Servicios Personalizados
Revista
Articulo
Indicadores
-
Citado por SciELO -
Accesos
Links relacionados
-
Similares en
SciELO
Compartir
Hidrobiológica
versión impresa ISSN 0188-8897
Hidrobiológica vol.15 no.3 Ciudad de México 2005
Article
Annual reproductive cycle of gafftopsail catfish, Bagre marinus (Ariidae) in a tropical coastal environment in the Gulf of Mexico
Ciclo reproductivo anual del bagre bandera Bagre marinus (Ariidae) en un ambiente tropical costero del Golfo de México
Manuel Mendoza-Carranza1 and Arlette Hernández-Franyutti2
1 Departmento de Pesquerías Artesanales El Colegio de la Frontera Sur - ECOSUR-Unidad Villahermosa A.P. 1042 Admon. de Correos No.2 Col Atasta,Villahermosa, Tabasco C.P. 86100 México. email: mcarranza@vhs.ecsur.mx
2 Histology Laboratory. Universidad Juárez Autónoma de Tabasco. Carretera Vhsa-Cardenas Km 0.5. 86000, Villahermosa, Tabasco, México.
Recibido: 6 de agosto de 2004
Aceptado: 6 de abril de 2005
Abstract
Reproductive cycle of gafftopsail catfish (Bagre marinus) and its relation to environmental variables were analyzed, based on specimens collected randomly from commercial landings of long line artisan fleet of the Chiltepec Barrier, Tabasco State. Gonadosomatic index showed that this species had one reproductive period per year (May - August). Reproduction occurs in shallow coastal waters at high temperatures (27.0 - 29.0°C) under heavy precipitation conditions (170- 333 mm). Female condition factor had a similar behavior than the gonadosomatic index, reaching high values (0.61 to 0.63) during May through July, although a high value of 0.64 was observed during March. A decrease on the condition factor in males from July (0.55) to October (0.50) was related to the energetic cost of oral incubation. This finding was consistent with a decrease in the proportion of captured males during these months (from 50.7% in July to 23.9% in November) when males migrated from fishing areas to estuarine zones to release their progeny. Gafftopsail catfish presents a synchronic ovocitary development in two groups with total spawning. The species is characterized by low fecundity. The mean number of mature hydrated oocytes per female was 33, ranging from 21 to 62, which is related to the mouth brooding tactic wich allowed ariid species to survive under a variety of environmental conditions. Gafftopsail catfish take advantages of the different habitats present in its distribution area, by using a reproductive strategy with local seasonal migrations.
Key words: Coastal environment, fisheries, migration, reproduction, gafftopsail catfish, Bagre marinus.
Resumen
Fue analizado el ciclo reproductivo del bagre bandera (Bagre marinus) y su relación con variables ambientales, basados en especimenes colectados al azar provenientes de desembarcos de la flota palangrera artesanal de la Barra de Chiltepec, Tabasco. El índice gonadosomático mostró que esta especie tiene un periodo reproductivo al año (mayo-agosto). La reproducción ocurre en aguas costeras marinas a altas temperaturas (27 - 29°C) y precipitación (170 - 333 mm). Durante mayo a julio el factor de condición de las hembras alcanzó altos valores (0.61-0.63), reflejado el comportamiento del índice gonadosomático. El decremento del factor de condición de los machos de julio (0.55) a octubre (0.50) está relacionado con el costo energético de la incubación oral. Este comportamiento es coincidente con el decremento en la proporción de machos capturados durante esos meses (50.7% en julio a 23.9% en noviembre) cuando los machos migran de las áreas de pesca hacia las zonas estuarinas donde liberan su progenie. El bagre bandera presenta un desarrollo ovocitario sincrónico en dos lotes con desova total. Esta especie es caracterizada por su baja fecundidad. El número medio de ovocitos hidratados por hembra fue de 33 con un mínimo de 21 y un máximo de 62 lo cual esta relacionado con la táctica de incubación oral, esta táctica ha permitido a las diversas especies de Arideos sobrevivir bajo una gran variedad de condiciones ambientales. El bagre bandera toma ventaja de los diferentes hábitats presentes en su área de distribución, a través de su estrategia reproductiva que incluye migraciones locales estacionales.
Palabras clave: Ambiente costero, pesquerías, reproducción, migración, bagre bandera, Bagre marinus.
Introduction
The gafftopsail catfish (Bagre marinus Mitchill) represents the greatest volume among marine commercial fish species landed in the Mexican Coast of the Gulf of Mexico and the Caribbean Sea (6242 tons in 2001). Tabasco State had the highest volume landed (3811 tons), representing 61% of the total catch (Comisión Nacional de Acuacultura y Pesca 2003). In Tabasco, this landing volume is mainly sustained by the bottom long line used by the artisan fleet, which fishes in the coastal zone. Due to its great abundance, gafftopsail catfish plays an important ecological role in coastal zones and estuarine systems of the Gulf of Mexico, (Yáñez-Arancibia & Lara-Dominguez 1988), contributing to energy transport in different ecosystems of the coastal zone. Juvenile and adult gafftopsail catfish use these ecosystems for feeding, recruitment, growth, reproduction and spawning.
Despite the importance of this species to fisheries and coastal ecosystems in the region, only a few aspects of its life history have been studied. The spatial-temporal distribution and abundance patterns, as well as feeding and spawning locations, were described for the gafftopsail catfish in Terminos Lagoon and Tabasco Coast (Yáñez-Arancibia & Sánchez-Gil 1986, Yáñez-Arancibia & Lara-Dominguez 1988, Mendoza-Carranza 2003). However, studies on the ecology and fisheries of this important species are practically non-existent, particularly with respect to reproductive aspects. This paper summarizes observations on the reproductive biology of gafftopsail catfish in a tropical coastal environment, and its association with environmental variables.
Materials and methods
Monthly randomly samples of individuals of gafftopsail catfish were obtained from commercial landings of long line artisan fleet of the Chiltepec Barrier in the two principal commercial landing centers in Chiltepec Town, Paraíso County in Tabasco State, Mexico, from May 1996 to March 1997 (Table 1). The fish were captured in the coastal zone in front of the Chiltepec Barrier at depths typically between 10 and 40 m (Mendoza-Carranza 2003).
Species identification was based on the descriptions by Fischer (1978) and Secretaría de Pesca (1982). Two types of samples and biometrics data were taken: 1) when the fish was previously eviscerated by fishermen, we measured total and standard length to the nearest mm, total and somatic weight to the nearest g and the sex of fish was identified; 2) when the fish was not eviscerated, we included the same measures but also we obtained the fresh weight of the gonad to the nearest g. During December we collect only measures of fishes but not gonads and during August and April we did not collect samples of any type. Fishes were returned to the fisherman after these procedures.
The monthly average sea surface temperature along the fishing area was estimated from weekly sea surface temperature images based on OI.v2 analysis (Reynols et al. 2002). Weekly sea surface temperature images were obtained from the web site of the International Research Institute for Climate Prediction (2003). Monthly average precipitation of Grijalva-Usumacinta hydrological basin, which influences the hydrology and salinity of the fishing area, was estimated from monthly images (Adler et al. 2003). Images were acquired from the web site of the Global Precipitation Climatology Centre (2004).
The allometric growth equation (Wt = aTLb), where Wt = total weight, TL = total length, and a,b are derived coefficients) was applied to compare the total length-total weight relationship for males (n=278) and females (n=150) of gafftopsail catfish (Gulland 1983, Sparre & Venema 1995). Analysis of covariance (ANCOVA) was used to compare female and male regressions, a linearization of the allometric growth equation using logarithmic transformation was necessary to run this test (Sokal & Rohlf 1981, Zar 1984).
The monthly sex proportion and sex proportion by size class were calculated. Differences between proportions were tested by chi-square test (Zar 1984).
The gonadosomatic index (GSI), which is the gonad weight as a percentage of somatic weight, was calculated for females and males and its monthly variation was analyzed. Monthly differences were tested using the Kruskal-Wallis test and nonparametric multiple comparison (Zar 1984). The monthly allometric condition factor (K) was calculated for females and males from K = W/TLb2*100 (Bolger & Connoly 1989), where W is the somatic weight, TL the total length and b2 is the allometric coefficient derived in a similar manner as b from total weight. Relationships among monthly gonadosomatic index and environmental variables were tested using correlation analyses (Zar 1984).
Fecundity (F) was estimated as the total count of mature (hydrated) oocytes in both ovaries from 69 mature females that showed no signs of recent spawning (ranging from 350 to 555 mm in length and 351 to 1980 g in fresh weight) sampled during May through July. The relationships between total length and oocytes number and total weight and oocytes number were estimated by linear regression (Etchevers 1978). To determine the spawning type, oocyte diameters were measured from mature ovaries and diameters were plotted in the form of monthly frequency distribution.
Results
Environmental variables. From May to October mean surface water temperature was 27.9 °C ± 0.79 S.D., registering the maximum during September (29.0°C ± 0.95 S.D.)and June (29.0°C ± 0.50), minimum average temperature was observed during May (27.1°C ± 0.54 S.D.). From November to March mean surface temperature was 24.8°C ± 1.44 S.D., with November and February registering the highest (26.2°C ± 0.50 S.D.) and lowest (23.3°C ± 0.75 S.D.) means respectively (Figure 1).

The monthly average precipitation reflected the seasonal pattern of temperature, with a mean of 243.3 mm ± 62.73 from June to October. The maximum occurred in October (333.3 mm ± 40.82 S.D.) and the minimum in August (170.8 mm ± 47.87 S.D.). During May and from November to March, the mean precipitation was 40.8 mm ± 27.66 S.D. Maximum values were registered in May (70.8 mm ± 12.90 S.D.) and January (70.8 mm ± 25.81 S.D.), while the minimum value (11.2 mm ± 6.84 S.D.) was observed during March (Figure 1). Therefore, the year can be divided into two climatic periods: the first being a rainy and hot season (June to October) and the second (November to March), characterized by moderate temperatures and an absence of intense rain.
Length-weigth relationship. The length-weight relationship was obtained from a sample of 278 females and 150 males ranging from 302 to 585 mm total length. The ANCOVA showed no significant differences between females and males, and therefore a single relationship was calculated (Figure 2).

Sex ratio. Females predominated during almost eight months of the sampling survey. The highest proportions of females were observed during November, January and March with 76.0, 72, and 77% respectively (Figure 3). Females were more numerous than males during September, October, November, January and March (p < 0.01).

A steady increase in the proportion of females over 360 mm of total length was observed (Figure 4). In size classes from 460 to 520 mm significant differences were observed between sex proportions (p < 0.05).

Spawning season. High values of GSI in both females and males from May to July indicated that the reproductive period occurred within or close to the end of this period. GSI of females increased from 5.22 in May to 6.85 in July. During other months the female GSI was less than 0.5 (Figure 5). Statistical differences were observed among monthly female GSI values (p < 0.05). Nonparametric multiple comparison showed no differences among GSI values of May, June and July, but showed differences among these three months and the rest of the sampled months (p < 0.05). Female condition factor generally indicated a parallel tendency, reaching high values 0.61 to 0.63 during May through July, although a high value of 0.64 was observed during March (Figure 5). Condition factor during the other months ranged from 0.55 to 0.57 (Figure 5).

Gonadosomatic index of males was more variable, although it did increase from May (0.03), to July (0.19; Figure 6).Differences were indicated among monthly male GSI values (Nonparametric multiple comparison, p < 0.05). Male condition factor showed a slight peak in June (0.57) followed by a decrease until a minimum in October (0.49). However, high values were observed, during November (0.56) and March (0.59; Figure 6).

No significant correlation between monthly female or male GSI and environmental variables (p < 0.05) were indicated.
Fecundity The mean number of mature hydrated oocytes per female was 33, ranging from 21 to 62. The length-fecundity relationship was: F = -1.663 + 0.076*(L), with a low correlation value (r=0.51; Figure 7). Weight-fecundity relationship was: F = 23.656 + 0.009* (Wt) (r=0.48; Figure 8).


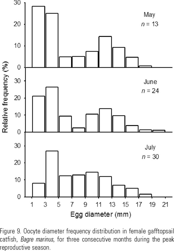
Oocyte diameter showed a bimodal frequency distribution (Figure 9). During May and June, two groups of oocytes could be clearly distinguished: the first 1 - 5 mm and the second 7 - 19 mm. During July, the presence of the larger group was less evident (Figure 9).

Discussion
The apparent absence of well-defined seasons in many tropical regions, mainly in temperature, has supported the argument that it is difficult to find clear patterns in reproduction of fish species. However, seasonal oceanographic and atmospheric changes can cause seasonal variation in biological processes of some tropical fish species when they are affected by water temperature or hydrology (Welcomme 1985, Sparre & Venema 1995, Pauly 1998).Our female and male GSI analyses indicate that gafftopsail catfish have only one reproductive period per year in Tabasco State, which lasts almost four months (May to August). Spawning takes place in shallow coastal waters when temperature (27.0-29.0°C) and precipitation (170.8-333.3 mm) are high. Similar results have been obtained for gafftopsail catfish in Terminos Lagoon (Yáñez-Arancibia & Lara-Domínguez 1988). In Arius guatemalensis (Günther, 1864), the main reproductive period also occurred during the rainy season (Burns & Ramirez 1990). Likewise, in the Arabian Sea, the reproductive period of the sea catfish (Arius thalassinus Rüppell, 1837) was correlated with the northeastern monsoon season (Dmitrenko 1970).
Sampling problems are evident in the present study, particularly the lack of samples during August (likely an important month of the reproductive season). This gap was due to a historically prohibition of fishing activities during the "reproductive season" (August), that is self-imposed by fishermen. This reinforces the hypothesis that the season of reproductive event and spawning doe not have significant variation along years. The GSI and the modal progression of the frequency distribution of oocyte diameter, indicates that spawning occurred mainly during August.
Based on the juvenile recruitment into the Terminos Lagoon, the estimated time of spawning in gafftopsail catfish is from April to June (Yáñez-Arancibia & Lara-Domínguez 1988). However, this estimate may be inaccurate, because the authors failed to assess the stages of gonadal development. In most tropical catfishes species (A. thalassinus, A. spixii (Spix & Agassiz, 1829),A.melanopus Günter, A. guatemalensis, Pseudoplatystoma fasciatum (Linnaeus, 1766) and B. marinus) the reproductive season lasts from May to September (Dmitrenko 1970, Etchevers 1978, Lara-Domínguez et al. 1981, Burns & Ramirez 1990, Reyes & Fazlul 1990, Palazón et al., 1994) as indicated by GSI development.
After spawning the period of oral incubation by male gafftopsail catfish begins. The energetic cost of incubation may be explained by the progressive decrease in the condition factor of males from July to October. This hypothesis is reinforced by the monthly variation in sex proportion during these months and November, when we noticed a progressive decrease in the number of males. This decline may be related to a migration of males from the fishing area to estuarine zones, such as Mecoacan Lagoon and the Gonzalez River, where they are known to release juveniles (Mendoza-Carranza 2003). Migration coincided with the end of the rainy period. This climatic change results in the salinization of the estuarine system by intrusion of marine water, which favors the migratory event.
We estimated that the incubation period lasted from August to November. This exceeds the nine weeks reported for other catfishes: Arius felis (Linnaeus, 1766), A. jella Day, 1877, A leptaspis (Bleeker, 1862) and six to eight weeks in A. manillensis Valenciennes, 1840 (Merriman 1940, Rimmer & Merrick 1983).
It is known that the size of oocytes in ariid species is large compared with those of other teleost fishes, although most studies present only the average size of hydrated oocytes. However the frequency distribution of oocyte diameter can be important in defining the spawning type of a given species (Vazzoler 1996). Using the classifications proposed by Wallace & Sellman (1981) and Vazzoler (1996), the frequency distribution of oocyte diameter of females of gafftopsail catfish during the reproductive period suggests concurrent development of two batches of oocytes. This spawning type has also been reported for the marine catfish, Netuma barba (Lacepède, 1803), in the Patos Lagoon Estuary, Brazil (Reis 1986).
Moutbrooders tend to have larger eggs and therefore lower fecundity as in most ariids species (Dmitrenko 1970, Yáñez-Arancibia et al. 1976, Etchevers 1978, Rimmer & Merrick 1983, Reis 1986, Palazón et al. 1994). The reduced environmental stress on eggs and larvae through mouthbrooding, increases survival (Balon 1984). Although, the cost of this strategy is reduced fecundity, it has allowed ariid species to colonize many habitats and survive under a great variety of environmental conditions (Rimmer & Merrick 1983).
The location of spawning sites and the timing of reproduction in fishes is often population-specific and is thought to be linked, through natural selection, to ecological conditions which favour early growth and survival (Leggett 1985). This is reflected in gafftopsail catfish of the Tabasco Coast, whose reproductive strategy takes advantage of the different habitats present in its distribution area by means of local seasonal migrations.
Acknowledgments
We thank to Karina Martin, Marcela Chable, Irasema Cervera and Maria del Carmen Santiago for their help in collecting samples. Special thanks to fishermen of Chiltepec Barrier for their cooperation. We also thank João Vieira, Paul Kinas and Peter Bayley for their discussion and critical review.
References
ADLER, R. F., HUFFMAN, G. J., CHANG A., FERRARO, R., XIE, P-P., JANOWIAK, J., RUDOLF, B., SCHNEIDER, U., CURTIS, S., BOLVIN, D., GRUBER, A., SUSSKIND, J., ARKIN P., & NELKIN E. 2003. The Version-2 Global Precipitation Climatology Project (GPCP) Monthly Precipitation Analysis (1970-Present). Journal of Hydrometeorology 4, 1147-1167. [ Links ]
BALON, E. K. 1984. Patterns in the evolution of reproductive styles in fishes. In: G. W. Potts & R. J. Wootton, eds. Fish reproduction strategies and tactics. Academic Press, Inc. London England, p. 35-53. [ Links ]
BOLGER, T., & CONNOLY, P. L. 1989. The selection of suitable indices for the measurement and analysis of fish condition. Journal of Fish Biology 34, 171-182. [ Links ]
BURNS, J. R., & RAMIREZ, M. A. 1990. Annual pattern of reproduction of the bagre Arius guatemalensis (Pisces: Ariidae), in El Salvador. Revista de Biología Tropical 38, 487-490. [ Links ]
COMISIÓN NACIONAL DE ACUACULTURA Y PESCA. 2003. Anuario estadístico de pesca 2001. Available from: http://www.sagarpa.gob.mx/conapesca/ [Accessed 3 April 2003] [ Links ].
DMITRENKO, Y. M. 1970. Reproduction of the sea catfish [Arius thalassinus (Rupp.)] in the Arabian Sea. Journal of Ichthiology 10, 634-641. [ Links ]
ETCHEVERS, S. L. 1978. Contribution to the biology of the sea catfish Arius spixii (Agassiz) (Pices - Ariidae), South of Margarita Island, Venezuela. Bulletin of Marine Science 28, 381-385. [ Links ]
FISCHER, W. 1978. Species identification sheets for fishery purposes. Western Central Atlantic (Fishing area 31). FAO, Roma, Italy 897 p. [ Links ]
GLOBAL PRECIPITATION CLIMATOLOGY CENTRE. 2003. GPCC- Visualizer. Available from: http://www.dwd.de/en/FundE/Klima/KLIS/int/GPCC/GPCC.htm [Accessed 20 May 2003] [ Links ].
GULLAND, J. A. 1983. Fish stock assessment: a manual of basic methods. Vol. 1. Chichester, U.K. Wiley Interscience, FAO/Wiley series on food and agriculture,223 p. [ Links ]
INTERNATIONAL RESEARCH INSTITUTE FOR CLIMATE PREDICTION. 2003. OI.v2 Weekly Sea Surface Temperature Analysis. Available from: http://iri.columbia.edu/ [Accessed 19 May 2003] [ Links ].
LARA-DOMÍNGUEZ, A. L., YÁÑEZ-ARANCIBIA, A., & AMEZCUA, F. L. 1981. Biología y ecología del bagre Arius melanopus Günter en la laguna de Términos, sur del Golfo de México (Pisces: Ariidae). Anales del Instituto de Ciencias del Mar y Limnología 8, 267-304. [ Links ]
LEGGETT, W. C. 1985. The role of migration in the life history evolution of fish. Contributions in Marine Science 27, 277-295. [ Links ]
MENDOZA-CARRANZA, M. 2003. The feeding habits of gafftopsail catfish Bagre marinus (Ariidae) in Paraíso Coast, Tabasco, México. Hidrobiológica 13, 113-126. [ Links ]
MERRIMAN, D. 1940. Morphological and embryological studies on two species of marine catfish Bagre marinus and Galeichthys felis. Zoologica, New York 25, 221-248. [ Links ]
PALAZÓN, J. L., LEÓN, J. R.,. EGLEÉ, G. F., & BOLAÑOS, J. 1994. Reproducción del bagre cacumo, Bagre marinus (Mitchill, 1815) (Pisces: Ariidae) de la costa sur de la Isla Margarita, Venezuela. Boletín del Instituto Oceanográfico 33, 19-27. [ Links ]
PAULY, D. 1998. Tropical fishes: patterns and propensities. Journal of Fish Biology 53, 1-17. [ Links ]
REIS, E. G. 1986. Reproduction and feeding habits of the marine catfish Netuma barba (Siluriformes, Ariidae) in the estuary of Lagoa dos Patos, Brazil. Atlântica, Rio Grande 8, 35-55. [ Links ]
REYES, A. O., & FAZLUL, M. H. 1990. Algunos aspectos reproductivos del bagre rayado, Pseudoplatystoma fasciatum Linnaeus, 1776 (Pisces: Pimelodidae) en la Laguna Grande, Maturin, Venezuela. Boletín del Instituto Oceanográfico 29, 133-140. [ Links ]
REYNOLDS, R. W., RAYNER, N. A., SMITH, T. M., STOKES, D. C., & WANG, W. 2002. An improved in situ and satellite SST analysis for climate. Journal of Climate 15, 1609-1625. [ Links ]
RIMMER, M. A., & MERRICK, J. R. 1983. A review of reproduction and development in the fork-tailed catfishes (Ariidae). Proceedings of Linnaeus Society. N. S. W. 107, 41-50. [ Links ]
SECRETARIA DE PESCA. 1982. Catálogo de especies acuáticas de importancia comercial en el estado de tabasco, artes y métodos de captura. Gobierno del Estado de Tabasco Ed.,Villahermosa, Tabasco, Mexico, 354 p. [ Links ]
SOKAL, R. R. & F. J. ROHLF. 1981. Biometry. W. H. Freeman and Co., New York, NY, USA, 859 p. [ Links ]
SPARRE, P. & S. C. VENEMA. 1995. Introducción a la evaluación de recursos pesqueros tropicales, Parte 1 manual. FAO Documento técnico de pesca. Chile, 420 p. [ Links ]
VAZZOLER, A. E. A. DE M. 1996. Biologia da reprodução de peixes teleósteos: teoria e prática. Universidade Estadual de Maringá ed. Maringá, São Paulo, Brazil, 169 p. [ Links ]
WALLACE, R.A., & SELLMAN, K. 1981. Cellular and dynamic aspects of oocyte growth in teleost. American Zoologist 21, 325-343. [ Links ]
WELCOMME, R.L. 1985. River fisheries. FAO Fisheries. Technical Paper. 262p. [ Links ])
YÁÑEZ-ARANCIBIA, A., CURIEL-GÓMEZ, J., & YÁÑEZ, V DE L. 1976. Prospección biológica y ecológica del bagre marino Galeichthys caerulescens (Günther) en el sistema lagunar costero de Guerrero, México (Pisces: Ariidae). Anales del Instituto de Ciencias del Mar y Limnologia. 3, 125-180. [ Links ]
YÁÑEZ-ARANCIBIA, A. & SÁNCHEZ-GIL, P. 1986. Los peces demersales de la plataforma continental del sur del Golfo de México. I. Caracterización del ecosistema y ecología de las especies, poblaciones y comunidades. Instituto de Ciencias del Mar y Limnología. UNAM. Special publication 9, 269 p. [ Links ]
YÁÑEZ-ARANCIBIA, A., & LARA-DOMÍNGUEZ, A. L. 1988. Ecology of three sea catfishes (Ariidae) in a tropical coastal ecosystem - Southern Gulf of Mexico. Marine Ecology Progress Series. 49, 215-230. [ Links ]
ZAR, J.H. 1984. Biostatistical analysis. 2nd. ed. Prentice Hall International, Inc. Englewood Cliffs, New Jersey, USA, 718 p. [ Links ]













