Servicios Personalizados
Revista
Articulo
Indicadores
-
Citado por SciELO -
Accesos
Links relacionados
-
Similares en
SciELO
Compartir
Revista Chapingo. Serie horticultura
versión On-line ISSN 2007-4034versión impresa ISSN 1027-152X
Rev. Chapingo Ser.Hortic vol.30 no.3 Chapingo sep./dic. 2024 Epub 30-Mayo-2025
https://doi.org/10.5154/r.rchsh.2023.07.006
Artículo científico
Calidad de fruto y fisiología poscosecha de tres variantes de Spondias purpurea L. de temporada seca
1Universidad Autónoma del Estado de Morelos. Av. Universidad núm. 1001, Chamilpa, Cuernavaca, Morelos, C. P. 62210, MÉXICO.
2Centro de Estudios Técnicos, CSAEGRO. Carr. Iguala-Atenango del Río km 21.5, Huitzuco, Guerrero, C. P. 40130, MÉXICO.
3Universidad Autónoma Metropolitana. San Rafael Atlixco núm. 186, Col. Vicentina, Iztapalapa, Ciudad de México, C. P. 09340, MÉXICO.
A pesar de la amplia distribución de Spondias purpurea L. en los trópicos de América, su fruto permanece relativamente desconocido y, prácticamente, se consume solo de manera regional debido a que muchos aspectos de su calidad y fisiología poscosecha permanecen desconocidos. El objetivo de este trabajo fue evaluar dichos aspectos en tres variantes de S. purpurea L. (Roja, Morada y Amarilla) y proponer mejoras para su manejo poscosecha y conservación. Se cosecharon frutos de cada variante a ½ y – de maduración, se almacenaron a 25 ± 2 °C (60 % humedad relativa) y se evaluaron conforme a varios parámetros físicos, químicos y fisiológicos. La pérdida de peso, respiración y producción de etileno más altas se presentaron en Roja; su vida poscosecha fue la más breve (5 a 6 días). Morada mostró la mayor firmeza y vida poscosecha (6 a 8 días), así como menor tasa de respiración. Durante la maduración, los sólidos solubles totales y la acidez titulable aumentaron en las tres variedades, aunque en una escala menor en Amarilla. Los fenoles totales incrementaron en Roja y Morada durante la primera etapa de maduración (día 2 a 4), mientras que los flavonoides sólo aumentaron durante la segunda. En Amarilla, los niveles de ambos parámetros permanecieron relativamente bajos. La actividad antioxidante determinada mediante FRAP fue mayor en Roja y Morada, lo cual, junto con los otros resultados, indica diferencias importantes en la calidad de estas variantes de S. purpurea L., así como en las estrategias de manejo y conservación.
Palabras clave respiración; etileno; fenoles; flavonoides; DPPH; ABTS; FRAP
Despite the wide distribution of Spondias purpurea L. across tropical America, its fruit remains relatively unknown and is consumed mostly regionally; this is largely because several aspects of its postharvest quality and physiology remain unknown. The objective of this work was to address these issues in three variants of S. purpurea L. (Roja, Morada, and Amarilla) and to propose improvements to their postharvest management and conservation. For this, fruit from each variant was harvested at ½ and – maturity, stored at 25 ± 2 °C (60 % relative humidity), and evaluated according to several physical, chemical, and physiological parameters. Weight loss, respiration, and ethylene production were highest in Roja; however, postharvest life was the shortest (5-6 d). Firmness was highest in Morada, while respiration and postharvest life were the lowest and longest (6-8 d), respectively. During ripening, total soluble solids and titratable acidity increased in all three varieties, though they did so to a much lesser extent in Amarilla. Total phenolics increased in Roja and Morada during the first stage of ripening (d 2-4) while flavonoids only did so during the second stage. In Amarilla, however, the levels of both remained relatively low. FRAP-determined antioxidant activity was therefore higher in the first two which, together with all other results, indicate important differences in the quality of these variants of S. purpurea L., and thus, in the resulting management and conservation strategies.
Keywords respiration; ethylene; phenolics; flavonoids; DPPH; ABTS; FRAP
Introducción
El fruto de Spondias purpurea L. es una drupa de entre 10 y 30 g que puede ser verde, amarillo, anaranjado, rojo o morado cuando está completamente maduro, y se puede consumir fresco o procesado (Maldonado-Astudillo et al., 2014). Su sabor puede variar -desde ácido hasta agridulce (o incluso hasta muy dulce)- en función del contenido de azúcares y ácidos orgánicos (Cancino-Labra et al., 2023a). Adicionalmente, diferentes minerales, vitaminas y antioxidantes hacen al fruto nutritivo y con muchos beneficios potenciales para la salud (Ferrer et al., 2022).
Los miembros de esta especie se pueden clasificar de temporada seca o húmeda, dependiendo de su tiempo de crecimiento, temporada de cosecha y duración de la vida poscosecha (por ejemplo, las variantes de temporada húmeda duran de 7 a 8 días a temperatura ambiente, y las de temporada seca, menos de 5 días) (Avitia-García et al., 2003; Álvarez-Vargas et al., 2019; Cancino-Labra et al., 2023a). Sin embargo, muchos de los cambios que ocurren durante la maduración son más conocidos en frutos de temporada húmeda (como el aumento de sólidos solubles totales [SST], carotenoides y actividad antioxidante, disminución en firmeza y acidez titulable [AT], y cambios importantes en los contenidos de fenoles y flavonoides, entre otros) (Bautista-Baños et al., 2003; Maldonado-Astudillo et al., 2014; Suárez-Vargas et al., 2017).
Aunque México mantiene una diversidad considerable de S. purpurea L. (Avitia-García et al., 2003; Cruz-León & Rodríguez-Haros, 2012), casi todas las variantes se consumen únicamente a nivel regional durante el periodo anual de producción de la fruta (es decir, durante la temporada húmeda o la seca). Esto se debe, en gran medida, a que muchos aspectos de su fisiología permanecen inciertos, lo cual contribuye a la falta de tecnologías poscosecha adecuadas para esta especie. Asimismo, muchos cambios que ocurren durante la maduración (especialmente en frutos de temporada seca) son difíciles de generalizar debido a la ausencia de un índice de cosecha confiable; por ello, S. purpurea L. se cosecha usualmente en las etapas de madurez fisiológica, sazón o madurez de consumo, en especial para consumo en fresco (Martins et al., 2003; Pérez-López et al., 2004; Osuna-García et al., 2011; Romero-Hinojosa et al., 2021; Maldonado-Astudillo et al., 2023).
Debido a los vacíos en el conocimiento sobre S. purpurea L., se han estudiado, previamente, características esenciales de calidad, como SST, AT, cambio de color de la epidermis, respiración y producción de etileno (Pérez-López et al., 2004; Romero-Hinojosa et al., 2021; Maldonado-Astudillo et al., 2023); sin embargo, los cambios en fenoles, flavonoides y actividad antioxidante, así como variaciones en el color (como en la pulpa), permanecen poco claros. Además, la gran diversidad de S. purpurea L. en México hace imperativo estudiar cada variante con el fin de seleccionar el tratamiento poscosecha más efectivo, y así prolongar su vida útil.
Por estas razones, el objetivo de este estudio fue evaluar las características de calidad esenciales en S. purpurea L. (incluyendo el contenido de antioxidantes, como fenoles y flavonoides) durante el proceso de maduración en tres variantes de fruta de temporada seca (cosechada en las etapas de ½ y – de maduración). Esta información ayudará a discernir tratamientos poscosecha óptimos para dichas variantes.
Materiales y métodos
Procedimiento experimental
Los frutos de S. purpurea L. analizados provinieron de árboles de 40 años localizados en un huerto del municipio de Tepalcingo, Morelos, México (18° 39’ 42” N y 98° 55’ 28” O, a 1,160 m s. n. m.). Esta región tiene un clima cálido sub-húmedo (García, 2004), temperatura promedio anual de 22.5 °C y precipitación media anual de 840 mm (Díaz-Padilla et al., 2008). Las variantes Roja, Morada y Amarilla se eligieron debido a que son las más cultivadas en esta área, y a que están adaptadas a estas condiciones (Cancino-Labra et al., 2023b).
Durante la temporada productiva 2021, se seleccionaron tres árboles de cada variedad y se recolectaron sus frutos. Los frutos de las variantes Roja y Morada se cosecharon en abril, y los de Amarilla, en junio. Las etapas de maduración elegidas fueron ½ (50 % verde y 50 % coloración final) y – (25 % verde y 75 % coloración final).
La fruta se trasladó sin refrigeración y en automóvil hacia el Laboratorio de Producción Agrícola de la Universidad Autónoma del Estado de Morelos, Facultad de Ciencias Agropecuarias, en donde se aclimataron a las condiciones del laboratorio antes de ser examinadas para determinar su madurez uniforme y la ausencia de defectos observables, se desinfectaron mediante inmersión (30 a 60 s en 0.2 g∙L-1 de hipoclorito de sodio) y se secaron con papel absorbente. Con el fin de evaluar las variables destructivas, las frutas se distribuyeron aleatoriamente en cinco grupos, conformados por seis frutos cada uno. Además, se formó un sexto grupo con 10 frutos para evaluar las variables no destructivas. Esto se realizó en cada variedad. La fruta se almacenó durante 10 días a 22 ± 2 °C (60 % humedad relativa [HR]) para que ocurriera la maduración.
Variables evaluadas
Las variables no destructivas se evaluaron diariamente (unidad experimental = un fruto), con 10 repeticiones para cada determinación de pérdida de peso (PP), color de la piel y apariencia de fruto, y seis para tasa de respiración y producción de etileno. Por otro lado, las variables destructivas se evaluaron cada dos días (unidad experimental = un fruto), con seis repeticiones para cada determinación de color de la pulpa, firmeza, SST, AT, fenoles totales, flavonoides y actividad antioxidante. En todos los casos, los frutos se seleccionaron aleatoriamente, y el diseño experimental empleado consistió en seis tratamientos (tres variedades de S. purpurea L. y dos estados de madurez).
La PP se calculó a partir de la diferencia entre el peso inicial y el final de cada fruto (báscula digital CQ100LW, Ohaus®, EUA), y se expresó como porcentaje. Los parámetros cromáticos L*, C* y h se determinaron a partir de lecturas del epicarpio y la pulpa con un espectrofotómetro (SP64, X-Rite®, EUA); éstas se tomaron de los lados opuestos del diámetro polar de un fruto (Kasajima, 2019). La apariencia del fruto se registró fotográficamente, y se clasificó como “comercializable” (es decir, hidratada y del color característico de la variedad) o como “no comercializable” (es decir, deshidratada y con pérdida del color característico de la variedad). La firmeza se midió como la fuerza requerida para penetrar el epicarpio de los lados opuestos del diámetro ecuatorial de un fruto (Chatillon DF250 [0.6 mm altura x 0.7 mm puntal cónico], AMETEK®, EUA); estos resultados se expresaron en Newtons (N) (Maldonado-Astudillo et al., 2023).
Las tasas de respiración y de producción de etileno se determinaron utilizando un método estático (Saltveit, 2016) y cromatografía de gases (CG-DCT para CO2; CG-DIF para etileno). Para ello, se colocó un fruto dentro de un contenedor sellado de 120 mL durante 3 h, después se extrajo una muestra de 1 mL de aire del espacio de cabeza y se inyectó a un sistema Agilent 7890A (Agilent Technologies, EUA). Las temperaturas del inyector, horno y detector fueron 150, 80 y 170 °C, respectivamente. Se empleó N2 como gas acarreador a una tasa de flujo de 2 mL∙min-1. Para cuantificar el CO2 y el etileno, se usó el método de calibración absoluta, con 460 y 100 µL∙L-1, respectivamente, de estándares (Praxair®, México).
El contenido de SST se determinó en 1 g de tejido de fruto. Para esto, se homogenizó una muestra por 40 s, junto con 12 mL de dH2O (T-25 Ultra-Turrax®, IKA, Alemania). Subsecuentemente, el homogenizado se filtró y se colocaron tres gotas del sobrenadante en el refractómetro (PAL-1, Atago™, Japón). Las lecturas se registraron como % de SST y se corrigieron para la dilución (1 g de tejido en 12 mL de H2O). Por otro lado, la AT se determinó en 5 mL de sobrenadante con 0.1 N de hidróxido de sodio y dos gotas de fenolftaleína (1 %, p/v) como un indicador de tinción (Association of Official Analytical Chemists [AOAC], 1990); los resultados se expresaron como % de ácido cítrico. El índice de sabor (IS) se obtuvo al calcular la relación SST/AT (Erkan & Dogan, 2020).
Los fenoles totales y la actividad antioxidante (determinada por los métodos DPPH, ABTS y FRAP) se evaluaron en extractos acuosos de la pulpa del fruto. Por su parte, los flavonoides totales se determinaron utilizando extractos metanólicos. En todos estos ensayos, se aplicaron métodos colorimétricos ampliamente conocidos (Singleton et al., 1999; Benzie & Strain, 1996; Brand-Williams et al., 1995; Arvouet-Grand et al., 1994), y validados para su uso en S. purpurea L. de temporada húmeda (Suárez-Vargas et al., 2017). Los fenoles totales se expresaron como mg equivalentes de ácido gálico (EAG), la actividad antioxidante como mg equivalentes de ácido ascórbico (EAA) y los flavonoides totales como mg equivalentes de quercetina (EQ); en todos los casos por 100 g de pulpa de fruta.
Análisis estadístico
Los resultados obtenidos en todas las variables medidas se sometieron a un análisis de varianza a distintos tiempos de almacenamiento. Adicionalmente, se realizó una comparación de medias de Tukey (P ≤ 0.05) entre las variantes y las etapas de maduración durante dichos tiempos. El programa utilizado para estos análisis, así como para la elaboración de gráficos, fue Sigma Plot ver. 14 (Software Inc., EUA).
Resultados y discusión
Pérdida de peso y apariencia
La PP no presentó diferencias significativas entre frutos recolectados a ½ y – de maduración, pero sí entre variantes (P ≤ 0.05) (Figura 1a). Los valores mayores se presentaron en Roja (24-62 % entre los días 5 y 10), seguidos por los de Morada (18-42 % entre los días 5 y 10) y Amarilla (10-22 % entre los días 5 y 7). Esto se reflejó en su apariencia, la cual permaneció comercializable hasta los 5 a 6 días en Roja, y hasta los 5 a 8 días en Morada y Amarilla (Cuadro 1; Figuras 2, 3 y 4). Lo anterior contrasta con el comportamiento habitual de la mayoría de los frutos, donde la apariencia se deteriora después del 5 al 10 % de PP (Wills & Golding, 2016). Incluso así, se estima que su vida útil es bastante breve (aproximadamente 3 días para Roja y Morada, y 5 días para Amarilla), ya que la mayoría de los comerciantes aceptan sólo 10 % de PP. En este caso, mejores condiciones de almacenamiento durante la refrigeración (como temperatura y HR óptimas), junto con técnicas poscosecha (como el uso de recubrimientos comestibles, envases tipo almeja o de atmósfera modificada), podrían ampliar estos plazos, mientras no repercutan negativamente en la calidad de la fruta.

Figura 1 Pérdida de peso (PP) y firmeza en tres variantes de S. purpurea L. cosechadas a ½ y – de maduración, y almacenadas a 25 ± 2 °C (60 % humedad relativa). Cada punto representa la media de seis a diez mediciones ± el error estándar. DMSH = diferencia mínima significativa honesta. Letras iguales entre paréntesis indican que las variantes no difieren estadísticamente (Tukey, P ≤ 0.05).
Cuadro 1 Duración de la apariencia comercializable (en días) de tres variantes de S. purpurea L. cosechadas a ½ y – de maduración, y almacenadas a 25 ± 2 °C (60 % humedad relativa).
| Variedad | Etapa de maduración | |
|---|---|---|
| ½ maduración | ¾ de maduración | |
| Morada | 7 - 8 | 6 - 7 |
| Roja | 6 | 5 |
| Amarilla | 6 - 7 | 5 - 6 |

Figura 2 Apariencia visual de S. purpurea L., variante Morada, cosechada a ½ y – de maduración, y almacenada a 25 ± 2 °C (60 % humedad relativa).

Figura 3 Apariencia visual de S. purpurea L., variante Roja, cosechada a ½ y – de maduración, y almacenada a 25 ± 2 °C (60 % humedad relativa).

Figura 4 Apariencia visual de S. purpurea L., variante Amarilla, cosechada a ½ y – de maduración, y almacenada a 25 ± 2 °C (60 % humedad relativa).
Sorprendentemente, el estado de madurez no influyó en la PP, algo que, nuevamente, va en contra de lo que se suele reportar. Sousa et al. (1998) y Pérez-López et al. (2004) describen valores más altos de PP entre variedades maduras de S. purpurea L., mientras que Mohammed et al. (2019) lo hacen sólo en frutos no maduros. Sin embargo, todos coinciden en que el espesor y la composición de la cutícula explican la mayor parte de la variación observada.
Firmeza
Nuevamente, los valores de firmeza no presentaron diferencias estadísticas significativas entre los frutos recolectados a ½ y – de maduración, pero muestran diferencias significativas entre las variantes (P ≤ 0.05). La mayor firmeza se obtuvo en Morada (11-19 N), seguida por Roja (8-15 N) y Amarilla (6.2-14 N) (Figura 1b). La disminución evidente entre el día 0 y 4 en Roja y Morada, y durante todo el almacenamiento en Amarilla, probablemente se debió a la acción de enzimas degradadoras de pectina, como la pectin-metilesterasa y poligalacturonasa, cuyas actividades incrementan durante la maduración (Maldonado-Astudillo et al., 2014). Por otro lado, los cambios inducidos por la PP en la textura de la piel (específicamente el aumento de la rugosidad y la dureza en la epidermis) probablemente fueron responsables de los valores ascendentes de firmeza en Roja y Morada del día 4 en adelante. En este sentido, la PP excesiva (cerca de 18 % en el día 4) puede ocasionar cambios importantes en el epicarpio, los cuales derivan en una resistencia incrementada a la acción de fuerzas punzantes (como las del texturómetro) (Figura 1b).
Color del fruto
Color del epicarpio
Una vez más, no hubo relación entre la etapa de maduración a la cosecha y el desarrollo de color en el epicarpio (P ≥ 0.05). Amarilla presentó valores significativamente mayores de luminosidad (L*), cromaticidad (C*) y matiz (h), mientras que Morada y Roja difirieron sólo en términos de h (P ≤ 0.05) (es decir, su L* y C* fueron muy similares) (Figura 5a, 5b y 5c). En Amarilla, la L* incrementó durante los primeros 3 días de maduración y descendió del día 4 al 7. Por su parte, los valores de Morada y Roja disminuyeron constantemente (Figura 5a). Aunque la C* aumentó en todas las variantes durante los primeros 3 días de maduración, después los valores disminuyeron ligeramente (Amarilla) o permanecieron sin cambios (Roja y Morada) por el resto del almacenamiento (Figura 5c). Por último, el h disminuyó constantemente en todos los frutos (Figura 5b).

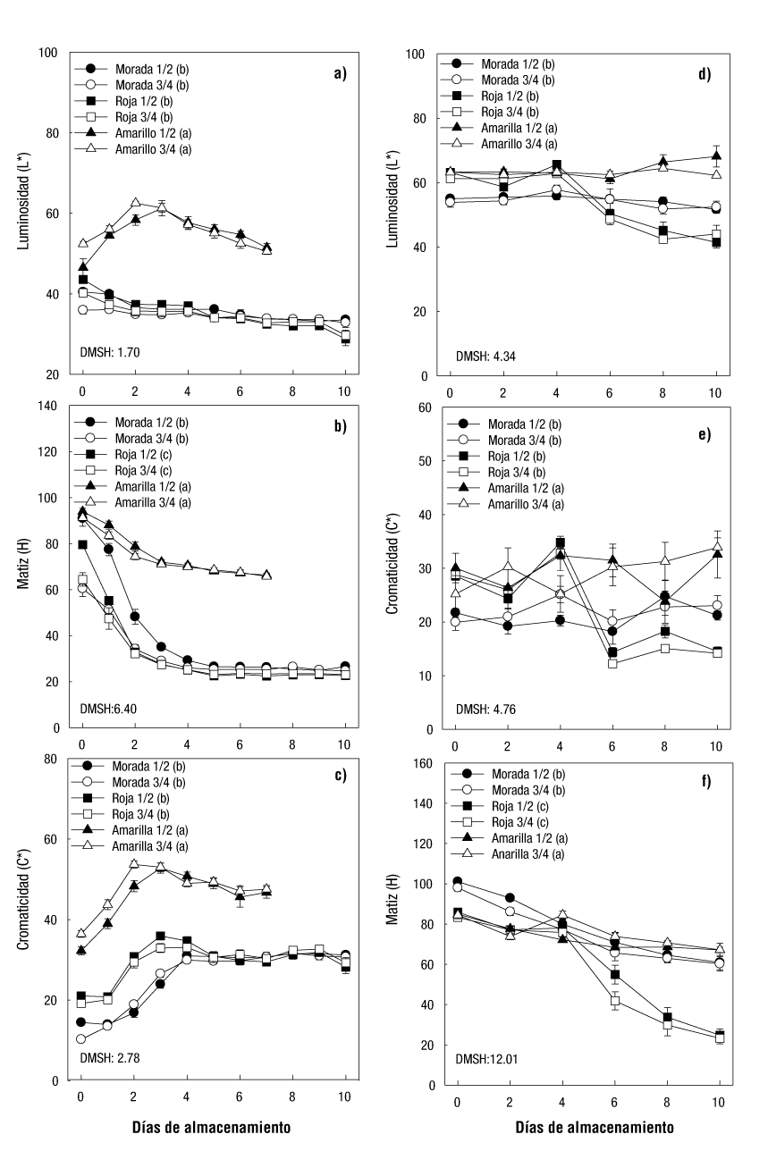
Figura 5 Color del epicarpio (izquierda) y pulpa (derecha) de tres variantes de S. purpurea L. cosechadas a ½ y – de maduración, y almacenadas a 25 ± 2 °C (60 % humedad relativa). Cada punto representa la media de seis a diez mediciones ± el error estándar. DMSH = diferencia mínima significativa honesta. Letras iguales entre paréntesis indican que las variantes no difieren estadísticamente (Tukey, P ≤ 0.05).
El color de la piel en Roja presentó una transición desde verde oscuro (h de 80, día 0) hasta rojo-morado (h de 26.4 a 28.9, día 4), sin cambios perceptibles a partir de entonces (h de 22 a 24, día 6 a 10). En Morada, el color pasó de verde oscuro (h de 91, día 0) a un tono cercano al morado (h de 30 a 34, día 4), y luego a morado (h de 26, día 5) (Figura 5b). Asimismo, la luminosidad declinó (los colores se volvieron más oscuros), mientras que la cromaticidad incrementó (los colores se volvieron más vívidos); esto se verificó en ambas variantes durante el almacenamiento (Figuras 5a y 5c). Por otro lado, en Amarilla el color de piel cambió de amarillo-verde (h de 91 a 93, día 0) a amarillo (h de 70, día 3 a 4), antes de llegar a amarillo-anaranjado (h de 65, día 7). En este caso, la luminosidad incrementó (transición a amarillo) y, posteriormente, declinó (transición a amarillo-anaranjado), mientras que la cromaticidad aumentó como lo hizo en Roja y Morada (Figuras 5a y 5c).
Aunque algunos estudios reportan valores similares para h en otros ecotipos pigmentados en rojo (h de 32 a 59), morado (h de 22 a 25) y amarillo (h de 73 a 76) (Pérez-Arias et al., 2008), otros contradicen los hallazgos del presente trabajo en cuanto a la etapa de maduración a la cosecha, al destacar un efecto significativo sobre el desarrollo de color durante la maduración (Romero-Hinojosa et al., 2021). Incluso así, la influencia es ligera en esos casos, y sólo se vuelve aparente cuando el fruto se recolecta con antelación; por ejemplo, los ecotipos amarillos desarrollan un color anaranjado cuando se cosechan a – de maduración, pero uno amarillo-anaranjado si se recolectan a ½ de maduración. Silva et al. (2001) reportan resultados similares en S. purpurea L. de Brasil, quienes cosecharon frutos cuando el color estaba iniciando a cambiar y no lograron desarrollar el tono característico de la variedad. En este sentido, la influencia de la luz es igualmente importante. Montalvo-González et al. (2011) encontraron que la S. purpurea L. de temporada seca acumula más pigmentos con exposición continua a la luz (24 h) que con oscuridad continua o ciclos alternos de 12 h de luz y oscuridad.
Color de la pulpa
La pulpa del fruto resultó entre amarillo y anaranjado, tanto en Morada como en Amarilla (h de 85 a 100), con pequeños cambios observables durante la maduración. Esto fue significativamente diferente a la Roja (P ≤ 0.05), cuya pulpa fue anaranjada-rojiza (h de 85) y sufrió cambios más notorios. Dichas diferencias inter-variantes también fueron perceptibles en la fruta que estaba a – de maduración. En general, el color de la pulpa en Amarilla fue más brillante y vívida (con valores más altos de L* y C*), que en Roja o Morada (Figura 5d, 5e y 5f).
Hasta donde se sabe, no hay reportes que aborden el cambio de color en la pulpa de S. purpurea L. de temporada seca o húmeda durante la maduración. No obstante, en términos de h los únicos valores que cambiaron significativamente fueron los de Roja (Figura 5f). Coincidentemente, ésta también fue la variedad con la mayor PP (Figura 1a); por ello, resulta imperativo estudiar si estos cambios son: 1) resultado de la pérdida excesiva de agua o 2) debidos a la oxidación enzimática de la pulpa. Después de todo, la L* disminuyó a partir del día 6, lo cual contribuyó a la presencia de un tono más oscuro (Figura 5d).
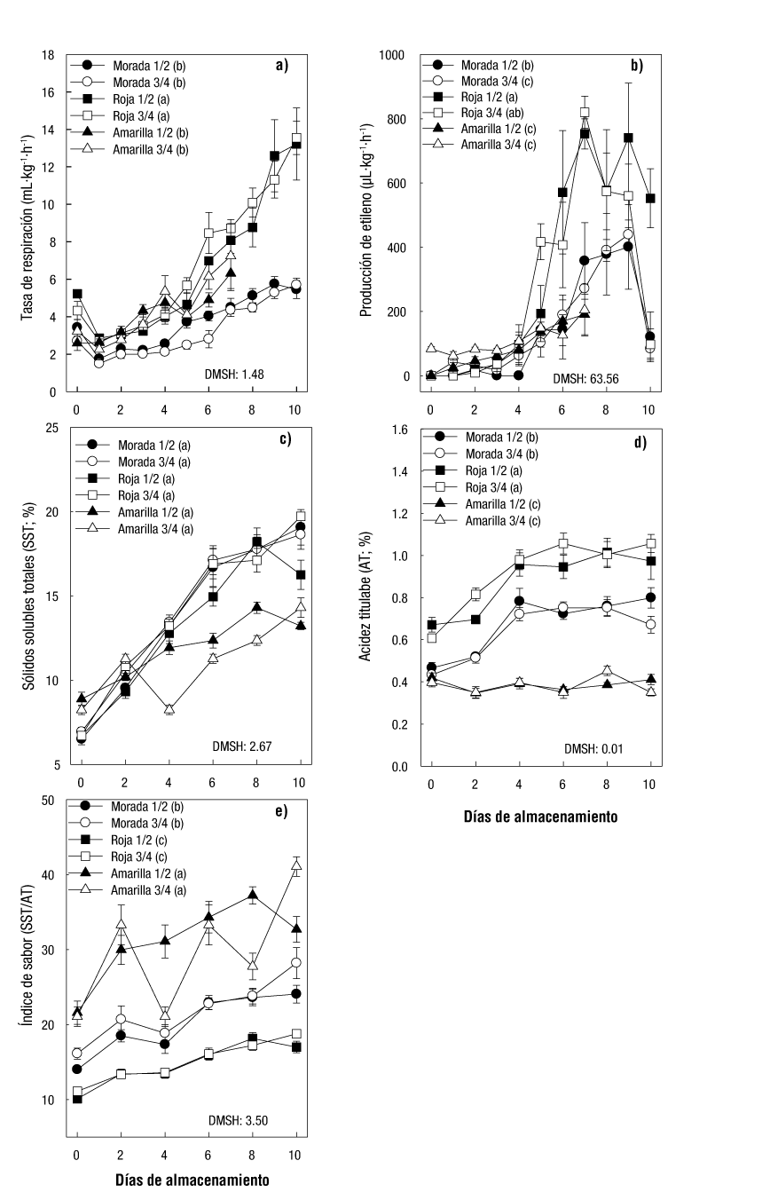
Respiración y producción de etileno
En todas las variantes, la respiración disminuyó al inicio (desde un rango de 2.48 a 5.22 mL CO2∙kg-1∙h-1 en el día 0, hasta entre 1.8 y 2.8 mL CO2∙kg-1∙h-1 el día 1), y después incrementó progresivamente del día 2 en adelante, al alcanzar valores de 6.4 a 7.2 mL CO2∙kg-1∙h-1 en Amarilla (día 7), de 5.3 a 5.6 mL CO2∙kg-1∙h-1 en Morada y de 13.2 a 13.3 mL CO2∙kg-1∙h-1 en Roja (día 10) (Figura 6a). Durante este periodo, Roja presentó las tasas de respiración más altas, las cuales fueron cerca del doble de las de Amarilla y Morada (P ≤ 0.05) (Figura 6a). Por otro lado, el etileno incrementó continuamente a partir del día 4, hasta alcanzar los valores más altos entre el día 7 y 9 en Morada y Roja (antes de la máxima respiración en estas variantes). En cambio, el pico máximo de etileno no fue tan perceptible en Amarilla (Figura 6b). Como en el caso de la respiración, los valores más altos de etileno correspondieron a Roja (aproximadamente 800 µL C2H4∙kg-1∙h-1), seguidos por los de Morada (aproximadamente 400 µL C2H4∙kg-1∙h-1) y Amarilla (aproximadamente 200 µL C2H4∙kg-1∙h-1) (Figura 6b).

Figura 6 Cambios fisiológicos y químicos de tres variantes de S. purpurea L. cosechadas a ½ y – de maduración, y almacenadas a 25 ± 2 °C (60 % humedad relativa). Cada punto representa la media de seis a diez mediciones ± el error estándar. DMSH = diferencia mínima significativa honesta. Letras iguales entre paréntesis indican que las variantes no difieren estadísticamente (Tukey, P ≤ 0.05).
Los patrones de respiración observados sugieren que S. purpurea L. es climatérica, lo cual concuerda con los hallazgos de Osuna-García et al. (2011), Montalvo-González et al. (2011), y Maldonado-Astudillo et al. (2023), quienes encontraron picos respiratorios a los 3 y 9 días después de la cosecha en el cv. Lutea y otra variante pigmentada de amarillo del sur de México. Por otra parte, Pérez-López et al. (2004) no notaron comportamiento climatérico en un ecotipo amarillo de Oaxaca. En cuanto al etileno, Montalvo-González et al. (2011) reportan producción máxima a los 5 días después de la cosecha (en el cv. Lutea de Nayarit), mientras que Álvarez-Vargas et al. (2017) obtuvieron una gran variabilidad en la producción de esta hormona en 102 recolectas de fruta de temporadas seca y húmeda (todas de S. purpurea L. en etapa de madurez).
Debido a que la tasa de respiración y la producción de etileno son indicadores de la actividad metabólica de un fruto y del potencial de almacenamiento (Kader, 2002; Wills & Golding, 2016), era de esperarse que la mayor PP y la apariencia comercializable más corta (5 a 6 días) ocurriera en Roja, que fue la variante con los valores más altos en estos dos parámetros. Sampaio et al. (2008) describen una vida de anaquel más corta en frutos con actividades respiratorias altas (menos de 2 días, comparado con los casi 6 días en las variedades con tasas bajas), y señalan a las condiciones climáticas y a la variabilidad genética como las causas probables (en este caso, las variedades de S. purpurea L. utilizadas fueron cultivadas en el norte de Brasil).
En el presente estudio, no se observaron efectos de la etapa de maduración sobre la actividad respiratoria (P ≥ 0.05; Figura 6a), lo cual contradice lo reportado por Pérez-López et al. (2004), quienes obtuvieron tasas más altas de producción de CO2 en frutos cosechados a – de maduración comparados con los de ½ de maduración (al menos en el ecotipo amarillo evaluado); aun así, no encontraron efecto significativo en la producción de etileno.
Sólidos solubles totales
El contenido de SST difirió en Amarilla (P ≤ 0.05), comparado con el de Roja y Morada, sin que la etapa de maduración influyera en ninguna variante (Figura 6c). Inicialmente, los valores fluctuaron entre 6.3 y 8.9 % (en todas las variantes), y alcanzaron de 13.2 a 14.3 % en Amarilla, 18 % en Morada y de 16.2 a 18.9 % en Roja (Figura 6c).
Probablemente, la degradación activa de almidón fue la razón principal de los incrementos registrados en SST. Después de todo, de los cerca de 9 % presentes en el mesocarpio de S. purpurea L., una mayoría (aproximadamente 80 %) se hidroliza durante la maduración (Cunha et al., 2001). Osuna-García et al. (2011) reportan resultados similares en una variante pigmentada de rojo de Nayarit, donde los SST incrementaron de 7.7 % en el día 0, hasta 15 a 15.7 % en los días 6 a 8. No obstante, estos autores describen la influencia de la etapa de maduración en la cosecha sobre el contenido final de SST, al comparar las etapas de maduración verde (13.0 a 14.4 % SST) y – (12.5 a 13.8 % SST) de una variante pigmentada de amarillo de Nayarit.
Acidez titulable
Los valores fueron claramente diferentes en las tres variantes evaluadas de S. purpurea L. (P ≤ 0.05) (Figura 6d). Inicialmente, fueron de 0.41 % en Amarilla, 0.44 % en Morada y 0.63 % en Roja, e incrementaron a 0.74 y 1.0 %, respectivamente, en las dos últimas (día 4 a 6), y permanecieron constante hasta el final del almacenamiento. Por su parte, los valores en Amarilla, permanecieron similares a lo largo de la maduración (0.42 % en promedio). Como en los casos previos, la etapa de maduración no influyó sobre este parámetro (Figura 6d).
Las grandes diferencias inter-variantes detectadas no son frecuentes. En 102 colectas de S purpurea L. de etapas seca y húmeda, la AT varió entre 0.1 y 0.74 % (Álvarez-Vargas et al., 2017). Los autores atribuyen esto a la combinación de diferentes factores, incluyendo los genéticos y los ambientales. Además, la fruta en desarrollo tiene una gran capacidad para sintetizar ácidos orgánicos in situ (Bollard, 1978; Atkinson et al., 2017), lo cual se observó claramente en las variantes Roja y Morada. A pesar de esto, Sampaio et al. (2008) mencionan que la AT es más alta al principio de la maduración, antes de disminuir ligeramente (de 1.1 a 1.0 % después de 6 a 8 días en frutos en madurez fisiológica de una variante Roja de Brasil), mientras que Montalvo-González et al. (2011) reportan únicamente un incremento estable en el cv. Lutea.
Índice de sabor (IS)
La relación SST/AT o IS incrementó en todos los frutos, con diferencias evidentes entre variantes; sin embargo, no hubo un efecto claro en la etapa de maduración en la cosecha (Figura 6e). Los valores más altos estuvieron presentes en Amarilla (inicial de 21 y final de 32 a 40), seguidos por los de Morada (inicial de 13.8 a 15.9 y final de 24 a 28) y Roja (inicial de 9.8 a 10.9 y final de 16.8 a 18.2). Este comportamiento se atribuye, principalmente, a un incremento más rápido en SST comparado con la AT (en Amarilla la AT permaneció constante), algo que difiere de la declinación usual observada en muchos frutos durante la maduración (Wills & Golding, 2016). En este contexto, es probable que Amarilla sea percibida como la más dulce, ya que tiene el IS más alto. Otros factores como el balance azúcar-acidez (que fue mejor en Roja y Morada) también influyen en la aceptación del consumidor, y por ello es necesario considerarlo cuidadosamente. Únicamente algunos reportes abordan el IS en S. purpurea L. (Sampaio et al., 2008), pero presentan tendencias similares a las de este estudio (valores de 6.7 y de 15 a 15.7 en frutos en las etapas de madurez fisiológica y madurez de consumo, respectivamente).
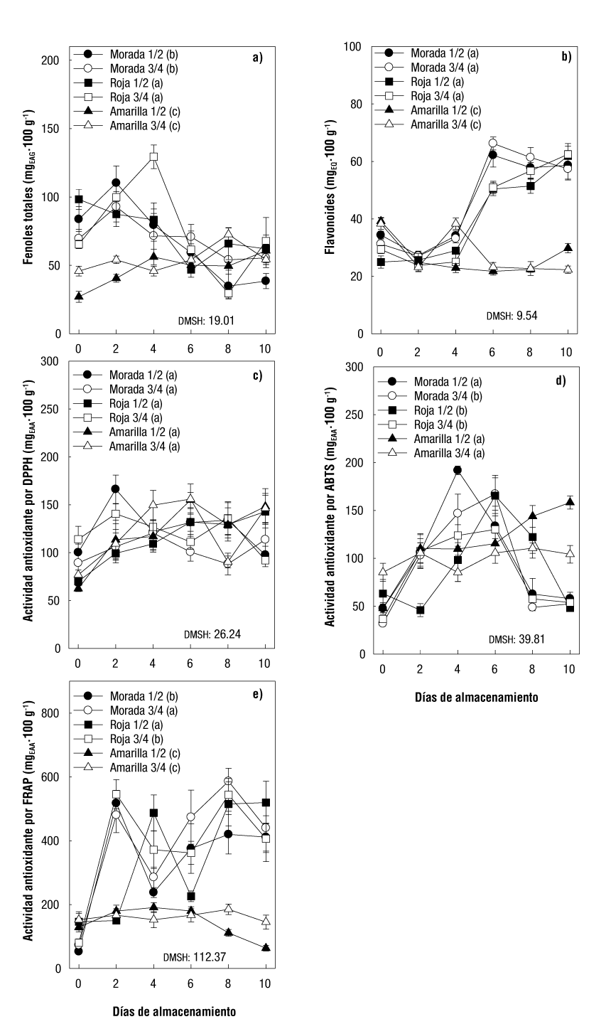
Compuestos fenólicos totales y flavonoides
Los fenoles totales incrementaron después de 2 a 4 días de maduración, aunque esto no fue tan notorio en Amarilla (40 a 50 mgEAG∙100 g-1, comparado con 85 a 130 mgEAG∙100 g-1 de Roja y Morada) (Figura 7a). Después, las concentraciones disminuyeron en los días 4 a 6 (45 a 70 mgEAG∙100 g-1), antes de estabilizarse hasta el día 10. Por otro lado, los flavonoides experimentaron un cambio pequeño hasta el día 4, para después incrementar significativamente tanto en Morada como en Roja (49 a 66 mgEQ∙100 g-1 en ambas). Lo opuesto ocurrió en Amarilla, donde los valores primero disminuyeron (a 22 mgEQ∙100 g-1) y luego permanecieron constantes (Figura 7b).

Figura 7 Fenoles, flavonoides y actividad antioxidante de tres variantes de S. purpurea L. cosechadas a ½ y – de maduración, y almacenadas a 25 ± 2 °C (60 % humedad relativa). Cada punto representa la media de seis a diez mediciones ± el error estándar. DMSH = diferencia mínima significativa honesta. Letras iguales entre paréntesis indican que las variantes no difieren estadísticamente (Tukey, P ≤ 0.05).
Los incrementos en fenoles (primera etapa de maduración, días 2 a 4) y flavonoides (segunda etapa de maduración, días 6 a 10) observados en Roja y Morada se pueden atribuir a la síntesis de antocianinas (pigmentos del grupo flavonoide) durante el proceso de maduración. Sollano-Mendieta et al. (2011) reportan concentraciones de 2 a 14 mg equivalentes de cianidina 3-glucosido en 100 g en 12 variantes de S. purpurea L. pigmentadas de rojo y morado. Sin embargo, en términos de fenoles totales, se han reportado intervalos de 90 a 570 mgEAG∙100 g-1 (en 12 variantes del estado de Guerrero; Solorzano-Morán et al., 2015), de 40.1 a 221.6 mgEAG∙100 g-1 (en 102 recolectas de temporadas seca y húmeda; Álvarez-Vargas et al., 2017), de 91 a 190 mgEAG∙100 g-1 (en la variante Cuernavaqueña; Suárez-Vargas et al., 2017) y 123 mgEAG∙100 g-1 (en S. purpurea L. de Brasil; Barreiros et al., 2018). Por lo tanto, es probable que concentraciones moderadas de estos compuestos sean lo normal en frutos de esta especie, lo cual los convierte en importantes fuentes de antioxidantes. En cuanto a los flavonoides, en la literatura se describen intervalos de 196 a 369 mgEQ∙100 g-1 (en 12 variedades de S. purpurea L. de temporada seca; Sollano-Mendieta et al., 2011) y de 109 a 215 mgEQ∙100 g-1 (en cuatro etapas de maduración del ecotipo Cuernavaqueña; Suárez-Vargas et al., 2017), mucho más altos que los obtenidos en este estudio. Así, la genética y las condiciones medioambientales indudablemente también juegan un papel.
Actividad antioxidante
No se detectaron diferencias inter-variantes en las actividades antioxidantes determinadas mediante DPPH (inicial de 62 a 113 mgEAA∙100 g-1 y final de 95 a 145 mgEAA∙100 g-1), ni alguna tendencia distinguible (Figura 7c). No obstante, con el método ABTS, los frutos de Roja (50 mgEAA∙100 g-1) y Amarilla (100 mgEAA∙100 g-1) de – de maduración difirieron significativamente en los días 8 a 10 (Figura 7d). Una tendencia más perceptible se observó con el método FRAP, donde las actividades antioxidantes incrementaron tanto en Roja como en Morada (inicial de 50 a 151 mgEAA∙100 g-1 y final de 400 a 500 mgEAA∙100 g-1 en los días 8 a 10), aunque con fluctuaciones moderadas. Por su parte, los valores cambiaron poco en Amarilla (de 150 a 190 mgEAA∙100 g-1 durante el periodo más largo de maduración), aunque disminuyeron más visiblemente después del día 6 y alcanzaron de 62 a 141 mgEAA∙100 g-1 el día 10 (Figura 7e).
Solo las actividades antioxidantes determinadas mediante FRAP fueron consistentes con los niveles de metabolitos secundarios en cada variedad. Las actividades en Roja y Morada coincidieron con el desarrollo de color (es decir, con la producción de antocianinas), así como con el incremento y disminución de fenoles (niveles máximos entre los días 2 y 4) y flavonoides (niveles máximos entre los días 6 y 10). Por el contrario, Amarilla presentó la menor actividad debido a las pequeñas cantidades de compuestos a lo largo de la maduración. Las actividades antioxidantes determinadas mediante FRAP también fueron más altas que las obtenidas mediante ABTS o DPPH. De hecho, los resultados de estos dos ensayos fueron muy parecidos, lo cual contradice reportes anteriores donde encontraron que las actividades determinadas mediante ABTS son mayores que las obtenidas con DPPH. Presuntamente, esto es debido a que en el primero (ABTS) reaccionan las moléculas acuosas y lipídicas (Sollano-Mendieta et al., 2011).
Conclusiones
Las diferencias inter-variantes en los frutos de S. purpurea L. dificultan las recomendaciones generales en el manejo poscosecha. Sin embargo, el control adecuado de la temperatura, humedad relativa y traspiración asociada con la PP (como la aplicación de coberturas comestibles o el uso de empaques de atmósfera modificada) es esencial en las tres variantes. Más allá de esto, el uso de refrigeración para prolongar la vida poscosecha puede ser más relevante para Roja, mientras que el manejo y transporte probablemente causarían menos daños físicos a Morada. Por otra parte, Amarilla, seguramente, sería percibida como la más dulce debido a sus contenidos específicos de SST, AT e IS (a pesar de que el balance azúcar-ácido real es mucho mejor en Roja y Morada). Roja y Morada tienen más probabilidad de aceptación por parte de consumidores preocupados por la salud dado su mayor contenido de fenoles y flavonoides (que derivan en mayores actividades antioxidantes) en comparación con la Amarilla.
Agradecimientos
Los autores desean expresar su agradecimiento al Consejo Nacional de Humanidades, Ciencias y Tecnologías (CONAHCyT) por la beca otorgada a Samuel Cancino-Labra (Núm. 772691), así como a SEP-PRODEP y a la red mexicana de S. purpurea L. (“Red de Ciruelas Mexicanas” o SADER), por auspiciar esta investigación. También desean agradecer al ingeniero (con honores) Leonardo Castillo Pelayo por su ayuda durante la escritura de la versión en inglés de este manuscrito.
REFERENCIAS
Álvarez-Vargas, J. E., Alia-Tejacal, I., Chávez-Franco, S. H., Colinas-León, M. T., Nieto-Ángel, I., Rivera-Cabrera, F., & Aguilar-Pérez, L. A. (2017). Ciruelas mexicanas (Spondias purpurea L.) de clima húmedo y seco: calidad, metabolitos funcionales y actividad antioxidante. Interciencia, 42(10), 653-660. https://www.redalyc.org/pdf/339/33953313005.pdf [ Links ]
Álvarez-Vargas, J. E., Alia-Tejacal, I., Chávez-Franco, S. H., Colinas-León, M. T., Rivera-Cabrera, D., Nieto-Ángel, A., Cruz, L., Aguilar-Pérez, L. A., & Pelayo, C. Z. (2019). Phenological stages and fruit development in the Mexican plum ecotype ‘Cuernavaqueña’ (Spondias purpurea L.). Fruits, 74(4), 194-200. https://doi.org/10.17660/th2019/74.4.6 [ Links ]
Arvouet-Grand, A., Vennat, B., Pourrat, A., & Legret, P. (1994). Standardisation d´un extrait de propolis et identification des principaux constituants. Journal de Pharmacie de Belgique, 49(6), 462-468. [ Links ]
Association of Official Analytical Chemists (AOAC) (1990). Official Methods of Analysis. https://law.resource.org/pub/us/cfr/ibr/002/aoac.methods.1.1990.pdf [ Links ]
Atkinson, R. G., Brummell, D. A., Burdon, J. N., Patterson, K. J., & Schaffe, R. J. (2017). Fruit growth, ripening and post-harvest physiology. In: Brummell, D. A. (ed.), Plants in action. Australian Society of Plant Scientist. https://www.asps.org.au/wp-content/uploads/Chapter-11-Fruit-growth-ripening-and-post-harvest-physiology.pdf [ Links ]
Avitia-García, E., Castillo-González, A. M., & Pimienta-Barrioc, E. (2003). Ciruela mexicana y otras especies del género Spondias L. Universidad Autónoma Chapingo. [ Links ]
Barreiros, M. L., de Jesús, R. A., Barreiros, A. L., Sandes, T. S., Ramalho, S. A., & Narain, N. (2018). Evaluation of the antioxidant activity of eight tropical fruits by DPPH method. Acta Horticulturae, 1198, 185-192. https://doi.org/10.17660/ActaHortic.2018.1198.29 [ Links ]
Bautista-Baños, S., Díaz-Pérez, J. C., Barrera-Necha, L. L., & Bravo-Luna, L. (2003). Postharvest study of red-mombin (Spondias purpurea L.) fruit during storage. Revista Iberoamericana de Tecnología Postcosecha, 5(2), 82-85. https://readlyc.org/pdf/813/81350203.pdf [ Links ]
Benzie, I. F., & Strain, J. J. (1996). The ferric reducing ability of plasma (FRAP) as a measure of “Antioxidant Power”: The FRAP assay. Analytical Biochemistry, 239(1), 70-76. https://doi.org/10.1006/abio.1996.0292 [ Links ]
Bollard, E. G. (1978). The physiology and nutrition of developing fruits. In: Hulme, A. C. (ed.), The biochemistry of fruits and their products (pp. 387-425). Academic Press. [ Links ]
Brand-Wiliams, W., Cuvelier, M. E., & Berset, C. (1995). Use of a free radical method to evaluate antioxidant activity. LWT - Food Science and Technology, 28(1), 25-30. https://doi.org/10.1016/S0023-6438(95)80008-5 [ Links ]
Cancino-Labra, S., Alia-Tejacal, I., López-Martínez, V., & Juárez-López, P. (2023a). Fruit growth in three ecotypes of dry-season Spondias purpurea L. Acta Universitaria, 33, 3768. http://doi.org/10.15174.au.2023.3768 [ Links ]
Cancino-Labra, S., Alia-Tejacal, I., Pérez-Arias, G. A., & Villarreal-Fuentes, J. M. (2023b). Phenophase description in dry season Spondias purpurea L. using a modified version of the BBCH scale. Scientia Horticulturae, 318, 112086. https://doi.org/10.1016/j.scienta.2023.112086 [ Links ]
Cruz-León, A., & Rodríguez-Haros, B. (2012). Cultivo. In: Cruz, L. A., Pita, D. Á., & Rodríguez, H. B. (eds.), Jocotes, jobos, abales o ciruelas mexicanas (pp. 77-101). Universidad Autónoma Chapingo. https://www.gob.mx/cms/uploads/attachment/file/232189/Jocotes_jobos_abales_o_ciruelas_mexicanas.pdf [ Links ]
Cunha, H. A., Elesbao, R. A., Cordeiro, A. O., Herbster, C. F., & Costa, N. C. (2001). Calidad de frutas nativas de Latinoamérica para industria: Ciruela mexicana (Spondias purpurea L.). Proceedings of Interamerican Society for Tropical Horticulture, 43, 72-76. http://www.pubhort.org/iasth/43/0015.htm [ Links ]
Díaz-Padilla, G., Serrano-Altamirano, V., Ruíz-Corral, J. U., Ambriz-Cervantes, R., & Cano-García, M. G. (2008). Estadísticas climatológicas básicas del Estado de Morelos (período 1961-2003). Instituto Nacional de Investigaciones Forestales, Agrícolas y Pecuarias. [ Links ]
Erkan, M., & Dogan, A. (2020). Harvesting of horticultural commodities. In: Yahia, E. M. (ed.), Postharvest technology of perishable horticultural commodities (pp. 120-159). Elsevier-Woodhead Publishing. https://doi.org/10.1016/B978-0-12-813276-0.00005-5 [ Links ]
Ferrer, M. M., Ruenes-Morales, R., Montañez-Escalante, P. I., & Estrada-Medina, H. (2022). Mexican plum (Spondias purpurea L.). In: Sivakumar, D., Sultanbawa, Y., & Netzel, M, (ed.), Handbook of phytonutrients in indigenous fruits and vegetables (pp. 405-420). CAB International. https://doi.org/10.1079/9781789248067.0028 [ Links ]
García, E. (2004). Modificaciones al sistema de clasificación climática de Köppen. Universidad Nacional Autónoma de México. http://www.publicaciones.igg.unam.mx/index.php/ig/catalog/view/83/82/251-1 [ Links ]
Kader, A. (2002). Postharvest biology and technology: An overview. In: Kader (ed.), Postharvest technology of horticultural crops (pp. 39-47). University of California/Agricultural and Natural Resources. [ Links ]
Kasajima, I. (2019). Measuring plant colors. Plant Biotechnology, 36(2), 63-75. https://doi.org/10.5511/plantbiotechnology.19.0322a [ Links ]
Maldonado-Astudillo, Y. I., Alia-Tejacal, I., Núñez-Colín, C. A., Jiménez-Hernández, J., Pelayo-Zaldívar, C., López-Martínez, V., Andrade-Rodríguez, M., Bautista-Baños, S., & Valle-Guadarrama, S. (2014). Postharvest physiology and technology of Spondias purpurea L. and S. mombin L. Scientia Horticulturae, 174(1), 193-206. https://doi.org/10.1016/j.scienta.2014.05.016 [ Links ]
Maldonado-Astudillo, Y. I., Alia-Tejacal, I., Jiménez-Hernández, J., & Núñez-Colín, C. A. (2023). Postharvest quality and physiological changes in five ecotypes of Spondias purpurea L. harvested at three distinct maturity stages. Revista Brasileira de Fruticultura, 45, 2-607. https://doi.org/10.1590/0100-29452023607 [ Links ]
Martins, L. P., Silva, S. M., Alves, R. E., & Filgueiras, H. A. (2003). Desenvolvimiento de frutos de cirigueleira (Spondias purpurea L.). Revista Brasileira de Fruticultura, 25(1), 11-14. https://doi.org/10.1590/S0100-29452003000100005 [ Links ]
Mohammed, M., Bridgemohan, P., Graham, O., Wickham, L., Bridgemohan, R. S., & Mohammed, Z. (2019). Postharvest physiology, biochemistry and quality management of chili plum (Spondias purpurea var. Lutea): A review. Journal of Food Research, 8(3), 1-15. https://doi.org/10.5539/jfr.v8n3p1 [ Links ]
Montalvo-González, G. E., García, S. H., Mata-Montes, M., & Tovar-Gómez, B. (2011). Efecto de la luz en ciruela mexicana manejada en diferentes condiciones de almacenamiento. CyTA - Journal Food, 9(1), 65-70. https://doi.org/10.1080/19476331003642562 [ Links ]
Osuna-García, J. A., Pérez-Barraza, M. H., Vázquez-Valdivia, V., & Gómez-Jaimez, R. (2011). Aplicación de 1-Metilciclopropeno (1-MCP) y su efecto en ciruela mexicana (Spondias purpurea L.). Revista Fitotecnia Mexicana, 34(3), 197-2004. https://doi.org/10.35196/rfm.2011.3.197 [ Links ]
Pérez-Arias, G. A., Alia-Tejacal, I., Andrade-Rodríguez, M., López-Martínez, V., Pérez-López, A., Ariza-Flores, R., Otero-Sánchez, M. A., & Villarreal-Fuentes, J. M. (2008). Características físicas y químicas de ciruela mexicana (Spondias purpurea L.) en Guerrero. Investigación Agropecuaria, 52(2), 141-149. https://www.researchgate.net/publication/272159168_Caracteristicas_fisicas_y_quimicas_de_ciruelas_mexicana_Spondias_purpurea_L_en_guerrero [ Links ]
Pérez-López, A., Saucedo-Veloz, C., Arévalo-Galarza, M. L., & Muratalla-Lúa, A. (2004). Efecto del grado de madurez en la calidad y vida postcosecha de ciruela mexicana (Spondias purpurea L.). Revista Fitotecnia Mexicana, 27(2), 133-139. https://doi.org/10.35196/rfm.2004.2.133 [ Links ]
Romero-Hinojosa, B. M., Arzate-Bolaños, J. J., Alia-Tejacal, I., Álvarez-Vargas, J. E., Pérez-Arias, G. A., Galindo-García, D. V., & Guillén-Sánchez, D. (2021). Postharvest of four ecotypes of Mexican plum (Spondias purpurea L.) grown in Morelos, Mexico. Current Topics in Agronomic Science, 1(1), 21-29. https://doi.org/10.5154/r.ctasci.2021.08.02a [ Links ]
Saltveit, M. E. (2016). Respiratory metabolism. In: Pareek, S. (ed.), Postharvest ripening physiology of crops (pp. 139-156). CRC Press. [ Links ]
Sampaio, S., Bora, P., & Holschuh, H. (2008). Postharvest respiration and maturation of some lesser-known exotic fruits from Brazil - ciriguela (Spondias purpurea L.). Revista Ceres, 55(2), 141-145. https://www.redalyc.org/articulo.oa?id=305226700002 [ Links ]
Silva, S. M., Martins, L. P., Alves, R. E., & Filgueiras, A. C. (2001). Carbohydrate - related changes in red mombin (Spondias purpurea) fruit. Proceedings of the Interamerican Society for Tropical Horticulture, 45, 38-41. https://www.pubhort.org/iasth/45/0011.htm [ Links ]
Singleton, V. L., Orthofer, R., & Lamuela-Raventos, R. M. (1999). Analysis of total phenols and other oxidation substrates and antioxidants by means of folin-ciocalteu reagent. Methods in Enzymology, 299, 152-178. https://doi.org/10.1016/S0076-6879(99)99017-1 [ Links ]
Sollano-Mendieta, X. C., Meza-Márquez, O. G., Osorio-Revilla, G., & Téllez-Mendieta, D. I. (2021). Effect of in vitro digestion on the antioxidant compounds and antioxidant capacity of 12 plum (Spondias purpurea L.) ecotypes. Foods, 10(9), 1995. https://doi.org/10.3390/foods10091995 [ Links ]
Solorzano-Morán, S., Alia-Tejacal, I., Rivera-Cabrera, F., López-Martínez, V., Pérez-Flores, L. J., Pelayo-Zaldívar, C., Guillén-Sánchez, D., León-Sánchez, F. D., & Maldonado-Astudillo, Y. I. (2015). Quality attributes and functional compounds of Mexican plum (Spondias purpurea L.) fruit ecotypes. Fruits, 70(5), 261-270. https://doi.org/10.1051/fruits/2015027 [ Links ]
Sousa, R., Filgueiras, A. C., Alves, E., Costa, J. T., & Oliveira, C. (1998). Identification of the optimum harvest stage for red mombin (Spondias purpurea L.). Proceedings of Interamerican Society for Tropical Horticulture, 42, 319-324. https://www.pubhort.org/iasth/42/0046.htm [ Links ]
Suárez-Vargas, A., Juárez-López, P., López-Martínez, V., Pérez-Flores, L. J., Guillén-Sánchez, D., & Alia-Tejacal, I. (2017). Antioxidant activity and physicochemical parameters in ‘Cuernavaqueña’ Mexican plum (Spondias purpurea L.) at different ripening stages. Revista Brasileira de Fruticultura, 39(4), 787. https://doi.org/10.1590/0100-29452017787 [ Links ]
Wills, R. B., & Golding, J. B. (2016). Postharvest. An introduction to the physiology and handling of fruit vegetables. UNSW Press-CABI. https://doi.org/10.1079/9781786391483.0000 [ Links ]
Recibido: 02 de Julio de 2023; Aprobado: 13 de Mayo de 2024










texto en 



