, disposición de recursos de poder y la capacidad para movilizarlos se expresan en grupos de interés empresariales con diferentes niveles de influencia sobre el gobierno. El incremento en la disponibilidad de recursos de poder permite a los grupos un mayor poder de influencia para hacer prevalecer sus intereses empresariales en la arena pública. Es decir, la "superioridad material" (Mosca, 1984, 110) de los grupos facilita el despliegue de acciones colectivas para influir en las acciones gubernamentales (Tirado, 2006).

La descripción de la estructura organizativa y la posesión de recursos de poder son los factores subyacentes en la capacidad potencial de influencia de los grupos de interés empresariales (véase diagrama 1). La capacidad potencial de influencia se define como un conjunto de características, referidas a sus estructuras organizativas y posesión de recursos de poder, que de manera agregada en un grupo pueden delinear el resultado de una regulación, de tal manera que sus intereses se mantengan protegidos.

¿Por qué los grupos empresariales deciden influir en la política ambiental? El estudio de Damania, Fredriksson y Osang (2005) muestra que los grupos de interés industriales son políticamente más activos cuando sus establecimientos son contaminantes intensivos. El análisis de los autores establece que las industrias contaminantes enfrentan más regulaciones, por lo tanto, invierten más tiempo para formar grupos de cabildeo y realizar esfuerzos conjuntos de gestión. En este mismo sentido, el estudio de Damania y Fredriksson (2000) encuentra que, con mayor frecuencia, las industrias contaminantes poseen incentivos importantes para formar y contribuir a los grupos de cabildeo. Asimismo, el estudio de Pittman (1976) encontró que las regulaciones federales, impuestas por la Environmental Protecion Agency de Estados Unidos, pueden determinar las contribuciones que las empresas realizan a las campañas políticas.

¿A quién se dirige la influencia del sector empresarial? De acuerdo con Yu (2005), la influencia de los grupos empresariales es directa cuando se dirige a persuadir a quienes toman las decisiones del gobierno y es indirecta si se orienta a la opinión pública. Por lo tanto, los grupos empresariales que poseen los recursos suficientes para influir en ambas direcciones pueden garantizar la protección de sus intereses frente a la regulación y sus costos, y frente a otros participantes dentro del proceso de política.

Martino (1998) contribuye al estudio sobre grupos de interés y su participación en el proceso de política a través del análisis que realiza sobre quiénes participan en el diseño de regulaciones y cómo sus opiniones alteran el resultado final de éstas. La autora seleccionó diversas normatividades de la Environmental Protection Agency, la National Highway Traffic Safety Administration y el Housing and Urban Development Department y concluye que escasean los comentarios ciudadanos, predomina la participación de intereses comerciales y prevalece la presencia de redes temáticas. Estos estudios muestran la relevancia que los grupos de interés empresariales poseen en el proceso de políticas.

 

LA GESTIÓN AMBIENTAL EN MÉXICO Y EL PROGRAMA DE INSPECCIÓN Y VIGILANCIA INDUSTRIAL

El desarrollo económico y social moderno en México comenzó en la década de 1940, a través de un modelo de industrialización que incrementó la explotación de los recursos naturales y el deterioro ambiental (Gil, 2007). Este modelo tuvo impactos en materia ambiental y en salubridad, lo cual ocasionó que, en la década de 1960, empezaran los primeros movimientos ambientales en el país y, por su parte, el gobierno federal respondiera a las demandas sociales a través de políticas regulatorias con énfasis en la protección de la salud.

En la década de 1980 el país avanzó hacia la creación del marco legal para proteger el ambiente y prevenir su deterioro con la promulgación de la Ley Federal de Protección al Ambiente, de 1982. En 1988 se promulgó la Ley General del Equilibrio Ecológico y la Protección al Ambiente (LGEEPA), que introdujo cambios en la política ambiental del país al incluir los conceptos de ordenamiento ecológico del territorio, evaluaciones de impacto y riesgo ambiental, instrumentos para proteger las áreas naturales, investigación y educación ambiental, información y monitoreo.

La gestión ambiental se define como "el conjunto de las actividades humanas que tienen por objeto el ordenamiento del ambiente" (Brañes, 2004, 117) y se integra por tres componentes, la política, el derecho y la administración (Brañes, 2004). La gestión ambiental en México tuvo una importante modernización a través de modificaciones a la LGEEPA en 1996.8 Esta modernización descentralizó la gestión ambiental y renovó la administración pública. Primero, se formaron las instituciones ambientales, en algunos casos sus funciones se renovaron, a través de las cuales se haría cumplir el marco regulatorio derivado de las disposiciones de la LGEEPA. Y después, se diseñaron los instrumentos de política ambientales para regular las actividades privadas. El surgimiento de las instituciones ambientales, en la década de 1990, se enfocó, en esencia, a la regulación del sector empresarial y, en concreto, a la actividad industrial. La política ambiental en México, desde su inicio, se vinculó con la económica por ser la actividad con más impacto y de explotación de los recursos, y porque las empresas fueron el principal sector en manifestar interés por participar en los procesos de políticas. Así, en 1992 se creó la Profepa y en 1994, la Secretaría de Medio Ambiente, Recursos Naturales y Pesca que, en 2000, cambió su nombre a Semarnat.9

La creación de la Profepa respondió a la necesidad de atender el deterioro ambiental del país y, en especial, por los sucesos ocurridos en Guadalajara en abril de 1992.10 Para este propósito, la Procuraduría ejecuta cinco programas dirigidos a hacer cumplir la legislación y normatividad ambientales en diferentes áreas: recursos naturales, fuentes de contaminación de competencia federal, instrumentos y mecanismos voluntarios, justicia ambiental administrativa, civil y penal y atención a la denuncia popular.

La Subprocuraduría de Inspección Industrial (SII), al interior de la Profepa, ejecuta el Programa de Inspección y Vigilancia (PIV). El PIV es el programa más relevante de regulación para sectores de competencia federal. A través de éste se determina si los establecimientos cumplen con la normatividad ambiental y, en caso contrario, la autoridad procede legalmente contra éstas a través de sanciones administrativas o penales.

Programa de Inspección y Vigilancia

La SII tiene como objetivo asegurar el cumplimiento de la legislación ambiental para prevenir y controlar la contaminación que proviene de la actividad empresarial y ordenar las medidas correctivas pertinentes para resarcir los daños y evitarlos. La SII vigila a los establecimientos industriales, de servicios y comerciales en materias de competencia federal, como son atmósfera, residuos peligrosos y actividades altamente riesgosas y de impacto ambiental (Profepa, 2010).

La vigilancia a las industrias de competencia federal, a cargo de la SII, sigue una lógica de impacto ambiental. Esto es, las prioridades de inspección se centran en instalaciones industriales con más riesgos potenciales de impacto ambiental; aquellas con historial de irregularidades frecuentes en el cumplimiento de la legislación; que se asocian a actividades de generación, manejo y disposición de residuos peligrosos, así como las vinculadas con compromisos internacionales del país (Profepa, 2014a). Asimismo, las acciones de la SII, para promover la vigilancia, se complementan con las denuncias ambientales a cargo de la ciudadanía y organizaciones. La SII ejecuta el Programa Anual de Visitas de Inspección que establece una lista de prioridades, de vigilancia e inspección, con 32 giros industriales ordenados de mayor a menor impacto al ambiente (véase cuadro 2). La inspección a los establecimientos se dirige a seis temas: actividades altamente riesgosas; manejo de residuos peligrosos; contaminación de suelo; impacto ambiental; emisiones de contaminantes a la atmósfera por fuentes fijas, y contaminación del agua (Profepa, 2014b).

La detección de faltas o incumplimientos a la regulación, en los establecimientos que visite la Profepa, conlleva a un procedimiento administrativo que consta de seis etapas: visita de inspección, emplazamiento, cierre de instrucción y apertura de periodo de alegatos, ofrecimiento y presentación de pruebas, resolución administrativa y medios de impugnación (Profepa, 2014c).

Durante la visita, la Profepa verifica el cumplimiento de la normatividad ambiental o de las medidas ordenadas mediante acuerdo o resolución administrativa, que se detalla en una acta de inspección. Existen dos modalidades de la visita, de inspección y de verificación. La de inspección puede ser de tres tipos, normal, de residuos peligrosos biológico infecciosos y de servicios de residuos peligrosos.11 La de verificación se refiere a observar el cumplimiento de las medidas impuestas en el acta de inspección o del acuerdo o resolución administrativa. Al concluir la visita, se emite y notifica un emplazamiento, siguiente etapa, en el que el establecimiento cuenta con cinco días para presentar las pruebas omitidas durante la visita. En el emplazamiento, si la Profepa detecta incumplimientos a la legislación ambiental, la empresa tiene 15 días hábiles para presentar pruebas que acrediten su cumplimiento de la regulación. Posteriormente, se presenta la etapa de cierre de instrucción y apertura de periodo de alegatos, cuando se vence el plazo de 15 días y las pruebas presentadas las desecha o admite la Profepa, según sea el caso, con lo cual se declara cerrada la instrucción y se abre el periodo de alegatos, las cuales se presentan por escrito. En la siguiente etapa, ofrecimiento y presentación de pruebas, las empresas tienen 15 días para exponer instrumentos, como testimoniales, dictámenes periciales, fotografías, documentales, entre otros, que muestren su cumplimiento de la regulación. Una vez que concluyen los 15 días, en la siguiente etapa la Profepa emite y notifica a la empresa la resolución administrativa, en la cual se establecen las sanciones y las medidas correctivas para subsanar las infracciones a la regulación.12 Finalmente, en la etapa de medios de impugnación, las empresas en desacuerdo con las sanciones impuestas en la resolución pueden establecer un recurso de revisión para inconformarse.

 

EL SECTOR INDUSTRIAL EN MÉXICO Y SU CAPACIDAD POTENCIAL DE INFLUENCIA

Los estudios que analizan la influencia de los grupos empresariales en México muestran la fuerte presión que ejercen en los sistemas económico y político a nivel nacional (Ross, 2002; Story, 1983). Esta presión se explica por las estructuras organizativas de los grupos, así como los recursos que poseen y movilizan (Tirado, 2006), los cuales permiten su intervención en políticas sectoriales, como la económica (Alba, 1992; Puga y Tirado, 1992), la comercial (Sánchez, 2006) y la ambiental (Pacheco y Vega, 2001; Mumme, Bath y Assetto, 1988; Godau, 1985).

Los sectores económicos industrial y de servicios en México, se organizan a través de cámaras empresariales. En 1997, la incorporación de las empresas a una cámara dejó de ser obligatoria para ser voluntaria. Sin embargo, con esta modificación también se creó el Sistema de Información Empresarial Mexicano (SIEM), que exige a las empresas su inscripción forzosa.13 El SIEM es, en la actualidad, el padrón empresarial con información, hasta cierto punto, más confiable en el país, pues registra a la gran mayoría de las empresas que operan en México.

El análisis del sector industrial como grupo de interés se realiza a través de la clasificación del SCIAN 2007, del Instituto Nacional de Estadística y Geografía (INEGI), el cual agrupa las actividades industriales en México en cuatro sectores y 104 ramas (clasificación de cuatro dígitos del Sistema de Clasificación Industrial de América del Norte [SCIAN]): minería (21) con cinco ramas, generación, transmisión y distribución de energía eléctrica, suministro de agua y de gas por ductos al consumidor final (22) con tres ramas, construcción (23) con diez ramas, e industrias manufactureras (31-33) con 86 ramas (INEGI, 2008).14 Las actividades del sector manufacturero se dirigen a la transformación de bienes y productos, provenientes del sector primario o del mismo secundario.

Este análisis, con base en la clasificación del SCIAN, se explica por dos motivos. Primero, si el análisis se realiza con base en las cámaras, la información acerca de su tamaño podría estar incompleta, dado que su registro no es obligatorio; o sobreestimada, porque existen registros de empresas relacionadas con el sector servicios y no con la actividad industrial.15 Segundo, se asume que, aun sin pertenecer a una cámara, las empresas dentro de un mismo sector y rama industrial pueden converger en intereses y posturas frente a una regulación; esto es, es más probable la convergencia de intereses cuando todas las empresas pertenecen a una misma rama industrial, que cuando al interior de la cámara existen empresas con vínculos indirectos con la actividad principal.

La investigación se limita a examinar sólo el sector de industrias manufactureras (31-33) porque estas actividades tienen mayor presencia en la lista de prioridades de inspección de la Profepa (véase cuadro 2). Asimismo, las actividades del sector se vinculan, de manera estrecha, con las más contaminantes de acuerdo con el Índice de Industria Sucia (IIS), desarrollado por Gamper-Rabindran (2006) y Mani y Wheeler (1999).16

La hipótesis que guía esta investigación es que las visitas, de inspección y verificación, de la Profepa pueden reducirse por la capacidad potencial de influencia de los sectores industriales, en especial de aquellos que son intensivo-contaminantes. En este sentido, las empresas buscan reducir las visitas, las cuales si derivan en sanciones, administrativas o penales, podrían limitar sus actividades y conllevar costos económicos.

 

La capacidad potencial de influencia del sector manufacturero

Para operacionalizar la capacidad potencial de influencia, que se definió en la primer sección, se obtuvo información a nivel planta (la empresa como unidad de análisis) para, de manera agregada, definir la estructura y los recursos de los grupos (ramas industriales). En este sentido, se tuvo una limitante de información asociada a los recursos de poder.

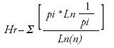
A través del SIEM se obtuvo información sobre el número de establecimientos por rama industrial (tamaño), así como los diferentes tamaños de las empresas (composición).17 Con base en la información de la composición, se estimó el índice de entropía (Hr) como una medida de dispersión que permite conocer la concentración de un tamaño de empresas al interior de las ramas.18 Es decir, se asume que a mayor concentración de un tamaño de establecimiento al interior de la rama, la acción colectiva es más probable porque predominan sus intereses sobre el resto.

Para establecer los recursos de poder se consultaron tres fuentes de información, el SIEM,19 la Profepa y el Centro Mexicano para la Filantropía (Cemefi). Los recursos políticos se refieren a los vínculos que se establecen con funcionarios de gobierno, generalmente, a través de transacciones comerciales. A través del SIEM se obtuvo información sobre las empresas, por rama industrial, que son proveedoras del gobierno. Asimismo, con base en el SIEM se obtuvo información sobre los recursos económicos, los cuales se expresan en siete rangos de ventas.20 Los recursos simbólicos se refieren a la imagen que proyectan las empresas, al gobierno y a la población, sobre su desempeño ambiental y social. Por lo tanto, los recursos simbólicos se refieren a las certificaciones que de manera visible muestran una imagen "verde" y social de las empresas. A través de la Profepa se obtuvo información sobre los Certificados de Industria Limpia (CIL) que se otorgan a las industrias.21 Se consultaron los distintivos de Responsabilidad Social Empresarial (RSE) que otorga el Cemefi.22 Los reconocimientos de RSE, aun cuando no certifican la implementación de un sistema de gestión, condicionan su entrega al cumplimiento de cuatro componentes, uno de ellos se vincula con su compromiso con el ambiente (Cajiga, 2010; Cemefi, 2010).23 Los recursos intelectuales se refieren a la preparación y entrenamiento del personal que labora en los establecimientos. Esta información podría ayudar a explicar las políticas de gestión ambiental al interior de las empresas; sin embargo, esto requeriría realizar consultas directas a cada uno de los establecimientos en estudio.

Con base en las estructuras organizativas de las ramas industriales y sus recursos de poder, se aplicó la técnica estadística análisis de componentes principales (ACP), la cual permite extraer la máxima varianza (información) con un número reducido de componentes. Este ejercicio tiene tres propósitos.24 Primero, esto permitirá examinar si las ramas intensivo-contaminantes son las que poseen, también, mayor capacidad para influir, tal como lo sugieren algunos estudios (Damania, Fredriksson y Osang, 2005; Damania y Fredriksson, 2000; Pittman, 1976; entre otros); segundo, conocer las variables que explican y son más relevantes en la definición de la capacidad de influencia, y tercero, los resultados de este análisis se incorporarán, en la siguiente sección, en un modelo para establecer si la capacidad potencial de influencia reduce las visitas de la Profepa.

 

Descripción de la muestra

La muestra incluye información de 62, de las 86,25 ramas industriales que conforman el sector manufacturero. La información sobre la estructura organizativa (tamaño, composición y colectividad), los recursos económicos y los políticos se obtuvieron a escala empresa, o planta, para cruzarla con los registros de la Profepa y del Cemefi. Una vez que se cruzó la información, se agregó a nivel rama (cuatro dígitos del SCIAN).26 Dadas las diferencias en los tamaños de cada rama, fue necesaria la transformación logarítmica de la base, salvo la información del Hr, los CIL y las acreditaciones RSE.

 

Técnica estadística

El ACP es una técnica estadística que permite la reducción del número de variables originales con el objeto de generar otras nuevas, no observables, no correlacionadas, que posean, en la medida de lo posible, la característica de preservar la mayor cantidad de información a través de una combinación lineal de las originales (Peña, 2002). Dado que los componentes principales no están correlacionados, cada uno contribuye, de manera independiente, a la varianza de las variables originales (Dunteman, 1989, 19). De esta manera, las variables con cargas altas indican más correlación con un componente en particular y, por lo tanto, le dan definición.

La retención de los primeros componentes, que aportan la mayor información, es útil para su incorporación en análisis posteriores; e.g., como variables independientes en una regresión, para evitar una correlación alta entre ellas (colinealidad) pues los componentes están incorrelados.

 

Resultados

Para conocer la pertinencia de realizar un ACP se estima la prueba Kaiser-Meyer-Olkin (KMO), la cual indica la bondad de ajuste del modelo. El coeficiente de KMO proporciona la varianza que tienen en común las variables en análisis.27 El valor que se obtuvo en la prueba es de 0.89 que, en el rango 0.8 a 0.9 de la caracterización de Kaiser, es "meritorio".

El ACP se estimó con 14 variables y 62 observaciones.28 A partir del componente cuatro la varianza (eigenvalue) es menor de uno y los siguientes poseen poca capacidad explicativa. El componente uno explica la mayor parte de la varianza (64%), el componente dos explica el 16 por ciento y el tres, 0.08 por ciento. La varianza acumulada en el componente dos es de 80 por ciento, esto implica que las variables con mayor carga en estos dos componentes concentran la información más relevante que subyace en la definición de la capacidad de influencia.

En el componente uno, las variables con cargas más altas poseen valores de 0.3: tamaño (total de empresas en la rama) y los rangos de ventas 1001-3000, 3001-6000, 6001-12000, 12001-30000 (véase cuadro 3). Todas las variables en el componente uno mantienen una relación positiva con éste y entre ellas, salvo el Hr, que tiene carga negativa. Esto se podría explicar porque un gran número de empresas dentro del grupo se asocia a una menor posibilidad de superar problemas de colectividad, lo que favorece la presencia de free riders y menor cooperación de recursos. En el componente uno se agrupan variables que corresponden al tamaño y, en gran medida, a los recursos económicos (cinco rangos de ventas). Un tamaño grande del grupo implica que existen más empresas, dentro de la misma rama industrial, con actividades afines. Se esperaría que un grupo con actividades similares, al enfrentar una regulación, que conlleve costos o beneficios, podría tener una postura más fortalecida, pues los efectos serían prácticamente iguales para todas las empresas. Es posible denominar al componente uno como posesión de recursos económicos, dado que imperan los rangos de ventas.

En el componente dos, las cargas más altas se agrupan en las variables Hr, grandes empresas y, en menor grado, los CIL y los RSE (véase cuadro 3). En el componente dos se presentan siete variables con cargas negativas, cinco de las cuales tuvieron valores altos en el componente uno. Las dos cargas más altas en este componente, Hr y grandes empresas, sugieren que la acción colectiva se asocia con empresas de mayor capacidad económica. Por lo tanto, es probable que las grandes empresas dominen las ramas a las que pertenecen e impongan sus agendas ante su superioridad económica, mas no numérica. Las variables CIL y RSE comparten cargas similares (0.3), donde la certificación ambiental es más relevante. Esto muestra que los recursos simbólicos apoyan la definición de la capacidad de influencia de las ramas, aunque con menor importancia. Se asume que las grandes empresas, al poseer más recursos económicos, tienen la posibilidad de certificarse con más distintivos, ambientales y sociales. Esto, a su vez, puede explicar su dominio dentro de las ramas industriales. En el componente dos predominan las certificaciones ambientales y sociales, por lo tanto, es posible nombrarlo como imagen del sector industrial.

Se graficaron los componentes uno y dos, para identificar las ramas cuyas variables tienen las cargas más altas (véase gráfica 1). Las ramas con pesos más altos en el componente uno, extrema derecha de la gráfica, son industria química (325), impresión e industrias conexas (3 231), fabricación de productos de plástico (3 261), industria de las bebidas (3 121) y fabricación de cemento y productos de concreto (3 273). En el caso del sector 325, su dominio se explica porque fue necesario agrupar cinco ramas, lo cual aumenta su superioridad numérica en todas las variables. Los sectores químico, alimentos y bebidas, y cementero se ubican en los primeros 12 lugares de prioridad para la Profepa, por el alto impacto ambiental de sus actividades.

Las ramas con pesos más altos en el componente dos, extremo superior de la gráfica, son industria química (325), fabricación de pulpa, papel y cartón (3 221), fabricación de componentes electrónicos (3 344), fabricación de equipo de comunicación (3 342), y fabricación de equipo de audio y de video (3 343). Existe un notable dominio del sector fabricación de equipo de computación, comunicación, medición y de otros equipos (334); estas ramas tienen un Hr cercano a uno (máxima dispersión) y, además, poseen un gran número de certificaciones ambientales y sociales. Esto se explica, en parte, porqué las empresas en giros tecnológicos son proveedoras de componentes para transnacionales, las cuales exigen, con frecuencia, algún tipo de certificación ambiental. En el caso de las ramas químicas, las certificaciones ambientales son de gran relevancia al pertenecer al sector de mayor prioridad para la Profepa. Las ramas en este componente son de prioridad de inspección media para la Profepa, salvo el caso del sector químico.

A través del ACP se obtuvieron tres hallazgos. Primero, al definir la capacidad potencial de influencia de las ramas industriales manufactureras, las variables más importantes son los recursos económicos, el tamaño, la superación de problemas colectivos, las grandes empresas y los recursos simbólicos. En este sentido, los recursos políticos y las empresas medianas son poco relevantes para definir la capacidad potencial de influencia.

Segundo, la industria química integra diversas ramas con alta capacidad para influir. Asimismo, se ubica en sectores con un IIS de tres, el más alto, y está dentro de los primeros lugares de prioridad de inspección para la Profepa (véase cuadro 2). Esto puede indicar que, en el caso de la industria química, al ser un sector altamente contaminante, por un lado, las empresas buscan certificaciones ambientales con las cuales evitar o disminuir las visitas de inspección de la Profepa y, por otro, buscan acreditaciones sociales con las cuales evitar denuncias ciudadanas y así influir de manera indirecta en la opinión pública.

De las diez ramas con más capacidad potencial de influencia, dos se ubican en los primeros lugares de prioridad de inspección de la Profepa (325 y 3 121); cinco de estas ramas se ubican en una prioridad media de inspección (3 221, 3 273, 3 342, 3 343 y 3 344), y dos de las ramas están en el nivel bajo de inspección (3 231 y 3 261). En este sentido, la capacidad potencial de influencia no mantiene una relación estrecha con las actividades de más alto impacto ambiental; sin embargo, las actividades de impacto medio dominan la capacidad potencial de influencia.

El ACP es una medición que se limita a mostrar los arreglos de variables, sin que sea observable el efecto que la capacidad de influencia tiene en las visitas de la Profepa. Las visitas de la autoridad se sujeten a procedimientos administrativos al interior de la dependencia. Sin embargo, cuando las visitas, como se asume en esta investigación, responden al criterio de prioridad de inspección por ser de alto impacto ambiental, es posible encontrar otras explicaciones que incidan en sus labores regulatorias. Es decir, la influencia no se define por acciones concretas que los grupos realizan para evitar las inspecciones, sino en un conjunto de características que las empresas reúnen, las cuales las hacen menos susceptibles a las visitas.

 

LAS VISITAS DE INSPECCIÓN Y VERIFICACIÓN AL SECTOR MANUFACTURERO

Es posible asumir que los sectores más contaminantes serán los que reciban más visitas; mientras que los sectores industriales de menor impacto eviten la mayor frecuencia de visitas. Sin embargo, en esta investigación se explora la posibilidad de que la frecuencia de visitas esté en función de otras características que reúnen las empresas y, de manera agregada, las ramas industriales. En esta sección se exploran cuatro de ellas que se incluirán en un análisis estadístico para observar sus efectos en las visitas.

a) Vínculos comerciales en el mercado mundial. El comercio internacional tiene diversos efectos en el desempeño ambiental de las empresas. Existen argumentos que señalan la apertura comercial como un factor que afecta la calidad del ambiente (Andonova, Mansfield y Milner, 2007). Sin embargo, los mercados internacionales, en la actualidad, favorecen los vínculos comerciales con empresas que poseen alguna certificación ambiental, e.g. ISO de la serie 14 000, pues conlleva ventajas competitivas al mejorar la imagen de los establecimientos (Bansal y Hunter, 2003; Kollman y Prakash, 2002); como mejora el cumplimiento de la regulación con ello las empresas garantizan sus compromisos comerciales, al no existir riesgo de clausuras (Potoski y Prakash, 2005); mejoran su desempeño ambiental (Darnall y Kim, 2012; Russo, 2009; Szymanski y Tiwari, 2004), así como sus procesos productivos (Yin y Schmeidler, 2009); promueven la creación de cadenas productivas, que fomentan la adopción de sistemas de gestión en las empresas de países con bajos estándares ambientales (Shah y Rivera, 2007; Prakash y Potoski, 2006).

En este sentido, es posible asumir que las empresas en el país, con vínculos en el mercado internacional, poseen un mejor desempeño ambiental. Esto no evita las visitas de inspección; sin embargo, al existir revisiones periódicas de las instalaciones y no encontrar irregularidades, la autoridad puede disminuir la frecuencia de las visitas, pues el cumplimiento de la regulación ha sido óptimo, de manera constante, en el tiempo.

b) Producción. Los niveles de producción de las empresas se asocian de manera directa con la generación de contaminantes. Sin embargo, un mayor nivel de producción no implica, necesariamente, más niveles de emisión, pues las economías de escala y la tecnología pueden evitar un incremento de la contaminación. Esto se vincula con la característica anterior, relaciones comerciales en el mercado mundial, aun si las empresas son altamente productivas, al competir en el mercado internacional, tendrán incentivos para mejorar su desempeño ambiental. También, altos niveles de producción se vinculan, generalmente, con empresas de tamaño grande, pues tienen mayor capacidad de inversión e infraestructura más amplia.

En el caso de México, altos niveles de productividad se vinculan con mayor nivel de contaminación, que se explica por dos motivos. Primero, el país es receptor de inversiones, especialmente de Estados Unidos y de Canadá, donde la regulación ambiental es más estricta. Esto favorece la entrada de industrias que aun si cumplen con la regulación doméstica, ésta todavía se mantiene en niveles por debajo de los que existen en sus países de origen. Segundo, en el país predominan empresas de tamaño mediano y pequeño, las cuales poseen recursos limitados para invertir en tecnología y mejoras en sus procesos productivos que reduzcan su impacto al ambiente. En este sentido, altos niveles de producción se vinculan con bajo desempeño ambiental y esto puede impactar de manera directa en la frecuencia de las visitas.

c) Recursos económicos. Los recursos económicos se vinculan con los niveles de producción. Un incremento en la producción aumenta los ingresos de las empresas, los cuales se pueden destinar a diversos aspectos operativos. Por un lado, mayores ingresos de las empresas suponen más capacidad para invertir en la capacitación, entrenamiento y contratación de personal especializado que atienda e implemente sistemas de gestión ambiental al interior de las empresas. Asimismo, los recursos económicos permiten inversiones en tecnología y en los procesos productivos, para mejorar el desempeño ambiental de las empresas. Por otro, también los recursos económicos se pueden destinar a incrementar la capacidad productiva o la infraestructura de los establecimientos, sin que estas inversiones tengan efectos en el desempeño ambiental. Aun así, si las inversiones se destinan a incrementar la producción, esto eventualmente puede llevar a las empresas a intervenir en el mercado internacional, lo cual puede exigirles integrar algún sistema de gestión ambiental en sus operaciones.

En este sentido, es posible asumir que los recursos económicos, al ser uno de los elementos que se integran en la capacidad de influencia (dentro del componente uno), favorecen menos visitas de la Profepa. Esto se explica porque los recursos económicos posibilitan un mejor cumplimiento de la regulación, al incorporar la tecnología necesaria que evite daños al ambiente, e.g. contratar personal calificado para implementar algún sistema de gestión.

d) Imagen. La certificaciones de tipo social o ambiental promueven la proyección de una imagen favorable de las empresas frente a sus competidores, los consumidores y el gobierno (De León, Rivera y Manderino, 2009; Khanna et al., 2007; Carroll, 2008 y 2007). Incluso, las certificaciones ambientales pueden favorecer la flexibilidad de la regulación para las empresas que las poseen (Koehler, 2007), aun cuando existen estudios que evidencian resultados limitados en el desempeño ambiental de las empresas cuando poseen alguna certificación (Darnall y Sides, 2008; Innes y Sam, 2008; Delmas y Montes-Sancho, 2007); a la par de estos estudios, otras investigaciones argumentan que las certificaciones ambientales sí favorecen un mejor desempeño de las empresas (Sam, Khanna e Innes, 2009; Lyon y Maxwell, 2007; Khanna y Damon, 1999).

En México, las empresas con certificaciones ambientales (e.g. ISO serie 14 000) o sociales (RSE) no poseen un trato preferencial frente a la autoridad. Sin embargo, la posesión del CIL sí ofrece ventajas a las empresas, pues las coloca dentro de un nivel de baja prioridad de inspección. Asimismo, la posesión de recursos simbólicos permite a las empresas ampliar su capacidad potencial de influencia (componente dos), con lo cual las visitas de inspección podrían limitarse.

Existen otros factores que pueden tener efectos en las visitas de inspección de la Profepa para disminuirlas, como son acciones de cabildeo, sobornos, presiones telefónicas, networking, reputación (tal como Crenson [1971] lo documenta ampliamente) o, también, para incrementarlas, como la cobertura mediática a determinados sectores y a las operaciones de empresas (e.g. la cobertura a la mina de Grupo México por el derrame tóxico ocasionado en el Río Bacanuchi, en Sonora, en agosto de 2014). Sin embargo, estos factores no se examinan porque están fuera del alcance de esta investigación, pues son prácticas con diversos niveles de discreción y su información es inasequible.

Las visitas de inspección de la Profepa a empresas manufactureras de competencia federal, se pueden explicar a través de las características antes descritas. Para este propósito, se estimó un modelo de regresión lineal multivariante con dos variables dependientes, inspección y verificación.29

El modelo de regresión multivariante estima y obtiene los mismos coeficientes, errores estándares, valores t y p, e intervalos de confianza, que un modelo regresión de mínimos cuadrados ordinarios (OLS). La ventaja que ofrece el uso del modelo multivariante, frente al OLS, es que permite comparar los resultados de las ecuaciones con las mismas variables independientes; asimismo, toma en consideración que las ecuaciones no son independientes entre ellas y las pruebas son las mismas que en OLS.

 

Variables dependientes

Visitas de inspección y visitas de verificación: La información se obtuvo de la Semarnat (2012) y se refiere a las visitas de inspección de 2011 que realizó la Profepa. La información corresponde a 34 fuentes de contaminación de competencia federal.30 En la medida de lo posible, se desagregó la información correspondiente a la clasificación SCIAN con cuatro dígitos.

 

Variables independientes

Empresas exportadoras.31 Se refiere a los mercados hacia donde las empresas dirigen su vínculos comerciales. La información se obtuvo del SIEM y se consultó en junio de 2012. Se esperaría que las empresas exportadoras tuvieran una relación negativa con ambas variables dependientes.

Producción bruta total (PBT).32 La variable se refiere al volumen de producción de las empresas. La información se obtuvo de la consulta interactiva de datos del INEGI para el año 2011. Se esperaría que la PBT tenga una relación positiva con ambas variables dependientes.

Recursos económicos. Se refiere a los resultados obtenidos en el componente uno del análisis previo. En esta variable se agrupan cuatro rangos de ventas y el número de establecimientos dentro de una rama. Se esperaría una relación negativa con las variables dependientes, pues mayores recursos posibilitan mejor cumplimiento de la regulación y, con ello, menos visitas.

Recursos simbólicos. Se refiere a los resultados obtenidos en el componente dos del análisis previo. En esta variable se agrupan la concentración y dominio de un tamaño de empresa, que se relaciona con los grandes establecimientos, los CIL y las acreditaciones de RSE. Se esperaría una relación negativa con las variables dependientes, debido a que las grandes empresas tienen más posibilidades de cumplir con la regulación, por los ingresos que poseen, y de obtener el CIL .

Industrias prioritarias. Esta variable se refiere a la lista de los 32 sectores económicos de prioridad de inspección para la Profepa (véase cuadro 2). Esta lista se dividió en tres: del lugar uno al once, se clasificó con tres (altamente contaminante), de alta prioridad de inspección; del lugar 12 al 22, se clasificó con dos (medianamente contaminante), de mediana prioridad de inspección y, del lugar 23 al 32, se clasificó con uno (poco contaminante), de baja prioridad de inspección. Se esperaría que esta variable tenga una relación positiva con ambas variables dependientes.33

 

Resultados

La regresión se estimó con 60 observaciones y seis variables independientes (véase cuadro 4).34

Ambos modelos, de inspección y de verificación, son significativos en su conjunto.35 La variable empresas exportadoras presenta signo negativo, lo cual se explica por el efecto que tienen los vínculos comerciales, hacia mercados foráneos, sobre el desempeño ambiental. Sin embargo, cabe destacar que esta variable no es significativa. En el caso de la variable PBT, su signo es el esperado y es significativa, asimismo, su coeficiente es el segundo más alto, debajo de la variable prioridad tres. Este resultado confirma el argumento de que altos niveles de producción pueden generar más contaminantes y esto se vincula con más visitas de inspección por parte de la Profepa. Las variables que se refieren a la capacidad potencial de influencia, recursos económicos y simbólicos, no fueron significativas, ni presentan los signos esperados. Esto se puede explicar porque ambos componentes omiten otras variables que den más soporte a la construcción de la capacidad potencial de influencia; e.g., la contribución de recursos a campañas políticas, dentro de los recursos políticos; patrocinios de eventos artísticos, culturales o deportivos, así como las certificaciones internacionales (ISO) dentro de los recursos simbólicos. La variable prioridad media, aun cuando tiene el signo esperado, no es significativa. Esto se puede explicar porque los sectores dentro de este rango de clasificación no son de alto impacto ambiental.

La variable de prioridad alta de inspección es significativa (p > 0.1) y posee el signo esperado. Este resultado confirma el criterio de inspección de la Profepa, los sectores de mayor impacto y potencial contaminante son, en efecto, los inspeccionados y verificados.

Los resultados del modelo de inspección guardan, como se esperaba, cierta igualdad con los de verificación. Esto se explica porque ambas visitas (ecuaciones) no son independientes entre sí y es de esperar que los efectos de las variables independientes mantengan cierta similitud. Esto indica que los criterios para realizar las inspecciones y verificaciones pueden ser los mismos.

En el modelo de verificación las empresas exportadoras tienen el signo esperado, se relacionan de manera inversa con estas visitas; sin embargo, esta variable tampoco fue significativa. La variable PBT en este modelo mantiene el signo esperado, al igual que en las inspecciones, mas no es significativa, contrario al modelo anterior donde sí lo fue. Esto se puede explicar porque en la primera visita, aun si los niveles de producción son altos, la autoridad puede observar si existe el cumplimiento de la regulación, lo cual motiva que las verificaciones ya no conserven este mismo criterio. Las variables que se asocian con la capacidad de influir, recursos económicos y simbólicos, tampoco son significativas, ni tienen el signo esperado, al igual que en el modelo de inspecciones. La variable de prioridad media no presentó el signo esperado y tampoco es significativa. Es posible asumir que la inspección y la verificación a empresas de prioridad media no está sujeta, en efecto, a la lista de visitas de la Profepa y, en cambio, se dé preferencia a los otros criterios de inspección (denuncias, historial de irregularidades, entre otras). La variable prioridad alta es, de nuevo, estadísticamente significativa y mantiene el signo esperado. Esto confirma que las visitas de la Profepa a los establecimientos industriales siguen el criterio de alto impacto ambiental, mientras otros posibles factores (imagen, los vínculos comerciales con el exterior) se mantienen al margen de sus procesos de decisión regulatoria.

Las estimaciones de estos modelos permiten algunas conclusiones generales. La capacidad potencial de influencia, medida a través de los recursos económicos y los simbólicos, no es un factor que prevalezca en las decisiones de visita de la Profepa; por el contrario, ambas variables mantienen una relación directa con las visitas, mas no es estadísticamente significativa. Los niveles de producción de las industrias son relevantes para realizar visitas de inspección, sin embargo, este criterio deja de ser importante para las verificaciones. Es posible asumir que la alta producción induce a la inspección, mas no implica llevar un seguimiento a través de la verificación. También, los hallazgos de este ejercicio estadístico confirman que la Profepa realiza las visitas, de inspección y de verificación, a establecimientos de mayor impacto ambiental, con prioridad alta. Esta variable, significativa en ambos modelos, confirma que la regulación a la industria manufacturera mantiene un vínculo estrecho con los sectores contaminantes. Por lo tanto, los giros industriales son determinantes en las visitas de la autoridad. Finalmente, al comparar los resultados de este análisis con los del ACP, cinco de las ramas relevantes en recursos económicos y simbólicos corresponden a la prioridad media de visitas, dos a la prioridad baja y sólo una, a la prioridad alta.

 

CONCLUSIONES

Esta investigación se enfocó a analizar qué criterios definen las visitas que realiza la Procuraduría Federal de Protección al Ambiente (Profepa) a las industrias manufactureras del país, en el marco del Programa de Inspección y Vigilancia. Para este propósito se examinó si la capacidad potencial de influencia podría tener un efecto en las visitas de inspección y verificación de la Profepa. Este estudio reveló tres hallazgos principales.

Primero, la capacidad potencial de influencia se define como un conjunto de características de los sectores industriales que posicionan a las empresas en condiciones favorables para evitar la regulación ambiental. Esta capacidad de influencia incorpora un conjunto de variables que miden las estructuras organizativas de los sectores industriales, así como su posesión de recursos de poder (económicos, políticos y simbólicos). La construcción de esta capacidad tuvo la intención de observar si estas características podían, en efecto, influir en la regulación para evitar las visitas de la Profepa. En este sentido, los resultados esperados eran que los sectores industriales de mayor prioridad de inspección para la Profepa fueran también los que tuvieran mayor capacidad de influencia. Sin embargo, la capacidad de influencia no tiene efectos en la determinación de las visitas.

Segundo, se analizó si las visitas de inspección y verificación podían determinarse por los vínculos comerciales en el mercado internacional, los niveles de producción, los recursos económicos y simbólicos, los cuales definen la capacidad de influencia, y la prioridad de inspección. Se encontró que las visitas de inspección a los establecimientos se determinan por los niveles de producción (producción bruta total) y, sobre todo, si las industrias son de alto impacto y riesgo ambientales. Las visitas de verificación sólo se realizan si las industrias están dentro del nivel de máxima prioridad de inspección.

Tercero, de acuerdo con diversos estudios, las industrias intensivo-contaminantes son las más interesadas en influir en la regulación ambiental, para evitar asumir sus costos. Esta investigación encontró que dos ramas de prioridad alta de inspección poseen mayor capacidad potencial de influencia, industria química y de la bebida; sin embargo, la capacidad de influencia de las industrias contaminantes, aun cuando puede ser alta, no tiene efectos en la regulación. En este sentido, de acuerdo con la hipótesis de esta investigación, las visitas de la Profepa se deciden por una lógica de impacto ambiental y, por lo tanto, la capacidad de influencia no posee relevancia en esta resolución.

Los resultados de este análisis abren nuevas vías para el estudio del sector industrial y los efectos de sus actividades políticas en la gestión ambiental en México. En este sentido, para futuras investigaciones se dejan abiertas dos limitantes a las que se enfrentó este estudio. Primero, aun cuando se identificaron tres recursos de poder, políticos, económicos y simbólicos, es importante incorporar más variables que apoyen la definición de cada uno de ellos; añadir y explicar los efectos de los recursos intelectuales al interior de las empresas y, de manera agregada, en las ramas industriales; los recursos simbólicos omiten las acreditaciones ISO de la serie 14 000, las cuales podrían tener efectos sobre las visitas, dado que las exigencias ambientales de los mercados externos pueden ser, incluso, mayores que la regulación mexicana. Y, segundo, no fue posible incorporar información sobre las sanciones de la Profepa, clausura parcial temporal y clausura total temporal, a nivel planta. La información al respecto permitirá vincular, con mayor certeza, la influencia del sector industrial en la regulación y relacionar, asimismo, la magnitud de las sanciones con su activismo político.

 

REFERENCIAS BIBLIOGRÁFICAS

Andonova, L., E.D. Mansfield y H. Milner (2007), "International Trade and Environmental Policy in the Postcommunist World", Comparative Political Studies, 40(7), pp. 782-807.         [ Links ]

Alba, C. (1992), "Las regiones industriales y los empresarios de México", en C. Puga y R. Tirado (eds.), Los empresarios mexicanos, ayer y hoy, México, Universidad Nacional Autónoma de México/Universidad Autónoma Metropolitana/Consejo Mexicano de Ciencias Sociales/Ediciones El Caballito, pp. 107-130.         [ Links ]

Bansal, P. y T. Hunter (2003), "Strategic Explanations for the Early Adoption of ISO 14001", Journal of Business Ethics, 46(3), pp. 289-299.         [ Links ]

Bauer, R., I. Pool y L. Dexter (1963), American Business and Public Policy: The Politics of Foreign Trade, Chicago, Aldine.         [ Links ]

Baumgartner, F. y B. Leech (1998), Basic Interests: The Importance of Groups in Politics and in Political Science, Princeton, Princeton University Press.         [ Links ]

Berry, J. (1999), The New Liberalism: The Rising Power of Citizen Groups, Washington, D.C., Brookings Institution Press.         [ Links ]

Brañes, R. (2004), Manual de derecho ambiental mexicano, México, Fondo de Cultura Económica.         [ Links ]

Browne, W. (1990), "Organized Interests and their Issue Niches: A Search for Pluralism in a Policy Domain", Journal of Politics, 52(2), pp. 477-509.         [ Links ]

Cajiga, J. (2010), El concepto de responsabilidad social empresarial, disponible en: http://www.cemefi.org/esr/ [fecha de consulta: 7 de diciembre de 2010]         [ Links ].

Carroll, A. (2007), "Corporate Social Responsibility", en W. Visser, D. Matten, M. Pohl y N. Tolhurst (eds.), The A to Z of Corporate Social Responsibility: A Complete Reference Guide to Concepts, Codes and Organizations, West Sussex, John Wiley & Sons, pp. 122-131.         [ Links ]

---------- (2008), "A History of Corporate Social Responsibility: Concepts and practices", en A. Crane, A. McWilliams, D. Matten, J. Moon y D. Siegel (eds.), The Oxford Handbook of Corporate Social Responsibility, Nueva York, Oxford University Press, pp. 19-46.         [ Links ]

Cater, D. (1964), Power in Washington: A Critical Look at Today's Struggle to Govern in the Nation's Capital, Nueva York, Random House.         [ Links ]

Cemefi (Centro Mexicano para la Filantropía) (2010), Responsabilidad social empresarial, disponible en: http://www.cemefi.org/esr/ [fecha de consulta: 8 de septiembre de 2010]         [ Links ].

Crenson, M. (1971), The Un-Politics of Air Pollution: A Study of Non-decision making in the Cities, Baltimore, The Johns Hopkins University Press.         [ Links ]

Damania, R. y P. Fredriksson (2000), "Polluters and Collective Action: Theory and Evidence", Southern Economic Journal, 72(1), pp. 167-185.         [ Links ]

Damania, R., P. Fredriksson y T. Osang (2005), "On the Formation of Industry Lobby Groups", Journal of Economic Behavior & Organization, 41(4), pp. 315-335.         [ Links ]

Darnall, N. y S. Sides (2008), "Assessing the Performance of Voluntary Environmental Programs: Does Certification Matter?", The Policy Studies Journal, 36(1), pp. 95-117.         [ Links ]

Darnall, N. y Y. Kim (2012), "Which Types of Environmental Management Systems are Related to Greater Environmental Improvements?", Public Administration Review, 72(3), pp. 351-365.         [ Links ]

De León, P., J. Rivera y L. Manderino (2009), "Voluntary Environment Programs: An Introduction", en P. de León y J. Rivera (eds.), Voluntary Environmental Programs: A Police Perspective, Maryland, Lexington Books, pp. 1-10.         [ Links ]

Delmas, M. y M. Montes-Sancho (2007), Voluntary Agreements to Improve Environmental Quality: Are Late Joiners the Free-riders?, Santa Barbara, University of California/ISBER Publications.         [ Links ]

Downey, L. y M. Van Willigen (2005), "Environmental Stressors: The Mental Health Impacts of Living Near Industrial Activity", Journal of Health and Social Behavior, 46(3), pp. 289-305.         [ Links ]

Dunteman, G. (1989), Principal Components Analysis, Iowa, SAGE University Paper.         [ Links ]

Fleischmann, A. (1997), "Participation in Local Politics", en R. Vogel (ed.), Handbook of Research on Urban Politics and Policy in the United States, Westport, Greenwood Press, pp. 149-158.         [ Links ]

Gamper-Rabindran, S. (2006), "Did the EPA's Voluntary Industrial Toxics Program Reduce Emissions? A GIS Analysis of Distributional Impacts and By-media Analysis of Substitution", Journal of Environmental and Management, 52(1), pp. 391-410.         [ Links ]

García, L., S. González y J. Rodríguez (1995), "Los peligros industriales en la zona metropolitana de Guadalajara", Revista Comercio Exterior: Economía Urbana, 45(10), pp. 775-787.         [ Links ]

Gil, M. (2007), Crónica ambiental: Gestión pública de políticas ambientales en México, México, Fondo de Cultura Económica/Semarnat/INE.         [ Links ]

Godau, R. (1985), "La protección ambiental en México: Sobre la conformación de una política pública", Estudios Sociológicos, 3(7), pp. 47-84.         [ Links ]

Gray, V. y D. Lowery ( 1996), The Population Ecology of Interest Representation, Ann Arbor, University of Michigan Press.         [ Links ]

Heinz, J., E. Laumann R. Nelson y R. Salisbury (1993), The Hollow Core: Private Interests in National Policymaking, Cambridge, Harvard University Press.         [ Links ]

Hsu, M.J., K. Selvaraj y G. Agoramoorthy (2006), "Taiwan's Industrial Heavy Metal Pollution Threatens Terrestrial Biota", Environmental Pollution, 143(2), pp. 327-334.         [ Links ]

Innes, S. y A. Sam (2008), "Voluntary Pollution Reductions and the Enforcement of Environmental Law: An Empirical Study of the 33/50 Program", Journal of Law and Economics, 51(2), pp. 271-296.         [ Links ]

INEGI (Instituto Nacional de Estadística y Geografía) (2008), Sistema de Clasificación Industrial de América del Norte, 2007, México, INEGI.         [ Links ]

Kamieniecki, S. (2006), Corporate America and Environmental Policy: How often does Business Get its Way?, Stanford, Stanford University Press.         [ Links ]

Khanna, M. y L. Damon (1999), "EPA's Voluntary 33/50 Program: Impact on Toxic Releases and Economic Performance of Firms", Journal of Environmental and Management, 37(1), pp. 1-25.         [ Links ]

Khanna, M., P. Koss, C. Jones y D. Ervin (2007), "Motivations for Voluntary Environmental Management", The Policy Studies Journal, 35(4), pp. 751-772.         [ Links ]

Koehler, D. (2007), "The Effectiveness of Voluntary Environmental Programs: A Policy at a Crossroads?", The Policy Studies Journal, 35(4), pp. 689-722.         [ Links ]

Kollman, K. y A. Prakash (2002), "EMS-based Environmental Regimes as Club Goods: Examining Variations in Firm-level Adoption of ISO 14001 and EMAS in U.K. and Germany", Policy Sciences, 35(1), pp. 43-67.         [ Links ]

Kraft, M. y S. Kamieniecki (2007), Business and Environmental Policy: Corporate Interests in the American Political System, Cambridge, The MIT Press.         [ Links ]

Ley de Cámaras Empresariales y sus Confederaciones.

Lindblom, C. (1991), El proceso de elaboración de políticas públicas, Madrid, Ministerio para las Administraciones Públicas.         [ Links ]

Lowery, D. y V. Gray (2004), "A Neo-pluralist Perspective on Research on Organized Firms", Political Research Quarterly, 57(1), pp. 163-175.         [ Links ]

Lowi, T. (1969), The End of Liberalism, Nueva York, Norton.         [ Links ]

Lubell, M. y A. Vedlitz (2006), "Collective Action, Environmental Activism and Air Quality Policy", Political Research Quarterly, 59(1), pp. 149-160.         [ Links ]

Lyon, T. y J. Maxwell (2007), "Environmental Public Voluntary Programs Reconsidered", The Policy Studies Journal, 35(4), pp. 723-750.         [ Links ]

Mani, M. y D. Wheeler (1999), "In Search of Pollution Heavens? Dirty Industry in the World Economy", en P. Fredriksson (ed.), Trade Global Policy and the Environment, documento de discusión 402, Banco Mundial, pp. 115-129.         [ Links ]

Marqués, S. y M. Lima (2011), "Living in Grey Areas: Industrial Activity and Psychological Health", Journal of Environmental Psychology, 31(4), pp. 314-322.         [ Links ]

Martino, M. (1998), "Interest Groups in the Rule-making Process: Who Participates? Whose Voices Get Heard?", Journal of Public Administration Research and Theory, 8(2), pp. 245-270.         [ Links ]

McConnell, G. (1966), Private Power and American Democracy, Nueva York, Knopf.         [ Links ]

McKitrick, R. (2006), "The Politics of Pollution: Party Regimes and Air Quality in Canada", The Canadian Journal of Economics, 39(2), pp. 604-620.         [ Links ]

Merino, M. (2001), La participación ciudadana en la democracia, México, Dirección Ejecutiva de Capacitación Electoral y Educación Cívica del Instituto Federal Electoral.         [ Links ]

Milbrath, L. (1963), The Washington Lobbyists, Chicago, Rand MacNally.         [ Links ]

Moe, T. (1981), "Toward a Broader View of Interest Groups", The Journal of Politics, 43(2), pp. 531-543.         [ Links ]

Molina, L. y M. Molina (eds.) (2002), Air Quality in the Mexico Megacity: An Integrated Assessment, Dordrecht, Kluwer Academic Publishers.         [ Links ]

Mosca, G. (1984), La clase política, México, Fondo de Cultura Económica.         [ Links ]

Mumme, S., R. Bath y V. Assetto (1988), "Political Development and Environmental Policy in Mexico", Latin American Research Review, 23(1), pp. 7-34.         [ Links ]

Olson, M. (1965), The Logic of Collective Action Public Goods and the Theory of Groups, Cambridge, Harvard University Press.         [ Links ]

Ostrom, E. (2000), El gobierno de los bienes comunes: La evolución de las instituciones de acción colectiva, México, Universidad Nacional Autónoma de México/Centro Regional de Investigaciones Multidisciplinarias/ Fondo de Cultura Económica.         [ Links ]

Pacheco, R. y O. Vega (2001), "Las modalidades participación ciudadana en política ambiental", Economía, Sociedad y Territorio, 3(9), pp. 25-62.         [ Links ]

Peña, D. (2002), Análisis de datos multivariantes, Madrid, McGraw-Hill.         [ Links ]

Peterson, P. (1981), City limits, Chicago, University of Chicago Press.         [ Links ]

Pittman, R. (1976), "Rent-Seeking and Market Structure: Comment", Public Choice, 58(2), pp. 71-80.         [ Links ]

Portney, K. E. (1986), Approaching Public Policy Analysis: An Introduction to Policy and Program Research, Englewood Cliffs, Prentice-Hall.         [ Links ]

Potoski, M. y A. Prakash (2004), "Regulatory Convergence in Non-governmental Regimes? Cross-National Analysis Adoption of ISO 14001 Certifications", The Journal of Politics, 66(3), pp. 885-905.         [ Links ]

Potoski, M. y A. Prakash (2005), "Green Clubs and Voluntary Governance: ISO 14001 and Firm's Regulatory Compliance", American Journal of Political Science, 49(2), pp. 235-248.         [ Links ]

Prakash, A. y M. Potoski (2006), "Racing to the Bottom? Trade, Environmental Governance and ISO 14001", American Journal of Political Science, 50(2), pp. 350-364.         [ Links ]

Presthus, R. (1974), "Interest Group Lobbying: Canada and the United States", The Annals of the American Academy of Political and Social Science, 413(1), pp. 44-57.         [ Links ]

Profepa (Procuraduría Federal de Protección al Ambiente) (2010), Subprocuraduría de Inspección Industrial, disponible en: http://www.pa.gob.mx/PROFEPA/InspeccionIndustrial/SubprocuraduriadeInspeccionIndustrial/SubprocuraduriaDeInspeccion.htm [fecha de consulta: 30 de mayo de 2010]         [ Links ].

---------- (2014), Visita de Inspección, disponible en: http://www.profepa.gob.mx/innovaportal/file/511/1/VisitadeInspecciC3B3n.pdf [fecha de consulta: 17 de diciembre de 2014]         [ Links ].

---------- (2014a), Qué hacemos, disponible en: http://profepa.gob.mx/innovaportal/v/5000/1/mx/que_hacemos.html [fecha de consulta: 17 de diciembre de 2014]         [ Links ].

---------- (2014b), Programa de Inspección, disponible en: http://profepa.gob.mx/innovaportal/v/165/1/mx/programa_de_inspeccion.html [fecha de consulta: 27 de diciembre de 2014]         [ Links ].

---------- (2014c), "Procedimiento administrativo", disponible en: http://www.profepa.gob.mx/innovaportal/v/511/1/mx/procedimiento_administrativo.html [fecha de consulta: 27 de diciembre de 2014]         [ Links ].

Puga, C. y R. Tirado (eds.) (1992), Los empresarios mexicanos, ayer y hoy, México, Universidad Nacional Autónoma de México/Universidad Autónoma Metropolitana/Consejo Mexicano de Ciencias Sociales/Ediciones El Caballito.         [ Links ]

Rosenbaum, W. (2011), Environmental Politics and Policy, Washington, D.C., CQ Press.         [ Links ]

Ross, B. (2002), "Why is Mexican Business so Organized?", Latin American Research Review, 37(1), pp. 77-118.         [ Links ]

Russo, M. (2009), "Explaining the Impact of ISO 14001 on Emission Performance: A Dynamic Capabilities Perspective on Process and Learning", Business Strategy and the Environment, 18(5), pp. 307-319.         [ Links ]

Salisbury, R. (1990), "The Paradox of Interests in Washington, D.C.: More Groups Less Clouts", en A. King (ed.), The New American Political System, Washington, D.C., American Enterprise Institute, pp. 203-229.         [ Links ]

Sabatier, P. (1991), "Towards Better Theories of the Policy Process", Political Science and Politics, 24(2), pp. 147-156.         [ Links ]

Sam, A., M. Khanna y R. Innes (2009), "Voluntary Pollution Reduction Programs, Environmental Management and Environmental Performance: An Empirical Study", Land Economics, 85(4), pp. 692-711.         [ Links ]

Sánchez, L. (2006), "Grupos de interés y reforma comercial en México", El Trimestre Económico, 73(2), pp. 337-361.         [ Links ]

Sandler, T. (1992), Collective Action: Theory and Applications, Ann Arbor, The University of Michigan Press.         [ Links ]

Scott, A. y M. Hunt (1965), Congress and Lobbies, Chapel Hill, North Carolina University Press.         [ Links ]

Shah, K. y J. Rivera (2007), "Export Processing Zones and Corporate Environmental Performance in Emerging Economies: The Case of the Oil, Gas and Chemical Sectors of Trinidad and Tobago", Policy Sciences, 40(4), pp. 265-285.         [ Links ]

Smith, M. (2000), American Business and Political Power: Public Opinion, Elections and Democracy, Chicago, University of Chicago Press.         [ Links ]

Story, D. (1983), "Industrial Elites in Mexico: Political Ideology and Influence", Journal of Inter American Studies and World Affairs, 251 (3), pp. 351-376.         [ Links ]

Szymanski, M. y P. Tiwari (2004), "ISO 14001 and the Reduction of Toxic Emissions", Journal of Economic Policy Reform, 7(1), pp. 31-42.         [ Links ]

Tirado, R. (2006), "El poder de las cámaras industriales de México", Foro Internacional, 46(2), pp. 197-226.         [ Links ]

Vig, N. y M. Kraft (2010), Environmental Policy: New Directions for the Twenty-first Century, Washington, D.C., CQ Press.         [ Links ]

Vogel, D. (1978), Lobbying the Corporation: Citizen Challenges to Business authority, Nueva York, Basic Books.         [ Links ]

---------- (1993), "Representing Diffuse Interests in Environmental Policymaking", en K. Weaver y B. Rockman (eds.), Do Institutions Matter? Government Capabilities in the United States and Abroad, Washington, D.C., Brookings Institution, pp. 237-271.         [ Links ]

Walker, J. (1991), Mobilizing Interest Groups in America: Patrons, Professionals and Social Movements, Ann Arbor, University of Michigan Press.         [ Links ]

Wilson, J. (1995), Political Organizations, Princeton, Princeton University Press.         [ Links ]

Yin, H. y P. Schmeidler (2009), "Why do Standardized ISO 14001 Environmental Management Systems Lead to Heterogeneous Environmental Outcomes?", Business Strategy and the Environment, 18(7), pp. 469-486.         [ Links ]

Yu, Z. (2005), "Environmental Protection: A Theory of Direct and Indirect Competition for Political Influence", Review of Economic Studies, 72(1), pp. 269-286.         [ Links ]

 

Nota

* La autora agradece las sugerencias de los dictaminadores anónimos, así como las observaciones de Fernando Patrón, Katya Rodríguez y David Arellano.

1 La lista se puede consultar en el cuadro 2.

2 Véanse los estudios de Heins et al. (1993), Salisbury (1990), Peterson (1981), Scott y Hunt (1965), Bauer, Pool y Dexter (1963) y Milbrath (1963).

3 Véanse los estudios de Smith (2000), Fleischmann (1997), Gray y Lowery (1996), Browne (1990), Lowi (1969), McConnell (1966) y Cater (1964).

4 Acerca de los argumentos alternos a los de Olson (1965), que explican y predicen el comportamiento de los grupos de interés, véanse Lowery y Gray (2004), Smith (2000), Berry (1999), Baumgartner y Leech (1998), Walker (1991) y Moe (1981).

5 Los free riders se definen como los miembros que sin aportar a las soluciones del grupo se benefician de éstas, ya que otros actúan en el interés de la colectividad.

6 Además de las aportaciones de Olson (1965), sobre la superación de problemas de acción colectiva, existen otros medios que sugieren diversos autores. Ostrom (2000) investiga la aparición de estructuras institucionales que incentivan resultados cooperativos en bienes comunes de acceso limitado. Y Libecap (1990 citado en Sandler, 1992) muestra la eficiencia de la negociación entre un número reducido de participantes con interacciones repetidas para la cooperación sobre bienes comunes.

7 Los incentivos seleccionados sólo aplican en grupos latentes porque esto asegura que los miembros actúen en beneficio de la colectividad, de otra manera se presentarán free riders. En grupos pequeños o intermedios los incentivos seleccionados pierden sentido porque los esfuerzos se realizan sin coerción.

8 Se adicionaron y derogaron 161 de los 194, artículos originales de la LGEEPA, que entraron en vigor el 14 de diciembre de 1996 (Brañes, 2004).

9 En 2000 se hicieron modificaciones orgánicas en la administración pública federal y se trasladó el subsector pesca a la Secretaría de Agricultura, Ganadería, Desarrollo Rural, Pesca y Alimentación.

10 El 22 de abril de 1992, la explosión del sistema de drenaje del Sector Reforma en Guadalajara, Jalisco, ocasionó la muerte de 210 personas, la destrucción de alrededor tres mil viviendas y el daño a 8 km de calle (García et al., 1995).

11 La normal contempla la verificación del cumplimiento de las distintas obligaciones en materia de atmósfera, de residuos peligrosos, de contaminación de suelos, verificación de vehículos automotores nuevos en planta, impacto y riesgo ambiental. La de residuos peligrosos biológico infecciosos considera la verificación de las obligaciones que deben cumplir los establecimientos de atención médica en la NOM-087-ECOL-SSA1-2002. Y la de servicios de residuos peligrosos se aboca a la verificación del cumplimiento de las obligaciones en materia de servicios de residuos peligrosos (transporte y tratamiento).

12 Las sanciones pueden ser, dependiendo de la gravedad de las infracciones, multas económicas; clausura total o parcial, temporal o definitiva; arresto administrativo, y suspensión o revocación de las licencias, permisos o autorizaciones.

13 El SIEM es "un instrumento del Estado mexicano cuyo propósito es captar, integrar, procesar y suministrar información oportuna y confiable sobre las características y ubicación de los establecimientos de comercio, servicios, turismo e industria en el país, que permita un mejor desempeño y promoción de las actividades empresariales" (artículo 29, LCEC).

14 Sobre la composición del sector manufacturero (31-33), sus subsectores y ramas, véase el anexo 1.

15 Legalmente las cámaras se componen de empresas dentro de un mismo giro o actividad. Sin embargo, también agrupan a empresas que se dedican a actividades relacionadas con la actividad. Por ejemplo, de acuerdo con el SIEM, la Cámara Nacional de la Industria de Artes Gráficas se compone de industrias que la clasificación del SCIAN señala dentro de la rama 3231 (impresión e industrias conexas) y, además, de empresas del sector servicios (rama 5 614: servicio de apoyo secretarial, fotocopiado, cobranza, investigación crediticia y similares). Esto lleva a sobreestimar el tamaño de la cámara. Más importante aun, pueden existir cámaras donde predominen los intereses de empresas no relacionadas con la actividad industrial y, por lo tanto, el análisis presentaría un mayor sesgo.

16 Véase el anexo 2 sobre los subsectores industriales y su escala en el IIS.

17 Existen cuatro tamaños de empresas según el número de empleados. La micro empresa va de cero a 30 empleados; la pequeña empresa va de 31 a 100 empleados; la mediana empresa va de 101 a 500 empleados y la empresa grande va de 501 empleados en adelante.

18 El índice de entropía mide la dispersión de una variable. Se define de la siguiente manera:

donde p es la participación del tamaño de empresas en la rama i; n se refiere a la clasificación del tamaño (hasta cuatro: micro, pequeña, mediana y grande). El Hr varía de cero (máxima concentración al interior de la rama) a uno (máxima dispersión). Una tasa cercana a uno indica mayor probabilidad de acción colectiva porque los intereses colectivos dominan sobre el liderazgo de una o pocas empresas.

19 La información del SIEM se actualiza todos los días para registrar o dar de baja empresas. La información se recopiló en el mes de junio de 2012. Aun cuando hubo actualizaciones durante el mes, no implicaron cambios drásticos de una semana a otra.

20 Los rangos de ventas son: 1) de 201 a 500 pesos; 2) de 501 a 1 000 pesos; 3) de 1 001 a 3 000 pesos; 4) de 3 001 a 6 000 pesos; 5) de 6 001 a 12 000 pesos; 6) de 12 001 a 30 mil pesos y, 7) de 30 mil un pesos y más.

21 Los CIL se otorgan a las industrias que se inscriben al Programa Nacional de Auditoría Ambiental de la Profepa. A través de este programa, de incorporación voluntaria, las empresas establecen un acuerdo con la autoridad para obtener el CIL con el cual acreditan, además del cumplimiento de la normatividad y legislación federal vigentes, su buen desempeño ambiental.

22 Otra certificación importante en México, ideal para incorporarse a este análisis, es el ISO de la serie 14 000. La consulta de esta información se logró obtener, de manera parcial, a través de la revista Contacto de Unión Empresarial, que cada año publica un padrón de empresas con la certificación ISO 14 000. Sin embargo, la información que presenta no especifica el sector industrial al que pertenecen los establecimientos.

23 Los componentes son: ética y gobernabilidad empresarial, calidad de vida en la empresa, vinculación y compromiso con la comunidad y su desarrollo, y cuidado y preservación del medio ambiente (Cajiga, 2010; Cemefi, 2010). El reconocimiento a los esfuerzos sociales de las empresas en México, a diferencia de los CIL , se otorga por el cumplimiento global de acciones sociales y no sólo por el buen desempeño ambiental.

24 También, el uso del ACP permitirá, en la siguiente sección, incorporar variables de manera agregada en un modelo de regresión. Sin el uso del ACP, la introducción de estas variables presentaría problemas de multicolinealidad en la regresión.

25 Se excluyeron 19 de las 22 ramas que conforman el sector 31 por falta de información. Asimismo, en el sector 325 se agregó la información de cinco, de las siete, ramas que lo conforman: 3 252, 3 253, 3 254, 3 256 y 3 259 (véase el anexo 1).

26 No todas las empresas están registradas en el SIEM, la siguiente fuente de información que se consultó fueron sus páginas en Internet. Al existir problemas con sus páginas o carecer de ellas, la tercera fuente de información fueron los directorios empresariales: http://www.champoton.org y http://www.manta.com.

27 Este coeficiente puede tomar valores de 0 a 1: valores cercanos a 0 indican que no es conveniente el uso de esta técnica, de 0.5 señala que el uso de la técnica no es adecuado con las variables que se incluyen y cercanos a 1 muestran un ajuste perfecto entre las variables.

28 La estimación inicial, que incluyó 18 variables, no permitió realizar la prueba KMO de bondad de ajuste del modelo. Fue necesario descartar las variables de micro y pequeñas industrias, y los rangos de ventas de 0-100 y 101-200.

29 El modelo se estimó con el comando mvreg en Stata.

30 Se desestimaron las visitas a Petróleos Mexicanos y a la Comisión Federal de Electricidad.

31 La variable tuvo transformación logarítmica.

32 PBT se define como el valor de todos los bienes y servicios emanados de la actividad económica como resultado de las operaciones realizadas por las unidades económicas, incluido el margen de comercialización de mercancías revendidas de las firmas (INEGI). La variable tuvo transformación logarítmica.

33 Esta es una variable categórica, por tal motivo, se incorporó al modelo como una dummy utilizando las clasificaciones dos y tres.

34 Se omitieron dos observaciones del análisis de ACP por mostrar valores fuera de rango: 3 314 (industrias de metales no ferrosos, excepto aluminio) y 325 (industria química que agrupa a cinco de las siete ramas). Una estimación inicial incluyó a la inversión extranjera directa, en lugar de empresas exportadoras. Los resultados con esta variable no fueron significativos y se excluyeron del análisis.

35 Se estimaron pruebas de signficancia para cada variable y en su conjunto. Sólo las variables de PBT y de prioridad alta fueron significativas.

 

INFORMACIÓN SOBRE LA AUTORA

Ma. Ofelia Camacho García. Es doctora en Estudios Urbanos y Ambientales por El Colegio de México. Profesora investigadora adscrita al Departamento de Gestión Pública, División de Derecho Política y Gobierno, Universidad de Guanajuato; sus líneas de investigación se centran en política y gestión ambiental, empresas y medio ambiente y grupos empresariales; publicaciones recientes: Empresas y medio ambiente en México. La influencia del sector empresarial en el diseño de instrumentos ambientales.

Creative Commons License Todo el contenido de esta revista, excepto dónde está identificado, está bajo una Licencia Creative Commons