Servicios Personalizados
Revista
Articulo
Indicadores
-
Citado por SciELO -
Accesos
Links relacionados
-
Similares en
SciELO
Compartir
Estudios sociales (Hermosillo, Son.)
versión impresa ISSN 0188-4557
Estud. soc vol.20 no.39 Hermosillo ene./jun. 2012
Artículos
Frecuencia del consumo de alimentos industrializados modernos en la dieta habitual de comunidades mayas de Yucatán, México
Frequency of the consumption of industrialized modern food in the habitual diet in Mayan communities of Yucatan, Mexico
Odette Pérez Izquierdo*, Austreberta Nazar Beutelspacher*, Benito Salvatierra Izaba*, Sara Elena Pérez-Gil Romo**, Luis Rodríguez***, María Teresa Castillo Burguete****, Ramón Mariaca Méndez*
*El Colegio de la Frontera Sur
** Instituto Nacional de Ciencias Médicas y Nutrición Salvador Zubirán
***Universidad Autónoma de Yucatán. Facultad de Matemáticas
****CINVESTAV-Unidad Mérida
* Dirección para correspondencia:
anazar@ecosur.mx
Fecha de recepción: julio de 2011
Fecha de aceptación: octubre de 2011
Reseña
El objetivo del trabajo fue identificar la introducción de alimentos industrializados modernos en la dieta habitual de dos comunidades mayas de Yucatán, México, así como algunos factores que, en la escala comunitaria y la de los hogares, podrían explicar la inclusión. Se trata de un estudio de tipo transversal en el que participaron 51 familias seleccionadas a través de un muestreo sistemático sin reemplazo. La información se obtuvo de una entrevista estructurada que incluyó información de variables socioeconómicas, dieta habitual, frecuencia del consumo de alimentos, actividades productivas, disponibilidad de alimentos y apoyos gubernamentales. Se usaron pruebas estadísticas paramétricas para identificar diferencias entre comunidades y familias respecto al consumo de alimentos industrialzados modernos. Los resultados evidencian el consumo de alimentos industrializados de corte moderno en la dieta habitual de ambas comunidades, sin diferencias significativas en esta escala, pero se registraron diferencias en la escala de los hogares. Se discute el papel de la emigración y los programas sociales en la incorporación de alimentos industrializados modernos en la dieta habitual de los hogares mayas de estas comunidades.
Palabras clave: alimentos industrializados, dieta habitual, alimentación, maya, rural.
Abstract
The aim of this study was to determine the introduction of industrialized modern food in the habitual diet of two Mayan communities of Yucatan, Mexico, as well as some factors, on both the community and the home level, which may explain this incorporation. This transversal study is conformed of 51 families selected through systematic sampling without replacement. The information was obtained from a structured interview that included socioeco-nomic variables, habitual diet, frequency of food consumption, economic activities, availability of food and governmental assistance. Parametric statistical tests were used to identify differences between communities and families with regard to the consumption of industrialized modern food. The results demonstrate the consumption of modern industrialized food in the habitual diet of both communities without significant differences at this level, but differences were registered at the home level. The role of emigration and social programs in the incorporation of industrialized modern food in the habitual diet of the Mayan homes of these communities is discussed.
Key words: industrialized modern food, habitual diet, feeding, Maya, rural.
Introducción
A partir del siglo XIX se han registrado cambios en la alimentación en, prácticamente, todas las poblaciones del mundo, con notables variaciones en los distintos continentes y en sus regiones (Grigg, 1999). Los cambios han sido muy evidentes a partir de la segunda posguerra, en la década de los sesenta del siglo XX, relacionados con los procesos de modernización, particularmente con la industrialización alimentaria.1 Son procesos crecientes de urbanización y emigración rural-urbana. Se incrementó también la producción y distribución de alimentos industrializados, así como mayor acceso de las familias a éstos, ya que se ha registrado un aumento del ingreso familiar, particularmente en países desarrollados (Grigg, 1999; Popkin, 1993; Nestlé y Jacobson, 2000; Guo et al., 2000). Por ejemplo, en Europa, el principal cambio que han experimentado ha sido la disminución en el consumo de raíces que ha sido sustituido por cereales industrializados, ricos en hidratos de carbón simple. Entre los cereales, el trigo ha reemplazado al centeno, avena, cebada y maíz, pero ha sido incorporado a la dieta de manera procesada, lo cual elimina su riqueza nutricional; mientras que el arroz ha reemplazado al maíz y al sorgo (Collins, 1993).
Algunos cambios en los patrones de consumo de alimentos han sido reportados por Grigg (1999), quien señala que en Asia se ha observado un incremento en el consumo de cereales refinados y raíces, mientras que en América Latina, su consumo ha permanecido estable. Por otra parte, el consumo de endulzantes ha tenido un fuerte incremento en Norteamérica y Latinoamérica, mientras que en Australia, Rusia y Europa Occidental y Oriental después de la segunda mitad del siglo XX ha descendido el consumo de este producto.
El consumo más bajo de endulzantes se registra en Asia y África, pero con tasas ascendentes. Uno de los cambios más notables ha sido el incremento en el consumo de alimentos de origen animal en todas las regiones del mundo, con el mayor aporte proporcional de calorías en la dieta en Australia, Norteamérica, Europa Occidental y Europa Oriental y Rusia, países que registraron un aumento de 83% en el consumo de proteína de origen animal. Al respecto cabe señalar que Rusia, asociado al notable aumento en el consumo de endulzantes y carnes, tiene la tasa de mortalidad por enfermedades cardiovasculares más alta del mundo (Popkin, 1993). En cuanto a América Latina se registra un consumo medio, más o menos constante, mientras que Asia, una de las regiones que tenía menor consumo de alimentos animales, ha incrementado dramáticamente a partir de 1985, todo ello asociado, particularmente, al proceso de industrialización y al alza de los ingresos de la población. El caso de China es paradigmático de estos cambios (Guo et al., 2000).
A la carne se le han adjudicado características nutricionales de excelencia, a la vez que cuenta con un al alto valor social, ya que sólo las personas que cuentan con suficientes recursos económicos la pueden adquirir. Por ello, las preferencias alimentarias no se establecen ni se eliminan por caprichos y aficiones, más bien encuentran su origen en cambios sociales y económicos (Latham, 2002).
Desde el punto de vista económico, la ganadería es considerada un reglón socioeconómico de gran importancia para el desarrollo del campo debido a sus altos rendimientos productivos y económicos, generador de empleos e impulsor del desarrollo social, así como también contribuye de manera representativa al Producto Interno Bruto -PIB nacional y agropecuario- (Mahecha, Gallego y Peláez, 2002). No obstante, desde la perspectiva nutricional, ha traído consigo cambios en la dieta que hoy día son cuestionados debido a los problemas de salud que ocasiona; es decir, el consumo de carne no significa una mejor nutrición.
La modernización de la dieta ha afectado a todos los grupos sociales, por ejemplo, en la segunda mitad del siglo XX, algunos grupos indígenas de Estados Unidos de América, Micronesia, Polinesia, Australia y Papúa Nueva Guinea, registraron tasas de diabetes mellitus tipo 2, sumamente elevadas, que no se habían reportado antes de 1940 (Szathmáry, 1994).
Los cambios alimentarios han sido impulsados por una economía capitalista y globalizante que domina a la mayoría de las naciones del mundo. Los sistemas alimentarios se rigen, cada vez más, por las exigencias marcadas por los ciclos económicos capitalistas de gran escala. Éstos, han impulsado la intensificación de la producción agrícola, la orientación de la política de la oferta y la demanda en torno a determinados alimentos, la concentración del negocio en empresas multinacionales, la ampliación y especialización de la distribución alimentaria a través de unas redes comerciales cada vez más omnipresentes y, en definitiva, la internacionalización de la alimentación.
La industria alimentaria abarca no sólo a los países industrializados, sino al resto del mundo, ya que afecta primero a los procesos productivos, algunos de los cuales tienen ahora como objetivo el suministro a gran escala y, más recientemente, afectan al consumo mismo, ya que los productos de la cocina industrial y de la agricultura industrializada juegan un papel determinante en el abastecimiento alimentario de los países en desarrollo (Gracia, 2003).
En el último siglo, y sobre todo en los últimos cuarenta años, se ha producido la transformación más radical de la alimentación humana, se ha trasladado gran parte de las funciones de producción, conservación y preparación de los alimentos desde el ámbito doméstico y artesanal, a las fábricas y, en concreto, a las estructuras industriales y capitalistas de producción y consumo (Pinard, 1988).
En la actualidad la comida es un gran negocio a nivel mundial en torno al cual se mueven cifras millonarias orientadas a incrementar la productividad agrícola, el rendimiento de la ganadería y la intensificación de la explotación marítima, entre otros (MAPYA, 2002).
El sistema alimentario moderno dibuja unos trazos, a veces paradójicos y otros complementarios, que pueden sintetizarse al menos en cuatro tendencias básicas (Warde, 1997; Germov y Williams, 1999): primero, el fenómeno de la homogenización del consumo en una sociedad también masificada; segundo, la persistencia de un consumo diferencial socialmente desigual; tercero, el incremento de una oferta alimentaria personalizada avalada por la creación de nuevos grupos de consumidores que participan de estilos de vida comunes y cuarto, el incremento de una individualización alimentaria causante de la creciente ansiedad del comedor contemporáneo.
La modernización alimentaria también ha llevado a una mayor disponibilidad de alimentos industrializados, ricos en azúcares simples y grasas saturadas (Popkin, 1993). A ese patrón se le ha considerado la "dieta occidental",2 que se ha asociado, en todos los países del orbe, al incremento notable de las tasas de sobrepeso y obesidad registradas en todos los grupos de edad en ambos sexos, así como al aumento de la morbilidad y mortalidad por enfermedades crónico-degenerativas (Gracia, 2007).
Diversos países en desarrollo han experimentado, en las últimas décadas, un cambio significativo en las condiciones socioeconómicas y en la urbanización, con un impacto en la dieta (Drewnowski y Popkin, 2007). Los cambios se asocian a la transición epidemiológica que se caracteriza por una alta prevalencia de obesidad y enfermedades no transmisibles crónicas (como hipertensión arterial y diabetes, entre otras), relacionadas directamente con la nutrición de las personas (Rivera-Dommarco et al., 2002).
En el caso de México, las encuestas nacionales de alimentación de 1979 y 1989 realizadas en el medio rural, reportaron que el consumo de alimentos de origen animal se incrementó, al igual que los azúcares simples y grasas saturadas; por el contrario, el consumo de frutas y verduras disminuyó y, en menor medida, también se registró un decremento en el consumo de cereales integrales y leguminosas (Madrigal et al., 1982; Madrigal y Ávila, 1990).
En 1996 la Encuesta Nacional de Alimentación y Nutrición (ENAL), reportó que aproximadamente 20.0% de la población refirió no consumir frutas y verduras por razones de precio o falta de disponibilidad. Los alimentos de origen animal son consumidos regularmente por siete de cada diez familias, mientras que el de endulzantes ha permanecido estable. Estos cambios, han corrido paralelos al incremento de las enfermedades crónicas degenerativas, donde destacan la diabetes mellitus tipo 2 que afecta aproximadamente a 12.0% de la población adulta en México y es una de las principales causas de mortalidad (Ávila et al., 1997).
En la actualidad, el país registra altos porcentajes de sobrepeso y obesidad en la población, porcentajes que están íntimamente relacionados con la aparición de enfermedades crónicas degenerativas que han corrido de la mano con la entrada y consolidación de la industria alimentaria al país. Éstas han convivido al mismo tiempo con la globalización y todos sus efectos a nivel social, económico, salud, alimentario, cultural, entre otros; y afectando también los estilos de vida tradicionales de los grupos indígenas (Bertrán, 2010).
La Encuesta Nacional de Salud y Nutrición de 2006, señala que el sobrepeso y la obesidad afectan a cerca del 70.0% de población mexicana entre los 30 y 60 años (71.9% mujeres y 66.7% hombres), eso constituye un grave problema de salud pública (Olaiz et al., 2006). Debe destacarse que en las localidades rurales la prevalencia fue mayor para las mujeres (79.1%) que para los hombres (73.5%) respecto a los indicadores nacionales; se registró un patrón de mala alimentación mixto, caracterizado por una elevada prevalencia de sobrepeso y obesidad con desnutrición.
Los datos indican un probable cambio del patrón alimentario de la población del medio rural e indígena provocado por el incremento en el ingreso, el cambio en las actividades productivas y en la preferencia de alimentos ricos en azúcares y grasas animales, que caracterizan la dieta contemporánea en América Latina (Popkin, 1993).
En ese contexto, la malnutrición tiene dos caras: desnutrición y obesidad. La gente pobre está desnutrida porque no tiene suficientes recursos para alimentarse o son obesos porque se alimentan mal. La población con pobreza muchas veces selecciona alimentos ricos en hidratos de carbono simples, grasas y azúcares que, aunque les impide gozar de una nutrición adecuada, satisfacen su apetito y se integran bien a su patrón de consumo tradicional y a sus pautas de comensalismo (Isunza, 2004).
Las ventajas de la dieta indígena mexicana fueron reconocidas hasta los años cuarenta del siglo XX, cuando aparece el Instituto Nacional de la Nutrición y se empiezan a estudiar sus características bromatológicas. Los efectos de la dieta en el organismo mostraron que proporciona suficientes elementos para desarrollarse, siempre y cuando se coma en cantidades suficientes (Aguirre, 1986). En términos nutricionales, la dieta tradicional indígena es buena fuente de energía e hidratos de carbono, de proteína en combinación del maíz y frijol, de vitaminas y minerales, si hay suficiente consumo de frutas y verduras, así como el consumo cotidiano de chile; tiene, además, ventajas como ser buena fuente de calcio por la nixtamalización del maíz, baja en grasa en su forma original y tener un buen contenido de fibra (Bertrán, 2010).
La población, sin embargo, en la medida en la que tiene acceso a los recursos económicos, prefiere alimentos industrializados y "modernos" que les permitan ir mostrando su mejoramiento social. Esto, a pesar de las reivindicaciones indígenas y de las ventajas dietéticas de la alimentación original, parece ser resultado de una idea sistemáticamente presente en la sociedad y expresada abiertamente hasta hace muy poco tiempo en las políticas públicas: para mejorar y desarrollarse es preferible dejar de ser indígena, proceso que se ha agudizado con el sistema económico que vive al país (Bertrán, 2005).
La modernización de la dieta en México se asocia al abandono de ricas y sabias tradiciones alimentarias nacionales a favor de la adopción de un modelo occidental de consumo, rico en alimentos industrializados con elevados costos en la salud, en la economía y en la ecología (Del Valle, 2004). La modernización también ha promovido que la dieta rural basada en maíz, frijol y calabaza, entre otros, se transforme en una dieta más variada y comercial, con alto contenido de grasas saturadas y azúcares simples, acarreando con ello enfermedades degenerativas derivadas de su abuso, lo que da lugar a la transición epidemiológica y nutricional (Chávez et al., 1994). Es decir, los cambios alimentarios en las dietas campesinas son consecuencia de cambios estructurales generados en pro de la modernización y de la política económica que rige al país, mismos que van acompañados de prácticas discursivas sobre la desnutrición, argumentando que la dieta campesina es una dieta de pobres, deficiente en proteínas de origen animal y calorías; eso, genera un círculo vicioso: desnutrición, dieta campesina y pobreza (Vizcarra, 2002).
Los procesos macrosociales, como la globalización y sus manifestaciones en disponibilidad y acceso a los alimentos, la difusión de conocimientos, la migración, o bien el aumento de la monetarización de la economía en todos los sectores sociales de manera acelerada en países con economías emergente como México, son contundentes para analizar el impacto que están causando en la alimentación y salud de la población mexicana (Bertrán, 2010).
La política económica que desarrolla el país en la actualidad ha dejado desprotegida la producción de subsistencia para dejar en manos del mercado la tarea de regular el acceso de los alimentos de alto valor biológico, incluyendo los que se dejaron de producir (como el frijol). Lo señalado ha permitido que otros alimentos de baja calidad nutricional se incorporen a la dieta campesina de las poblaciones rurales e indígenas del país. La situación permite el enriquecimiento desmedido de la industria alimentaria transnacional que influye fuertemente en las decisiones gubernamentales y deja a un lado la salud de la población mexicana.3
Los estudios realizados en México sobre consumo de alimentos industrializados en poblaciones indígenas son escasos, por ello en el presente artículo se propone identificar en dos comunidades mayas de Yucatán, México, la introducción de alimentos industrializados modernos (AIM) en la dieta habitual, así como algunos factores que en la escala comunitaria y la de los hogares, podrían explicar esta inclusión.
Comunidades de estudio
La investigación se realizó en dos comunidades mayas yucatecas: la primera, Mucuyché, se sitúa en la zona norponiente. Se caracteriza por pertenecer a la región ex henequenera. La segunda localidad, Xanláh, se halla en el suroriente de la entidad; se ubica en la zona que tradicionalmente ha sido productora de maíz (zona maicera).
Zona ex henequenera. En Yucatán, la producción de henequén ha desaparecido, prácticamente, desde 1970 y, con ello, la primacía que ostentaba la economía de esta planta en la cultura y en las artesanías que eran elaboradas con sus fibras. Con la reordenación henequenera se propició la desintegración familiar, el abandono de la agricultura de subsistencia y la pérdida del papel simbólico del henequén en la vida económica y cultural del estado (ICY, 2006).
Los campesinos de la zona ex henequenera, desde la década de los setenta, viven una situación difícil debido a la decadencia del agave del henequén, que en otro tiempo fuera considerado "el oro verde de la península" y que concluyó en la década de los noventa cuando el gobierno del estado finiquitó a los últimos campesinos henequeneros. Sumado a esta situación, entró en marcha el Programa de Certificación de Tierra Ejidales (procede), que parceló el ejido y lo privatizó, poniendo a los campesinos en una situación de difícil decisión en cuanto a si vender o no su único patrimonio familiar: la tierra (Baños, 1993). La situación ha llevado a que la mayoría de los habitantes de las comunidades campesinas de la zona ex henequenera vivan en la pobreza o en la pobreza extrema.
La comunidad de Mucuyché pertenece al municipio de Abalá. Se encuentra ubicada en la región centronorte del estado, a unos 37 kilómetros de la ciudad de Mérida, y pertenece a la antigua zona henequenera del estado. Registra una población aproximada de 507 habitantes, 87.2% de ella habla lengua maya (INEGI, 2004). La actividad productiva principal es la agricultura junto con el sector secundario (principalmente el empleo en las maquiladoras) y de servicios (particularmente en el sector turístico) que poco a poco va desplazando a la agricultura local y que beneficia especialmente a la zona urbana de Mérida (Baños 2001). Esta comunidad aún conserva muchas de sus tradiciones y su índice de marginación es alto (SEDESOL, 2008).
Zona maicera. La región maicera del estado es la única que conserva un patrón agrícola tradicional basado en un complejo sistema agrotecnológico llamado milpa, orientada al autoabasto. Su situación también es difícil porque las tierras han tenido un rendimiento decreciente. Muchas de las tierras de la zona se han utilizado para la ganadería, quitando terrenos para la milpa, orillando a los campesinos a intensificar y recortar los tiempos de roza-tumba-quema, disminuyendo los nutrientes de la tierra y logrando rendimientos muy bajos de maíz, en donde no sólo se afecta la cantidad, sino la calidad. Es una grave situación que también es consecuencia de las fuertes presiones socio-económicas que imperan en la zona (Levy y Hernández, 1992).
Se debe mencionar que desde la década pasada los programas gubernamentales y no gubernamentales, están haciendo un esfuerzo por modernizar la agricultura tradicional de la zona con la introducción de nuevos cultivos, sin éxito. Las familias que se dedican a la agricultura tradicional viven en una situación crítica y solamente por el esfuerzo de todos y cada uno de los miembros que las integran -muchos de ellos por migración laboral, otros con la fabricación de artesanías, entre otras actividades- han logrado sobrevivir. La producción de la milpa se destina al autoabasto, en algunas ocasiones, se llegan a vender productos, lo que les permite generar ingresos necesarios para la subsistencia de la familia (Baños, 2001).
De esta región, se tomó la comunidad de Xanláh, que pertenece al municipio de Chamkon, está ubicada en el cono suroriente del estado, aproximadamente a 190 km de la capital, Mérida. Tiene una población aproximada de 406 habitantes, quienes en un 85.0% hablan lengua maya (INEGI, 2004). Su actividad productiva principal es la milpa, que consiste en una técnica agrícola antigua usada por los antepasados mayas basada en la roza, tumba y quema. Conserva muchas de sus tradiciones. Su índice de marginación es muy alto (SEDESOL, 2008).
La selección de las dos comunidades responde a la exploración de la diferencias y semejanzas en la introducción de alimentos industrializados en la dieta habitual maya, bajo dos tradiciones productivas que han enfrentado de distinta manera la crisis agrícola de la región y la modernización de las actividades productivas. Se exploran en particular, la emigración laboral, los programas gubernamentales de apoyo social y de combate a la pobreza extrema, y la producción familiar alimentos en la modificación de la dieta.
Selección de la muestra
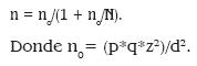
El enfoque del estudio es cuantitativo, de tipo transversal correlacional. Se realizó un muestreo sistemático, sin reemplazo, para la selección de los hogares que serían incluidos en la encuesta. La fórmula que se empleó para el tamaño muestral fue la de muestreo aleatorio simple:

Se estimó una tasa de no respuesta del 10.0%, para un tamaño mínimo estimado de muestra de 51 personas, con quienes se realizó entrevistas estructuradas.
Instrumentos de recolección de la información
La información se obtuvo durante los meses de marzo a julio de 2010, mediante un cuestionario compuesto de dos secciones que acopió información sobre la alimentación de cada familia. Ésta se consiguió a través del uso de los instrumentos de dieta habitual y frecuencia de consumo de alimentos. La dieta habitual corresponde a los patrones de regularidad de las familias respecto a lo que acostumbran desayunar, almorzar, comer y cenar.
Análisis de la información
Una vez obtenida la información se procedió a su clasificación en alimentos no procesados,4 alimentos industrializados5 tradicionales6 y alimentos industrializados modernos7 para cada una de las dos comunidades estudiadas.
La frecuencia de consumo de cada alimento fue categorizada en tres subgrupos: diario, una a cuatro veces por semana y menos de una vez a la semana. Fueron considerados dentro de la dieta habitual los alimentos que son consumidos más de una vez a la semana (diariamente o de una a cuatro veces por semana) por el 66.7% de la población o más (consumo generalizado).8 Se obtuvo información también de las actividades productivas de cada uno de los integrantes del hogar, incluyendo migración laboral de uno o más de sus miembros, así como variables familiares como la posesión de parcela, cultivo de la milpa, producción de animales de traspatio, producción de frutas, y apoyos gubernamentales recibidos.
El patrón alimentario se estudió a través de la dieta habitual, identificando cada uno de los alimentos consumidos y su frecuencia de consumo por familia. El patrón alimentario corresponde a la escala comunitaria; las diferencias entre comunidades fueron analizadas mediante el promedio de AIM consumidos en cada una de ellas para lo que se utilizó el estadístico t de Student.
En la escala de hogares, se requería de un indicador que posibilitara identificar las diferencias en el consumo de alimentos industrializados modernos entre hogares de una misma comunidad o de otras comunidades. Por ello, se procedió a generar un indicador por hogar: indicador de consumo de alimentos industrializados modernos (ICAIM) . Incluye la proporción de alimentos industrializados (respecto al total de AIM reportados en cada comunidad) que son consumidos en cada hogar con una frecuencia mayor a una vez por semana (diario o una a cuatro veces por semana). El indicador fue agrupado en tres conglomerados mediante la metodología de formación de grupos de K-medias (Infante y Zárate, 1992): (a) los hogares que consumen en promedio sólo 6.0% o menos de los productos industrializados registrados en la comunidad (bajo); (b) aquellos que consumen del 7.0% al 33.0% de ellos (medio); y, (c) los hogares que consumen del 34.0% al 56.0% (valor máximo registrado) (alto). Los conglomerados o grupos constituyen la variable dependiente de consumo de AIM en la dieta habitual para analizar su asociación con las variables independientes: emigración de ninguno, uno o dos y más de los integrantes de la familia, emigración del jefe o jefa del hogar, apoyos sociales gubernamentales, posesión de parcela y cultivo de la milpa. La relación entre estas variables fue estimada mediante análisis bivariado y la prueba de bondad de ajuste de Chi-cuadrada (Infante y Zárate, 1992). Finalmente, se evaluó de forma integral a los factores previos para obtener un modelo explicativo basado en el modelo de regresión logística multinomial (Infante y Zárate, 1992).
Los datos del cuestionario de la sección alimentaria y socioeconómica fueron analizados a través del programa SPSS 19.0.
Características de las poblaciones en estudio
En total fueron aplicados 51 cuestionarios familiares, 26 en Mucuyché y 25 en la localidad de Xanláh.
La comunidad de Mucuyché registró niveles de escolaridad significativamente superiores a los de Xanláh (XT2=43.0; 5gl; 0.00), así como mayor porcentaje de estudiantes (XT2=33.6; 4gl; 0.00) y de emigrantes (XT2=12.4; 1gl; 0.00) (cuadro 1). Lo anterior se explica en parte por los cambios productivos derivados del abandono del cultivo del henequén que obligó a su población a la búsqueda de trabajo asalariado, a la necesidad de una mayor escolaridad para obtener empleo y a la emigración laboral. Aunque la mayoría de la población conserva sus parcelas, la producción de milpa9 es significativamente menor a la de Xanláh (cuadro 2). Menos hogares de Mucuyché reciben apoyos gubernamentales, pero quienes los reciben son por un monto significativamente mayor que en Xanláh (cuadro 2), lo que sugiere una mayor diferenciación económica en el interior de Mucuyché.


En la comunidad Xanláh, no se ha registrado un cambio significativo de las actividades productivas por lo que predominan las agrícolas orientadas particularmente al cultivo de la milpa (cuadro 2). Ello explicaría la elevada tasa de analfabetismo de sus pobladores, el mayor porcentaje de agricultores y la mínima presencia de asalariados (cuadro 1), así como la mayor proporción de hogares que reciben apoyo gubernamental mediante el programa Oportunidades (cuadro 2).
Las características sugieren diferencias en la composición de la dieta, toda vez que los pobladores de Mucuyché tendrían mayor necesidad que la población de Xanláh de comprar alimentos y, por tanto, mayor posibilidad de incorporar a su dieta alimentos industrializados que generalmente son más caros.
Dieta habitual de comunidad
A continuación se presenta la información correspondiente al consumo de alimentos y su frecuencia, de acuerdo a la clasificación de alimentos no industrializados, industrializados tradicionales e industrializados modernos, por comunidad.
Alimentos no industrializados que conforman la dieta habitual
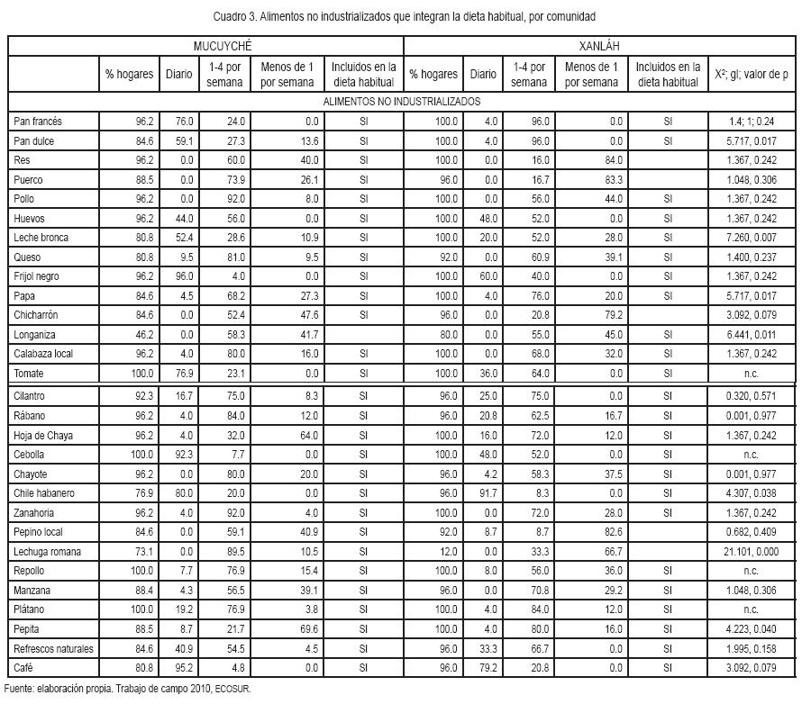
Los resultados muestran que ambas comunidades conservan un patrón tradicional de alimentación basado en frijol, maíz y verduras como calabaza criolla, tomate, zanahoria, repollo, pepino y frutas de temporada. Este tipo de alimentos son consumidos por 89.0% de los hogares de Mucuyché y por 94.5% de los de Xanláh. En este último, la carne de res, la carne de puerco, el chicharrón, la lechuga romana y el pepino local no forman parte de la dieta habitual; en Mucuyché la longaniza no forma parte de la dieta habitual.
Existen diferencias significativas en el porcentaje de hogares que consumen pan dulce, leche bronca, papa, longaniza, chile habanero, lechuga romana y pepita de calabaza, al comparar las dos comunidades a expensas de una menor proporción de hogares que los consumen en Mucuyché. Aunque estadísticamente las diferencias no son significativas en esta comunidad, también se registró una menor proporción de hogares que consumen queso, frijol negro, chicharrón, pepino local, calabaza local, manzana, refrescos naturales y café, respecto a Xanláh (cuadro 3).
En términos generales, se observa mayor homogeneidad en el consumo de alimentos no industrializados en los hogares de Xanláh, comunidad que aún no incorpora a su dieta habitual el consumo frecuente de carne de res, carne de puerco y chicharrón, altos en contenido de grasas.
Alimentos industrializados que conforman la dieta habitual
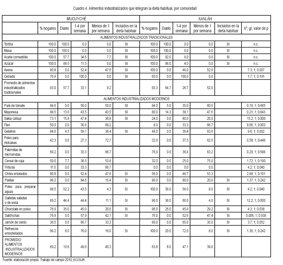
Los alimentos industrializados tradicionales como tortilla de maíz, masa de maíz, aceite comestible y azúcar son consumidos de manera generalizada y frecuente en ambas comunidades. El promedio de hogares donde consumen alimentos industrializados tradicionales son 93.0% y 93.3%, para Mucuyché y Xanláh, respectivamente, conformando parte de su dieta habitual. La avena y la cebada forman parte de la dieta habitual de Mucuyché, pero no en la de Xanláh (cuadro 4).
Los AIM son consumidos por 69.3% de las familias de Mucuyché y 63.8% de Xanláh. En Mucuyché se consumen once alimentos diferentes de este tipo y en Xanláh siete. Los AIM que se consumen en Mucuyché pero no en Xanláh son puré de tomate, mayonesa, salsa catsup, gelatina y chiles enlatados. El jamón de cerdo es el único alimento que forma parte de la dieta habitual de las familias de Xanláh pero no de Mucuyché. Las salchichas y los refrescos embotellados se han incorporado a la dieta habitual de ambas comunidades (cuadro 4).
Se observa que el consumo de alimentos industrializados de corte moderno está llevando a una modificación de la dieta; se encuentra en una etapa de transición alimentaria de corte más urbano, menos nutritiva, de gran densidad energética, rica en grasas, azúcares, sal y un contenido elevado de aditivos. La diversidad de AIM incorporados a la dieta habitual es mayor en la comunidad de Mucuyché,10 así como la frecuencia de su consumo respecto a la de Xanláh, aun cuando en esta última la proporción de hogares que los consumen es mayor.
La proporción de hogares donde sus integrantes consumen AIM por comunidad según niveles de consumo bajo, medio y alto, no registran evidencias de diferencias significativas para ambas comunidades (cuadro 5).

Factores explicativos del consumo de alimentos industrializados modernos por hogar
Los resultados del análisis bivariado se muestran en el cuadro 6. Las variables relativas a la emigración registran mayor probabilidad, marginalmente significativa, de asociación con los consumos medio y alto de alimentos industrializados modernos; especialmente la emigración del jefe o jefa de familia (p=0.056) y el número de miembros del hogar que emigran (p=0.069). No contar con parcela o no cultivar la milpa registra porcentajes más elevados de consumo medio y alto de alimentos industrializados modernos, pero las diferencias no fueron estadísticamente significativas.

Respecto a los apoyos gubernamentales, quienes los reciben, registran cifras más elevadas de consumo medio; lo mismo ocurre con la cantidad de dinero que reciben a partir de esos apoyos, ya que en la categoría más alta del monto recibido se registra mayor proporción de hogares con consumo medio de alimentos industrializados. Sin embargo, ninguna de las dos variables, en conjunto, registra diferencias significativas (cuadro 6).
El modelo de regresión logística multinomial muestra que los factores explicativos del consumo de alimentos industrializados modernos son: para el consumo medio, el recibir apoyos gubernamentales; y para el consumo alto, el número de emigrantes por hogar (cuadro 7). Ambas variables explican el 27.9% del consumo de alimentos industrializados modernos en estas comunidades.

Discusión
Se han presentado resultados en dos dimensiones de análisis: comunitaria y en los hogares. En la dimensión comunitaria, no obstante las diferencias productivas, socioeconómicas y relativas a la emigración, observadas en Mucuyché y Xanláh, los datos obtenidos muestran una incorporación importante de alimentos industrializados modernos en la dieta habitual de ambas comunidades. Debe señalarse que, debido al tamaño de la muestra, es probable que algunos de los estadísticos no resultaran significativos, aunque es posible ver la magnitud del impacto con base en el coeficiente y su razón de momios.11
La incorporación de alimentos industrializados modernos en las comunidades indígenas mayas-yucatecas, son consistentes con los resultados de un estudio realizado por Daltabuit y Ríos (1992), quienes reportan una alta frecuencia de consumo de azúcar, refrescos y alimentos procesados en comunidades de este mismo estado.
La preferencia por este tipo de alimentos podría estar asociada a una valoración de prestigio por su consumo, asociado al de la migración (Calvo y López, 1993; López, 1994), aunque algunos investigadores han sugerido que su incorporación a la dieta se debe a que los prefieren por su buen sabor (Skinner et al., 1999; Subar et al., 1998). En todo caso, pueden ser más caros que los alimentos no procesados derivando en un menor gasto en alimentos no procesados. El impacto negativo en la salud de la población se debe a que son altos en calorías, grasa, azúcares y sodio, y bajos en contenido de fibra (Hampl, Betts, Benes, 1998) y se han asociado con la creciente prevalencia de obesidad y enfermedades crónicas como diabetes e hipertensión arterial (Chávez et al., 1994).
En ambas comunidades es generalizada la práctica de crianza de animales en el solar12 y sólo se registraron diferencias significativas en las variables relativas al cultivo de la milpa y la producción de frutas en el solar.13 Las variables fueron significativamente más elevadas en Xanláh que en Mucuyché, pero no generaron una diferencia significativa en el consumo de alimentos industrializados modernos al comparar ambas comunidades. La distribución de las categorías de consumo (bajo, medio y alto) en las dos comunidades muestra que hay diferencias en las categorías bajo (más frecuente en Xanláh) y alto (más frecuente en Mucuyché), mientras se registran cifras semejantes en la categoría medio, lo que explicaría por qué globalmente no hay diferencia.
El análisis efectuado en la dimensión de los hogares con el consumo de AIM, revela una asociación marginalmente significativa con las variables emigración del jefe o jefa de familia, y el número de emigrantes. El resto de las variables no fueron significativas.
La regresión logística multinomial hizo evidente una asociación entre el consumo medio y el recibir apoyos sociales del gobierno, y un consumo alto de alimentos industrializados modernos con el número de emigrantes por hogar; son estas las variables explicativas más importantes del consumo de AIM en la dieta habitual de estas comunidades maya-yucatecas.
La disponibilidad de dinero (por apoyos gubernamentales o por remesas) es probablemente el factor primordial en la explicación del consumo de AIM, lo cual se registra aún en hogares que conservan sus actividades tradicionales como el cultivo de la milpa o la producción de animales en el solar.
Los resultados del estudio reflejan también un menor cultivo de la milpa -principalmente en la comunidad de Mucuyché-, así como de la migración del jefe de familia quien se ve obligado a dejar la comunidad para trabajar en otros lugares, ya sea en la capital del estado o en localidades vecinas, con el propósito principal de mejorar la calidad de vida de su familia. Además de los recursos económicos que genera la emigración, también podría contribuir a la introducción de alimentos industrializados modernos, en tanto se les otorga un estatus de prestigio y de diferenciación social en las comunidades asociado a la emergencia de una pequeña fracción de "burguesía rural", lo que ha sido documentado desde hace casi dos décadas como efecto negativo de la migración (Calvo, Izquierdo, Mejía, 2004; López, 1994). Lo anterior es aún más importante debido a que el renglón más significativo del gasto de los hogares con remesas en 2008 fue el de alimentos, rubro al que se destinó 24.2% del monto total (Lozano, Huesca, Valdivia, 2010).
Los apoyos gubernamentales, además de estar dirigidos a mejorar la salud y la educación de la población, especialmente el programa Oportunidades,14 las familias emplean esos recursos para adquirir alimentos industrializados modernos, dado el prestigio que su consumo conlleva. Esto contribuye a la modernización de la dieta y al incremento de la obesidad en estas poblaciones. De hecho, en la Encuesta Nacional de Nutrición y Salud 2006, se señala el probable papel del programa Oportunidades en el incremento de la obesidad en niños, lo cual requiere de estudios más profundos para esclarecerlo y, en su caso, modificar la estrategia de combate a la pobreza instrumentada por el gobierno federal.
Los resultados presentados en este artículo, son indicativos de las relaciones entre el consumo de alimentos industrializados modernos y la emigración y los apoyos gubernamentales a comunidades indígenas mayas como factores que contribuyen a la conformación de un ambiente "obesogénico", cuya responsabilidad, a decir de Butland et al. (2007), no debe recaer en los individuos y sus estilos de vida, sino que requiere de acciones de los gobiernos en sus diferentes niveles.
Estudios posteriores podrían contribuir a confirmar las relaciones aquí presentadas, ya que tienen implicaciones para las políticas productivas, de apoyos sociales y del impacto de la migración en la alimentación de las comunidades rurales indígenas.
Conclusiones
Se dan evidencias de la introducción de alimentos industrializados modernos en la dieta habitual de dos comunidades mayas del estado de Yucatán México, la cual es ahora menos nutritiva, de gran densidad energética, rica en grasas saturadas, azúcares, sal y un contenido elevado de aditivos, lo que implica mayor riesgo de sobrepeso y obesidad, así como de enfermedades crónicas como la diabetes mellitus tipo 2. Los datos de este trabajo sugieren que en ambos casos se encuentra asociada a la disponibilidad de dinero obtenido por la emigración laboral en la zona ex henequenera, o por los apoyos sociales gubernamentales mediante el programa Oportunidades en la zona maicera. Sin embargo, la magnitud y características de la incorporación de este tipo de alimentos son diferentes en las dos comunidades estudiadas.
En la comunidad en la que se producen alimentos para el autoabasto, especialmente la milpa, en la medida que no media el mercado para la compra de alimentos, se limita de alguna manera la incorporación de alimentos industrializados modernos en la dieta habitual, pese a que están disponibles localmente, y a la preferencia de la población por este tipo de alimentos por razones de prestigio o por su sabor, asociado a las intensas campañas que promueven este tipo de alimentos en todos los medios de comunicación.
En el caso de la zona ex henequenera, las políticas gubernamentales de abandono de este producto obligaron a las comunidades exproductoras y sus familias a desarrollar nuevas estrategias de sobrevivencia entre las que destaca la emigración laboral, que de acuerdo con los datos de este trabajo, se asocia fuertemente a la modificación de la dieta habitual mediante la introducción de alimentos industrializados modernos, no solamente por la mayor posibilidad de comprar este tipo de alimentos, sino por el prestigio asociado a su consumo.
La promoción de una dieta sana en las comunidades rurales, como las aquí estudiadas, requiere de la consideración del papel que ha jugado, y que actualmente desempeña, el Estado en la producción de alimentos, la permisibilidad para la comercialización de alimentos industrializados modernos, las actividades productivas en las zonas rurales y los apoyos sociales para el combate a la pobreza extrema, cuyos efectos colaterales parecen ir en dirección contraria a este objetivo. Asimismo, se debe reconocer el valor de la dieta habitual tradicional maya asociada al cultivo de la milpa y a la producción de alimentos en el hogar que, de acuerdo a los datos de este trabajo, está bajo una intensa presión, con riesgo de desaparecer, para incidir en un cambio positivo en la alimentación y salud de la población, aún se está a tiempo.
Agradecimientos
El trabajo es resultado de una tesis doctoral realizada en el programa de Ecología y Desarrollo Sustentable de El Colegio de la Frontera Sur. La autora principal agradece al Consejo Nacional de Ciencia y Tecnología por la beca otorgada para la realización de sus estudios doctorales.
Referencias
Aguirre, G. (1986) Antropología Médica. México, Editorial CIESAS. [ Links ]
Ávila, A., Shamah T. y A. Chávez (1997) Encuesta Nacional de Alimentación y Nutrición en el medio rural 1996. México, Editorial Instituto Nacional de Nutrición Salvador Zubirán. Subdirección General de Nutrición de Comunidad. [ Links ]
Baños, O. (2001) La modernidad rural mexicana a fines de milenio. El caso de Yucatán. México, Editorial Universidad Autónoma de Yucatán. [ Links ]
(1993) "La nueva Ley Agraria y las tendencias del cambio social" en Revista de la Universidad Autónoma de Yucatán. Volumen 186, pp. 69-79. [ Links ]
Bertrán, M. (2010) "Acercamiento antropológico de la alimentación y salud en México" en Revista de Saúde Coletiva, Río de Janeiro. Volumen 20, número 2, pp. 387-411. [ Links ]
(2005) Cambio alimentario e identidad de los indígenas mexicanos. México, Editorial Publicaciones y Fomento Editorial, UNAM. [ Links ]
Butland, B. et al. (2007) "Tackling Obesities: Future Choices. Project Report. London: Government Office for Science" en F. Campbell (ed.) The Social Determinants of Health and the Role of Local Government. England, Editorial Improved and Development Agency. [ Links ]
Calvo, G., Izquierdo, A. y L. Mejía (2004) "On the Empirics of Sudden Stops: the Relevase of Balance-sheet Effects" en Revista Banco Interamericano de Desarrollo [En Línea] Julio 2004, Banco Interamericano de Desarrollo, disponible en: [http://www.iadb.org/en/research-and-data/publication-details,3169.html?pub_id=WP%2D509] [Accesado el 15 de mayo de 2011] [ Links ].
Calvo, T. y G. López (1993) Movimientos de población en el Occidente de México. México, Editorial cemca, El Colegio de Michoacán. [ Links ]
Collins, E. (1993) "Why Wheat? Choice of Food Grains in Europe in the Nineteenth and Twentieth Century" en J Eur. Econ. Hist. Volumen 22, número 1, pp. 7-38. [ Links ]
Chávez A, et al. (1994) "La transición epidemiológica en alimentación y nutrición" en S. Doode y E. Pérez (comps), Sociedad, economía y cultura alimentaria. México, Editorial CIESAS, ciad, A.C. [ Links ]
Daltabuit, M. y A. Ríos (1992) "Cambios de la dieta familiar en Yalcobá, Yucatán" en Anales de Antrop. Volumen 29, número 1, pp. 23-33. [ Links ]
Del Valle, M. (2004) El desarrollo agrícola y rural del tercer mundo en la mundialización. México, Editorial UNAM, iies, P y V. [ Links ]
Drewnowski, A. y B. Popkin (1997) "The Nutrition Transition: New Trends in the Global Diet" en Nutrition Reviews. Volumen 55, número 2, february 1997, pp. 31-43. [ Links ]
Germov, J. y L. Williams (1999) A Sociology of Food and Nutrition. Oxford, Editorial Oxford University Press. [ Links ]
González, D. et al. (2007) "Alimentos industrializados en la dieta de los preescolares mexicanos" en Salud Pública Mex. Volumen 49, número 5, septiembre-octubre 2007, pp. 345-356. [ Links ]
Gracia, M. (2007) "Comer bien, comer mal: la medicalización del comportamiento alimentario" en Salud Pública Mex. Volumen 49, número 3, mayo-junio 2007, pp. 236-241. [ Links ]
(2003) "Alimentación y cultura: ¿Hacia un nuevo orden alimentario? en: J. Navas y C. Ganoa (comps), Los modelos alimentarios a debate: la interdisciplinariedad de la alimentación. España, Editorial Universidad Católica San Antonio de Murcia. [ Links ]
Grigg, D. (1999) "The Changing Geography of World Food Consumption in the Second Half on the Twentieth Century" en The Geographical Journal. Volumen 165, número 1, march 1999, pp. 1-11. [ Links ]
Guo, X., Mroz, T. y B. Popkin (2000) "Structural Change in the Impact of Income on Food Consumption in China, 1989-1993" en Economic Development and Cultural Change. Volumen 48, número 4, november-december 2000, pp. 737-760. [ Links ]
Hampl, J., Betts, N. y B. Benes (1998) "The 'Age+5' Rule: Comparisons of Dietary Fiber Intake among 4 to 10 Year Old Children" en J Am Diet Assoc. Volumen 98, número 12, december 1998, pp. 1418-1423. [ Links ]
ICY. (2006) Henequén. Leyenda, historia y cultura. México, Editorial Gobierno del Estado de Yucatán. [ Links ]
INEGI. (2004) Conteo de Población y Vivienda 2005. Volumen II. México, INEGI. [ Links ]
Infante, S. y G. Zárate (1992) Métodos estadísticos. Un enfoque interdisciplinario.2ª. Edición. México, Editorial Trillas. [ Links ]
Isunza, A. (2004) La obesidad en la pobreza: violación al derecho a la alimentación. Tesis de posgrado a distancia en obesidad. Argentina, Universidad de Favarolo. [ Links ]
Latham, M. (2002) Nutrición humana en el mundo en desarrollo. Roma, Italia, Editorial Organización de las Naciones Unidas para la Agricultura y la Alimentación (FAO). Disponible en: [http://www.fao.org/Docrep/006/W0073S/w0073s0u.htm] [Accesado el 31 de octubre de 2011] [ Links ].
Butland, B. et al. (2007) "Tackling Obesities: Future Choices. Project Report. London: Government Office for Science" en F. Campbell (ed.) The social determinants of health and the role of local government. England, Editorial Improved and Development Agency. [ Links ]
Levy, S. y E. Hernández (1992) "La sucesión secundaria en Yucatán y su manejo" en D. Zizumbo, C. Rasmussen, L. Arias y S. Terán (eds). La modernización de la milpa en Yucatán: Utopía o Realidad. México, Editorial CICY. [ Links ]
López, C. (1986) La casa dividida: un estudio de caso sobre la migración a Estados Unidos en un pueblo michoacano. Zamora, Michoacán, México, Editorial El Colegio de Michoacán, Asociación Mexicana de Población. [ Links ]
Lozano, A., Huesca, L. y L. Valdivia (2010) "Contribución de las remesas a los ingresos públicos en México" en Migración y Desarrollo. Número 14, Red Internacional de Migración y Desarrollo, enero-junio 2010, pp. 145-162. [ Links ]
Madrigal, H., Moreno O. y A. Chávez (1982) Encuesta Nacional de Alimentación 1979. Resultados de la encuesta rural analizada por entidad federativa y desagregada según zonas nutricionales. México D.F, Editorial Instituto Nacional de la Nutrición. División de Nutrición Salvador Zubirán. [ Links ]
Madrigal, H. y A. Ávila, (1990) Encuesta Nacional de Alimentación en el medio rural 1989. México D.F, Editorial Instituto Nacional de Nutrición Salvador Zubirán. División de Nutrición. [ Links ]
Mahecha, L., Gallego L. y F. Peláez (2002) "Situación actual de la ganadería de carne en Colombia y alternativas para impulsar su competitividad y sostenibilidad" en Rev Col Cienc Pec. Volumen 15, número 2, pp. 213-225. [ Links ]
SEDESOL (2008) Índice de Marginalidad por Municipios del Estado de Yucatán. México, Secretaría de Desarrollo social. [ Links ]
MAPYA (2002) Hechos y cifras del sector agroalimentario español 2001. Indicadores socioeconómicos de la actividad agroalimentaria. Madrid, España, Secretaría General Técnica MAPYA. [ Links ]
Nestle, M. y M. Jacobson (2000) "Halting the Obesity Epidemic: A Public Health Policy Approach" en Public Health Reports. Volumen 115, número 1, enero-febrero, pp. 12-24. [ Links ]
OIT (1998) Enciclopedia de Salud y Seguridad en el Trabajo. España, OIT. [ Links ]
Olaiz, G. et al. (2006) Encuesta Nacional de Salud y Nutrición 2006. Cuernavaca, México, Editorial Instituto Nacional de Salud Pública. [ Links ]
Pinard, J. (1988) Les Industries Alimentaires dans le Monde. París, Editorial Mansson. [ Links ]
Popkin, B. (1993) "Nutritional Patterns and Transitions" en Population and Development Review. Volumen 19, número 1, marzo, pp. 138-157. [ Links ]
Rivera, J. et al. (2002) "The Epidemiological and Nutritional Transition in Mexico: Rapid Increase of Non-communicable Chronic Diseases and Obesity" en Public Health Nutr. Volumen 5, número 1A, febrero, pp. 113-122. [ Links ]
SEDESOL (2008) Índice de marginalidad por municipios del estado de Yucatán. México, Secretaría de Desarrollo Social. [ Links ]
Skinner, J. et al. (1999) ''Longitudinal Study of Nutrient and Food Intakes of White Preschool Children Aged 24 to 60 Months'' en J Am Diet Assoc. Volumen 99, número 12, diciembre, pp. 1514-1521. [ Links ]
SSA (2009) ''Seguro popular''. [En LÃnea]. Secretaría de Salud de México, disponible en: www.seguropopular.gob.mx. [Accesado 28 de abril de 2011] [ Links ].
Subar, A. et al. (1998) "Dietary Sources of Nutrients among US Children, 1989-1991" en J Ped. Volumen 102, número 4, octubre, pp. 913-923. [ Links ]
Szathmáry, E. (1994) "Non-insulin Dependent Diabetes Mellitus among Aboriginal Northamericans" en Ann Rev Anthropol. Volumen 23, pp. 457-482. [ Links ]
Vizcarra, I. (2002) Entre el taco mazahua y el mundo: la comida de las relaciones de poder, resistencia e identidades. México, Editorial Gobierno del Estado de México, Instituto Mexiquense de la Mujer, Universidad Autónoma de México. [ Links ]
Warde, A. (1997) Consumption, Food and Taste: Culinary Antinomies and Commodity of the Consumer. Londres, SAGE Publications. [ Links ]
1 Se refiere al conjunto de actividades industriales dirigidas al tratamiento, transformación, preparación, conservación y envasado de productos alimenticios. Las materias primas utilizadas son de origen vegetal o animal y se produce en explotaciones agrarias, ganaderas y pesqueras. Comprende desde pequeñas empresas tradicionales de gestión familiar, caracterizadas por una utilización intensiva de mano de obra, a grandes procesos industriales altamente mecanizados basados en el empleo generalizado de capital (OIT, 1998).
2 Para Fischler (1995), el modelo occidental de consumo se concibe como la transformación alimentaria a través de los mecanismos empíricos de sustitución, reemplazo o adición de elementos que están directamente relacionados con la preparación de alimentos, que van siempre dirigidos desde un contexto externo hacia la esfera doméstica y nunca en la dirección contraria. Éstas transformaciones se relacionan con el sistema social, económico y político global, que impulsa y van de la mano con la industria alimentaria moderna, que busca en todo momento introducir y vender alimentos procesados ricos en azúcares simples, grasas saturadas y hidratos de carbono simple, y de fácil preparación, debido a que la población de los países desarrollados y economías emergentes no cuenta con tiempo suficiente para la preparación de sus comidas. Por eso el éxito con el cuentan en la actualidad.
3 Tal como sucedió con la reglamentación que intentó impulsar la Secretaría de Salud en el año 2010, prohibiendo la venta de alimentos industrializados (conocidos como alimentos "chatarra") ricos en azúcares simples y grasas en la escuelas del país, lo que generó un rechazo total de la industria alimentaria que se tradujo, al final, en un fracaso de la ley alimentaria y su intento de regulación.
4 Incluyen verduras, frutas, leguminosas, cereales, tubérculos, carnes rojas y blancas, pescado, además de huevos, a veces crudos, sin ningún procesamiento de elaboración más que su recolección, higiene y selección.
5 Los alimentos industrializados son aquellos procesados por industrias alimentarias centralizadas, con altos volúmenes de producción y distribución regional o nacional. Por lo general son de fácil acceso y se presentan como congelados, enlatados, listos para procesar, cocinar, calentar o consumirse (González et al., 2007).
6 Los alimentos industrializados tradicionales son los que han formado parte de la alimentación de los mexicanos desde antes del siglo XX y, que hoy día, se producen de forma industrial y a gran escala, por ejemplo, harina de maíz para tortilla, atoles, leche fluida entera de vaca.
7 Los alimentos industrializados de corte moderno pueden encontrarse en un solo alimento o una forma de una mezcla indivisible, por ejemplo, leches modificadas en su composición (en polvo, descremadas, semidescremadas, entre otros), cereales para desayuno, pan integral, pan de trigo salado, embutidos, pan dulce empacado, aceites y grasas modificadas, azúcares líquidas o sólidas, refrescos, productos para bebés y complementos alimenticios (González et al., 2007).
8 Este porcentaje corresponde a dos terceras partes de la población, lo cual se consideró generalizado. Un porcentaje de 33.0 o menos se consideró consumo bajo y entre 34% y 66%, consumo medio.
9 La milpa es el cultivo conjunto del maíz, frijol y calabaza y en algunas regiones se incluye el chile.
10 En la localidad de Mucuyché se halló que la proporción de la población que consume "comidas rápidas y modernas" y con alto contenido energético como hamburguesas, hot dogs y pizzas es elevada, aunque su consumo no es tan frecuente; en Xanláh no se consumen y se registraron casos de familias que no conocían de la existencia de estos alimentos.
11 La razón de momios es la base del logaritmo natural Exp (β) del valor del coeficiente b: por ejemplo, en el caso de la variable aleatoria número de emigrantes por hogar tenemos que el coeficiente β= 2.015, si obtenemos el Exp(2.015)= 7.5, lo que se interpreta que hay 7.5 veces más riesgo de consumo de alimentos industrializados en aquellos hogares con uno o más migrantes con relación a los que no reportaron.
12 Existen dos espacios de gran relevancia en las comunidades mayas, además de la milpa: la hortaliza de la milpa, que se llama paach pak'al o pet paach y el solar. El solar es una proporción de terreno de aproximadamente cuatro mecates (medida de aproximadamente veinte metros lineales o veinte metros cuadrados), que no se encuentra muy retirado del domicilio familiar. Las aves que crían son, en orden de importancia, pavos (Melleagris gallopavo), gallos (Gallus gallus), gallinas (Gallus gallus), pollos (Malvadus Apetitosus) y patos (Anass platyrhynchos domesticus), pero también cerdos (Sus scrofa domestica). Las aves proporcionan carne y huevos, y los cerdos manteca y carne.
13 Entre los cítricos se pueden citar, en orden de importancia, la naranja dulce o china (Citrus sinensis) y la naranja agria (Citrus aurantium var. amara), el limón agrio (Citrus aurantifolia), el limón dulce y en menor escala la toronja (Citrus aurantium), la mandarina (Citrus nobilis) y la lima china (Citrus aurantifolia). Los otros frutales son anonas (Annona sp.), ciruelas (Spondia sp.), guanábanas (Annona muricata), chicozapote (Achras sapota), guayas (Talisia oli-vaeformis (H.B. and K.) Radlk.), mangos (Manguifera indica L), plátanos (Carica papaya L.), guayabas (Psidium guajava L.), pitahaya (Hylocereus undatus (Haworth) Britt. And Rose), papayas (Carica papaya L.), mamey (Mammea americana L.), zapotes (Lucuma hypoglauca Stand) y zaramuyos (Annona squamosa L.). También es frecuente observar matas de jícaro (Crescentia cujete L., C. alata), ajonjolí (sésamosesamum indicum l.) y bonete (Jacaratia mexicana).
14 Oportunidades es un programa integral destinado a la población en extrema pobreza, que padece los más altos índices de desnutrición, enfermedades básicas curables y deserción escolar. Tiene como objetivo apoyar a las familias que viven en condición de pobreza extrema. El fin es el de incrementar las capacidades de sus integrantes y ampliar sus alternativas para alcanzar mejores niveles de bienestar, a través del mejoramiento de opciones en educación, salud y alimentación, además de contribuir a la vinculación con nuevos servicios y programas de desarrollo que propicien el mejoramiento de sus condiciones socioeconómicas y de calidad de vida (SSA, 2009).













