Servicios Personalizados
Revista
Articulo
Indicadores
-
Citado por SciELO -
Accesos
Links relacionados
-
Similares en
SciELO
Compartir
Problemas del desarrollo
versión impresa ISSN 0301-7036
Prob. Des vol.45 no.177 Ciudad de México abr./jun. 2014
Artículos
Empleo, salarios y desigualdad en Argentina: análisis de los determinantes distributivos
Jobs, Salaries and Inequality in Argentina: An Analysis of Distributional Determinants
Emploi, salaires et inégalités en Argentine: analyse des déterminants distributifs
Emprego, salários e desigualdade na Argentina: análise dos determinantes distributivos
阿根廷的就业、工资和不平等:对分配决定性因素的分析
Fernando Groisman*
* Investigador del Consejo Nacional de Investigaciones Científicas y Técnicas (Conicet) y de la Universidad de Buenos Aires, Argentina. fgroisman@conicet.gov.ar, groismanf@hotmail.com.
Fecha de recepción: 28 de febrero de 2013.
Fecha de aceptación: 05 de julio de 2013.
Resumen
Con posterioridad a la crisis de 2001-2002 la economía argentina exhibió una fuerte recuperación que se extendió a lo largo del periodo transcurrido entre 2003 y 2011. El mercado de trabajo también mostró un comportamiento muy favorable, a juzgar por los niveles de creación de empleo y la dinámica salarial. Uno de los rasgos distintivos que caracterizó el funcionamiento laboral de estos años fue el marcado aumento de la participación relativa en el empleo de los individuos con alto nivel educativo. Sin embargo, ello no repercutió en un aumento de la dispersión de los salarios, por el contrario, se constató una ostensible reducción de la desigualdad salarial.
Palabras clave: Argentina, empleo, salarios, desigualdad, asalariados del sector privado mercado de trabajo.
Clasificación JEL: E24, C25, J31, I24, J24.
Abstract
Following the 2001-2002 crisis, the economy of Argentina experienced a strong recovery, which extended throughout the time period from 2003 to 2011. Looking at levels of job creation and salary dynamics, the labor market also showed favorable behavior. One of the unique features of the labor market in these years was the marked increase in the relative share of employed individuals with high levels of education. However, this did not lead to an increase in salary dispersion; rather, on the contrary, there was an ostensible reduction in salary inequality.
Key Words: Argentina, employment, salaries, inequality, salaried workers in the private sector labor market.
Résumé
Après la crise de 2001-2002, l’économie argentine a montré une forte récupération qui s’est poursuivie au long de la période 2003-2011. Le marché du travail a aussi fait montre d’un comportement très favorable à en juger par les niveaux de création d’emploi et la dynamique salariale. Un des traits distinctifs qui a caractérisé le monde du travail au cours de ces années a été l’accroissement notable de la participation relative des individus ayant un haut niveau d’instruction. Cependant, ceci ne se reflète pas dans une dispersion accrue des salaires ; au contraire, on constate une réduction patente de l’inégalité salariale.
Mots clés: Argentine, emploi, salaires, inégalité, salariés du secteur privé, marché du travail.
Resumo
Depois da crise de 2001-2002, a economia argentina exibiu uma forte recuperação que se estendeu ao longo do período transcorrido entre 2003 e 2011. O mercado de trabalho também mostrou um comportamento muito favorável a julgar pelos níveis de criação de emprego e da dinâmica salarial. Uma das características distintivas que caracterizou o funcionamento laboral destes anos foi o destacado aumento da participação relativa no emprego dos indivíduos com alto nível educativo. Contudo, isso não repercutiu num aumento da dispersão dos salários, pelo contrário, se constatou uma ostensiva redução da desigualdade salarial.
Palavras-chave: Argentina, emprego, salários, desigualdade, assalariados do setor privado, mercado de trabalho.
摘要
2001~2002年危机之后,阿根廷经济实现了强劲复苏,且保持了2003~2011年较长的增长周期。从就业创造和工资机制看,劳动力市场也是表现良好。劳动力市场的一个显著特征是受过高等教育的劳动力人数所占比例明显上升。但是,这并没有带来工资离散程度的上升,与之相反,表面上出现了工资不平等的下降。
关键词:阿根廷 就业 工资 不平等 私人部门
Introducción
La recuperación económica, posterior a la crisis de 2001-2002, tuvo en la recomposición del nivel de empleo asalariado del sector privado uno de sus rasgos más sobresalientes. En efecto, entre 2003 y 2011 este subconjunto de trabajadores se incrementó algo más de 50%. Aquellos con estudios secundarios completos y quienes no eran jefes de hogar aumentaron su participación relativa en estos empleos, además se redujo la proporción de trabajadores jóvenes, entre 18 y 29 años, y se elevó, en cambio, la de aquéllos con edades entre 30 y 39 (véase el cuadro 1). En lo atinente a las características de los empleos, cabe subrayar el sensible acrecentamiento de los puestos registrados en la seguridad social es decir, aquellos de mejor calidad.1

Tal mutación, en la composición del empleo, en un contexto francamente expansivo, puede ser interpretada como el resultado de las preferencias por el lado de la demanda de las empresas. Ello sugeriría que los salarios habrían seguido una pauta similar, es decir, mostrando variaciones relativas, mayores para los grupos de trabajadores más demandados. Sin embargo, la evidencia salarial contradice parcialmente esta presunción (véase Resultados empíricos, p. 69). Así, se pudo comprobar, por ejemplo, que los salarios de aquellos que no habían finalizado el nivel secundario exhibieron los mayores incrementos relativos (véase el cuadro 2).

La coexistencia de tendencias contrapuestas en el empleo y en los salarios relativos advierte que el balance distributivo es a priori indeterminado. En efecto, el saldo en materia de equidad podría ser compatible tanto con un aumento del grado de concentración de los ingresos por ejemplo, si prevaleciera el efecto educación en el empleo como con su opuesto, una reducción de la desigualdad, si en cambio los retornos educativos cayeran hasta descontar el efecto anterior. En el caso argentino se ha constatado una reducción de la desigualdad en la distribución de los salarios entre extremos del periodo 2003-20112 (véase el cuadro 3). Se puede ver además que el descenso de la inequidad fue de una cuantía considerable, cerca de 6 puntos en el coeficiente de Gini.

El debate sobre las causas profundas de los cambios distributivos continúa vigente. Una parte importante de la investigación se direccionó al análisis del aumento de la inequidad en los países anglosajones durante los últimos dos decenios del siglo pasado. De aquí surgió enfáticamente el papel desempeñado por el cambio tecnológico y su incidencia en la demanda de empleo calificado (Freeman et al., 1995; Acemoglu, 2002). La modificación en el patrón tecnológico habría ocasionado la caída de la demanda de trabajadores calificados de rutina vía la generalización de las computadoras (Krueger, 1993) que se ubicaban tradicionalmente en la parte media de la distribución de los salarios (Autor et al., 2006). En línea con ello, se ha puntualizado que el ensanchamiento de la brecha de salarios se produjo en el extremo superior entre los deciles 9 y 5 conjuntamente con la reducción de ese diferencial en la parte inferior entre los deciles 5 y 1. Se dice que el deterioro distributivo sería evidencia de esta polarización en las ocupaciones que tuvo su origen esencialmente en el sesgo de la demanda de trabajo por mayores calificaciones. El argumento central de estos enfoques ha resaltado que las modificaciones en la estructura salarial, por medio del aumento de los premios salariales a la educación y/o a la calificación, habría impulsado la acentuación de la concentración de los salarios. Por otra parte, se han analizado otros casos en los cuales se habría constatado una disminución del premio a la educación alta que estaría vinculado con una lenta introducción de progreso tecnológico que habría limitado la demanda de calificaciones superiores (Izquierdo et al., 2007; Naticchioni et al., 2008 y 2009). Desde un paradigma diferente, otras investigaciones han señalado que no debe descuidarse el efecto composición. Bajo esta interpretación, aun cuando la mayor experiencia y educación de la fuerza de trabajo puedan estar en la base del aumento de la dispersión salarial, otros factores pueden haber ejercido cierta influencia, como la caída en la afiliación sindical (Lemieux, 2006 y 2008, Mosher, 2009). En consecuencia, los cambios distributivos podrían obedecer a alteraciones en los retornos salariales como a variaciones en la composición del universo de trabajadores.
Metodología
Se utilizó la desarrollada por Firpo et al. (2009), cuyo principal atractivo radica en que mediante la utilización de la técnica de regresión permite estimar los efectos de los cambios en las variables independientes (X) sobre diferentes tramos i.e. cuantiles de la distribución de la variable dependiente (Y). El procedimiento puede extenderse también para estimar los factores que inciden sobre diversos indicadores distributivos como el coeficiente de Gini, entre otros. Además, admite la descomposición de los cambios en estos indicadores al estilo de la metodología Oaxaca-Blinder (Oaxaca, 1973; Blinder, 1973) para diferencias salariales, es decir, que resulta posible identificar la influencia de los efectos dotación y retornos para cada covariable incluida en el modelo.
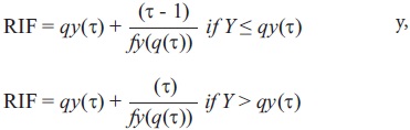
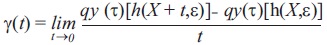
Básicamente, el método consiste en la estimación de regresiones por cuantiles no condicionados Unconditional Quantile Regression (UQR) cuya característica primordial es que efectúa una transformación denominada función de influencia recentrada (recentered influence function desde ahora rif) sobre la variable dependiente (Y) para luego regresarla sobre las variables independientes (X) (Firpo et al.,2009). Formalmente, las regresiones UQR permiten estimar el efecto marginal sobre un dado cuantil no condicionado del cambio en una variable observada X. La variable dependiente Y es una función h de las características observadas X y no observadas e. Además, qy(τ)[Y] es el cuantil (τth)de la distribución no condicionada de Y.
El efecto marginal no condicionado se basa en un procedimiento de dos pasos mediante el cual es posible, en primer lugar, estimar una función de RIF para cada individuo donde la densidad de ingresos fy es estimada mediante un indicador kernel. Tal procedimiento permite computar el efecto de una variable independiente sobre la probabilidad de obtener ingresos sobre (y en) un determinado cuantil. En el segundo paso, la estimación RIF se regresa sobre las variables explicativas mediante mínimos cuadrados ordinarios. De tal forma que la probabilidad de un trabajador de obtener salarios por sobre un determinado cuantil se asume lineal a las características observadas.

Este procedimiento posee una ventaja notoria respecto de las técnicas estándar de regresión es decir, las funciones de ingreso tipo Mincer sobre los salarios que se limitan a la estimación de los efectos de las variables independientes sobre el promedio del salario condicionado. Estos modelos capturan el efecto esperado sobre el salario que un(a) trabajador(a) percibirá ante la modificación de una característica incluida en el vector de variables independientes por ejemplo, la condición de registro del puesto de trabajo o el nivel educativo. Sin embargo, los coeficientes obtenidos en las regresiones estándar suelen diferir entre las personas, según estén ubicadas en distintos tramos de la distribución de los salarios.3
De la misma manera, el método UQR difiere también de las regresiones por cuantiles condicionados: Conditional Quantile Regression (CQR). Estos modelos son apropiados para evaluar el grado de dispersión de la variable de interés (Y ) dentro de los diferentes subgrupos de la población que se asumen homogéneos en su composición. En efecto, esta técnica es válida para estimar la influencia de una dada variable independiente por ejemplo, el registro del puesto de trabajo sobre conjuntos de individuos entre los que se presupone que todos poseen las mismas características observadas, es decir, controlando por el resto de las variables independientes.4
Las regresiones UQR consideran la ubicación efectiva de los individuos en la distribución del ingreso sin ser controladas por las características observadas. Los coeficientes obtenidos de esta forma admiten ser interpretados como el efecto sobre el salario para cada cuantil de ingreso si se produjera un aumento global en las variables independientes (X), por ejemplo, de la educación o del registro de los empleos en 1%. En otras palabras, esta técnica permite estimar cómo se ve afectada la distribución del ingreso ante modificaciones en las variables independientes.
Para dejar en claro la interpretación de los resultados que se van a presentar puede pensarse en dos grupos de trabajadores e.g. registrados y no registrados cada uno con su escenario extremo. En el primero de ellos no habría diferencias en el promedio salarial de ambos grupos de trabajadores es decir, que no habría desigualdad intergrupo, pero la varianza de los salarios sería mayor entre los asalariados no registrados que entre los que sí lo están. En ese contexto, el aumento del registro y, por consiguiente, el descenso del no registrado va a provocar una reducción de la desigualdad salarial total, debido a la disminución de la varianza global ocurrida por el traspaso del(los) trabajador(es). En el segundo escenario, la situación es la inversa ausencia de varianza ya que todos los trabajadores perciben el mismo salario. Considérese además que todos ellos pertenecen al grupo de asalariados no registrados. Por su parte, los trabajadores registrados que en el inicio son inexistentes tendrían un salario más elevado que el de los asalariados no registrados y también ausencia de varianza intragrupo, no habría diferencias salariales entre ellos. Al aumentar el registro, es decir, cuando un trabajador no registrado deviene en registrado, se producirá un aumento de la desigualdad global, ya que se va a haber producido un aumento de varianza global. El deterioro distributivo proseguirá hasta el punto en que un incremento adicional en los trabajadores registrados provoque una reducción de la varianza total. Tal situación va a ocurrir cuando los trabajadores no registrados comiencen a ser cuantitativamente inferiores a los registrados.
El hecho de que la transformación que conlleva la técnica UQR sea similar a una regresión estándar, con la diferencia de que la variable dependiente (Y ) es sustituida por la función de influencia recentrada del quintil de interés, permite avanzar, a diferencia de otras alternativas de descomposición (véase Juhn et al., 1993; DiNardo et al.,1996; Machado et al., 2005), hacia su descomposición siguiendo la metodología Oaxaca-Blinder (Firpo et al., 2011).5
En este artículo el análisis se realizó para los asalariados del sector privado de tiempo completo con jornadas laborales semanales superiores a las 34 horas con edades entre 18 y 59 años. La variable dependiente fue el (logaritmo natural del) salario-horario. La delimitación del universo de estudio favoreció la identificación de los cambios distributivos que se produjeron en las actividades de mayor productividad de la economía y facilitó, además, la tipificación de los factores institucionales que habrían ejercido alguna influencia en estos cambios. Las estimaciones se computaron con las bases de microdatos de la Encuesta Permanente de Hogares (EPH) que realiza el Instituto Nacional de Estadísticas y Censos (INDEC) en los principales aglomerados urbanos del país.
Resultados empíricos
Evolución del empleo y los salarios en el sector privado
El mercado de trabajo argentino se caracteriza por exhibir una elevada proporción de trabajadores en relación con su dependencia en la estructura ocupacional. Hacia finales de 2011 prácticamente 8 de cada 10 ocupados con edades entre 18 y 59 años eran asalariados, de los cuales 77% se desempeñaba en establecimientos privados.6 Entre extremos del periodo del 2003 y 2011 se produjo una acelerada expansión de los asalariados del sector privado. A su vez, este acrecentamiento se vio acompañado por un marcado cambio en su composición. Cabe destacar en este sentido, el aumento de más de 9 puntos porcentuales del empleo registrado que pasó de 62.4% en 2003 a 71.7% en 2011 (véase el cuadro 1). Una forma directa de ponderar semejante transformación surge de considerar que el incremento neto de puestos de trabajo registrados fue equivalente a cerca de 90% de la variación, también neta, del total de los asalariados del sector privado en este periodo.
Otras modificaciones en la composición de este grupo fueron también notorias, por ejemplo, aumentaron los asalariados en puestos de trabajo demandantes de calificaciones operativas, por ejemplo, a 6.7 puntos porcentuales, a expensas principalmente de la reducción de los empleados en puestos que no exigían un mínimo de calificación y, en menor medida, de la disminución relativa de los trabajadores en puestos técnicos.7 Por su parte, en la cúspide de la pirámide, los asalariados con calificación profesional mantuvieron su participación relativa en torno a 6%. Asimismo, se redujo sensiblemente la ocupación en los establecimientos pequeños, con hasta cinco ocupados, en 9 puntos porcentuales a favor de los establecimientos medianos y grandes, en partes iguales prácticamente. Sectorialmente cabe subrayar un marcado aumento de la construcción, 3 puntos porcentuales, que no implicó, a su vez, la reducción relativa del empleo industrial que se mantuvo en el orden de 25% tanto en 2003 como en 2011.
En cuanto a las características sociodemográficas cabe subrayar el fuerte aumento de aquéllos con estudios secundarios completos, 4.5 puntos porcentuales, a costa de la reducción en la participación relativa de los asalariados que no habían completado ese nivel. Por su lado, los que tienen estudios universitarios completos, vieron acrecentar su peso relativo en algo menos de 1 punto porcentual (véase el cuadro 1). La ampliación de la educación entre los asalariados privados fue muy superior a la que se constató en la población en general. En efecto, los trabajadores que tenían por máximo nivel educativo completo el secundario se incrementaron 60% entre 2003 y 2011, mientras que en la población adulta ese guarismo fue de 28%. En cuanto a la edad que puede considerarse como un indicador cercano a la experiencia laboral, se produjo un crecimiento de la franja etaria entre los 30 y los 39 años, 2.7 puntos porcentuales, en perjuicio de la reducción relativa de los más jóvenes, entre 18 y 29 años. No se produjeron modificaciones, en tanto, entre aquéllos con edades de 40 a 59 años. Con relación a la posición en el hogar, se constató una considerable reducción de los jefes de hogar, 5.2 puntos porcentuales. Por último, cabe señalar que no se produjeron cambios relevantes en la composición por sexo en este segmento de trabajadores.
Entre 2003 y 2011 el salario horario promedio de los trabajadores en relación de dependencia del sector privado se quintuplicó en términos nominales mientras que su poder de compra se incrementó en alrededor de 35%.8 A su vez, se puede verificar que, a pesar de las marcadas alteraciones documentadas en la composición de este grupo, el panorama salarial para esas mismas categorías se mantuvo globalmente estable. En efecto, no se modificó la brecha de salarios según tramos de edad, posición en el hogar y nivel educativo. En este último caso cabe subrayar que en realidad se redujo la dispersión salarial debido a que aumentó el salario de aquellos con bajo nivel educativo, respecto del promedio, y se redujo para los que habían finalizado el nivel medio y el superior más intensamente en este último estrato (véase el cuadro 2). Por otra parte, también se constató una tendencia a la compresión salarial según sector de actividad, región geográfica y tamaño de establecimiento. En este último caso, interesa enfatizar que se redujo el salario de aquellos en establecimientos más grandes al tiempo que aumentó la remuneración promedio de los asalariados en establecimientos de hasta cinco ocupados.
Cabe destacar que la brecha salarial entre los trabajadores registrados y no registrados sólo mostró un leve agravamiento (véase el cuadro 2). Obsérvese que el salario de los trabajadores registrados cayó respecto del promedio salarial pero algo más se redujo el de los asalariados no registrados.
En suma, el panorama laboral en el sector privado de la economía, al cabo de estos ocho años, se caracterizó por la marcada discrepancia entre los cambios acaecidos en la composición de los asalariados de acuerdo con ciertas características sociodemográficas y de los puestos de trabajo y la evolución de la estructura de salarios. Los primeros dieron cuenta de una fuerte reconversión de este segmento de trabajadores a favor de una mayor participación relativa de aquéllos con mayor nivel educativo, experiencia y calificación; que además accedieron a puestos de trabajo registrados en establecimientos medianos y grandes. Por otro lado, la estructura salarial mostró una notoria estabilidad global y en ciertas variables (educación y calificación) una tendencia a comprimir los diferenciales.
Acerca de los determinantes del salario-horario
La identificación de aquellas variables que ejercen alguna influencia sobre la dispersión de los ingresos laborales se realiza habitualmente por medio de análisis de regresión multivariada estimados por mínimos cuadrados ordinarios. Tales ecuaciones de ingresos, denominadas en la literatura tipo Mincer o mincerianas (Mincer; 1974), suministran una especificación razonable del promedio condicionado de los salarios. Mediante este procedimiento, que tiene su origen en la teoría del capital humano, es posible identificar los efectos independientes que ejercerían determinados atributos personales y también es posible ampliar el modelo con aquellas características relativas a los puestos de trabajo y empresas sobre la variabilidad de los salarios. Los resultados de este tipo de análisis para el caso argentino muestran, en forma clara, que el salario resultó creciente con la educación quienes habían finalizado el nivel medio/universitario obtuvieron salarios superiores a quienes tenían por máximo nivel completo el primario y medio, respectivamente y más elevado para los jefes de hogar, los varones y aquellos mayores de 30 años, con relación a quienes no eran jefes, las mujeres y los jóvenes con edades entre 18 y 29 años, respectivamente.9 Es interesante subrayar además que las variables que se encuentran asociadas a las características de los puestos de trabajo también mostraron ejercer una incidencia significativa. En particular se verificó la persistencia de un elevado premio salarial asociado a la calidad del empleo medida por el registro del puesto de trabajo, tanto en 2003 como en 2011. Tal recompensa que cabe enfatizar recae en un atributo del puesto del trabajo y no del trabajador es indicativa de segmentación en el mercado laboral.10 Es decir, que en igualdad del resto de las covariables incluidas en el modelo controlando por nivel educativo, sexo, tamaño del establecimiento, y demás variables independiente, aquellos asalariados en puestos no registrados sufrieron un severo castigo salarial. Los coeficientes asociados a la calificación: profesional, técnica y operativa, en ese orden, y al tamaño de los establecimientos (grandes y medios) también se mostraron positivos con respecto a quienes ocupaban puestos no calificados y en firmas de menor tamaño, respectivamente.
La evidencia recién comentada es útil como una primera aproximación a la identificación de las variables que ejercen alguna incidencia sobre la dispersión de los salarios. Sin embargo, es necesario recurrir a otros métodos que aborden específicamente la evaluación de los determinantes de la desigualdad de los salarios (véase Metodología, p. 66).
Los determinantes de la desigualdad salarial: regresiones por cuantiles no condicionados
Las regresiones por cuantiles no condicionados UQR se computaron para los cuantiles 1, 5 y 9. En lo que sigue, la interpretación de las estimaciones se circunscribió a las variables: registro en el empleo y nivel educativo. Tal decisión obedeció a que se trata de los factores que exhibieron el mayor poder explicativo sobre la dispersión salarial.
El registro de los puestos de trabajo
El efecto progresivo del registro sobre la distribución salarial se aprecia con claridad en los coeficientes obtenidos mediante las regresiones UQR. En efecto, el parámetro asociado al registro disminuyó en forma sostenida según se ascendía en la distribución del ingreso no condicionado. Puede apreciarse, incluso, que se ubicó en el límite de lo significativo en la estadística en el decil 9, siendo su valor de 0.076 y 0.041 en 2003 y 2011, respectivamente. Por su parte, en el decil inferior este guarismo fue de 0.67 y 0.89 para ambos extremos del periodo, respectivamente (véase el cuadro 3). Puesto en otros términos, el diferencial tendió a ser nulo entre los que tenían los salarios más elevados mientras que fue positivo en los extremos inferiores. Esa es la expresión de su efecto igualador, en tanto, se verán mayormente beneficiados por un incremento del registro distribuido igualitariamente en el conjunto de los trabajadores, aquellos ocupados en los puestos con ingresos más bajos.
A modo comparativo se estimaron también modelos mediante regresiones por cuantiles condicionados (CQR). Estos modelos son útiles para evaluar la dispersión salarial intragrupo, en este caso para registrados y no registrados, controlando la influencia del resto de las covariables del modelo. Puede apreciarse que los coeficientes obtenidos para el registro, tanto en 2003 como en 2011, fueron positivos para todos los deciles considerados (1, 5 y 9) y decrecientes a medida que se ascendía en la distribución condicionada del ingreso (véase el cuadro 5). Es decir, que el premio al registro entre los asalariados de mayores ingresos fue inferior al vigente entre los trabajadores con bajos ingresos, controlando por nivel educativo, edad, y demás covariables.
La educación
Los coeficientes estimados en cada uno de los cuantiles no condicionados, considerados en sí mismos, pueden ser interpretados como una aproximación a las tasas de retorno salariales. A su vez, la comparación del valor alcanzado por estos coeficientes para los diversos cuantiles que se están considerando, conforma una aproximación razonable del efecto composición, es decir, aquel que resulta de cambios en la participación relativa de los trabajadores según su nivel educativo. Centrando el análisis en este último aspecto, los resultados obtenidos en 2003 para el nivel educativo medio permiten concluir que un aumento de estos trabajadores, distribuidos igualitariamente a lo largo de toda la distribución salarial, tendría un efecto neutro sobre la desigualdad. Nótese que los coeficientes no difirieron estadísticamente entre los diversos deciles considerados. Tal comportamiento se mantuvo en 2011 aunque fue algo más débil (véase el cuadro 6). Tales resultados se encuentran en línea con el ya elevado porcentaje de asalariados con educación secundaria completa. Por otro lado, los efectos distributivos de cambios en la proporción de trabajadores con educación superior completa, mostraron un panorama bastante diferente. Efectivamente, el incremento relativo de este grupo manifestó un claro efecto concentrador; obsérvese que los coeficientes en el decil 1 fueron 0.14 y 0.12, en 2003 y 2011, respectivamente, mientras que en el decil 9 tales guarismos fueron 0.50 y 0.46 para ambos extremos del lapso considerado.
La descomposición del cambio distributivo
Los efectos distributivos de las diversas variables analizadas, tomados en forma individual, pueden reforzarse y/o neutralizarse en su efecto agregado sobre la desigualdad. Se desprende de ello la utilidad de acometer un análisis integral de la influencia de cada uno de estos factores sobre la inequidad salarial, y su cambio entre 2003 y 2011 (véanse los cuadros 6 y 7). Tal análisis es posible recurriendo a la descomposición Oaxaca-Blinder sobre los cambios temporales en los indicadores distributivos (Firpo et al., 2009). En este artículo se realizó tal procedimiento a la variación que exhibieron el coeficiente de Gini y la Varianza Logarítmica (véase Metodología, p. 66).

En la descomposición del cambio distributivo se puede verificar que el efecto dotación o composición tuvo una influencia favorable hacia la reducción de la inequidad, pero globalmente minoritaria. Fueron los retornos salariales los que ejercieron un efecto mayoritario (alrededor de 85-90% de la reducción de la desigualdad obedeció a este último efecto). En otros términos, de no haberse producido tales modificaciones en los retornos salariales, es decir, en cómo fueron remuneradas ciertas características de los trabajadores y de los puestos de trabajo, la variación en la desigualdad salarial entre 2003 y 2011 hubiera sido muy leve, apenas algo mayor a un punto en el coeficiente de Gini.
En el análisis de cada uno de los factores que intervienen en tal reducción cabe destacar la influencia del valor asociado a la constante. Efectivamente, este coeficiente salarial fue el que más contribuyó a la reducción de la inequidad; nótese que su valor fue de tal cuantía que superó la diferencia global que mostraron los indicadores distributivos considerados. El retorno salarial a la constante, captura aquella fracción de las remuneraciones que no se encuentra asociada a los determinantes incluidos en el modelo.11 Puesto en otros términos, la interpretación de tal resultado indica que los salarios en Argentina tendieron a incrementarse con mayor intensidad relativa entre todos aquellos asalariados ubicados en la parte inferior de la distribución del ingreso. Tal panorama resulta coherente con el entorno institucional y normativo vigente en el periodo que propició la recomposición de las remuneraciones desde la base de la pirámide salarial con relativa autonomía tanto de las características personales como de los puestos de trabajo y/o empresas.
El retorno salarial a la calidad del empleo, medido por el registro del puesto de trabajo, fue el segundo determinante más potente en pos de una mayor igualdad salarial. Ello resulta compatible con el fuerte aumento del registro ya señalado, que repercutió sensiblemente sobre los trabajadores de bajo nivel educativo, por ejemplo, quienes vieron incrementar notoriamente sus remuneraciones por esa transformación. En menor cuantía, los retornos salariales asociados a la calificación, al tamaño del establecimiento y a la edad, en ese orden, tuvieron también un papel favorable en la reducción de la inequidad salarial. Por su parte, los diferenciales salariales vinculados a las diversas regiones del país, a los sectores de actividad y a la educación, mostraron tener un comportamiento contrario a la reducción de la dispersión salarial. Ello no resulta sorprendente teniendo en cuenta que las normas institucionales a las que se viene haciendo referencia tienden a asegurar mínimos salariales, los cuales pueden ser superados por las empresas. En ese marco, es factible que las firmas de las regiones/ramas de actividad con ventajas comparativas o mayor productividad hayan estado dispuestas a pagar remuneraciones más elevadas para los trabajadores más educados, dado el contexto expansivo que caracterizó a este periodo.
Conclusiones
El análisis descriptivo de la evolución del empleo y de los salarios entre 2003 y 2011 mostró tendencias contrapuestas. Por un lado, se pudo apreciar que cambió el perfil educativo de los asalariados privados a favor de aquéllos con mayor instrucción. El aumento relativo de la fuerza de trabajo con educación media y alta fue bastante superior al incremento observado para el mismo periodo en la población adulta. El sesgo de la demanda de empleo hacia este segmento de trabajadores no se tradujo, sin embargo, en un alza de sus salarios respecto de las remuneraciones percibidas por los ocupados con baja educación. Al contrario, una característica relevante del periodo fue la reducción de este diferencial salarial. La discrepancia entre el dinamismo del empleo, según ciertas características/atributos de los trabajadores y la evolución de los salarios, en el sentido recién señalado, no se limitó exclusivamente a la dotación educativa. Similar patrón de comportamiento se verificó también en otras variables como la calificación: aumentaron los puestos de trabajo operativos y técnicos mientras que los salarios no reflejaron ese mayor dinamismo y, el tamaño del establecimiento, se redujo el empleo en pequeñas firmas pero los salarios promedio en estos establecimientos no se retrasaron en la estructura de remuneraciones.
Los cambios en la composición del empleo y en la estructura de los salarios tienen un correlato en el balance distributivo. El signo del mismo dependerá de cuál es el factor que prevalece, empleo o salarios, y sus características. En particular, del grado de dispersión salarial (intergrupo e intragrupo) y de los pesos relativos de los subgrupos relevantes de trabajadores. En el caso argentino, se constató un fuerte descenso en la inequidad salarial del orden de 15% respecto del coeficiente de Gini observado en 2003. Se verificó, además, que ese declive en la concentración salarial obedeció a la más intensa recomposición de ingresos en la parte inferior de la distribución.
Tal comportamiento es compatible con los efectos que producen ciertas variables institucionales, como el salario mínimo, y/o los acuerdos salariales entre trabajadores y empleadores en los que se definen las remuneraciones básicas del sector o rama de actividad. Estas regulaciones, que tienen un efecto directo sobre los puestos de trabajo registrados, junto a otras normas dispuestas por los gobiernos e.g. incrementos salariales de sumas fijas, podrían contrarrestar, neutralizar o exacerbar las repercusiones sobre los salarios de cambios en la demanda de empleo. Las ecuaciones salariales, estimadas por medio de regresiones por cuantiles no condicionados, permitieron evaluar la incidencia de variables sociodemográficas y de otras características de los puestos de trabajo en diferentes partes de la distribución salarial así como sobre indicadores distributivos sintéticos. De tal manera que resultó posible extraer conclusiones acerca de los efectos de los cambios marginales en las mismas sobre la concentración de las remuneraciones.
El análisis del caso argentino suministró evidencias acerca de la influencia que ejerció la mejora en la calidad del empleo. En efecto, el retorno salarial asociado a los puestos de trabajo de mayor calidad, medida por el registro en el sistema de seguridad social, reveló ser un potente determinante de la igualdad salarial. Los modelos estimados mostraron que, tanto en 2003 como en 2011, aquellos ocupados ubicados en la parte inferior de la distribución salarial no condicionada se habrían beneficiado en mayor cuantía por un incremento del registro distribuido igualitariamente en el conjunto de los trabajadores. En la interpretación de tal resultado cabe tener en consideración que el incremento del registro fue de considerable magnitud equivalente a 90% de la variación global neta del conjunto de asalariados privados y, alcanzó así, a una proporción relevante de trabajadores que percibían salarios bajos. De tal forma que el aumento del empleo protegido contribuyó a disminuir la inequidad salarial entre los trabajadores del sector privado, debido a que quienes accedían a un puesto de trabajo registrado lograban, por esa condición, ascender en el ordenamiento distributivo reduciendo la brecha global. Cabe notar que el premio salarial al registro, evidencia de segmentación laboral, no se redujo entre los extremos del periodo y que el salario promedio de estos trabajadores fue superior en algo más de 80% al percibido por los asalariados no registrados.
Otra pieza de evidencia que arrojó el análisis efectuado es que a pesar del cambio de perfil educativo en la fuerza de trabajo asalariada se constató una marcada caída en los retornos salariales a la educación. En efecto, en prácticamente la totalidad de los modelos salariales estimados, tales coeficientes se redujeron entre extremos del periodo. En consecuencia puede deducirse que se habría producido un cambio de relevancia en los determinantes salariales desde aquellos centrados en los atributos personales hacia los que tienen su origen en las características de los puestos de trabajo. Tal giro concuerda con el protagonismo que mostraron algunos dispositivos institucionales que tendieron a elevar los salarios más bajos prescindiendo de las características personales de los trabajadores. Cabe señalar en este sentido la política de salario mínimo, la multiplicación de las negociaciones colectivas y el creciente accionar sindical. Los resultados de la descomposición del cambio en los indicadores distributivos seleccionados confirmaron tal aseveración.
Agradecimientos
El autor agradece los comentarios recibidos por parte de los evaluadores anónimos.
Bibliografía
Acemoglu, Daron (2002), "Technical change, inequality and the labor market", Journal of Economic Literature, vol. 40, núm. 1, American Economic Association, marzo, pp. 7-72. [ Links ]
Autor, David H.; Katz Lawrence F., y Melissa S. Kearney (2006), "The polarization of the U.S. Labor Market", American Economic Review vol. 96 núm. 2, American Economic Association, mayo, pp. 189-194. [ Links ]
Blinder, Alan (1973), "Wage discrimination: Reduced form and structural estimates", Journal of Human Resources, vol. 8, núm. 4, The University of Wisconsin Press, otoño, pp. 436-455. [ Links ]
Di Nardo, John; Nicole M. Fortin, y Thomas Lemieux (1996), "Labor market institutions and the distribution of wages, 1973-1992: A semiparametric approach", Econometrica, vol. 64, núm. 5, The Econometric Society, septiembre, pp. 1001-1044. [ Links ]
Firpo, Sergio; Nicole M. Fortin, y Thomas Lemieux (2009), "Unconditional quantile regressions", Econometrica, vol. 77, núm. 3, The Econometric Society, mayo, pp. 953-973. [ Links ]
Fortin, Nicole M.; Thomas Lemieux, y Sergio Firpo (2011), "Decomposition methods in economics", en O. Ashenfelter y D. Card (eds.), Handbook of Labor Economics, Amsterdam, North-Holland, Elsevier, vol. 4A, p.p. 1-102. [ Links ]
Fournier, Jean-Marc, e Isabell Koske (2012), "Less income inequality and more growth are they compatible?, séptima parte: The drivers of labour earnings inequality an analysis based on conditional and Unconditional Quantile Regressions", OECD Economics Department Working Papers, núm. 930, OECD Publishing. [ Links ]
Freeman, Richard B., y Lawrence F. Katz (1995), Differences and changes in wage structures, Chicago, University of Chicago Press. [ Links ]
Izquierdo, Mario, y Aitor Lacuesta (2007), "Wage inequality in Spain: recent developments", European Central Bank, Working Paper Series 781. [ Links ]
Juhn, Chinhui; Kevin Murphy, y Brooks Pierce (1993), "Wage inequality and the rise in returns to skill", The Journal of Political Economy, vol. 101, núm. 3, Chicago, The University of Chicago Press, junio, p.p. 410-442. [ Links ]
Krueger, Alan B. (1993), "How computers have changed the wage structure: Evidence from micro data", Quarterly Journal of Economics, vol. 108, núm. 1, Oxford University Press, febrero, pp. 33-60. [ Links ]
Lemieux, Thomas (2006), "Increasing residual wage inequality: Composition effects, noisy data, or rising Demand for skill?", American Economic Review, vol. 96, núm 3, American Economic Association, junio, pp. 461-498. [ Links ]
----------, (2008), "The changing nature of wage inequality", Journal of Population Economics, vol. 21(1), Springer, enero, pp. 21-48. [ Links ]
Machado, José A. F., y José Mata (2005), "Counterfactual decomposition of changes in wage distributions Using Quantile Regression", Journal of Applied Econometrics, vol. 20, núm. 4, Wiley, mayo-junio, pp. 445-465. [ Links ]
Mincer, Jacob (1974), Schooling, experience and earnings, Columbia University Press, Nueva York. [ Links ]
Mosher, James S. (2007), "U.S. wage inequality, technological change, and decline in union power", Politics Society, vol. 35, num.2, pp. 225-263. [ Links ]
Naticchioni, Paolo; Andrea Ricci, y Emiliano Rustichelli (2008), "Wage inequality, employment structure and skill-biased change in Italy", Labour, vol. 22, pp. 27-51. [ Links ]
----------, (2009), "Far away from a skill-biased change: falling educational wage premia in Italy", Applied Economics, vol. 42 (26), pp. 3383-3400. [ Links ]
Oaxaca, Ronald (1973), "Male-Female wage differentials in urban labor markets", International Economic Review, vol. 14, núm. 3, Wiley, octubre, pp. 693-709. [ Links ]
1 Estos empleos conforman el segmento de ocupaciones de mejor calidad, ya que al haber sido declarados por los empleadores gozan de la protección efectiva de las normas laborales y quienes allí se desempeñan perciben, además, remuneraciones más elevadas que aquellos que ocupan puestos no registrados precarios.
2 La elección de ambos años otorga un intervalo razonablemente extenso para el análisis de los cambios distributivos. Cabe destacar también que la comparación de las variables analizadas entre los extremos del periodo refleja adecuadamente las tendencias acaecidas a lo largo de este tiempo.
3 En efecto, la repercusión sobre los salarios de ciertas variables, por ejemplo, el máximo nivel educativo alcanzado, va a diferir entre diferentes individuos. Se ha demostrado que la educación es más valiosa el coeficiente asociado a la misma es más alto para aquellos trabajadores que requieren de la misma para acceder a ocupaciones de altos ingresos que para aquéllos en puestos de trabajo con bajas remuneraciones. Las técnicas de regresión estándar de mínimos cuadrados ignoran esta heterogeneidad y proveen una estimación del efecto promedio de la educación.
4 Se sigue, entonces, que de existir diferencias en los coeficientes estimados para los diversos cuantiles condicionados de ingreso, éstas van a ser expresión de aquellas características que no están siendo controladas no observables y/o no encuestadas. Por lo tanto, este método suministra una medida de la dispersión intragrupo que no es posible extrapolar a los determinantes de la inequidad global.
5 Los cambios en los indicadores distributivos pueden analizarse como el resultado de modificaciones que habrían acaecido en la composición del universo bajo análisis entre ambos puntos en el tiempo y/o en las retribuciones asociadas a las características de los asalariados y de los puestos de trabajo. El método ha sido, además, recientemente utilizado para descomponer las diferencias distributivas entre países (Fournier et al., 2012).
6 Estimación propia sobre la base de EPH, IV trimestre de 2011.
7 La clasificación de los puestos de trabajo según la calificación demandada en las categorías de: no calificados, operativos, técnicos y profesionales, es realizada por el Instituto Nacional de Estadísticas y Censos. La misma busca determinar los requerimientos de conocimientos y habilidades necesarios para el desempeño de las ocupaciones. En términos generales, quienes se desempeñan en puestos de calificación operativa requieren en su mayoría de habilidades manuales mientras que aquéllos en puestos técnicos y profesionales recurren primordialmente a saberes teóricos. A su vez, la distinción entre estos últimos obedece a la complejidad de las tareas que se realizan en cada caso.
8 Estimaciones propias sobre la base de EPH e índices de precios al consumidor provinciales.
9 Datos a disposición del lector interesado.
10 La explicación alternativa a la hipótesis de segmentación se centra en la tesis de la elección individual. Aplicada al caso argentino implicaría concluir que un grupo de asalariados de tiempo completo del sector privado de la economía en torno a 30-40% habría rechazado voluntariamente los beneficios de un empleo protegido y de un salario más elevado en torno a 50%. La fuerte creación de empleo registrado en el periodo y la magnitud de la brecha salarial hacen que tal interpretación no resulte suficientemente convincente. Por otra parte, podría argumentarse la influencia de características no observadas e.g. inteligencia, habilidad que se expresarían en diferenciales de productividad como razón subyacente a las discrepancias salariales entre ambos grupos. Sin embargo, tal argumento impondría la condición de una equivalencia bastante precisa entre empleos productivos/no productivos y el registro/no registro de los puestos de trabajo.
11 En las ecuaciones salariales estándar modelos mincerianos ese coeficiente suele ser interpretado como el salario de referencia correspondiente al grupo de individuos contra el cual se realiza la comparación. En la descomposición Oaxaca-Blinder como la que se efectuó para la diferencia salarial entre trabajadores registrados y no registrados la interpretación del retorno salarial a la constante indica el componente de segmentación pura, o discriminación si el análisis se hubiera realizado entre mujeres y varones. En la descomposición que aquí se está realizando tal cifra refleja el efecto distributivo de los cambios en los salarios que no pueden ser atribuidos a ninguna de las variables independientes.













