Servicios Personalizados
Revista
Articulo
Indicadores
-
Citado por SciELO -
Accesos
Links relacionados
-
Similares en
SciELO
Compartir
Frontera norte
versión On-line ISSN 2594-0260versión impresa ISSN 0187-7372
Frontera norte vol.27 no.53 México ene./jun. 2015
Artículos
Emprendimientos de micro y pequeñas empresas mexicanas en un escenario local de crisis económica: El caso de Baja California, 2008-2011
The Role of Local Micro and Small Business Entrepreneurship during the Economic Crisis: The case of Baja California, 2008-2011
Alejandro Mungaray Lagarda1, José Guadalupe Osuna Millán2, Martín Ramírez Urquidy3, Natanael Ramírez Angulo4, Antonio Escamilla Díaz5
1 Universidad Autónoma de Baja California mungaray@uabc.edu.mx
2 Universidad Autónoma de Baja California adelante_bc@hotmail.com
3 Universidad Autónoma de Baja California martinramirez@uabc.edu.mx
4 Universidad Autónoma de Baja California natanael@uabc.edu.mx
5 Universidad Autónoma de Coahuila edantonio_10@hotmail.com
Fecha de recepción: 15 de agosto de 2013.
Fecha de aceptación: 24 de marzo de 2014.
RESUMEN
En este trabajo se analiza la aplicación de una política pública regional que favorece el desarrollo de las micro y pequeñas empresas en la economía de Baja California para compensar la generación de empleo. Mediante los modelos de regresión estimados, se encuentra que en un escenario de crisis económica global donde la producción y el empleo en la gran empresa se restringen y el trabajador es sustituido por procesos más tecnificados, la proliferación de micros y pequeñas empresas son un mecanismo compensatorio para minimizar los efectos del desempleo.
Palabras clave: 1. tamaño de empresa, 2. empleo, 3. política pública, 4. economía regional, 5. Baja California.
ABSTRACT
This paper analyzes the implementation of a regional public policy that favors the development of micro and small enterprises in Baja California's economy to mitigate a gloomy employment situation. Using estimated regression models, it was found that in a global economic crisis scenario where production and employment in large companies are constrained and workers are replaced by more technology-intensive processes, the proliferation of micro and small businesses is a compensatory mechanism to minimize the effects of unemployment.
Keywords: 1. business size, 2. employment, 3. public policy, 4. regional economy, 5. Baja California.
INTRODUCCIÓN
Ante escenarios macroeconómicos adversos, mientras las empresas grandes enfrentan dificultades para mantener el empleo frente a retos de productividad, las más pequeñas tienen mayor flexibilidad para ajustarse a los movimientos del mercado y atender una demanda fluctuante de empleo de manera más eficiente (Yamamoto, 1959; Mills y Schumann, 1985; Audretch y Yamawaki, 1991).
La literatura sobre el desarrollo empresarial y su relación con el entorno económico plantean que el auge de nuevas empresas en particular, de las pequeñas se puede dar en dos escenarios: uno de recesión económica o desempleo, donde las microempresas se convierten en una opción que permite sustituir, total o parcialmente, el ingreso que se deja de percibir ante el recorte de personal al que recurren las grandes empresas (Georgellis y Tsitsianis, 2005); el otro es un escenario de crecimiento económico, donde se generan oportunidades de negocio para desarrollar el talento y la creatividad empresariales (Evans y Leighton, 1990).
La hipótesis que se sostiene en este trabajo es que, ante un escenario de crisis económica, la proliferación de micro y pequeñas empresas se convierte en un mecanismo compensatorio para minimizar los efectos del desempleo. En el escenario de la crisis global 2008-2012, esto se demuestra con la aplicación de una política pública regional que favorece el desarrollo de las micro y pequeñas empresas, como una respuesta efectiva para producir un balance positivo en la generación del empleo ante el desempleo de las empresas medianas y grandes de Baja California.
El presente trabajo se estructura en seis apartados, incluyendo la introducción: en el segundo se sustenta la importancia que tiene el tejido de las micro y pequeñas empresas en la economía mexicana y de Baja California; en el tercero se revisan los argumentos que ilustran cómo la proliferación de empresas pequeñas es importante en períodos de recesión y en momentos de auge para contribuir significativamente al empleo y la producción; en el cuarto se desarrolla una metodología para analizar la hipótesis planteada y se revisa la información que permite realizar las mediciones correspondientes; en el apartado quinto se discuten los resultados de las estimaciones realizadas, y en el sexto se presentan las conclusiones sobre la incidencia de la micro y la pequeña empresa desde el ámbito público, a partir de la experiencia local de Baja California.
EMPRESARIALIDAD EN MÉXICO Y BAJA CALIFORNIA
Como consecuencia de los problemas de inestabilidad económica y recesión, la gran empresa experimenta problemas para mantener sus economías de escala y descentraliza varios procesos a pequeñas empresas bajo esquemas de subcontratación para aprovechar su eficiencia colectiva, su potencial de innovación, su flexibilidad productiva y su capacidad de explotar redes o encadenamientos (Pratten, 1991; Mungaray y Ramírez, 2004). Los cambios tecnológicos han favorecido la pequeña escala, lo cual se observa en las tendencias recientes de la estructura empresarial y del empleo en países como Estados Unidos, donde crece la participación de las empresas pequeñas. Otro hecho importante ha sido el desplazamiento de personal altamente calificado desde las empresas grandes, que han decidido iniciar negocios de escala reducida, funcionando como agentes de cambio en la economía debido a sus actividades de innovación (Carree y Thurik, 1998).
En México, el sector empresarial se divide en cuatro grandes grupos con base en el número de empleados y el sector de actividad económica donde operan según la clasificación oficial. Estos grupos se conforman en micro, pequeñas, medianas y grandes empresas (Secretaría de Economía, 2009). De acuerdo con el último censo elaborado por el Instituto Nacional de Estadísitica y Geografía (Inegi), cuyos datos corresponden a 2008, en México existían 4.7 millones de empresas distribuidas en el comercio, con 50 por ciento del total; los servicios, con más de 36 por ciento, y la manufactura, con cerca de 12 por ciento.
El proceso de reformas estructurales y la estrategia macroeconómica de estabilización terminaron por configurar un país con grandes desigualdades económicas, regionales, sectoriales y sociales. En el sector empresarial ello dio lugar a dos segmentos de empresas con características contrastantes: en un extremo se encuentra 1.3 por ciento de la estructura empresarial que se distribuye en medianas y grandes empresas, caracterizadas por poseer capacidades tecnológicas de alta generación de valor agregado que les ha permitido incursionar en mercados dinámicos; en el otro extremo se ubican las micro y pequeñas empresas orientadas principalmente al mercado interno, satisfaciendo nichos que operan con tecnologías tradicionales, generan bajos niveles de valor agregado y ofertan empleos de baja remuneración.
De acuerdo con el "XVII Censo económico" (Inegi, 2009), el grupo de microempresas que según con la clasificación oficial cuentan con hasta 10 empleados, alcanzan una proporción de 95 por ciento del total, la cual es menor a 97.5 por ciento registrado en 1993. El predominio de estas empresas dentro de la estructura empresarial se reproduce en los distintos sectores económicos con 98.2 por ciento en las manufacturas, 99.9 por ciento en el comercio y 99.7 en los servicios. Dentro de este mismo segmento, las empresas de entre uno y cinco trabajadores representan 93 por ciento en el comercio, 88 por ciento en los servicios y 83 por ciento en la manufactura, proveyendo 53, 33 y 14 por ciento de los empleos sectoriales respectivos, haciendo de estas unidades económicas la empresa típica del país (Inegi, 2009).
Diversos análisis consideran a la microempresa como una unidad de producción de subsistencia que, en muchos casos, se encuentra al margen del marco regulatorio, cuyo propietario es quien lleva a cabo la mayoría de las actividades del negocio; sus empleados suelen provenir del seno familiar y no hacen una separación precisa entre lo de la familia y lo de la empresa; es decir, destacan por su carácter unipersonal y familiar, informal y de subsistencia (Carpintero, 1998; BID, 1997; Ruiz, 1995).
Aun cuando su contribución productiva en términos de valor agregado es limitada, las cifras de su participación en establecimientos, empleo y autoempleo en América Latina y los países en desarrollo, permiten a este segmento empresarial mitigar los efectos de los ciclos económicos, favorecer una mejor distribución del ingreso y generar mejores condiciones de crecimiento con equidad (CEPAL, 2003).
Entre las dificultades que enfrenta este tipo de negocios destacan la escasez de financiamiento y capacitación técnica debido a su bajo nivel de capital humano. Esta problemática se asocia a su reducida participación en los mercados, ya que responden a prácticas de supervivencia que les permiten suplir el empleo perdido o no ofertado, o bien compensar el deterioro del salario real. Una restricción adicional se encuentra en sus altos costos debidos a sus reducidas escalas de producción (Ramírez et al., 2010) y su tamaño (Ramamurthy, 1998), por lo que de manera natural se encuentran en la base de la pirámide empresarial.
A pesar de la fuerte presencia de grandes empresas transnacionales que han aprovechado la ubicación geográfica de Baja California y la calidad del capital humano disponible desde 1965, la estructura empresarial de la entidad sigue determinada por las micro, pequeñas y medianas empresas (mipymes), que representan alrededor de 99 por ciento del total de establecimientos y aportan 67 por ciento del empleo que se genera en la localidad (Inegi, 2009). En el cuadro 1 se muestra que las micro y pequeñas empresas de Baja California conforman 98.1 por ciento de las unidades económicas y generan 48 por ciento de los empleos y 45 por ciento de la producción total.
Los datos disponibles en materia de empleo por estrato empresarial derivados de la "Encuesta nacional de ocupación y empleo" (ENOE) y elaborados por el Inegi (2012) brindan una visión consistente con los datos anteriores. En términos de aportación, en virtud de la caída de la importancia de las medianas y grandes empresas, el correspondiente aumento en la de las micro y pequeñas se ve reflejado en su contribución a la generación de puestos de trabajo en el período 2005-2012. En general, la aportación de las microempresas en la ocupación estatal ha ido en aumento (cuadro 2), pues de presentar una participación de 41 por ciento en el período 2005-2007, en 2012 alcanza un máximo histórico de 45 por ciento. Por su parte, la participación de la pequeña empresa permanece prácticamente constante en el orden de 22 y 24 por ciento en el mismo año. Ambos estratos empresariales aportan 69 por ciento del empleo total.
El estrato de las más grandes empresas, compuesto por las medianas y grandes, aportan el resto del empleo, y su contribución va a menos debido particularmente a la pérdida de empleo de la mediana empresa, que en 2005 y 2006 participaba con alrededor de 20 por ciento, y a partir de 2007 baja a 18 por ciento. La gran empresa, si bien va mostrando una creciente participación en el empleo en el período 2005-2008, se enfrenta a una fase de pérdida de empleo a partir de este período y, sobre todo, en el último año, cuando su contribución baja a 16 por ciento, consistente con las presiones competitivas en el mercado mundial y sus procesos de reestructuración tecnológica (Rotman, 2013).
Los datos anteriores dejan claro que ante la tradicional dinámica local industrial sustentada por la inversión extranjera directa y la industria maquiladora de exportación en términos de su aportación al empleo, durante la crisis, el estrato de mypes y particularmente el de la microempresa se convirtió en la principal fuente de creación de empleo en Baja California.
En esta situación fue determinante la aplicación de una política económica para la competitividad y el empleo sustentada en dos ejes principales. Por una parte, la política de desarrollo para la competitividad empresarial, enfocada a fomentar la innovación tecnológica y la vinculación interempresarial y con instituciones educativas. Por otra, una política de compensación empresarial orientada a fomentar el desarrollo de las micro y pequeñas empresas, para aprovechar su gran capacidad y flexibilidad de generar el empleo que perderían las grandes empresas vinculadas al mercado mundial y, a la vez, para promover la oportunidad de generar redes de proveeduría hacia empresas de mayor tamaño.
En este marco de compensación, la política de atención a las micro y pequeñas empresas aplicada de 2009 a 2012 (cuadro 3), se concentró en tres programas: Formalización y Desarrollo de Microempresas, Escuela para Nuevos Empresarios y Apoyo a Cadenas Productivas. Con este esquema se atendió a todo el estrato de micro y pequeña empresa y se impulsó su crecimiento mediante tres servicios fundamentales, como son la asistencia, la capacitación y el acceso al financiamiento público, privado o mixto.
En el Programa de Formalización y Desarrollo de Microempresas se destinaron más de 58 millones de pesos, que permitieron la formalización de 8 288 microempresas (Sedeco y UABC, 2012), protegiendo y conservando 12 715 empleos. Este dato es muy importante, pues a nivel nacional no existe una entidad federativa que haya aplicado estrategias orientadas a atender microempresas que operan en la informalidad, con rezagos importantes en educación y prácticamente bajo esquemas de economías de subsistencia (Ramírez y Ramírez, 2012). Este programa ayudó a que Baja California fuera uno de los estados con menor tasa de informalidad en el país, pues en nueve de los 16 trimestres del período analizado (2008-2012) registró la menor tasa de informalidad, que en el cuarto trimestre de 2012 fue de 20.4 por ciento contra 27.9 por ciento del promedio nacional (Inegi, 2012). Sin duda, lo más importante de este programa no fue el recurso que se destina a los microempresarios para apoyar su incorporación a la formalidad, sino la capacitación y asistencia técnica que se les brinda, pues permite transferir aprendizajes empresariales que apoyan su rentabilidad.
En el Programa de Escuela para Nuevos Empresarios se destinaron recursos sin precedentes para apoyar las incubadoras y tener más espacios de asesoría para los emprendedores de las diferentes localidades. Este esfuerzo se complementó mediante el financiamiento a la inversión inicial para nuevas empresas que egresan de las incubadoras. Ello permitió consolidar una de las redes de México con mayor cobertura por cada mil habitantes, logrando que cada emprendedor interesado en recibir entrenamiento empresarial cuente con una opción para hacerlo. De igual forma generó 4 654 nuevas empresas y poco más de 14 mil empleos, para ir conformando un tejido empresarial local, aprovechando la creatividad y capacidad para desarrollar nuevos productos o servicios. Sin duda, el reto será irlos orientando a una red de proveeduría de las medianas y grandes empresas que se han logrado iniciar durante este crítico período.
En el Programa de Apoyo a Cadenas Productivas, los recursos destinados mejoraron la capacidad de producción de más de seis mil pequeñas empresas. Algunas de éstas fortalecieron su planta productiva mediante el mejoramiento de equipamiento o ampliando su capacidad de producción a través de una más adecuada infraestructura. Por otra parte, algunas elevaron su calidad de producción a través de la certificación de sus procesos o aplicación de normas de calidad que requieren las empresas mayores orientadas al mercado internacional. Destaca la política de favorecer a las pequeñas empresas mediante 85 por ciento de las compras que el gobierno central realiza anualmente, destinando más de 2 140 millones de pesos entre 2009 y 2012.
ANÁLISIS ECONÓMICO DEL EMPRENDIMIENTO EN CONTEXTOS RECESIVOS
El empresario o quien emprende tiene como objetivo la obtención de beneficios. La elección del tipo de actividad por emprender estará en función de las reglas establecidas en el período en cuestión (Baumol, 1990).
El mayor entendimiento y reconocimiento del empresario ocurre a partir de la aportación de Knight (1921), cuando caracteriza a los individuos en función de sus actitudes respecto del riesgo. Para este autor existen los propietarios del capital que pueden desempeñar el papel de empresarios cuando su actitud ante el riesgo es propicia. Si no lo fuera, entonces pueden transferir su capital a individuos cuyas capacidades y actitud frente al riesgo sean adecuadas como para emprender negocios con ganancias inciertas.
Schumpeter (1934) va más allá de la liga del empresario con el desarrollo de un Estado, considerándolo como uno de los principales factores del desenvolvimiento económico. Concluye que los empresarios son aquellos individuos con habilidades muy especiales que sólo un grupo limitado de personas poseen dentro de la sociedad, ya que logran tomar los insumos existentes y combinarlos de formas diferentes para generar productos que satisfacen mejor las necesidades de los consumidores. A este proceso él lo llama de innovación. Así mismo menciona que el empresario es poseedor de una naturaleza tal que le permite estar alerta a las condiciones de mercado, identificar oportunidades donde existen brechas entre precios y costos, anticiparse en el uso de nuevos métodos de producción y detectar cambios en gustos y preferencias para obtener beneficios. En esta definición de empresario, la información incompleta juega un papel importante, generando oportunidades para quienes la poseen y desequilibrios en los mercados que estimulan el avance económico (Kirzner, 1970).
Por otra parte, estudios de empresarialidad plantean que un individuo puede elegir entre ser empleado o emprender un negocio mediante una elección racional con base en una función de utilidad, donde su objetivo es maximizar la utilidad esperada. En este sentido, los individuos pueden distinguirse por su actitud ante el riesgo utilizando el coeficiente de medición absoluta de aversión riesgo. Ello implica que detrás de cada empresa existe un emprendedor que es más o menos adverso al riesgo y que maximiza su utilidad esperada para decidir entre percibir un salario seguro como empleado o emprender un negocio con ganancias sujetas a un nivel de incertidumbre (Kihlstrom y Laffont, 1979).
Otros sugieren que los individuos se convertirán en empresarios si ven oportunidades reflejadas en precios por encima del precio de mercado de equilibrio inicial y de desarrollar sus capacidades y habilidades administrativas y gerenciales reales posteriores a la entrada en el mercado. Los empresarios que una vez en el mercado aprendan sobre sus capacidades y vean que son mejores que las capacidades mínimas para emprender la actividad, expandirán su empresa, mientras que, en el caso contrario, la contraerán y posiblemente saldrán del mercado. En este enfoque, el proceso de aprendizaje del individuo sobre sus propias capacidades es fundamental para formar las expectativas de crecimiento o contracción de la empresa (Jovanovic, 1982).
Una diversidad de estudios empíricos sugieren que la transición de un trabajador de una gran empresa a desempeñar actividades empresariales propias es más común en personas empleadas con bajos salarios o que han experimentado el desempleo frecuentemente (Evans y Leighton, 1989). Ambas situaciones disminuyen el costo de oportunidad de iniciar un negocio y aumentan la propensión a convertirse en empresarios, especialmente en tiempos de recesión económica, lo que permite impulsar iniciativas empresariales de emprendedores o de personas desempleadas (Georgellis y Tsitsianis, 2005).
Otra perspectiva argumenta que el desarrollo de pequeñas empresas nuevas está asociado a una dinámica de crecimiento positiva y responde a una oportunidad de mercado para invertir en el sector empresarial. Ello implica una relación positiva entre capacidades inherentes en el individuo, como talento empresarial y las condiciones económicas favorables para crear una nueva empresa (Stel et al., 2008).
La literatura sobre la empresarialidad que busca explicar la relación entre la creación de empresas y el ambiente económico a nivel agregado da origen a las hipótesis del recession o unemployment push y al efecto shumpeteriano o pull effect. Desde esta perspectiva, una diversidad de estudios buscan determinar el efecto que prevalece en economías y regiones desarrolladas y subdesarrolladas, encontrando resultados en ambos sentidos (Acs y Kallas, 2008; Folster, 2000).
En general, es posible concluir que la proliferación de pequeñas empresas se puede dar en economías muy dinámicas y con gran capacidad emprendedora, que en épocas de auge económico permiten el desarrollo de nuevas empresas mediante el aprovechamiento de los nuevos nichos de mercado y la disponibilidad del talento empresarial; pero también en épocas de recesión económica la capacidad emprendedora se pone a prueba para dar respuesta, a través de la creatividad, a nuevas opciones empresariales capaces de insertarse en mercados deprimidos. En ambos casos, es condición necesaria contar con una política pública que fomente el desarrollo empresarial de manera incluyente; es decir, que por una parte premie la capacidad innovadora de las medianas y grandes empresas nacionales, e incluso extranjeras, siempre bajo claros procesos de arbitraje social, y que por otra incluya las micro y pequeñas empresas como opciones eficientes para crear empleos, pero sobre todo que permita consolidar su desarrollo mediante capacitación, acceso al financiamiento y vinculación con empresas de mayor tamaño que ayuden a fortalecer su crecimiento y desarrollo.
METODOLOGÍA
Analizar la dinámica del tejido de las micro y las pequeñas empresas de Baja California en un escenario de crisis económica y determinar si es un mecanismo compensatorio ante la caída del empleo en los estratos superiores está condicionado por la disponibilidad de datos, pues si bien es posible contar con información de los censos económicos 1989-2009, éstos no cubren el período de la crisis que estalla a finales de 2008. Por otra parte, la metodología utilizada para elaborar estos censos cambió entre 2004 y 2009, por lo que es necesario trabajar los dos períodos por separado. Para los años antes y después del período de crisis se cuenta con información de la "Encuesta nacional de ocupación y empleo" (ENOE) de forma trimestral desde 1996, aunque sólo a partir de 2005 presenta información de empleo por estratos empresariales.
Ante esta situación y para determinar la relación entre la dinámica macroeconómica, la creación de establecimientos microempresariales y el impacto en el empleo durante períodos de recesión económica, se utilizan dos procedimientos. El primero capta los factores que explican la dinámica de creación de micro y pequeñas empresas. Para ello se utiliza la información disponible en los censos económicos del INEGI de 1989, 1994, 1999, 2004 y 2009. El segundo procedimiento analiza la información de empleo que proporciona la ENOE desde 2005 por estrato empresarial, para medir las variaciones del empleo por estrato y estimar la medida en que explican el desempleo y el empleo.
Enfoque empírico con datos de los censos económicos
Los argumentos sobre la creación de empresas y la dinámica macroeconómica se plantean de forma general como se especifica a continuación:
Ns = f (Y, W ) (1)
donde N es el número de empresas de alguno de los estratos (s), Y es una variable asociada al nivel de riqueza, y W es una variable que captura una dimensión del empleo como lo es el salario. Derivado de este modelo se esperaría que el nivel de riqueza estuviese asociado positivamente con el número de empresas, mientras que el salario tendría un impacto negativo en dicha variable. La idea detrás de ello es que a un mayor nivel de riqueza o PIB, la demanda de las personas y, por tanto, las oportunidades de negocios se elevan impactando positivamente en el número de empresas. Ello implica que más personas están tratando de aprovechar dichas oportunidades. Por su parte, un mayor empleo en la economía en ciclos de expansión incrementa el salario promedio, elevando el costo de oportunidad de emprender negocios y reduciendo el número de empresas. En ciclos de recesión ocurre lo contrario, y ambos implican los efectos shumpeteriano pull y recession push, respectivamente. Con base en los datos disponibles, la especificación del modelo empírico estaría dada por la ecuación 2:

En la ecuación 2,
se refiere al número de empresas de algún estrato empresarial dado de la industria i en el período t, Yit tiene que ver con una variable de actividad económica, y Wit sería el salario que captura la dimensión del empleo. Más formalmente, la ecuación 2 puede plantearse de forma empírica como se ilustra en la ecuación 3, en que β0 es el intercepto y βY y βW son parámetros asociados con los regresores Yit y Wit. Por su parte, εit es el término de error que viene dado por la expresión εit = αi + nit, el cual depende de un efecto individual αi fijo a través del tiempo y un error nit que varía no sistemáticamente entre personas y períodos.

Las variables que se utilizan para el modelo de la ecuación 3 son el número de empresas
de la actividad económica i en los años censales t, como variable dependiente; el valor agregado censal bruto en términos reales Yit y el salario real del sector de actividad Wit. La hipótesis se contrasta a partir de determinar el signo del parámetro β0, donde se espera que βW < 0. Ello implicaría una relación negativa entre el salario y el número de empresas, y que, por supuesto, si las condiciones de trabajo empeoran a partir de una reducción de la demanda laboral con una disminución del salario, tal como ocurre en fases recesivas del ciclo económico, el número de empresas tendería a aumentar. Si βY > 0, significaría que la variable de producción Yit estaría más asociada al efecto pull en el sentido de que los ciclos económicos de expansión estarían generando más incremento del número de empresas que de personas buscando aprovechar oportunidades de mercado.
Enfoque empírico con datos de la "Encuesta nacional de ocupación y empleo"
Considerando un horizonte de tiempo trimestral de 2005 a 2011, este enfoque mide cómo las variables de empleo por estrato empresarial se asocian con el desempleo y el empleo de los otros estratos. Ello permitirá determinar la medida en que cada estrato empresarial está contribuyendo y qué estratos se pueden clasificar como expulsores o receptores de mano de obra. Tratando de representar el cambio en el empleo por estrato y el cambio en el desempleo, se considera la siguiente ecuación:

donde
se refiere al cambio en el empleo del estrato s en el trimestre t. Las variables
y
son el cambio en el empleo de los otros estratos -s del trimestre inmediato anterior (t-1), de hace dos trimestres (t-2) y de hace tres trimestres (t-3), respectivamente. Los parámetros por estimar son δ0, δ1, δ2 y δ3, que son el intercepto de la ecuación y la medida en la cual el cambio en el empleo de un estrato en el tiempo se asocia con el cambio en el empleo de los otros. Los estratos empresariales considerados para s son micro (Mi), pequeña (Pe), mediana (Me) y grande (Gr).
El modelo de la ecuación 4 puede ser estimado por medio de mínimos cuadrados ordinarios, pues es posible suponer que los supuestos del modelo clásico de regresión aplican.1 En primer lugar, la serie de tiempo utilizada en los datos es un período corto de 2005 a 2011. En segundo lugar, las variables están transformadas en primeras diferencias, lo que prácticamente elimina toda posibilidad de que las series sean no estacionarias e impliquen métodos alternativos de estimación.
La ecuación 4 se estima por separado para cada estrato empresarial respecto de cada uno de los estratos empresariales, resultando en 12 regresiones. De ello se espera que el cambio en el empleo de las empresas en estratos superiores, como en el de las medianas y grandes, explique negativamente el cambio en el empleo de las micro y pequeñas empresas, por lo que se prevé que los parámetros asociados sean negativos: δ < 0. Ello implicaría que la pérdida de empleo propio de etapas recesivas se compensa con el aumento del empleo u oportunidades de autoempleo abiertas en estratos de micro y pequeñas empresas.
Enfoque empírico con datos de la "Encuesta nacional de ocupación y empleo" en el ámbito regional
Este enfoque mide la influencia del empleo por estrato empresarial sobre el empleo total en cada uno los seis estados de la frontera norte de México, para un horizonte de tiempo trimestral de 2005 a 2011, y también para el período a partir de la crisis 2009-2011. Si bien para este último análisis se reduce significativamente el número de observaciones, arroja datos interesantes para el período específico de la crisis económica, que se acentúa en 2009, inicia la recuperación en 2010, y para 2011 se recupera el nivel precrisis en la actividad productiva. Este tipo de análisis permite involucrar estados de una misma región que comparten características y niveles de desarrollo equiparables.
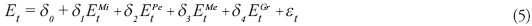
La ecuación siguiente representa el cambio en el empleo total en función del cambio en el empleo por estrato empresarial:

donde Et se refiere al cambio en el empleo total en el trimestre t. Las variables
representan el cambio en el empleo de los otros estratos micro, pequeñas, medianas y grandes empresas, respectivamente. Los parámetros por estimar son δ0, δ1, δ2, δ3 y δ4, que son el intercepto de la ecuación y la medida en el cual el cambio en el empleo de los estratos en el tiempo se asocia con el cambio en el empleo total. Lo estratos empresariales considerados para el estudio son micro (Mi), pequeña (Pe), mediana (Me) y grande (Gr). Los parámetros del 1 al 4 se interpretan como el crecimiento en el empleo total cuando el empleo del estrato empresarial cambia en una unidad.
La ecuación 5 se estima por separado para cada entidad de la franja fronteriza norte de México (Baja California, Sonora, Chihuahua, Coahuila, Nuevo León y Tamaulipas) para los períodos 2005-2011 y 2009-2011. Con ello, se espera que el cambio en el empleo de los estratos se asocie positivamente con el empleo total, aunque en diversas magnitudes, diferenciando el impacto en el empleo de los diversos estratos empresariales. Ello permitirá ver la importancia de estos últimos en materia de empleo, toda vez que sus cambios explican en menor o mayor medida la dinámica del empleo en las entidades referidas, pero también comparan las aportaciones de los distintos estratos en los estados de la frontera norte.
Los datos utilizados
El modelo de la ecuación 3, así como las hipótesis planteadas, son contrastados empíricamente con información de los censos económicos para diversos estratos clasificados a partir del número de empleados. Se debe considerar que los censos de los períodos 1989-1999 y 2004-2009 no son comparables, de acuerdo con el propio Inegi, debido a que en los primeros se usa la clasificación industrial mexicana, y en los últimos, la clasificación industrial de Norteamérica. Por ello no es posible realizar las estimaciones para todo el horizonte de datos juntos y se efectúan de forma separada en los dos períodos mencionados para los estratos empresariales que se muestran en el cuadro 4.

Los paneles de datos estimados para el período 1989-1999 y 2004-2009 incluyen seis subsectores en la manufactura, siete en el comercio y ocho en los servicios, para un total de 21 a lo largo de tres períodos que corresponden a los censos económicos del Inegi: 1989, 1994 y 1999. Para los censos económicos de 2004 y 2009 se manejan 15 sectores de la manufactura, 13 del comercio y 13 de servicios durante dos períodos t. Por tanto, los resultados econométricos se separan en los dos períodos señalados. Las industrias que se tomaron en cuenta fueron aquellas que contaran con información para los censos en cuestión y guiadas por criterios de mercado, más que aquellas ramas con participación del gobierno u otras organizaciones. Ello arroja un número de observaciones variable en cada estrato, que van de las 80 para el caso de los tres estratos más pequeños, a 44 en los restantes estratos.
El segundo enfoque metodológico utiliza la "Encuesta nacional de ocupación y empleo" del INEGI (2005/II-2012/II) a partir de 2005. Si bien esta encuesta se elabora desde 1995, no colectaba los datos estadísticos de empleo por estrato empresarial sino hasta 2005. El horizonte temporal es reducido, pues sólo se completan seis años, pero el hecho de que sea trimestral eleva el número de observaciones y permite analizar la coyuntura de la crisis de forma más clara. La base de datos cuenta con indicadores trimestrales de empleo y desempleo, así como empleo por estrato empresarial clasificado en micro, pequeña, mediana y gran empresa.
DISCUSIÓN DE RESULTADOS
El enfoque con datos de los censos económicos
Los estadísticos de las regresiones para el período 1989-1999 apuntan una significancia global en todos los casos, así como una relevancia explicativa de las variables incorporadas respecto de la variable dependiente entre 0.38 y 0.54 de forma conjunta, tal como el R2 lo sugiere. La medición de R2 ajustado sugiere una capacidad explicativa de rango similar al anterior, con la especificación de que para los tres estratos menores dicho estadístico es menor (0.35, 0.39 y 0.41) al de los estratos superiores (0.51, 0.54 y 0.53) (cuadro 5).
Por su parte, los estadísticos para el período 2004-2009 también presentan una significancia global en todos los casos, así como una relevancia explicativa de las variables incorporadas respecto de la variable dependiente, ya que el R2 se encuentra entre 0.41 y 0.81. La medición de R2 ajustado sugiere una capacidad explicativa menor entre un rango de 0.04 y 0.47. En los tres estratos menores dicho estadístico es inferior al de los estratos superiores (0.51, 0.54 y 0.53). El hecho de que en ambos períodos las variables incorporadas expliquen mejor las variaciones del número de establecimientos en los estratos mayores que en los pequeños, se asocia a la creciente influencia de las empresas en el sector a medida que el estrato se hace mayor (cuadro 6).
En cuanto a las variables explicativas, en todos los estratos y para ambos períodos de estimación, el valor agregado censal bruto Yit del sector explica de forma positiva y altamente significativa el número de empresas. El parámetro βY resulta muy pequeño debido a la escala de variables, y decreciente a medida que se va de los estratos inferiores a los superiores, lo que implica que para elevar en una unidad el número de empresas, el valor agregado adicional debe ser mucho mayor para los estratos grandes que para los inferiores. Los valores de dichos coeficientes también implican que en períodos de recesión en los que el valor agregado industrial tiende a decrecer el número de empresas llega a disminuir. En términos de las hipótesis, ello equivale a inferir un efecto pull o shumpeteriano en todos los estratos analizados, pues en períodos de crecimiento, en el ciclo económico hay empresas pequeñas y grandes aprovechando oportunidades, mientras que en períodos de recesión, empresas de ambos estratos salen del mercado.
Los resultados para el salario, medido a partir del parámetro βW , presentan evidencia mixta en términos de su significancia, ya que para algunos estratos son negativos y, en otros casos, positivos. En el período 1989-1999, el parámetro βW resulta negativo en todos los casos, pero significativo en cinco por ciento sólo en los dos estratos más pequeños, que corresponden a emprendimientos de autoempleo que van de cero a dos empleados, y en microempresas de tres a cinco empleados. Para el período 2004-2009 el parámetro βW resulta negativo pero significativo en todos los estratos. Ello confirma la hipótesis de unemployment push en el caso de los estratos de micro y pequeñas empresas de entre 1 y 10 y de 11 a 30 empleados, en donde la reducción de los salarios que acompaña las etapas recesivas y de desempleo incentiva el emprendimiento de negocios para compensar la reducción de las oportunidades de empleo.
Los resultados econométricos muestran evidencia de que en los estratos de 0 a 2 y de 3 a 5 empleados para el período 1989-1999, y los estratos de entre 1 y 10 trabajadores para el período 2004-2009 se presenta el efecto recession-push de la empresarialidad, que supone un incremento del número de empresas o iniciativas empresariales por problemas en los mercados de trabajo debido a una baja dinámica económica, que tiende a elevar el desempleo y las oportunidades de empleo con una consecuente disminución en los salarios. A su vez, ello reduce el costo de oportunidad del emprendimiento, haciendo que algunos individuos desplazados de sus puestos de trabajo se incorporen a la empresarialidad a partir de la puesta en marcha de microempresas, regularmente en sectores tradicionales de la economía que no requieren altos niveles de capital, entrenamiento y cualificaciones. Esta situación sostiene la importancia que dichos estratos tienen en el marco de las crisis económicas y la justificación de políticas que los apoyen, toda vez que se convierten en mecanismos de estabilización que evitan drásticos deterioros de los niveles de vida y promueven cierta estabilidad en el consumo de las familias asociadas a estos emprendimientos, haciendo que las crisis sean menos severas. Los resultados empíricos desde este enfoque metodológico explican las siguientes situaciones: la dinámica microempresarial y de pequeñas empresas en el estado de Baja California en el período 1989-2009, así como su creciente participación en el empleo en los últimos años; la importancia en términos de empleo de los estratos pequeños en el contexto de la crisis económica, como lo muestran las cifras para el período 2009-2011; y el hecho de que los estratos empresariales más grandes estén reduciendo su participación en el número total de establecimientos y aporte al empleo en el estado.
El enfoque con datos de la "Encuesta nacional de ocupación y empleo"
Las estimaciones de la ecuación 4 se exponen en el cuadro 7, donde se observa el valor de los parámetros estimados δ0, δ1, δ2 y δ3, que de acuerdo con el signo presentado muestran la relación que existe entre el desempleo y el empleo por estrato empresarial. Adicionalmente se presenta el t estadístico de cada parámetro para evaluar su nivel de significancia y el nivel de confianza del indicador. También se incorpora el valor del F estadístico y R ajustado para evaluar la significancia de la estimación en conjunto.
Los resultados de las estimaciones de la ecuación 4 que se muestran en el cuadro 7 representan evidencia significativa de la relación entre el empleo de las microempresas con el desempleo de las medianas y grandes empresas en el período t-1. En el resto de las estimaciones no hay evidencia de relación significativa, lo que implica que el empleo de las microempresas sólo se explica por el desempleo de las medianas y grandes empresas.
Para el caso de las grandes empresas, el signo del parámetro δ1 es negativo, su nivel de significancia de 93 por ciento y el valor del R ajustado es de 0.15. La relación negativa entre el desempleo de las grandes empresas y el empleo de las microempresas, como señala el parámetro δ1, implica que un porcentaje de las personas que son desempleadas en las grandes empresas son empleadas en las de tamaño micro o se autoemplean mediante la creación de su propia microempresa, y que el tiempo que tardan en asumir esta decisión es de tres meses, lo cual pudiera significar que son emprendedores que a pesar de estar contratados en una gran empresa ya tenían interés en iniciar un negocio, y el no hacerlo se explicaba, en parte, por la seguridad y confianza de contar con un ingreso seguro desempeñando alguna actividad en dicha empresa.
Con el objetivo de fortalecer el resultado, se estimó la ecuación 4 para medir la relación entre el empleo de las microempresas con las medianas y grandes sólo en el período t-1, esperando mejorar los indicadores estadísticos y confirmar los hallazgos previos. Los resultados se presentan en el cuadro 8, donde, para el caso de las medianas empresas, el valor del coeficiente pierde significancia de acuerdo con el valor del t estadístico y del R ajustado. En el caso de las grandes empresas se confirma la relación, ya que el valor del t estadístico se incrementó aceptando el signo y valor del parámetro con un nivel de significancia de 99 por ciento, además del incremento en el valor de R ajustado a 0.21. El valor del coeficiente δ1 de 0.66 confirma que las microempresas compensan en buena medida el desempleo ocasionado en la gran empresa, y la opción de iniciar un negocio después de estar colaborando en una empresa grande se vuelve una decisión más común de lo esperado.
El enfoque con datos de la "Encuesta nacional de ocupación y empleo"
Los resultados econométricos de la estimación de la ecuación 5 se integran en los cuadros 9 y 10, tanto para el período completo 2005-2011 como para el de 2009-2011, respectivamente. En éstos se puede observar que los resultados econométricos para todos los casos son globalmente significativos, como ilustran las pruebas F y sus correspondientes probabilidades. De igual forma, el coeficiente de explicación del modelo en el estadístico R2 ajustado reporta una significativa capacidad de las variables independientes para explicar la dependiente, particularmente en los casos de Baja California y Sonora, aunque el modelo también explica en menor medida el empleo en el estado de Nuevo León. El hecho de que el modelo posea una capacidad explicativa elevada se debe a que se incorpora el empleo de todos los estratos generadores en la economía.
En términos de los coeficientes de regresión estimados, destaca que el relacionado con el intercepto de la ecuación es no significativo para todos los casos, lo que se asocia con el alto nivel explicativo del cambio en el empleo por estratos sobre el cambio en el empleo total. Los coeficientes asociados al cambio en el empleo del estrato microempresarial son altamente significativos en todos los estados, aunque Baja California presenta el mayor coeficiente de impacto, liderando los cambios del empleo total durante los últimos seis años, ya que el resto de los coeficientes asociados a los estratos empresariales de pequeñas, medianas y grandes empresas son no significativos. Ello implica que los patrones de creación de empleo en Baja California han venido cambiando a medida que la manufactura va perdiendo terreno y el comercio y los servicios lo ganan. Esto se ha reflejado en la composición del empleo por estrato, que ha venido favoreciendo a la microempresa tanto en participación sobre el empleo total como en la participación en los nuevos empleos creados, como se ha ilustrado en secciones anteriores. El impacto de la microempresa en Sonora aunque menor también es importante, pues rebasa 0.90. Los otros estados presentan coeficientes más pequeños asociados con las microempresas, pero igualmente significativos con contribuciones de los demás estratos.
Los estratos de pequeñas, medianas y grandes empresas tienen una contribución heterogénea entre estados. Por ejemplo, el estrato de pequeñas empresas está siendo importante en Coahuila, Nuevo León y Tamaulipas, con coeficientes altamente significativos que fluctúan entre 0.50 y 0.60. Las medianas empresas, por su parte, están contribuyendo en el empleo sólo en Chihuahua, donde el coeficiente alcanza 0.70 y es significativo en cinco por ciento y con significancia de apenas 10 por ciento, en tanto que las grandes empresas únicamente registran una significancia estadística de cinco por ciento en la dinámica del empleo en Chihuahua y Coahuila. Estos resultados sugieren que los estratos de medianas y grandes empresas no están contribuyendo con la dinámica del empleo en los estados que tradicionalmente han tenido mayor industrialización, como son Baja California y Nuevo León. Aunque con matices diferentes en sus procesos de industrialización, estas entidades habían mostrado una dinámica manufacturera muy importante, conducida por la industria maquiladora de exportación en el primero de los casos, y la industria regional en el segundo. Al parecer, dichas economías están pasando por procesos de cambio debido a la ampliación del comercio y los servicios, que se reflejan en mayor número de empresas y empleo asociados a los estratos microempresariales.
Los resultados econométricos que corresponden al período crítico que va de 2009 a 2011 se presentan en el cuadro 10. Si bien con menor número de observaciones, los estadísticos indican la significancia global de los modelos estimados en cinco por ciento, excepto para Nuevo León, como ilustran las pruebas F y sus correspondientes probabilidades. Igualmente, el estadístico R2 ajustado reporta una significativa capacidad de las variables independientes para explicar la dependiente entre 68 y 91 por ciento, salvo en el caso de Nuevo León.
Respecto de los coeficientes de regresión estimados, se puede destacar que el relacionado con el intercepto de la ecuación es no significativo para todos los casos, lo que también se asocia con el alto nivel explicativo del cambio en el empleo por estratos sobre el cambio en el empleo total. Es importante destacar que a diferencia de lo observado en el período 2005-2011, para el período crítico de 2009-2011, sólo en los casos de Baja California y Sonora y en menor medida Tamaulipas el estrato sigue liderando el empleo con significancia estadística.
La contribución de las pequeñas empresas durante el período crítico es baja, y este estrato fue importante sólo en Coahuila y Tamaulipas, con coeficientes altamente significativos. Las medianas empresas contribuyeron al empleo sólo en Chihuahua, donde el coeficiente es significativo en cinco por ciento. Las grandes empresas únicamente aportaron a la dinámica del empleo con significancia estadística de cinco por ciento en Coahuila. Es importante comentar que para el período de análisis 2009-2011, dado lo reducido de la serie de tiempo, solo se consideran los resultados estadísticamente significativos en cinco por ciento.
CONCLUSIONES
Los resultados del modelo econométrico indican que la generación de microempresas se explica tanto en momentos de crecimiento económico atendiendo principalmente las oportunidades que genera una economía en crecimiento como en períodos de crisis económica, donde surgen nuevos emprendedores que, ante la falta de opciones en el mercado laboral, buscan crear su espacio mediante la formación de una nueva empresa. Por supuesto que ello depende de los emprendimientos que se realicen y de la existencia de programas públicos que faciliten el camino e incrementen la probabilidad de ser exitosos para desarrollarse como micro y pequeño empresario.
Los resultados de la intervención gubernamental varían dependiendo de la cautela con que se apliquen las medidas y de la medición de la capacidad que se tiene para intervenir por parte de los gobiernos. En Baja California se intervino con una política contracíclica que tuvo como objetivo principal incentivar el mercado interno mediante el gasto en infraestructura, compras de gobierno, incentivos fiscales y programas de apoyo a las mipymes y emprendedores (Protege, 2009).
En un contexto de crisis económica a nivel internacional y sus repercusiones en el ámbito local, tanto en la producción como en el empleo, se construyó la política pública de atención a las mipymes en Baja California. La estrategia de desarrollo económico integral, cuyo objetivo final fue mejorar el bienestar de la población, buscó fomentar no sólo el crecimiento, sino también compensar los niveles de desempleo a través del autoempleo o de microempresas durante la parte recesiva del ciclo económico, pues en el contexto globalizado de competencia entre las empresas, la competitividad se logra a través de la tecnificación de los procesos productivos, el desarrollo de tecnología mediante la investigación e innovación, y el mejoramiento administrativo e impulso de nuevos canales de comercialización, entre otros.
Sin embargo, elevar la competitividad mediante el desarrollo de estos factores que operan al interior de la empresa tiene como costo social la sustitución del factor trabajo por capital, disminuyendo la capacidad de generación de empleo a cambio de elevar la competitividad. Por ello, en un escenario recesivo es necesario que una política de competitividad e innovación implique una política que ayude a compensar la caída en el empleo de las empresas que se enfocan en mejorar su competitividad, que normalmente suelen ser las medianas y grandes empresas. En el caso de Baja California, la política de atención a las mipymes ayudó a minimizar los costos sociales en el empleo, pues a través de éstas se dio un impulso al emprendedurismo y el desarrollo microempresarial, aprovechando tanto el efecto push como el pull, pues si en época de crisis impulsar el desarrollo de emprendedores y pequeños negocios ayuda significativamente a la generación de empleo, en la recuperación también pueden ser un factor determinante. El reto gubernamental será mantener una estrategia que premie el emprendedurismo y la vinculación empresarial y logre que la base empresarial local se inserte en la proveeduría de las empresas mayores.
REFERENCIAS
Acs, Zoltand y Kadri Kallas, 2008, "State of Literature on Small to Medium-Size Enterprises and Entrepreneurship in Low Income-Communities", in Glenn Yago, James R. Barth y Betsy Zeidman, edits., Entrepreneurship in Emerging Domestic Markets: Barriers and Innovation, Santa Monica, Estados Unidos, Springer and Milken Institute, vol. 7, pp. 21-45. [ Links ]
Audretch, David y Hideki Yamawaki, edits., 1991, Structure, Conduct and Performance, Nueva York, New York University Press. [ Links ]
Banco Interamericano de Desarrollo (BID), 1997, Desarrollo de la microempresa: Estrategia sectorial [reporte núm.18938], Washington, D. C., BID, Estados Unidos. [ Links ]
Baumol, William, 1990, "Entrepreneurship: Productive, Unproductive, and Destructive", The Journal of Political Economy, vol. 98, núm. 5, parte 1, pp. 893-921. [ Links ]
Carpintero, Samuel, 1998, Los programas de apoyo a la microempresa en América Latina, Bilbao, Ediciones Deuto. [ Links ]
Carree, Martin y Roy Thurik, 1998, "Small Firms and Economic Growth in Europe", Atlantic Economic Journal, vol. 26, núm. 2, pp. 137-147. [ Links ]
Comisión Económica para América Latina y el Caribe (CEPAL), 2003, Acceso al crédito bancario de las microempresas chilenas: Lecciones de la década de los noventa, Santiago, Chile, CEPAL. [ Links ]
Evans, David y Linda Leighton, 1989, "Some Empirical Aspects of Entrepreneurship", American Economic Review, vol. 79, núm. 3, junio, pp. 519-535. [ Links ]
Evans, David y Linda Leighton, 1990, "Small Business Formation by Unemployed and Employed Workers", Small Business Economics, vol. 2, núm. 4, pp. 319-330. [ Links ]
Folster, Stefan, 2000, "Do Entrepreneurs Create Jobs?", Small Business Economics, vol. 14, núm. 2, pp. 137-148. [ Links ]
Georgellis, Yannis y Nikolaos Tsitsianis, 2005, "Self-Employment Longitudinal Dynamics: A Review of the Literature", Economic Issues, vol. 10, núm. 2, pp. 51-84. [ Links ]
Instituto Nacional de Estadística, Geografía e Informática (INEGI), 1989, "XIII Censo económico", Aguascalientes, México, Inegi. [ Links ]
Instituto Nacional de Estadística, Geografía e Informática (INEGI), 1994, "XIV Censo económico", Aguascalientes, México, Inegi. [ Links ]
Instituto Nacional de Estadística, Geografía e Informática (INEGI), 1999, "XV Censo económico", Aguascalientes, México, Inegi. [ Links ]
Instituto Nacional de Estadística, Geografía e Informática (INEGI), 2004, "XVI Censo económico", Aguascalientes, México, Inegi. [ Links ]
Instituto Nacional de Estadística y Geografía (INEGI), 2009, "XVII Censo económico", Aguascalientes, México, Inegi. [ Links ]
Instituto Nacional de Estadística y Geografía (INEGI), 2005/II-2012/II, "Encuesta nacional de ocupación y empleo", Aguascalientes, México, Inegi, cuarto trimestre. [ Links ]
Jovanovic, Boyan, 1982, "Selection and the Evolution ofindustry", Econometrica, vol. 50, núm. 3, pp. 649-670. [ Links ]
Kihlstrom, Richard y Jean-Jacques Laffont, 1979, "A General Equilibrium Entrepreneurial Theory of Firm Formation Based on Risk Aversion", Journal of Political Economy, vol. 87, núm. 4, agosto, pp. 719-748. [ Links ]
Kirzner, Israel, 1970, "The Power Problem on Campus", Intercollegiate Review, vol. 6, núm.3, primavera, pp. 99-103. [ Links ]
Knight, Frank, 1921, Risk, Uncertainty, and Profit, Boston, Hart, Schaffner & Marx/Houghton Mifflin Company. [ Links ]
Mills, David y Laurence schumann, 1985, "Industry Structure with Fluctuating Demand", American Economic Review, vol. 75, núm. 4, septiembre, pp. 758-767. [ Links ]
Mungaray, Alejandro y Natanael Ramírez, 2004, "Subcontratación en microempresas y pequeñas empresas de Baja California", Frontera Norte, vol. 16, núm. 23, pp. 35-62. [ Links ]
Pratten Clifford, Frederick, 1991, The Competitiveness of Small Firms, Nueva York, Cambridge University. [ Links ]
Protege, 2009, "Programa de Protección a la Economía Familiar y de Generación de Empleo", Mexicali, México, Gobierno del estado de Baja California. [ Links ]
Ramamurthy, Barghavi, 1998, "Small Industries and Institutional Framework: A Transaction Cost Approach", en Per Ronnås, Orjan Sjoberg y Maud Hemlin, edits., Institutional Adjustment for Economic Growth, Aldershot, Reino Unido, Ashgate. [ Links ]
Ramírez, Natanael, Alejandro Mungaray, Martín Ramírez y Michelle Texis, 2010, "Economías de escala y rendimientos crecientes: Una aplicación en microempresas mexicanas", Economía Mexicana, nueva época, vol. XIX, núm. 2, pp. 213-230. [ Links ]
Ramírez, Martín y Natanael Ramírez, 2012, El desarrollo microempresarial en Baja California, Mexicali, México, Gobierno del Estado de Baja California/Universidad Autónoma de Baja California. [ Links ]
Rotman, David, 2013, "How Technology is Destroying Jobs", Technology Review, vol. 16, núm. 4, pp. 28-35. [ Links ]
Ruiz, Clemente, 1995, Economía de la pequeña empresa, México, D. F., Ariel Divulgación. [ Links ]
Schumpeter, Joseph, 1934, The Theory of Economic Development: An Inquiry into Profits, Capital, Credit, Interest, and the Business Cycle, Cambridge, Harvard University Press. [ Links ]
Secretaría de Desarrollo Económico (SEDECO) y Universidad Autónoma de Baja California (UABC), 2012, Informe de resultados del Programa de Formalización y Desarrollo Microempresarial, Mexicali, México, Sedeco/UABC. [ Links ]
Secretaría de Economía, 2009, Acuerdo por el que se establece la estratificación de las micro, pequeñas y medianas empresas, Diario Oficial de la Federación, México, D. F., Secretaría de Economía, 30 de junio tercera sección, p. 1.
Stel, André; Roy Thurik, Ingrid Verheul y Lendert Baljeu, 2008, The Relationship between Entrepreneurship and Unemployment in Japan, Tinbergen Institute, pp. 1-18 (Tinbergen Institute Discussion Paper, núm. 07-080/3). [ Links ]
Yamamoto, Hiromasa, 1959, "Small Firms and the Labor Problem in Japan", Bulletin of University of Osaka Prefacture, vol. III, pp. 76-84. [ Links ]
Nota
1 La relación entre las variables es lineal; los errores en la medición de las variables explicativas son independientes entre sí, tienen una varianza constante y su valor esperado es igual a 0.













