Servicios Personalizados
Revista
Articulo
Indicadores
Links relacionados
-
Similares en
SciELO
Compartir
Frontera norte
versión On-line ISSN 2594-0260versión impresa ISSN 0187-7372
Frontera norte vol.23 no.45 México ene./jun. 2011
Artículos
Mercado laboral, inequidad salarial y cambio tecnológico regional
Labor Market, Wage Inequality and Regional Technical Change
Reyna E. Rodríguez Pérez*, Luis Huesca Reynoso** y Mario Camberos Castro***
* Centro de Investigación en Alimentación y Desarrollo (CIAD). Dirección electrónica: reyna@estudiantes.ciad.mx
** Investigador del CIAD. Dirección electrónica: lhuesca@ciad.mx
*** Investigador del CIAD. Dirección electrónica: mcamberos@ciad.mx
Fecha de recepción: 2 de junio de 2009
Fecha de aceptación: 19 de noviembre de 2009
Resumen
En este artículo se analiza, en el contexto de México y sus regiones, la desigualdad salarial entre trabajadores explicada por el cambio tecnológico como resultado de un aumento en la demanda de trabajo calificado (Acemoglu, 1998 y 2002) y que premia la oferta con mayores calificaciones; en él se encontró una concentración de trabajadores en ocupaciones no tecnológicas con bajo nivel de calificación laboral, una notoria diferencia salarial a favor de los empleados en actividades tecnológicas de los calificados y de las regiones, como la región frontera respecto de la sur. La desigualdad, medida por descomposición del Gini (versión de Shorrocks, 1999), es explicada en mayor parte por las diferencias entre los grupos de trabajadores no calificados en el año 2000, mientras que su aporte cambia por aquéllos calificados en 2008, independientemente de la ocupación tecnológica donde se ubique.
Palabras clave: Mercado laboral, desigualdad salarial, cambio tecnológico, trabajo calificado, trabajo no calificado.
Abstract
This article analyzed wage inequality among workers in Mexico and its regions, explained by technological change, as result of the soaring demand for skilled labor (Acemoglu, 1998 and 2002), which rewards higher skills. It found a greater concentration of workers in nontechnological occupations and lower skilled jobs and significantly higher salaries among skilled technological workers and those located in the border region in hightech positions than in the south . In 2000, inequality measured using a decomposition of the the Gini index (Shorrocks, 1999) was largely explained by differences among groups of nonskilled workers; whereas in 2008, it was less able to account for the differences between skilled workers, regardless of the technological occupation in which they were engaged.
Keywords: Labor market, inequality, technical change, skill workers, unskilled workers.
INTRODUCCIÓN
El cambio tecnológico ha impuesto la pauta en una creciente demanda relativa de trabajadores con mayor formación y habilidades a nivel mundial en los últimos 30 años, al explicar más de una tercera parte de los cambios producidos en la estructura laboral de los países (Autor et al., 2003 y Autor et al., 2008). En Estados Unidos se llega a explicar que entre 30 y 40 por ciento de dichos cambios y evidencias recientes asumen que las habilidades cognitivas de los trabajadores pasan a desempeñar un papel central en la contratación por parte de las empresas (Bowles et al., 2001).
La demanda de trabajo calificado aumentó rápidamente durante este tiempo a causa de la revolución tecnológica, basada en los microchips, en las computadoras personales e internet. De acuerdo con los expertos en el tema, el cambio tecnológico reciente ha favorecido a los trabajadores más calificados (Autor et al., 2008; Acemoglu, 1998, 2001a, 2001b y 2002; Murphy et al., 1998; Berman et al., 1993 y 1997; Katz y Murphy, 1991), pues las condiciones han desplazado de las tareas a los trabajadores menos calificados, lo que ha provocado inequidad entre ellos. El comportamiento de los salarios y los rendimientos en la escolaridad indican que el cambio tecnológico ha estado basado en las habilidades de los trabajadores durante los pasados 60 años y probablemente por todo el siglo XX; además, evidencias recientes muestran que las habilidades basadas en las tecnologías son más redituables y en las empresas se estarían presentando más incentivos para el desarrollo y la adopción de las mismas.
Al respecto, Acemoglu (2002), Mañe (2001) y Gallego (2006) encontraron que la maquinaria y las nuevas tecnologías, en lugar de desplazar al trabajo, como afirmaba la tesis clásica, son complementarias del trabajo calificado y dan como resultado futuras ganancias y la formación de trabajadores con más habilidades. Por ello, el reciente cambio tecnológico es probable que tenga efectos en la distribución de la mano de obra y de su premio salarial, incluyendo la manera en que las empresas se organizan y en las políticas de mercado laboral.
En México, con la apertura comercial en la década de 1980, se han establecido en distintos puntos del país empresas transnacionales que cuentan con maquinaria y equipos sofisticados, lo que ha provocado cambios importantes en la oferta y demanda de mano de obra (Aguilar, 1998; Burgos y Mungaray, 2008). La modificación en la oferta se basa en un incremento de la población económicamente activa y de la migración de la fuerza laboral a ciertos puntos del país; por su parte, los cambios en la demanda se han centrado en solicitar mayores requerimientos de calificación laboral por las empresas, como un readiestramiento más especializado de la fuerza laboral y también la adaptación del sistema de enseñanza y capacitación a las nuevas necesidades tecnológicas, lo que ha repercutido de manera importante en la polarización de los salarios y el empleo.1
Por lo anterior, el objetivo central de este artículo es analizar para México y sus regiones el efecto del cambio tecnológico en la estructura de ocupaciones, salarios y desigualdad de los trabajadores, considerando la composición de la división de las ocupaciones en áreas tecnológicas y no tecnológicas por tipo de calificación laboral. En la siguiente parte, se realiza una revisión sobre el cambio tecnológico y sus implicaciones en el mercado laboral en el que el punto central es el modelo de Acemoglu (2002), que relaciona el cambio tecnológico, el mercado laboral y las diferencias salariales. La tercera parte muestra la metodología y describe los datos empleados. La cuarta realiza una aplicación empírica para los años 2000 y 2008, que cubre prácticamente toda la década actual; primero, con la descripción de la estructura de ocupaciones, y sus salarios; segundo, con el impacto del cambio tecnológico en la estructura de las ocupaciones y el premio salarial para los calificados en ocupaciones tecnológicas, y tercero, implementando un examen de la desigualdad mediante la descomposición exacta del índice de Gini. La quinta parte presenta las conclusiones.
EL CAMBIO TECNOLÓGICO Y LA TEORÍA DEL PREMIO A LA HABILIDAD
En los estudios más recientes sobre el mercado laboral se observa que los rendimientos de la escolaridad tienen relación directa con la habilidad o calificación de los trabajadores y las diferencias salariales entre grupos. Al respecto, se encontró en un estudio para Estados Unidos que, a raíz de una aceleración en la oferta de calificaciones, el rendimiento de los universitarios se redujo bruscamente durante la década de 1970; sin embargo, se incrementó durante la década de 1980. Estos cambios han sido uno de los principales hechos que motivan a la literatura empírica de la desigualdad (Berman et al., 1993; Katz y Murphy, 1991), entre los que destaca el planteamiento de Acemoglu (1998 y 2002), quien demuestra la relación entre el cambio tecnológico a través de la demanda, las calificaciones de la oferta para conformar el mercado laboral y el impacto en la prima salarial, que determinará las diferencias salariales entre trabajadores calificados y no calificados y que por su relevancia a continuación desarrollamos.
Aunque, sin duda, son muchos los factores que afectan la distribución de los salarios, un punto de partida natural en el análisis económico es el de la oferta y la demanda laboral. Un estudio pionero (Tinbergen, 1975) encontró que lo importante es la diferencia disponible entre cualidades y cantidades exigidas por la demanda, específicamente en las empresas e instituciones. En este marco, Acemoglu (1998 y 2002), un autor que ha ejercido gran influencia en este tema, presenta un modelo que vincula los salarios a la oferta y demanda generados por la frontera de posibilidades tecnológicas, considerando dos tipos de trabajadores: los calificados H y los no calificados L, que son sustitutos perfectos y de eso depende sus salarios. Supone también que el mercado laboral es competitivo. Un aspecto que interesa destacar para el presente trabajo es el referido al sesgo tecnológico.
El efecto sesgado del cambio tecnológico
El habitual efecto de sustitución demuestra el sesgo de la habilidad basada en el cambio tecnológico, capturado por Ah/Al la curva relativa de demanda de habilidades y su baja elasticidad. El sesgo puede ilustrarse por medio de la figura 1, con la demanda relativa de trabajadores calificados, contra la oferta de los mismos, H/L. En ella se puede observar que un aumento de la oferta de H/L a H/L' mueve el punto de equilibrio bajando la demanda de trabajadores calificados, así como también su salario.

En cierto sentido, el aumento en Ah crea un "exceso de oferta" de personal calificado, debido al incremento en la prima para los trabajadores calificados, que genera expectativas y hace que se traslade la curva de oferta de calificaciones de H/L a H'/L'. Este exceso de oferta aumenta el salario de los no calificados en relación con los calificados.
Este resultado puede ser contrarrestado por el impacto que produce el desarrollo tecnológico en la demanda de ocupaciones calificadas desplazándola hacia arriba, en tanto que la elasticidad de sustitución σ entre trabajo calificado y no calificado en la mayoría de las estimaciones toma valores acotados entre cero y uno (1< σ <2) (Acemoglu, 2002).
Por lo tanto, si σ >1, la complementariedad entre la calificación y la tecnología incrementan la prima laboral. Esto puede observarse en la misma figura (1) como un cambio en la curva de demanda relativa moviendo el premio a la habilidad de ω a ω'.
Los resultados obtenidos hasta este momento implican que en respuesta de un aumento en H/L:
1. La relación entre los salarios de los trabajadores calificados y el premio a la habilidad ω = wH/wL decrece.
2. Los salarios de los trabajadores calificados aumentan.
3. Los salarios de los trabajadores no calificados disminuyen.
4. El salario medio se eleva.
El resultado central para nuestros propósitos es que conforme H/L aumenta, el premio a la habilidad, ω debería caer. En términos de la figura 1, un aumento en la oferta corresponde a un cambio en la línea vertical H/L a H/L' que movería la economía a lo largo de la pendiente de la curva de la demanda de habilidades y reduciría la prima por calificación.
Pero esta tendencia de la caída de la prima por calificación podría ser contrarrestada por los cambios en la tecnología, que empujaría la curva de demanda de trabajo calificado hacia arriba y con ello el premio a la calificación, hasta que se igualen de nuevo oferta y demanda en el mercado laboral. De lo anterior se desprende que será el incremento en la demanda por calificaciones impulsado por el cambio tecnológico y no el aumento de las calificaciones en sí mismo el que aumente el premio a las calificaciones.
Cabe aclarar que estos aspectos son analizados en este artículo para las regiones de México y se contrastará en forma indirecta con el modelo de Acemoglu (2002) a partir del análisis empírico abordado, así como la medición de su impacto en la distribución salarial con la descomposición exacta del coeficiente de Gini inspirado en la técnica de Shapley (1953) y corregido por Shorrocks (1999) que elimina el residuo.
METODOLOGÍA Y DATOS EMPLEADOS
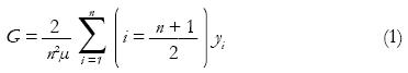
A continuación se presenta la descomposición exacta del índice de Gini. Primero se muestra una breve discusión y evidencia sobre la medición de la desigualdad con el citado índice para luego representar metodológicamente su cálculo. Después se describe la base de datos de ocupaciones tecnológicas y no tecnológicas empleada para México y sus regiones.
Hay una serie de trabajos empíricos que recientemente han aplicado la técnica de descomposición de Shorrocks (1999) para diversos entornos como en la pobreza (Kolenikov y Shorrocks, 2005) y en la desigualdad (Wan, 2002; Morduch y Sicular, 2002; Wan y Zhou, 2005; Abdelkrim, 2006; Wan, 2007; Wan et al., 2007). La metodología propuesta inicialmente por Shorrocks (1999) permite realizar una descomposición exacta de índices de la desigualdad y que en nuestro caso la utilizamos para el coeficiente de Gini. Por su naturaleza, este coeficiente ha experimentado problemas de descomposición debido a los cruces de ingresos producidos entre los subgrupos que componen la distribución considerada (Bhattacharaya y Mahalanobis, 1967; Pyatt, 1976, Silber, 1989; Lambert y Aronson, 1993), lo que daba como resultado un amplio término residual que no podía adjudicarse a ninguno de los componentes "intra" ni "entre" de los grupos considerados.2
Shorrocks (1999) propone que empleando la descomposición de Shapley (1954) es posible encontrar una solución factible generalizada que otorgue una partición exacta del fenómeno analizado. La descomposición de Shapley se basa en la teoría clásica de juegos cooperativos, en la cual se plantea obtener una partición óptima y justa en la que la solución Shapley asigne a cada jugador su contribución marginal promedio sobre todas las posibles combinaciones entre los agentes (en nuestro caso subgrupos de trabajadores).
Luego considera n factores que en conjunto determinan un indicador (Gini) como el nivel de desigualdad promedio, y asigna a cada factor su contribución marginal promedio obtenida de todas las n! posibles combinaciones entre las cuales cada factor pueda ser removido secuencialmente. La naturaleza particular de dicha técnica es que la descomposición es siempre "exacta" y que los factores considerados (o subgrupos) pueden ser tratados simétricamente (Shorrocks, 1999: 20; Kolenikov y Shorrocks, 2005).
Siguiendo la expresión del índice de Gini ordinario establecida en Morduch y Sicular (2002) acotado entre cero y uno donde la mayor desigualdad se presenta cuando el índice es igual a uno,3 tenemos un ordenamiento ascendente de los salarios de los trabajadores y1 ≤ y2≤ ... ≤ yn, y que puede escribirse como

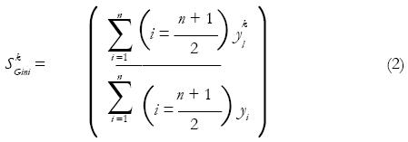
Su descomposición puede plantearse otorgando el peso respectivo de la desigualdad inducida por cada subgrupo k como:

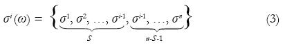
Entonces cada subgrupo k otorga un ranking al salario i para yk sobre el total en la distribución para y1. Así, para cumplir con las propiedades de la descomposición de Simetría y Aditividad (Shorrocks, 1982, 1984 y 1999) en el esquema de Shapley tendremos el término MV (σi (ω), k) como el valor marginal de añadir un trabajador (jugador) k a su grupo, de tal forma que n trabajadores serán aleatoriamente ordenados por su dispersión salarial expresada por el símbolo σi (ω), de la manera siguiente:

Donde S representa la coalición o subgrupo limitado al tamaño S
{0, 1, ..., n 1}. Así se puede escribir la fórmula generalizada del valor Shapley como se muestra en la expresión:

La expresión 4 representa el iésimo orden posible de grupos y el término MV (σi, g) muestra el impacto de eliminar el grupo g por el orden σi sobre la contribución del conjunto de grupos S. Para aplicar el enfoque de Shapley empíricamente, considerando dos grupos A y B que conforman la población con medias de salario µA y µB respectivamente se sigue la notación:

Donde øA y øB son los pesos de cada grupo en la población total del grupo g. Para el caso de dos grupos se obtiene una partición que descompone la desigualdad de la siguiente manera:

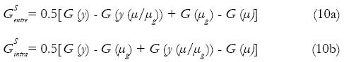
Finalmente, la descomposición se representa con los dos componentes entre e intra asumiendo que Gk es homólogo al cálculo del índice de Gini de las expresiones 7 y 8, bajo la siguiente forma:4

donde,

Como se puede observar de la expresión 10a es posible deducir la parte de la desigualdad entre grupos restando de la desigualdad total G (y) la desigualdad del vector de medias de los salarios G (y (µ/µg) más la desigualdad media del grupo G (µg) y deduciendo la parte de la concentración salarial media de la distribución; en tanto que la expresión 10b deduce la parte de la desigualdad intragrupo, restando de la desigualdad total G (y) la desigualdad media del grupo G (µg), más la desigualdad del vector de medias de los salarios G (y (µ/µg)que al ser multiplicados por la razón µ/µgse obtiene que el promedio de los salarios de cada grupo sea idéntico a su propia µ.
Datos utilizados
Las bases de datos empleadas aquí corresponden a la Encuesta Nacional de Empleo urbano (ENEU) 20002004 y a la Encuesta Nacional de Ocupación y Empleo (ENOE) 20052008. Dichas encuestas se homogeneizan utilizando las áreas metropolitanas contenidas en la ENEU 2004, ya que son las que se mantienen para todo el período analizado y que sumaron 32 ciudades. Se emplea la regionalización del territorio mexicano sugerida por Hanson (2004) que divide al país en seis regiones: frontera, norte, capital, centro, sur y península de Yucatán. La justificación de Hanson en su regionalización no solamente se basa en que los estados que las integran tengan características geográficas y económicas en común, sino que además intenta captar los impactos de la liberalización del comercio, los flujos migratorios, la estructura de la inversión extranjera directa, los salarios y la demanda de trabajo calificado y no calificado.
La citada regionalización apoya a Hanson (2004) en examinar: 1) el crecimiento de las industrias manufactureras y el efecto que tiene este fenómeno en la demanda laboral; 2) las diferencias salariales, y 3) la convergencia salarial entre México y Estados Unidos, lo cual es de suma utilidad para el objetivo de este trabajo.5
El criterio de selección de los trabajadores son aquellos en edad de trabajar en el rango de 16 a 65 años tanto hombres como mujeres, por áreas tecnológicas y no tecnológicas, las cuales dependen de su ocupación en el sector laboral y se sustentan en una amplia gama de trabajos recientes (Katz y Murphy, 1991; Berman et al., 1993 y 1997; Murphy et al., 1998; Acemoglu, 1998, 2001a, 2001b y 2002; Oliver et al., 2001; Raymond et al., 2001; Mañe, 2001; Torres, 2002; Gallego, 2006; Autor et al., 2008). Por ejemplo, para Autor et al., (2003) se puede clasificar el trabajo a partir de un criterio de tareas rutinarias y no rutinarias, las que las primeras constituyen todas las actividades que pueden ser desarrolladas por máquinas o siguiendo reglas de programación explícitas, mientras que las segundas serían aquellas en las cuales las reglas no están suficientemente bien establecidas para ser codificadas por computadoras o ejecutadas por máquinas.
Siguiendo esta idea, y con lo que nos permite explotar la base de datos aquí empleada, consideramos a los trabajadores en áreas tecnológicas como aquellos que se encuentran en ocupaciones que involucra el manejo de maquinaria y equipo sofisticado, investigación y desarrollo, software, redes y telecomunicaciones, y por el lado del área no tecnológica se encuentran los trabajadores que desempeñan ocupaciones en actividades tradicionales como la agricultura, ganadería, pesca, disciplinas artísticas, vigilancia y servicios domésticos.
Como complemento a lo anterior, y de acuerdo con Meza (2001) y Huesca y Rodríguez (2008) se seleccionan los trabajadores calificados como aquellos con al menos 12 años de escolaridad terminada y los no calificados con un nivel de estudios inferior a 12.6 Los salarios de los trabajadores son captados por la encuesta de forma mensual en pesos corrientes mexicanos. En el trabajo empírico se calculan los salarios reales en dólares americanos a precios del año 2000 referidos al segundo trimestre, defactados con el índice de precios al consumidor por estratos de salario del Banco de México y divididos su valor por el tipo de cambio promedio del peso por el dólar en el mismo trimestre.7
APLICACIÓN EMPÍRICA
El objetivo central de esta sección es profundizar en el análisis de los salarios para el trabajo calificado y no calificado dentro de las áreas tecnológicas y no tecnológicas en México y sus regiones. A continuación procedemos con un desglose descriptivo de los datos empleados para posteriormente mostrar los resultados del ejercicio empírico de la descomposición.
Estructura de ocupación por área tecnológica y no tecnológica
De acuerdo con el análisis de la ENEU y la ENOE se puede apreciar en el cuadro 1 que en 2000 los trabajadores asalariados en ocupaciones tecnológicas tenían un peso relativamente mayor en el país con algo más de 51 por ciento, a diferencia de 2008, en el que las ocupaciones no tecnológicas ganaron participación con 53 por ciento. La información ha sido tabulada por poblaciones con los factores expansión de la encuesta. En el año 2000 se observa que la región frontera presenta la mayor cantidad de trabajo en ocupaciones tecnológicas por encima de 58 por ciento, lo mismo sucede en 2008 con 51 por ciento. En lo que respecta a las ocupaciones no tecnológicas, en 2000, la región sur es la que muestra una mayor cantidad de ocupados por encima de 58 por ciento, lo mismo sucede en 2008 con 57 por ciento.
En el cuadro 2 se muestra la distribución de las ocupaciones tecnológicas y no tecnológicas por tipo de calificación para 2000 y 2008. Hay un mayor número de trabajadores no calificados en cada una de las áreas; este fenómeno es similar para cada una de las regiones. Con los datos de 2000 se puede observar que dentro de las ocupaciones tecnológicas los calificados tienen una participación de 31 por ciento respecto del total nacional, y en 2008 se incrementa la demanda para este tipo de trabajo hasta 44 por ciento. En lo que se refiere a las ocupaciones no tecnológicas, para 2000 los trabajadores calificados representaron 30 por ciento y para 2008 crecen a 48 por ciento en el país. De lo anterior se puede deducir que hay un aumento en la demanda de trabajadores con mayor calificación en cada una de las ocupaciones. Lo mismo sucede al interior de las regiones.

El cambio tecnológico, la demanda por trabajo calificado y la prima salarial
De acuerdo con el modelo de Acemoglu el cambio tecnológico hace esperar el incremento en la demanda de trabajo en las áreas tecnológicas mayor que en las no tecnológicas, principalmente de trabajo calificado y por ende un incremento en el salario del trabajo calificado por sobre el no calificado. También de acuerdo con nuestro análisis, los resultados reflejarán diferenciales salariales entre regiones, toda vez que el impacto no ocurre de manera homogénea en todas las regiones, sino que resultarán más beneficiadas aquellas que cuentan con una oferta laboral más calificada. Finalmente, cabe esperar que los diferenciales salariales se reflejen en su conjunto para todo el país.
El punto clave para explicar el diferencial salarial por efecto del desarrollo tecnológico, dentro de todas las estimaciones obtenidas y que aparecen en los cuadros, es el cambio en la demanda de trabajo tecnológico calificado, que deberá ser premiado con mayor salario que el resto de los trabajadores.
Al respecto, en el cuadro 3 se presenta las remuneraciones medias por tipo de trabajo para cada una de las áreas tecnológicas y no tecnológicas. En el país se observa que para el año 2000 las remuneraciones medias en las ocupaciones tecnológicas eran 415 dólares americanos y de 361 en las no tecnológicas respectivamente. Se destaca la región frontera con los salarios medios más altos de 473 dólares en contraste con la sur con 347 dólares. También en la no tecnológica la mayor diferencia es entre la frontera y el sur.

El cambio tecnológico entre 2000 y 2008 produce un incremento en los salarios medios del país hasta 555 dólares en las actividades tecnológicas, y hasta 457 en las no tecnológicas; esto es, los salarios en los empleos tecnológicos crecen cerca de 34 por ciento, mientras que los no tecnológicos lo hacen en poco menos de 27 por ciento. Todas las regiones también observan incrementos en las remuneraciones, pero se mantienen los contrastes entre la frontera, muy por encima del promedio y el centro por debajo.
Ahora veamos que ocurrió con los salarios de las actividades calificadas en ambos sectores (cuadro 4). El salario medio de los calificados de los tecnológicos en 2000 fue de 678 dólares, 130 por ciento más que el obtenido por los no calificados, y respecto del no tecnológico, 15 por ciento por encima de los calificados y 162 por ciento más que los no calificados.

El diferencial salarial producido por el cambio tecnológico en el período a favor de los empleos tecnológicos calificados se refleja en un incremento de 7.7 por ciento promedio para México; pasó de 679 dólares en 2000 a 732 en 2008 (figura 2), a pesar del fuerte incremento de la oferta observada en el mismo período, tanto en empleos calificados como no calificados; en tanto que los calificados no tecnológicos no ven incrementadas prácticamente sus percepciones, razón por la cual aumentan los diferenciales entre ellos de 15 por ciento en 2000 a 23 por ciento en 2008, diferencia atribuible entonces al cambio tecnológico. Las diferenciales salariales mayores a 50 por ciento también se mantienen entre las regiones extremos durante la década de 2000: frontera y sur. Estos resultados coinciden con los encontrados por Aguilar (1998) y Ghiara y Zepeda (2004) y Castro (2007), en los que se muestra aumentos importantes en las remuneraciones de los trabajadores en la frontera de nuestro país, explicados por los aumentos de la demanda de trabajadores calificados en las industrias de esa región.

Es claro que en este contexto el factor que explica el incremento de las percepciones reales de los asalariados calificados del sector tecnológico es el aumento de la demanda por sus servicios que pasó de 1 467 048 a 2 916 593 en el período; es decir, aumentó en 98.8 por ciento la más dinámica. Es relevante mencionar que la demanda de trabajo no calificado se mantiene a favor de un mayor volumen absoluto en la misma área, pero ésta redujo su participación de 68.7 a 55.7 por ciento (3 678 416 trabajadores en 2008) que fue acompañada también de una alza salarial en el área tecnológica.
Descomposición por subgrupos en las áreas tecnológicas y no tecnológicas
Para el cálculo de la descomposición procedemos con la muestra completa de los trabajadores ubicados en áreas tecnológicas y no tecnológicas por tipo de calificación de mano de obra. Empleando la fórmula 1 se procede con el cálculo del índice de Gini total para después computar la descomposición exacta del índice en las categorías de las áreas tecnológicas y no tecnológicas por trabajo calificado y no calificado cuyos resultados se muestran en los cuadros 5 y 6.

El índice global en desigualdad pasó en el período analizado de 0.412 a 0.398, que en términos salariales representa un nivel alto de inequidad, aunque indica una ligera disminución en la desigualdad en 2008.8
En la descomposición por áreas tecnológicas y no tecnológicas con el trabajo calificado y no calificado se presentan hallazgos interesantes. De la desigualdad total en la distribución salarial para el año 2000, la componente intra o al interior de los grupos es superior y es la que explica una mayor parte de la desigualdad con 65.5 por ciento del total, dejando el restante 34.5 por ciento de la explicación a las diferencias promedio de ingresos entre los grupos de ocupaciones. Esta relación se modificó para 2008, en la que la componente intra creció en algo más de nueve puntos porcentuales en un nivel de 74.4 por ciento, lo que implica que en años recientes las diferencias al interior de los grupos de trabajadores son las que están operando en generar mayor desigualdad, aunque el nivel de la inequidad global haya sido menor en el período.
Para comprender la evolución del fenómeno se introduce la figura 3, en la que se muestra un proceso de convergencia en desigualdad entre los distintos grupos de trabajadores, donde el área tecnológica se mantiene siempre por debajo del nivel de inequidad que presenta la no tecnológica, seguramente por la mayor heterogeneidad ocupacional y de salarios al interior de la misma.
Al observar las proporciones por subgrupos (última columna) es fácil inferir que en el año 2000 aquellos trabajadores no calificados tanto dentro del área tecnológica (28.61) como la no tecnológica (28.63) son los que más contribuyeron a la desigualdad con 56.8 por ciento de la disparidad de salarios y una participación estable de ambos grupos de trabajadores en 28 por ciento; en tanto que para 2008 los cambios en las inequidades se explican ahora en mayor proporción por el grupo de los trabajadores calificados ubicados tanto en áreas tecnológicas como las no tecnológicas, sumando 59.3 por ciento, siendo precisamente los ubicados en el área no tecnológica los que más contribuyeron al cambio en la desigualdad de los salarios, con 25.56 por ciento. El hallazgo previo es señal de que el cambio tecnológico está sesgado hacia el trabajo calificado, y si bien la ubicación es importante, aquella no tecnológica presenta una mayor influencia en que se incrementen las brechas salariales en detrimento de los no calificados.
CONCLUSIONES
Con la apertura comercial y la creciente competitividad entre las economías del mundo el trabajo calificado ha tomado gran importancia en las décadas recientes, principalmente donde se involucra conocimiento, investigación y desarrollo e innovación tecnológicas, a tal grado que el cambio tecnológico actual ha llegado a ser complementario y no sustitutivo de este tipo de mano de obra. El cambio tecnológico conlleva a la transformación de productos, procesos, diseños y técnicas donde se genera innovación, y por ello se observa un mayor uso del trabajo calificado en detrimento del no calificado en el mundo, ello se traduce en un premio a la calificación y el ahondamiento entre el trabajo calificado y no calificado.
En este artículo tratamos de demostrar la manera en que el cambio tecnológico ha impactado el mercado laboral mexicano en cuanto a la demanda de trabajo calificado y como consecuencia su efecto en el aumento en la desigualdad salarial. Para ello utilizamos como fundamento el modelo de cambio tecnológico sesgado de Acemoglu (2002).
La evidencia empírica muestra un aumento de las diferencias salariales significativas entre trabajadores que tienen empleos tecnológicos y aquellos que lo hacen en los empleos no tecnológicos o tradicionales, como también se observaron diferencias al interior de los empleos tecnológicos entre los calificados y los no calificados; sin embargo, las mayores diferencias salariales se encontraron entre las regiones, como la frontera donde predominan empresas que utilizan alta tecnología y el sur donde predominan aquellas que utilizan tecnología tradicional o las actividades manuales. Hallazgo que, por lo demás, confirma el hecho que el efecto del cambio tecnológico no es homogéneo, en el sentido de beneficiar a todos los trabajadores por igual, sino más bien premia a través de la demanda de más trabajo calificado a los individuos y regiones que pueden a su vez ofrecerlo.
Como una novedad, este estudio aplica la descomposición exacta y generalizada con el coeficiente de Gini. La descomposición por tipo de ocupación prueba que la desigualdad total es explicada en mayor proporción por las diferencias de salarios producidas entre los tipos de ocupaciones tecnológicas y no tecnológicas, afectando de mayor manera el trabajo no calificado al inicio del período, con un cambio sesgado hacia el trabajo calificado en 2008, explicando en mayor proporción la inequidad salarial.
Para 2008, el cambio tecnológico observa que los trabajadores calificados ubicados con puestos tanto en el área tecnológica como la no tecnológica son los que aportan casi 60 por ciento de la desigualdad salarial. La evidencia anterior pone de manifiesto que el cambio tecnológico en México se ha sesgado a favor de la mano de obra calificada y que la mayor proporción de la desigualdad se explica recientemente por el trabajo calificado sin distinción del sector de ocupación, ya sea en área tecnológica o no tecnológica.
Luis Huesca agradece el apoyo económico otorgado
por el Conacyt para la realización de esta investigación,
la cual es parte del proyecto Ciencia básica (SEP 200801106684)
BIBLIOGRAFÍA
Abdelkrim, Araar, 2006, "On the Decomposition of the Gini Coefficient: An Excact Approach, with an Illustration using Cameroonian Data", Cahier de Recherche, working paper, núm. 0602, enero, Quebéc, Centre interiniversitaire sur le risqué, les politiques économiques et lémploi. [ Links ]
Acemoglu, Daron, 1998, "Changes in unemployment and Wage Inequality: An Alternative Theory and Some Evidence", National Bureau of Economic Research, working paper, núm. 6658, Cambridge, /Cambridge Press, pp. 139. [ Links ]
Acemoglu, Daron, 2001a, "Directed Technical Change", National Bureau of Economic Research, working paper. núm. 8287, Cambridge, /Cambridge Press, pp 160. [ Links ]
Acemoglu, Daron, 2001b, "Good Jobs versus Bad Jobs", Journal of Labor Economics, vol. 19, núm. 1, Chicago, Chicago Press, pp. 121. [ Links ]
Acemoglu, Daron, 2002, "Technical Change, Inequality, and the Labor Market", Journal of Economic Literature, vol. 40, núm. 1, Pittsburgh, American Economic Asociation Publications, pp. 772. [ Links ]
Aguilar, Ismael, 1998, "Competitividad y precarización del empleo: El caso de la industria del televisor en color en la frontera norte de México", Papeles de población, núm. 18, Toluca, Universidad Autónoma del Estado de México, pp. 99121. [ Links ]
Alderson, S. Arthur, Jason Beckfeld y François Nielsen, 2005, "Exactly how has Income Inequality Changed? Patterns of Distributional Change in Core Societies", working paper, núm. 422, Nueva York, Maxwell School of Citizenship and Public Affairs/Syracuse University, pp. 126. [ Links ]
Autor, David H.; Frank Levy y Richard J. Murnane, 2003, "The Skill Content of Recent Technological Change: An Empirical Exploration", Quaterly Journal of Economics, vol. 118, núm. 4, noviembre, Chicago, MIT Press, pp. 12791334. [ Links ]
Autor, David; Lawrence Katz y Melissa Kearney, 2008, "Trends in u.S. Wage Inequality: Revising the Revisionists, The Review of Economic and Statistics, vol. XC, núm. 2, Chicago, MIT Press, pp. 300323. [ Links ]
Bhattacharaya, N. y B. Mahalanobis, 1967, "Regional Disparities in Household Consumption in India", Journal of the American Statistical Association, 62, Alexandria, Virgina, American Statistical Association. [ Links ]
Berman, Eli; John Bound y Zvi Griliches, 1993, "Changes in the demand for Skilled Labor within U.S. Manufacturing Industries: Evidence from the Annual Survey of Manufacturing", National Bureau of Economic Research, working paper series, núm. 4255, Cambridge, Mass., Cambridge Press, pp. 138. [ Links ]
Berman, Eli; John Bound y Stephen Machin, 1997, "Implication of SkillBiased Technological Change: International Evidence", National Bureau of Economic Research, working paper, núm. 6166, Cambridge, Mass., Cambridge Press, pp. 140. [ Links ]
Bowles, Samuel; Herbert Gintis y Melissa Osborne (2001), "The Determinants of Earnings: A Behavioral Approach", Journal of Economics Literature, Pittsburgh, American Economic Asociation Publications vol. 39, num. 4, Pp. 11371176. [ Links ]
Burgos, Benjamín y Alejandro Mungaray, 2008, "Apertura externa, inequidad salarial y calificación laboral en México, 19842002", Problemas del Desarrollo, vol. 39, núm. 152, México, UNAM, pp. 87111. [ Links ]
Carrillo, H. M. y Haydee Vázquez, 2005, "Desigualdad y polarización en la distribución del ingreso salarial en México", Problemas del Desarrollo, vol. 36, núm. 141, abriljunio, México, UNAM, pp. 109130. [ Links ]
Castro Lugo, David, 2007, "Disparidad salarial urbana en México, 19922002", Estudios Sociales, núm. 29, Hermosillo, CIAD, pp. 117153. [ Links ]
Duclos, Jean Yves; Araar, A. y C. Fortin, 2008, DAD 4.5: A Software for Distributive Analysis/Analyse Distributive, Quebéc, MIMAP Programme/International Development Research Centre/Government of Canada/CRÉFA/Université Laval. [ Links ]
Gallego, Francisco, 2006, "Skill Preminun in Chile: Studying the Skill Bias Technical Change Hypothesis in the South", working paper, núm. 363, Chile, Banco Central de Chile, pp. 146. [ Links ]
Ghiara, Ranjeeta y Eduardo Zepeda, 2004, "Desigualdad salarial, demanda de trabajo calificado y modernización: lecciones del caso de Tijuana, 19871994", Región y sociedad, vol. XVI, núm. 29, Hermosillo, El Colegio de Sonora, pp. 143. [ Links ]
Gustaffson, Björn y Mats Johansson, 1999, "In Search of Smoking Guns: What Makes Inequality vary over Time in Different Countries?", American Sociological Review, 64, núm. 4, agosto, Washington, DC, American Sociological Association, pp. 585605. [ Links ]
Hanson, Gordon, 2004, "What has Happened to Wages in México since NAFTA? Implications for Hemispheric Free Trade", en Tony Estevadeordal, Dany Rodrick, Alan Taylor y Andres Velasco, edits., FTAA and Beyond: Prospects for Integration in the Americas, Cambridge, Harvard University Press. [ Links ]
Huesca, Luis [tesis de maestría], 2003, "La clase media en México: un análisis robusto de la polarización del ingreso durante 19842000", Barcelona, Universidad Autónoma de Barcelona. [ Links ]
Huesca, Luis y Reyna Rodríguez, 2008, "Salarios y calificación laboral en México", Problemas del Desarrollo, vol. 39, núm. 154, México, UNAM, pp. 6186. [ Links ]
Instituto Nacional de Estadística y Geografía, 20052008, Encuesta Nacional de Empleo Urbano (ENEU), 20002004, Aguascalientes. [ Links ]
Instituto Nacional de Estadística y Geografía, 20002004, Encuesta Nacional de Ocupación y Empleo (ENOE), Aguascalientes. [ Links ]
Katz, Lawrence y Kevin Murphy, 1991, "Change in Relative Wages, 19631987: supply and Demand Factors", National Bureau of Economic Research, working paper, núm. 3927, Cambridge, Mass. Cambridge Press, pp. 138. [ Links ]
Kolenikov, Stalisnav y Anthony Shorrocks, 2005, "A Decomposition Analysis of Regional Poverty in Russia", Review of Development Economics, vol. 9, núm. 1, Nueva Jersey, Blackwell Publishing, pp. 2546. [ Links ]
Lambert, Peter y J. R. Aronson, 1993, "Inequality Decomposition Analysis and the Gini Coeficient Revisited", Economic Journal, 103, Princeton, John WileyRoyal Economic Society, pp. 11211127. [ Links ]
Mañé Vernet, Ferran [tesis de doctorado], 2001, "Cambio tecnológico y calificaciones en la industria española: Una aproximación estructural", Barcelona, Universidad Autónoma de Barcelona. [ Links ]
Medina Ramírez, Salvador, 2004, "La dependencia tecnológica en México", Economía Informa, núm. 330, México, UNAM, pp. 7381. [ Links ]
Meza González, Liliana, 2001, "Wage Inequality and the Gender Wage Gap in México", Economía mexicana, nueva época, núm. 2, México, ciDe, pp. 291323. [ Links ]
Morduch, Jonathan y Terry Sicular, 2002, "Rethinking Inequality Decomposition, with Evidence from Rural China", Economic Journal, vol. 112, núm. 476, Princeton, John WileyRoyal Economic Society, pp. 93106. [ Links ]
Murphy, Kevin; Craig Riddell y Paul Romer, 1998, "Wages, Skills, and Technology in the united States and Canada", National Bureau of Economic Research, working paper núm. 6638, Cambridge, Mass., Cambridge Press, pp. 143. [ Links ]
Oliver Alonso, Josep; José Luis Raymond Bara y Héctor Sala Lorda, 2001, "Necesidad de formación en el mercado de trabajo español: composición del empleo y estructura productiva", documento de trabajo, núm. 01.07 Barcelona, Universidad Autónoma de Barcelona, pp. 130. [ Links ]
Pyatt, Graham, 1976, "On the Interpretation and Disaggregation of Gini coeficients", Economic Journal, 86, Princeton, John WileyRoyal Economic Society, pp. 243255. [ Links ]
Raymond Bara, José Luis; Josep Oliver Alonso y Xavier Ramos Morilla, 2001, Capital humano y desigualdad en España 19851996, Barcelona, Universidad Autónoma de Barcelona, pp. 125. [ Links ]
Shapley, Lloyd, 1954, "A Value for Nperson Games", en Harold Khun y Albert Tucker edits, Contributions to the Theory of Games, vol. 2, Princeton, NJ, Princeton University Press. [ Links ]
Shorrocks, Anthony, 1982, "Inequality Decomposition by Factor Components", Econometrica, vol. 50, núm. 1, Chicago, MITPress, pp. 193211. [ Links ]
Shorrocks, Anthony, 1984, "Inequality Decomposition by Population Subgroup", Econometrica, vol. 52, núm. 6, Chicago, MITPress, pp. 13691385. [ Links ]
Shorrocks, Anthony, 1999, "Decomposition Procedures for Distributional Analysis: A unifed framework Based on the Shapley Value", reporte técnico, Essex, University of Essex. [ Links ]
Silber, Jaques, 1989, "Factor Components, Population Subgroups and the Computation of the Gini Index of Inequality", The Review of Economics and Statistics, 71, Chicago, MITPress, pp. 107115. [ Links ]
Tinbergen, Jan, 1975, "Substitution of Academically Trained by other Manpower", Review of World Economics, Springer, vol. 111, núm. 3, Oxford, UK, Oxonia, pp. 46676. [ Links ]
Torres, Xavier, 2002, "Dispersión salarial y cambio tecnológico en la industria española", Investigaciones Económicas, vol. XXVI, núm. 3, Madrid, Fundación SEPI, pp. 551571. [ Links ]
Wan, Guanghua, 2002, Regressionbased Inequality Decomposition. Pitfalls and a Solution Procedure, discussion paper, núm. 2002/101, octubre, Helsinki, UNU/WIDER. [ Links ]
Wan, Guanghua y Z. Zhou, 2005, "Income Inequality in Rural China: Regresion Based Decomposition using Household Data", Review of Development Economics, vol. 9, núm. 1, Chicago, Chicago Press, pp. 107120. [ Links ]
Wan, Guanghua, 2007, "understanding Regional Poverty and Inequality Trends in China: Methodological Issues and Empirical Findings", Review of Income and Wealth, series 53, núm. 1, marzo, Nueva Jersey, John Wiley, pp. 2534. [ Links ]
Wan, Guanghua; M. Lu y Z. Chen, 2007, "Globalization and Regional Income Inequality: Empirical Evidence from within China", Review of Income and Wealth, series 53, núm. 1, marzo, Nueva Jersey, John Wiley, pp. 3559. [ Links ]
1Huesca (2003) muestra para México que la característica relacionada con el empleo es la que tiene mayor peso sobre la polarización empleando el índice de Zhang y Kanbur (2001), al pasar su valor de 10.5 a 51.5 en el período entre 1984 y 2000. También el trabajo de Carrillo y Vázquez (2005:124 y 128) calcula un incremento de la polarización salarial que pasa de 0.255 a 0.310 durante 19842002 en detrimento de los salarios del sector agropecuario.
2La diferencia "intra" mide la parte explicada de la desigualdad que es ocasionada al interior de los subgrupos, mientras que la componente "entre" mide la desigualdad existente de los grupos.
3un nivel de desigualdad aceptable en sociedades estables es aquel presentado en los países bajos y nórdicos con índices de Gini que oscilan entre 0.21 y 0.275 (Gustafsson y Johansson, 1999).
4Esta descomposición se encuentra programada en el software DAD 4.5 (Duclos et al, 2008), la cual fue utilizada en este trabajo.
5De acuerdo con Hanson (2004), las regiones se conforman de la siguiente manera: frontera: Baja California, Chihuahua, Coahuila, Nuevo León, Sonora, Tamaulipas; norte: Aguascalientes, Baja California Sur, Durango, Nayarit, San Luis Potosí, Sinaloa, Zacatecas; centro: Colima, Guanajuato, Hidalgo, Jalisco, Michoacán, Morelos, Puebla, querétaro, Tlaxcala, Veracruz; capital: Distrito Federal, Estado de México; sur: Chiapas, Guerrero, Oaxaca; y península de Yucatán: Campeche, Tabasco, quintana Roo, Yucatán.
6Se seleccionan individuos entre 16 y 65 años de edad, según la escolaridad para trabajadores calificados
y no calificados y que permiten determinar la muestra final empleada.
7Los estratos se expresan en salarios mínimos y se ajusta su variación al cambio de base 2000=100.
8De acuerdo con Alderson et al. (2005:16) en el caso de Canadá y Suecia para el año 2000 los índices de Gini de 0.30 y de 0.25 respectivamente son considerados como "aceptables" en términos de distribución del ingreso y de condiciones sociales estables.













