Servicios Personalizados
Revista
Articulo
Indicadores
Links relacionados
-
Similares en
SciELO
Compartir
Revista mexicana de ciencias geológicas
versión On-line ISSN 2007-2902versión impresa ISSN 1026-8774
Rev. mex. cienc. geol vol.24 no.3 Ciudad de México dic. 2007
Sección especial
Formation of aggregates and carbon sequestration in ameliorated tepetates in the Río Texcoco basin, Mexico
Formación de agregados y secuestro de carbono en tepetates rehabilitados de la cuenca del Río Texcoco, México
Aurelio BáezPérez1*, Jorge D. EtcheversBarra1, Christian Prat2, and Claudia HidalgoMoreno1
1 Colegio de Postgraduados, Campus Montecilllo, Km. 36.5 Carretera MéxicoTexcoco 56230 Montecillo, Estado de México, México. * pbaez@colpos.mx
2 Institut de Recherche pour le Développement (IRD), 34093 Montpellier, Cedex 05, France.
Manuscript received: October 20, 2005
Corrected manuscript received: December 11, 2006
Manuscript accepted: February 23, 2007
ABSTRACT
In many states of central Mexico, hardened volcanic materials called tepetate (hardened layers from tuff) cover large proportions of the land surface, and are therefore of economic and social importance. Under natural conditions, tepetates are unproductive due to their hardness and low porosity, but they can be used agriculturally after the hardened layer is broken up and fertilizer and organic matter are added. Just broken up tepetate consists of angular clods of the original consolidated material of various sizes and they are devoided of aggregates. Because of the scarce presence of organic matter, these fragmented tepetates present low availability of N and P, limited water infiltration, and small water holding capacity. Additions of manure and cultivation of Leguminosae aim to improve the physical properties of tepetates and particularly to promote the formation of aggregates. Such ameliorated tepetates alleviate the demand for agricultural land. The aim of this study was to evaluate the formation of aggregates from initially broken up and fragmented tepetates, their dry and wet stability, and the distribution of organic carbon in aggregates and fragments of different sizes in tepetates cultivated between 1 and 100 years. The tepetates were arbitrarily classified as (I) recently broken up; (II) affected by severe erosion; (III) cultivated mostly under monoculture; (IV) cultivated with Leguminosae for at least 20 years and receiving approximately 2 Mg•ha1 of farm yard manure (FYM) per year; (V) cultivated under notillage and few external inputs; (VI) cultivated with cereals and Leguminosae and receiving more than Mg•ha1 per year of FYM; (VII) Used as greenhouse bed; (VIII) cultivared with notillage and approximately 5 to 10 Mg•ha1 of FYM; (IX) used as greenhouse bed and addition of approximately 2 Mg•ha1 of composted wood residues per year. In addition to the above mentioned tepetates, two agricultural soils: one managed with traditional tillage (X) and a second with no tillage (IX) were included as checks. We collected 97 samples of tepetates and four soils in the Basin of the Río Texcoco and neighboring communities. The aggregate stability test overestimated stable aggregates due to the presence of remaining hard fragments of tepetates of different size; the hardness of the latter was one to three times greater than that of the aggregates. The relative amount of stable aggregates increased with the time of cultivation, approaching 80% after 100 years. The recently broken up tepetates contained only little of C, whereas stable aggregates showed one to three times larger concentration. The accumulation of C with time in tepetate fragments was small, in contrast to the aggregates formed in the same period. The accumulation of organic C was larger in smaller aggregate particles and followed logarithmic or potential models. The results of this study show that ameliorated tepetates have the potential to store carbon. However, the accumulated amount of C depends on the aggregate formation, which in turn is related with the agricultural management. Classes VII, VIII y IX produced more stable aggregates and thus accumulated more carbon.
Key words: hardened volcanic soils, tepetates, rehabilitation, organic matter storage, aggregate stability, Río Texcoco basin, Mexico.
RESUMEN
En muchos estados del centro de México afloran materiales volcánicos endurecidos conocidos localmente como tepetates, que por su amplia distribución son de importancia económica y social. Los tepetates son poco productivos bajo condiciones naturales, ya que están compactados y tienen pocos poros, pero una vez roturados y después de aplicar fertilizantes y abonos orgánicos, es factible utilizarlos en la agricultura. Tepetates recientemente roturados consisten de fragmentos angulares de diferentes tamaños y no presentan agregados. Tienen muy poca materia orgánica, por lo que la disponibilidad de N y P es muy baja, al igual que la infiltración del agua y la capacidad de retención de humedad. La aplicación de abonos orgánicos y el cultivo de leguminosas mejoran las propiedades físicas de los tepetates, y sobre todo, promueven la formación de agregados. El objetivo del presente trabajo fue evaluar la formación de agregados en tepetates recién roturados y cultivados durante 1 y 100 años, determinar su estabilidad en seco y en húmedo y medir el contenido de carbono orgánico en agregados y fragmentos en función de su tamaño. Las parcelas de tepetates de la región se clasificaron arbitrariamente en las siguientes clases: (I) recién roturadas; (II) afectadas por erosión severa; (III) cultivadas dominantemente bajo monocultivo; (IV) cultivadas con leguminosas durante por lo menos 20 años y con adiciones de 2 Mg•ha1 de estiércol cada año; (V) cultivadas con labranza mínima y con bajos insumos adicionales; (VI) cultivadas con cereales y leguminosas y adicionando más de 10 Mg•ha1 de estiércol por año; (VII) utilizadas como cama de siembra en invernaderos; (VIII) cultivadas bajo labranza mínima y con adiciones de 5 a 10 Mg•ha1 de estiércol; (IX) tepetates utilizados como cama de siembra en invernaderos y con adiciones de 2 Mg•ha1 de compostas de residuos de madera cada año. Adicionalmente se incluyeron dos parcelas de suelos agrícolas como testigos: una bajo labranza mínima (X) y otra sin labranza alguna (IX). Colectamos 97 muestras de tepetates y cuatro muestras de suelos agrícolas en la cuenca del río Texcoco y en las comunidades aledañas. La prueba de estabilidad de agregados sobreestimó la presencia de agregados estables, dado que no discriminó entre agregados y fragmentos; la dureza de estos últimos fue una a tres veces superior a la de los agregados. La cantidad relativa de agregados estables se incrementó con el tiempo bajo cultivo y alcanzó 80% después de 100 años. Los tepetates recién roturados mostraron bajos contenidos de carbono orgánico, mientras que los agregados estables tenían concentraciones entre 1 y 3 veces mayores. La tasa de acumulación de carbono en fragmentos de tepetates fue muy baja en comparación con aquella en agregados formados durante el mismo tiempo bajo cultivo. La mayor acumulación de carbono se observó en agregados pequeños y siguió un comportamiento logarítmico o potencial. Los resultados demuestran que tepetates rehabilitados tienen potencial para secuestrar carbono. Sin embargo, la cantidad de carbono acumulada depende de la formación de agregados, la cual a su vez depende del manejo. Las clases de manejo VII, VIII y IX producen más agregados estables y acumulan más carbono.
Palabras clave: suelos volcánicos endurecidos, tepetates, rehabilitación, acumulación de materia orgánica, estabilidad de agregados, cuenca del Río Texcoco, México.
INTRODUCTION
Tepetates are volcanic tuffs hardened by geological or pedological processes (Miehlich, 1992; Etchevers et al., 2006). The tuff layers are covered by soils of different thickness. When the topsoil is eroded by natural erosion, or more usually by anthropogenic activity, tepetates are exposed. Tepetates are located in piedmont areas of the Transmexican Volcanic Belt (TMVB), which have a thermic soil temperature and an ustic soil moisture regime. The areas estimated to have exposed tepetates in the TMVB cover approximately 30,000 km2 (Zebrowski, 1992). These areas are densely populated and the need of agricultural land is great. A number of marginalized communities that practice subsistence agriculture in the states of Mexico and Tlaxcala have turned these materials into productive lands since ancient times (HernándezXolocotzi, 1987).
Under natural conditions, tepetates have a small total porosity and aeration capacity, a slow water infiltation, and the vegetation cover is scarce. They can be used agriculturally if they are broken up and if appropriate management practices are implemented (NavarroGarza and Zebrowski, 1992; Báez et al., 1997; Navarro and Flores, 1997; Prat and Báez, 1998). These materials also have small N and P contents (EtcheversBarra et al., 1992). Nutritional problems can be compensated in the short term by chemical and organic fertilization. However, a longer time period is required to improve the physical structure of the substrate. This characteristic can be enhanced by appropriate cultural practices.
According to Werner (1992) tepetates that were broken up by heavy machinery show numerous large pores (>120 µm) and cracks, but the relative amount of small and mediumsized pores (0.2 to 10 µm), which are largely responsible for the storage of available water for crops, is limited. The larger pores are reduced by subjecting the substrate to mechanical compaction (Werner, 1992). This author states that this practice generates a total porosity of approximately 50%, distributed as follows: 20% of large, 20% of mediumsized and 10% of fine pores in the broken up layer which is initially constituted only by fragments. One of the problems arising with broken up materials is that heavy rains form surface coatings of outwashed fine particles that seal pores and reduce water filtering and aeration (Lauffer et al., 1997). The erosion of fine particles is due mainly to the instability of the fragmented material, which can be attributed to the lack of organic carbon, as it occurs in deteriorated soils (Elliot, 1986; Angers and Mehuis, 1989; Beare et al., 1994). Surface sealing inhibits the emergence of small seeds (barley, wheat, vicia, etc), delay the emergence of larger seeds (maize, beans, broad beans, ayocote, etc.) and favors runoff and thus erosion.
Recently broken up tepetates are composed of fragments (angular clods of various sizes of the original consolidated material), which contain very small amounts of organic matter (EtcheversBarra et al., 1992). The addition of organic matter should contribute to the formation of aggregates (the basic structural unit of soil formed by sand, silt and clay paticles plus cementing agents), as it does in traditional soils. Formation of stable aggregates results in improvement of physical, chemical and biological properties and contributes to the sequestration of carbon. Aggregation results from interactions of mineral and organic soil fractions. Organic cementing agents are natural polymers, bacteria, fungi, etc., and inorganic materials as clays, carbonates and silica (Tisdall and Oades, 1982). Aggregates of different size, shape, porosity, mechanical resistance and water resistance conform soil structure (Kaurichev, 1984). The objective of this study was to evaluate the formation of aggregates, their wet and dry stability, and the distribution of C in aggregates and fragments of different sizes. We compared ameliorated tepetates cultivated for different lengths of time under different conditions and management systems. Our investigation contributes to quantify the C sequestration potential of ameliorated tepetates and helps to identify those agricultural practices that best promote the C increase in soils and favor the formation of stable aggregates.
MATERIALS AND METHODS
The study was carried out on the northwest hillside of the Sierra Nevada, State of Mexico (at 98° 45' 98° 50' longitude W, and 19° 27' 19° 32' of latitude N, between 2,300 and 2,900 m of altitude. The study region has a ustic to udic moisture regime, with 600 to 900 mm rainfall per year that falls mostly in summer (Quantin et al., 1993). According to oral sources, local farmers began to break up small tepetate plots with picks and shovels at the end of the 19th century, whereas in the middle of the 20th century heavy machinery was employed for the same purpose, but at a small scale. It was in 1970 that the federal and state governments implemented large scale reforestation programs in degraded areas with outcropping tepetates, in order to protect the downstream settlements from flooding (PimentelBribiesca, 1992). Thanks to these efforts, there are plots in the region with tepetates ameliorated since 0 years and up to almost 100 years, and which have been cultivated under different management practices.
In order to collect information about the history of the plots, a survey was carried out. It included interviews about the time of use, the type of crops cultivated, the management of harvest residues and other organic materials (these data are not reported here). At the same time, a general characterization of the sites was done. We selected 101 plots (97 tepetates and four soils) with reliable land use records and covering different management systems. Management systems and tepetate conditions were grouped into nine arbitrary classes according to the time since the tepatete was broken up, the severity of erosion, the type of rotation, the type of tillage and the addition of residues (Table 1).
At each plot we collected samples from 0 to 20 cm depth for carbon analysis in different particle size fractions. These fractions were composed of aggregates plus fragments. Each sample was composed of 22 subsamples. For the evaluation of C content and hardness in aggregates and fragments of different size, a second soil sample was collected from a 20x20x20 cm volume from each plot. This sample was composed of five subsamples (8,000 cm3) and it was air dried before analysis.
Air dried samples were sieved to obtain 13 size classes: 50.831.7, 31.722.2, 22.211.5, 11.56.35, 6.354.76, 4.763.36, 3.362.00, 2.001.00, 1.00v0.46, 0.460.25, 0.250.10, 0.100.05 and < 0.05 mm. Each of these classes was composed of a mix of aggregates and fragments that cannot be easily separated. The dry (DSA) and wet (WSA) stability of these fractions was determined by a modified Kemper and Rosenau (1986) method. Five to six kilograms of soil sample were sieved applying manual shaking to prevent the disruption of the most fragile aggregates. The C concentration of each fractions was measured by the dry combustion technique (Shimadzu, TOC5050A model) in an aliquot. Afterwards, we noticed that it was important to differentiate between aggregates formed by pedogenesis and fragments of the original tepetate. Therefore, we also measured the relative amount of aggregates and fragments present in a small number of fractions: >50.3, 50.322.2, 22.211.3, 11.36.30, 6.304.25, and 4.253.36 mm. The differentiation between fragments and aggregates was done visually and according to their hardness, which was measured with a manual penetrometer. Carbon content was also measured in fragments and aggregates of these classes using the same method as indicated above.
The number of plots sampled in each management class was unequal (see Table 1). Whenever possible, the standard deviation associated with the mean of each variable was calculated. The response variables (dry and wet stability of aggregates in each fraction class, their hardness, and the concentration of carbon) were plotted separately for each management class.
RESULTS AND DISCUSSION
Stability of fractions containing fragments and aggregates
The wet (WSA) and the dry (DSA) stability of these fractions ranged from good to excellent, according to the classification system by Kaurichev (1984) (Figure 1). However, the results must be taken with care since the reported stability can not only be attributed to aggregates, as the substrate contains fragments of the original material, which do not meet the criteria required to be classified as aggregates.
The aggregates and fragments of the management classes II, III, IV and VI, in which traditional tillage is practiced (fallow, disking, ploughing) did not resist the WSA test. The WSA test simulates disintegration forces and quantifies the amount of aggregates resistant to such forces (Montenegro and Malagón, 1990 ). Remains of fragments were visible in the sifters. Fragments turned out to be resistant to vibratory forces and dampening because of their hardness, which on average was one to three times stronger than that of aggregates. The C accumulated in these classes of management varied from traces to up to 20 g•kg1.
Aggregates and fragments resisting the WSA test were found for the agricultural systems with notillage and greenhouse beds (classes VII, VIII and IX). However, the amount of resistant aggregates was small (12 to 15% larger than in the previous cases). Again results were affected by the presence of fragments having the same size as that of aggregates. Class VIII corresponded to an irrigated plot without any tillage cultivated with ornamental plants (agapando, Agapanthus africanus Hoffmans), medicinal plants and fruit trees for more than 60 years, receiving regularly organic fertilizers. The latter resulted in a concentration 42 g•kg1 of carbon.
The agricultural systems showing the highest WSA results had large concentrations of C in the stable fractions. This result suggests a relation between organic C and aggregate stability (Angers and Chenu, 1998; Jastrow and Miller 1998). Inadequate management practices can cause loss of C and deteriorate soil structure. That leads to disintegration of the substrate and break down of aggregates exposed to the forces arising from tillage, erosion, dampening and drying (Mann, 1986). In the case of the tepetates traditionally managed, the lack of conservation practices, excessive tillage, constant growing of cereals crops, removal of crop residues and scarce to no incorporation of organic matter limit the formation of stable aggregates.
Concentration of C and its distribution according to particle size
The concentration of C in particles of different sizes (aggregates plus fragments) increased with deceasing size (Figure 2). The coefficients of determination of the models fitted to the relation mean diameter of fragments and aggregates versus organic carbon were all relatively high (R2 >0.80). The differences in C among particles larger than 10 mm in the different agricultural systems were small, however the differences were larger as the particle size decreased (<10 mm) (see Figure 2). The C content was larger in particles with diameters smaller than 3 or 4 mm than in larger particles, but the greatest C accumulation occurred in particles smaller than 0.25 mm. Evidently, the management practices affected the C accumulation. Recently broken up tepetates had only little C, whereas under intensive management in the greenhouse the smallest particles contained up to 45 g•kg1 of C.
Accumulation of carbon in fragments and aggregates
A clear difference was observed between C in fragments and aggregates in those fractions where these particles were manually separated (Figure 3). In the recently broken up tepetates which consisted only of fragments, C was practically not detectable. Fragments always showed less C than the aggregates of the same size. The concentration of C was larger as particles were smaller. This was true for both fragments and aggregates. The difference of C in the former and the latter depended on the management. In the monoculture of cereal, the C content was small whilst in the management with greenhouse bed aggregates contained three times more C than fragments. Carbon tends to accumulate especially in microaggregates (Kong et al., 2005).
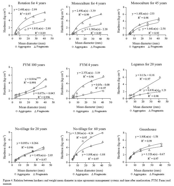
Hardness of fragments and aggregates
The hardness of fragments and aggregates increased logarithmically with the mean diameter of particles (Figure 4). In traditional tillage, fragments were harder than aggregates, and as diameter increased, so did hardness. The system with notillage for 20 years showed a similar hardness in both fractions, whereas the agricultural management systems with notillage for 60 years and greenhouse had aggregates that were harder than fragments. This is because these classes of management had a higher concentration of C, as mentioned before. Aggregates accumulated one to three times more C and had a smaller mechanical resistance than fragments (Figure 5).
Classes of agronomic management and organic carbon
The concentration of C in the broken up tepetates is related to the management (Figure 6). Systems with organic fertilization cultivated with Leguminosae and not subjected to tillage (notillage) or as greenhouse beds had larger concentrations of carbon. This has been previously shown for tepetates by BáezPérez et al. (2002). The comparison of C concentration of cultivated tepetates with the C in true soils used as reference leads to conclude that the former have the potential to sequester C after being broken up and cultivated.
Figure 7 shows the C content in aggregates and in fragments for nine particular plots, which are representative of each management class. In recently broken up tepetates, that still have not formed aggregates, only traces of C were found in fragments. In contrast, in cultivated tepetates C was mainly present in the aggregates. The accumulation of C herein depended on the time of cultivation and the agronomic management; it was small in cereal monoculture and increased when organic fertilizers were regularly applied. Notillage showed greater efficiency in the accumulation of C and the C content was similar to that found in the tepetate cultivated for more than 100 years and receiving regularly addition of manure. The traditional tillage (fallow, disking, hilling) favor C mineralization, whereas in notillage plots the organic matter remaining on the soil surface reduces evaporation, temperature and the exchange of gases, thus reducing mineralization in the underlying soil (Reicosky and Lindstrom, 1993). Under notillage (plot cultivated with agapando for more than 20 years), fragments had more than twice as much C as the other agricultural systems. The latter crop has strong roots and penetrate tepetate fragments. This was visible for the larger tepetate fragments and also for the smaller ones when examined under a microscope.The direct contact of agapando roots with the tepetate fragments favored biological activity and C accumulation. This has been studied by De LeónGonzález et al. (2006).
Production of aggregates and crop cultivation time
A logarithmic increase of aggregates and fragments larger than 3.36 mm was observed, beginning in year zero (recently broken up) and reached up to 80% after 100 years in tepetates cultivated with conventional tillage, Leguminosae, and regular addition of organic fertilizers (Figure 8). The amount of DWS increased rapidly during the first five years of cultivation, then slowed down. On the other hand, fragments decreased as aggregates increased.

With improved root penetration, and water and oxygen availability, the biological activity increases (ÁlvarezSolís et al., 2000). Biological activity favors the production of organic compounds such as polysaccharides that agglutinate soil particles to form soil aggregates (Oades and Waters, 1991). The rate of formation also depends to a great extent on the temperature and moisture, which in turn control the biological activity.
In the case of cultivated tepetates, conventional tillage (fallow, disking, hilling) has a higher disrupting effect on aggregates. The production of aggregates thus is limited by their mechanical disintegration. In contrast, in both tepetates without tillage and subjected to a management as greenhouse bed, which received frequent addition of organic matter and less energy input the aggregates showed higher hardness (see Figure 4).
CONCLUSIONS
The stability of aggregates was overestimated due to the presence of fragments of the same size than aggregates, that are harder than the latter. The proportion of aggregates increased with the time of cultivation (1 to 100 years) reaching 80% after 100 years. Tepetate fragments contained only traces of C, whereas aggregates showed concentrations one to three times larger. In fragments, the accumulation of C with time of cultivation was small, contrasting with that in aggregates. The accumulation of organic C was increased with decreasing particle size; the trend was either logarithmic or potential. The results of this study reveal that tepetates have the potential to store C. However, the percentage of C in the aggregates depends on the agricultural practice. The most effective agricultural systems to store C were notillage and the tepetates used as greenhouse bed, with average C concentrations of 30 to 40 g•kg1.
ACKNOWLEDGMENTS
The authors would like to acknowledge the financial support of CONACYT (Project 40899 Z) and the European Union (REVOLSO Project ICA4CT20010052), as well as the suggestion to improve this manuscript made by the editors and anonymous reviewers.
REFERENCES
ÁlvarezSolís, J.D., FerreraCerrato, R., EtcheversBarra, J.D., 2000, Actividad microbiana en tepetates con incorporación de residuos orgánicos: Agrociencia, 34, 523532. [ Links ]
Angers, D.A., Mehuis, G.R., 1989, Effects of cropping on carbohydrate content and water stable aggregation of a clay soil: Canadian Journal of Soil Science, 69, 373380. [ Links ]
Angers, D.A., Chenu, C., 1998, Dynamics of soil aggregation and C sequestration, in Lal, R., Kimble, J.M., Follet, R.F, Stewart, B.A. (eds.), Soil Processes and the Carbon Cycle: Boca Raton, FL, CRC Press, 199205. [ Links ]
Báez, A., Ascencio, E., Prat, C., Márquez, A., 1997, Análisis del comportamiento de cultivos en tepetate t3 incorporado a la agricultura de temporal, Texcoco, México, in Zebrowski, C., Quantin, P., Trujillo, G. (eds.), Suelos Volcánicos Endurecidos, III Simposio Internacional, Quito, December 1996: Quito, Ecuador, Unión Europea (UE), Institut Français de Recherche Scientifique pour le développement en Coopération (ORSTOM), Pontificia Universidad Católica del Ecuador (PUCE), Universidad Central del Ecuador (UCE), 296310. [ Links ]
BáezPérez, A., EtcheversBarra, J.D., HidalgoMoreno, C., Prat, C., OrdazChaparro, V., NúñezEscobar, R., 2002, Organic C and OlsenP in cultivated tepetates of México: Agrociencias, 36, 643653. [ Links ]
Beare, M.H., Hendrix, F.P., Coleman, D.C., 1994, Waterstable aggregates and organic matter fractions in conventional and no tillage soil: Soil Science Society of America Journal, 58, 777786. [ Links ]
De LeónGonzález, F., CeladaTornel, E., HidalgoMoreno, C.I., EtcheversBarra, J.D., GutiérrezCastorena, M.C., FloresMacías, A., 2006, Rootsoil adhesion as affected by crops species in a volcanic sandy soil of Mexico: Soil and Tillage Research, 90, 7786. [ Links ]
Elliot, E.T., 1986, Aggregates structure and carbon, nitrogen, and phosphorus in native and cultivated: Soil Science Society of America Journal, 50, 627633. [ Links ]
Etchevers, J.D., Hidalgo, C., Prat, C., Quantin, P., 2006, Tepetates of Mexico, in Encyclopedia of Soil Science: New York, USA, Marcel Dekker, 17451748. [ Links ]
EtcheversBarra, J.D., Cruz, H.L., Mares, A.J., Zebrowski, C., Fertilidad actual y potencial de los tepetates de la vertiente occidental de la Sierra Nevada (Mexico): Terra, 10, 379384. [ Links ]
HernándezXolocotzi, E., 1987, Etnobotánica de Tlaxcala, in RuizFigueroa, J.F. (ed.), Uso y manejo de los tepetates para el desarrollo rural: Chapingo, Estado de México, Universidad Autónoma Chapingo, 18. [ Links ]
Jastrow, J.D., Miller, R.M., 1998, Soil aggregate stabilization and sequestration: Feedbacks through organomineral associations, in Lal, R., Kimble, J.M., Follet, R.F, Stewart, B.A. (eds.), Soil Processes and the Carbon Cycle: Boca Raton, FL, CRC Press, 207223. [ Links ]
Lauffer, M., Leroux, Y., Prat, C., Janeau, J.L., 1997, Organización superficial de los tepetates cultivados, Texcoco (México), in Zebrowski, C., Quantin, P., Trujillo, G. (eds.), Suelos Volcánicos Endurecidos, III Simposio Internacional, Quito, December 1996: Quito, Ecuador, Unión Europea (UE), Institut Français de Recherche Scientifique pour le développement en Coopération (ORSTOM), Pontificia Universidad Católica del Ecuador (PUCE), Universidad Central del Ecuador (UCE), 443456. [ Links ]
Mann, L.K., 1986, Changes in soil carbon storage after cultivation: Soil Science, 142, 279288. [ Links ]
Miehlich, G., 1992, Formation and propierties of tepetate in the central highlands of Mexico: Terra, 10, 136144. [ Links ]
Montenegro, H. Malagón, D., 1990, Propiedades físicas de los suelos: Bogota, Colombia, Instituto Geográfico "Agustín Codazzi". Subdirección Agroecológica, 183228. [ Links ]
NavarroGarza, H., Zebrowski, C., 1992, Análisis agronómico comparativo en tepetates: Terra, 10 (Número especial), 451459. [ Links ]
Navarro, H., Flores, D., 1997, Manejo agronómico diferencial de la asociación maízhaba en tepetate de quinto año de uso agrícola, in Zebrowski, C., Quantin, P., Trujillo, G. (eds.), Suelos Volcánicos Endurecidos, III Simposio Internacional, Quito, December 1996: Quito, Ecuador, Unión Europea (UE), Institut Français de Recherche Scientifique pour le développement en Coopération (ORSTOM), Pontificia Universidad Católica del Ecuador (PUCE), Universidad Central del Ecuador (UCE), 287295. [ Links ]
Kaurichev, I.S., 1984, Prácticas de edafología: Moscú, Rusia, Editorial Mir, 7985. [ Links ]
Kemper, W.D., Rosenau, R.C., 1986, Aggregates stability and size distribution, in Klute, A. (eds.), Methods of Soil Analysis, Part 1. Physical and mineralogical methods: Madison, WI, American Society of Agronomy (ASA), Agronomy Monographs 9(1), 2nd ed., 425442. [ Links ]
Kong, A.Y.Y., Six, J., Bryant, D.C., Denison, R. F., van Kessel, C., 2005, The relationship between carbon input, aggregates and soil organic cabon stabilization in sustainable cropping systems: Soil Science Society of America Journal, 69, 10781085. [ Links ]
Oades, J.M., Waters, G.A., 1991, Aggregates hierarchy in soil: Australian Journal Soil Research, 29, 815828. [ Links ]
PimentelBribiesca, L., 1992, Como hacer productivos los tepetates en México: Terra, 10, 1523. [ Links ]
Báez, A., Ascencio E., Prat C. Márquez, A., 1998, Conditions de mise en culture d'un tuf volcaniqueinduré (tepetate) au Mexique, in 16th World Congress of Soil Science, Proceedings (in CDROM): Montpellier, Francia, Institut Français de Recherche Scientifique pour le Développement en Coopération (ORSTOM), Enregistrement scientifique n° 2547, Symposium n° 38 [ Links ]
Quantin, P., Arias, A., Etchevers, J., Ferrera, R., Olechko, K., Navarro, H., Werner, G., Zebrowski, C., 1993, Tepetates de México: Caracterización y Habilitación para la Agricultura: Terra, 11, 1113. [ Links ]
Reicosky, D., Lindstrom, M., 1993, Effect of fall tillage on short term carbon dioxide flux from soil: Agronomy Journal, 85, 12371243. [ Links ]
Tisdall, J., Oades, J., 1982, Organic matter and waterstable aggregates: Journal of Soil Science, 33, 141163. [ Links ]
Werner, G., 1992, Suelos volcánicos endurecidos (tepetates) en el estado de Tlaxcala: Distribución, rehabilitación, manejo y conservación: Terra, 10 (Número especial), 318331. [ Links ]
Zebrowski, C., 1992, Los suelos volcánicos endurecidos en América Latina: Terra, 10, 1523. [ Links ]













