Introducción
En los bosques tropicales húmedos, las inundaciones constituyen un filtro ambiental que influye en el establecimiento de plántulas de especies arbóreas (Meli et al., 2015; Conserva et al., 2018); este filtro actúa a pesar de la existencia de un proceso de dispersión de semillas desde los bosques adyacentes localizados en áreas con suelos bien drenados hacia el interior de los fragmentos estacionalmente inundables (Pitman et al., 2014).
La hipótesis del filtro ambiental postula que las condiciones abióticas seleccionan, del conjunto regional de especies, a aquellas con atributos similares (Keddy, 1992). A medida que dichas condiciones son más severas, es decir, cuando la duración y el nivel de inundación aumentan, pueden ocurrir extinciones locales de especies incluso dentro del mismo género, lo que conduce a un agrupamiento filogenético (Webb, 2000). Un resultado de la operación del filtro ambiental es que la riqueza local de especies en los hábitats más estresantes puede ser sólo una parte de la existente en los fragmentos forestales circundantes (Kraft et al., 2015; Cadotte y Tucker, 2017).
Cuando la inundación estacional actúa como un filtro ambiental severo puede potenciar los procesos de especialización y diversificación que ocurren dentro de las zonas inundables (Wittmann et al., 2013; Luize et al., 2018) e incluso puede propiciar la dominancia de algunas especies (López y Kursar, 2007).
Para entender el efecto individual de un filtro ambiental (p. ej. inundaciones o sequía), Kraft et al. (2015) señalan que se requiere evaluar la tolerancia de las especies a factores abióticos en ausencia de otras especies competidoras. Esto permite comprender con mayor claridad el efecto de las condiciones abióticas que influyen en el desarrollo, establecimiento y reclutamiento de plántulas (Meli et al., 2015; Araújo da Paz et al., 2017; Cadotte y Tucker, 2017; Conserva et al., 2018).
La inundación estacional actúa sobre las plántulas de especies arbóreas y provoca limitaciones en su crecimiento (López y Kursar, 2003; Almeida et al., 2018), pérdida de hojas (Parolin, 2001; Schöngart et al., 2002; Hawes y Peres, 2016), disminución de la acumulación de biomasa total (Schranm et al., 2005) y también afecta negativamente la longitud de las raíces y la proporción raíz:tallo (López y Kursar, 1999). Como respuesta, algunas especies de plantas han desarrollado mecanismos, como la producción de raíces aéreas (Wittmann y Parolin, 2005), que permiten su supervivencia (De Simone et al., 2003). Estos ajustes morfo-fisiológicos brindan a las especies la posibilidad de sobrevivir en áreas temporalmente inundables (Soares et al., 2018). Los patrones y mecanismos del establecimiento de las plántulas de árboles ayudan a explicar la distribución de los individuos adultos en gradientes de inundación (Parolin, 2002), con consecuencias en la composición florística y estructura de la comunidad vegetal (Pitman et al., 2014; Assis et al., 2015; Myster, 2015; Araújo da Paz et al., 2017).
En la región sur de la Península de Yucatán, México, los fragmentos de selva inundables tienen un menor número de especies en comparación con las selvas medianas subcaducifolias circundantes y localizadas en áreas con suelos bien drenados (Duch-Gary, 1989; Martínez y Galindo-Leal, 2002; Albor-Pinto et al., 2017). El objetivo de este estudio fue evaluar el efecto del anegamiento y sequía sobre la supervivencia, el crecimiento (longitud del tallo y número de hojas) y la acumulación de biomasa en plántulas de Brosimum alicastrum Sw., una especie típica de la selva mediana subcaducifolia (Martínez y Galindo-Leal, 2002; Pennington y Sarukhán, 2005; Bonilla-Moheno y Holl, 2010) que se desarrolla en condiciones no inundables y de Psidium sartorianum (O. Berg) Nied., una especie característica de la selva baja estacionalmente inundable (Pennington y Sarukhán, 2005).
Materiales y Métodos
Selección y características de las especies
En el sur de Campeche, México, Brosimum alicastrum es abundante en los lomeríos rocosos y bien drenados en donde se desarrollan rodales de selva mediana subcaducifolia, mientras que Psidium sartorianum es abundante en las depresiones o bajos inundables conformados por rodales de selva baja subperennifolia o selva baja inundable (Miranda y Hernández X., 1963; Vega-López et al., 2003; Pennington y Sarukhán, 2005). Ambas unidades del paisaje están separadas por distancias menores a 250 metros y pueden ser claramente identificadas y delimitadas por sus atributos topográficos, geomorfológicos y edáficos (Duch-Gary, 1989; Beach et al., 2008, 2016; Dunning et al., 2016). La escasa distancia que separa dichas unidades del paisaje posibilita la dispersión de semillas desde los bajos hacia los lomeríos circundantes y viceversa; en consecuencia, brinda la posibilidad de que las especies se establezcan en el hábitat vecino o que su establecimiento pueda ser limitado por la acción de un filtro ambiental. Por tal motivo, elegimos Brosimum alicastrum y Psidium sartorianum por encontrarse en ambientes con condiciones edáficas y topográficas contrastantes (Beach et al., 2006, 2008, 2018).
Brosimum alicastrum subsp. alicastrum (Moraceae) (ramón) es una especie dominante en las selvas altas perennifolias, medianas subperennifolias y medianas subcaducifolias (Pennington y Sarukhán, 2005); se desarrolla en suelos bien drenados, sobre calizas con alta pedregosidad (Vega-López et al., 2003). Es una especie arbórea de hasta 40 m de altura, diámetro a la altura del pecho de hasta 1.5 m, tronco recto, contrafuertes grandes y bien formados, ramas ascendentes, luego colgantes, y copa piramidal y densa (Pennington y Sarukhán, 2005); la producción de sus frutos abarca tres periodos al año, durante los meses de febrero-marzo, mayo-agosto y noviembre-diciembre (FLORA DIGITAL, 2019).
Psidium sartorianum (Myrtaceae) (guayabillo, pichiche) es una especies que se desarrolla en suelos con alto contenido de arcillas, drenaje deficiente y sujetos a inundaciones estacionales (Duch-Gary, 1989; Martínez y Galindo-Leal, 2002; Palacio-Aponte et al., 2002). Psidium sartorianum, se distribuye en selvas medianas subperennifolias, selvas bajas caducifolias (Pennington y Sarukhán, 2005) y selvas bajas inundables (FLORA DIGITAL, 2019). Es una especie arbórea cuya altura fluctúa entre 10 y 15 m de altura, tronco recto, ramas ascendentes y gruesas (Sánchez, 1990); la producción de sus frutos abarca los meses de junio a diciembre (FLORA DIGITAL, 2019).
Recolecta de material
Al final de la estación lluviosa (2 de noviembre de 2017) se colectaron 1200 plántulas de cada especie, provenientes de diversos árboles padres, sin daño aparente por herbivoría en las hojas no cotiledonarías. Las plántulas de B. alicastrum (15.66±0.37 cm de altura), se colectaron en sitios de selva mediana subcaducifolia (no inundable) localizados en las coordenadas 18°33'34.88" de latitud N y 89°53'39.00" de longitud O. Para el caso de las plántulas de P. sartorianum (14.40±0.40 cm de altura) estas provinieron de un sitio con selva baja subperennifolia (inundable temporalmente), ubicado en las coordenadas 18°32'59.49" de latitud N y 89°56'24.50" de longitud O. Ambos sitios de recolecta se localizan en la Península de Yucatán en las cercanías de la localidad de Conhuas, municipio Calakmul, Campeche, México.
Establecimiento en vivero forestal
Las plántulas recolectadas se transportaron al vivero forestal del Instituto Tecnológico de Chiná, Campeche, México. Las raíces de las plántulas se limpiaron con agua corriente e inmediatamente se plantaron en macetas de plástico de 800 ml de capacidad, con 600 ml de sustrato de agrolita comercial (Agrolita-Perlita®).
Todas las plántulas se sometieron a un período de aclimatación de 30 días en el vivero forestal de tipo abierto dotado con malla-sombra de 50%. El riego se efectuó cada 48 hrs con agua embotellada. El agua utilizada presentó un pH neutro (7.0), conductividad eléctrica de 5-10 mS/cm, ambos parámetros se evaluaron con un conductímetro (Consort, Turnhout, Bélgica). Durante el período experimental se registró dentro del vivero la humedad relativa (promedio 78%, mínima 70%, máxima 82%), la temperatura mínima (promedio 19 °C, mínima 15 °C, máxima 24 °C) y la temperatura máxima (promedio 31 °C, mínima 22 °C, máxima 37 °C), utilizando un equipo multi-parámetro digital (Traceable, Texas, EUA).
Diseño experimental
El experimento se basó en un diseño completamente al azar y tuvo una duración de 120 días (8 de diciembre de 2017-8 de abril de 2018). El criterio para finalizar el período experimental fue que cualquiera de las dos especies presentara más de 90% de mortalidad, independientemente del tratamiento al que estuvieran sometidas.
Después del período de aclimatación se eligieron aleatoriamente 135 plántulas de cada especie; éstas se distribuyeron en tres grupos de 45 plántulas y a cada grupo se le asignó un tratamiento; es decir, cada tratamiento consistió de 45 plántulas, las cuales se cambiaron de posición cada 15 días a partir del inicio del experimento.
Los tratamientos fueron: (a) sequía (TS), sin riego durante los 120 días del experimento; (b) riego regular (TR), las plántulas se regaron cada 48 hrs y (c) inundado (TI), las plántulas se mantuvieron en condiciones de inundación de manera permanente, conservando el nivel del agua a 8-10 cm sobre el sustrato.
La condición de inundación se logró mediante la sumersión de la maceta de 800 ml, con múltiples perforaciones, en el interior de una maceta de 3 l. El riego de las plántulas para los tratamientos TR y TI se hizo con agua embotellada. Las plántulas se fertilizaron cada 30 días con 50 ml de solución de Hoagland, formulada para hidroponía (Hoagland y Arnon, 1950), durante los 120 días de duración del experimento (cinco aplicaciones).
Variables medidas
Las variables de respuesta se midieron a los 0, 30, 60, 90 y 120 días. La supervivencia se evaluó mediante la identificación de plántulas muertas, consideradas así cuando perdían turgencia en la yema apical, cambiaba la coloración característica de sus hojas y presentaban signos de marchitez. Para evaluar el desarrollo de las plántulas se midió, con una regla graduada en milímetros, la longitud del tallo desde la base de la planta (cuello de la raíz) hasta el ápice del tallo, y se contó el número de hojas completamente expandidas (maduras).
Al final del experimento (120 días) se cosecharon todas las plántulas que sobrevivieron y se midió, empleando una regla graduada en milímetros, la longitud de la raíz principal desde su parte distal más delgada hasta la base de la planta.
La biomasa se calculó secando, en una estufa de convección (Memmert, WISCONSIN, EUA) a 70° C durante 72 horas (Cornelissen et al., 2003) de manera separada las hojas, tallo y raíces de cada planta, y con ello se obtuvo la biomasa total, aérea (hojas y tallos) y subterránea (raíz). El peso se registró empleando una balanza analítica digital (0.001 gr, Ohaus, Nueva Jersey, EUA). La proporción raíz:tallo se obtuvo para cada planta como biomasa (g) de raíz entre la biomasa del tallo, y se utiliza para estimar la distribución de biomasa entre la raíz y el tallo (Wilson, 1988).
Análisis estadístico
El análisis de la respuesta del largo del tallo y el número de hojas de las especies a los tratamientos (TS, TR y TI), se realizó con un modelo lineal mixto de medidas repetidas en el tiempo. Debido a la naturaleza longitudinal de los datos evaluados, se empleó una matriz auto-regresiva de primer orden (Verbeke y Molenberghs, 2009). Los tratamientos se consideraron como factor fijo y el tiempo como factor aleatorio. Se empleó la suma de cuadrados Tipo III, debido a que durante el experimento el diseño se desbalanceó (Fabián et al., 2018) por la mortalidad de las plántulas. Los valores de significancia para las comparaciones pareadas (p. ej. entre tratamientos o entre tiempos) se obtuvieron con base en la corrección de Bonferroni (p<0.05); lo anterior se realizó con la función lmer de la biblioteca lme4 (Bates et al., 2015) en el programa R 3.24 (R Core Team, 2018).
Al inicio del experimento se empleó el análisis de varianza con un criterio de clasificación para evaluar si había diferencias en la altura y número de hojas de las plántulas. A partir de los 30 días de iniciado el estudio, se utilizó la prueba no paramétrica de U de Mann-Whitney para determinar diferencias (p<0.05) en la altura y número de hojas. Al final del experimento, se evaluaron las diferencias en el largo de raíz y biomasa acumulada (p<0.05) con el mismo estadístico.
Resultados
Supervivencia
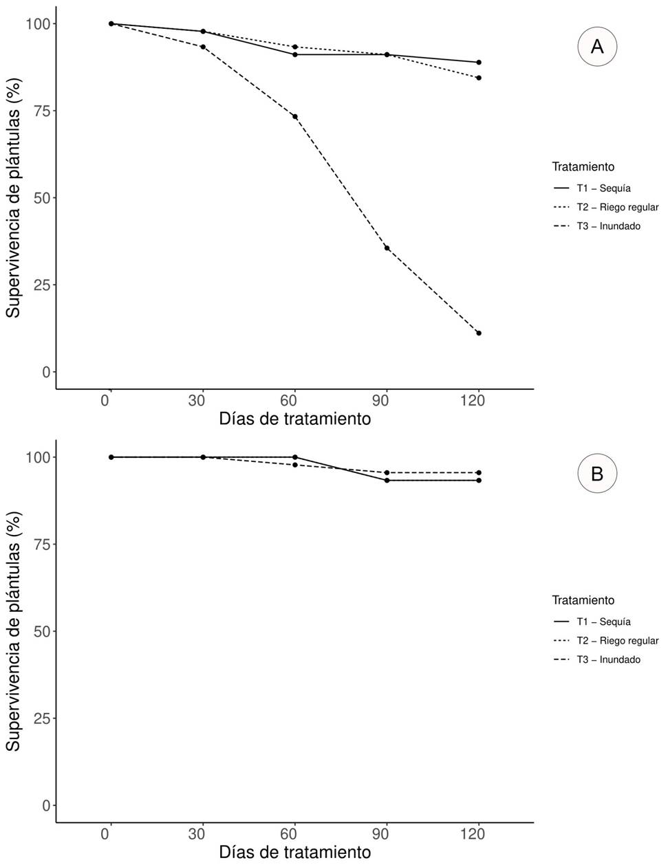
La supervivencia de las plántulas de B. alicastrum en el TI disminuyó 93% (42 plantas) a partir de los primeros 30 días y 11% (5 plantas) a los 120. En el tratamiento TS la supervivencia registrada fue de 89% (40 plantas) y en TR, de 84% (38 plantas). Por su parte, la supervivencia de P. sartorianum no se afectó en el tiempo en ningún tratamiento, ya que a los 120 días tuvo 93% de supervivencia en TS y TR, y 95% en TI (Fig. 1).
Longitud del tallo
Al inicio del experimento la longitud del tallo de las plántulas de B. alicastrum no presentó diferencias significativas (p>0.05) entre tratamientos. Sin embargo, la condición TI limitó el desarrollo de las plántulas a los 30 (p<0.05) y 60 días (p<0.05) de iniciado el experimento. La longitud del tallo a lo largo del experimento difirió entre los tratamientos TS y TI y entre TR y TI (p<0.05). Además, se encontraron diferencias significativas (p<0.0001) en la longitud del tallo entre el inicio (0 días) y el final (120 días) del experimento en cada uno de los tres tratamientos. Al finalizar el experimento, en los tratamientos TS y TR se registraron los mayores incrementos de longitud del tallo (10.41 y 10.54 cm, respectivamente) y el menor incremento en el tratamiento TI (8.61 cm; Cuadro1).
Cuadro 1: Longitud del tallo para la especie Brosimum alicastrum Sw., a los 0, 30, 60, 90 y 120 días del experimento. Los valores son la media (±1 E.E.) de una n variable para cada periodo. Las letras minúsculas señalan diferencias significativas (p<0.05) entre tratamientos de cada periodo (ANOVA: tiempo 0; Mann-Whitney, U-test: tiempos 30, 60, 90 y 120), las letras mayúsculas señalan las diferencias significativas (Mann-Whitney, U-test p<0.05) en la comparación entre el inicio (0 días) y el final del experimento (120 días) de cada tratamiento.
| Tratamiento | 0 días | 30 días | 60 días | 90 días | 120 días |
|---|---|---|---|---|---|
| Inundado (TI) | 14.89 (0.76)aA | 15.16 (0.75)b | 16.19 (0.74)b | 20.84 (0.92)a | 23.50 (2.01)aB |
| Sequía (TS) | 15.94 (0.56)aA | 17.55 (0.53)a | 20.57 (0.57)a | 22.45 (0.60)a | 26.35 (0.63)aB |
| Riego regular (TR) | 16.14 (0.56)aA | 17.56 (0.59)a | 18.96 (0.66)a | 21.47 (0.74)a | 26.68 (0.63)aB |
En Psidium sartorianum no se encontraron diferencias significativas entre tratamientos sobre la longitud del tallo al inicio (p>0.05) ni en las comparaciones realizadas en cada uno de los tiempos subsecuentes a lo largo del experimento. Se encontraron diferencias al comparar la longitud del tallo entre el inicio (0 días) y el final (120 días) del experimento en cada uno de los tres tratamientos: TS (p<0.0001), TR (p<0.0001) y TI (p<0.001). En los tratamiento TS y TR se registraron los mayores incrementos de longitud del tallo (4.81 y 3.87 cm, respectivamente) y el menor incremento en el TI (3.17 cm; Cuadro 2).
Cuadro 2: Longitud del tallo para la especie Psidium sartorianum (O. Berg) Nied., a los 0, 30, 60, 90 y 120 días del experimento. Los valores son la media (±1 E.E.) de una n variable para cada periodo. Las letras minúsculas señalan diferencias significativas (p<0.05) entre tratamientos de cada periodo (ANOVA: tiempo 0; Mann-Whitney, U-test: tiempos 30, 60, 90 y 120), las letras mayúsculas señalan las diferencias significativas (Mann-Whitney, U-test p<0.05) en la comparación entre el inicio (0 días) y el final del experimento (120 días) de cada tratamiento.
| Tratamiento | 0 días | 30 días | 60 días | 90 días | 120 días |
|---|---|---|---|---|---|
| Inundado (TI) | 15.52 (0.65)aA | 15.86 (0.67)a | 16.67 (0.76)a | 17.66 (0.74)a | 18.69 (0.76)aB |
| Sequía (TS) | 13.53 (0.74)aA | 14.50 (0.79)a | 15.26 (0.81)a | 16.07 (0.84)a | 18.34 (0.86)aB |
| Riego regular (TR) | 14.16 (0.68)aA | 14.94 (0.67)a | 15.57 (0.69)a | 15.97 (0.73)a | 18.03 (0.73)aB |
Número de hojas
Al inicio del experimento las plántulas de B. alicastrum (Cuadro 3) y P. sartorianum (Cuadro 4) no presentaron diferencias (p>0.05) en el número de hojas entre las plántulas asignadas a los tratamientos. A partir de los 30 días de iniciado el experimento, el tratamiento TI limitó el incremento en el número de hojas en las plántulas de B. alicastrum (Cuadro 3) y P. sartorianum (Cuadro 4). En ambas especies se encontraron diferencias entre los tratamientos a lo largo del tiempo; para B. alicastrum las comparaciones entre los tratamientos TS-TI y TR-TI fueron diferentes (p<0.0001); mientras que en P. sartorianum la comparación entre los tratamientos TR-TI fue significativa (p<0.05). De igual manera, se registraron diferencias en el número de hojas entre el inicio (0 días) y el final (120 días) del experimento en los tratamientos en ambas especies. Brosimum alicastrum difirió en condiciones de sequía (p<0.0001) y riego regular (p<0.0001), mientras que P. sartorianum difiere en condiciones de riego regular (p<0.05).
Cuadro 3: Número de hojas para la especie Brosimum alicastrum Sw., a los 0, 30, 60, 90 y 120 días del experimento. Los valores son la media (±1 E.E.) de una n variable para cada periodo. Las letras minúsculas señalan diferencias significativas (Mann-Whitney, U-test, p<0.05) entre tratamientos de cada periodo y las letras mayúsculas señalan las diferencias significativas (Mann-Whitney, U-test p<0.05) en la comparación entre el inicio (0 días) y el final del experimento (120 días) de cada tratamiento.
| Tratamiento | 0 días | 30 días | 60 días | 90 días | 120 días |
|---|---|---|---|---|---|
| Inundado (TI) | 2.64 (0.10)aA | 2.57 (0.11)a | 2.56 (0.13)b | 2.00(0.14)b | 2.40 (0.40)aA |
| Sequía (TS) | 2.62 (0.08)aA | 2.57 (0.22)a | 4.17 (0.23)a | 6.00 (0.25)a | 5.28 (0.23)bB |
| Riego regular (TR) | 2.58 (0.09)aA | 2.83 (0.19)a | 3.62 (0.21)a | 5.44 (0.38)a | 5.79 (0.34)bB |
Cuadro 4: Número de hojas para la especie Psidium sartorianum (O. Berg) Nied., a los 0, 30, 60, 90 y 120 días del experimento. Los valores son la media (±1 E.E.) de una n variable para cada periodo. Las letras minúsculas señalan diferencias significativas (Mann-Whitney, U-test, p<0.05) entre tratamientos de cada periodo y las letras mayúsculas señalan las diferencias significativas (Mann-Whitney, U-test p<0.05) en la comparación entre el inicio (0 días) y el final del experimento (120 días) de cada tratamiento.
| Tratamiento | 0 días | 30 días | 60 días | 90 días | 120 días |
|---|---|---|---|---|---|
| Inundado (TI) | 10.33 (0.73)aA | 9.97 (0.70)b | 11.00 (0.73)b | 11.36 (0.85)b | 9.65 (0.83)bA |
| Sequía (TS) | 11.35 (0.73)aA | 12.20 (0.85)a | 14.00 (1.00)a | 14.95 (1.20)a | 14.89(1.35)aA |
| Riego regular (TR) | 11.64 (0.76)aA | 13.66 (1.05)a | 14.68 (0.99)a | 15.18 (1.19)a | 15.58(1.37)aB |
Al finalizar el experimento las plántulas de las dos especies mostraron el mayor incremento promedio en el número de hojas en TR (B. alicastrum=3.21; P. sartorianum=3.93) y en TI se registró una disminución en el número de éstas (B. alicastrum=-0.24; P. sartorianum=-0.68; Cuadro 3 y Cuadro 4).
Longitud de raíz
La longitud de las raíces de las plántulas de B. alicastrum se redujo en las condiciones de los tratamientos TR y TI, mientras que en P. sartorianum la longitud de la raíz solamente se afectó negativamente cuando las plántulas permanecieron inundadas permanentemente. La mayor longitud promedio de la raíz se registró a los 120 días en el tratamiento TS, tanto en las plántulas de B. alicastrum como en P. sartorianum (Fig. 2).

Figura 2: Longitud de la raíz de las plántulas de Brosimum alicastrum Sw. (B.a.) y Psidium sartorianum (O. Berg) Nied. (P.s.) después de 120 días. Para B.a. los valores son la media para TS n=40 plantas, TR n=38 plantas y en TR n=5 plantas. Para P.s. los valores son la media para TS y TR n=42 plantas y en TI n=43 plantas, en ambos casos las barras verticales representan ±1 E.E. Letras distintas señalan diferencias significativas entre los tratamientos, p<0.05 (*), p<0.01 (**), p<0.001 (***), basada en la prueba de Mann-Whitney (U-test).
Biomasa (total, aérea y biomasa subterránea)
La biomasa acumulada en hojas, raíces y total en las plántulas de las dos especies resultó menor en la condición de inundación al finalizar el experimento (120 días). Asimismo, el tratamiento TI tuvo un efecto adverso en la acumulación de la biomasa aérea y de los tallos en B. alicastrum (Fig. 3). A su vez, el efecto de la inundación provocó una disminución en la relación raíz/tallo (R/T) en B. alicastrum. La relación R/T media en las plántulas de B. alicastrum en TI fue menor (0.36±0.17) respecto de TS (0.60±0.21) y TR (0.72 ± 0.52).

Figura 3: Biomasa promedio aérea, de raíces, hojas, tallo, total y proporción raíz:tallo (R/T) en las plántulas de Brosimum alicastrum Sw. (B.a.) y Psidium sartorianum (O. Berg) Nied. (P.s.) después de 120 días. Las barras verticales representan ±1 E.E. TI: Inundado, TR: Riego regular, TS: Sequía. Letras distintas señalan diferencias significativas entre los tratamientos, p<0.05 (*), p<0.01 (**), p<0.001 (***), basada en la prueba de Mann-Whitney (U-test).
Discusión
En este estudio se realizó un experimento empleando plántulas de Brosimum alicastrum y Psidium sartorianum, especies típicas de ambientes contrastantes, con el objeto de probar que en los bajos inundables el filtro ambiental es determinado por la inundación estacional. Las especies estudiadas son abundantes y representativas de hábitats contrastantes en el área de estudio: se eligieron para probar experimentalmente el efecto del anegamiento, que es un factor abiótico estresante característico de los bajos inundables (Duch-Gary, 1989; Martínez y Galindo-Leal, 2002; Palacio-Aponte et al., 2002) y que puede actuar como un filtro ambiental (Kraft et al., 2015). En diversos estudios se ha evaluado el efecto de la inundación en plántulas de especies arbóreas por un periodo igual o menor a 90 días (López y Kursar, 1999, 2003; Parolin, 2001; Araújo da Paz et al., 2017). Este estudio tuvo una mayor duración (120 días), por lo que cubrió gran parte del tiempo del periodo de inundación reportado en los bajos inundables de la Península de Yucatán (Martínez y Galindo-Leal, 2002; Palacio-Aponte et al., 2002).
El filtro ambiental impuesto por las condiciones de inundación disminuyó la supervivencia de B. alicastrum después de los 30 días de iniciado el experimento; al respecto, existe evidencia de respuestas similares de esta especie en condiciones naturales bajo inundación, originadas ya sea por la cercanía de las plántulas a las márgenes de ríos (Meli et al., 2015) o bien, por la intensidad de las lluvias producto de huracanes (Bonilla-Moheno y Holl, 2010). Por el contrario, la supervivencia de las plántulas de P. sartorianum no se afectó negativamente en ningún tratamiento a lo largo de la duración del experimento. La supervivencia observada en ambas especies en las condiciones experimentales es un reflejo de la acción del filtro ambiental en los bajos inundables, ya que B. alicastrum es dominante en selvas no inundables (Pennington y Sarukhán, 2005), mientras que P. sartorianum es una especie típica de los bajos inundables (Martínez y Galindo-Leal, 2002; Palacio-Aponte et al., 2002).
Otras especies del género Brosimum Sw., como B. lactescens (S. Moore) C.C. Berg. y B. guianense (Aubl.) Huber, al igual que B. alicastrum, se desarrollan en las porciones no inundables de los bosques de aguas blancas (várzea en Brasil (Wittmann et al., 2013; Assis et al., 2015). En el caso del género Psidium L., existen varias especies que se distribuyen en los bosques inundables de aguas blancas (várzea) y de aguas negras (igapó). Una de las especies que destacan por su tolerancia al anegamiento es P. guajava L., ya que sus plántulas pueden permanecer hasta 90 días en condiciones de inundación sin efectos adversos en su supervivencia (Araújo da Paz et al., 2017).
Por otro lado, en condiciones de sequía se ha observado que especies como P. acutangulum DC., son afectadas y muestran una alta mortalidad de plántulas, cercana a 70% (Parolin et al., 2010). No obstante, en este trabajo la especie congenérica estudiada mostró una respuesta opuesta, ya que las plántulas de P. sartorianum pudieron sobrevivir al menos 120 días en las dos condiciones experimentales que simulan el filtro ambiental determinado por la sequía e inundación sin que impacten su supervivencia (93% en TS y TR y 95% en TI). Dicha respuesta pudo derivar de la adaptación de la especie a la amplia variabilidad ambiental y a la alternancia entre periodos de sequía e inundación como los que se presentan en los bajos inundables de la Península de Yucatán (Martínez y Galindo-Leal, 2002), brindándole la posibilidad de establecerse en áreas sujetas a inundaciones estacionales, lo cual indica que P. sartorianum no se ve afectada por el filtro ambiental. Además, las respuestas observadas en este estudio contribuyen a explicar la limitada presencia de B. alicastrum en ambientes inundables (Albor-Pinto et al., 2017) y confirman los hallazgos que señalan que la inundación actúa como un filtro ambiental para las especies que se distribuyen en áreas aledañas a los bajos inundables, y cuyas semillas se dispersan al interior de los bajos sin alcanzar su establecimiento y ulterior desarrollo. Lo anterior conduce a diferencias evidentes en la composición florística de fragmentos de bosque entre los bajos inundables y las áreas de lomeríos que los circundan (Albor-Pinto et al., 2017).
El filtro ambiental (inundación) limitó el desarrollo del tallo en las especies estudiadas, tal como se ha reportado en otras investigaciones (López y Kursar, 1999, 2003; Parolin, 2001). La misma restricción al crecimiento del tallo se presenta en especies arbóreas que se distribuyen en sabanas inundables; Oliveira et al. (2015) señalan que las especies que habitan ambientes no inundables muestran una mayor susceptibilidad a las condiciones de inundación. Este escenario puede corresponder a la respuesta observada en el experimento con las plántulas de B. alicastrum.
En ambientes estresantes, en los que se presentan inundaciones frecuentes y prolongadas, las plántulas pueden mostrar rápidas elongaciones en el tallo como respuesta de escape (Parolin, 2001). Lo anterior no se presentó en las especies estudiadas. Por ejemplo, en las plántulas de P. sartorianum la longitud del tallo no tuvo incrementos, pero sobrevivieron a las condiciones de inundación, es decir, sobrevivieron a la acción del filtro ambiental. Por el contrario, se registró que la longitud del tallo fue mayor bajo condiciones de sequía y riego regular, siendo más evidente esta respuesta en B. alicastrum con un incremento medio de 10.4 cm. Las plántulas de P. sartorianum empleadas en el experimento tuvieron una longitud inicial promedio menor a 20 cm, característica semejante a las plántulas de P. acutangulum cuyas tallas no sobrepasan los 50 cm; esta especie ocurre en las porciones inundables de los bosques de aguas blancas (várzea, Parolin et al., 2003). El limitado crecimiento observado en P. sartorianum coincide con lo reportado por Wittmann et al. (2013), quienes sugieren que los hábitats inundados por largos periodos se distinguen por incluir especies con bajo crecimiento en altura, tal como ocurre con la especie estudiada y en otras presentes en los bajos inundables de la Península de Yucatán (por ej. Cameraria latifolia L., Coccoloba cozumelensis Hemsl., Croton reflexifolius Kunth, Dalbergia glabra (Mill.) Standl., Eugenia gaumeri Standl., Hyperbaena winzerlingii Standl., Jatropha gaumeri Greenm., Metopium brownei (Jacq.) Urb., Sebastiana adenophora Pax & K. Hoffm., Terminalia buceras (L.) D.C. Wright, y Terminalia molinetti M. Gómez; Lundell, 1934; Miranda, 1958; Miranda y Hernández X., 1963; Palacio-Aponte et al., 2002), posiblemente debido a la acción del filtro ambiental, tal como se muestra en este estudio.
Las plantas resistentes a inundaciones mantienen el oxígeno en las raíces, mediante la organogénesis de raíces adventicias (Sauter, 2013) y mediante el transporte de oxígeno para mantener la aireación de las raíces (Graffmann et al., 2008). Otro mecanismo consiste en retener el follaje durante la inundación ante la baja disponibilidad de oxígeno (De Simone et al., 2003). Este último mecanismo podría explicar la supervivencia de P. sartorianum, ya que las plántulas bajo las condiciones del anegamiento mantuvieron sus hojas durante los 120 días. Por el contrario, en las condiciones que simulan ambientes no inundables registramos un incremento gradual en el número de hojas, el cual inició a los 60 días en B. alicastrum y a los 30 en P. sartorianum.
La respuesta de las especies del género Psidium cuando son expuestas a condiciones de inundación varía según la especie; por ejemplo, se ha encontrado que P. ovatifolium (O. Berg) Nied. mantiene sus hojas cuando está completamente sumergida, mientras que P. acutangulum DC., pierde cerca de 90% de sus hojas y su caída inicia entre la semana 4 y 16, posterior a la inundación (Wittmann y Parolin, 1999).
En el caso de B. alicastrum se encontraron cambios en condiciones de anegamiento tal y como señalan Meli et al. (2015) y López y Kursar (1999; 2003), lo que sugiere que este factor abiótico es determinante en el desarrollo de la especie y permite suponer que su efecto como filtro abiótico es de mayor importancia que el daño causado por la herbivoría de mamíferos (filtro biótico), ya que en estos casos las plántulas tienen la capacidad de producir nuevas hojas (Ballina-Gómez et al., 2008). En este trabajo no se registró recuperación o producción de nuevas hojas en las plántulas expuestas al filtro por inundación.
Respecto al largo de las raíces, López y Kursar (1999; 2003) señalan que la inundación afecta la longitud de la raíz de las especies que habitan en ambientes no inundables y, en menor medida, a las especies que ocurren en ambientes inundables. Esto es similar a los resultados de este estudio, ya que la raíz de ambas especies fue afectada por la inundación como filtro ambiental. Por otro lado, la respuesta observada en condiciones de sequía resalta la capacidad de las especies para aprovechar el agua disponible en el subsuelo. Los árboles adultos de B. alicastrum pueden consumir el agua disponible a 2.5 m de profundidad en el subsuelo (Querateja et al., 2006); capacidad que resulta ventajosa durante la estación seca, permitiendo la adaptación de la especie a las condiciones de sequía u ocupar sitios bien drenados, donde se desarrollan las selvas de las que es un elemento típico (Pennington y Sarukhán, 2005). En este estudio, las plántulas en condiciones de sequía sostuvieron un incremento en la longitud de la raíz, además de la producción de nuevas hojas y crecimiento del tallo, y posiblemente su capacidad de resistir periodos más prolongados de sequía es mucho mayor al periodo de duración de nuestro experimento.
Los resultados sugieren que las respuestas observadas en las especies estudiadas pueden contribuir al diseño de programas de restauración y establecimiento de plantaciones en ambientes estacionalmente inundables, teniendo en consideración el efecto de la alternancia de periodos de sequía-inundación sobre el desarrollo de las plántulas y como un factor abiótico que puede actuar como filtro ambiental. En este sentido, es todavía necesario diseñar estudios que consideren el análisis del efecto sucesivo entre periodos de filtros ambientales determinados por la sequía e inundación temporal, además de estudiar a otras especies características de los bajos para profundizar en la comprensión del efecto del filtrado sobre el conjunto de especies y en consecuencia en la estructuración de los bajos inundables. Además, los escenarios de cambio climático previstos para esta región señalan una posible reducción en la precipitación (Orellana et al., 2009, Márdero et al., 2014, Estrada-Medina et al., 2016), que podría generar consecuencias negativas directas sobre el mantenimiento de la diversidad y la singularidad florística que distingue a los bajos inundables. Lo anterior refuerza la importancia de contar con un amplio entendimiento de la dinámica del filtro ambiental en ambientes estacionalmente inundables.
Conclusiones
La inundación afectó severamente la supervivencia de las plántulas Brosimum alicastrum mientras que las plántulas de Psidium sartorianum resultaron tolerantes a las condiciones de inundación y sequía. La condición de anegamiento limitó el crecimiento y acumulación de biomasa en las dos especies estudiadas. Las respuestas observadas contribuyen al entendimiento del efecto del régimen de inundación sobre el establecimiento de las plántulas en los bajos inundables; esto permite comprender la dinámica asociada a la inundación temporal en los bajos y su acción como un filtro ambiental, que explica la ausencia de B. alicastrum en dichos ambientes y su presencia en selvas con suelos bien drenados, como en los lomeríos adyacentes a las zonas inundables.
En la actualidad, en la Península de Yucatán se presenta una reducción de la precipitación que puede favorecer el establecimiento y desarrollo de especies no tolerantes a la inundación como podría ser B. alicastrum y otras especies de las selvas no inundables, por lo que en futuras investigaciones deberían incluirse otras especies que se localizan en los lomeríos adyacentes a los bajos inundables con objeto de entender los efectos del cambio climático en el establecimiento y regeneración de las selvas de la Península de Yucatán.










nova página do texto(beta)




