Services on Demand
Journal
Article
Indicators
-
Cited by SciELO -
Access statistics
Related links
-
Similars in
SciELO
Share
Gestión y política pública
Print version ISSN 1405-1079
Gest. polít. pública vol.18 n.2 Ciudad de México Jan. 2009
Gestión regional y local
Indicador de infraestructuras productivas por entidad federativa en México, 1970-2003
Productive Infrastructure Indicator by Federative Entities in Mexico, 1970-2003
Osvaldo U. Becerril Torres*, Inmaculada C. Álvarez Ayuso**, Laura Elena del Moral Barrera*** y Reyna Vergara González****
* Es profesor-investigador en la Universidad Autónoma del Estado de México, Facultad de Economía, Cerro de Coatepec s/n, Ciudad Universitaria, Toluca, Estado de México, 50120. Tel. 01 722 214-94-11. Correo-e: obecerril@uaemex.mx.
** Es profesora-investigadora sobre las infraestructuras y el crecimiento económico, Facultad C.C. Económicas y Empresariales, Universidad Autónoma de Madrid, Campus de Cantoblanco, 28049 Madrid. Tel. 34 91 497 28 58. Correo-e: inmaculada.alvarez@uam.es.
*** Es profesora investigadora de la Facultad de Economía, Universidad Autónoma del Estado de México, Cerro de Coatepec s/n, Ciudad Universitaria, Toluca, Estado de México, 50120. Tel. 01 722 214-94-11. Correo-e: lauraelena_toluca1@yahoo.com.mx.
****Profesora-investigadora de la Universidad Autónoma del Estado de México, Facultad de Economía, Cerro de Coatepec s/n, Ciudad Universitaria, Toluca, Estado de México, 50120. Tel. 01 722 214-94-11. Correo-e: reyna_vg@yahoo.com.
Artículo recibido el 15 de octubre de 2007
Aceptado el 21 de enero de 2009.
Resumen
El objetivo de este trabajo es llevar a cabo la cuantificación de un indicador de infraestructuras en unidades físicas, que engloba las principales categorías (transportes, telecomunicaciones, abastecimiento de agua, energía eléctrica y drenaje), agregadas mediante la utilización del análisis multivariante. Este indicador ha permitido comprobar el hecho de que las entidades federativas que poseen gran parte de las infraestructuras pertenecen a las zonas en las que se observa mayor actividad económica.
Palabras clave: índices de equipamientos, análisis multivariante, unidades físicas y unidades monetarias.
Abstract
The object of this work is to quantify a productive infrastructure indicator in physical units, which includes the main categories (transport, telecommunication and public provision of water, power energy and drainage), through the weighted sum of these aspects following the multivariate analysis. The estimated indicator makes it possible to prove that the federal entities with most of the infrastructures belong to the zones that exhibit an important economic growth.
Keywords: index of equipment, multivariate analysis, physical and monetary units.
INTRODUCCIÓN
Son numerosos los trabajos que tratan de determinar cuáles son los principales factores condicionantes del crecimiento económico, así como de las desigualdades existentes. Las infraestructuras productivas desempeñan un papel importante en la ordenación territorial, demográfica y económica, motivo por el cual han sido incorporadas en el análisis de la teoría del crecimiento económico desde distintos enfoques metodológicos y con base en diferentes ámbitos geográficos y temporales, como se verá en la revisión bibliográfica acerca del papel de las infraestructuras sobre el crecimiento económico que se realiza en el siguiente apartado.
Durante el periodo analizado (1970-2003) tanto la población (22.01%) como la actividad económica (31.50%) se concentran en dos entidades, el Estado de México y el Distrito Federal. La dotación de infraestructura llevada a cabo por el sector público puede contribuir a fomentar esta situación. Asimismo, el Programa Nacional de Infraestructuras (2007-2012), presentado por el presidente Felipe Calderón, considera la dotación de infraestructura como un elemento esencial para aumentar la competitividad del país, mejorar el acceso a los insumos productivos y disminuir las desigualdades regionales.
De acuerdo con el papel que desempeñan las infraestructuras productivas y las escasas aportaciones para el caso de México, resulta de gran interés avanzar en el análisis de la influencia de las infraestructuras sobre el crecimiento económico de las entidades federativas. Para ello, ha sido necesario llevar a cabo la cuantificación de un indicador de infraestructuras productivas en unidades físicas, que engloba las principales categorías (transportes, telecomunicaciones, abastecimiento de agua y energía eléctrica), agregadas mediante la utilización del análisis multivariante. Este indicador ha permitido comprobar el hecho de que las entidades federativas que poseen gran parte de las infraestructuras del país pertenecen a las zonas en las que se observa una mayor actividad económica, lo que corrobora la idea de que los estados más ricos suelen ser los mejor dotados en términos de infraestructura.
EL PAPEL DE LAS INFRAESTRUCTURAS SOBRE EL CRECIMIENTO ECONÓMICO
La teoría del crecimiento constituye un área muy importante de la ciencia económica que, entre otras cosas, permite discernir las causas de las diferencias en las tareas de crecimiento de los países y sus regiones, y cómo éstas pueden reflejarse en términos desiguales de renta per cápita. Esta es la idea que subyace tras la aparición del modelo neoclásico (Solow, 1956), junto con las posteriores aportaciones realizadas por Cass (1965) y Koopmans (1965), que permiten a los agentes decidir sobre la tasa de ahorro.1
Si bien las infraestructuras fueron incorporadas en la teoría del crecimiento por Arrow y Kurz (1970) y Weitzman (1970), fue a partir del artículo seminal de Barro (1990) cuando comienza a estudiarse el tema con mayor profundidad. En el modelo de Barro (1990), mediante la incorporación del gasto público en la función de producción, se obtienen rendimientos constantes de escala, que impiden la transición dinámica hacia la situación de "estado estacionario". Por lo tanto, forma parte de los denominados modelos de "crecimiento endógeno", en los que, a diferencia de los modelos neoclásicos, se obtiene una tasa de crecimiento positiva a largo plazo, sin necesidad de suponer que alguna variable del modelo (como la tecnología) crezca de forma exógena.
En concordancia con el renacer de la teoría del crecimiento económico como campo de investigación activo que genera la construcción de los modelos de crecimiento endógeno, cobran protagonismo los estudios empíricos que analizan la importancia de las infraestructuras como fuente de crecimiento a raíz de la publicación de los trabajos de Aschauer (1989a y 1989b), que estima la elasticidad de la producción respecto al capital público en una función de producción, a partir de datos agregados de la economía estadounidense. Más adelante, Munnell (1990) y García-Milá, McGuire y Porter (1993) estiman funciones de producción para Estados Unidos con datos en panel. A pesar de que dispone de un panel de datos, Munnell (1990) ignora la posible existencia de características estatales específicas en las estimaciones. Por el contrario, García-Milá, McGuire y Porter (1993) contrastan la existencia de divergencias en el ámbito estatal en cuanto al factor de progreso tecnológico y, de ser así, señalan, éstas deben modelarse como "efectos fijos" o "aleatorios". Asimismo, resuelven de manera satisfactoria algunas de las deficiencias econométricas que habían sido ignoradas hasta ese momento, como es el caso de la no estacionariedad de las variables, que requiere la estimación de la función de producción en primeras diferencias, la posible endogeneidad2 de los factores productivos, así como la posibilidad de que las variables presenten errores de medida, en cuyo caso el sesgo resultante es mucho mayor si las estimaciones se realizan en diferencias. En todos los trabajos mencionados se observa cómo la desagregación estatal reduce la elasticidad del capital público, respecto al análisis agregado, al igual que sucede cuando se consideran únicamente las áreas metropolitanas (Eberts, 1989), debido a la existencia de efectos expulsión que generan los equipamientos de infraestructuras entre estados colindantes (Hulten y Schwab, 1991).
Sin embargo, y a pesar del enorme interés que suscita la economía estadounidense,3 la disponibilidad de bases de datos ha hecho posible la extensión del análisis a diferentes economías. Así pues, en el ámbito europeo destacan los trabajos de Seitz (1994) y Conrad y Seitz (1994) para Alemania, y los estudios realizados por Berndt y Hansson (1992) y Lynde y Richmond (1992) para Suecia y el Reino Unido, respectivamente. Por último, Otto y Voss (1994) basan sus estimaciones en datos de la economía australiana.
En la economía española también se han realizado aportaciones en esta línea. A nivel nacional, Bajo y Sosvilla (1993), Argimon et al. (1994) y González Páramo (1995), entre otros, analizan la influencia del stock de capital en infraestructuras sobre la productividad. Por su parte, la elaboración del Instituto Valenciano de Investigaciones Económicas (IVIE)4 de las primeras estimaciones fiables sobre valores de capital regionalizado, tanto público como privado, ha permitido a algunos de sus investigadores realizar numerosos trabajos empíricos en el ámbito de la economía regional (Mas, Maudos, Pérez y Uriel, 1993, 1994 y 1996). Aunque estos estudios difieren en las series usadas, en el tipo de capital público considerado y en el periodo que abarcan, coinciden en resaltar el impacto positivo del capital público en la evolución de la productividad, cuya elasticidad se reduce con el grado de desagregación geográfica, al igual que sucede en las estimaciones realizadas para Estados Unidos.5
Este enfoque ha sido objeto de diversas críticas, en especial respecto al hecho de que la función de producción restringe la forma en que la producción y el capital público interaccionan. Por este motivo, algunos autores han explorado enfoques alternativos en el análisis empírico de la influencia que ejerce el capital público sobre el crecimiento económico. A través de la estimación de funciones de costos (Dalemberg, 1987; Lynde y Richmond, 1993a; Seitz y Licht, 1995) o de beneficios (Deno, 1988; Lynde y Richmond, 1993b) intentan paliar el posible problema de endogeneidad del capital público en la función de producción, aunque se encuentran con el inconveniente de tener que recopilar datos sobre precios, especialmente en el caso del capital público.
Recientemente, han resurgido los análisis basados en los modelos de crecimiento neoclásico, gracias al interés que ha suscitado entre los investigadores, en particular aquellos que estudian la economía regional, el análisis de la convergencia económica y sus determinantes. En respuesta a las persistentes divergencias en niveles de riqueza y la inexistencia de una situación de estado estacionario que plantean los modelos de crecimiento endógeno surge el concepto de "convergencia condicionada", que implica un acercamiento de cada uno de los países a su propio estado estacionario. Así pues, en los trabajos de Sala-i-Martín (1994a, 1996a y 1996b) se definen los conceptos de convergencia ("convergencia sigma" y "convergencia beta"), que se obtienen a partir de la solución de estado estacionario en el modelo neoclásico.
Dada la importancia que adquiere el capital humano en el análisis del crecimiento económico, Mankiw, Romer y Weil (1992) amplían el modelo de Solow (1956), mediante la incorporación del capital humano, y resaltan el efecto positivo de este capital en el proceso de acercamiento en términos de renta per cápita en los países de la OCDE. Este trabajo, aunque no exento de polémica, ha generado una amplia bibliografía. De este modo, el papel del capital público también ha sido objeto de análisis en el modelo de crecimiento propuesto por Mankiw, Romer y Weil (1992). En el ámbito internacional, Aschauer (2000) incorpora en la ecuación de convergencia la variable de inversión pública, así como el modo en que ésta se financia y un indicador de eficiencia en su uso. Posteriormente, entre los numerosos estudios que han surgido y siguen este mismo enfoque destaca el realizado por Álvarez y Delgado (2006), cuyo ámbito geográfico se extiende a los países de la Unión Europea.
En la economía mexicana son escasas las aportaciones a este análisis (Fuentes y Mendoza, 2003; Fuentes, 2003). Así pues, es preciso avanzar en el estudio de las implicaciones que las infraestructuras productivas tienen para el crecimiento económico en los distintos estados mexicanos. Por este motivo, se debe contar con abundante información sobre estas dotaciones, para lo cual es necesario llevar a cabo una cuantificación de los distintos equipamientos a través de un indicador de infraestructuras productivas.
INDICADOR DE INFRAESTRUCTURAS PRODUCTIVAS
Un problema que plantea el análisis de las infraestructuras productivas en la teoría del crecimiento económico es la inexistencia de estimaciones de capital público. Por este motivo, y dada la escasa disponibilidad de bases de datos en la economía mexicana, en este trabajo se cuantifican, mediante un índice sintético, las dotaciones de infraestructuras productivas para los estados mexicanos. Para ello, es necesario establecer los criterios con los que va a realizarse, dados los distintos puntos de partida metodológicos y las múltiples delimitaciones de este concepto empleadas.
A continuación se expondrán los distintos métodos de estimación empleados en la bibliografía y se especifica en cuál de ellos se enfocarán las estimaciones de esta investigación. Por otra parte, dado que existen numerosas definiciones para el concepto de infraestructuras productivas, delimitaremos la más conveniente en este caso concreto y expondremos en cada caso cuáles han sido las fuentes empleadas. Por último, se abordarán las cuestiones metodológicas en relación con el método de agregación de datos utilizado en la elaboración del índice sintético que permitirá sintetizar la información que contienen las variables de dotación de equipamientos consideradas.
Métodos de estimación empleados
Existen distintos métodos de estimación para cuantificar el stock de capital, que pueden llegar a condicionar el resultado final. Por ello, su elección debe estar en concordancia con el objetivo del estudio que se pretenda realizar. Los métodos de estimación empleados parten de información en unidades monetarias o en unidades físicas:
• En unidades monetarias, la técnica principalmente utilizada para valorar el stock de capital público es el método del inventario permanente, que consiste en la agregación de las inversiones realizadas en cada periodo, ajustadas por el deflactor y la tasa de depreciación.
• En unidades físicas, se han utilizado inventarios de cantidades y calidades para elaborar índices complejos que recojan la capacidad de estos equipamientos. En este caso, al existir distintas unidades de medida, es necesario establecer el método de agregación.
La estimación en unidades monetarias es el método adoptado por los países de la OCDE que realizan estimaciones del stock de capital (Ward, 1976). En España se ha se ha avanzado de manera considerable en la elaboración de una serie de stock de capital de las administraciones públicas realizada por el Instituto Valenciano de Investigaciones Económicas (IVIE), con desagregación funcional, territorial (por comunidades autónomas y provincias) (FBBVA, 1998) y para un amplio periodo, 1964-1994.
La principal ventaja de los indicadores en términos monetarios es que resuelven el problema de la agregación mediante criterios de costo, facilitando las comparaciones entre distintos tipos de infraestructura. La dificultad que plantea este enfoque surge al ser necesario usar tasas de depreciación (que requieren el establecimiento de hipótesis sobre la duración de los distintos componentes del capital) y deflactores adecuados para bienes que no se venden en el mercado. Asimismo, las características de la orografía pueden sesgar al alza los costos de producción, lo que implica una sobreestimación en las dotaciones para infraestructura. En el caso de las regiones de México esto sucede, sobre todo en la construcción de transporte, debido a las desiguales dificultades orográficas del terreno.
En unidades físicas, uno de los trabajos de mayor trascendencia es el realizado por Biehl (1986) para la Comisión Europea. Este estudio recoge abundante información sobre cantidades y calidades de los equipamientos, agregándola mediante la utilización de medias aritméticas y geométricas6 para obtener un indicador sintético de capital público que recogiera la capacidad de estos equipamientos. Se han realizado distintas estimaciones para la economía española empleando esta metodología (Cutanda y Paricio, 1992; Delgado, 1998) pero el número de años que han cubierto es reducido.
La mayor ventaja de los indicadores en términos físicos radica en que, además de evitar el problema de la sobreestimación, proporcionan una riqueza informativa muy útil para valoraciones en detalle. Sin embargo, la construcción de índices físicos de infraestructuras plantea el problema del tratamiento de las unidades de medida, la ponderación asignada a cada componente del índice y el establecimiento de la forma de agregación. En este trabajo ese problema se solventa gracias a la estimación de un índice sintético basado en el análisis de componentes principales, en la línea de los trabajos de Álvarez y Delgado (2001) para las regiones españolas y Fuentes (2003), que lleva a cabo una estimación de índices físicos de infraestructuras, a los que denomina índice global de infraestructuras (IG), infraestructura física económica (EOC) e infraestructura física social (SOC), en las regiones mexicanas con el propósito de analizar su impacto sobre el crecimiento económico.
Delimitación de las infraestructuras productivas y fuentes de información utilizadas
En la bibliografía sobre el capital público podemos encontrar numerosas definiciones, que parten de una visión más o menos amplia de este concepto. Una de las más empleadas la ofrece Biehl (1988): "las infraestructuras se definen como aquella parte del capital global de las economías que, debido a su carácter público, normalmente no es suministrada por el mercado o que éste sólo la suministra de manera ineficiente, por lo que su provisión queda fundamentalmente confiada a las decisiones políticas".
La infraestructura física que, junto con la infraestructura institucional,7 constituye la totalidad de los equipamientos públicos, puede agruparse en dos categorías: económicas y sociales. La primera se orienta principalmente a las empresas, condicionando la capacidad y el funcionamiento del sistema productivo en su conjunto. Los equipamientos de capital social tienen como objetivo fundamental la formación de capital humano, así como el mantenimiento del bienestar y la protección social. Los equipamientos educativos, sanitarios y de asistencia social forman parte de este stock.
Por su parte, Diewert (1986) define la infraestructura física económica, integrada por el conjunto de equipamientos conocidos como "infraestructura básica", en las cuatro categorías siguientes:
1) La destinada a la prestación de servicios públicos de abastecimiento de agua, electricidad y gas natural, recolección de basura y depuración de residuos.
2) La destinada a la prestación de servicios de telecomunicaciones: servicios telefónicos, postales, por cable, fax, etcétera.
3) La relacionada con el transporte: carreteras, ferrocarriles, vías fluviales, puertos y aeropuertos.
4) La relacionada con la gestión del suelo, como mejora de drenajes, prevención de inundaciones e irrigación, entre otras.
La infraestructura física social, o equipamientos sociales, está integrada por la relacionada con equipamientos educativos, salud, culturales y una serie de edificios administrativos y bienes de equipo utilizados en la administración.
El objetivo planteado en este trabajo es el de elaborar un indicador que permita analizar la situación de la "infraestructura básica" o infraestructura productiva y avanzar en el análisis de su contribución al desarrollo de México. Este enfoque exige disponer de abundante información sobre los distintos equipamientos, por lo que, dadas las dificultades para obtener información de todos ellos, se decidió seleccionar las infraestructuras que han sido consideradas como más relevantes en los análisis realizados (Biehl, 1980). Por este motivo, las categorías incluidas han sido las de transportes, que hacen referencia a carreteras, puertos y aeropuertos,8 telecomunicaciones y abastecimiento de agua, energía eléctrica y drenaje. En el cuadro 1 aparecen las características que describen de la manera más exacta posible la capacidad correspondiente a cada uno de los equipamientos considerados, así como las fuentes consultadas.9

A continuación, los datos obtenidos en cada categoría se convierten en magnitudes adimensionales mediante normalización, respecto a la entidad federativa mejor equipada en cada año, que toma el valor 100 (Biehl, 1980, 1986 y 1988; Cutanda y Paricio, 1994). De esta manera, se elimina el problema de las distintas unidades en las que están expresadas las variables observables, consiguiendo normalizarlas de manera homogénea.

Siendo:
dij = dotación de infraestructura relacionada con la población o superficie para la categoría i y el estado j.
dimax = dotación de infraestructura relacionada con la población o superficie para la categoría i correspondiente al estado mejor equipado.
Sij = dato normalizado para el estado j y la categoría i.
Metodología multivariante
El último aspecto a tratar en la elaboración del indicador es la elección del procedimiento de agregación de datos que sintetice la información que ofrecen las variables consideradas relevantes, dada su influencia en el resultado final.10 La decisión adoptada es la utilización del análisis multivariante que permite que las ponderaciones empleadas para agregar la información estén determinadas mediante técnicas estadísticas de análisis de datos.
Desde este planteamiento hay una serie de aspectos importantes que deben tomarse en cuenta, como la heterogeneidad de las unidades de medida y la asignación de importancia relativa a cada variable, entre otras, ya que las variables elegidas determinan distintas dimensiones y diferentes características. El análisis de componentes principales permite superar estos inconvenientes cuando se analizan variables cuantitativas.
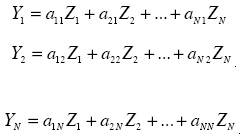
Partiendo de las variables S1, S2,..., Sn , que contienen la información de equipamientos tal y como se expuso en el apartado anterior, se obtienen los componentes principales Y1, Y2,..., Yn , combinación lineal de las primeras, y con la propiedad de tener varianza máxima. Los factores serán:

Siendo Yi, el factor i-ésimo, Zj la variable Sj tipificada y tij las ponderaciones. Las componentes principales se obtienen diagonalizando la matriz de correlaciones R =TDT' (TT'=T'T=I), en la que D es la matriz diagonal D = diag (λ1, λ 2,..., λN ) que contiene los valores propios de la matriz de correlaciones R, y T es la matriz ortogonal de coeficientes de las combinaciones lineales que constituyen los distintos componentes. De esta forma, se obtiene un conjunto de factores intercorrelacionados dos a dos y con varianzas ordenadas de mayor a menor.
Por su parte, la estructura factorial de los componentes principales se obtiene identificando la matriz de correlaciones A entre los componentes Yi y las variables Sj con la matriz del modelo factorial si se consideran los componentes como factores. Entonces, la matriz del modelo factorial es A = TD ½ y los factores vienen determinados por la siguiente expresión:

donde, aij = tij Var (Yi ) representa la correlación entre la variable Sj y las componentes Yi .
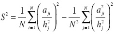
Con el fin de obtener nuevos factores que tengan mayor nivel de interpretación se lleva a cabo una rotación ortogonal de la matriz factorial A siguiendo el método de rotación VARIMAX.11 Es decir, dada la matriz factorial A, se calculará una matriz ortogonal T de modo que B = AT sea la matriz de nuevos factores.
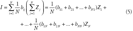
En el momento de aplicar el análisis de componentes principales a la obtención de un índice de dotación de infraestructuras existen varios procedimientos alternativos o posibilidades para combinar los factores. En este trabajo se ha construido un indicador basado en todos los componentes principales. El índice se calcula mediante la suma de los factores ponderados por el porcentaje de varianza total que explica cada uno de los mismos:

donde: Yi es el factor i-ésimo y
es el porcentaje de varianza total que explica Yi.
Como se ha mencionado, el análisis de componentes principales ordena los factores de mayor a menor varianza o lo que es lo mismo según la información que éstos aportan. Así pues, cuando se multiplica cada factor por el porcentaje de varianza que representa se puede ponderar éste por la cantidad de información inherente al mismo. Definiendo los factores Yi en función de las variables observables S1, S2,..., SN , se obtiene la siguiente expresión:

A continuación se considera la estructura factorial de los componentes principales. De esta forma, se puede definir la matriz de ponderacionesT en función de la matriz B, que se calcula aplicando una rotación VARIMAX sobre la matriz de correlaciones A entre las componentes Yi y las variables Sj, como:

por lo tanto, el indicador de infraestructuras productivas se calcula a partir de la ecuación:12

donde: Zj son las variables Sj tipificadas, que hacen referencia a las características que describen la información sobre la capacidad correspondiente a los equipamientos considerados, resumidas en el cuadro 1, es decir:
Z1: km de carreteras
Z2: Aeropuertos
Z3: Puertos
Z4: Líneas telefónicas
Z5: Tomas domiciliarias instaladas con el servicio de energía eléctrica
Z6: Tomas domiciliarias instaladas con el servicio de agua potable
Z7: Tomas domiciliarias instaladas con el servicio de drenaje
ANÁLISIS DE LAS DESIGUALDADES EN LAS ENTIDADES FEDERATIVAS EN MÉXICO, 1970-2003
La metodología expuesta en el apartado anterior ha permitido calcular un indicador de infraestructuras productivas para el periodo 1970-2003. Este indicador, que agrupa las principales dotaciones de equipamientos, permitirá analizar las desigualdades existentes en los niveles de infraestructuras en los distintos estados mexicanos.
Con base en los resultados obtenidos es posible agrupar los distintos estados atendiendo a las similitudes existentes, así como realizar recomendaciones de política económica. A continuación se analiza la distribución de las infraestructuras en México durante el periodo objeto de estudio.
Distribución de las infraestructuras productivas en México
En primer lugar, resulta de gran interés analizar cuál ha sido, durante el periodo considerado, la evolución de los equipamientos de infraestructuras en las entidades federativas en su totalidad. Con base en lo que se observa en el cuadro 2, se pueden extraer los patrones de comportamiento nacional para las diversas categorías:

• Los equipamientos de transportes muestran un crecimiento de la red de carreteras, que puede incidir en las posibilidades de expansión de las actividades industriales, comerciales y de servicios.
• Por su parte, las telecomunicaciones, representadas mediante el número de líneas telefónicas, experimentan una evolución favorable.
• Las dotaciones de energía eléctrica, agua potable y drenaje ofrecen una tendencia al alza.
• Finalmente, el indicador de infraestructuras productivas, que se ha calculado como la suma ponderada de las categorías de equipamientos considerados, muestra un crecimiento positivo, excepto para 1998.
La implementación de la expresión (5) con la información para los distintos equipamientos ha permitido obtener un indicador de infraestructuras productivas, disponible para las entidades federativas durante el periodo 1970-2003. El análisis de la evolución de estos equipamientos de manera agregada permite comprobar que la evolución del capital durante el periodo objeto de análisis ha sido irregular. Hasta el año 1993 se observa un fuerte crecimiento de la inversión pública llevada a cabo en infraestructuras. Sin embargo, esta tendencia se rompe en el año 1998, debido a una disminución en el valor del indicador en todas las entidades federativas. Esto se debe a un cambio metodológico en la captación de la información referida a la categoría de carreteras.13 A continuación, se mantiene la evolución ascendente en el valor del indicador de infraestructuras.

Al comparar las dotaciones en el ámbito estatal comprobamos las desigualdades existentes entre las distintas entidades federativas, que aparecen recogidas en el cuadro 3. Los datos se encuentran ordenados en sentido descendente, es decir de mayor a menor dotación de infraestructuras; por lo tanto, la situación del Distrito Federal y la del Estado de México son las más favorables para 1970 y 2003, respectivamente. Este escenario contrasta con los estados de Morelos, Aguascalientes, Querétaro y Tlaxcala, que son las entidades federativas con el menor grado de infraestructura.

Como se puede observar en el cuadro 3, para 1970 menos de la mitad de los estados (15) poseen un indicador de infraestructuras productivas superior a la media (24.85), entre los que se encuentran el Distrito Federal, Veracruz,Tamaulipas, Jalisco, Baja California, Baja California Sur, Coahuila, Oaxaca, Michoacán, Sonora, Chihuahua, Quintana Roo, Nuevo León, Guerrero y México, que suponen 46.89 por ciento de los estados considerados. A su vez, la suma de sus indicadores (545.17) representa 68.57 por ciento del total del estado (738.33), sólo los indicadores correspondientes a las cinco primeras entidades (Distrito Federal, Veracruz, Tamaulipas, Jalisco y Baja California), cuya suma asciende a la cantidad de 238.96, representan un tercio (32.36%) del conjunto.
Para 2003 son 17 las entidades federativas que superan la media (32.24), entre las que destacan, México, Veracruz, Jalisco, Sonora, Distrito Federal, Chiapas,Tamaulipas, Baja California, Sinaloa, Michoacán, Baja California Sur, Coahuila, Oaxaca, Quintana Roo, Yucatán, Nuevo León y Guerrero, las cuales representan 53.13 por ciento. Para estos estados la suma de sus indicadores (755.17) representa 78.43 por ciento del total (962.84). Por otra parte, la proporción que representan las cinco primeras entidades (México, Veracruz, Jalisco, Sonora y Distrito Federal) supone 30.40 por ciento. De este modo, se observa que la inversión que realiza el sector público en equipamientos de infraestructuras productivas se concentra en un número reducido de entidades federativas, aunque si se comparan las situaciones al inicio y al final del periodo, se puede comprobar que el grado de concentración se ha reducido ligeramente.
A continuación, se lleva a cabo un análisis cartográfico, con base en un sistema de información geográfica (SIG), que permite realizar la estratificación del indicador de infraestructuras productivas, así como analizar territorialmente dicho fenómeno. Los mapas 1 y 2 muestran el análisis cartográfico llevado a cabo sobre el indicador de infraestructuras productivas para los años 1970 y 2003, respectivamente. Como resultado, se ha obtenido la estratificación de dicha variable con base en el método de natural breaks o cortes naturales, que ha sido seleccionado entre distintos métodos de estratificación (véanse los cuadros 4 y 5).


El método de estratificación de cortes naturales, que automáticamente calcula el SIG, es conocido como optimización de Jenk y utiliza las fallas o depresiones en la distribución de la frecuencia para establecer las fronteras entre los estratos. Su aplicación garantiza la homogeneidad de los estratos, sin perder la heterogeneidad entre ellos. Es muy útil en análisis de características que no son homogéneas, pero que tienden a agruparse en un número limitado de casos.
Como se puede observar, tanto en los mapas 1 y 2 como en los cuadros 4 y 5, se ha llevado a cabo una estratificación de las entidades federativas consideradas, con base en el indicador de infraestructuras productivas estimado para el periodo 1970-2003. Al comparar las dotaciones regionales se comprueban las considerables diferencias entre ellas. Al estrato de entidades federativas que se encuentra en situación de desventaja al inicio y al final del periodo pertenecen Tlaxcala, Querétaro, Morelos y Aguascalientes. Por el contrario, los estados mejor equipados al comienzo del periodo, que se encuentran en el estrato tres, cuyo valor en el indicador de infraestructuras productivas oscila entre 34.63 y 56.74, son: Distrito Federal, Veracruz, Tamaulipas, Jalisco, Baja California y Baja California Sur. Al concluir el periodo, sólo el Distrito Federal, Veracruz y Jalisco mantienen el liderazgo, debido a los requerimientos que conllevan la actividad económica y la densidad de población. Por último, cabe destacar el hecho de que en 2003 el Estado de México, Sonora y Chiapas se incorporan al estrato que posee los mayores equipamientos, con valores para el indicador de infraestructuras productivas entre 43.21 y 68.80. Por lo tanto, a partir de los resultados obtenidos, se ha podido comprobar que la dotación de infraestructuras productivas se concentra principalmente en la zona norte, Golfo de México y centro del país.
Dada la situación en que se encuentra el reparto de los equipamientos de infraestructuras productivas, será necesario implementar las siguientes estrategias:
1) Impulsar el desarrollo de las regiones, incrementando y mejorando las infraestructuras básica y productiva.
2) Dotar de equipamientos básicos a las zonas con más carencias, con el fin de garantizar niveles mínimos de bienestar y calidad de vida en todos y cada uno de los estados mexicanos.
3) Además de la provisión de equipamientos de infraestructuras productivas basadas en criterios de equidad, es necesario fomentar el uso eficiente de la infraestructura,14 dando prioridad a las acciones regionales encaminadas a la creación de empleos permanentes.
En los siguientes subapartados se analizarán la evolución y la distribución de los valores del indicador estimado para cada categoría: transportes, telecomunicaciones y equipamiento básico de vivienda. De este modo, se puede determinar cómo se ha realizado el reparto de la inversión pública por categorías en cada una de las entidades federativas, lo que permitirá establecer si han existido divergencias.
Los equipamientos de transportes
Los equipamientos de transportes desempeñan un papel fundamental en la estrategia territorial debido a que constituyen un factor de accesibilidad y permiten organizar la localización de las actividades económicas. Por ello, las dotaciones con que cuenta cada entidad federativa afectarán directamente el desarrollo de la actividad empresarial y el establecimiento de nuevas actividades. El análisis realizado se centra en el conjunto de infraestructuras de transportes e incluye, por lo tanto, carreteras, puertos y aeropuertos. Las transformaciones de estos equipamientos han sido considerables durante el periodo analizado, lo que ha permitido articular los mercados, lo cual favorece los intercambios comerciales.
Al comparar la distribución estatal, como se muestra en el cuadro 6, se observa que el estado de Veracruz ha sido el destinatario habitual de este tipo de inversiones, dado que contiene las infraestructuras portuarias de mayor envergadura y de vital relevancia para el comercio internacional. Al inicio del periodo los estados de Baja California Sur, Baja California y Tamaulipas también se benefician de importantes cantidades de inversiones en transportes. Al finalizar el periodo las inversiones en transportes se centran en Sonora y Chiapas, en detrimento de Baja California y Tamaulipas, como consecuencia de la construcción de gran cantidad de kilómetros de carreteras que se ha llevado a cabo durante los últimos años.

Asimismo, los mapas 3 y 4 y los cuadros 7 y 8 permiten comprobar la existenciadedesigualdadesenelrepartodelainversiónentransportesporentidades federativas, pudiendo corroborar que dichas desigualdades son bastante menos acentuadas que en el caso del indicador de infraestructuras productivas.


Los resultados obtenidos muestran que el sector público ha realizado un enorme esfuerzo inversor en la categoría de transportes, dado que al inicio del periodo ocho entidades federativas que recibían 40.01 por ciento de la inversión se encontraban en el estrato de mayores equipamientos, lo que genera que sean 12 los estados que se benefician de las mejores dotaciones de equipamientos de transportes, los cuales representan 61.49 por ciento del total nacional; por lo tanto, cada vez son más los estados que se benefician de un incremento continuado en la dotación de infraestructuras de transportes.
El análisis gráfico permite comprobar una reducción en las desigualdades, así como una evolución favorable del equipamiento considerado a lo largo del periodo analizado, ya que al finalizar el mismo algunos estados se sitúan en estratos de mayor nivel de infraestructuras de transportes. Este es el caso de Yucatán, Sinaloa, Chiapas y Sonora, que comienzan el periodo dentro del estrato intermedio y lo finalizan en el de mayores equipamientos. Por su parte, Puebla, el Estado de México,Tabasco y Nayarit, que parten de unos niveles muy insuficientes, se ubican en una situación intermedia.
Los equipamientos de telecomunicaciones
Las comunicaciones representan los equipamientos fundamentales para la expansión y la competitividad de las actividades económicas. En un sector tan dinámico como las telecomunicaciones, la inversión posee un alcance decisivo. En el periodo analizado se han diversificado de manera espectacular las posibilidades de los servicios que ofrecen, aunque sigue siendo el número de líneas existentes en relación con la superficie y la población el indicador más utilizado para recoger el grado de penetración y desarrollo de las telecomunicaciones estatales. De hecho, la base de todos los servicios de telecomunicaciones no es otra que la red de telefonía, cuya transformación en red de servicios integrados logrará crear vías de comunicación capaces de transportar toda clase de información. La evolución de la demanda de los servicios de telecomunicaciones está estrechamente relacionada con el volumen de producción, por lo que las diferencias estatales serán reflejo del menor grado de desarrollo económico.
El cuadro 9 muestra una evolución muy favorable en todos los estados, con tasas de crecimiento positivas en todos los casos, aunque la distribución de las líneas telefónicas se ha llevado a cabo con notables desigualdades. Así pues, el Distrito Federal, con 48.59 por ciento de las líneas telefónicas instaladas en 1970, pasa a disponer de 20.06 por ciento del equipamiento en 2003, seguido del Estado de México, Jalisco y Nuevo León, que en conjunto poseen 48.61 por ciento de la totalidad de líneas telefónicas en el territorio nacional.

Los mapas 5 y 6, así como los cuadros 10 y 11, corroboran la existencia de importantes desigualdades en el reparto de las instalaciones de líneas telefónicas en el ámbito estatal. Como se ha precisado, el Distrito Federal lidera el ranking, con notables diferencias respecto a los demás estados a lo largo del periodo, motivo por el cual es la única entidad que forma parte del estrato tres en el año 1970, sólo el Estado de México se le une en 2003. En el extremo contrario se encuentran 20 estados al inicio del periodo y 22 al finalizar el mismo, que solamente suman 13.82 y 29.52 por ciento de los equipamientos, respectivamente. Estos porcentajes, comparados con los que supone el estrato de mayores equipamientos, 48.59 y 33.88 por ciento, confirman la existencia de divergencias de carácter persistente a nivel estatal en la dotación de equipamientos de telecomunicaciones a lo largo del periodo analizado.


El equipamiento básico en las viviendas
El equipamiento básico en las viviendas se refiere a los abastecimientos de agua, energía eléctrica y drenaje, los cuales se miden mediante las tomas domiciliarias de los hogares que cuentan con dichos servicios. De este modo, se dispone de una medición del grado de bienestar y calidad de vida en los hogares. Las economías desarrolladas cuentan con sistemas de protección social muy avanzados, orientados a cubrir las necesidades básicas y mejorar el bienestar social en situaciones de pobreza, con el objetivo de distribuir la renta de manera más equitativa; por lo tanto, el análisis de estos equipamientos permite analizar el grado de intervención del sector público en la lucha por reducir las desigualdades sociales.
El cuadro 12 muestra acentuadas diferencias al inicio del periodo. Destaca, principalmente, el Distrito Federal, que posee la cuarta parte de los equipamientos en el ámbito nacional, seguido del Estado de México, Jalisco y Veracruz. Sin embargo, al finalizar el periodo se observa que el Estado de México, gracias al impulso que ha supuesto la implementación del Plan de Desarrollo del Estado de México 1999-2005, logra situarse a la cabeza, con una tasa de crecimiento de 282.86 por ciento. Por lo tanto, a lo largo del periodo se observa una creciente preocupación en el Estado de México por dotar a la mayor cantidad de viviendas posible de los equipamientos básicos. Por su parte, el Distrito Federal, Jalisco y Veracruz continúan siendo los estados con mayores niveles de equipamientos básicos en las viviendas.

En el análisis gráfico, a partir de los mapas 7 y 8 y de los cuadros 13 y 14, se observan las marcadas desigualdades en la dotación de los equipamientos básicos en las viviendas al inicio del periodo. Así pues, el Distrito Federal es la única entidad federativa que forma parte del estrato con mayor número de viviendas dotadas de agua, energía eléctrica y drenaje. Por su parte, los estados que se sitúan en una situación intermedia son escasos (sólo nueve estados) y los valores del indicador se encuentran muy por debajo de los del Distrito Federal. Estos estados, en orden descendente, de acuerdo con el valor del indicador, son: el Estado de México, Jalisco, Veracruz, Nuevo León, Puebla, Michoacán, Guanajuato, Chihuahua y Tamaulipas.


Las entidades federativas restantes parten de una situación verdaderamente desfavorable.
Sin embargo, en el transcurso del periodo considerado se observa que la situación mejora en forma considerable. La evolución resulta favorable en la totalidad de las entidades federativas y las desigualdades se reducen de manera significativa. Así pues, en 2003 son cuatro los estados que forman parte del estrato con mejores equipamientos: Estado de México, Distrito Federal, Jalisco y Veracruz, que suponen 37.18 por ciento del total nacional; les siguen los 13 y 15 estados que se encuentran en una situación intermedia y desfavorable con porcentajes de 43.01 y 19.81 por ciento, respectivamente, lo que indica la existencia de un reparto más equitativo de los equipamientos básicos.
EFECTO DE LAS INFRAESTRUCTURAS SOBRE EL CRECIMIENTO ECONÓMICO EN EL ÁMBITO ESTATAL
Los modelos de crecimiento que incorporan el capital público coinciden en señalar la importancia de la inversión en infraestructuras sobre el desarrollo económico. El cálculo de un indicador de infraestructuras productivas en unidades físicas permite analizar cómo se distribuyen los equipamientos por entidades federativas, así como la influencia de los mismos sobre el crecimiento económico en términos de niveles de renta.
A partir de los censos económicos del INEGI se obtienen los datos de producto interno bruto (PIB)15 por entidad federativa (en millones de pesos de 1993) para los años 1970, 1975, 1980, 1985, 1988, 1993, 1998 y 2003, lo que permite presentar las correlaciones existentes entre los niveles de renta y de equipamientos en infraestructuras productivas. En la gráfica 2 se muestran los resultados obtenidos de relacionar los datos del PIB estatal y el indicador de infraestructuras productivas calculado en los periodos para los que se dispone de la información necesaria.

Desde la década de 1970 y hasta finales de los años ochenta no se observa una relación muy marcada entre el crecimiento económico y las dotaciones de infraestructura de las diferentes entidades federativas. Sin embargo, en el subperiodo 1988-1993 esta tendencia cambia, mostrando una fuerte correlación positiva entre los niveles de renta y los equipamientos, lo que induce a pensar en la relevancia de estos últimos durante el periodo. Finalmente, en el quinquenio 1998-200316 se mantiene el efecto positivo de las infraestructuras en el crecimiento económico, aunque la relación no resulta tan evidente en el caso de algunos estados, tal como se deduce de la mayor dispersión observada en la última gráfica.
CONCLUSIONES
En la presente investigación se comenzó llamando la atención acerca de la influencia que ejercen las infraestructuras sobre el crecimiento económico, cuya intensidad varía según las técnicas econométricas empleadas y la forma en que se mide dicho capital. Con ello se trató de reforzar el papel de las infraestructuras como determinante del crecimiento y el bienestar económicos en las distintas entidades y, de este modo, justificar el interés del objetivo de este estudio: llevar a cabo una cuantificación de la dotación de infraestructuras productivas en las entidades federativas mexicanas durante el periodo 1970-2003, con el propósito de analizar, posteriormente, el impacto de las mismas sobre el crecimiento económico.
Las principales conclusiones de la investigación, expresadas de manera resumida, se contienen en los puntos siguientes:
1) En el análisis de la influencia que ejercen las infraestructuras productivas en la teoría del crecimiento económico, la inexistencia de estimaciones de capital público plantea una enorme dificultad. Por este motivo, y dada la escasa disponibilidad de bases de datos en la economía mexicana, ha sido necesario cuantificar un indicador de infraestructuras productivas, en unidades físicas, que engloba las principales categorías (transportes, telecomunicaciones, abastecimiento de agua, energía eléctrica y drenaje), agregadas mediante la aplicación del análisis multivariante.
2) El indicador de infraestructuras productivas elaborado, que agrupa las principales dotaciones de equipamientos, ha permitido analizar las desigualdades existentes en los niveles de infraestructuras productivas en los distintos estados de la república mexicana durante el periodo 1970-2003. Con base en los resultados obtenidos ha sido posible agrupar las entidades federativas según las similitudes existentes así como realizar recomendaciones de política económica. Se observa una elevada concentración de gran parte de las infraestructuras productivas en un reducido conjunto de estados situados principalmente en las regiones norte y centro.
3) Aunque la cobertura de infraestructura muestra un crecimiento en las últimas tres décadas, el acceso de la población a los servicios públicos, principalmente en las zonas con mayores carencias, es limitado, lo que favorece la concentración de la población y la actividad económica del país. Por esta razón, en el Programa de Infraestructura 2007-2012 se propone alcanzar un desarrollo más equilibrado mediante la participación de la inversión privada en la creación de infraestructura, el seguimiento a proyectos estratégicos y la mejora en la planeación.
4) Finalmente, el análisis de correlaciones entre los niveles de renta en el ámbito estatal y las dotaciones de infraestructuras ha permitido corroborar el efecto positivo de las mismas sobre el crecimiento económico, principalmente durante el periodo 1988-1993, y en gran parte de los estados en el siguiente quinquenio considerado.
Apéndice estadístico: indicador de infraestructuras productivas
REFERENCIAS BIBLIOGRÁFICAS
Almagro V.F. (2004), "Medición del desarrollo sustentable, reto de las cuentas nacionales: La experiencia de México en el cálculo del producto interno bruto ecológico", Problemas de Desarrollo, 35(139), octubre-diciembre. [ Links ]
Almagro V.F., R.M. Rodríguez y R. Figueroa (2006), "Estudio académico sobre el producto interno bruto ecológico de la zona metropolitana del valle de México, 1998-2002", Boletín de los Sistemas nacionales Estadístico y de la Información Geográfica, 2(3). [ Links ]
Álvarez I. y M.J. Delgado (2001), "Metodología para la elaboración de índices de equipamientos de infraestructuras productivas", Revista Momento Económico, 117, septiembre-octubre. [ Links ]
---------- (2004), "Capital público y eficiencia productiva: Evidencia para la UE-15", Revista Hacienda Pública Española, 168-(1/2004), pp. 27-46. [ Links ]
---------- (2006), Sector público y convergencia económica en la UE, documento de trabajo 27/06, Instituto de Estudios Fiscales. [ Links ]
Argimon I. Et al. (1994), "Productividad e infraestructuras en la economía española", Moneda y Crédito, 198, pp. 207-252. [ Links ]
Arrow K.J. y M. Kurz (1970), Public Investment, the Rate of Return and Optimal Fiscal Policy, Baltimore, The Johns Hopkins Press. [ Links ]
Aschauer D.A. (1989a), "Is Public Expenditure Productive?", Journal of Monetary Economy, 23, pp. 177-200. [ Links ]
---------- (1989b), "Public Investment and Productivity in the Group of Seven", Economic Perspectives, 13, Federal Reserve Bank of Chicago. [ Links ]
---------- (2000), "Public Capital and Economic Growth: Issues of Quantity, Finance and Efficiency", Economic Development and Cultural Change, 48(2), pp. 391-406. [ Links ]
Azqueta D. Et al. (2004), Contabilidad nacional y medioambiente, 17, Estudios de la Fundación de las Cajas de Ahorro (Funcas). [ Links ]
Bajo O. y S. Sosvilla (1993), "Does Public Capital Affect Private Sector Performance? An Analysis of the Spanish Case", Economic Modeling, 10(3), pp. 179-186. [ Links ]
Barro R. (1990), "Government Spending in a Simple Model of Endogenous Growth", Journal of Political Economy, 9(5), pp. 103-125. [ Links ]
Barro R. y X. Sala-i-Martín (1992), "Convergence", Journal of Political Economy, 100 (2), pp. 223-251. [ Links ]
Barro R. y X. Sala-i-Martín (1995), Economic Growth, Nueva York, McGraw Hill. [ Links ]
Berndt E.R. y B. Hansson (1992), "Measuring the Contribution of Public Infrastructure Capital in Sweden", Scandinavian Journal of Economy, 94, pp. 151-168. [ Links ]
Biehl D. (1980), "Determinants of Regional Disparities and the Role of Public Finance", Public Finance, 35(1), pp. 44-71. [ Links ]
---------- (1986), The Contribution of Infrastructure to the Regional Development, partes I y II, reporte final del Infrastructure Study Group, Commission of the European Communities, Office for the Official Publications of the European Communities, Luxemburgo. [ Links ]
---------- (1988), "Las infraestructuras y el desarrollo regional", Papeles de Economía Española, 35, pp. 293-310. [ Links ]
Cancelo J.R. y P. Uriz (1994), "Una metodología general para la elaboración de índices complejos de dotación de infraestructuras", Revista de Estudios Regionales, 40, pp. 167-188. [ Links ]
Cass D. (1965), "Optimum Growth in an Aggregative Model of Capital Accumulation", Review of Economic Studies, 32, julio, pp. 233-240. [ Links ]
Conrad K. y H. Seitz (1994), "The Economic Benefits of Public Infrastructure", Applied Economics, 26, pp. 303-312. [ Links ]
Cutanda A. y J. Paricio (1992), "Crecimiento económico y desigualdades regionales: El impacto de la infraestructura", Papeles de Economía Española, 51, pp. 83-101. [ Links ]
---------- (1994), "Infrastructure and Regional Economic Growth:The Spanish Case", Regional Studies, 28(1). [ Links ]
Dalemberg D. (1987), Estimates of Elasticities of Substitution between Public and Private Inputs in the Manufacturing Sector of Metropolitan Areas, tesis doctoral, Eugene, University of Oregon. [ Links ]
De la Fuente A. (1996), "Infraestructuras y productividad: Un panorama de la evidencia empírica", Información Comercial Española, 757, pp. 25-41. [ Links ]
---------- (2000), Infrastructure and Productivity: A Survey, Instituto de Análisis Económico, Barcelona, mimeo. [ Links ]
Delgado M.J. (1998), El capital público en la economía española, "Serie de Estudios Europeos", 9, Universidad Europea-CEES Ediciones. [ Links ]
Deno K. (1988), "The Effect of Public Capital on US Manufacturing Activity: 1970 to 1978", Southern Economic Journal, 55(2), pp. 400-411. [ Links ]
Diewert W.E. (1986), "The Measurement of the Economic Benefits of Infrastructure Services" (notas), Economics and Mathematical Systems, 278, Berlín, Springer-Verlang. [ Links ]
Eberts R.W. (1989), "Public Infrastructure and Regional Economic Development", Economic Review, 26, Federal Reserve Bank of Cleveland, pp. 15-27. [ Links ]
Fuentes C.M. (2007), Inversión en infraestructura pública y productividad regional de la industria manufacturera en México, México, Plaza y Valdes Editores-Colegio de la Frontera Norte. [ Links ]
Fuentes N.A. (2003), "Crecimiento económico y desigualdades regionales en México: el impacto de la infraestructura", Región y Sociedad, XV(27). [ Links ]
Fuentes N.A. y J.E. Mendoza (2003), "Infraestructura pública y convergencia regional en México, 1980-1998", Comercio Exterior, 53(2), febrero. [ Links ]
Fundación BBVA (1998), El stock de capital en la economía española y su distribución territorial, Bilbao. [ Links ]
García-Milá T., T. McGuire y R.M. Porter (1993), "The Effect of Public Capital in State-level Production Functions Reconsidered", The Review of Economic and Statistics, LXXVIII, pp. 162-180. [ Links ]
Gil C., P. Pascual y M. Rapún (1997), "Evaluación del impacto de las infraestructuras en los costes de las regiones españolas", Cuadernos de Economía, 7(2), pp. 361-381. [ Links ]
González Páramo, J.M. (1995), "Infraestructuras, productividad y bienestar", Investigaciones Económicas, 19(1), pp. 155-168. [ Links ]
Gramlich J.M. (1994), "Infrastructure Investment: A Review Essay", Journal of Economic Literature, 30(3), pp. 1176-1196. [ Links ]
Holtz-Eakin D., W. Newey y H.S. Rosen (1998), "Estimating Vector Autoregressions with Panel Data", Econometrica, 56, pp. 1371-1396. [ Links ]
Hulten C.R. y R.M. Schawb (1991), "Public Capital Formation and the Growth of Regional Manufacturing Industries", national Tax Journal, 44, pp. 121-134. [ Links ]
INEGI (varios años), Censos económicos, México, Instituto Nacional de Estadística y Geografía. [ Links ]
---------- (varios años), Sistema de Cuentas Económicas y Ecológicas de México (SCEEM), México, Instituto Nacional de Estadística y Geografía. [ Links ]
KoopmansT.C. (1965), "On the Concept of Optimal Economic Growth", en The Econometric Approach to Development Planning, Ámsterdam. [ Links ]
Lynde C. y J. Richmond (1992), "The Role of Public Capital in Production", The Review of Economics and Statistics, 74(1), pp. 37-44. [ Links ]
---------- (1993a), "Public Capital and Long-run Cost in UK Manufacturing", Economic Journal, 103(419), pp. 880-893. [ Links ]
---------- (1993b), "Public Capital and Total Factor Productivity", International Economic Review, 34(2), pp. 401-414. [ Links ]
Mankiw N.G., D. Romer y D.N. Weil (1992), "A Contribution to the Empirics of Economic Growth", Quarterly Journal of Economics, 107, pp. 407-437. [ Links ]
Mas M. Et al. (1993): "Competitividad, productividad industrial y dotaciones de capital público", Papeles de Economía Española, 56, pp. 144-160. [ Links ]
---------- (1994), "Capital público y productividad en las regiones españolas", Moneda y Crédito, 198, pp. 163-206. [ Links ]
---------- (1996), "Infrastructures and Productivity in the Spanish Regions", Regional Studies, 30(7), pp. 641-649. [ Links ]
Montiel R.A. (2000), Plan de Desarrollo del Estado de México 1999-2005, Gobierno del Estado de México. [ Links ]
Munnell A. (1990), "How does Public Infrastructure Affect Regional Economic Performance?", new England Economic Review, septiembre-octubre, pp. 11-32. [ Links ]
Otto G. y G. Voss (1994), "Public Capital and Private Sector Productivity", Econ. Rec., 70, pp. 121-132. [ Links ]
Presidencia de la República (2007), Programa Nacional de Infraestructura 2007-2012, México, disponible en: www.infraestructura.gob.mx [consultado el 12 de septiembre de 2007] [ Links ].
Sala-i-Martín, X. (1994a), "La riqueza de las regiones. Evidencia y teorías sobre crecimiento regional y convergencia", Moneda y Crédito, 198, pp. 13-80. [ Links ]
---------- (1994b), Apuntes de crecimiento económico, Barcelona, Antoni Bosch Editor. [ Links ]
---------- (1996a), "The Classical Approach to Convergence Analysis", Economic Journal, 106, pp. 1019-1036. [ Links ]
---------- (1996b), "Regional Cohesion Evidence an Theories of Regional Growth and Convergence", European Economic Review, 40, pp. 13251350. [ Links ]
Seitz H. (1994), "Public Capital and the Demand for Private Inputs", Journal of Public Economy, 54, pp. 287-307. [ Links ]
Seitz H. y G. Licht (1995), "The Impact of Public Infrastructure Capital on Regional Manufacturing Production Cost", Regional Studies, 29(3), pp. 231-240. [ Links ]
Solow R.M. (1956), "A Contribution to theTheory of Economic Growth", Quarterly Journal of Economics, 70(1), febrero, pp. 65-94. [ Links ]
Ward M. (1976), The Measurement of Capital: The Methodology of Capital Stock Estimates in OECD Countries, París, OCDE. [ Links ]
Weitzman M.L. (1970), "Optimal Growth with Scale Economies in the Creation of Overhead Capital", Review of Economic Studies, octubre, pp. 555-570. [ Links ]
1 En Sala-i-Martín (1994b), y Barro y Sala-i-Martín (1995) se exponen los principales modelos de crecimiento económico.
2 En Holtz-Eakin, Newey y Rosen (1998) se abordan los problemas de endogeneidad y no estacionariedad de los factores productivos, mediante la implementación de un método de estimación que incorpora variables instrumentales sobre el modelo en diferencias.
3 En Gramlich (1994) y De la Fuente (1996 y 2000) se revisa la bibliografía existente.
4 Las estimaciones de las series de capital regionalizado realizadas por el IVIE fueron publicadas inicialmente, en 1993, por dicho organismo, y más recientemente las series completas aparecen recogidas en una publicación de la Fundación BBVA (FBBVA, 1998).
5 En Mas et al. (1994 y 1996) se modela el "efecto desbordamiento" incorporando al stock de capital público de cada región el correspondiente a las regiones adyacentes, mientras que Gil et al. (1997) ponderan las cantidades de capital público procedentes de otras regiones mediante la magnitud de los flujos comerciales interregionales.
6 Esta elección entre media aritmética y media geométrica obedece al fin de permitir diferentes grados en que las categorías en el índice de infraestructura pueden sustituirse.
7 Las infraestructuras institucionales pueden considerarse como el marco jurídico donde se desarrolla la actividad económica. Comprenden los servicios, como pueden ser defensa, justicia, seguridad ciudadana o administración en general.
8 No se incluyen ferrocarriles debido a la ausencia de inversiones recientes en ampliación y mejoras de las líneas de ferrocarril.
9 En el cálculo del indicador de infraestructuras se han incorporado las diversas categorías en unidades físicas, siendo innecesario tener en cuenta los orígenes del gasto en dichas categorías, dado que éste supone un aspecto que escapa al objeto de esta investigación. En el trabajo de Fuentes (2007) se lleva a cabo un análisis de cómo ha ido evolucionando la participación del sector público en el gasto en infraestructuras.
10 En Cancelo y Uriz (1994) se presentan distintas técnicas de agregación, resaltando las propiedades y los problemas asociados con su cálculo.
11 Para aplicar el método de rotación VARIMAX se debe calcular una matriz B que maximiza la suma de las simplicidades de todos los factores:

Kaiser define la simplicidad correspondiente al factor i como la varianza de los valores
igual a:

donde: aji son las "saturaciones" del factor i en las variables observables y
es la "comunalidad" de la variable Sj.
12 A partir de la expresión (5) se observa que el indicador de infraestructura se calcula como la suma ponderada de las variables de equipamiento tipificadas. Por su parte, las ponderaciones vienen determinadas mediante el análisis de componentes principales y en concreto se definen como la suma del vector correspondiente en la matriz factorial rotada.
13 A partir de 1994 se produce un cambio de metodología en la captación de la información por parte de las dependencias asignadas por la Secretaría de Comunicaciones y Transportes (sct); en este caso, las cifras asentadas corresponden a los kilómetros en operación. De este modo, se eliminó una duplicidad encontrada en el estado de Sonora.
14 Álvarez y Delgado (2004) sugieren la conveniencia de tener en cuenta la eficiencia en el uso de los recursos dotados por el sector público.
15 En el análisis del efecto de las infraestructuras sobre el crecimiento económico no se ha considerado el impacto medioambiental. A este respecto cabe destacar las bases de datos que ha desarrollado el INEGI (Sistema de Cuentas Económicas y Ecológicas de México, SCEEM), que abarcan el periodo 1997-2004 y permiten conocer la repercusión de la actividad económica sobre los recursos naturales. Dada la escasa extensión temporal, así como por la falta de datos desagregados en el ámbito estatal, el impacto medioambiental no se ha incorporado en el análisis, aunque puede constituir una futura línea de investigación. Sobre este tema destacan los trabajos de Almagro (2004), Almagro et al. (2006) y Azqueta et al. (2004), entre otros.
16 No se ha incluido el periodo 1993-1998 debido al cambio metodológico sobre la medición de las carreteras que se apuntó antes.













