Servicios Personalizados
Revista
Articulo
Indicadores
-
Citado por SciELO -
Accesos
Links relacionados
-
Similares en
SciELO
Compartir
Revista latinoamericana de química
versión impresa ISSN 0370-5943
Rev. latinoam. quím vol.40 no.2 Naucalpan de Juárez ago. 2012
Algunas reflexiones actuales sobre la herbolaria prehispánica desde el punto de vista químico
Tirso Ríos Castillo, Leovigildo Quijano, Ricardo Reyes Chilpa
Instituto de Química, Universidad Nacional Autónoma de México. Circuito Exterior, Ciudad Universitaria, Coyoacán 04510 México D. F. *Correspondencia: quijano@unam.mx, chilpa@ unam.mx.
Recibido Junio 2012
Aceptado Octubre 2012
Resumen
Bernardino de Sahagún, Martin de la Cruz y Francisco Hernández compilaron durante el siglo XVI los conocimientos herbolarios de los antiguos habitantes del territorio mexicano. Sus extraordinarios trabajos son verdaderas ventanas en el tiempo que permiten conocer el saber médico y botánico en la época precolombina. En este artículo presentamos una breve semblanza de las vidas y obras de estos autores, así como una breve revisión química y de las propiedades biológicas de algunas especies vegetales que ellos registraron, en especial Montanoa tomentosa (Asteraceae) conocida hace 500 años como "cihuapatli" = "medicina de mujer". Varios de estos compuestos explican racionalmente, ya sea en todo o en parte, sus antiguas aplicaciones médicas.
Abstract
Bernardino de Sahagún, Martin de la Cruz, and Francisco Hernández compiled during the XVI century the herbal understanding of the habitants of the current Mexican territory. Their extraordinary works are real a window in time to pre-Columbian medical and botanical knowledge. In this contribution we briefly review their lives and writings, as well as, the chemistry and biological properties of plant species that they recorded, mainly Montanoa tomentosa (Asteraceae) known 500 years ago as "cihuapatli" = "women's medicine". Several compounds explain whole or in part its ancient medicinal applications.
Keywords: Herbolaria precolombina, Mexico, Asteraceae, Montanoa tomentosa, Diterpenos, Lactonas Sesquiterpénicas.
Introduccion
Como es bien sabido, a lo largo del continente americano se gestaron y desarrollaron diferentes civilizaciones, como la olmeca, tolteca, mixteco-zapoteca, maya-quiche, incas, aymaras, entre otras, en las cuales florecieron la ciencias y las artes, destacando en materias como la astronomía, las matemáticas, la arquitectura, la medicina, la metalurgia, etc. Estas desarrollaron la agricultura para beneficio del hombre, domesticando el maíz, fríjol, chile, calabaza, pimienta, papa, jitomate, cacao y vainilla. En nuestro país, la última gran civilización fue la azteca, que tan solo perduró dos siglos de 1325 a 1521, tiempo apenas suficiente para surgir de los tulares de las lagunas del Valle de México, someter a su rivales, desarrollarse y ser vencida. Los aztecas fueron guerreros, artistas y poetas, tenían en gran estima el registro de todo lo que consideraban bello o importante y de ello dejaron constancia en el "Huehuehtlahtolli" -Testimonios de la Antigua Palabra, texto en el cual resumieron su sabiduría cotidiana (León Portilla, 1999), y donde se refieren a sus códices de esta forma: "El dechado, el ejemplo, lo admirable, lo que es raíz, lo que tiene significado, tinta negra, tinta roja, el libro, lo pintado, lo que pintaron, lo que escribieron: nunca se olvida, nunca perece, su gloria, su fama, su nombre, su historia." El cronista de Indias Fray Diego Durán coincidió "...todo lo tenían escrito pintado en libros y largos papeles con cuentas de años, meses y días en que habían acontecido... sus leyes y sus ordenanzas, sus padrones, todo con mucho orden y concierto..."
Sin embargo, como si se tratase de un fatal cataclismo ya previsto, cosa usual en el pensamiento de los antiguos mexicanos, que por entonces habitaban en la era del quinto sol, la gran Tenochtitlan -la ciudad del nopal sobre la piedra- (Reyes-Chilpa, 1982) sucumbió el 13 de agosto de 1521 frente al poder de la pólvora y el hierro de los españoles, pero sobre todo frente a las legiones de sus enemigos indígenas. Pocos años después, un pequeño grupo de frailes franciscanos, entre ellos Fray Bernardino de Sahagún, se embarcaron rumbo al nuevo mundo (1529) y dieron luz a la formación de una nueva nación. Durante la travesía, Sahagún de inmediato llegó a dominar con maestría el lenguaje al entrar en comunicación con los indígenas enviados por Cortés a España que venían de regreso a América; con el tiempo seria la principal autoridad en la historia, la religión, las costumbres, las plantas, animales, en suma, la cultura azteca, que apenas se había develado a los ojos de la Europa renacentista a través de los relatos de los cronistas de Indias. La obra de Fray Bernardino fue extensa, una labor enciclopédica. Gracias a su empeño, las generaciones posteriores pueden conocer la historia antigua de esta grandiosa cultura ya desaparecida, así como su concepción del mundo y el universo, es decir su cosmovisión.
Otros hombres de luces, como el indígena Martín de la Cruz y el español Francisco Hernández, también dejaron constancia de los conocimientos que los antiguos mexicanos tenían de la naturaleza, el cuerpo humano, las enfermedades y la terapéutica, en particular de la herbolaria. Gracias a sus obras, cuya supervivencia fue un verdadero milagro, hoy día podemos constatar que conocimientos perduraron y cuales han desaparecido a lo largo de los siglos, esto mediante la memoria oral contemporánea que los etnobotánicos recogen pacientemente de los médicos tradicionales y del pueblo mismo. Además, dicho legado permite examinar desde el punto de vista químico la materia médica vegetal prehispánica.
Mucho se ha discutido el papel de la cosmovisión indígena, la cual incluye el pensamiento mágico y religioso, como fundamento de la herbolaria indígena, circunstancia que haría prácticamente inútil la indagación científica; pero, al estudiar esas plantas desde el punto de vista químico, con sorpresa podemos constatar que muchas veces estos "remedios" descubiertos mediante el procedimiento de ensayo y error, es decir empíricamente, poseen compuestos químicos con actividad farmacológica que pueden explicar racionalmente las antiguas aplicaciones médicas (Ortiz de Montellano, 1975; Bejar et al, 2000). Como ejemplo, presentamos la química de Montanoa tomentosa (Asteraceae), hierba que los antiguos autores aquí reseñados conocieron como "cihuapatli" (medicina de mujer) y hoy día nombrada popularmente como "zoapatle". También revisamos someramente la química de Casimiroa edulis Llave et Lex, el cochitzapotl o iztactzapotl (zapote del sueño o zapote blanco), así como de Datura spp ("Toloaches") y Psacalium decompositum ("Matarique"). Sin embargo, esta reseña estaría incompleta sin relatar brevemente las vidas y obras de aquellos que permitieron que la memoria de un pueblo no se extinguiera.
1.- Bernardino de Sahagún (1499-1590)
Fray Bernardino nació en 1499 en la Villa de Sahagún, España. Tras su estancia en la cúspide intelectual de su tiempo, la Universidad de Alcalá y la de Salamanca, llega a México como sacerdote en 1529. Fue misionero de dos mundos, es el iniciador de una hazaña que no se ha vuelto a repetir en la historia. Es considerado un hombre excepcional por su titánica tarea de rescate etnográfico de la cultura indígena. Trató de ir a la investigación directa con los indios "sabios y viejos", quienes le dictaron la moribunda sabiduría de sus ancestros transmitida de generación en generación, recogida a través del oído y perpetuada por la palabra y la pintura, así como por la consulta de códices hoy perdidos. Cierto es que en un principio, la mayoría de los sacerdotes reaccionaron horrorizados ante la barbarie de los sacrificios humanos, por lo que trataron de borrar todo esto y su historia destruyendo sus códices, de los que se salvaron solamente veinticinco que se encuentran en los acervos de los principales museos del mundo (nueve aztecas, trece mixtecos, y tres mayas y tal vez algunos más -aún no descubiertos-). Pero la corriente principal de estos franciscanos entendió que la historia y sabiduría de los pueblos mesoamericanos no debía de perderse. Fray Bernardino murió el 5 de febrero de 1590 en el convento de San Francisco en la Ciudad de México.
La obra magistral de Bernardino de Sahagún, la obra de su vida, es "La Historia General de las Cosas de la Nueva España", son doce libros donde acumuló y fundió todos los materiales que había investigado y que había intentado publicar para el conocimiento de otros misioneros. Se trata de una enorme enciclopedia que merece un lugar aparte entre todas las obras publicadas en el siglo XVI. Está ordenada con base en una jerarquía precisa: de lo divino a lo profano. Los primeros volúmenes tratan sobre los dioses y diosas, continúa narrando su filosofía, sus reyes, historia, así como la vida, costumbres, y oficios cotidianos. Es decir, fueron los testimonios sobre la vida, la muerte, la educación, los ritos, la religión, las fiestas, la guerra, la medicina, el arte, los oficios, entre otros tópicos e historias, que los ancianos que habían vivido antes de la conquista recordaban y narraban por su enorme capacidad retentiva, de haber oído, visto, vivido. En el volumen décimo habla de las enfermedades y su tratamiento, incluyendo las plantas medicinales, tema que nos ocupa. El volumen onceavo trata de los animales, plantas y minerales del país. El doceavo volumen narra la conquista, el Apocalipsis de ese mundo, del cual Sahagún fue su último y privilegiado testigo.
La obra de Fray Bernardino fue una gran proeza. "La Historia General de las Cosas de la Nueva España" es una compilación de los conocimientos adquiridos de los sabios indígenas, años de encuentro y discusiones en náhuatl con sus informantes. El náhuatl era una lengua fonética ¡y Fray Bernardino llevó sus sonidos al alfabeto latino! Como es bien sabido, Fray Bernardino trabajó con la cooperación de sus informantes, primero en Tepepulco en el Estado de Hidalgo (1558-1561), más adelante con sus alumnos del Colegio de Santa Cruz en Tlalteloco (1562-1565), y finalmente en el convento de San Francisco (1566-1569), ambos en la Ciudad de México. Se sabe que dichos alumnos aprendieron latín y el castellano. Los que más participaron fueron Antonio Valeriano, Pedro de San Buenaventura, Diego de Grado, Bonifacio Maximiliano y Mateo Severino. La obra se concluyó en 1569, doce tomos escritos en nahuatl, los llamados "Códices Madrid". De este material, hizo un sumario, una traducción al castellano con algunas explicaciones, el cual se envió a España ser examinado. El resultado fue desfavorable, pues se ordenó la dispersión de su obra en los conventos.
Sin embargo, el Rey Felipe II emite en 1572 una cédula real solicitando al Virrey de la Nueva España que se le "remitiera cuantas noticias pueda adquirir acerca de la historia de México". Para cumplir la orden real Fray Rodrigo de Sequera viajó a la Nueva España, a donde llega en 1575. Es así, como, con el apoyo del enviado, Sahagún recuperó su obra y preparó con la ayuda de los profesores y alumnos del Colegio de Santa Cruz de Tlatelolco una nueva copia en español y nahuatl. La obra estuvo lista para 1577 y Fray Bernardino la concluyó él solo, ya con pulso muy poco firme, trabajando a marchas forzadas, la dedicó a su protector Fray Rodrigo de Sequera con estas elocuentes y certeras palabras: "Tienes aquí, observantísimo Padre, una obra digna de la mirada de un rey, la cual se dispuso en lucha acérrima y prolongada." Este texto bilingüe a dos columnas y con 1855 bellas ilustraciones es el llamado "Manuscrito Sequera", es el que hoy conocemos como "Códice Florenti no", es decir la versión final de la "Historia General de las Cosas de la Nueva España" (Martínez, 1995).
Cuando en 1580 Fray Rodrigo de Sequera se embarca rumbo a España con el manuscrito, los prejuicios habían vencido ya al Rey Felipe II, pues en una cédula del 22 de abril de 1577 mandó confiscar todos los papeles de Sahagún, por lo cual al llegar a España los envió al Consejo de Indias para su examen y prohibió terminante volver a referirse a temas como los que el fraile tocaba en su historia. Fray Bernardino murió diez años después, sin saber la suerte que corrió toda su obra. Dos siglos más tarde (1793), el bibliógrafo Ángel María Bandini descubrió el manuscrito en la Biblioteca Medicea-Laurenciana de Florencia, Italia, de ahí su nombre. Otra copia conteniendo solo el texto en castellano, conocida hoy día como "Manuscrito de Tolosa", que se encontraba precisamente en un rincón perdido y polvoriento del convento Franciscano de Tolosa (España) fue pedida en préstamo en 1783 por el Cosmógrafo Mayor de Indias Juan Bauptista Muñoz. A partir de ese momento el mundo conocería el genio etnográfico de Fray Bernardino de Sahagún y la historia antigua de la cultura indígena de México en la narrativa de la Historia General de las Cosas de la Nueva España.
2.- Martín de la Cruz
Mucho menos conocidas son las vidas de los sabios indígenas Martín de la Cruz y Juan Badiano, autor y traductor respectivamente del Libellus de Medicinalibus Indorum Herbis, que en castellano lleva el modesto título de "Librito de Hierbas Medicinales de las Indias" escrito en latín en 1552. Lo poco que sabemos, es que Martín de la Cruz era originario de Tlatelolco y se desempeñaba como médico en el Colegio de Santa Cruz de Tlatelolco. Sin duda, Martín de la Cruz, fue conocido por su competencia profesional, pues incluso su protector el Virrey Antonio de Mendoza le concedió privilegios que solo algunos caciques indígenas disfrutaban, como el poder montar en jaca (Aranda et al, 2003).
El Colegio de Santa Cruz de Tlatelolco constituye un verdadero hito en la historia cultural de nuestro país, pues también fue lugar de refugio y trabajo de Fray Bernardino de Sahagún, fue fundado por los Franciscanos en 1536 bajo los auspicios del virrey Antonio de Mendoza y estaba dedicado a la educación de los descendientes de los nobles indígenas. Sin embargo, muy pronto (1541) el Colegio sufrió el acoso de los españoles que consideraban inútil, e incluso peligrosa, su misión educativa, de tal forma que hacia 1552 carecía de financiamiento. En este contexto, los frailes le solicitan a Martín de la Cruz redacte en unos meses una obra médica, la cual sería traducida al latín por Juan Badiano, así como ilustrada por los alumnos; todo ello, con el fin de demostrar la calidad intelectual de los profesores y alumnos del Colegio, recuperar el favor (¡y el subsidio!) real. Juan Badiano era originario de Xochimilco y profesor del Colegio de Santa Cruz de Tlatelolco. Es probable que fuese más joven que Martín de la Cruz y exalumno del mismo Colegio, donde seguramente aprendió latín y castellano (Viesca, 1992).
El Libellus Medicinalibus Indorum Herbis es un manuscrito que compila remedios o recetas para el tratamiento de distintas enfermedades en trece capítulos ordenados de la cabeza a los pies, en cierto sentido es un herbario con reminiscencias medievales pero ilustrado con dibujos de clara influencia indígena. Es una obra bella que trata de ser útil, pues se refiere al tratamiento de malestares comunes como "catarro", "lombrices", "tos", "pérdida del sueño", y accidentes como quemaduras, "fractura de la cabeza"; pero también raros incluye extraños padecimientos, como la "hérida del rayo" y otros que seguramente solo los españoles reconocían como la "podagra", "ectropia" o la "enfermedad del comicial". Esta última ha sido interpretada como "epilepsia: llamada comicial por los romanos, pues era común que durante los comicios alguien padeciera un ataque epiléptico" (Pineda, 1992). "Alguien" podría ser un político perdedor. También, el uso de partes de animales y minerales en los preparados medicinales (Aranda et al, 2003), la hacen hoy día a nuestros ojos fantástica y mágica; pero en favor de la opoterapia (terapia a base de extractos de órganos animales), se puede decir que contribuyó al descubrimiento de la insulina. En todo caso, por los conocimientos presentados y su espléndida iconografía (a color) es una verdadera joya, obra de arte que forma parte y muestra la herencia histórica de los pueblos indígenas que nos dieron sabiduría, cultura y raíz. Permaneció inédita durante casi 500 años. Luego de su conclusión, Francisco de Mendoza, hijo del primer Virrey, la lleva España donde cumplió con éxito su cometido pues el Colegio recuperó su presupuesto. Hasta 1623 fue posesión de los sucesivos monarcas, y posteriormente de Diego de Cortavila, farmacéutico del rey, quién probablemente lo sustrajo subrepticiamente, pero se atrevió a firmarlo con su Ex Libris. En 1624, el Cardenal Francisco Barberini lo compra y lo lleva a Roma donde Cassiano del Pozzo manda copiarlo. Cassiano del Pozzo era miembro de la Academia dei Lincei, es decir de los "Linces", llamada así por la agudeza de pensamiento de sus integrantes y de la cual Galileo Galilei era su integrante más destacado. Dicha academia tendría un papel muy importante en la preservación de los estudios medico-biológicos hechos en la Nueva España (Reyes-Chilpa, 1982a). En todo caso, a partir de este momento, el rastro del manuscrito y de su copia se pierde durante varios siglos.
Hacia 1902, la colección Barberini es incorporada oficialmente al acervo de la Biblioteca del Vaticano, donde Charles U. Clark y Lynd Thorndike "descubren" o desempolvan el "Libellus" en 1929. Ese mismo año, Giuseppe Gabrieli recibe en préstamo la copia del manuscrito que por los extrañísimos caminos del coleccionismo había llegado a la biblioteca del Castillo de Windsor en Inglaterra. En 1939 William Gates publica el "Libellus" por primera vez, pero en ¡inglés!, con el título "The De la Cruz-Badiano Aztec Herbal of 1552" editado por The Maya Society. En 1940, Emily W. Emmart realiza una nueva edición del "Libellus" a cargo de Johns Hopkins University Press con el título: "The Badianus Manuscript (Codex Barberini, Latin 241). An Aztec Herbal of 1552". Aunque en el manuscrito original esta anotado claramente el papel que cada personaje cumplió, el título de Emmart originó que se también se le conociera equivocadamente durante muchos años como "Códice Badiano". El "Libellus" regresó a México en 1990, gracias a un acto generoso del Papa Juan Pablo II. En México ha sido objeto de dos ediciones facsimilares en 1964 y 1991, es decir idénticas a la original, pero de igual relevancia es que han estado acompañadas de estudios muy minuciosos. Esta última (de la Cruz, 1991) aún disponible en las librerías.
3.- Francisco Hernández (1517?-1587)
En 1570, el rey de España, Felipe II, nombró a Francisco Hernández "Protomédico General de las Indias, Islas y Tierra Firme del Mar Océano" con el encargo de que examinara y describiera los géneros y las formas de plantas, animales y minerales de la Nueva España, e investigara sus virtudes y usos para beneficio de la humanidad. El rey no pudo haber escogido persona más adecuada para tan descomunal tarea. Francisco Hernández llegó a la Ciudad de México en 1571 precedido de una bien justificada fama como médico de la corte y naturalista. Durante siete años recorrió buena parte del actual territorio mexicano colectando especímenes de los tres reinos naturales y recabando información sobre ellos directamente de los indígenas. Hizo minuciosas descripciones de los ejemplares colectados y las acompañó de ilustraciones, muchas de ellas elaboradas por artistas nativos; estudió las propiedades y la utilidad de todos los ejemplares, especialmente de las plantas medicinales, registrando las virtudes que los indígenas les atribuían y el uso que hacían de ellas. No contento con esto, experimentó directamente con enfermos y consigo mismo, poniendo más de una vez en peligro su salud y su vida (Somolinos d'Ardois, 1959; 1982).
Cuentan las crónicas de ese tiempo, que era impresionante ver la llegada de la comitiva del Dr. Hernández, a un centro poblacional y observar su mal aspecto, harapiento y conduciendo una recua de mulas que trasportaba el material recolectado y que era motivo de sus estudios. Agotado por sus trabajos, abandonó la posibilidad de una empresa similar en el Perú. El resultado fue una obra colosal, la Historia Natural de la Nueva España, de la cual la Historia de las Plantas de la Nueva España es solo una parte. Hernández conservó un conjunto de conocimientos que probablemente se hubieran perdido de otro modo. Limitándonos solamente a las plantas, en total registró 3076, la mayoría con su nombre indígena, su descripción morfológica, usos, e información sobre su ecología y lugar donde crecían. Para 1577, Hernández había reunido seis volúmenes en folio de texto y diez de dibujos, que empacó cuidadosamente junto con semillas y plantas para un nuevo jardín real en Aranjuez y regresó a España atendiendo una orden perentoria y previsora. En efecto, aunque en 1576 el Rey escribió a Hernández urgiéndolo a terminar y publicar el manuscrito, "sin lo cual se perdería toda esta labor", este moriría en 1587 dejando la obra inédita. Se dice que Hernández fue bien recibido a su regreso a España; no obstante, por razones desconocidas, el rey Felipe II intervino ordenando al protomédico de Nápoles, el Dr. Nardo Antonio Recco que revisara los manuscritos de Hernández y resumiese lo esencial de sus descubrimientos. Es factible, que el rey tomase dicha decisión porque suponía que Hernández, perfeccionista en exceso, nunca acabaría de corregir su extensa obra; o bien, por su salud deteriorada, o por haberle designado como médico del infante y futuro rey Felipe III. En todo caso, Hernández dedicó con éxito los últimos 10 años de su vida a esta importante tarea, pues hay que recordar que en esa época la mortalidad infantil era común, incluso entre los más acomodados. Por su parte, Recco con el pretexto de poner en orden y abreviar el manuscrito, excluyó todo lo que le pareció superfluo, entre otras cosas, muchas de las descripciones de las prácticas curativas de los indígenas y de sus conceptos médicos. Recco al parecer concluyó su resumen hacia 1582 cuando el secretario del rey le ordena devolver los originales. Finalmente, Recco no sólo excluyó toda la historia natural que no le parecía de utilidad a la medicina, sino que tampoco publicó nada.
Poco faltó para que la monumental Historia Natural de la Nueva España, fuese desconocida durante siglos como en los casos de Fray Bernardino de Sahagún y Martín de la Cruz; sin embargo, los trabajos de Hernández empezaron a divulgarse por otros medios. En 1615, Fray Francisco Ximénez quién residía en el Hospital de Oaxtepec, publicó en la ciudad de México un libro, el cual tituló "sucintamente", es decir a la usanza de la época: "Cuatro Libros de la Naturaleza y Virtudes de las Plantas y Animales que Están recibidos en el Uso de la Medicina en la Nueva España, y la Methodo, y corrección y preparación, que para administrallas se requiere con lo que el Doctor Francisco Hernández escrivió en lengua latina". Ximénez reproduce el resumen de Recco, al cual tuvo acceso de forma no conocida, pero añade valiosas aportaciones propias. Por su parte, la Academia dei Lincei de Roma publicó entre 1629-1651 la descripción comentada de 412 plantas y dibujos de 650, a la cual tituló "Rerum Medicarum Novae Hispaniae Thesaurus".
Pero antes de que la obra de Hernández alcanzara todos sus frutos, en 1671 estalló un incendio en el Monasterio de El Escorial que destruyó el manuscrito original en cuya biblioteca se conservaba. A pesar de tratarse solo de esbozos, que además sufrieron mutilaciones, los trabajos de Hernández interesaron tanto a los naturalistas que éstos se lanzaron afanosamente a la búsqueda de lo que había quedado de su obra, la cual se creía perdida para siempre. Por fortuna, hacia 1770, Juan Bauptista de Muñoz encuentra una copia de los manuscritos de Hernández "en lucha con la carcoma y las cucarachas", hasta entonces desconocida, en el Colegio Imperial de Madrid (Colegio Máximo Jesuita). Se trataba de los borradores de cinco volúmenes, corregidos por el propio autor, pero sin los dibujos. A partir de esta nueva fuente, Casimiro Gómez Ortega, botánico principal del Reino español, publicó en 1790 tres volúmenes de la Historia Plantarum Novae Hispaniae, edición que es conocida hoy día como "Matritense". Sin embargo, las "Obras Completas de Francisco Hernández" solo serían publicadas cuatro siglos después por la Universidad Nacional Autónoma de México (1959-1985). Esta edición que es un justo homenaje a su autor, y motivo de orgullo para nuestra Universidad, también contó con excelentes estudios de su vida y obra.
4.- Herbolaria Prehispánica
El interés, la devoción, y el amor por el mundo vegetal de los aztecas se mostraba en la magnitud y variedad de sus jardines botánicos que construyeron, donde se cultivaron plantas de todo el imperio. Es digno de recuerdo el hecho de que en todo el Continente Americano los primeros jardines zoológicos y botánicos hayan estado en México. No se pensaba en Europa en constituirlos cuando Nezahualcóyotl y Moctezuma Illhuicamina, los habían ya creado. Desarrollaron el conocimiento y utilización de la herbolaria con fines medicinales, lo que se confirma con la documentación que aporta Sahagún en su Historia, donde señala 99 apartados referentes a yerbas medicinales, en los que indica procedencia y empleo de las mismas. La gran variedad de plantas utilizadas por los indígenas, nos obliga a mencionar solamente algunas de ellas, a manera de ejemplo: Yolloxóchitl (Talauma mexicana) Flor de Corazón, Cochitzátpotl (Casimiroa edulis) Zapote blanco, Toloatzin (Datura meteloides) Toloache, Ololiuhqui (Turbina corymbosa) Flor de la virgen, Tzompantli (Eritrina americana) Colorín, Chilacayote (Cucurbita ficifolia).
La riqueza herbolaria se puede apreciar con las siguientes cifras, en conjunto, las tres obras del siglo XVI previamente reseñadas registran 4051 plantas (Cuadro 1), dicha cifra, sin embargo, no representa necesariamente el número de especies botánicas, puesto que el concepto de "especie" aún no existía. Además, hay plantas que los tres textos citan, las más importantes están repetidas; también las variedades y cultivares que forman parte de la misma especie entonces se les consideraba entidades diferentes. El primer paso para el aprovechamiento de la rica documentación del siglo XVI, es establecer la identidad botánica de las plantas reseñadas. Esta labor de interpretación se realiza a partir de las descripciones y dibujos originales. En algunos casos, los nombres indígenas son de utilidad, pues han llegado a nuestros días intactos o poco modificados; otros se olvidaron por completo y hoy tie nen otros nombres en castellano. Ejemplos del primer caso son la "xícama" conocida actualmente como "jícama" (Pachyrrhizus erosus) y el "nanxixocotl" (xocotl = fruto agrio, nantzin = madre o anciana) que se simplificó en "nanche" (Byrsonima crassifolia). Cabe señalar que constantemente se revisan las interpretaciones botánicas, dado que surgen nuevos elementos para una mejor identificación, por ejemplo en el caso del Libellus Medicinalibus Indorum Herbis se ha actualizado y analizado nuevamente (Valdés et al, 1992).
A la fecha se han interpretado botánicamente 1647 plantas citadas en las fuentes del s. XVI (Tabla 1). Esta cifra es significativa considerando que la flora medicinal mexicana se estima en 3,103 (INI, 1994) a 3352 especies (Bye, 1998). Cifras similares se obtienen del Herbario de Plantas Medicinales del IMSS (Aguilar et al, 1994). Por otra parte, la flora mexicana se ha estimado en el orden de 25,000 (Sosa y Dávila, 1994) a 34,000 especies (Toledo y Ordoñez, 1993). Considerando esta última cifra, aproximadamente 30,000 especies, pertenecen a las llamadas antofitas o fanerógamas, es decir plantas con flores. Pocos lugares en el mundo albergan tanta diversidad, es por ello que México forma parte de un selecto grupo de países considerados como poseedores de megadiversidad vegetal. Así, en el territorio nacional se encuentran cerca del 10.9 al 12.7% del total de las especies vegetales del mundo (Toledo y Ordoñez, 1993), las cuales constituyen una enorme fuente potencial de productos naturales, muchos de ellos útiles.

5.- El Zoapatle (Montanoa tomentosa)
El "cihuapatli" (patli: medicina, cihua: mujer) es una planta arbustiva conocida hoy día popularmente en México como "zoapatle", cuyo nombre científico es Montanoa tomentosa (Asteraceae), pero como veremos más adelante, no pueden descartarse otras especies relacionadas. El cihuapatli fue objeto de la atención de los autores del siglo XVI antes reseñados. Los tres coinciden en que su uso principal era ginecológico, de ahí su nombre: "medicina de mujer". Sahagún (Libro VI, Cap. XXX) relata como y cuando se aplicaba: "Cuando ya los dolores apretaban mucho a la preñada, luego la metían en el baño y cuando ya iba llegando el tiempo que la criatura había de salir, dabanle a beber una yerba que llama cihuapactli, molida y cocida con agua;..." Es decir, el parto ocurría en el "temascal" o baño de vapor, posiblemente acompañado de invocaciones, conjuros, mandas, limpias, soplos, extracciones y tactos que efectuaban las parteras (terapéutica psicoreligiosa); para facilitarlo usaban el cihuapati o zoapatle, planta que actualmente sabemos tiene propiedades oxitócicas, es decir tiene la virtud de impeler hacia fuera a la criatura al inducir las contracciones del útero.
Sahagún también anotó la morfología de esta planta (Libro XI, Cap. VII): "Hay una hierba medicinal que se llama cihuapatli; es mata, tiene muchos virgultos tan altos como un estado; tiene las hojas cenicientas, anchuelas y puntiagudas, tiene muchas ramas, tiene las flores amarillas y otras blancas; hace semilla, como la semilla de los bledos; las hojas de esta mata son provechosas, cocidas con agua, bien hervida; la mujer preñada que ya está para parir bebe esta agua para parir bien, sin pena, luego le sale sangre y es señal que ya quiere nacer la criatura...."
Por su parte, Francisco Hernández, recogió otras aplicaciones adicionales al referirse al "Cihuapatli hemionítico" (M. tomentosa): "Es caliente y seco en tercer grado, y así su cocimiento o su jugo suele administrarse con muy buen resultado a las parturientas, en dosis de dos o tres onzas, para que den a luz más fácilmente. Un puñado de las hojas trituradas y tomadas con agua o con alguna bebida conveniente, mitigan la hinchazón del vientre, curan la hidropesía, provocan la orina y las reglas". Hoy día, y a pesar de la urbanización desorbitada del llamado Valle de México, Montanoa tomentosa aún es una planta común y abundante en el Pedregal de San Ángel, por lo cual es probable que sea el principal cihuapatli que usaron los aztecas, pero no el único, puesto que Hernández cita hasta 20 plantas con este nombre, pero para distinguirlos les da distintos calificativos.
Martín de la Cruz anotó varias preparaciones en el capítulo "Recentis partum remedium" (Remedios para el momento del parto), por ejemplo: "La mujer, si sufre la dificultad de parir, para que se esfuerce poco al expulsar el feto, beba la medicina del árbol quauhalahuac (Heliocarpus reticulatus) triturado en agua con corteza y hierba ciuapahtli (Montanoa tomentosa), piedrecilla eztetl (cuarzo rosa), con cola del animalillo llamado tlaquatzin (Didelphis marsupialis)... Los tallos de xaltomatl (Jaltomata procumbens), la cola del tlaquatzin y las hojas de ciuapatli macháquense también; báñese la vulva con el licor de todas estas cosas..." (cf. Pineda, 1992). La inclusión de la cola del simpático animalito que conocemos como "tlacuache" pareciera ser un elemento mágico, pero se ha propuesto que puede ser una fuente de prostaglandinas que también facilitarían el parto (Ponce-Monter y Campos-Lara, 1997; Lozoya, 1992), lo cual da pie a una hipótesis susceptible de ser estudiada científicamente. Empero, con los conocimientos actuales no se puede decir lo mismo del cuarzo. Es necesario señalar que la interpretación botánica del "ciuapatli" señalado en esta fuente, se ha basado principalmente en el nombre azteca y sus usos, porque el dibujo que aparece en el Libellus tiene diferencias con la especie real, por ejemplo el color amarillo de las flores en vez de blanco, así como en la morfología de las hojas y su disposición en el tallo (Valdés et al, 1992).
Durante el siglo XVIII se publicó la obra del naturalista sueco Carl Linneo (1707-1778), mediante la cual se establecieron los nombres científicos de las plantas y animales, dejando de lado los nombres vulgares. Actualmente se considera que el "cihuapatli" es la especie Montanoa tomentosa Cerv., pertenece a la familia de las Compuestas o Asteraceas. Montanoa tomentosa Cerv. es un arbusto de hasta 1.50 m. de altura, muy ramificado, posee hojas opuestas de 3 a 12 cm. de largo por 2 a 8 cm. de ancho, tomentosas por el envés, sus flores son de color blanco. La planta posee un olor penetrante, característico. La primera descripción del género Montanoa fue hecha por Cervantes en 1825, y le dio este nombre en honor del médico y natu ralista oriundo de Puebla (México), Luís Montaño. Las especies pertenecientes al género Montanoa son de las más atractivas de la familia de las Compuestas (Tribu Heliantheae). La mayoría son arbustos, aunque algunas de ellas son verdaderos árboles que debido a sus vistosas flores de color blanco y amarillo son llamadas en algunas partes "árboles de margaritas", éste es el caso de M. grandiflora, M. speciosa, M. gautemalensis, M. quadrangularis, M. josei, M. hexagona y M. gigas. Esta última es un árbol que llega a medir 20 m. de altura y 40 cm. de diámetro en su tronco. Después de varios años y confusiones de botánicos ilustres, una amplia revisión de Vicky Funk de la Universidad de Ohio, publicada en 1980, redujo las 100 especies descritas a solo 22 y se agregaron tres más (Funk, 1980). Actualmente el zoapatle (M. tomentosa) aún se emplea en la medicina popular de México para favorecer el parto y tratar la amenorrea, pero también como abortivo.
6.- Estudios Químicos de Montanoa tomentosa (Zoapatle) y Especies Relacionadas
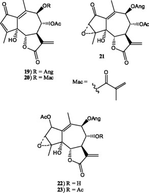
Las diferentes especies de Montanoa han sido objeto de numerosos estudios químicos tanto en el Instituto de Química de la UNAM, así como en otras instituciones. Los resultados obtenidos indican que el zoapatle (Montanoa tomentosa), además de triterpenos pentacíclicos y diterpenos tetracíclicos del tipo kaurano, comunes en especies de la tribu Heliantheae, biosintetiza principalmente lactonas sesquiterpénicas y diterpenos conteniendo un anillo de tipo oxepano. Los primeros estudios químicos de la era moderna sobre M. tomentosa fueron hechos en el IQ-UNAM en 1970. Estos condujeron al aislamiento de dos nuevos diterpenos derivados del tipo kaurano, el ácido monoginoico (1) y una lactona diterpénica que se denominó zoapatlina (2), además del ácido kaurenoico (3), el ácido grandiflorenico (4) y el monoginol (5) (Caballero y Walls,1970).

En 1971 se reportó el aislamiento de la primera lactona sesquiterpénica de M. tomentosa, que fue nombrada tomentosina (6) (Geissman and Griffin, 1971).

Posteriormente de la misma especie se aislaron dos germacranólidas pertenecientes al grupo de las heliangólidas, cuyas estructuras 7 y 8 se establecieron principalmente con base en sus datos de resonancia magnética nuclear protónica (Quijano et al, 1982).

De la misma especie tambien se han aislado lactonas sesquiterpénicas del tipo de las guayanólidas, las cuales se nombraron zoapatanolidas C-F (9-12), ademas de la pumilina (13) (Quijano et al, 1984, 1985, 1991).

En la última revision del género, se estableció que M. tomentosa se divide en 4 subespecies: subsp. tomentosa, subsp. microcephala, subsp. xanthiifolia y subsp. rosei (Funk, 1980). De acuerdo con los estudios existentes de M. tomentosa subsp. tomentosa, subsp rosei y subsp. microcephala, de estas se han aislado solamente lactonas con fusión 12,6-trans. Por ejemplo, de la subsp. rosei, se aisló acetato de la zoapatanolida C (9) (Seaman et al, 1984). De M. tomentosa subsp. microcephala se han aislado las 12,6-trans-guayanolidas montacephalina (14), tomencephalina (15) y la 5-hidroxi-tomencephalina (16) de estructuras relacionadas con la zoapanolida C (9) y la pumilina (13) (Topcu et al, 1988).

En otro estudio de esta subespecie, se obtuvieron las 12,6-trans-heliangolidas 17y 18, similares a la zoapatanolida A, con diferentes ésteres sobre C-8 (Braca et al, 2001).

Por otra parte, de las diferentes colectas de Montanoa tomentosa subsp. xanthiifolia hechas en diferentes sitios de la República Mexicana, Guatemala y Costa Rica, además de lactonas con fusión 12,6-trans, se han aislado también lactonas con fusión 12,6-cis. Por ejemplo, de diferentes colectas de la subsp. xanthiifolia, hechas en el norte y centro de México, en los estados de Sinaloa, San Luis Potosi, Puebla e Hidalgo, se han aislado además de la zoapatanolida A (7), guayanolidas con estructuras relacionadas con las zoapatanolidas C, D (9, 10) y la pumilina (13), todas ellas lactonas con fusión 12,6-trans (Seaman et al, 1984).

Mientras que de las colectas hechas al sur de la República como el Estado de Chiapas y en Centro América como Guatemala y Costa Rica, se obtuvieron lactonas sesquiterpénicas con fusión 12,6-cis del anillo lactónico. Así, de un lote colectado en el Estado de Chiapas, se obtuvo la 12,6-cis-germacranolida 24, y las lactonas 26 y 27, las cuales se identificaron como productos de transformación o artefactos de 24 durante el proceso de aislamiento y purificación (Pérez et al, 1994).

Así mismo, de colectas de la misma subespecie hechas en Guatemala y Costa Rica se obtuvieron también 12,6-cis-germacranolidas (28-33) (Seaman et al, 1985; Castro and Jakupovik, 1985).

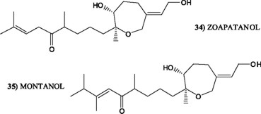
En las décadas de los 70s, 80s del siglo pasado, se llevaron a cabo en el Instituto Mexicano del Seguro Social (IMSS) estudios encaminados hacia el aislamiento de los componentes responsables de la actividad oxitócica del zoapatle (M. tomentosa). Como resultado de estos estudios se aislaron dos diterpenoides conteniendo un anillo de oxepano, que se nombraron zoapatanol (34) y montanol (35), a los cuales se les atribuyó la actividad biológica de la planta (Levine, Mateos et al, 1979; Kanonjia, Mateos et al, 1982). A partir de entonces, han aparecido numerosos trabajos sobre la síntesis de estos diterpenoides, así como de patentes relacionadas con sus propiedades y síntesis. Sin embargo, los farmacólogos han llegado a la conclusión que el efecto de la infusión de Zoapatle no puede ser reproducida por uno solo de los compuestos presentes, por lo que probablemente se trata de un fenómeno de sinergismo (Bejar et al, 2000). Existen varias revisiones sobre la actividad farmacológica de los compuestos aislados (Bejar et al, 2000; Lozoya, 1992).

Este tipo de terpenoides, son característicos del zoapatle (M. tomentosa). Así, en una reinvestigación de la infusión obtenida a partir de M. tomentosa subsp tomentosa , además de las zoapatanolidas A (7), C (9) y D (10), el zoapatanol (34) y montanol (35), se obtuvo la tomexanthina (36) aislada anteriormente de M. tomentosa subsp xanthiifolia (Seaman et al, 1984), así como una nueva guayanolida que se nombre zoapatanolida E (11) y dos nuevos diterpenoides del tipo de los oxepanos, que se nombraron tomentol (37) y tomexanthol (38) (Quijano et al, 1985).

En un estudio posterior de la misma especie, se obtuvieron los precursores acíclicos de los oxepanos, los cuales se nombraron pre-zoapatanol (39), pre-tomenxanthol (40) y pre-tometol (41), además de comprobar que el montanol (35) aislado anteriormente no es un producto natural sino un artefacto obtenido por isomerización del tomentol (37) durante el aislamiento y purificación.

También se han aislado otros compuestos relacionados con el zoapatanol y su precursor aciclico, como el 21-normontanol (42) que se identificó como producto de descomposición del zoapatanol (34) (Marcelle et al, 1985), el tomentanol (43) (Oshima et al, 1986) y los zoapatoles A (44) y B (45), aislados de M. Tomentosa subsp. tomentosa (Quijano et al, 1991).

7.- Estudios Químicos de Otras Especies
Como previamente se ha mencionado, en el México prehispánico se empleaban un gran número de plantas medicinales, por lo cual solo mencionaremos brevemente algunas otras que también han sido motivo de estudios en el IQ-UNAM.
El Zapote Blanco
Casimiroa edulis Llave et Lex, cochitzapotl o iztactzapotl (zapote del sueño o zapote blanco) en lengua náhuatl, es otra especie medicinal también descrita con detalle por Francisco Hernández en 1576. Es un árbol de hasta 10 m de altura originario de México y Centroamérica, pertenece a la familia de las Rutáceas y al género Casimiroa, nombrado en honor de Casimiro Gómez de Ortega, físico y botánico español. La corteza, hojas y principalmente las semillas se utilizan en medicinal popular por sus propiedades hipnóticas, sedantes e hipotensoras, en el tratamiento de casos de insomnio y para controlar la hipertensión; también se usa en casos de dolores reumáticos y como antidiarreico.
La primera investigación química de la semilla del zapote blanco fue hecha en México, por el estudiante de Farmacia José Sánchez, como tema de tesis en 1893, en la que menciona la presencia de un alcaloide cristalino, considerado como el principio activo (Power y Callan, 1911). Bickern en (1903), también reporta el aislamiento de un alcaloide además de un esterol, casimirina y casimirol, aunque sus estructuras moleculares no fueron descritas. Posteriormente Power y Callan (1911, 1912) reportan otros alcaloides casimiroina, casimiroedina, casimiriotina, además de una lactona, casimirolida, esteroles y ácidos grasos.
En 1934 José de Lille publica en los Anales del Instituto de Biologia (UNAM) y en una revista alemana sobre la actividad hipotensora de los extractos acuosos de C. edulis en perros. Dos y cuatro años después se informa sobre las propiedades hipnóticas, sedantes e hipotensoras de un producto comercial denominado Rutelina, hecho a base de semillas de C. edulis. En los últimos 50 años el zapote blanco ha sido extensamente estudiado, principalmente las semillas, de las que se han aislado varios compuestos farmacológicamente activos, como la histamina (46), N-metil-histamina (47), N,N-dimetil-histamina (48), asi como la zapotina y otros flavonoides, además de cumarinas, quinolonas, triterpenos y esteroles.
En Mexico, los primeros estudios químicos de las semillas y la corteza de C. edulis, se llevaron a cabo en la década de los 50s en los laboratorios Syntex, S.A., los cuales dieron como resultado el aislamiento de varios flavonoides, entre ellos 5,6-di-metoxiflavona, 2',5,6-trimetoxiflavona, la zapotina (2',5,6,7-tetrametoxiflavona) (Kincl et al,, 1956; Iriarte et al,, 1956) y la zapotinina (5-hidroxi-2',6,7-trimetoxiflavona) (Sondheimer et al,, 1960), cuyas estructuras fueron posteriormente revisadas como 2',5,6,6'-tetrametoxiflavona (49) y 5-hidroxi-2',6,6'-trihidroxiflavona (50), respectivamente (Garatt et al,, 1967; Dreyer and Bertelli, 1967). Además se aislaron N-benzoiltiramina, los limonoides casimirolida (obacunona) y zapoterina (12β-hidroxiobacunona), las quinolonas casimiroina, edulina (6-metoxi-1-metil-2-fenil-4-quinolona), y los derivados del imidazol zapotidina, casimiroedina. De la corteza se aislaron además 5,6-dime-toxiflavona, bergapteno, isopimpinellina, eduleina (7-metoxil-metil-2-fenil-4-quinolona), edulitina, escopoletina, dictamnina. γ-fagarina, skimmianina, edulinina (Iriarte et al,, 1956). Otros derivados del imidazol, como la N,N-dimetilhistamina a la cual se le atribuyo la actividad hipotensora, fue aislada de las semillas (Major et al,,1958), asi como la N-metilhistamina y la histamina que fueron identificados en un estudio posterior (Romero et al,, 1983). Posteriormente, se encontró que los tres últimos compuestos solo producen efectos hipotensores fugaces (Magos Guerrero, 1999). Más aún, se demostró el efecto hipotensor intenso y sostenido de la semilla del zapote blanco que se ha observado en humanos y animales realmente está presente en una fracción cromatográfica que contiene gaba (51), prolina (52) y metilprolina (53); además se identificó acetónido de sinefrina (54) que produjo un efecto hipertensor, por lo cual se concluyó que existen tanto agonistas como antagonistas en la semilla (Magos et al, 1991, 1995, 1998).


El toloache, toloatzin (Datura spp).
El toloache es un conjunto de especies del género Datura que pertenecen a la familia Solanáceae. Las propiedades de Datura spp se conocen desde tiempos remotos, en China y la India donde se usaban como alucinógenos, ceremoniales y actividades relacionadas con la magia y la hechicería. En unión del beleño y la mandrágora formaban parte de las plantas de las brujas. Se conoció en Europa, como: "manzanita espinosa del Perú".
El toloache también fue descrito en la herbolaria prehispánica por Fray Bernardino, Martín de la Cruz y Francisco Hernández y en el Tratado Breve de Medicina (1592). La palabra toloache deriva del nahuatl toloatzin que significa "cabeza inclinada". Los toloaches, como D. inoxia, D. stramonium, D. discolor, y D.ceratocaula, se encontraban entre los narcóticos y plantas alucinógenas sagradas más usadas por los mexicas, que los llamaban, "toloatzin, tapatl, mixitl, nexehuac", respectivamente. También eran conocidos con otros nombres como "nacazul, coalxocoahqui" y "tolohuaxihuitl", y fueron usados tópicamente para aliviar dolores e hinchazones mucho antes de la conquista de México. Es curioso que se hayan perdido los usos ancestrales de esta planta y en México principalmente sólo se le use en preparados supuestamente afrodisíacos, aunque hay que señalar que, como ya lo habían advertido los Aztecas, puede volver locos a los pacientes, provocando "varias y vanas imaginaciones".
Las Daturas son sumamente tóxicas, contienen un alto contenido de atropina (55), escopolamina (56), hiosciamina (57), ajmalicina (58), serpentina (59) y una decena más de alcaloides derivados del tropano (Fernandez Alonzo, Pachuca-Cerda, 1986) que se encuentran en toda la planta, similares a los que se encuentran en la mandrágora, la belladona y el beleño que también son plantas muy tóxicas usadas en la antigüedad contra el dolor. Su consumo es altamente peligroso por el alto contenido de alcaloides que contienen y que afectan el funcionamiento cerebro del que las consume. En el mundo existen 13 especies y en México contamos con 11 de ellas. Los estudios sobre este género en México, han abarcado aspectos genéticos y taxonomicos (Jiao et al,, 1997), biosinteticos en cultivos de raíces transformadas (Saenz-Carbonell, Loyola-Vargas, 1997) y ecológicos (Fornoni et al,, 2004).


El Matarique (Psacalium spp.)
Varias especies del género Cacalia L. de la familia de las Asteráceas, hoy reasignadas al género Psacalium (P. decompositae, P. palmiere, P. sinuatum y P. peltatum), crecen en estado silvestre en áreas boscosas y semiáridas del norte de México, en Arizona y Nuevo México en los E.U.A. Estas son popularmente conocidas como "matarique"; al presente no existen datos que pudieran indicar su inclusión en la herbolaria azteca, es decir ninguna de las plantas citadas en las fuentes clásicas ha sido interpretada como Psacalium. No obstante, la raíz fresca o seca hervida en agua como te, han sido usadas por las etnias del norte de México, Yaquis, Seris y Raramuris (Tarahumaras) para tratar diversos trastornos gastrointestinales, dolores musculares, infecciones. Actualmente se usa en la medicina tradicional mexicana, especialmente contra la diabetes (Alarcón-Aguilar, et al, 2000; Contreras-Weber, et al, 2002).
Los primeros estudios del matarique se hicieron en la década de 1960 en el Instituto de Química de la UNAM por el grupo del Dr. Jesús Romo Armería (Romo, Joseph-Nathan, 1964; Correa, Romo, 1966). Estos fueron objeto de varias publicaciones acerca de los principales constituyentes de la raíz, los cuales fueron identificados como derivados del eremofilano. Entre ellos se identificaron los compuestos denominados cacalol (60), cacalona (61), maturina (62), maturinina (63), maturona (64), maturinona (65), decompostina (66) (Joseph-Nathan et al, 1970; Soriano-Garcia et al, 1988).



Se ha demostrado que la decocción de las raíces y rizoma de Psacalium decompositum reduce la glicemia en forma dosis dependiente, tanto en ratones normoglicémicos, como con diabetes moderada, así como en conejos temporalmente hiperglicémicos (Alarcón-Aguilar et al,, 1997; 2000). En dicha decocción están presentes los sesquiterpenoides cacalol (60), cacalona (61), epicacalona, maturina (62) (Alarcón-Aguilar et al,, 1997), así como otros sesquiterpenoides relacionados, tales como el 3-hidroxicacalolido y el epi-3-hi-droxicacalolido (Inman et al,, 1999). Se ha reportado que el cacalol (60) administrado (1.09 nmol/kg, dosis única ) a ratones ob/ ob (mutantes obesos con diabetes) disminuyó los niveles de glucosa en plasma después de 3 horas. La mezcla de 3-hidroxicacalolido y epi-3-hidroxicacalolido (1:1) también fue activa con el mismo protocolo y concentración, pero no así la cacalona (61) y epicacalona. (Inman et al,, 1999). Se ha investigado el mecanismo de acción del cacalol (60), resultando ser similar al del fármaco comercial glibenclamida empleado en el tratamiento de la diabetes mellitus tipo 2; ambos compuestos inhibieron la apertura de canales de potasio dependientes de ATP (K-ATP) a una concentración de 10−5 M en aorta de rata pretratada con diazoxido (Campos et al, 2009). En el mismo modelo la mezcla de cacalona (61) y epicacalona presentó el mismo efecto pero fue menos potente pues requirió mayor concentración (10−4 M). Por otra parte, también se han estudiado las propiedades antiinflamatorias de cacalol (60) y cacalona (61). Estos compuestos inhibieron el edema producido en ratones, tanto por carragenina (pata) como por esteres de forbol (TPA-oreja). La cacalona (61) fue el más potente, mostrando actividad similar al fármaco indometacina en el segundo modelo; por ejemplo, ambos compuestos inhibieron en 82.1 y 87.6%, respectivamente, el efecto inflamatorio del forbol en la oreja a la concentración de 1 mg (Jiménez-Estrada et al, 2006).
En resumen, los sequiterpenoides del matarique cacalol (60) y cacalona (61) podrían actuar de manera similar a la glibenclamida en el páncreas estimulando la liberación de insulina (Campos et al, 2009), también poseen propiedades antiinflamatorias. Por último, es necesario considerar los aspectos toxicológicos. En este sentido, puesto que el género Psacalium pertenece a la tribu Senecioneae es factible la presencia de alcaloides pirrolizidinicos (Romo de Vivar, 2007), motivo por el cual se tiene que ser cuidadoso en el consumo de decocciones de las raíces del matarique en tanto no se determine la concentración a la cual están presentes dichos alcaloides.
8.- Conclusiones
Bernardino de Sahagún, Martín de la Cruz y Francisco Hernández, hombres ilustrados del siglo XVI, dejaron constancia de los conocimientos que los antiguos mexicanos tenían de la naturaleza y el cuerpo humano, las enfermedades y la terapéutica, en especial de la herbolaria. Gracias a sus obras, hoy día conocemos al menos 1647 plantas usadas hace 500 años, además, permitieron conservar conocimientos ancestrales, obtenidos empíricamente por observación y el largo método experimental de acierto-error, que junto con el pensamiento mágico religioso se integran en la herbolaria indígena. En este capítulo abordamos algunas especies ampliamente utilizadas desde la época prehispánica y que cuatro siglos después se continúan usando en la medicina popular mexicana, lo cual demuestra la persistencia del conocimiento transmitido oralmente puesto que estos textos han permanecido inéditos durante siglos y solo recientemente empiezan a difundirse. Algunas de estas plantas estudiadas en el Instituto de Química de la UNAM son: Montanoa tomentosa (cihuapatli o medicina de mujer), Casimiroa edulis (cochitzapotl o iztactzapotl, zapote del sueño o zapote blanco), así como de Datura spp ("Toloaches") y Psacalium decompositum (Matarique). Dichos estudios indican que estas plantas contienen compuestos con actividad farmacológica que explican racionalmente, ya sea en todo en parte, sus antiguas aplicaciones médicas.
Bibliografía
Aguilar, A., Camacho, J.R., Chino, S., Jácquez, P., López, M.E. (1994). Herbario Medicinal del Instituto Mexicano del Seguro Social: Información Etnobotánica. 1ª ed. Instituto Mexicano del Seguro Social, México. 253 pp. [ Links ]
Alarcón-Aguilar, F.J., Román-Ramos, R., Jiménez-Estrada, M., Reyes-Chilpa, R., González-Paredes, B., Flores-Saenz, J.L. (1997). Effects of three Mexican medicinal plants (Asteraceae) on blood glucose levels in healthy mice and rabbits. Journal of Ethnopharmacology 55:171-177. [ Links ]
Alarcón-Aguilar, F. J., Jiménez-Estrada, M., Reyes-Chilpa, R., Román-Ramos, R. (2000). Hypogly-cemic effect of extracts and fractions from Psacalium decompositum in healthy and alloxan-diabetic mice. Journal of Ethnopharmacology 72:21-27. [ Links ]
Aranda, A., Biseca, C., Sánchez, G., Sánchez, G., Ramos de Biseca, M., Sanfilippo, J. (2003). La materia médica en el Libellus de Medicinalibus Indorum Herbis. Revista de la Facultad de Medicina de la UNAM 46(1):12-17. [ Links ]
Bejar, E., Reyes-Chilpa, R., Jiménez-Estrada, M. (2000). Bioactive compounds from selected plants used in the XVI century Mexican traditional medicine. In: Studies in Natural Products Chemistry. Vol. 24:799-843. Atta Ur-Rahman (ed.), Elsevier Scientific Publishers. Amsterdam. [ Links ]
Bickern, W. (1903). Casimiroa edulis. Archiv der Pharmazie (Weinheim, Germany) 241:166-176. From: J. Chem. Soc., Abstr. 84, I, 649-650. [ Links ]
Braca, A., Cioffi, G., Morelli, I., Venturella, f., Pizza, C., De Tommasi, N. (2001). Two New Sesquiterpene Lactones from Montanoa tomentosa subsp. microcephala. Planta Medica 67: 774-776. [ Links ]
Bye, R. (1998). La intervención del hombre en la diversificación de las plantas en México. En: Diversidad Biologica de Mexico: Orígenes y Distribución. Ramamoorthy, T.P.; Bye, R.; Lot, A.; Fa, J., Eds. 1a. ed. Instituto de Biología, UNAM. Pp-689-714. [ Links ]
Caballero, Y., y Walls, F. (1970). Productos Naturales del Zoapatle (Montanoa tomentosa Cerv.). Bol. Inst. Quim. Univ. Nacl. Auton. México. 22:79-102. [ Links ]
Castro, V. and Jakupovik, J. (1985). Two Further 6,12-cis- Germacranolides from Montanoa tomentosa subsp. xanthiifolia. Phytochemistry 24(10):2449-2450. [ Links ]
Campos M.G., Oropeza M., Torres-Sosa C., Jiménez-Estrada M., Reyes-Chilpa R. 2009. Sesquiterpenoids from antidiabetic Psacalium decompositum block ATP sensitive potassium channels. Journal of Ethnopharmacology 123:489-493. [ Links ]
Contreras-Weber, C., Perez-Gutierrez, S., Alarcon-Aguilar, F., Roman-Ramos, R. (2002). Anti-hyperglycemic effect of Psacalium peltatum. Proceedings of the Western Pharmacology Society 45:134-136. [ Links ]
Correa, J., Romo, J. (1966). The constituents of Cacalia decomposita. Structures of maturin, maturinin, maturone, and maturinone. Tetrahedron 22(2):685-691. [ Links ]
de la Cruz, M. (1991). Libellus Medicinalibus Indorum Herbis. Vol. I. Fondo de Cultura Económica. Instituto Mexicano del Seguro Social. 2a. ed. México. 258 pp. [ Links ]
De Lille, J. (1934). The action of Casimiroa edulis on blood pressure. Anales Inst. Biol. (Mex.) 5: 45-47. [ Links ]
De Lille, J. (1935). The action of Casimiroa edulis on blood pressure. Berichte ueber die Gesamte Physiologie und Experimentelle Pharmakologie 83:479. [ Links ]
Dreyer, D. L., Bertelli, D. J. (1967). Structure of zapotin. Tetrahedron 23:4607-4612. [ Links ]
Estrada Lugo, E.I.J. (1989). El Códice Florentino. Su Información Etnobotánica. 1ª. Ed. Colegio de Postgraduados. Chapingo, México. 399 pp. [ Links ]
Fernández-Alonso, M., Pachuca-Cerda, F. (1986). Rapid gas chromatographic analysis of tropane alkaloids. Ars Pharmaceutica 27:325-33. [ Links ]
Fornoni, J., Valverde, P. L., Nunez-Farfan, J. (2004). Population variation in the cost and benefit of tolerance and resistance against herbivory in Datura stramonium. Evolution; International Journal of Organic Evolution 58(8):1696-704. [ Links ]
Funk, V.A. (1982). The Systematics of Montanoa (Asteraceae, Heliantheae). Memoirs of the New York Botanical Garden 36:1-127. [ Links ]
Garratt, P.J.,Scheinmann, F., Sondheimer, F. (1967). Constituents of Casimiroa edulis. VIII. The structures of zapotin and zapotinin. Tetrahedron 23:2413-2416. [ Links ]
Geissman, T.A., Griffin, T.S. (1971). Sesquiterpene Lactones. Tomentosin from Montanoa tomentosa Cerv. Rev. Latinoamer. Quim 2:81-83. [ Links ]
Hernández, F. (1959). Historia de las Plantas de la Nueva España. Obras Completas. Tomos II y III. Universidad Nacional Autónoma de México. 1ª. Ed. México. 476 y 554 pp. [ Links ]
Instituto Nacional Indigenista (1994). Atlas de las Plantas de la Medicina Tradicional Mexicana. Argueta-Villamar, A; Cano-Asseleih, L.M.; Rodarte, M.E., Eds.; Vols. I, II y III, Instituto Nacional Indigenista, México. [ Links ]
Inman, W.D., Luo, J., Jolad, S.D., King, S.R., Cooper, R., 1999. Antihyperglycemic sesquiterpenes from Psacalium decompositum. Journal of Natural Products 62:1088-1092. [ Links ]
Iriarte, J., Kincl, F. A., Rosenkranz, G., Sondheimer, F. (1956). The constituents of Casimiroa edulis. II. The bark. Journal of the Chemical Society 1956:4170-4173. [ Links ]
Jiao, M., Luna-Cavazos, M., Bye, R. (2002). Allozyme variation in Mexican species and classification of Datura (Solanaceae). Plant Systematics and Evolution 232:155-166. [ Links ]
Jimenez-Estrada M., Reyes-Chilpa R., Ramirez-Apan T., Lledias F., Hansberg W., Arrieta D. and Alarcon-Aguilar F.J. 2006. Anti-inflammatory activity of cacalol and cacalone sesquiterpenes isolated from Psacalium decompositum. Journal of Ethnopharmacology 105:34-38. [ Links ]
Joseph-Nathan, P., Negrete, M.C., Gonzalez, M.P. (1970). Studies in Cacalia species. Phyto-chemistry 9:1623-1628. [ Links ]
Kanonjia, R.M., Wachter, M.P., Levine, S.D., Adams, R.E., Chen, R., Chin, E., Cotter, M.L., Hirsch, A.F., Huettemann, R. Kane, V.V., Ostrowski, P., Shaw, C.J., Mateos, J.L., Noriega, L., Guzman, A. Mijarez, A., and Tovar, L. (1982). Isolation and Structural Elucidation of Zoapatanol and Montanol, Novel Oxepane Diterpenoids from the Mexican Plant Zoapatle (Montanoa tomentosa). J. Org. Chem. 47:1310-1319. [ Links ]
Kincl, F. A., Romo, J., Rosenkranz, G., Sondheimer, F. (1956). The constituents of Casimiroa edulis. I. The seed. Journal of the Chemical Society 1956:4163-4169. [ Links ]
Levine, D.J., Adams, R.E., Chen, R., Cotter, M.L., Hirsch, A.F., Kane, V.V., Kanonjia, R.M.,Shaw, C., Wachter, M.P., Chin, E., Huettemann, R., Ostrowski, P., Mateos, J.L. Noriega, L., Guzman, A., Mijarez, A. Tovar, L. (1979). Zoapatanol and Montanol, novel Oxepane diterpenoids from the Mexican Plant Zoapatle (Montanoa tomentosa). J. Am. Chem. Soc. 101:3404-3405. [ Links ]
León Portilla, M. (1999). Bernardino de Sahagún. Pionero de la Antropologia. 1a. ed. Universidad Nacional Autónoma de México. El Colegio Nacional. México, 261 pp. [ Links ]
Lozoya Legorreta, X. (1992). Aspectos farmacológicos de dos plantas del Libellus. En: Estudios Actuales sobre el Libellus Medicinalibus Indorum Herbis. Secretaría de Salud, México. p.181-202. [ Links ]
Lozoya Legorreta X. (1994). Plantas, Medicina y Poder. Breve Historia de la Herbolaria Mexicana. 1ª ed. Colección: Los Libros del Consumidor. Procuraduría Federal del Consumidor y Editorial Pax. México. 175 pp. [ Links ]
Magos Guerrero, G.A., (1999). Estudio farmacológico y químico de los metabolitos secundarios de la semilla de Casimiroa edulis responsables de la actividad cardiovascular en roedores. Tesis de Doctorado. Facultad de Medicina. Universidad Nacional Autónoma de México. 99 pp. [ Links ]
Magos, G.A, Vidrio, H. 1991. Pharmacology of Casimiroa edulis; Part I. Blood pressure and heart rate effects in the anesthetized rat. Planta Medica 57:20-24. [ Links ]
Magos, G.A., Vidrio, H., Enríquez, R. (1995). Pharmacology of Casimiroa edulis; III. Relaxant and contractile effects in rat aortic rings. Journal of Ethnopharmacology 47(1):1-8. [ Links ]
Magos, G.A., Vidrio, H., Reynolds, W.F., Enríquez, R.G. (1998). Pharmacology of Casimiroa edulis IV. Hypotensive effects of compounds isolated from methanolic extracts in rats and guinea pigs. Journal of Ethnopharmacology 64(1):35-44. [ Links ]
Major, R. F., Dursch, F. (1958). Nα,Nα-Dimethylhistamine, a hypotensive principle in Casimiroa edulis. Journal of Organic Chemistry 23: 1564-7. [ Links ]
Marcelle, G.B., Bunyapraphesara, N., Cordell, G.A., Fong, H.H.S. (1985). The Extraction of Zoapatle (Montanoa tomentosa) and the Identification of 21-Normontanol as the Initial Decomposition Product of Zoapatanol. J. Nat. Prod. 48(5):739-745. [ Links ]
Martínez J.L. (1995). "El Códice Florentino" y la "Historia General"de Sahagún. 2a. ed. Archivo General de la Nación. México. 157 pp. [ Links ]
Miranda, F., Valdés, J. (1991) Comentarios Botánicos. En: Libellus Medicinalibus Indorum Herbis. (Manuscrito azteca de 1552. Según traducción latina de Juan Badiano). Versión Española con Estudios y Comentarios por Diversos Autores; Vol II. 2ª. ed., Fondo de Cultura Económica-Instituto Mexicano del Seguro Social: México. pp. 107-148. [ Links ]
Ortiz de Montellano, B., (1975). Empirical Aztec Medicine. Science 188(4185): 215-220. [ Links ]
Oshima, Y., Cordell, G.A. and Fong, H.H.S. (1986). Oxepane Diterpenes from Montanoa tomentosa. Phytochemistry 25(11):2567-2568. [ Links ]
Panzcia, R. P., Townsend, L. B. (1973). Total synthesis of the alkaloid casimiroedine, an imidazole nucleoside. Journal of the American Chemical Society 95: 8737. [ Links ]
Pérez, A.L., Caballero, M.B.A., Ortega, A. Gaviño, R., and Romo de Vivar, A. (1994). New Sesquiterpene Lactones from Montanoa tomentosa subsp. xanthiifolia. Planta Medica 60:263-266. [ Links ]
Pineda, M.E. (1992). Una Nueva Versión en Español del Libellus Medicinalibus Indorum Herbis. En: Estudios Actuales sobre el Libellus Medicinalibus Indorum Herbis. Secretaría de Salud, México. p. 57-47. [ Links ]
Ponce Monter H., Campos Lara M.G. (1997). La investigación en México del fitofármaco Montanoa tomentosa. En: Fitofármacos. (Memorias del Primer Simposio Internacional IMSS-Farmasa Schwabe). Lozoya X. y Gómez E. (eds.). México. p. 137-160. [ Links ]
Power, F.B., Callan, T. (1911). Constituents of the Seeds of Casimiroa edulis. Journal of the Chemical Society Transactions 99:1993-2010. [ Links ]
Power, F.B., Callan, T. (1912). Constituents of the Seeds of Casimiroa edulis. Pharmaceutical Journal 87:623. [ Links ]
Quijano, L., Calderón, J.S., Gómez, F. and Rios, T. (1982). Zoapatanolide A and B, Two New Heliangolides from Montanoa tomentosa. Phytochemistry 21(8):2041-2044. [ Links ]
Quijano, L., Gómez-G. F., Calderón, J.S., López-P., J. and Rios, T. (1984). Zoapatanolides C and D, Two Guaianolides from Montanoa tomentosa. Phytochemistry 23(1):125-127. [ Links ]
Quijano, L. Calderón, J.S., Gómez-G., F., Rosario.M., V. and Rios, T. (1985). Oxepane Diterpenoids and Sesquiterpene Lactones from 'Zoapatle' (Montanoa tomentosa), a Mexican Plant with Oxytocic Activity. Phytochemistry 24(10):2337-2340. [ Links ]
Quijano, L., Calderón J.S., Gómez-Garibay, F., Rosario, V. and Rios, T. (1985a). Acyclic Precursors of the Uterotonic Oxepane Diterpenoids of 'Zoapatle' (Montanoa tomentosa). Phytochemistry 24(11):2741-2743. [ Links ]
Quijano, L., Gómez-G., F., Sierra-R., E. and Rios, T. (1991). Acyclic Diterpenes and Sesquiterpene Lactones from Montanoa tomentosa subsp. tomentosa. Phytochemistry 30(6):1947-1950. [ Links ]
Ramirez, E., Rivero, M. (1936). The pharmacodynamic action of the White Zapote (Casimiroa edulis). Rev. Mensual Med. México 9 (I, No. 3). [ Links ]
Ramirez, E., Rivero, M. (1938). The pharmacodynamic action of the White Zapote (Casimiroa edulis). Revista Sud-Americana de Endocrinologia, Immunologia y Quimioterapia, 21:292-3. [ Links ]
Reyes Chilpa, R. (1980). El nopal en el tiempo I: El corazón de Copil. Fundamento (Revista de San Luis Potosí, México) 1(2):27-29. [ Links ]
Reyes Chilpa, R. (1980a). El nopal en el tiempo II: El higo de Indias. Fundamento (Revista de San Luis Potosí, México) 1(3):20-23. [ Links ]
Romero, M. L.,Escobar, L.I., Lozoya, X., Enriquez, R.G. (1983). High-performance liquid chromatographic study of Casimiroa edulis. I. Determination of imidazole derivatives and rutin in aqueous and organic extracts. Journal of Chromatography 281:245-51. [ Links ]
Romo de Vivar, A., Pérez-Castorena,A.L., Arciniegas, A., Villaseñor, J.L. (2007). Secondary Metabolites from Mexican Species of the Tribe Senecioneae (Asteraceae). J. Mex. Chem. Soc., 51:160-172. [ Links ]
Romo, J., Joseph-Nathan, P. (1964). Constituents of Cacalea decomposita. Structures of cacalol and cacalone. Tetrahedron 20:2331-2337. [ Links ]
Sahagún, B. (1975). Historia General de las Cosas de la Nueva Espana, Editorial Porrúa, México. 1093 pp. [ Links ]
Seaman, F.C., Malcolm, A.J. and Fischer, N.H. (1984). Tomexanthin, an Oxepane Diterpene from Montanoa tomentosa. Phytochemistry 23(2):464-465. [ Links ]
Seaman, F.C., Malcolm, A.J., Fronczek, F.R., Lee, I.Y. and Fischer, N.H. (1984a). Guaianolide Type Sesquiterpene Lactones of Montanoa tomentosa subsp. xanthiifolia and M. tomentosa subsp. rosei and the Molecular Structures of Two Pumilin Analogs. Phytochemistry 23(4):817-822. [ Links ]
Seaman, F.C., Malcolm, A.J., and Fischer, N.H. (1985). Sesquiterpene Lactones of Montanoa guatemalensis and Montanoa tomentosa subsp. xanthiifolia. Phytochemistry 24(9):2003-2005. [ Links ]
Saenz-Carbonell, L., Loyola-Vargas, V. M. (1997). Datura stramonium hairy roots tropane alkaloid content as a response to changes in Gamborg's B5 medium. Applied Biochemistry and Biotechnology 61:321-337. [ Links ]
Somolinos d'Ardois G. (1959). Vida y Obra del Dr. Francisco Hernández. En: Obras Completas, Tomo I. Universidad Nacional Autónoma de México, México. [ Links ]
Somolinos d'Ardois G. (1982). Capítulos de Historia Médica Mexicana. V. El Primer Explorador Científico de la Naturaleza y la Medicina de México. Sociedad Mexicana de Historia y Filosofía de la Medicina. México, 57 pp. [ Links ]
Sondheimer, F., Meisels, A.; Kincl, F. A. (1959). Constituents of Casimiroa edulis. V. Identity of casimirolid and obacunone. Journal of Organic Chemistry 24:870. [ Links ]
Sondheimer, F., Meisels, A. (1960). Constituents of Casimiroa edulis. VI. 2',5,6-Trimethoxyflavone, 2',5,6,7-tetramethoxyflavone (zapotin), and 5-hydroxy-2',6,7-trimethoxyflavone (zapotinin). Tetrahedron 9:139-44. [ Links ]
Soriano-Garcia, M., Walls, F., Barrios, H., Sanchez-Obregon, R,; Ortiz, B., Diaz, E., Toscano, R. A., Yuste, F. (1988). Structure and stereochemistry of cacalone acetate, a sesquiterpene. Acta Crystallographica C, 44:1092-4. [ Links ]
Sosa, V., Dávila, P. 1994. Una evaluación del conocimiento florístico de México. Ann. Missouri Bot. Garden 81:749-757. [ Links ]
Toledo, V.M., Ordoñez, M.J. (1998). El panorama de la biodiversidad de México: una revisión de los hábitats terrestres. En: Diversidad Biologica de Mexico: Orígenes y Distribución. Ramamoorthy, T.P., Bye, R., Lot, A., Fa, J. Eds1a. ed. . Instituto de Biología, UNAM, México. Pp. 739-757. [ Links ]
Topcu, G., Cordell, G.A., Farnsworth, N.R., and Fong, H.S. (1988). Novel Cytotoxic Sesquiterpene Lactones from Montanoa tomentosa subsp. microcephala. Journal of Pharmaceutical Sciences, 77(6);553-556. [ Links ]
Valdés, J.; Flores, H. (1985). Historia de las Plantas de la Nueva España. En: Comentarios a la Obra de Francisco Hernández. Obras Completas, Tomo VII. Universidad Nacional Autónoma de México. México. 179 pp. [ Links ]
Valdés, J., Flores Olvera, H., Ochoterena-Booth H. (1992). La botánica en el códice de la Cruz. En: Estudios Actuales sobre el Libellus Medicinalibus Indorum Herbis. Secretaría de Salud, México. p. 129-180. [ Links ]
Viesca, C. (1992). El Libellus y su contexto histórico. En: Estudios Actuales sobre el Libellus Medicinalibus Indorum Herbis. Secretaría de Salud, México. p. 49-85. [ Links ]













