Introduction
The fruit of Spondias purpurea L. is a 10-30 g drupe that can be green, yellow, orange, red, or purple when fully ripe, and may be consumed fresh or processed (Maldonado-Astudillo et al., 2014). Its flavor can also vary -from sour to sweet-sour (or even to very sweet)- depending on the content of sugars and organic acids (Cancino-Labra et al., 2023a). At the same time, different minerals, vitamins, and antioxidants render the fruit nutritious and with many potential health benefits (Ferrer et al., 2022).
Members of this species can be classified into either wet- or dry-season variants, depending on their growth time, harvest season, and duration of postharvest life (e.g. wet-season variants last 7-8 d at room temperature; dry-season ones less than 5 d) (Avitia-García et al., 2003; Álvarez-Vargas et al., 2019; Cancino-Labra et al., 2023a). However, many of the changes that occur during ripening are better understood in wet-season fruit (e.g. an increase in total soluble solids, carotenoids, and antioxidant activity; a decrease in firmness and acidity; important changes in the content of phenolics and flavonoids; etc.) (Bautista-Baños et al., 2003; Maldonado-Astudillo et al., 2014; Suárez-Vargas et al., 2017).
Although countries like Mexico still harbor a considerable diversity of S. purpurea L. (Avitia-García et al., 2003; Cruz-León & Rodríguez-Haros, 2012), most variants are consumed only regionally during the fruit’s annual production period (i.e. during the wet or dry season). This is largely because several aspects of their physiology remain relatively unknown, thus contributing to a lack of suitable postharvest technologies for this species. In addition, many changes that take place during ripening (especially in dry-season fruit) are difficult to generalize due to the absence of a suitable harvest index, which is why S. purpurea L. is usually harvested at the physiological mature, mature, or ripe stages, especially for fresh consumption (Martins et al., 2003; Pérez-López et al., 2004; Osuna-García et al., 2011; Romero-Hinojosa et al., 2021; Maldonado-Astudillo et al., 2023).
Because of these aforementioned gaps in our knowledge, essential quality characteristics such as TSS, TA, epidermal color change, respiration, and ethylene production have all been studied previously (Pérez-López et al., 2004; Romero-Hinojosa et al., 2021; Maldonado-Astudillo et al., 2023); however, changes in phenols, flavonoids, and antioxidant activity, as well as other changes in color (e.g. in the pulp), remain unclear. As well, the many variants of S. purpurea L. in Mexico make it imperative to study each individually in order to select the most suitable postharvest treatment, and thus extend their useful life.
For these reasons, the objective of this study was to evaluate essential quality characteristics in S. purpurea L. (including the content of antioxidants such as phenolics and flavonoids) during the ripening process in three variants of dry-season fruit (harvested at the ½ and – mature stages). Such information should help discern optimal postharvest treatments for these variants.
Materials and methods
Experimental procedure
The fruit of S. purpurea L. used originated from 40-year-old trees that were present in an orchard located in the municipality of Tepalcingo, State of Morelos, Mexico (18° 39’ 42” NL and 98° 55’ 28” WL, at 1,160 m a. s. l.). This region has a warm sub-humid climate (García, 2004), with an average temperature of 22.5 °C and an annual precipitation of 840 mm (Díaz-Padilla et al., 2008). The variants Roja, Morada, and Amarilla were chosen as they are the most actively cultivated in this area and are all well adapted to its conditions (Cancino-Labra et al., 2023b).
During the 2021 production season, three trees from each variety were selected and their fruit picked. Those from variants Roja and Morada were picked in April; those from Amarilla were picked in June. The maturity stages chosen were the ‘½ mature’ (50 % green and 50 % final coloration) and ‘– mature’ (25 % green and 75 % final coloration).
The fruit was then transported unrefrigerated and by vehicle to UAEM's Laboratory of Agricultural Production (Universidad Autónoma del Estado de Morelos, Faculty of Agricultural and Livestock Sciences), where they were acclimatized to laboratory conditions before being screened for uniform maturity and lack of observable defects, disinfected (30-60 s immersion in 0.2 g∙L-1 of sodium hypochloride), and dried using absorbent paper. To evaluate destructive variables, the fruit was randomly sorted into five groups consisting of six fruits each. A sixth group of ten fruits was also formed to evaluate non-destructive variables (this was repeated for each variety). The fruit was then stored for 10 d at 22 ± 2 °C (60 % relative humidity [RH]) in order for ripening to proceed.
Measured variables
Non-destructive variables were evaluated daily (experimental unit = one fruit), with 10 repetitions for each determination of weight loss (WL), skin color, and fruit appearance, and six for respiration rate and ethylene production. Destructive variables, on the other hand, were evaluated every two days (experimental unit = one fruit), with six repetitions for each determination of pulp color, firmness, TSS, TA, total phenolics, flavonoids, and antioxidant activity. Fruits were always randomly selected, and the experimental design followed consisted of six treatments (three varieties of S. purpurea L. and two maturity stages).
WL was calculated from the difference between the initial and final weight of each fruit (CQ100LW digital scale, Ohaus®, USA) and was expressed as a percentage. The chromatic parameters L*, C*, and h were determined from spectroscopic readings of the epicarp and pulp (SP64 spectrophotometer, X-Rite®, USA); these were taken from opposite sides of a fruit’s transverse diameter (Kasajima, 2019). Fruit appearance was photographically recorded and classified as either “marketable” (i.e. hydrated and of the characteristic varietal color) or “non-marketable” (i.e. dehydrated and with loss of the characteristic varietal color). Firmness (Chatillon DF250 [0.6 mm height x 0.7 mm cone tip base], AMETEK®, USA) was measured as the force required to penetrate the epicarp from opposite sides of a fruit’s equatorial diameter; these results were expressed in Newtons (N) (Maldonado-Astudillo et al., 2023).
Rates of respiration and of ethylene production were determined using a static method (Saltveit, 2016) along with gas chromatography (GC-TCD for CO2; GC-FID for ethylene). For this, a single fruit was placed inside a 120 mL sealed container for 3 h, after which a 1 mL sample of headspace air was extracted and injected into an Agilent 7890A system (Agilent Technologies, USA). Injector, oven, and detector temperatures were 150, 80, and 170 °C, respectively (N2 carrier gas; 2 mL∙min-1 flow rate). The absolute calibration method was used to quantify both CO2 and ethylene using 460 and 100 µL∙L-1 standards, respectively (Praxair®, Mexico).
The content of TSS was determined in 1 g of fruit tissue. For this, a sample was first homogenized for 40 s along with 12 mL of dH2O (T-25 Ultra-Turrax®, IKA, Germany). The homogenate was then filtered, and three drops of the supernatant placed in a refractometer (PAL-1, Atago™, Japan). The readings were recorded as percentage of TSS (%) and corrected for the dilution made (1 g of tissue in 12 mL of H2O). On the other hand, TA was determined in 5 mL of the supernatant using 0.1 N sodium hydroxide and two drops of phenolphthalein (1 %, w/v) as an indicator dye (Association of Official Analytical Chemists [AOAC], 1990); the results were expressed as % citric acid. The taste index (TI) was obtained by calculating the TSS/TA ratio (Erkan & Dogan, 2020).
Total phenolics and antioxidant activity (as determined by the DPPH, ABTS, and FRAP methods) were evaluated in aqueous extracts of the fruit pulp; total flavonoids, on the other hand, were determined using methanolic extracts. In all of these assays, well-known colorimetric methods were applied (Singleton et al., 1999; Benzie & Strain, 1996; Brand-Williams et al., 1995; Arvouet-Grand et al., 1994); all have also been validated for use in wet-season S. purpurea L. (Suárez-Vargas et al., 2017). Total phenolics were expressed as mg of gallic acid equivalents (GAE), antioxidant activity as mg of ascorbic acid equivalents (AAE), and total flavonoids as mg of quercetin equivalents (QE) (in all cases, per 100 g of fruit pulp).
Statistical analysis
All variables measured were analyzed by ANOVA at different storage times. A comparison of Tukey means (P ≤ 0.05) was also made between varieties and maturity stages during those times. The software used for these analyses, as well as for the subsequent creation of graphs, was Sigma Plot ver. 14 (Systat Software Inc., USA).
Results and discussion
Weight loss and appearance
WL did not differ significantly between fruit picked at ½ and – maturity; it did so, however, between variants (P ≤ 0.05) (Figure 1a). Values were always highest in Roja (24-62 % on d 5-10) followed by those in Morada (18-42 % on d 5-10) and Amarilla (10-22 % on d 5-7). This was additionally reflected in their appearance, which remained marketable until d 5-6 in Roja, and until d 5-8 in Morada and Amarilla (Table 1; Figures 2, 3, and 4). This contrasts with the usual behavior of most fruit, where appearance deteriorates after just 5-10 % WL (Wills & Golding, 2016). Still, their useful life is estimated to be rather short (approx. 3 d for Roja and Morada, and 5 d for Amarilla) as most merchants will only accept a 10 % WL for the aforementioned reason. In this case, better storage conditions during refrigeration (such as optimal temperature and RH), together with postharvest techniques (like the use of edible coatings, clam-shell containers, or of modified atmosphere packaging), could further extend these times, provided they do not negatively impact fruit quality.

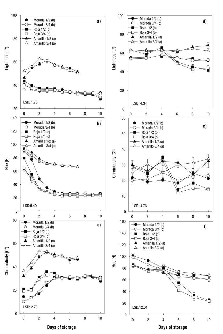
Figure 1 Weight loss (WL) and firmness in three variants of S. purpurea L. harvested at ½ and – maturity, and stored at 25 ± 2 °C (60 % relative humidity). Each point represents the mean of six to ten measurements ± standard error. LSD = least significant difference. The same letters within parentheses indicate that the variants do not differ statistically (Tukey, P ≤ 0.05).
Table 1 Length of marketable appearance (in days) in three variants of S. purpurea L. harvested at ½ and – maturity, and stored at 25 ± 2 °C (60 % relative humidity).
| Variety | Stage of maturity | |
|---|---|---|
| ½ mature | ¾ mature | |
| Morada | 7 - 8 | 6 - 7 |
| Roja | 6 | 5 |
| Amarilla | 6 - 7 | 5 - 6 |

Figure 2 Visual appearance of S. purpurea L., variant Morada, harvested at ½ and – maturity, and stored at 25 ± 2 °C (60 % relative humidity).

Figure 3 Visual appearance of S. purpurea L., variant Roja, harvested at ½ and – maturity, and stored at 25 ± 2 °C (60 % relative humidity).

Figure 4 Visual appearance of S. purpurea L., variant Amarilla, harvested at ½ and – maturity, and stored at 25 ± 2 °C (60 % relative humidity).
Remarkably, maturity stage did not influence WL, something which, again, runs contrary to what is usually reported. Sousa et al. (1998) and Pérez-López et al. (2004) describe higher values of WL among ripe specimens of S. purpurea L., whereas Mohammed et al. (2019) do so only in unripe fruit. They both, however, agree that cuticle thickness and composition account for most of the variation observed.
Firmness
Again, values did not differ significantly between fruit picked at ½ and – maturity; rather, differences were only evident across variants (P ≤ 0.05). Firmness was thus greatest in Morada (11-19 N), followed by values in Roja (8-15 N) and Amarilla (6.2-14 N) (Figure 1b). A noticeable decrease on d 0-4 in Roja and Morada, and throughout all of storage in Amarilla, was likely due to the action of pectin-degrading enzymes such as pectin methylesterase and polygalacturonase, whose activities increase during ripening (Maldonado-Astudillo et al., 2014). On the other hand, WL-induced changes in skin texture (more specifically, an increased toughness or hardness in the epidermis) were likely responsible for the rising values of firmness in Roja and Morada from d 4 onwards. Thus, excessive WL (in this case around 18 %) can also trigger important epicarp changes that derive in increased resistance to the action of piercing forces (e.g. like those of a texturometer) (Figure 1b).
Fruit color
Epicarp color
Again, there was no relationship between maturity stage at harvest and color development in the epicarp (P ≥ 0.05). Generally, Amarilla had the highest values of luminosity (L*), chromaticity (C*), and hue (h), while Morada and Roja differed only in terms of h (P ≤ 0.05) (i.e. their L* and C* were very similar) (Figure 5a, 5b and 5c). In Amarilla, L* increased during the first 3 d of ripening, only to decline later on d 4-7; values in Morada and Roja, on the other hand, decreased continuously (Figure 5a). Although C* increased in all variants during the first 3 d of ripening, values either decreased slightly (Amarilla) or remained unchanged (Roja and Morada) for the remainder of storage (Figure 5c). Lastly, h decreased more or less continuously in all fruit (Figure 5b).

Figure 5 Epicarp (left) and pulp (right) color in three variants of S. purpurea L. harvested at ½ and – maturity, and stored at 25 ± 2 °C (60 % relative humidity). Each point represents the mean of six to ten measurements ± standard error. LSD = least significant difference. The same letters within parentheses indicate that the variants do not differ statistically (Tukey, P ≤ 0.05).
Skin color in Roja transitioned from dark green (h = 80, d 0) to purple-red (h = 26.4 to 28.9, d 4) without any notable changes thereafter (h = 22-24, d 6-10), whereas in Morada, color first transitioned from dark green (h = 91, d 0) to a tone closer to purple (h = 30 to 34, d 4), then to actual purple (h = 26, d 5-10) (Figure 5b). Additionally, luminosity declined (i.e. colors became darker) while chromaticity increased (i.e. colors became more vivid), and this applied to both variants during storage (Figures 5a and 5c). In Amarilla, on the other hand, skin color first changed from yellow-green (h = 91-93, d 0) to yellow (h = 70, d 3-4), before arriving at yellow-orange (h = 65, d 7). In this case, luminosity increased (transition to yellow) only to decline later (transition to yellow-orange), whereas chromaticity rose steadily like it did in Roja and Morada (Figures 5a and 5c).
While some studies report similar values for h in other red- (h = 32 to 59), purple- (h = 22 to 25), and yellow- (h = 73 to 76) pigmented ecotypes (Pérez-Arias et al., 2008), others contradict our findings regarding maturity stage at harvest, noting instead a significant effect on color development during ripening (Romero-Hinojosa et al., 2021). Still, the influence is slight in those cases, and only becomes apparent when the fruit is harvested earlier; e.g., yellow ecotypes develop an orange color when harvested – mature but a yellow-orange one if picked ½ mature. Similar results are also reported in S. purpurea L. from Brazil. In this case, fruit harvested when the color is just starting to turn fail to develop the characteristic tone of the variety (Silva et al., 2001). Equally important is the influence of light. Montalvo-González et al. (2011) find that dry-season S. purpurea L. accumulates more pigments with continuous light exposure (24 h) than with either continuous darkness or alternating 12 h-cycles of light and dark.
Pulp color
The fruit’s flesh was yellow-orange in both Morada and Amarilla (h = 85-100), with little observable changes during ripening. This differed significantly from Roja (P ≤ 0.05) whose flesh was reddish-orange (h = 85) and endured more noticeable changes. Such inter-variants differences were also more noticeable in fruit that was – mature. In addition, flesh color in Amarilla was generally brighter and more vivid (i.e. had higher values of L* and C*) than in Roja or Morada (Figure 5d, 5e and 5f).
To our knowledge, there are no reports that discuss color change in the pulp of dry- or wet-season S. purpurea L. during ripening. In terms of h, however, the only values that changed significantly were the ones in Roja (Figure 5f). Coincidentally, this was also the variety with the biggest WL (Figure 1a). It is thus imperative to study if these changes are either: 1) the result of excessive water loss, or 2) due to the enzymatic oxidation of the pulp. After all, L* did decrease after d 6, contributing to a darker tone (Figure 5d).
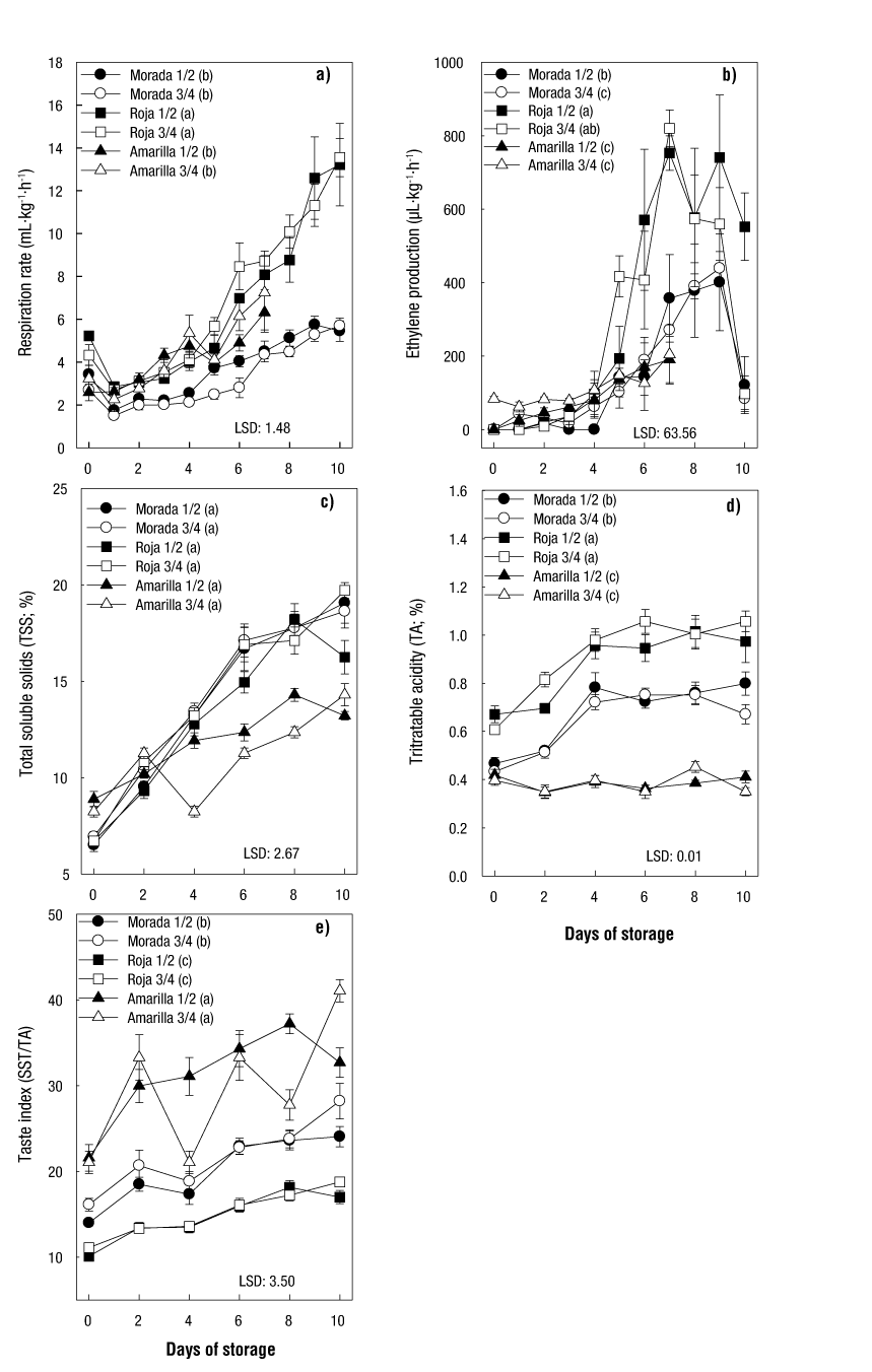
Respiration and ethylene production
In all variants, respiration decreased initially (from between 2.48 and 5.22 mL CO2∙kg-1∙h-1 on d 0, to between 1.8 and 2.8 mL CO2∙kg-1∙h-1 on d 1), only to increase progressively from d 2 onwards - reaching 6.4-7.2 mL CO2∙kg-1∙h-1 in Amarilla (d 7), and either 5.3-5.6 mL CO2∙kg-1∙h-1 or 13.2-13.3 mL CO2∙kg-1∙h-1 in Morada and Roja, respectively (d 10) (Figure 6a). During this period, Roja had the highest rates, which were nearly double those of Amarilla or Morada (P ≤ 0.05) (Figure 6a). Ethylene, on the other hand, increased continuously from d 4 onwards - reaching peak values on d 7-9 in Morada and Roja (and before similar respiration maxima in these variants). Conversely, peak ethylene was not as readily apparent in Amarilla (Figure 6b). As with respiration, the highest rates were present in Roja (approx. 800 µL C2H4∙kg-1∙h-1) followed by those in Morada (approx. 400 µL C2H4∙kg-1∙h-1) and Amarilla (approx. 200 µL C2H4∙kg-1∙h-1) (Figure 6b).

Figure 6 Physiological and chemical changes in three variants of S. purpurea L. harvested at ½ and – maturity, and stored at 25 ± 2 °C (60 % relative humidity). Each point represents the mean of six to ten measurements ± standard error. LSD = least significant difference. The same letters within parentheses indicate that the variants do not differ statistically (Tukey, P ≤ 0.05).
These respiratory patterns strongly suggest that S. purpurea L. is indeed climacteric, agreeing with the findings of Osuna-García et al. (2011), Montalvo-González et al. (2011), and Maldonado-Astudillo et al. (2023), who also find respiratory peaks on d 3 and 9 after harvest in both cv Lutea and another yellow-pigmented variant from southern Mexico. On the other hand, Pérez-López et al. (2004) fail to notice climacteric behavior in a similarly-pigmented ecotype from Oaxaca. Regarding ethylene, Montalvo-González et al. (2011) report maximum production 5 d after harvest (again, in cv. Lutea from Nayarit), whereas Álvarez-Vargas et al. (2017) find great variability in the production of this hormone in 102 accessions of dry- and wet-season fruit (all S. purpurea L. at the ripe stage).
As respiration rate and ethylene production are both excellent indicators of a fruit's metabolic activity and storage potential (Kader, 2002; Wills & Golding, 2016), it is not surprising that the biggest WL and shortest marketable appearance (5-6 d) occurred in Roja, the variant with the highest values in these two parameters. Sampaio et al. (2008) likewise describe a shorter shelf-life in fruit with high respiratory activities (less than 2 d, compared to the almost 6 d of varieties with low rates), citing both climactic conditions and genetic variability as the likely causes (in this case, the S. purpurea L. used were cultivated in northern Brazil).
In the present study, however, there was no effect of maturity stage at harvest on respiratory activity (P ≥ 0.05; Figure 6a), something which conflicts with reports like those of Pérez-López et al. (2004), who do find higher rates of CO2 production in fruit harvested – mature compared to those harvested ½ mature (at least in the yellow-pigmented ecotype evaluated). Still, no effect on ethylene production was found in that study also.
Total soluble solids
The content of these differed in Amarilla (P ≤ 0.05) compared to those in Roja and Morada, with maturity stage having no influence on any of them (Figure 6c). Values initially fluctuated between 6.3 and 8.9 % (all variants considered), eventually reaching 13.2-14.3 % in Amarilla, 18 % in Morada, and 16.2-18.9 % in Roja (Figure 6c).
The active degradation of starch was likely the main reason behind the increments in TSS that were recorded. After all, from the roughly 9 % present in the mesocarp of S. purpurea L., a majority (approx. 80 %) becomes hydrolyzed during ripening (Cunha et al., 2001). Similar findings are also reported in S. purpurea L. from the same region; e.g., in a red-pigmented ecotype from Nayarit, TSS increases from 7.7 % on d 0, to 15-15.7 % on d 6-8 (Osuna-García et al., 2011). However, other studies like that of Osuna-García et al. (2011) describe an influence of maturity stage at harvest on the final content of TSS in these fruits, when comparing the green-mature (13.0-14.4 % TSS) and – mature (12.5-13.8 % TSS) stages of a yellow-pigmented variant from Nayarit.
Titratable acidity
Values were clearly different in all three variants of S. purpurea L. evaluated (P ≤ 0.05) (Figure 6d). Initially, they were 0.41 % in Amarilla, 0.44 % in Morada, and 0.63 % in Roja, which then increased to 0.74 and 1.0 % respectively in the latter two (d 4-6); these then remained constant until the end of storage. Values in Amarilla, on the other hand, remained essentially the same throughout ripening (0.42 % on average). As in all previous cases, maturity stage had no influence on this parameter (Figure 6d).
Large inter-variants differences like the ones detected are not infrequent. For instance, in 102 accessions of dry- and wet-season S. purpurea L., TA varied between 0.1 and 0.74 % (Álvarez-Vargas et al., 2017). The authors attribute this to a combination of different factors, including genetic and environmental ones. In addition, developing fruit have a great capacity to synthesize organic acids in situ (Bollard, 1978; Atkinson et al., 2017) and this was clearly observed in variants Roja and Morada. Despite this, Sampaio et al. (2008) find that TA is higher at the beginning of ripening before decreasing slightly (to 1.1-1.0 % after 6-8 d in the green-mature fruits of a red-pigmented variant from Brazil), while Montalvo-González et al. (2011) report only a steady increase in cv. Lutea.
Taste index (TI)
The TSS/TA ratio or TI increased in all fruit, with obvious differences between variants; however, there was again no clear effect of maturity stage at harvest (Figure 6e). In this case, the highest values were present in Amarilla (initial = 21, final = 32-40), followed by those in Morada (initial = 13.8-15.9, final = 24-28) and Roja (initial = 9.8-10.9, final = 16.8-18.2). Such behavior is mainly attributable to a faster rise in TSS compared to TA (with acidity remaining constant in variety Amarilla) something which differs from the usual decline seen in many fruits during ripening (Wills & Golding, 2016). In this context, it is likely that Amarilla will be perceived as the sweetest, given that it has the highest TI out of the three varieties. Still, other factors such as the sugar-acid balance (which was better in Roja and Morada) also influence consumer acceptance, and thus need to be considered carefully. Finally, only one other report that we know of discusses TI in S. purpurea L. (Sampaio et al., 2008), but it presents similar trends as those in this study (e.g. values of 6.7 and 15-15.7 in fruits at the green-mature and ripe stages, respectively).
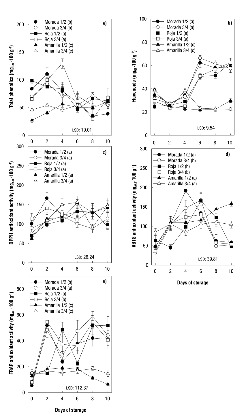
Total phenolic compounds and flavonoids
Total phenolics increased after 2-4 d of ripening, though this was not as clear in Amarilla (40-50 mgGAE∙100 g-1 compared to the 85-130 mg mgGAE∙100 g-1 of both Roja and Morada) (Figure 7a). Concentrations subsequently declined on d 4-6 (to 45-70 mgGAE∙100 g-1) before stabilizing until d 10. Flavonoids, on the other hand, experienced little change until d 4, after which they increased significantly in both Morada and Roja (49-66 mgQE∙100 g-1 combined). The opposite was true for Amarilla, where values first declined (to 22 mgQE∙100 g-1) before remaining constant (Figure 7b).

Figure 7 Phenolics, flavonoids, and antioxidant activity in three variants of S. purpurea L. harvested at ½ and – maturity, and stored at 25 ± 2 °C (60 % relative humidity). Each point represents the mean of six to ten measurements ± standard error. LSD = least significant difference. The same letters within parentheses indicate that the variants do not differ statistically (Tukey, P ≤ 0.05).
The increase in phenolics (first ripening stage, d 2-4) and flavonoids (second ripening stage, d 6-10) observed in Roja and Morada can be attributed to the synthesis of anthocyanins (pigments from the flavonoid group) during the process of ripening. Indeed, Sollano-Mendieta et al. (2011) report concentrations of 2-14 mg equivalents of cyanidin 3-glucoside in 100 g in 12 varieties of red- and purple-pigmented S. purpurea L. In terms of total phenolics, however, intervals of 90-570 mgGAE∙100 g-1 (in 12 variants from the state of Guerrero; Solorzano-Morán et al., 2015), 40.1-221.6 mgGAE∙100 g-1 (in 102 dry- and wet-season accessions; Álvarez-Vargas et al., 2017), 91-190 mgGAE∙100 g-1 (in the variant Cuernavaqueña; Suárez-Vargas et al., 2017), and 123 mgGAE∙100 g-1 (in S. purpurea L. from Brazil; Barreiros et al., 2018) have all been reported thus far. Hence, moderate concentrations of these compounds are likely the norm in fruits of this species, making them important dietary sources of antioxidants. Regarding flavonoids, intervals of 196-369 mgQE∙100 g-1 (in 12 varieties of dry-season S. purpurea L.; Sollano-Mendieta et al., 2011) and 109-215 mgQE∙100 g-1 (in four maturity stages of the ecotype Cuernavaqueña; Suárez-Vargas et al., 2017) are described in the literature, much higher than those obtained in the present work. Thus, genetics and environmental conditions must undoubtedly play a role also.
Antioxidant activity
There were no inter-variants differences in DPPH-determined antioxidant activities (initial = 62-113 mgAAE∙100 g-1, final = 95-145 mgAAE∙100 g-1) as well as no discernable trend (Figure 7c). However, when using the ABTS method, – mature Roja (50 mgAAE∙100 g-1) and Amarilla (100 mgAAE∙100 g-1) fruits differed from all the rest on d 8-10 (Figure 7d). A more discernable trend appeared using the FRAP method; in this case, antioxidant activities increased both in Roja and Morada (initial = 50-151 mgAAE∙100 g-1, final = 400-500 mgAAE∙100 g-1 on d 8-10), albeit with moderate fluctuations. On the other hand, values hardly changed in Amarilla (150-190 mgAAE∙100 g-1 during the longest ripening period), although they did decrease more noticeably after d 6, eventually reaching 62-141 mgAAE∙100 g-1 on d 10 d (Figure 7e).
Only FRAP-determined antioxidant activities were consistent with the levels of secondary metabolites in each variety. For instance, activities in Roja and Morada coincided with color development (i.e. with the production of anthocyanins) and with the rise and fall of both phenolics (peak levels on d 2-4) and flavonoids (peak levels on d 6-10). Conversely, variety Amarilla presented the least amount of activity due to the small quantities of these compounds throughout all of ripening. FRAP-determined antioxidant activities were also higher than those obtained by either the ABTS or DPPH methods. In fact, the results of these two assays were very similar - something which contradicts prior reports that find ABTS-determined activities to be greater than those obtained by the DPPH method. This is presumably because in the former (ABTS method), both aqueous and lipid molecules react (Sollano-Mendieta et al., 2011).
Conclusions
Inter-variants differences in the fruit of S. purpurea L. make general recommendations on postharvest management difficult. However, adequate control of temperature, relative humidity, and transpiration-associated WL (e.g. the application of edible coatings or of modified atmosphere packaging) is essential in all three variants. Apart from this, the use of refrigeration to increase postharvest life is perhaps more relevant for Roja, whereas handling and transportation will likely cause less physical damage to Morada. On the other hand, Amarilla will almost certainly be perceived as the sweetest given its specific content of TSS, TA, and TI (though the actual sugar-acid balance is much better in Roja and Morada). Roja and Morada are also more likely to be accepted by the health-conscious consumer given their higher content of phenolics and flavonoids (which result in higher antioxidant activities) compared to Amarilla.










texto en 



