Servicios Personalizados
Revista
Articulo
Indicadores
Links relacionados
-
Similares en
SciELO
Compartir
Frontera norte
versión On-line ISSN 2594-0260versión impresa ISSN 0187-7372
Frontera norte vol.22 no.43 México ene./jun. 2010
Artículos
Externalidades regionales y la provisión de bienes públicos en un sistema descentralizado de gobiernos subnacionales
Regional Externalities and the Provision of Public Goods in a Descentralized System of Subnational Governments
Raúl Alberto Ponce Rodríguez
Universidad Autónoma de Ciudad Juárez, Chihuahua Dirección electrónica: rponce@uacj.mx
Fecha de recepción: 15 de octubre de 2008
Fecha de aceptación: 2 de marzo de 2009
Resumen
En este artículo se desarrolla un modelo electoral de votos probabilísticos para racionalizar la provisión de bienes públicos locales en un sistema descentralizado de gobiernos locales autónomos. En nuestra economía, la heterogeneidad de preferencias por bienes públicos conlleva a un problema de elección social que es resuelto mediante una elección estatal. El modelo teórico sugiere una serie de proposiciones sobre los determinantes del gasto público que pueden ser verificadas empíricamente. En particular, el modelo sugiere que si los bienes públicos no muestran externalidades regionales, el gasto del gobierno es explicado por la distribución del ingreso y la población en la entidad. Si los bienes públicos muestran externalidades regionales, la distribución del ingreso y el costo de los bienes públicos a lo largo de la economía (y no sólo de la entidad) determinan el gasto público estatal. El modelo también permite identificar algunas configuraciones del ingreso en la economía que pueden llevar a asimetrías en la oferta de bienes públicos que resultan de una reducción en el promedio del costo per cápita de los bienes públicos.
Palabras clave: Bienes públicos locales, externalidades interregionales, competencia electoral, sistema descentralizado de gobiernos, desarrollo regional.
Abstract
In this article, we develop a probabilistic voting model for the provision of local public goods in a decentralized system of local governments. In our economy, the heterogeneity of preferences for local public goods leads to a social choice problem that is solved through a statelevel election. Our theoretical model provides empirically verifiable propositions about the determinants of public spending. In particular, our model suggests that in the absence of regional externalities affecting local public goods, distribution of income and the population in the locality explain the size of public spending. When regional externalities do exist, income distribution and the price of public goods in the overall economy, not just the state's economy, determine public spending by the state. Our model also identifies certain income configurations in the economy that can lead to asymmetries in the supply of local public goods as a result of the reduction in the average percapita cost of public goods.
Keywords: Local public goods, interregional externalities, electoral competition, decentralized system of governments, regional development.
INTRODUCCIÓN
El tema de la provisión de bienes públicos ha recibido una gran atención en la literatura de la economía pública normativa (Samuelson, 1954; Dasgupta y Stiglitz, 1971; Atkinson y Stern, 1974; Oates, 1972), y la economía pública positiva (Aragon et al., 1988; Pogodzinsky y Sjoquist, 1993). El interés de los economistas en relación con el papel del Estado en la provisión de estos servicios es una consecuencia lógica del reconocimiento de que, en presencia de bienes públicos, el mecanismo de precios en una economía de mercado no lleva a una asignación eficiente de los recursos y justifica la intervención del gobierno en la economía (Tresch, 2002).
El argumento económico de la teoría normativa en favor de la intervención gubernamental en la economía es que un planificador benevolente (que busca maximizar una función de bienestar social y tiene información completa sobre las preferencias y dotaciones de los individuos) tiene incentivos a reconocer la distribución de los beneficios del bien público en la economía. Como resultado de ello, el Estado puede proveer el nivel del bien público que satisface las condiciones de eficiencia de Pareto (Tresch, 2002).
La teoría del federalismo fiscal refina este argumento al hacer énfasis en la relación entre el gobierno central y los gobiernos subnacionales en la provisión de bienes públicos locales (Oates, 1972). En particular, un bien público cuyas externalidades están contenidas en la localidad puede ser provisto eficientemente por un sistema de gobiernos subnacionales. Sin embargo, si el bien público muestra externalidades regionales, como en el caso del gasto en investigación y el gasto en defensa nacional, el bien público sólo es provisto de manera eficaz por un gobierno central (Oates, 1972 y 1999).
Brennan y Buchanan (1980) señalan que el gobierno no es necesariamente controlado por planificadores benevolentes. Es posible que la competencia electoral (o la competencia por formar el gobierno) ejerza una influencia sobre los diseñadores de política pública. Si este es el caso, es importante preguntar: ¿cuáles son los determinantes de los bienes públicos en un sistema de gobiernos subnacionales? Esta tarea es relevante, ya que el conocimiento de los determinantes del gasto subnacional permite un mejor entendimiento del papel del Estado y la política fiscal en la economía.
El objetivo principal de este trabajo es identificar factores políticos y económicos que permitan explicar la distribución de la provisión de bienes públicos locales cuando hay externalidades regionales del gasto del gobierno.1 Las externalidades regionales se derivan de la propiedad de la no exclusividad y la no rivalidad en el consumo de bienes públicos. Por ejemplo, en una federación con dos estados, la propiedad de la no rivalidad implica que la provisión de un bien público en el estado 1 podría beneficiar a los residentes del estado 22 La propiedad de la no exclusividad de los bienes públicos sugiere que un residente del estado 1 podría no ser excluido del consumo de los bienes públicos ofrecidos a los residentes del estado 2.
En este artículo se desarrolla un modelo electoral de votos probabilísticos para racionalizar la provisión de bienes públicos locales con externalidades (beneficios) regionales en un sistema descentralizado de gobiernos locales autónomos.3 Las propuestas que se presentan en este documento pueden verificarse empíricamente sobre el papel de la distribución del ingreso y de la población en una federación, así como la caracterización del desempeño de la competencia electoral y las externalidades regionales en la provisión de los bienes públicos locales.
La utilidad del enfoque se justifica por las siguientes razones: Primero, a pesar de la creciente evidencia internacional que sugiere que los incentivos electorales y las instituciones políticas afectan el diseño de las políticas fiscales (Hettich y Winer, 1999), hay pocas aplicaciones teóricas del modelo de votos probabilísticos al análisis de la provisión de bienes públicos.
Segundo, mi modelo es empíricamente relevante; este modelo permite derivar proposiciones que pueden ser verificadas de modo empírico, ya que los resultados del modelo dependen de las preferencias y el comportamiento del electorado, los cuales pueden ser incorporados, también empíricamente, mediante las características sociodemográficas de los individuos y de las opciones de voto del electorado expresadas en las elecciones.
Tercero, mi enfoque es particularmente útil para estudiar el papel de la agregación de preferencias en la determinación del diseño de política pública. Éste es un tema que está recibiendo una mayor atención en la economía política del gasto público. Además, el problema de la agregación de preferencias está íntimamente relacionado con los temas centrales de la economía pública, que incluyen el análisis de los determinantes y la composición del gasto público.
Sin embargo, en el modelo normativo de economía pública y en el modelo de gobierno del Leviatán (Brennan y Buchanan, 1980), la agregación de preferencias es exógena, ya que las preferencias de los individuos en una economía son agregadas a través de una función de bienestar social en el caso de un planeador social y de las preferencias de un dictador en el modelo de Leviatán. En contraste, el enfoque que aquí se propone permite incorporar al análisis del diseño de política pública elementos poco estudiados por la literatura al endogeneizar la agregación de preferencias por las políticas del gobierno, ya que mi enfoque permite estudiar el proceso por el cual los diseñadores de política pública ponen mayor o menor peso relativo a determinado tipo de preferencias de los ciudadanos de una economía.
El potencial empírico del marco de análisis que se presenta en este artículo conduce a acotar su posible aplicación. Aquí se analiza el diseño del gasto gubernamental para el caso de una democracia con un sistema electoral mayoritario en el que coexisten dos partidos.4 Sin embargo, Ponce (2009a) identifica condiciones no restrictivas en las que el gasto ejercido por el gobierno es el mismo para economías con dos o más partidos compitiendo en la elección.
Lo que implica que este análisis puede utilizarse para todas aquellas democracias representativas con un sistema electoral mayoritario, las cuales implican a más de la mitad de los países del mundo. Además, el modelo también puede ser aplicado para aquellos países con un sistema electoral de representación proporcional.5
Por ello, el modelo que se presenta en este artículo tiene implicaciones empíricas para todas aquellas democracias en las que la competencia electoral es relevante.
Cabe mencionar que el régimen fiscal y la estructura de gobierno aquí estudiados son también empíricamente relevantes. La mayoría de los países desarrollados y en desarrollo mantienen una estructura de gobierno en la que los gobiernos subnacionales tienen discreción (o cierta autonomía) en el ejercicio de su gasto público y en la provisión de bienes públicos (TerMinassian, 1997).
En este artículo se ha seguido a la literatura del federalismo fiscal al ignorar el papel del gobierno federal y al considerar tan sólo un sistema autónomo de gobiernos subnacionales (para consultar algunos modelos con una estructura similar a la de este trabajo, véase Pauly, 1973; Brown y Oates, 1987; Besley y Coate, 2003). El uso de modelos con una estructura de gobierno centralizada o completamente descentralizada se debe en parte a la necesidad de simplificar el análisis matemático. Sin embargo, la razón principal de este enfoque es que permite hacer un análisis comparativo de las ventajas y desventajas de las diferentes estructuras de gobierno en la provisión de bienes públicos.6
Por último, es importante acotar la relevancia de externalidades del gasto público ejercido localmente cuando se tienen gobiernos federales que derraman presupuesto sobre todas las demarcaciones políticoterritoriales. Uno de los argumentos en favor de la provisión centralizada de bienes públicos con externalidades interregionales es que el gobierno central puede proveer eficientemente estos bienes, mientras que la provisión descentralizada es ineficiente. Sin embargo, Besley y Coate (2003) han caracterizado condiciones en las que el bienestar de la sociedad se maximiza bajo la provisión de gobiernos subnacionales, aun cuando los bienes públicos tienen externalidades interregionales.7 Este argumento justifica el desarrollo de modelos teóricos que buscan caracterizar la provisión de los bienes públicos a través de un sistema de gobiernos subnacionales.
Otra justificación importante del análisis de gasto público en un sistema descentralizado de gobiernos subnacionales es que a nivel mundial varios países han hecho grandes esfuerzos por la descentralización fiscal, lo cual se ha traducido en una mayor transferencia de la responsabilidad a los gobiernos estatales y locales en la provisión de bienes públicos, y en la redistribución del ingreso de la economía. Por último, y como se mencionó anteriormente, una justificación importante para el uso de modelos de una federación con gobiernos subnacionales es que permite hacer un análisis comparativo de las ventajas y desventajas de las diferentes estructuras de gobierno en la provisión de bienes públicos.
Una vez que se ha acotado la posible aplicabilidad teórica y empírica del presente artículo, se comentará la estructura del documento. En la siguiente sección se revisará brevemente la literatura teórica y empírica sobre el gasto del gobierno. Posteriormente, se desarrollará el modelo teórico de economía política que explica la provisión de bienes públicos en un sistema descentralizado de gobiernos estatales. La última sección incluye las conclusiones del modelo.
LA LITERATURA DEL GASTO EN BIENES PÚBLICOS
En esta sección se distinguen los diferentes modelos que intentan explicar la interacción entre la economía privada y el proceso político que explica el comportamiento racional de los diseñadores de política pública. En la tabla 1 se contrasta la racionalidad de la provisión de un bien público, el objetivo del gobierno en el diseño de la política fiscal, el papel del consumidorvotante, el papel de la información, las predicciones del modelo normativo de finanzas públicas, los modelos positivos del votante mediano y el modelo de votos probabilísticos, y el modelo del Leviatán.

En la teoría normativa, la intervención del gobierno en la provisión de bienes públicos se debe a que, en presencia de bienes públicos, el mercado no asigna eficientemente los recursos. Esta teoría asume que el gobierno es controlado por planificadores benevolentes que buscan maximizar una función de bienestar social. En particular, el análisis del federalismo fiscal hace énfasis en el papel de la estructura de gobierno en la provisión de bienes públicos.
Oates (1972 y 1999) sugiere que un sistema central de gobierno produce bienes públicos eficientes cuando los bienes públicos muestran externalidades significativas, como es el caso del gasto en educación, el gasto en defensa nacional y la redistribución del ingreso si los individuos muestran preferencias sociales, es decir, si los agentes económicos muestran preferencias sobre la distribución del ingreso (Pauly, 1973).
En contraparte, un sistema descentralizado de gobiernos locales produce bienes públicos eficientes sólo cuando el bien público no muestra externalidades interregionales. En este contexto la provisión de un bien público local representa la política ideal de una función de bienestar social utilitariana simétrica, es decir, la política ideal del individuo promedio en la entidad, o en su caso, de una función de bienestar social en la que el peso relativo de las preferencias de los individuos puede estar correlacionado con el ingreso. Si la utilidad marginal social de individuos con ingreso alto es mayor que la de individuos con ingreso bajo, entonces la provisión de un bien público es mayor a la política de gasto ideal del individuo promedio en la entidad.
En contraste con el modelo normativo del planificador benevolente, el modelo de Brennan y Buchanan (1978a, 1978b y 1980) postula a un gobierno representado por un planificador que busca maximizar sus rentas a partir de los instrumentos fiscales del Estado. Este modelo se distingue de los modelos positivos de competencia electoral determinístico y probabilístico, por la ausencia de restricciones electorales. Es decir, el planificador que busca maximizar al Leviatán tiene control completo de los instrumentos fiscales del Estado. La ausencia de restricciones electorales y el apetito del diseñador de política pública por maximizar las transferencias que se derivan del ingreso tributario llevan como conclusión lógica a un Estado robusto.8
La restricción real de un gobierno que busca maximizar al Leviatán es la capacidad del Estado de recaudar ingreso público. El análisis de Brennan y Buchanan predice que el tamaño del Estado depende de la selección de las bases impositivas, la elasticidad de los bienes a los que se aplica algún tipo de impuesto y la estructura impositiva. Bajo estas condiciones, mientras que el ingreso tributario puede ser excesivamente elevado, la provisión de los bienes públicos subnacionales puede ser menor al nivel del gasto público que maximiza una función de bienestar social utilitariana simétrica (Tresch, 2002; Samuelson, 1954).
Brennan y Buchanan (1980) predicen que si las bases tributarias son móviles (como es el caso de individuos y empresas que pueden cambiar el lugar de residencia), entonces aquellas economías con estructuras de gobierno centralizadas producen estados más robustos en relación con economías con sistemas de gobiernos subnacionales. Esto es así, ya que los gobiernos subnacionales buscan incrementar el tamaño de sus bases tributarias mediante el establecimiento de impuestos bajos. Esto, a su vez, restringe la oferta de bienes públicos en su entidad (para una revisión de esta literatura, véase Wilson, 1999; y para consultar una aplicación empírica a las finanzas públicas de los gobiernos estatales y locales del trabajo de Brennan y Buchanan véase Caplan, 2001).
El modelo del votante mediano es un modelo positivo que postula un proceso bipartidista en el que los partidos diseñan políticas públicas que buscan satisfacer las preferencias del electorado. Este modelo propone una racionalidad electoral a la provisión de bienes públicos; es decir, los partidos buscan explotar el intercambio entre el diseño de la política fiscal y los votos que el partido espera recibir en la elección. En este contexto, las preferencias de los individuos sobre el gasto público dependen de factores individuales, como el ingreso de las familias y la tecnología de transformación de bienes privados a públicos. Los políticos (o candidatos de los partidos) buscan ser elegidos, probablemente por el prestigio que implica representar al gobierno, y por tanto diseñan el gasto del gobierno que maximiza la probabilidad de ganar la elección.9
Bajo ciertas condiciones (la política fiscal es unidimensional, un sistema bipartidista, los candidatos no tienen preferencias sobre la política fiscal, quienes votan por el partido que más se acerca a sus preferencias sobre el gasto, etcétera), Downs (1957) demuestra que hay un equilibrio único y estable: los candidatos proponen el gasto público que maximiza la utilidad del votante mediano. Este modelo sugiere que la provisión de bienes públicos es, en general, ineficiente en el sentido de Pareto.
Meltzer y Richard (1981) aplican el modelo de Downs al análisis teórico del gasto público en transferencias. Los modelos empíricos que ponen a prueba el modelo del votante mediano incluyen al ingreso mediano y el impuesto pagado por el individuo mediano como variables que incrementan y reducen, respectivamente, el gasto del gobierno. Algunas aplicaciones empíricas que sugieren que el modelo del votante mediano ayuda a explicar las políticas de gasto incluyen el análisis de Meltzer y Richard (1983), Bergstrom y Goodman (1973), Borcherding y Deacon (1972) y Romer y Rosenthal (1983).
En la última década, el modelo de votos probabilísticos ha surgido como una alternativa relevante al teorema del votante mediano en la teoría de competencia electoral y el diseño de política pública. La distinción principal entre los modelos electorales determinístico y probabilístico es que este último asume que los partidos tienen información imperfecta sobre la distribución de preferencias de los votantes por la política pública.
Una característica que es importante mencionar es que el modelo de votos probabilisticos permite derivar proposiciones que pueden ser verificadas empíricamente y que dependen de las preferencias y comportamiento del electorado. Las proposiciones del modelo de votos probabilísticos pueden ser incorporadas empíricamente mediante las características sociodemográficas observables de los individuos (como la edad de los votantes, la educación, el género, la ideología política y religiosa, el ingreso, etcétera), así como de las opciones de voto del electorado expresadas en las elecciones, es decir, la decisión de votar o abstenerse y, en su caso, la decisión sobre el partido al que favorecen con su voto. Por ello, en la medida que haya información sistemática sobre las características sociodemográficas de los individuos en la economía las proposiciones teóricas derivadas por el modelo de votos probabilísticos pueden ser implementadas empíricamente.
A pesar de que el modelo de votos probabilísticos está recibiendo mayor atención de los economistas, a la fecha las aplicaciones teóricas y empíricas del modelo de votos probabilísticos son reducidas. Algunas aplicaciones teóricas y empíricas del modelo de votos probabilisticos al análisis de la política fiscal incluyen los trabajos de hettich y Winer (1988, 1999 y 2001), quienes estudian el papel de los grupos de interés en las decisiones fiscales del gobierno. Fletcher y Murray (2008) ponen a prueba la proposición que sugiere que el partido de izquierda (derecha) propone una estructura impositiva progresiva (regresiva) en los gobiernos estatales de Estados Unidos.
Una de las proposiciones sugeridas por el modelo probabilístico es que la heterogeneidad del electorado afecta las políticas públicas. Gramlich y Rubinfeld (1982) demuestran que, en efecto, la heterogeneidad de las preferencias del electorado explica el tamaño del gobierno. En particular, un incremento en la proporción de profesionistas con educación superior, de individuos mayores a 65 años, y de familias con hijos de 1 a 5 años tiende a incrementar el gasto del gobierno. Borcherding y Holsey (1997) documentan que el otorgamiento del derecho al voto a la mujer indujo un incremento en el gasto del gobierno, y Ponce (2009a) encuentra evidencia que soporta esta hipótesis para el caso del gasto estatal en México. Reed (2006) dice que los impuestos de los gobiernos estatales se incrementan (reducen) en las administraciones del partido democrático (republicano).
Sin embargo, hay poca investigación sobre el análisis de bienes públicos con externalidades que sobrepasan los límites geográficos de una entidad federativa. En este contexto, no sólo la distribución del ingreso y los precios del gasto en la entidad pueden explicar la provisión de bienes públicos. Es posible que el ingreso y los precios de los bienes públicos en los estados colindantes afecten la oferta del bien público en la entidad. Otro elemento de interés en el contexto de un sistema descentralizado es la interacción estratégica de los gobiernos subnacionales. En este trabajo se busca incorporar estos elementos en un modelo teórico del gasto del gobierno que permita desarrollar hipótesis que se pueden verificar empíricamente.
EL MODELO TEÓRICO
En esta sección se desarrollará un modelo de votos probabilísticos para racionalizar la provisión de bienes públicos en un sistema descentralizado de gobiernos subnacionales. En particular, el modelo que se presenta en este artículo hace énfasis en el papel de la heterogeneidad de preferencias de los residentes sobre la provisión de bienes públicos, el efecto de las externalidades regionales del gasto público y la interacción estratégica de los gobiernos subnacionales.
Como ya se mencionó, las diferencias de preferencias e ingreso de los individuos en una entidad federativa conlleva a un problema de decisión social sobre el ejercicio del gasto del gobierno en bienes públicos. El proceso político que resuelve las diferentes visiones de los agentes económicos sobre el papel del Estado en la economía se caracteriza por una elección estatal en la que se elige a un representante que forma al gobierno e implementa una plataforma de política fiscal.
En esta sección se desarrolla un modelo de competencia política en un sistema de dos partidos con un sistema electoral de pluralidad relativa, es decir, el partido que gana con una mayoría relativa tiene el control total para formar el gobierno e implementar la política fiscal. Ponce (2009a) relaja el número de partidos en esta economía, y extiende los resultados de este trabajo en un modelo en el que más de dos partidos compiten en la elección.
SISTEMA DE DOS PARTIDOS EN UNA DEMOCRACIA CON PLURALIDAD RELATIVA
En esta democracia dos partidos en una entidad federativa seleccionan el nivel del bien público que les permita maximizar el número de votos en la elección del estado. La estructura del modelo es la siguiente:
Supuestos
1. Los partidos Z = {L, R} en la entidad federativa i proponen simultáneamente las políticas del gasto del gobierno gLi y gRi.
2. Los votantes observan gLi y gRi y votan de acuerdo con sus preferencias sobre el nivel adecuado de bienes públicos que el estado debe proveer.
3. La elección estatal toma lugar, y el partido con la mayor pluralidad relativa forma el gobierno e implementa su propuesta fiscal sobre gasto público.
4. En la elección todos los votantes votan.
5. Los residentes no tienen movilidad.
6. Los partidos en esta economía agregan las preferencias de los residentes.
7. Finalmente, asumimos una federación con estados i y i.
8. Los votantes votan "sinceramente" (eligen su voto de acuerdo con sus preferencias sobre el gasto público).
DESARROLLO DEL MODELO
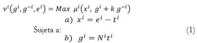
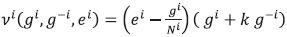
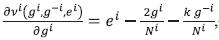
Las preferencias de los residentes están dadas por la función de utilidad indirecta vi(gi,gi,ei) donde

La condición (1) implica que
donde x 1 es el consumo de un bien privado gi + k gi,el consumo total del bien público en la entidad federativa i; g i es el gasto en el bien público ofrecido por el gobierno estatal i; el parámetro
identifica las externalidades regionales del gasto del gobierno de la entidad federativa i sobre el estado i; x i = e i ti la restricción presupuestal del individuo con ingreso e i, y g i = N i t i restricción presupuestal del gobierno estatal en la entidad i . La forma paramétrica de las preferencias sobre el consumo de bienes privados y públicos está definida por la función de utilidad CobbDouglas:
.
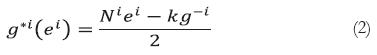
En este contexto, el nivel de gasto óptimo para un individuo con ingreso e i está caracterizado por g*l(el)
. Se asume vi(gi,gi,ei) que es una función estrictamente cóncava con respecto al gasto público, tal que
dependiendo del tamaño del gobierno, y
10 La distribución del ingreso en la entidad está determinada por la densidad
y la distribución acumulada es
.
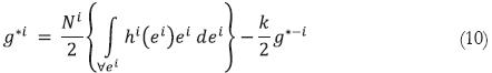
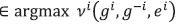
Proposición 1. El nivel ideal del bien público en la entidad i del individuovotante con ingreso e i satisface g*i(ei)
, sujeto a:
, tal que11

Demostración. La condición de primer orden para el problema de la política de gasto para el individuo con ingreso ei está determinada por
. Arreglando términos se obtiene la expresión en (2).
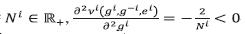
Las implicaciones de la condición (2) en la proposición 1 son las siguientes: Primero, desde la perspectiva del individuo tipo ei en la entidad i, el nivel ideal del bien público g*i(ei) depende positivamente de la población en la entidad Ni, ya que si un mayor número de habitantes contribuye a financiar el bien público se reduce el costo per cápita del gasto estatal.
Segundo, el gasto ideal g*i(ei) está positivamente relacionado con el ingreso, es decir, el bien público es un bien normal.
Tercero, los votantes racionales identifican que incrementos en el grado de externalidades del gasto público entre las entidades federativas (un incremento en K), así como una mayor provisión del gasto en la entidad i, incrementa el consumo del bien público en la entidad i, y reduce el tamaño ideal del bien público del individuo tipo ei.
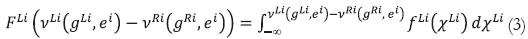
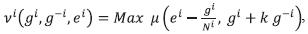
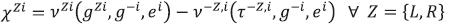
En esta economía los partidos Z = {L, R) compiten por votos en su distrito al seleccionar el nivel del bien público que maximiza la proporción de votos que el partido Z = {L, R} espera recibir en la elección. Bajo las plataformas políticas de los partidos gLi y gRi , el bienestar de un votante tipo ei es, respectivamente,
.12
El supuesto de que quienes votan lo hacen "sinceramente" (votan de acuerdo con sus preferencias sobre el gasto público), significa que el votante tipo ei en la entidad federativa i vota por el partido
si X Li < 0, el votante sufraga por el partido R, mientras que si X Li = 0 , cada uno de los partidos tiene una probabilidad de 50 por ciento de recibir el voto.
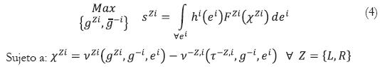
En este artículo se considera un modelo de competencia probabilística. Por ello, se asume que los partidos tienen información imperfecta sobre la distribución de las preferencias de los votantes en la entidad, y que la decisión del voto es probabilística. En este caso, la probabilidad de que un individuo tipo ei vote por el partido L tomando en cuenta las plataformas fiscales de cada uno de los partidos es13

Donde F Li(X Li) es la función de distribución acumulada sobre
y es su densidad. La proporción del voto en la elección estatal para el partido
. En una democracia en la que todos los individuos votan, maximizar la pluralidad del partido es equivalente a maximizar la proporción del voto en la elección. Por ello, el problema del diseño de política de gasto para el partido Z = {L, R} es

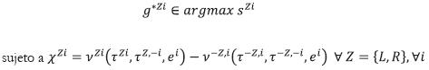
El equilibrio político se caracteriza por las decisiones de los partidos Z = {L, R}en materia de política fiscal, y por las decisiones del voto de cada uno de los individuos en el estado i, considerando como exógeno a las preferencias e ingreso de los individuos, al parámetro de externalidades del gasto de los gobiernos estatales K, y al gasto del gobierno de los estados vecinos. A continuación se caracterizará el nivel de gasto público en el equilibrio político.
Definición 1. El equilibrio electoral en esta economía está caracterizado por plataformas de gasto en bienes públicos g*zi de todos los partidos
, y decisiones de votos para cada uno de los ciudadanos residentes de los estados i, i, con ingreso
tal que:
a) Los partidos Z = {L, R}en la entidad i seleccionan la plataforma del gasto g*Zi tal que
b) El votante tipo ei en la entidad i vota por el partido L si
,
si X Zi < 0, el individuo vota por el partido R.
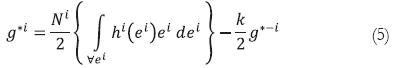
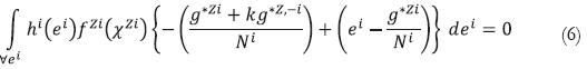
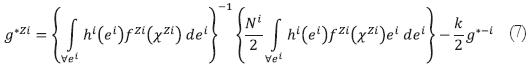
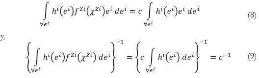
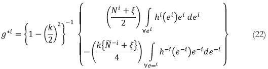
Teorema 1. En el equilibrio político de esta economía, los partidos convergen en sus plataformas fiscales, de tal manera que g*Li = g*Ri = g*i . El nivel de gasto de equilibrio en el estado i compatible con el equilibrio político está dado por

Demostración. En la elección estatal cada uno de los partidos políticos Z = {L, R} selecciona el nivel del gasto
que está sujeto a
. La condición de primer orden para
en la cual
corresponde
implica
. En el caso que,
la condición de primer orden satisface

Ordenando términos se obtiene:

Dada la simetría del problema (4), y el hecho de que los partidos L y R son iguales desde la perspectiva del votante, entonces en el equilibrio g*Li = g*R i (para una demostración más formal en un modelo general de votos probabilísticos, véase Coughlin, 1992). Un sistema común de creencias sobre
significa que
. La propiedad de convergencia en el diseño de la política fiscal para todo partido Z = {L, R} implica que

Ordenando términos se obtiene
A continuación, el teorema 2 desarrolla una serie de resultados de estática comparativa que pueden ser verificados empíricamente.
Teorema 2. En el equilibrio político global en el sistema de gobiernos estatales, las siguientes proposiciones se satisfacen.
a) La provisión del bien público en el estado i depende de la distribución del ingreso de la economía. En particular, g*i está positivamente relacionada con el ingreso promedio en el estado, y depende negativamente del ingreso promedio de los estados colindantes (estado i ).
b) La provisión del bien público en el estado i depende positivamente de la población del estado . El efecto marginal de la población sobre el gasto estatal es una función del ingreso en el estado, y el grado de las externalidades regionales del gasto del gobierno.
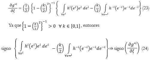
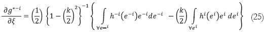
c) Una reducción en el promedio del costo per cápita de la provisión del gasto en la economía, incrementa la oferta del bien público en el estado de ingresos altos (en el estado i), si
De lo contrario, la reducción en el promedio del costo per cápita de la provisión del gasto en la economía reduce la oferta del bien público en el estado i.
d) Una reducción en el promedio del costo per cápita de la provisión del gasto en la economía puede incrementar la oferta de los bienes públicos en todos los estados, si
e) Una reducción en el costo marginal de la provisión de bienes públicos en el estado colindante i , tiene un efecto negativo sobre el gasto en el estado i.
f) Un incremento en el grado de las externalidades de los bienes públicos en el estado colindante i , tiene un efecto ambiguo sobre el gasto en el estado i.
Demostración
Condición (2.a): La provisión del bien público en el estado i depende de la distribución del ingreso de la economía. En particular, g*i está positivamente relacionada con el ingreso promedio en el estado, y depende negativamente del ingreso promedio de los estados colindantes (estado i).
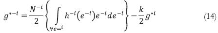
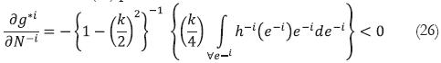
A partir de la condición de primer orden en el estado i , y como resultado de una extensión de la condición (5) en el teorema 1, se obtiene

Use (14) en (5), y reduzca términos para obtener

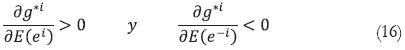
Las condiciones de estática comparativa en el teorema son una consecuencia de la expresión (15). Formalmente, los resultados de la condición (a) en el teorema 2 están caracterizadas por

Donde E(ei)se define como el ingreso promedio en el estado

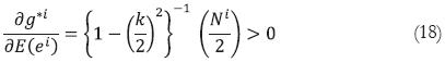
La condición (a) es verificada al obtener

Puesto que
, la condición (18) racionaliza la hipótesis de que el gasto en el estado está positivamente relacionado con el ingreso promedio en el estado.
De igual manera

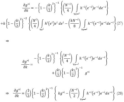
Condición (2.b): La provisión del bien público en el estado i depende positivamente de la población del estado i. El efecto marginal de la población sobre el gasto estatal es una función del ingreso en el estado, y el grado de las externalidades regionales del gasto del gobierno. Formalmente,

A partir de (15)

Condición (2.c): Una reducción en el promedio del costo per cápita de la provisión del gasto en la economía incrementa la oferta del bien público en el estado de ingresos altos (en el estado i ), si

De lo contrario, la reducción en el costo per cápita promedio de la provisión del gasto en la economía reduce la oferta del bien público en el estado i.
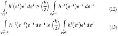
Una reducción en el promedio del costo per cápita de los bienes públicos puede ser caracterizada de la siguiente manera. Primero defina
donde
. La condición (15) se reescribe como

Un incremento en
implica una reducción en el promedio del costo per cápita de la provisión de bienes públicos en todos los estados. Es simple verificar que

La condición (24) demuestra la proposición.
Condición (2.d): Una reducción en el promedio del costo per cápita de la provisión del gasto en la economía puede incrementar la oferta de los bienes públicos en todos los estados, si


El resultado en la ecuación (23)
,
, garantizan 
Extendiendo el resultado de la expresión (23) para el caso del gasto público en el estado se obtiene

Por ello,
implica
, lo que a su vez demuestra la proposición (d) del teorema 2.
Condición (2.e): Una reducción en el costo marginal de la provisión de bienes públicos en el estado colindante i, tiene un efecto negativo sobre el gasto en el estado i.
Utilice la condición (15) para encontrar

Condición (2.f): Un incremento en el grado de las externalidades de los bienes públicos en el estado colindante i , tiene un efecto ambiguo sobre el gasto en el estado i.
Utilice la condición (15) para demostrar

En general, el grado de las externalidades de los bienes públicos en el estado colindante i, tiene un efecto ambiguo sobre el gasto en el estado i. Sin embargo, para estados en los cuales
(para estados con un gasto público bajo),
, mientras que para
la sensibilidad del gasto al parámetro de externalidades es
.
Teorema 3. En ausencia de externalidades interregionales de los bienes públicos locales, el equilibrio político global en el sistema de gobiernos estatales implica las siguientes proposiciones.
a) La provisión del bien público en el estado i depende sólo de la distribución del ingreso del estado.
b) Una reducción en el costo marginal de la provisión de bienes públicos (un incremento N i ) en el estado , tiene un efecto positivo sobre el gasto en el estado i.
Demostración. Si los bienes públicos no presentan externalidades a través de las regiones, entonces, k = 0 , y la condición (15) está determinada por

DISCUSIÓN SOBRE EL PAPEL DE LA COMPETENCIA ELECTORAL, EL DISEÑO DE POLÍTICA ECONÓMICA Y LA EFICIENCIA EN LA PROVISIÓN DE BIENES PÚBLICOS
En el presente artículo se estudia el problema del diseño de la política del gasto en bienes públicos locales para el caso de una democracia con un sistema electoral mayoritario. En este modelo, la acción colectiva se caracteriza por la provisión de un bien público con y sin externalidades interregionales. En el caso en el que los bienes públicos locales no muestran externalidades interregionales el modelo sugiere que la competencia electoral induce a los partidos (que buscan seleccionar el nivel de gasto que maximiza su probabilidad de ganar las elecciones) a proveer un bien público que satisface las condiciones de eficiencia de Pareto.
Si los bienes públicos muestran externalidades positivas interregionales, entonces los bienes públicos en una federación no son Pareto eficientes. La razón de este resultado es simple: Los procesos electorales locales fallan en agregar las preferencias de los votantes que residen en otras entidades federativas. Esto se debe a que los residentes de estados colindantes no tienen derecho a voto en el proceso electoral local. Por tanto, los partidos no tienen incentivos electorales para agregar las preferencias de los individuos que no son residentes, y la provisión de bienes públicos locales no reconoce las externalidades interregionales del gasto público.
Este resultado podría justificar el uso de elecciones federales en las que los residentes de las diferentes entidades federativas tengan derecho a voto. De esta manera, los partidos que compiten por formar el gobierno central tendrían incentivos electorales para agregar las preferencias de todos los residentes del país. Ponce (2009b) demuestra que si los partidos tienen información imperfecta sobre la distribución de las preferencias de todos los votantes, y diseñan la política fiscal que maximice la probabilidad de los partidos de ganar la elección federal (nacional), entonces el nivel del bien público con y sin externalidades es Pareto eficiente.
El modelo de competencia electoral que aquí se utiliza es diferente al modelo determinístico de Downs (1957), en el que los bienes públicos con o sin externalidades interregionales son, en general, ineficientes. La diferencia de la propiedad de la eficiencia de los bienes públicos en el equilibrio electoral entre el modelo de Downs (1957) y nuestro modelo teórico radica en el hecho de que, en el equilibrio político determinístico de Downs (1957), los partidos tienen información perfecta sobre la distribución de las preferencias de los votantes.
En el modelo de Downs (1957) sólo las preferencias del votante mediano son decisivas en el diseño de la política económica. Este resultado puede ser considerado como una falla de los partidos políticos en agregar las preferencias del resto del electorado. La falla en el proceso de agregación de preferencias puede traducirse como una provisión de bienes públicos ineficientes. En nuestro modelo probabilístico, la información imperfecta sobre la distribución de las preferencias de los votantes y la competencia electoral inducen a los partidos a tomar en cuenta las preferencias de todos los votantes. Por tanto, los bienes públicos sin externalidades interregionales son Pareto eficientes.
Por último, debería ser claro que las predicciones del modelo utilizado son sensibles a la función objetivo de los partidos. Por ejemplo, los partidos podrían tener preferencias sobre la política fiscal. Bajo este supuesto, los partidos buscarían seleccionar la política pública que maximice la utilidad de una coalición de individuos que controlan el destino del partido. En este caso, es posible que el partido no seleccione la política fiscal que beneficie a una mayoría de individuos, sino una política económica que beneficie la utilidad de un grupo de interés. Esto, por supuesto, podría tener consecuencias dramáticas sobre la eficiencia de la provisión de los bienes públicos, y el grado de representación de las preferencias de los individuos en las políticas del gobierno.
CONCLUSIONES
En la elaboración de este artículo se desarrolló un modelo teórico que hizo posible predecir el comportamiento del gobierno. En particular, el interés fue predecir la provisión de bienes públicos en una economía con un sistema descentralizado de gobiernos subnacionales autónomos cuando el gasto público muestra externalidades que traspasan los límites geográficos de las entidades federativas.
En nuestra economía, la heterogeneidad de los agentes económicos conlleva a diferentes preferencias de los individuos sobre la provisión de bienes públicos locales. Los individuos resuelven sus diferencias sobre el nivel del gasto subnacional mediante una elección en la entidad. En este artículo se desarrolló un modelo con una democracia bipartidista; el partido que gana las elecciones forma el gobierno e implementa su plataforma sobre el gasto en bienes públicos. A su vez, los individuos observan las plataformas de los partidos y votan de acuerdo con sus preferencias sobre el gasto público.
Los resultados principales del modelo son los siguientes: Primero, en el equilibrio político de esta economía los partidos convergen en sus plataformas fiscales de tal manera que el gasto del bien público ofrecido por el gobierno subnacional depende positivamente de la distribución del ingreso en la entidad y de la tecnología de transformación de bienes privados a públicos (la provisión del bien público en el estado depende positivamente de la población en la entidad, ya que una mayor población reduce el costo per cápita del bien público). El efecto marginal de la población sobre el gasto estatal es una función positiva del ingreso en el estado.
Una diferencia importante entre nuestro modelo de votos probabilísticos y el modelo del votante mediano es que, en el modelo de votos probabilísticos la competencia electoral, induce a los partidos a agregar las preferencias de todo el electorado; en contraparte, en el modelo de Downs las preferencias del votante mediano son decisivas en la determinación del gasto público. Esto significa que, en ausencia de externalidades interregionales, el gasto público estatal es Pareto eficiente en el modelo de votos probabilísticos y, en general, ineficiente en el modelo de Downs.
Segundo, debido al comportamiento estratégico de los estados subnacionales, el gasto público en la entidad depende negativamente de la distribución del ingreso y la tecnología de producción de bienes públicos de los estados colindantes.
Tercero, una mejora en la tecnología de producción de bienes públicos en todos los estados afecta de una forma asimétrica la oferta de los bienes públicos subnacionales. En particular, el modelo predice que si la diferencia del ingreso entre los estados de alto y bajo ingresos es lo suficientemente elevada, una reducción en el promedio del costo per cápita de la provisión del gasto puede incrementar la oferta del bien público tan sólo en el estado de ingreso alto. Sin embargo, para ciertas configuraciones de la distribución del ingreso en la economía, una reducción en el promedio del costo per cápita incrementa la oferta de los bienes públicos en todos los estados.
BIBLIOGRAFÍA
Atkinson, Anthony Barnes y Nicholas Stern, 1974, "Pigou, Taxation, and Public Goods", The Review of Economic Studies, vol. 41, núm. 1, Londres, London School of Economics, pp. 119128. [ Links ]
Aragon, Yves, Jean Jackes Laffont y Jackes Le Pottier, 1988, "Testing the Democratic Hypothesis in the Provision of Local Public Goods", Journal of Public Economics, vol. 36, Amsterdam, Elsevier Science Publishers, pp. 139151. [ Links ]
Bergstrom, Theodore Craig y Robert Goodman, 1973, "Private Demands for Public Goods", The American Economic Review, vol. 63, núm. 3, Pittsburg, American Economic Association, pp. 280296. [ Links ]
Besley, Timothy y Stephen Coate, 2003, "Centralized versus Decentralized Provision of Local Public Goods: A Political Economy Approach", Journal of Public Economics 87, Amsterdam, Elsevier Science Publishers, pp. 26112637. [ Links ]
Brennan, Geoffrey y James M. Buchanan, 1978a, "Tax Instruments as Constraints on the Disposition of Public Revenues", Journal of Public Economics, vol. 9, núm. 3, Amsterdam, Elsevier Science Publishers, pp. 301318. [ Links ]
Brennan, Geoffrey y James M. Buchanan, 1978b, "The Logic of Tax Limits: Alternative Constitutional Constraints to the Power to Tax", National Tax Journal, vol. 32, núm. 2, Washington, National Tax Association, pp. 1122. [ Links ]
Brennan, Geoffrey y James M. Buchanan, 1980, The Power to Tax: Analytical Foundations of a Fiscal Constitution, Cambridge, Cambridge University Press. [ Links ]
Borcherding, Thomas y Robert Deacon, 1972, "The Demand for Services of NonFederal Governments", American Economic Review, vol. 62, núm. 5, Pittsburg, American Economic Association, pp. 891901. [ Links ]
Borcherding, Thomas y Cheryl Holsey, 1997, "Why does Government's share of National Income Grow? An Assessment of the Recent Literature on the U. S. Experience", en Dennis Mueller, edit., Perspectives on Public Choice: A Handbook, Cambridge, Cambridge University Press, pp. 562589. [ Links ]
Brown, Charles y Wallace Oates, 1987, "Assistance to the Poor in a Federal System", Journal of Public Economics 32, Amsterdam, Elsevier Science Publishers, pp. 307330. [ Links ]
Caplan, Bryan, 2001, "has Leviathan Being Bound? A Theory of Imperfectly Constrained Government with Evidence from the States", Southern Economic Journal, vol. 67, núm. 4, Richmond, Virginia Commonwealth University, pp. 825847. [ Links ]
Coughlin, Peter, 1992, Probabilistic voting Theory, Cambridge, Cambridge University Press. [ Links ]
Dasgupta, Partha y Joseph Eugene Stiglitz, 1971, "Differential Taxation, Public Goods, and Economic Efficiency", The Review of Economic Studies, vol. 38, núm. 2, Londres, London School of Economics, pp. 151174. [ Links ]
Downs, Anthony, 1957, An Economic Theory of Democracy, Nueva York, Harper and Row. [ Links ]
Fletcher, Jason Michael y Matthew Murray, 2008, "What Factors Influence the Structure of the State Income Tax?", Public Finance Review, vol. 36, núm. 4, Thousand Oaks, Sage, pp. 475496. [ Links ]
Gramlich, Edward y Daniel Rubinfeld, 1982, "Micro Estimates of Public Spending Demand Functions and Tests of the Tiebout and MedianVoter Hypotheses", The Journal of Political Economy, vol. 90, núm. 3, Chicago, University of Chicago, pp. 536560. [ Links ]
Hettich, Walter y Stanley Winer, 1988, "Economic and Political Foundations of Tax Structure", American Economic Review, vol. 78, núm. 4, Pittsburg, American Economic Association, pp. 701712. [ Links ]
Hettich, Walter y Stanley Winer, 1999, Democratic Choice and Taxation: A Theoretical and Empirical Analysis, Cambridge, Cambridge University Press. [ Links ]
Hettich, Walter y Stanley Winer, 2001, "Political Influence, Economic Interests and Endogenous Tax Structure in a Computable General Equilibrium Framework with Applications to the United States, 19731983", Public Choice, vol. 109, núm. 1, Nueva York, Springer, pp. 6699. [ Links ]
MasColell, Andreu, Michael Whinston y Jerry Green, 1995, Microeconomic Theory, Nueva York, Oxford University Press. [ Links ]
Meltzer, Alan y Scott Richard, 1981, "A Rational Theory of the Size of Government", Journal of Political Economy, vol. 89, núm. 5, Chicago, University of Chicago, pp. 914927. [ Links ]
Meltzer, Alan y Scott Richard, 1983, "Tests of a Rational Theory of the Size of Government", Public Choice, vol. 41, núm. 3, Nueva York, Springer, pp. 403418. [ Links ]
Mueller, Dennis, 2003, Public Choice III, Cambridge, Cambridge University Press. [ Links ]
Oates, Wallace, 1972, Fiscal Federalism, Nueva York, Harcourt Brace Jovanovich. [ Links ]
Oates, Wallace, 1999, "An Essay on Fiscal Federalism", Journal of Economic Literature, vol. 37, núm. 3, Pittsburg, American Economic Association, pp. 11201149. [ Links ]
Pauly, Mark, 1973, "Income Redistribution as a Local Public Good", Journal of Public Economics, vol. 2, Amsterdam, Elsevier Science Publishers, pp. 3558. [ Links ]
Pogodzinsky, Michael y David Sjoquist, 1993, "Alternative Tax Regimes in a Local Public Good Economy", Journal of Public Economics, vol. 50, Amsterdam, Elsevier Science Publishers, pp. 115141. [ Links ]
Ponce Rodríguez, Raúl Alberto, 2006, "Redistribution, Efficiency and Electoral Competition", Working Paper, Atlanta, Georgia State University, pp. 147. [ Links ]
Ponce Rodríguez, Raúl Alberto [en prensa], 2009a, Competencia política y las finanzas públicas de los gobiernos estatales y locales, Ciudad Juárez, Chihuahua, Universidad Autónoma de Ciudad Juárez. [ Links ]
Ponce Rodríguez, Raúl Alberto [artículo de investigación], 2009b, "Uniform versus Differentiated Local Public Goods in a Centralized Economy", Ciudad Juárez, Chihuahua, Universidad Autónoma de Ciudad Juárez, pp. 132. [ Links ]
Reed, William Robert, 2006, "Democrats, Republicans and Taxes: Evidence that Political Parties Matters", Journal of Public Economics, vol. 90, núm. 4, Amsterdam, Elsevier Science Publishers, pp. 725750. [ Links ]
Romer, Thomas y Howard Rosenthal, 1983, "The Elusive Median Voter", Journal of Public Economics, vol. 12, núm. 2, Amsterdam, Elsevier Science Publishers, pp. 143170. [ Links ]
Rubinfeld, Daniel, 1987, "The Economics of the Local Public Sector", en Alan Auerbach y Martin Feldstein, Handbook of Public Economics, vol. II, Amsterdam, Elsevier Science Publishers. [ Links ]
Samuelson, Paul Anthony, 1954, "The Pure Theory of Public Expenditure", The Review of Economics and Statistics, vol. 36, núm. 4, Londres, London School of Economics, pp. 387389. [ Links ]
Ter-Minassian, Teresa, 1997, Fiscal Federalism in Theory and Practice, Washington, Fondo Monetario Internacional. [ Links ]
Tresch, Richard, 2002, Public Finance, a Normative Theory, San Diego, California, Academic Press. [ Links ]
Wilson, John Douglas, 1999, "Theories of Tax Competition", National Tax Journal, vol. 52, núm. 1, Washington, National Tax Association, pp. 269304. [ Links ]
1 Es relevante distinguir que el objetivo del trabajo es positivo (es decir, busca predecir el comportamiento del estado, a diferencia de la teoría normativa que busca prescribir cómo debería comportarse el estado). El enfoque positivo es diferente a los modelos normativos del gasto e impuestos óptimos que buscan justificar el papel del estado en la economía y proveer consejo a los planificadores benevolentes. Por ejemplo, a diferencia de la teoría normativa que justifica la intervención del gobierno en la economía debido a que los bienes públicos inducen a una falla de mercado, en nuestro modelo de competencia electoral los diseñadores de política fiscal tienen incentivos electorales para explotar el intercambio entre los votos que los ciudadanos pueden entregar el día de la elección, y la provisión de bienes públicos. 2Este resultado significa que la provisión del bien público del estado 1 causa una externalidad de consumo a los residentes del estado 2.
2 Este trabajo se circunscribe dentro del marco de la teoría neoclásica. Para esta teoría un bien público satisface dos características microeconómicas: 1) La imposibilidad de exclusión en el consumo del bien; 2) La no rivalidad en el consumo del bien público; es decir, el costo de beneficiar a un usuario adicional (o costo marginal de uso) es cero. Sin embargo, ésta no es la única forma de hacer un análisis económico de los bienes públicos. Por ejemplo, para la economía institucional, en especial para la escuela de los convencionalistas franceses, un bien público lo es, no por sus características microeconómicas, sino que es resultado de un acuerdo o convención social. Agradezco a un lector anónimo la observación de esta nota.
4 En este contexto, si un partido gana la elección con una mayoría absoluta o relativa el partido puede implementar su plataforma de política pública, ya que el partido tendrá los votos necesarios en la legislatura para implementar sus políticas. Además, es pertinente mencionar que el análisis de este artículo de una economía con dos partidos obedece a la necesidad de considerar supuestos que simplifiquen el desarrollo matemático.
5 Si el partido vencedor en las elecciones gana por una mayoría absoluta, entonces este trabajo tiene aplicaciones directas a aquellas economías con un régimen de representación proporcional. Si el partido gana con una mayoría relativa, entonces este trabajo debe extenderse para incorporar la negociación legislativa que toma lugar después de las elecciones en democracias con un sistema electoral de representación proporcional.
6 El estudio del gasto público y la estructura de gobierno es uno de los temas centrales de la teoría del federalismo fiscal (Oates, 1972 y 1999).
7 En particular, Besley y Coate (2003) utilizan el modelo de Oates (1972), en el cual una estructura de gobierno centralizada debería proveer los bienes públicos locales cuando en la economía se observa un elevado grado de homogeneidad en las preferencias de los individuos y los bienes públicos muestran externalidades interregionales. En contraparte, una estructura de gobierno descentralizada debería proveer los bienes públicos que no muestran externalidades interregionales cuando hay heterogeneidad interregional en las preferencias por gasto de los individuos. Sin embargo, el análisis de Besley y Coate también sugiere que es socialmente deseable que un sistema de gobiernos subnacionales provea bienes públicos locales con externalidades si la heterogeneidad de preferencias interregional es significativa.
8 En el modelo de Leviatán el análisis de bienes públicos se caracteriza por la selección del ingreso tributario y la provisión de un bien público que maximiza Y = (1 a)R, donde R es el ingreso tributario, a es la proporción del ingreso tributario que financia la provisión del bien público, y Y = (1 a)R las transferencias que se puede apropiar el diseñador de la política fiscal (Brennan y Buchanan, 1978a).
9 Los candidatos en los partidos también podrían tener otras razones para postularse; por ejemplo, los candidatos podrían tener preferencias sobre las políticas públicas. En este caso, los candidatos buscarían ganar elecciones para implementar las políticas que maximicen su bienestar (Mueller, 2003).
10 Para ver que vi(gi,gi,ei)es estrictamente cóncava respecto de giutilice las restricciones en (1) para obtener
. Por ello,
; y ya que
.
11 La maximización de la política fiscal en la proposición 1 permite conocer los determinantes de la política fiscal ideal de cada uno de los votantes. La información en la proposición 1 posibilita tener una mejor idea sobre los probables conflictos que surjan entre los votantes sobre el diseño de la política pública. En realidad, una de las contribuciones de los modelos de equilibrio electoral es que estos modelos pueden proporcionar alguna solución al problema de la agregación de preferencias en una democracia.
12 Observe que el nivel del gasto en el distrito i es considerado exógeno.
13 Por cuestiones de espacio, en algunas ocasiones se utilizará
.

















