Servicios Personalizados
Revista
Articulo
Indicadores
-
Citado por SciELO -
Accesos
Links relacionados
-
Similares en
SciELO
Compartir
Política y cultura
versión On-line ISSN 2954-4130versión impresa ISSN 0188-7742
Polít. cult. no.37 México ene. 2012
Matemáticas y ciencias sociales
Desigualdad y polarización del ingreso en México: 1980-2008*
Adelaido García Andrés**, Noé Arón Fuentes*** y Olga Montes García****
** Estudiante del Doctorado en Ciencias Económicas, Facultad de Economía, Universidad Autónoma de Nuevo León, México [adelgaran@hotmail.com].
*** Profesor-investigador. Director del Departamento de Estudios Económicos, El Colegio de la Frontera Norte, México [afuentes@colef.mx].
**** Profesora-investigadora. Instituto de Investigaciones Sociológicas, Universidad Autónoma Benito Juárez de Oaxaca, México [olgamontes_2000@yahoo.com].
Artículo recibido el 06-04-11
Artículo aceptado el 29-02-12
Resumen
El estudio de la desigualdad y polarización del ingreso es un tema de gran controversia y debate en las ciencias sociales; al respecto, el presente trabajo aporta elementos teóricos y desarrollo de métodos matemáticos con el afán de mostrar los métodos disponibles para su medición. Del trabajo se derivan las siguientes reflexiones: a) el enfoque tradicional de la desigualdad resulta limitado para caracterizar el grado en que una sociedad podría estarse polarizando en grupos de ingreso; b) el país tiende hacia una mayor polarización del ingreso, situación que favorece la naturalización y legitimación del conflicto en masa.
Palabras clave: distribución del ingreso, medidas de desigualdad, medidas de polarización.
Abstract
The study of inequality and social polarization of income is an issue of great controversy and debate in the social sciences. In this regard, the present document provides theoretical elements and the development of relevant mathematical methods in an effort to illustrate. The study derived the following observations: a) the traditional approach of inequality is insufficient to measurement the polarization on income groups; b) the process of increase polarization income support naturalization and legitimize the social conflict.
Key words: income distribution, index of inequality, index of polarization.
INTRODUCCIÓN
En las ciencias sociales se han usado enfoques alternativos con el afán de identificar la distribución de ciertas características en una sociedad, como pueden ser: ingreso, riqueza, poder, opiniones políticas, creencias religiosas, color de piel, etcétera.1 Por un lado, algunos científicos sociales como C. Gini,2 H. Theil,3 J. Rawls,4 W. Atkinson,5 A. Sen,6 entre otros, han acuñado el concepto de desigualdad como una medida de concentración de ciertos atributos en una sociedad, específicamente, las medidas de desigualdad permiten valorar el grado de equidad o de justicia social, por ejemplo, en la distribución del ingreso. Recientemente, otros científicos sociales como M. Wolfson,7 J. Esteban y D. Ray,8 y J. Esteban, D. Ray y J. Duclos9 han observado que pueden existir situaciones en donde las medidas tradicionales de desigualdad expresen mayor equidad; sin embargo, esta aparente equidad puede estar dando origen al surgimiento de polos o grupos de ingreso en su distribución.10
Esta paradoja intrínseca en los indicadores tradicionales de desigualdad, ha motivado el desarrollo de nuevos métodos de medición que amplíen el estudio de la distribución del ingreso. En años recientes, se han formulado medidas de polarización que complementan los resultados de los indicadores tradicionales de desigualdad, lo anterior porque permiten calcular el grado en que una sociedad tiende a polarizarse en grupos de ingreso. Particularmente, la polarización se ha conceptualizado como un fenómeno grupal o de masas que permite caracterizar su comportamiento en términos de dos actitudes principales: a) identificación hacia un grupo de pertenencia y b) antagonismos hacia el o los grupos diferentes, a partir de sus respectivos niveles de ingreso. De manera más precisa, los indicadores de polarización del ingreso expresan la brecha entre el grupo de los "ricos" frente al grupo de los "pobres" o, lo que es lo mismo, cuando las clases medias de ingreso tienden a desaparecer.
Pese a que no existe una categoría precisa para definir la pobreza, se puede decir que es un concepto relativo y que responde a condiciones históricas, geográficas y sociales determinadas. No obstante, A. Giddens plantea que existe una distinción entre pobreza absoluta o de subsistencia y pobreza relativa. Para definir a la pobreza de subsistencia, A. Giddens retoma a B. Charles y apunta que "se refiere a la carencia de los requisitos básicos para mantener una existencia física saludable, alimento y cobijo suficientes para hacer posible el funcionamiento eficaz del cuerpo".11 Bajo el enfoque relativo, A. Sen12 plantean que si bien es un indicador histórico, "en un país determinado, en un periodo determinado, el promedio de cantidad de medios de subsistencia es prácticamente conocido".13
Para efectos prácticos del presente estudio, la discusión de la pobreza se limitará al espacio ingreso o umbral de pobreza, es decir, la pobreza como una privación económica vinculada a la carencia de recursos necesarios para mantener un nivel de vida mínimamente adecuado. Pese a que no existe una base científica sobre la cual sea posible, inequívocamente, aceptar o rechazar una línea de pobreza basada en supuestos puramente relativos o puramente subjetivos, cada una tiene sus méritos y sus limitaciones, como señala W. Atkinson: "cualquier línea de pobreza estará influenciada por los modelos de vida usuales y estaría sólo definida en relación con el patrón de vida de una sociedad particular".14
El término pobreza está relacionado con el de desigualdad social, si entendemos a ésta como una situación en la que no todas las personas de un país, región, etcétera, tienen el mismo acceso a los bienes, servicios, derechos u obligaciones. Así, la población que carece de los satisfactores mínimos para tener una vida digna como vivienda, servicios sanitarios, acceso a escolaridad de calidad e ingreso, se halla en una situación de desigualdad respecto de aquellos que sí tienen acceso con plenitud a los anteriores servicios y derechos. La pobreza representa, entonces, una expresión de la desigualdad social, no de una situación jurídica.
Al respecto, el interés del presente trabajo es mostrar, de manera metodológica y empírica, que el enfoque de la polarización representa una mejor aproximación al estudio de la distribución del ingreso; de igual modo, desarrollar y diferenciar las herramientas matemáticas presentes en la literatura para su medición. Luego de la introducción, en la primera parte se exhibe la discrepancia conceptual entre la desigualdad frente a la polarización; posteriormente se inicia una sección referida a las propiedades e interpretación de ambas familias de índices. Una vez desarrolladas las herramientas matemáticas, calculamos el grado de desigualdad y polarización del ingreso en México para los años 1980 a 2008. Finalmente, se contrastan los resultados con la avidez de identificar posibles procesos de inequidad y polarización en el país.15
EN EL ENFOQUE DE LA DESIGUALDAD FRENTE A LA POLARIZACIÓN
Los índices de desigualdad se pueden clasificar en dos familias. En primer orden, encontramos las medidas positivas de desigualdad: a) varianza logarítmica, b) coeficiente de Gini; índices cuyo interés es determinar objetivamente el grado de concentración en la distribución del ingreso. En segundo orden, se encuentran las medidas éticas o normativas: a) índice de Atkinson, b) índice de Theil; que, a diferencia de las anteriores, parten de una Función de Bienestar Social (FBS) como aproximación de eficiencia distributiva; por tanto, miden la desigualdad del ingreso en términos de pérdida de bienestar social. En términos matemáticos, la desigualdad es un concepto unimodal que hace referencia a la disparidad de las observaciones respecto de una situación de perfecta equidad.
Por el contrario, las medidas de polarización en un sentido amplio permiten caracterizar situaciones multimodales o surgimiento de polos en una distribución. Esta divergencia metodológica entre desigualdad y polarización podría resultar una mera curiosidad teórica y matemática; sin embargo, se ha observado que existen tendencias divergentes en ambos conceptos al momento de medir el grado de equidad en la repartición del ingreso.
En años recientes, M. Wolfson,16 J. Esteban y D. Ray,17 y J. Esteban, D. Ray y J. Duclos18 han reflexionado en los resultados empíricos observables a partir de las medidas de desigualdad tradicionalmente utilizadas. La crítica surge porque puede existir una situación donde las medidas tradicionales de desigualdad expresen una aparente mayor equidad; sin embargo, esta situación puede coexistir con una sociedad cada vez más agrupada en polos o grupos a partir de sus respectivos niveles de ingreso.19
Así pues, conceptualizar a la polarización como el grado en que una sociedad se concentra -según su ingreso- en grupos que pueden entenderse como clases sociales, y el grado que tales clases sociales difieren entre sí, representa una buena aproximación a una situación de tensión social. En este sentido, A. Sen plantea que la relación entre la desigualdad y la rebelión es estrecha y opera en ambos sentidos. En palabras del autor: "está claro que una sensación de falta de equidad es común en la rebelión de las sociedades, pero es importante también reconocer que una impresión de falta de equidad depende de las posibilidades de una rebelión".20
Para ilustrar la importancia crítica entre el enfoque de la polarización frente al de la desigualdad, considérese el caso hipotético de una sociedad con cuatro individuos con el siguiente nivel de ingreso: dos, cuatro, seis y ocho respectivamente.

En esta distribución inicial, el ingreso promedio es cinco y el índice de desigualdad de Gini G(y) = 0.25. Ahora suponga que el individuo con mayor ingreso transfiere una unidad de su ingreso al individuo que está inmediatamente por debajo de su ingreso y que el individuo por debajo de la media transfiriere una unidad al individuo más pobre.
Una vez realizadas las transferencias, el primero y segundo individuo tendrán un nivel de ingreso de tres, y el tercer y cuarto, siete. En esta nueva distribución la media observada también es cinco y el índice de Gini se reduce a G(y) = 0.20. Desde el enfoque de la desigualdad, hemos de aceptar que las transferencias han disminuido la desigualdad; sin embargo, habremos llegado a una situación donde los individuos se han agrupado alrededor de dos grupos con una brecha entre sus ingresos relativamente mayor a la inicial.21
Si consideramos que el ejercicio hipotético hace referencia, por ejemplo, a una sociedad con millones de individuos, reflejaría una sociedad cada vez más fraccionada en dos grupos, y cuya brecha de ingreso podría no ser observable bajo el enfoque tradicional de la desigualdad. Hasta ahora, hemos presentado la diferencia conceptual entre la desigualdad frente a la polarización, a continuación se muestran los principales indicadores que en la literatura se han formulado para su medición.
MEDIDAS POSITIVAS DE DESIGUALDAD
En términos formales, el concepto de la desigualdad estadística representa la disparidad de las observaciones de una distribución con respecto a un valor de referencia, por ejemplo, la media en la distribución; en otras palabras, la desigualdad de una distribución muestra la distancia en que las observaciones se encuentran de una situación de perfecta igualdad.22
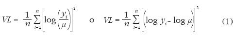
Varianza logarítmica
La varianza de los logaritmos es de las pocas medidas estadísticas de dispersión que permite identificar el grado de desigualdad de una distribución con respecto a su media (μ), por ejemplo, la variación de los (yi) ingresos per cápita de las (i=1,2,..,n) grupos/regiones del país.

Sin embargo, este coeficiente presenta algunas limitaciones empíricas, si lo que pretendemos es interpretarlo como un indicador de la gravedad del problema causado por la inequidad relativa de un segmento de población asentado en un grupo/región. En particular, el peso atribuido a cada grupo en su cómputo es el mismo y las desviaciones sobre la media hacia arriba y hacia abajo también se ponderan de igual forma.
Curva de Lorenz y coeficiente de Gini
La curva nos permite visualizar el grado de desigualdad existente en una distribución dada. Su construcción es sencilla. En primer lugar, ordenamos los n grupos/regiones de la muestra en orden ascendente de ingreso por habitante. A continuación calculamos la fracción del ingreso total y de la población que se concentran sucesivamente en los 1,2,...,ngrupos/regiones más pobres, y dibujamos los puntos resultantes en un gráfico, con población en la abscisa e ingreso en la ordenada. Por construcción, la curva resultante estará por debajo de la línea de 45° y coincide con ésta cuando la distribución es igualitaria.
En este sentido, cuando menos igualitaria sea la distribución del ingreso por habitante, más lejos estará la curva de Lorenz de la recta de 45°. Esta observación es la que da origen al coeficiente de Gini, definido como el doble del área entre la curva de Lorenz y la recta de 45 grados.

Para el caso del análisis de la distribución del ingreso G(y) en las regiones, tendríamos que (yi) corresponde al ingreso per cápita de cada uno de los (i=1,2,..,n) grupos/regiones del país y el parámetro (μ) representa la media del ingreso per cápita del país en su conjunto, como resultado se obtendrá una medida que toma valores en un rango de [0,1], donde 0 corresponde a la igualdad absoluta en términos sociales una situación perfectamente igualitaria en la distribución del ingreso y 1 indica una situación de desigualdad absoluta en la distribución del ingreso entre las regiones.
Una ventaja de este coeficiente de desigualdad sobre las medidas de dispersión estadística anterior es que el peso de cada grupo en su cómputo es proporcional a su población. Sin embargo, la ponderación de las desviaciones positivas y negativas sobre la media total sigue siendo uniforme.
MEDIDAS NORMATIVAS DE DESIGUALDAD DE INGRESO
Este grupo de medidas incorpora una función de bienestar social (FBS), como parámetro de pérdida de bienestar en ciertos grupos/regiones de población. Así pues, esta familia de índices, además de ponderar la dispersión de las observaciones por el peso de cada grupo/región, incorporar un parámetro de "aversión a la desigualdad" para evaluar la pérdida de bienestar social.23
Medida de desigualdad de Atkinson
Bajo este enfoque, W. Atkinson,24 propone un indicador de desigualdad que muestra la pérdida de bienestar social de un grupo ubicado en situación de pobreza relativa. Para el contexto del análisis regional, tendríamos la siguiente especificación.

Donde (Aε) es el valor del índice de Atkinson que toma valores entre un rango de [0,1], e (yi) representa al ingreso per cápita de cada una de las (i=1,2,..,n) grupos/regiones del país, y (μ) indica la media del ingreso per cápita del país en su conjunto, asimismo, el valor del parámetro (ε) recoge el nivel de aversión a la desigualdad o pobreza relativa.
Por construcción, los índices de Atkinson recogen, además de la dispersión existente, ponderada por el peso de cada región en la población total, juicios de valor expresados a través del coeficiente de "aversión a la desigualdad". Cuando más alto sea el parámetro s, más sensible resulta el índice a la situación observada en las regiones más pobres.
Medida de desigualdad de Theil
El índice de H. Theil25 es, esencialmente, el índice de Atkinson correspondiente a un valor de ε que podríamos considerar intermedio, además tiene la propiedad estadística de descomposición en forma aditiva, este principio supone que una transferencia monetaria de un individuo de mayor ingreso a otro de menor ingreso, tendrá mayores efectos sobre el índice a una transferencia en sentido opuesto.

Donde el valor mínimo del índice es Tc(y) = 0 que representa igualdad absoluta y su valor máximo es log(n), asimismo, (yi) indica el ingreso per cápita de cada una de las (i=1,2,..,n) regiones del país, y (μ) indica la media del ingreso del país en su conjunto. El índice de Theil es equivalente a la medida de Atkinson cuando el parámetro (c = 1ε). A medida que aumenta el valor del parámetro (c), implica que se otorga más importancia a las transferencias del ingreso realizadas en las regiones en situación de pobreza relativa.
Por otra parte, es necesario destacar que los índices de entropía generalizada de Theil es ordinalmente equivalente al índice de Atkinson cuando (c= 1ε), para ∞ < c < 1 ó ε >. Así el índice de Theil (T0) o (c=0) es ordinalmente equivalente al índice de Atkinson (ε=1). Además, son consistentes con la dominancia de cualquier orden cuando el parámetro c ≤ 1.
MEDIDAS DE POLARIZACIÓN DEL INGRESO
Algunos fenómenos requieren evaluar no tanto el grado de desigualdad sino, más bien, el grado de fraccionamiento o polarización de una distribución.
Pero, ¿cómo se mide la polarización? A continuación se presentan los índices que se han formulado para su cálculo.
Medida de polarización de Wolfson
En esta familia de índices iniciamos con la medida de bipolarización propuesta por M. Wolfson.26 Este índice se expresa cómo la partición de dos grupos o polos subyacentes cuyo punto de corte está determinado por la mediana de la distribución.

Donde u es la media y m la mediana de la distribución en la población; por otra parte, el término L(½) representa la ordenada al origen de la curva de Lorenz que corresponde al valor de la mediana y el término G( f ) es el valor del índice de Gini para la distribución. Por tanto, la medida Pw se incrementará a medida que exista una mayor concentración de las observaciones dentro de los grupos y cuando aumente el valor de la mediana de los datos al interior de los grupos; en otras palabras, esta medida de bi-polarización o polarización bi-modal, se expresa como la diferencia entre el valor del índice de Gini para cada grupo, donde éstos tienen como punto de corte la mediana de la distribución total.
Medida de polarización de Estaban y Ray
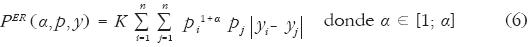
A diferencia de la medida de bi-polarización de M. Wolfson,27 J. Esteban y D. Ray proponen una medida de polarización que parte de suponer una sociedad concentrada en grupos donde los individuos pertenecientes al mismo grupo se consideran "similares", y los pertenecientes a distintos grupos se consideran "diferentes".28 Esta medida integra ambos efectos anteriores a partir del grado de homogeneidad al interior de los grupos y el grado de heterogeneidad entre los grupos que pudieran existir en una sociedad.29
En este sentido, la polarización mide el grado en que la población se agrupa según su ingreso alrededor de un número dado de polos, que se pueden entender como clases sociales, y el grado en que éstas difieren entre sí. Así pues, esta suma de antagonismos efectivos entre individuos pertenecientes a distintos grupos de una distribución del ingreso puede expresarse como:30

Con un parámetro K> 0 constante,31 y un parámetro (α)∈[1; α] que indica el grado de sensibilidad hacia la polarización -para la aplicación empírica pueden emplearse los valores de (α=1; 1.3; 1.6) para un bajo, moderado y máximo grado de sensibilidad respectivamente, asimismo, n representa el número de grupos o polos, (pi) el tamaño (población) del grupo i y (yi) la característica que define el grupo i-para el caso específico de la polarización social, se utiliza el logaritmo natural del ingreso per cápita como variable proxy representativa del grupo i.32
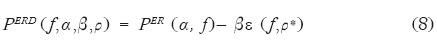
Medida de polarización generalizada de Esteban, Ray y Duclos
Un detalle metodológico en el indicador planteado por Esteban y Ray,33 es la pérdida de información asociada a diferencias observables al interior de los grupos definidos. En razón a esta imprecisión, Esteban, Ray y Duclos34 plantean un índice de polarización generalizada PERD del fenómeno. De manera particular, este índice minimiza el error de identificación interna (ε) de los (n) grupos de la distribución en PER y elige aquella partición óptima (ρ*) en función de los grupos más identificados o cohesionados.
En otras palabras, debido a que el área entre las curvas de Lorenz de la distribución simplificada y la línea de equi-distribución coinciden con el doble del valor del índice de Gini de la desigualdad inter-grupal que se obtiene al descomponer la desigualdad total en: a) desigualdad interna o componente intra-grupal, y b) desigualdad externa o componente inter-grupal; este problema se resuelve minimizando el área entre las curvas de Lorenz de la distribución original y simplificada de la población; así pues, la descomposición del índice de Gini en ambas desigualdades de los grupos es exacta. Por lo tanto, la solución implica escoger aquella partición óptima que minimice el valor del índice de Gini atribuible a la desigualdad intra-grupal.35

Donde el parámetro (β) mide la diferencia entre el índice de Gini de la distribución original G(f) y el índice de Gini de la distribución simplificada G(r*). Al incorporar este término de ajuste ε (f,ρ*) a la medida de polarización de PER se obtiene una medida de polarización generalizada PERD que se expresa en forma reducida como.

O de manera ampliada.

Al igual que la medida PER, el parámetro (α) en la medida generalizada PERD también mide el grado de sensibilidad de identificación de los individuos hacia al interior de un grupo, es decir, representa la diferencia conceptual entre las medidas convencionales de desigualdad y polarización. Si el parámetro (α=0), el valor de PERD coincide con el índice de Gini de desigualdad; a media que aumenta el valor del parámetro (α), mayor será la diferencia conceptual entre desigualdad y polarización.
Por otra parte, Esteban, Ray y Duclos demuestran que el parámetro (α) debe estar acotado entre [1; 1.6] para cumplir ciertos axiomas inherentes al concepto de polarización; asimismo, para la aplicación empírica deben emplearse los valores de (α=1; 1.3; 1.6) que representan un bajo, moderado y máximo grado de sensibilidad respectivamente. Dado que la medida PER establece que la polarización aumenta cuando se observa una mayor heterogeneidad entre los grupos de la distribución; la medida de polarización generalizada PERD representa esta polarización o partición entre el total de grupos, menos el grado de error de identificación interna entre los posibles grupos de la distribución.
DESIGUALDAD Y POLARIZACIÓN DEL INGRESO EN MEXICO
Como paso previo al cálculo de indicadores de desigualdad y polarización en el país, se describen las unidades de análisis a fin de valorar los resultados en su justa dimensión. Para la regionalización del país se retoma la propuesta por G. Esquivel:36 Norte (Baja California, Sonora, Chihuahua, Nuevo León, Tamaulipas, Coahuila); Centro Norte (Durango, Zacatecas, San Luis Potosí, Aguascalientes, Guanajuato, Querétaro); Centro (Hidalgo, Tlaxcala, Puebla, Morelos); Capital (Distrito Federal, Estado de México); Golfo (Veracruz, Tabasco, Campeche, Yucatán, Quintana Roo); Pacífico (Baja California Sur, Sinaloa, Nayarit, Jalisco, Colima); Sur (Michoacán, Guerrero, Oaxaca, Chiapas).37

Los cálculos se realizan con series quinquenales del Producto Interno Bruto Estatal (pibe) para los años 1980, 1985, 1990, 1995, 2000, 2005 y 2008. Las cifras provienen del Instituto Nacional de Estadística y Geografía (INEGI) y están expresadas a precios constantes de 1994.38
LA DESIGUALDAD DEL INGRESO EN MEXICO
Una primera aproximación al estudio de la desigualdad se presenta a partir de la distribución del ingreso en la población según deciles, los datos corresponden al ingreso per cápita disponible a nivel hogar y fueron calculados a partir de la Encuesta Nacional de Ingreso y Gasto de los Hogares (ENIGH).
Los resultados anteriores muestran los grandes contrastes en la distribución del ingreso en México, a lo largo de los 30 años se aprecia que el decil de ingreso más favorecido (D10) acumula aproximadamente más del 40% del ingreso total. Mientras que las necesidades económicas de la mitad de la población -primeros cinco deciles- se cubren con apenas 15 y 20% del ingreso disponible.
Por otro lado, si comparamos la proporción entre el decil superior (D10) frente al inferior (D1), la brecha promedio se sitúa entre 39.42%; en otras palabras, una familia ubicada en el décimo decil tiene la suficiente solvencia para cubrir aproximadamente las necesidades económicas de alrededor de 40 familias ubicadas en el primer decil; estos contrastes muestran la notoria desigualdad de ingreso a nivel hogar. Adicionalmente, pese a que los coeficientes de Gini indican mejora en la desigualdad para algunos años, continúa un alto grado de desigualdad para todo el periodo.
Una vez realizada esta primera aproximación a la dispersión del ingreso, a continuación se presentan los resultados para los indicadores de desigualdad; dado que estos coeficientes toman el ingreso relativo como variable de referencia, se procedió a normalizar el ingreso per cápita, considerando el PIB per cápita promedio nacional igual a la unidad que propone J. Estaban.39
Como se precisó, la desigualdad del ingreso representa el grado de dispersión respecto de una situación de equi-distribución, que emplea como valor de referencia el ingreso promedio. Para evaluar la desigualdad se calculan los siguientes índices: varianza logarítmica, coeficiente de Gini, y medidas que incorporan criterios éticos de medición: índices de Atkinson y Theil. Con respecto a las medidas normativas de desigualdad que, además de ponderar el peso demográfico de cada región, introducen juicios de valor, se calculan índices de Atkinson con parámetros de aversión relativa a la desigualdad en la Función de Bienestar Social (FBS) de (ε=1, ε=2). Para las medidas generalizadas de entropía de Theil se utilizan parámetros de (c=0, c=1).
Antes de iniciar la presentación de resultados, es necesario considerar que algunas medidas de desigualdad únicamente expresan los cambios ocurridos en los grupos extremos de la distribución, mientras que otras, privilegian los cambios producidos en la media de la distribución; por consiguiente, cada medida calcula aspectos parciales de la desigualdad, y en algunos casos, los valores obtenidos no son equiparables.40
Asimismo, es preciso mencionar que el valor en los resultados obtenidos depende en gran medida del nivel de desagregación de la información, por ejemplo, para el caso de los índices de desigualdad de Gini, trabajar a un mayor nivel de desagregación proporcionará valores de Gini equivalentes a los presentados en el Cuadro 1, la razón principal se debe a que, al interior de cada entidad también existen sustanciales diferencias en la distribución de ingreso; sin embargo, como el interés es precisar la desigualdad bajo un contexto territorial o geográfico, se trabajará con datos agrupados a nivel estatal. El Cuadro 2 muestra los cálculos.


Los resultados en los índices presentan distintos grados de medición y valores diferentes como era de esperarse; no obstante, los resultados en los coeficientes coinciden en señalar una disminución de la desigualdad en la distribución del ingreso. Para el caso de los valores de Atkinson -cuyo parámetro de aversión (ε) hace referencia al riesgo de la región más rezagada de mantener su situación de mayor pobreza relativa, se observa que a mayor valor del parámetro (ε=2) resulta más sensible a la situación observada en el grupo de las entidades pobres. En este caso, representada por la región Sur: Michoacán, Guerrero, Oaxaca, Chiapas.
A fin de mostrar las tendencias, se muestran los valores tomando el año 1980 como la unidad.

La evolución de la desigualdad presenta distintos grados y oscilaciones según los índices; en primer orden, aumento en la desigualdad de 1980 a 1985, descenso de la misma hasta 1990, aumento gradual de la desigualdad en 1995; posteriormente, tendencia hacia una reducción gradual de la desigualdad hasta 2005. Este periodo, denominado por algunos autores como equidad por empobrecimiento, se explica por una aparente mejora en la participación del ingreso de los hogares más pobres debido a una caída del ingreso en los hogares más ricos. Cómo señala F. Cortes, tal tipo de aparente equidad se presenta sobre todo en periodos en crisis (1995) o de depresión (2001), caracterizados por un empobrecimiento generalizado.41
De igual modo, se observa que la evolución de la desigualdad tiene un comportamiento paralelo a las crisis de la economía mexicana ocurridas durante el periodo de estudio: crisis de deuda y políticas de ajuste estructural en 1982, crisis de endeudamiento externo en 1986, crisis financiera en 1994 y 2000 y estancamiento productivo en las últimas dos décadas.
LA POLARIZACIÓN DEL INGRESO EN MEXICO
Ya que en el terreno de la desigualdad y justicia distributiva no hemos observado avances, es pertinente cuestionar qué contrastes podemos derivar si aplicamos el paradigma de la polarización al mismo fenómeno de estudio. Como primera aproximación al grado de polarización, se presenta la distribución del ingreso en la población desagregada a nivel centil (Gráfica 3).42
A este nivel de desagregación es posible precisar la existencia de polos o grupos en la distribución del ingreso. Con respecto a la estructura del año 1970, se observa una distribución multimodaldonde las observaciones tienden a concentrarse alrededor de tres grupos, mientras que para los periodos restantes las observaciones tienden a concentrarse alrededor de dos polos o bipolarización.
Intuitivamente, los cambios anteriores en las curvas de distribución muestran una reducción en el total de población ubicada alrededor de la media representativa del ingreso; en otras palabras, existe una reducción en la clase media de ingreso. Esta interpretación intuitiva coincide con los resultados empíricos presentados por L. Huesca, que sustentan el hecho de una reducción de la clase media en el país durante las últimas dos décadas.43
Sin embargo, como el principal interés es mostrar el grado de polarización de ingreso a escala geográfica, de ahí que se divide al país en dos únicos grupos fraccionados a partir del PIBE per cápita normalizado, de este modo, las entidades con valor superior a la unidad pertenecen al grupo de los "ricos", mientras que, las entidades con valor inferior a la unidad pertenecen al grupo de los "pobres".
En este caso, los resultados indican un fraccionamiento del país en dos grupos "ricos" frente a "pobres" con respecto al nivel promedio de ingreso per cápita, asimismo, se observa que para el caso de algunas entidades existe una tendencia hacia una mayor concentración de "riqueza", mientras que otras entidades presentan tendencia hacia un mayor nivel relativo de "pobreza" a escala nacional.
Para continuar, es necesario considerar que existen fenómenos sociales donde la agrupación de las personas se produce de una forma natural; por citar un ejemplo, la distribución del voto ciudadano entre un número discreto de partidos políticos durante las elecciones. Sin embargo, hay otros fenómenos donde los datos no presentan una agrupación previa, la distribución personal o espacial del ingreso es un caso obvio; en palabras de J. Esteban, "aunque tengamos un número finito de observaciones, carece de sentido considerar que dos individuos (o regiones) con ingresos muy parecidos, aunque distantes, pertenezcan a grupos distintos".44

No obstante a la anterior simplificación, el hecho de considerar a la polarización del ingreso como el grado en que una población se agrupa -según su ingreso- alrededor de un número finito de polos, considerados como clases sociales, y el grado que tales clases sociales difieren entre sí, representa una buena aproximación a una situación de conflicto social que podría derivarse por brechas en la distribución de ingreso.
Dadas las reflexiones anteriores, a continuación se detalla el tratamiento de los datos para realizar los cálculos; para el caso específico de la polarización se utiliza el logaritmo natural del ingreso per cápita como variable proxy de bienestar para cada grupo, en Esteban y Ray45 se exponen dos razones básicas para la utilización de esta especificación, una conceptual y una de conveniencia; en primer lugar, los individuos al identificarse hacia un grupo conciben sus diferencias porcentuales en el ingreso, no sus diferencias absolutas; la segunda razón o criterio de conveniencia se debe a que permite identificar los movimientos de población entre los grupos.
Las medidas de polarización se calculan para los siguientes grados de sensibilidad (α=1; 1.3; 1.6), es decir, bajo, moderado y máximo grado de sensibilidad a la polarización. Los cálculos se realizan con datos normalizados del PIB per cápita con respecto al promedio nacional para siete periodos, de modo que μ =1. Como fue señalado en el apartado metodológico, en el caso de dos grupos la participación óptima de la distribución se caracterizará porque el valor del ingreso, que separa a ambas agrupaciones coincide con el ingreso promedio por habitante para cada grupo.
Los cálculos se realizan según las medidas de polarización de Wolfson46 y de Esteban, Ray y Duclos47 con grados de sensibilidad α=1; 1.3; 1.6. Los resultados a obtener implican que se escoge a la partición óptima de la distribución en función de los grupos más identificados, en este sentido, los cálculos se realizan para un parámetro β=1. Los resultados se presentan en el Cuadro 4.

Medir el grado de polarización social también requiere identificar la magnitud de los siguientes dos componentes: el grado de homogeneidad intra-grupal E(a) o nivel de identificación de los individuos hacia su propio grupo, y el grado de heterogeneidad inter-grupal E(fa) o nivel de antagonismo hacia los demás grupos. Para el caso de las tres medias de polarización se observa un aumento del valor del coeficiente E(a), este parámetro pone de manifiesto que, durante los últimos 30 años, el país tiende claramente hacia la conformación de dos polos o grupos de ingreso cuya brecha resulta cada vez más distante.
En el contexto de la polarización del ingreso, esta "suma de antagonismos efectivos" muestra un creciente grado de bipolarización que favorece la naturalización y legitimación del conflicto social. Los resultados obtenidos a partir de la medida de M. Wolfson,48 también apoyan la idea de una sociedad cada vez más fracturada en dos grupos. A fin observar la evolución temporal en las medidas de polarización se presentan los resultados tomando el año 1980 como la unidad (Gráfica 4).

Las tendencias en las medidas de polarización Wolfson, y de Esteban, Ray y Duclos expresan la existencia de un mayor grado de polarización del ingreso para los años de estudio. Este proceso de mayor polarización, tal como sostiene la teoría sociológica, puede dar origen al surgimiento de grupos con sustancial homogeneidad intra-grupal y heterogeneidad inter-grupal. En otros términos, esta sensación de falta de equidad representa un escenario propicio para el conflicto potencial y la rebelión como sostienen algunos teóricos de la sociología.49
Este cambio hacia una mayor homogeneidad intra-grupal y heterogeneidad inter-grupal indica que los grupos de ingreso son cada vez más polarizados. Pese a que el estudio de los factores y las causas que dan origen a una situación de conflicto social en masa resulta un tema de gran complejidad y aun debate en las ciencias sociales, los resultados encontrados a partir de las medidas de polarización del ingreso apoyan la idea de una sociedad con amplias desigualdades y cada vez más fragmentada en grupos.
Como resultado de este mayor quebrantamiento del tejido social podemos mencionar el surgimiento de los grupos armados y organizaciones populares en el país; así, aparece el 1 de enero de 1994 el Ejército Zapatista de Liberación Nacional (EZLN) en Chiapas; en 1997, después del manifiesto de Aguas Blancas, resurge el Ejército Popular Revolucionario (EPR) en Guerrero; y en 2006 surge la Asamblea Popular de Pueblos de Oaxaca (APOO) en Oaxaca; de igual modo, deja ver la vulnerabilidad de la sociedad a los cambios en el escenario político y económico durante los últimos 30 años.
DIFERENCIAS EMPÍRICAS ENTRE LA DESIGUALDAD FRENTE A LA POLARIZACIÓN
Para observar los contrastes empíricos entre ambas medidas, la Gráfica 5 presenta los valores correspondientes.

Los valores en los indicadores de ingreso permiten observar que existen tendencias opuestas para ciertos periodos de estudio, mientras que los indicadores tradicionales de desigualdad indican cierta reducción de la desigualdad de 1980 hasta 2004; los indicadores de polarización expresan tendencia creciente hacia una sociedad cada vez más fragmentada según su ingreso. Más aún, una mayor desigualdad implica mayor polarización, como se observa en el último periodo de estudio.50
Estas divergencias empíricas entre ambas familias de índices justifican el hecho de que para evaluar el grado de justicia social en la distribución del ingreso en una sociedad, no es suficiente con el enfoque tradicional de la desigualdad medidas positivas y medias normativas de bienestar, la principal razón es porque no precisan el surgimiento de polos opuestos cuyas brechas de ingreso pueden resultar cada vez más distantes.
REFLEXIONES FINALES
A escala regional es posible que existan ciertas desigualdades en relación con los promedios nacionales, sin embargo, cuando algunas entidades muestran desviaciones extremas debemos hablar de severos desequilibrios en términos de justicia social.
Respecto a la vertiente conceptual y de método empleado, los resultados sugieren que el paradigma tradicional de la desigualdad resulta poco ilustrativo para describir en qué medida una población podría estarse agrupando alrededor de polos o grupos según su nivel de ingreso. Estas divergencias empíricas entre ambas familias de índices, justifican la relevancia de incorporar el enfoque de la polarización como mejor aproximación al estudio.
Si todos los grupos excepto uno fuesen igualmente "pobres" no se plantearía un problema de fraccionamiento, para ello hace falta que exista un número significativo de grupos en cada una de las posiciones polares; por otra parte, si se produjese un acercamiento de los grupos "pobres" entre sí y al mismo tiempo convergencia entre los grupos "ricos", cualquier medida de desigualdad expresaría mayor equidad; sin embargo, la fractura en la distribución final sería más clara y se traduciría en una mayor polarización del ingreso como ponen de manifiesto los resultados encontrados.
Una revisión del problema a escala estatal y/o con datos a menor escala, reflejaría que esta tendencia no es lineal, y que presenta diversos matices según su nivel de desagregación. Por ejemplo, de acuerdo con los resultados obtenidos, la región Sur Michoacán, Guerrero, Oaxaca, Chiapas es la que presenta niveles de pobreza más altos a escala nacional, lo anterior se debe a la extrema desigualdad social que ahí impera, cuyas raíces las podemos encontrar desde la época colonial. Así pues, estudiar a la pobreza sin considerar su distribución tiene una obvia limitación, no sólo por los aspectos éticos del tema, sino también porque soslaya las consecuencias que en términos de reproducción intergeneracional de la pobreza y aun de crecimiento económico, tiene la desigualdad y polarización del ingreso.
* Los autores agradecen los valiosos comentarios y recomendaciones de los dictaminadores anónimos.
1 Teóricamente, la sociología establece como concepto primario que la sociedad se halla constituida por grupos y subgrupos cuyos miembros demuestran tener conciencia grupal, conexión interna e integración mutua. Particularmente, la perspectiva funcionalista establece que los grupos comparten alguna característica sociológica común e intrínseca, en esta corriente encontramos algunos autores clásicos como M. Weber, E. Durkheim y, posteriormente, H. Spencer, R. Merton, entre otros.
2 C. Gini, "Measurement of inequality and incomes", The Economic Journal, núm. 31, 1921, pp. 124-126. [ Links ]
3. H. Theil, Economics and Information Theory, Amsterdam, North Holland Ed., 1967. [ Links ]
4 J. Rawls, A theory of Justice, Londres, Oxford University Press, 1973. [ Links ]
5 W. Atkinson, The Economics of Inequality, Londres, Oxford University Press, 1975. [ Links ]
6 A. Sen, On Economic Inequality, Londres, Oxford University Press, 1973. [ Links ]
7 M. Wolfson, "When inequalities diverge", The American Economic Review, núm. 84(2), 1994, pp. 353-358. [ Links ]
8 J. Esteban y D. Ray, "On the measurement of polarization", Econometrica, núm. 62(4), 1994, pp. 819-851. [ Links ]
9 J. Esteban, D. Ray y J. Duclos, "Polarization: concepts, measurement, estimation", Econometrica, núm. 72(6), 2004, pp. 1737-1772. [ Links ]
10 En la siguiente sección se presenta un ejercicio hipotético que representa esta situación.
11 A. Giddens, Sociología, Barcelona, Alianza Universitaria Textos, 1997, p. 281. [ Links ]
12 A. Sen, Choice, welfare and measurement, Oxford, Basil Blackwell, 1982, p. 446. [ Links ]
13 No obstante a estas divergencias conceptuales, México cuenta con una metodología propia para la medición de la pobreza y fue elaborada por el Comité Técnico para la Medición de la Pobreza (CTMP) en 2002. Este método compara el ingreso per cápita de los hogares contra el costo de la canasta alimentaria. El cálculo ofrece tres mediciones: a) pobreza alimentaria, b) pobreza de capacidades, y c) pobreza de patrimonio. Actualmente, el Consejo Nacional de Evaluación de la Política de Desarrollo Social (Coneval) es la instancia responsable de coordinar la evaluación de las políticas y programas de desarrollo social, así como la definición, identificación y medición de la pobreza en México. Véase M. Székely, Números que mueven al mundo: la medición de la pobreza en México, México, Miguel Ángel Porrúa, 2005; [ Links ] y Coneval, Informe de evaluación de la política de desarrollo social en México, México, Consejo Nacional de Evaluación de la Política de Desarrollo Social, 2008. [ Links ]
14 W. Atkinson, The Economics of Inequality, op. cit., p. 48.
15 Dado que el interés del presente trabajo es más bien la aplicación y desarrollo de herramientas matemáticas al estudio de las ciencias sociales, el documento se centra en los aspectos técnicos y metodológicos de los métodos empleados.
16 M. Wolfson, "When inequalities diverge", op. cit.
17 J. Esteban y D. Ray, "On the measurement of polarization", op. cit.
18 J. Esteban, D. Ray y J. Duclos, "Polarization: concepts, measurement, estimation", op. cit.
19 En este contexto, M. Wolfson estudia la distribución del ingreso en Canadá durante el periodo 1973 a 1981 y encuentra que las medidas de desigualdad y polarización tienen un comportamiento divergente para ese periodo; es decir, a pesar de que las medidas de desigualdad disminuyen o permanecen constantes, las medidas de polarización tienden a aumentar; en este sentido, propone que un mejor entendimiento del nivel de desigualdad requiere incluir parámetros o medidas relacionadas con la polarización. M. Wolfson, "When inequalities diverge", op. cit., pp. 353-358.
20 Véase A. Sen, On Economic Inequality, op. cit., p. 17.
21 En la etapa inicial la brecha de ingresos entre los individuos era de dos, una vez realizadas las transferencias, observamos que la brecha entre el primer y segundo conjunto se duplica a cuatro.
22 Del mismo modo, las medidas de desigualdad básicamente cumplen algunas de las siguientes propiedades axiomáticas estadísticas: a) independencia de escala, b) principio de la población, c) principio de transferencias de Pigou-Dalton, d) principio "débil" de las transferencias, e) principio "fuerte" de las transferencias, y e) principio de descomposición aditiva, para una exposición formal de los anteriores axiomas, Véanse C. Gradín y C. Del Río, "Desigualdad, pobreza y polarización en la distribución de la renta en Galicia", Documento de Trabajo, Universidad de Vigo, Instituto de Estudios Económicos, 2001; [ Links ] y J. Ruiz-Castillo, "La medición de la desigualdad de la renta: una revisión de la literatura", Documento de Trabajo, Universidad Carlos III de Madrid, 2007. [ Links ]
23 Las medidas de desigualdad de Atkinson que utilizaremos se construyen a partir de una familia específica de funciones de bienestar social de tipo rawlsiano y se caracterizan por incorporar un parámetro de curvatura o (concavidad) cuyo valor, a medida que aumenta, implica una mayor aversión al riesgo de un individuo de permanecer en una situación de pobreza relativa. Para un mayor detalle sobre la construcción de índices de desigualdad a partir de FBS, véase A. García, A., "Polarización sectorial, geográfica y social en México: teoría y evidencia empírica, 1980-2004", tesis de maestría, El Colegio de la Frontera Norte, 2008 [http://docencia.colef.mx/node/160] [ Links ].
24 B. Atkinson, "On the Measurement of Inequality", Journal of Economic Theory, núm. 2, 1970, pp. 252-257. [ Links ]
25 H. Theil, Economics and Information Theory, op. cit., pp. 91-134.
26 M. Wolfson, "When inequalities diverge", op. cit., pp. 353-356.
27 Idem.
28 J. Esteban y D. Ray, "On the measurement of polarization", op. cit., p. 819.
29 Del mismo modo, existen dos propiedades estadísticas importantes que distinguen a la polarización de la desigualdad: la no-monotonicidad y la globalidad. La primera consiste en que si descomponemos un cambio distributivo de una serie monótona en pequeños cambios, la variación en los rangos de la distribución puede no darse en la misma dirección. Este axioma es violado por las medidas de desigualdad debido a que una serie de variaciones en el sentido del principio de transferencias de Pigou-Dalton en la misma dirección siempre implica una disminución en la desigualdad. Por otra parte, el principio de la globalidad implica conocer en qué dirección se mueve la distribución después de realizar transferencias o alteraciones en la distribución, es decir, implica identificar los conjuntos o grupos que pueden surgir en la distribución como resultado del proceso. Véase J. Esteban, D. Ray y J. Duclos, "Polarization: concepts, measurement...", op. cit., pp. 1741-1747.
30 H. Galindo-Silva, "Polarización económica y emergencia de conflictos violentos internos: un estudio empírico", Documento de Trabajo, Pontificia Universidad Javeriana, 2007, pp. 1-54. [ Links ]
31 El parámetro K representa una constante de normalización de la forma K= (Σπí)-(2+α). La razón de esta normalización es la necesidad de utilizar porcentajes de población por agrupación, πí/N, con N la población total, al igual que se asumen cambios porcentuales en el ingreso.
32 Asimismo, la diferencia entre|yi-yj| muestra la alineación o distancia relativa entre los individuos de ingresos yi y yj, mientras que pi1-α indica el sentido de identificación de cada uno de los pi miembros del grupo i. Por lo tanto, pi1-α pj |yi-yj| representa el antagonismo que cada individuo del grupo i siente hacia cada miembro del grupo j.
33 J. Esteban y D. Ray, "On the measurement of polarization", op. cit., p. 819.
34 J. Esteban, D. Ray y J. Duclos, "Polarization: concepts, measurement, estimation", op. cit., pp. 1760-1771.
35 Véase R. Ezcurra, C. Gil, P. Pascual y M. Rapún, "Polarización regional en la Unión Europea", Documento de Trabajo, Universidad Pública de Navarra, 2004, pp. 1-25. [ Links ]
36 G. Esquivel, Geografía y desarrollo económico en México, Documento de Trabajo, Banco Interamericano de Desarrollo, Washington, DC., 2000, pp. 1-35. [ Links ]
37 De forma paralela a esta agrupación, existen otras propuestas de regionalización, entre ellas encontramos la clasificación de E. Hernández-Laos, La productividad y el desarrollo industrial en México, Fondo de Cultura Económica, 1985; [ Links ] y la propuesta por M. Messmacher, "Desigualdad regional en México. El efecto del TLCAN y otras reformas estructurales", Documentos de Investigación, Banco de México, 2000, pp. 1-38, [ Links ] entre otras; sin embargo, se retoma la propuesta de G. Esquivel, Geografía y desarrollo económico en México, op. cit., pp. 12-17, fundamentalmente por su relevancia descriptiva para analizar el fenómeno en cuestión.
38 A fin de construir una tendencia y comparación de los indicadores de desigualdad y polarización en términos reales, se tomó como año base 1994, principalmente para observar los efectos ex-ante y ex-post a la crisis 1995, la más severa crisis ocurrida desde la década de 1930.
39 J. Esteban, "Polarización económica en la cuenta mediterránea", Centre de Recerca en Economia Internacional, Universitat Pompeu Fabra, núm. 10, 2002, p. 18. [ Links ]
40 Metodológicamente, lo más conveniente es utilizar las medidas de desigualdad de manera complementaria y analizar sus resultados en forma conjunta.
41 Véanse F. Cortés, La distribución del ingreso en México en épocas de estabilización y reforma económica, CIESAS/Miguel Ángel Porrúa, México. 2000; [ Links ] y A. Yúnez-Naude, J. Arellano-Gozález y Jimena Méndez Navarro, "Consumo, pobreza y desigualdad municipal en México, 1990-2005", Serie Documentos de Trabajo, Centro de Estudios Económicos, El Colegio de México, 2009. [ Links ]
42 Los datos fueron calculados partir de la media de ingreso per cápita ajustado PPP-adjusted según el Penn World Table y población total por país para cada año. Véase X. Sala-i-Martin, "The world distribution of income: falling poverty and convergence", Quarterly Journal of Economics, núm. 121(2), 2006, pp. 351-397. La muestra que incluye 138 países puede consultarse en [http://www.columbia.edu/~xs23/papers/worldistribution/Data/], fecha de consulta: febrero de 2011. [ Links ]
43 Véase L. Huesca, "Polarización por subgrupos socioeconómicos en México: 1984-2002", Estudios Sociales, XIII (025), 2005, pp. 36-68. [ Links ]
44 J. Esteban, "Desigualdad y polarización en la distribución interregional de la renta", op. cit., p. 24.
45 J. Esteban y D. Ray, "On the measurement of polarization", op. cit.
46 M. Wolfson, "When inequalities diverge", op. cit., p. 841.
47 J. Esteban, D. Ray y J. Duclos, "Polarization: concepts, measurement, estimation", op. cit.
48 M. Wolfson, "When inequalities diverge", op. cit., pp. 356-357.
49 En la sociología funcionalista Durkheim y Parsons ponen más énfasis en el consenso que en el conflicto, para esta escuela la sociedad es parecida al organismo humano, donde cada parte debe realizar su función, cuando esto no sucede, se entra en conflicto o en estado de anomia; se buscará, entonces, que la sociedad vuelva a la normalidad, a la búsqueda de consensos para resolver el conflicto. Por su parte, la escuela marxista tiene al conflicto como centro de su interés. El motor de la historia, dice Marx, es la lucha de clases, o sea el conflicto entre las clases antagónicas. Cuando se resuelve éste, se pasa a otra etapa del desarrollo humano, donde nuevamente se generará otro conflicto. Desde el punto de vista empírico, en un amplio estudio internacional N. Muller y M. Seligson también aportan evidencia que demuestra cómo una situación de amplia desigualdad del ingreso es una precondición importante para la violencia en masas. Véase N. Muller y M. Seligson, "Inequality and insurgency", American Political Science Review, núm. 81, 1987, pp. 425-452. [ Links ]
50 Dado que la desigualdad concierne al hecho de la dispersión con respecto a transferencias que mantienen la media constante, la polarización es un fenómeno que surge cuando las observaciones de una distribución se trasladan de la media hacia los extremos.













