Introduction
The Tropical Cloud Montane Forest (TMCF), also known as cloud forest, is an ecosystem that occupies an estimated 0.5 to 1% of Mexico's territory (Williams-Linera, 2012) and is nevertheless characterized by a high degree of specific diversity and a significant endemism (Villaseñor, 2016). The cloud forest species composition is heterogeneous and comprises three strata: trees, shrubs, and herbaceous species (Williams-Linera et al., 2013). The tree stratum is characterized by the presence of individuals whose height varies between 20 and 30 m, with some individuals reaching up to 40 m (Williams-Linera, 2012). The shrub stratum is of particular importance because it constitutes the base of food webs and offers refugia to a large part of the fauna (Ellum, 2009). In a study conducted in cloud forest communities in the central region of Veracruz, Velázquez-Escamilla et al. (2019) reported that 50-60% of the species producing fleshy fruits are located within the shrub stratum, generating abundant resources for seed dispersers. Regrettably, TMCF is experiencing a severe loss of vegetation cover due to anthropogenic disturbances, which have resulted in the complete or partial elimination of extensive areas of vegetation. In response to this ongoing loss and in acknowledgement of their exceptional biological value, efforts are underway to restore and recreate TMCF across their former range (Montes-Hernández and López-Barrera, 2013; Toledo-Aceves et al., 2021).
Successful restoration often relies on the use of tree species, whereas the use of species from lower strata, such as shrub species, is infrequent. However, the use of shrubs in restoration efforts could help to create favorable microsite conditions for the establishment of late-successional species, particularly in places where environmental conditions (e.g., light, temperature, and humidity) have been considerably modified (Acero and Cortés, 2014). For instance, Toledo-Aceves et al. (2022) evaluated the role of nurse shrubs in a secondary cloud forest invaded by the fern species Pteridum arachnoideum (Kaulf.) J. Maxon. Their results showed that the shrubs used, Tithonia diversifolia A. Gray and Sambucus nigra subsp. canadensis (L.) B.L. Turner, significantly reduced fern cover and increased survival by 30% for some species, such as Meliosma alba Schltdl. and Quercus insignis M. Martens & Galeotti. However, knowledge about their propagation and management is scarce (but see Vázquez-Yanes and Batis, 1996; Bonfil and Trejo, 2010; Gelviz-Gelvez et al., 2020). This lack of knowledge represents a problem, since adequate information regarding the propagation of native flora is essential to the success of conservation projects, restoration, and species reintroduction (Vázquez-Yanes and Batis, 1996; Bonfil and Trejo, 2010; Núñez-Cruz et al., 2018). Therefore, knowing the germinative requirements of native shrubs is the first step to achieve their successful propagation and potential use for restoration.
In general, germination rates of each species are determined by biotic factors, such as predators and pathogens, and abiotic factors, such as light intensity, water, and temperature (Pérez-Hernández et al., 2011). Thus, germination is possible when seeds find suitable conditions. Another important aspect to consider is seed dormancy, defined as the inability of a seed to germinate even if it is in suitable conditions, a characteristic that ensures the survival of species in unfavorable conditions (Figueroa et al., 1996).
There are some pre-germinative treatments that aim to break the latency in seeds, such as imbibition, scarification, and stratification (Román et al., 2012). The imbibition treatment is one of the most common pre-germinative treatments, due to its effectiveness (Herrera et al., 2011; Pérez Mendoza et al., 2016). In addition to the ease of application and low cost, this treatment softens the seed coat and removes chemical inhibitors, also promoting the absorption of water activating seed metabolism that allows a greater number of seeds to reach the same level of hydration, obtaining uniformity in the percentage of germination (Sánchez et al., 2007).
We evaluated seed germination in eight native shrub species abundant in a Tropical Montane Cloud Forest in southeast Mexico. These species have ecological attributes that make them suitable for potential use in ecological restoration-high frequency, considerable land cover and a high level of sociability. The latter attribute denotes the distribution pattern and ability of a species to associate with others rather than forming pure stands (Gutiérrez and Squeo, 2004; Badano et al., 2006; Hillebrand et al., 2008; Wittaker, 2012). These ecological characteristics can facilitate the establishment of species in advanced successional stages (Gelviz-Gelvez et al., 2015; 2020) and positive interaction with mycorrhizal fungi (Camargo-Ricalde et al., 2002; Montaño-Arias et al., 2008). Given the potential role of these species in restoration, it is important to test whether their seeds are tolerant to different temperatures and whether pre-germinative treatments affect their germination. We hypothesize that under constant temperature conditions (i.e., germination chamber) and exposed to a pre-germinative treatment, seeds will germinate more quickly and in higher proportions than seeds, exposed to temperature variations and without any pre-germinative treatment. This study may help further our understanding of the recruitment of valuable species for restoration and may help select those most suitable for germination under different temperature conditions.
Materials and Methods
Study area
We collected seeds of the selected shrub species in the ‘‘Santuario del Bosque de Niebla’’ (SBN) reserve, located in Xalapa, Veracruz, Mexico (19°30'047.80´´N, 96°56´15.93´´W; 1250 m a.s.l.) (Fig. 1). The SBN is a fragment of TMCF (30 ha) that presents different successional stages including open areas, secondary vegetation, and remnants of old-growth forest (Atondo-Bueno et al., 2018). During the first half of the last century, parts of the SBN were occupied as shade to coffee plantation, where coffee and citrus replaced the understory vegetation. Since 1975, however, the area was protected, and forest recovery took place through elimination of coffee and citrus and allowing natural succession (Atondo-Bueno et al., 2018). The local climate is temperate humid with an average annual temperature of 18.7 °C and mean annual rainfall of 1671 mm, the soil is classified as Andesite (Williams-Linera et al., 2013). The vegetation cover is dominated by Quercus xalapensis Bonpl., Q. germana Schtdl. & Cham., Carpinus tropicalis (Donn. Sm.) Lundell, Clethra macrophylla M. Martens & Galeotti, Liquidambar styraciflua L., and Turpinia insignis Tul. (Williams-Linera et al., 2013).
Shrub species
We selected eight shrub species typical of TMCF and of ecological importance in these communities, given their high abundance and potential role in ecological restoration (cover, density, frequency, and sociability), availability of fruits, and location in forest clearings (Gelviz-Gelvez et al., 2020). The species meeting these criteria were: Conostegia xalapensis D. Don., Hoffmannia excelsa K. Schum., Hybanthus glaber (Dowell) Standl., Miconia desmantha Benth., M. mexicana Naudin, Moussonia deppeana (Schltdl. & Cham.) Klotzsch ex Hanst., Hamelia patens Jacq. and Piper lapathifolium Steud. (Table 1).
Table 1: Seed classification according to their behavior during drying and storage of the eight shrub species collected at ‘‘Santuario del Bosque de Niebla’’ reserve, located in Xalapa, Veracruz, Mexico.
| Family | Species | Fruit type | Seed type |
| Melastomataceae | Miconia desmantha Benth. | Berry | Orthodox (Silveira et al., 2013) |
| Melastomataceae | Miconia mexicana Naudin | Berry | Orthodox (Silveira et al., 2013) |
| Melastomataceae | Conostegia xalapensis D. Don. | Berry | Orthodox (Silveira et al., 2013) |
| Rubiaceae | Hoffmannia excelsa K. Schum. | Berry | Orthodox (Personal obs.) |
| Rubiaceae | Hamelia patens Jacq. | Berry | Orthodox (Personal obs.) |
| Piperaceae | Piper lapathifolium Steud. | Drupe | Recalcitrant (Delgado-Paredes et al., 2012) |
| Gesneriaceae | Moussonia deppeana (Schltdl. & Cham.) Klotzsch ex Hanst. | Capsule | Recalcitrant (Brechú-Franco et al., 2018) |
| Violaceae | Hybanthus glaber (Dowell) Standl. | Capsule | Recalcitrant (Personal obs.) |
Experimental design
We visited the SBN twice a month between May and June 2020 to collect mature fruits from eight native shrub species (Table 1). Overall, five fruits were collected from five healthy individuals per species; in the case of Hybanthus glaber, we collected 50 fruits per individual and transported them to the laboratory in labeled paper bags. To determine the seed extraction method, harvested fruits were classified as dehiscent and fleshy (Sierra-Escobar et al., 2020). Thus, for dehiscent fruits, we allowed the natural release of seeds at room temperature, whereas for fleshy fruits, we cleaned the seeds in a container with water. After seed cleaning, viable seeds were selected according to the flotation method and submerged for 24 h (Varela and Arana, 2010). Seeds obtained were stored in paper bags at room temperature for later use in germination tests.
We applied a pre-germination treatment to seeds, after a week of seed collection, by imbibing them for 12 h in tap water. Seeds of the eight selected species were placed in Petri dishes with three layers of filter paper (Whatman No. 1) as a substrate for germination. The experiment consisted of a control treatment (seeds with no pre-germination treatment) and an imbibed seed treatment. Ten replicates were conducted, with 30 seeds per petri dish, for a total of 300 seeds per species per treatment (600 seeds per species in both treatments) for a total of 1200 seeds per species in both germination conditions, and germination was compared between greenhouse (commercial greenhouse with a plastic cover to filter sun light) and germination chamber (Thermo Fisher Scientific, Model TFFU2065FWA, Marietta, USA) conditions.
Under greenhouse conditions, seeds were subjected to a fluctuating temperature of 15±1.85 to 48±3.25 °C and a photoperiod of 10 h of light and 14 h of darkness, while in the germination chamber, temperature was constant at 25 °C under a photoperiod of 12 h of light and 12 h of darkness. We assessed germination when the emergence of the radicle was >0.5 mm (Bandara et al., 2019). The number of germinated seeds was recorded daily for 60 days, starting the day after setting up the experiment. This procedure involved using entomological tweezers and a stereoscopic microscope (Leica EZ4HD, Heerbrugg, Swiss) for precise observation and measurement.
Data analysis
We calculated the total percentage of germination for each species under each condition, the number of days for the start of germination, the number of days to reach 50% germination (t50), and the germination rate for each species using the “germinationmetrics” package (Aravind et al., 2023). Additionally, for each species we constructed germination accumulation curves.
We used analysis of variance (ANOVA) to evaluate differences in the germination of seeds with pre-germination treatment (imbibition) compared to control treatment, and a second ANOVA to evaluate differences in germination between both conditions (i.e., greenhouse and germination chamber). We ran a Tukey HSD test to detect differences between pairs of means. Data was transformed using arcsine to achieve normality and homogeneity (Burgos-Hernández et al., 2014). Finally, cumulative germination curves of each species were used to compare the effect of temperature and light on seed germination using non-parametric Kaplan-Meier analysis. Data analysis was performed using the statistical program R v. 4.4.2 (R Core Team, 2022).
Results
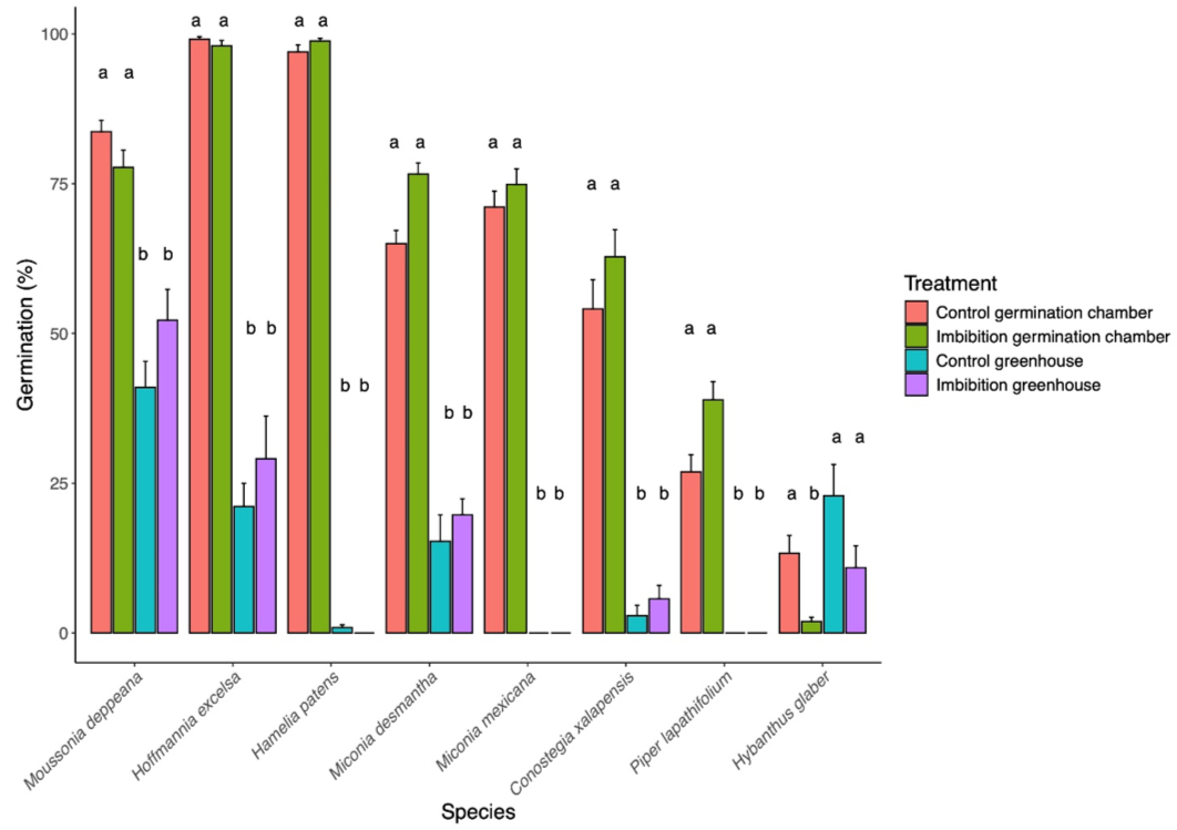
Overall, the germination percentages registered in the germination chamber were higher (F 1,318 =321.9, P<0.001; Fig. 2), except for H. glaber, which showed higher percentages in greenhouse conditions (Fig. 3). Germination of seeds of Hoffmannia excelsa (99%±0.51; mean±standard error) and Hamelia patens (99%±0.54) in germination chamber conditions in both treatments was plentiful. M. deppeana also showed high germination response (84%±1.82). At the other extreme, treated seeds of H. glaber and untreated seeds of Piper lapathifolium had the lowest germination percentages (2%±0.74 and 27%±2.83, respectively). On the other hand, in the greenhouse, untreated seeds of Moussonia deppeana (52%±5.17) and treated seeds of H. excelsa (29%±7) had the highest germination percentages, whereas Miconia mexicana and P. lapathifolium showed no germination response (Fig. 3).

Figure 2: Influence of treatment (control, imbibition) and germination condition (i.e., germination chamber, greenhouse) on germination percentage (mean ± standard error) of all individuals of eight shrub species.

Figure 3: Germination percentage (mean± standard error) of eight shrub species collected at ‘Santuario del Bosque de Niebla’’ reserve, located in Xalapa, Veracruz, Mexico, by treatment (control, imbibition) and in each germination condition (i.e., germination chamber; greenhouse). Means followed by the same letter are not significantly different at P=0.05 (Tukey HSD test).
Pre-germination treatment had no effect on the germination of shrub species under either condition (F 1,158 =0.255, P=0.615; Fig. 3). However, H. patens and C. xalapensis showed a positive response to the imbibition treatment and reached high germination percentages (99%±0.54 and 63%±4, respectively) in the germination chamber. Also, treated seeds of M. deppeana reached 52%±5.17 germination in the greenhouse (Fig. 3). In contrast, in other species, we observed higher germination percentages in untreated seeds in both germination conditions; for instance, H. excelsa achieved 99%±0.51 germination in the germination chamber and 21%±3.88 germination in the greenhouse (Fig. 3).
Beginning of germination and t₅₀
The number of days for germination initiation differed between the greenhouse and germination chamber for all species (F 1,318 =18.74, P<0.001; Table 2). Overall, germination initiation time in the germination chamber was 12±1.17 days (mean ± standard error). Species that started germination faster after sowing in the germination chamber were M. deppeana (6 days) and H. patens (6 days), for seeds with and without treatment, while untreated seeds of H. glaber and treated seeds of P. lapathifolium needed more days to germinate (16 and 18 days, respectively). On the other hand, the start of germination of all species in the greenhouse was slower, with an average of 33 ± 3.33 days (Table 2). Hybanthus glaber started germination faster (27 days); otherwise, the treated seeds of C. xalapensis required the greatest number of days to germinate (45 days). Under both conditions (i.e., germination chamber and greenhouse), initiation of germination in all species was similar in seeds with and without treatment (F 1,158 =0.002, P=0.965).
Table 2: Beginning of germination (days) (mean ± standard error) for eight shrub species collected at “Santuario del Bosque de Niebla” reserve, located in Xalapa, Veracruz, Mexico, by treatment (control, imbibition) and in each germination condition (i.e., greenhouse, germination chamber). Means followed by the same letter are not significantly different at P=0.05 (Tukey HSD test).
| Beginning of germination (Days) | ||||
| Species | Greenhouse | Germination chamber | ||
| Control | Imbibition | Control | Imbibition | |
| Moussonia deppeana (Schltdl. & Cham.) Klotzsch ex Hanst. | 29±0.2b | 29±0.36b | 6±0.1a | 6±0a |
| Hoffmannia excelsa K. Schum. | 31±0.58b | 31±0.4b | 11±0.31a | 8±0.47a |
| Hamelia patens Jacq. | 37±5.65b | 0±0 | 6±0.31a | 5±0a |
| Hybanthus glaber (Dowell) Standl. | 27±0.81b | 30±4.09b | 16±3.54a | 18±4.09a |
| Conostegia xalapensis D. Don. | 42±6.48b | 45±7.86b | 11±1.02a | 8±0.50a |
| Miconia mexicana Naudin | 0±0 | 0±0 | 16±0.27a | 15±0.33a |
| Miconia desmantha Benth. | 29±3.97b | 28±0.33b | 15±0.43a | 11±0.80a |
| Piper lapathifolium Steud. | 0±0 | 0±0 | 18±1.05a | 16±0.2a |
In the germination chamber, some species reached t₅₀ a few days after sowing. For example, treated and untreated seeds of H. patens (7±0.1 days) and seeds with treatment of M. deppeana (10±0 days), whereas seeds without treatment of C. xalapensis and M. mexicana, needed more days after planting to reach t₅₀ (33±1.03 and 32±1.26 days, respectively; Table 3). Overall, the time to reach t50 for seeds placed in the greenhouse was notably extended. For example, treated seeds of C. xalapensis reached t50 at 51±8.58 days after sowing. Similarly, untreated seeds of M. desmantha reached t50 at 37±5.30 days after sowing (Table 3). No differences were found in t50 between greenhouse and germination chamber (F 1,318 =0.138, P=0.71).
Table 3: Number of days to reach 50% germination (t50) (mean ± standard error) by treatment (control, imbibition) and in each germination condition (i.e., greenhouse, germination chamber) of eight shrub species collected at ‘‘Santuario del Bosque de Niebla’’ reserve, located in Xalapa, Veracruz, Mexico. Means followed by the same letter are not significantly different at P=0.05 (Tukey HSD test).
| Species | Germination (t₅₀) | |||
| Greenhouse | Germination chamber | |||
| Control | Imbibition | Control | Imbibition | |
| Moussonia deppeana (Schltdl. & Cham.) Klotzsch ex Hanst. | 40±1.08b | 40±1.19b | 11±0.18a | 10±0a |
| Hoffmannia excelsa K. Schum. | 41±2.06b | 39±1.98b | 15±0.62a | 15±0.60a |
| Hamelia patens Jacq. | 0±0b | 0±0b | 7±0.15a | 7±0.1a |
| Hybanthus glaber (Dowell) Standl. | 36±1.44b | 33±4.65b | 24±3.42a | 21±4.23a |
| Conostegia xalapensis D. Don. | 46±7.13a | 51±8.58a | 33±1.03a | 29±1.20a |
| Miconia mexicana Naudin | 0±0b | 0±0b | 32±1.26a | 34±1.02a |
| Miconia desmantha Benth. | 37±5.30a | 33±0.88a | 35±1.09a | 31±1.14a |
| Piper lapathifolium Steud. | 0±0b | 0±0b | 26±0.72a | 25±0.63a |
Effect of environmental parameters
Temperature and light influenced the germination percentages obtained for all species. The temperature and light conditions provided by the germination chamber demonstrated efficacy in influencing both the onset of germination and the time required to achieve 50% germination (Temperature, (2=11230, P<0.0001; Light, (2=10290, P<0.0001). For example, seeds of Moussonia deppeana, Hamelia patens, and Hoffmannia excelsa germinated quickly, reaching the highest number of germinated seeds (germination peak) between 5 and 15 days (Fig. 3); in contrast, in the greenhouse, seeds of the same species germinated at a longer period and in less quantity, with germination peaks between 35 and 40 days (Fig. 4).
Discussion
Germination percentages
As expected, our results indicate that the eight shrub species evaluated exhibited improved germination response under the constant conditions of 25 °C provided by the germination chamber. The only exception was Hybanthus glaber (Violaceae), which displayed similar germination response in both the germination chamber and the greenhouse, with a small increase in seed germination in the greenhouse where temperature conditions ranged from 15 to 48 °C. Some previous studies have observed similar germination responses in species of the same botanical family. For instance, Augspurguer (1979) noted that seeds of Hybanthus prunifolius (Humb. & Bonpl.) Schuzle-Menz germinate favorably in conditions of low humidity and respond well to fluctuating temperatures. Additionally, Godefroid and Van de Vyver (2020) observed that seeds of Viola calaminaria Lej. (Violaceae) respond better to high temperatures and fluctuating temperatures. Conversely, all species exhibited low germination percentages in the greenhouse, with Miconia mexicana and Piper lapathifolium showing no germination.
Temperature is a key factor in the seed germination process, as it stimulates enzymatic activity and nutrient mobilization (Suárez and Melgarejo, 2010). Therefore, all species have optimal temperatures for high germination rates (Funes et al., 2009). For instance, Hamelia patens (99%), Hoffmannia excelsa (99%), and Moussonia deppeana (84%) reached high germination percentages in the germination chamber. This positive response in germination may also be related to the fact that all three species have seeds with soft testa (Jurado; 2013, Aguilar-Morales et al., 2022) and short dormancy (Figueroa et al., 1996). Germination studies for H. patens and H. excelsa (Rubiaceae) are scarce, no studies were found on germination under similar conditions evaluated in the present study and studies of H. patens have focused on asexual propagation (Elgimabi, 2009; Odusanya et al., 2019). However, germination studies have been conducted under nursery conditions on Hamelia axillaris Sw., where seeds were placed in peat pots on the surface of sifted soil, and 68% of germinated seeds were observed (Garwood, 1983). In the case of M. deppeana, our results are consistent with those obtained by Brechú-Franco et al. (2018) and Jurado (2013) who obtained germination of 93% for this species under laboratory conditions, both at a temperature of 25 °C and under different photoperiods, 16 h of light and 8 of darkness, and 12 h of light and 12 h of darkness, respectively.
Species of the Melastomataceae family, such as M. desmantha (77 %), M. mexicana (75 %) and C. xalapensis (63 %), showed high germination percentages at constant temperature of 25 °C. Similarly, some studies reported a better germinative response between 25 and 30 °C of some species in the Melastomataceae (Silveira et al., 2013; Escobar and Cardoso, 2015; Fernández-Sánchez et al., 2020). The results obtained for M. mexicana (75 %) are consistent with those reported by Pérez-Cadavid et al. (2018), who obtained 64 % of germination under controlled conditions, 25 °C during the day and 22 °C at night and a photoperiod of 12 h of light and 12 h of darkness. Also, Godoi and Takaki (2007) obtained 94% of germination under conditions of 12 h of light and 12 h of darkness and 25 °C temperature for Miconia theizans (Bonpl.) Cong. Otherwise, our results for C. xalapensis (63%) differ from those obtained by Sánchez et al. (2015), who observed 9% of germination in the same controlled conditions. Also, Pérez-Cadavid et al. (2018) obtained a maximum germination for C. xalapensis of 33%, under controlled conditions, 25 °C during the day and 22 °C at night and a photoperiod of 12 h light and 12 h darkness. Primary dormancy has been recorded in some species of Melastomataceae (Silveira et al., 2013), which might promote the presence of inhibitors in the testa (Oliveira-Silveira et al., 2012), a factor that may have influenced observed germination. On the other hand, the observed low germination percentages of H. patens, H. excelsa and C. xalapensis and the null germination in Miconia mexicana and Piper lapathifolium in greenhouse conditions might be related to the increase of the temperature, above the germination optimum, resulting in a delay or inhibit germination in some species (Silva et al., 2007; Silveira et al., 2013; Martínez and De la Barrera, 2020). To our knowledge this is the first study that reports germination percentages for M. desmantha, which is abundant in forest clearings.
Contrary to our expectations, the imbibition treatment did not increase seed germination in any of the eight shrub species studied. Our results showed that the germination of all species could be determined by other factors, presumably light and temperature, and not by the presence or absence of pre-germinative treatment. Some species, such as H. patens and C. xalapensis, showed a slight increase in germination percentages in seeds under pre-germination treatment in the germination chamber. However, this increase was not significant, while M. deppeana and H. excelsa, higher percentages were recorded in seeds without treatment.
Seed germination and t₅₀
The initiation of germination was significantly higher in the germination chamber than in the greenhouse for all the species. For example, H. patens, M. deppeana, and H. excelsa started germinating a few days after planting, at 5, 6, and 8 days, respectively. In addition, it was observed that H. patens reached 50% of germinated seeds (t50) 7 days after sowing, M. deppeana reached t50 at 10 days, and H. excelsa reached t50 at 15 days. The maximum germination for M. deppeana was reached in 16 days; this finding differs from those obtained by Jurado (2013) and Brechú-Franco et al. (2018), who observed that M. deppeana began germination at 15 days, reaching the maximum germination at 45 and 60 days after planting, respectively. A soft testa is reported for H. patens, M. deppeana, and H. excelsa, which might allow the absorption of water and contributed to rapid germination (Jurado, 2013; Aguilar-Morales et al., 2022).
The initiation of germination was slightly slower for H. glaber and P. lapathifolium; however, the results show a favorable response for both species. H. glaber started at 16 days and reached t50 at 23 days after planting. Some studies for species of Violaceae mention that they can take up to 41 days to reach maximum germination (Augspurguer, 1979; Godefroid and Van de Vyver, 2020). We also observed the same pattern for the maximum germination of H. glaber, which was reached at 30 days on average. Specifically, P. lapathifolium required 16 days for germination initiation and 26 days to reach t50, a pattern consistent with the findings reported by Silva et al. (2007). The mean germination time for Piper aduncum L. at a constant temperature of 25 °C was 18 days.
The Melastomataceae was the best represented botanical family in this study with three species: M. desmantha, M. mexicana and C. xalapensis. Of the three species, C. xalapensis began germination in less time, 8 days after planting and reached 50% of germination at 29 days, while M. mexicana began germination at 15 days and reached t50 at 34 days. There are studies that suggest that in species of the Melastomataceae, total germination can occur between 24 and 71 days (Pérez-Cadavid et al., 2018). In addition, it has been documented that some species of this botanical family have a hard testa which could delay the germination process (Oliveira-Silveira et al., 2012; Silveira et al., 2013). We acknowledge that the dominance of these species may be a consequence of the sampling method, since we sampled shrubs in forest gaps where these species are abundant.
Overall, in greenhouse conditions we observed a delayed germination for all species, this trend could be explained by the high temperatures observed in this condition (thermo inhibition; Hills and van Staden, 2003). For example, C. xalapensis started germination at 44 days after planting and reached t50 at 49 days. Hoffmannia excelsa showed a similar response, initiating germination at 31 days and obtaining t50 at 40 days after planting.
Effect of environmental parameters on germination
Our results confirmed that the imbibition treatment had little influence on the germination of the eight shrub species. In contrast, constant light and temperature of 25 °C provided by the germination chamber were favorable for the germination of most species; however, light variations and in particular alternating temperatures of 15 to 48 °C negatively affected germination.
These findings are consistent with previous studies on other species that occupy clearings and have seeds of similar characteristics, such as Trema orientale f. micrantha Kuntze (Montejo et al., 2002), and Guazuma ulmifolia Lam. (Muñoz et al., 2004). For these two species, satisfactory germination was observed in thermoperiods of 25 to 35 °C. However, as the temperature increased to 40 °C, the germination percentages decreased, particularly for G. ulmifolia, which lost 47 % viability of its seeds. This indicates that this temperature approaches the upper limit for germination of this species. Despite the high temperatures recorded in the greenhouse, M. deppeana obtained considerable germination percentages, which suggests that this species is tolerant to significant temperature fluctuations. This might be an advantage for this species to thrive in extreme environmental conditions (Baskin and Baskin, 2014).
The results of this study showed an important difference in the germination response between both germination conditions of the eight species evaluated. The optimal conditions for germination for most species were found to be constant light and temperature provided by the germination chamber, as this was associated with high rates of germination and generally rapid seedling development. On the other hand, the conditions of the greenhouse, including the light and alternating temperatures ranging from 15 to 48 °C, were unfavorable for most species, leading to low rates of germination and significant delays in the process. However, M. deppeana showed significant germination under these conditions as well as of H. excelsa and M. desmantha showed high germination percentages, which might suggest that these species could be suitable candidates for restoration interventions in cloud forest in central Veracruz. Furthermore, the greenhouse conditions hindered the germination of P. lapathifolium and M. mexicana.
Finally, the imbibition treatment did not significantly improve the germination response of the species in either of the two germination conditions. Specifically, the treatment had no influence on the percentage of germination, the beginning of germination, or the number of days required to reach 50% germination. These results are consistent to those reported by Viveros et al. (2015), who observed a slight increase in the germination of imbibed seeds of Enterolobium cyclocarpum (Jacq.) Griseb. To further investigate the germination response of these shrub species, it might be necessary to conduct field-based germination experiments that consider factors such as water availability, soil moisture, and the effects of varying light intensities. Additionally, examining the relationship between seeds and seedlings with nurse plants might provide valuable insights into factors (i.e., seed quality, seed dormancy, soil condition) that influence seedling survival and growth, which can be used to improve seedling establishment techniques in restoration projects (Chaneton et al., 2010). Understanding the seed germination process can provide important information regarding the specific environmental conditions required for the successful propagation of the studied species. This knowledge can inform conservation efforts by allowing managers to create strategies for optimal seed storage and handling and improve germination rates in both natural and artificial settings. Furthermore, a thorough understanding of germination requirements can guide the development of more effective restoration techniques, potentially increasing the success rates of reintroduction programs and habitat rehabilitation projects (Gelviz-Gelvez et al., 2020; Toledo-Aceves et al., 2022; Martínez-Calderón et al., 2023).
Author contributions
JMOH, MHDT and APV contributed to the conception and design of the study. The preparation of the material, data collection in the field, and data analyses were carried out by JMOH. The first draft of the manuscript was written by MHDT, with abundant input from APV. All authors critically reviewed the manuscript and commented on earlier versions. All authors read and approved the final manuscript.










text new page (beta)





