Introducción
La actualidad de los sistemas agroproductivos demanda cambios en las técnicas de manejo y producción de los cultivos, motivando la búsqueda de tecnologías alternativas que ayuden a producir alimentos sostenibles y seguros para su consumo. Actualmente se ha incrementado la búsqueda de productos de origen natural, biodegradables y respetuosos con el medio ambiente, que favorezcan el crecimiento y desarrollo de los cultivos (Rodríguez-Pedroso et al., 2017). El quitosano derivado desacetilado de la quitina, constituye un polisacárido ampliamente distribuido en la naturaleza como componente de la pared celular de algunos crustáceos y hongos. Es un copolímero lineal formado por unidades de glucosamina y en menor medida de N-acetil D-glucosamina unidos por enlaces β 1-4 (Sharp, 2013). Su uso en la agricultura se ha incrementado debido a su impacto en la productividad, crecimiento, y calidad de diversos frutos (Basit et al., 2020). El QuitoMax® R contiene quitosano como principio activo, se ha demostrado el incremento del rendimiento de los cultivos, incluido el pepino (González-Gómez et al., 2018; Reyes-Pérez et al., 2019b). Igualmente estimula el crecimiento y desarrollo de esta planta, así como la conservación y mejora postcosecha (Rendina, Nuzzaci, Scopa, Cuypers y Sofo, 2019). El estudio de la respuesta del cultivo del pepino a diferentes dosis de quitosano sumamente importante, es por ello por lo que el objetivo del presente trabajo fue determinar el efecto de seis concentraciones de quitosano sobre el crecimiento y producción del cultivo de pepino (Cucumis sativus L.).
Materiales y Métodos
La presente investigación se llevó a cabo en la finca “Cinco Hermanas”, ubicada en el recinto Sonia María en el km 16.5 de la vía Buena Fe - Santo Domingo de los Tsáchilas, Ecuador, entre las coordenadas geográficas 0° 45’ 10.8” S y 79° 27’ 57.9” O, a 87 m de altitud. El suelo presenta topografía irregular, poca pendiente, textura franca - arcillosa, con pH de 5.6 -7.2 y drenaje regular. El clima de la zona de estudio es tropical - monzónico, con temperatura máxima de 29 °C y mínima de 23 °C, con una media anual de 24.3 °C, precipitación anual de 1998 mm, evaporación de 1.67 mm día-1, humedad relativa de 84%, y heliofanía de aproximadamente 840 horas.
La preparación del terreno consistió en dos pases de rastra a una profundidad de 30 cm. Como material genético se utilizó el hibrido de pepino Diamante F1. Previo al establecimiento del semillero se realizó una aplicación de 1 kg ha-1 de Captan y 300 cc ha-1 de Lorsban para la desinfección del sustrato, a fin de evitar ataques de insectos plagas a nivel de semillero, así como muerte de plántulas por Damping-off.
El semillero se realizó en bandejas germinadoras de poliestireno de 128 celdas. Para el sustrato se mezcló turba, vermicompost y tamo de arroz quemados en cantidades de 5, 2 y 1 kg, respectivamente. Posteriormente, se llenaron las bandejas y se colocó la semilla a una profundidad de 3 mm y se cubrió superficialmente con mezcla de sustrato, finalmente, se cubrieron las bandejas con un plástico negro a fin de elevar la temperatura y acelerar el proceso de germinación de la semilla. Para el tutoreo se utilizaron cañas de 2.5 m de altura enterradas 0.5 m, colocándose una en cada extremo por hilera en cada parcela, se templó un alambre del número 10 a fin de ayudar al sostenimiento de la planta.
Se utilizó una distancia entre plantas de 0.5 m y de 1.0 m entre hileras. El trasplante se efectuó a los 12 días después de la siembra, en cada hoyo se adicionó 250 g de compost maduro, y 30 g de Microessentials SZ (12% Nitrogeno - 40% P202 Oxido de fosforo - 10% S Azufre - 1% Zinc) por planta.
Se realizó el aporque con tierra en la parte del cuello de la raíz para reforzar su base y favorecer el desarrollo radicular. Se instalaron dos aspersores con un diámetro de cobertura de 9.0 m, los cuales estuvieron a una distancia de 7.5 m del borde más corto del sitio experimental, y a 7.0 m entre emisores. Semanalmente se eliminaron hojas bajeras, enfermas y chupones con la finalidad de disminuir la transpiración, mejorar el aprovechamiento de la energía y nutrientes por la planta.
La fertilización consistió en la aplicación de los tratamientos a base de QuitoMax®: T1 = Testigo; T2 = QuitoMax® 100 mg L-1 ; T3 = QuitoMax® 200 mg L-1 ; T4 = QuitoMax® 300 mg L-1 ; T5 = QuitoMax® 400 mg L-1 y T6 = QuitoMax® 500 mg L-1 . , los cuales fueron aplicados a los 15, 30 y 45 días después del trasplante utilizando una aspersora de mochila, fraccionándose la dosis total de cada tratamiento en 25, 35 y 35%, respectivamente. El control de malezas se realizó manualmente utilizando machete cuando se apreció la presencia de malezas, a fin de evitar la competencia nutricional con el cultivo.
La cosecha se realizó cuando los frutos alcanzaron su madurez fisiológica (20 a 22 cm de largo) y estuvieron aptos para su comercialización.
Variables evaluadas
Longitud de las guías (cm): se midió desde el nivel del suelo hasta el ápice de la hoja más joven, esta variable se midió en 10 plantas tomadas al azar dentro de la parcela útil, a los 15, 30 y 45 días después del trasplante; Longitud del fruto (cm): en 10 plantas tomadas al azar dentro de la parcela útil; Diámetro del fruto (cm): se midió en la parte del tercio medio con la ayuda de un calibrador digital; Peso del fruto (g): esta variable se determinó en los frutos utilizados para medir las variables longitud y diámetro del fruto; Número de frutos por planta: utilizando 10 plantas al azar dentro de la parcela útil; Rendimiento (kg ha-1): se consideró el rendimiento total de las dos primeras cosechas (kg) obtenido en el área útil de cada unidad experimental para luego llevar a kg ha-1, mediante la siguiente ecuación:
Se utilizó un diseño en bloques completos al azar con tres repeticiones y mediciones repetidas en el tiempo para la variable longitud de la guía y polinomios ortogonales para determinar en conjunto con el resto de las variables en estudio. Los análisis (análisis de varianza, medias de mínimos cuadrados, pruebas de comparación múltiple de medias y polinomios ortogonales) se realizaron utilizando los tipos de software SAS (SAS Institute, 2004) y Minitab 19 (Minitab, 2019).
Resultados y Discusión
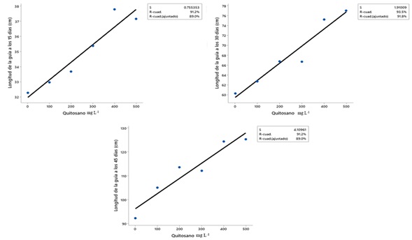
Para la variable longitud de la guía, el análisis de mediciones repetidas en el tiempo nos señala diferencia significativa (P < 0.05) entre los tratamientos y nos detecta una interacción entre el tratamiento y el tiempo. Las medias de mínimos cuadrados se presentan en el Cuadro 1, en ella se puede apreciar las diferencias entre los tratamientos en los tres tiempos estudiados (15, 30 y 45 días), también se puede detectar la interacción entre los tratamientos y el tiempo, pues a los 15 días, la dosis de quitosano de 400 mg L-1 supera y es diferente (P < 0.05) a la dosis de 500 mg L-1, mientras que, en los tiempos de 30 y 45 días, las dosis de 400 y 500 mg L-1 son iguales (P > 0.05). Estos resultados son superiores a los reportados por (Reyes-Pérez et al., 2021), quienes reportaron longitudes promedio a los 35 días, de 24.8 cm, utilizando dosis de 3 g L-1 aplicado a las variedades Invit y Racer, bajo invernadero.
Cuadro 1: Medias de mínimos cuadrados y error estándar para la variable longitud de guía en los tres tiempos de medición.
Table 1: Least squares means and standard error for the guide length variable at the three measurement times.
| Quitomax | Longitud de la guía Medias de mínimos cuadrados | ||
| 15 días | 30 días | 45 días | |
| mg L-1 | - - - - - - - - - - - - - - - cm - - - - - - - - - - - - - - - | ||
| 0 | 32.27±0.21 f | 60.27±0.82 d | 92.2±0.63 b |
| 100 | 32.97±0.21 e | 62.73±0.82 c | 105.0±0.63 c |
| 200 | 33.67±0.21 d | 66.73±0.82 d | 113.47±0.63 d |
| 300 | 35.37±0.21 c | 66.66±0.82 c | 112.03±0.63 c |
| 400 | 37.80±0.21 a | 75.20±0.82 a | 124.27±0.63 a |
| 500 | 37.17±0.21 b | 77.00±0.82 b | 125.27±0.63 b |
Valores con diferente literal dentro de columna, indican diferencia significativa (P < 0.05)
Values with different literals within the column indicate a significant difference (P < 0.05).
Las tendencias polinomiales para la longitud de la guía a los tres diferentes tiempos se presentan en la Figura 1, en ella se puede apreciar que la tendencia es lineal positiva para todos los tiempos, por lo que la mayor longitud de la guía se presenta a las dosis más altas de quitosano.
En el Cuadro 2, se puede apreciar que a partir de 200 mg L-1 y hasta 500 mg L-1, la respuesta a todas las variables fue igual (P > 0.05), pero superior a las dosis de 0 y 100 mg L-1, con excepción del rendimiento, en éste, las concentraciones de 400 y 500 mg L-1 de quitosano fueron iguales (P > 0.05), pero superiores (P < 0.05) al rendimiento obtenido con dosis menores de quitosano.
Cuadro 2: Medias y errores estándar para las variables rendimiento, número, longitud, diámetro y peso del fruto, para cada dosis de quitosano.
Table 2: Means and standard errors for the variables yield, number, length, diameter and weight of the fruit, for each dose of chitosan.
| Quitomax | Número | Longitud del fruto | Diámetro del fruto | Peso del fruto | Rendimiento |
| mg L-1 | Frutos planta-1 | - - - - - - - - - cm - - - - - - - - | g | kg ha-1 | |
| 0 | 4.42±0.23 c | 19.33±0.41 c | 4.71±0.10 c | 309.5±13.2 b | 18460±241 d |
| 100 | 4.83±0.14 bc | 19.67±0.88 bc | 4.80±0.22 bc | 400.1±47.7 ab | 20528±214 c |
| 200 | 5.28±0.07 ab | 20.87±0.29 abc | 5.09±0.07 abc | 387.1±11.7 ab | 21079±36.7 c |
| 300 | 5.57±0.08 a | 21.37±0.47 abc | 5.21±0.11 abc | 427.5±12.6 ab | 23149148 b |
| 400 | 5.79±0.07 a | 22.20±0.65 ab | 5.42±0.16 ab | 481.0±28.5 a | 26535±194 a |
| 500 | 5.85±0.03 a | 22.47±0.50 a | 5.48±0.12 a | 496.7±20.0 a | 26197±84.6 a |
Valores con diferente literal dentro de columna, indican diferencia significativa (P < 0.05).
Values with different literals within the column indicate a significant difference (P < 0.05).
El número de frutos por planta obtenidos en este estudio fue similar al obtenido por Reyes-Pérez et al. (2019a), quienes reportaron valores entre 4.3 y 5.67 como respuesta a dosis entre 100 y 300 mg L-1 de quitosano. Sin embargo, son inferiores a los encontrados por Reyes-Pérez et al. (2021), quienes obtuvieron un promedio de 6.7 frutos por planta en respuesta a dosis de 3 g L-1 de quitosano, y los informados por González-Gómez et al. (2018), con 7.1 a 10 frutos por planta, en respuesta a dosis de quitosano de 200 a 400 miligramos por litro.
La longitud del fruto en el presente estudio fue inferior al señalado por González et al. (2012), con 30.86 cm, cuando experimentaron dosis de quitosano de 200 miligramos por litro.
Valores inferiores en longitud del fruto fueron obtenidos por González-Gómez et al. (2018) y Reyes-Pérez et al. (2019b), quienes encontraron valores entre 14 y 16 cm para el primero y entre 12 y 18 cm para el segundo, con dosis de quitosano de 200 a 400 mg L-1 y de 100 a 300 mg L-1, respectivamente.
El diámetro del fruto fue similar al reportado por otros autores (González et al., 2012; Reyes-Pérez et al., 2019b), pero mayores a los reportados por González-Gómez et al. (2018) quienes reportan diámetros entre 4.3 a 4.6 cm en respuesta a dosis de 200 a 400 mg L-1 de quitosano.
Soriano-Melgar, Izquierdo, Saucedo, Cárdenas (2020), obtuvieron mayores diámetro y longitud del fruto de calabacita (Cucurbita pepo L. var. ‘Grey Zuchchini’) en respuesta a la aplicación de QuitoMax® en dosis de 10 y 20 miligramos por litro.
El peso del fruto obtenido es mayor al reportado por otros autores con diferentes concentraciones de quitosano (González et al., 2012; González-Gómez et al., 2018; Reyes-Pérez et al., 2019b; Reyes-Pérez et al., 2021). El peso de la calabacita (Cucurbita pepo L. var. ‘Grey Zuchchini’) se incrementó como respuesta a la aplicación de 5 mg L-1de QuitoMax®.
El rendimiento obtenido en este estudio es menor al obtenido por (González et al., 2012; González-Gómez et al., 2018; Reyes-Pérez et al., 2019b; Reyes-Pérez et al., 2021) en respuesta a diversas dosis de quitosano.
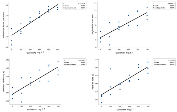
Las tendencias polinomiales para las variables número de frutos, longitud del fruto, diámetro del fruto, y peso del fruto, se presentan en la Figura 2, en ella se puede apreciar que se incrementa la respuesta de las variables, conforme se incrementa la dosis de quitosano, lo anterior concuerda con lo reportado en la literatura científica como respuesta a la aplicación de quitosano.
La tendencia polinomial de la variable rendimiento se presenta en la Figura 3, en ella se puede apreciar que al igual que el resto de las variables, el rendimiento se incrementa conforme la dosis de quitosano aumenta, es decir, el rendimiento sigue una respuesta lineal directa en función de la dosis aplicada de quitosano, esta tendencia es igual a la que se reporta en la literatura como respuesta a la aplicación del quitosano y viene a reforzar lo señalado por Du Jardin (2015) quien menciona que los bioestimulantes al aplicarse a las plantas mejoran su eficacia en absorción y similación de nutrientes, tolerancia al estrés y características agronómicas. Su efecto sobre el rendimiento se debe a provocan un incremento fotosintético y permiten la asimilación de carbono y nitrógeno, además de aportar fitohormonas (Salazar-Rodríguez, Martínez y Gallardo, 2021).
Conclusiones
El quitosano influye positivamente en el crecimiento y desarrollo de la planta de pepino, incrementando su rendimiento.
La dosis de 500 mg L-1 de quitosano presentó los mejores resultados, sin embargo, en virtud de la tendencia lineal positiva del rendimiento del pepino en respuesta a las dosis de quitosano, parece indicar que dosis mayores a 500 mg L-1 deberían ser estudiadas.










nova página do texto(beta)






