Introducción
La integración de la acuacultura con hidroponía se conoce como acuaponía, en ésta, el agua residual de la acuacultura sufre transformaciones bacterianas y como resultado puede ser utilizada como fuente de nutrientes para el crecimiento de las plantas, que al absorberlos mejoran la calidad del agua para los peces (Palm et al., 2018), produciéndose con ello alimentos de origen animal y vegetal de buena calidad nutricional (Schmautz et al., 2016). Bajo este sistema se pueden cultivar diferentes especies vegetales entre las que se encuentran las hortalizas. La lechuga (Lactuca sativa, L.) es la planta mejor adaptada a este sistema (Palm, Knaus, Appelbaum, Strauch y Kotzen, 2019), y es una de las hortalizas de mayor consumo a nivel mundial, posee propiedades nutricionales, es altamente adaptable a todas las estaciones del año, con alto rendimiento y buena productividad (Rozo y Castellanos, 2021).
En un sistema acuapónico las bacterias juegan un importante rol en el proceso de nitrificación (Kasozi, Abraham, Kaiser y Wilhelmi, 2021). El amoníaco (NH3) proveniente del alimento y la excreta animal, es convertido por las bacterias en nitrito (NO2) y después a nitrato (NO3) que es la forma elemental en que las plantas lo absorben y convierten dicho nutrimento en biomasa, estimulando así su crecimiento y desarrollo (Somerville, Pantanella, Stankus y Lovatelli, 2014; Wongkiew, Hu, Chandran, Lee y Khanal, 2017; Wongkiew, Park, Chandran y Khanal, 2018). La acuaponía, es un sistema que está limitado al uso mínimo de pesticidas, por ello es recomendable la utilización de biofertilizantes que además de promover el crecimiento y desarrollo de la planta, la protejan de patógenos (Sánchez, Vivian y Urakawa, 2019).
El quitosano es un biopolímero que se genera a partir de la desacetilación química o enzimática de la quitina procedente principalmente del exoesqueleto de muchos crustáceos, y se ha utilizado en las prácticas agrícolas para evitar enfermedades y para incrementar la rentabilidad agrícola de los cultivos (Pérez, Enríquez, Arrebato, Pedroso y Rodríguez, 2019). El empleo de alternativas ecológicas como el quitosano en el manejo de la producción agrícola, es estudiado por su alto potencial en la estimulación del crecimiento, actividad antiviral, antifúngicas y antibacterianas. Además, mejora el rendimiento de los cultivos y tienen la capacidad de formar biopelículas, que favorece la preservación de los alimentos frescos (Bautista-Baños, Hernández, del Valle, Bosquez y Sánchez, 2005).
El objetivo del presente estudio es evaluar el efecto de la concentración de quitosano sobre parámetros productivos en tres variedades de lechuga bajo un sistema circular de acuaponía.
Materiales y Métodos
La presente investigación se realizó en el invernadero de la Facultad de Ciencias Agrarias y Forestales (FCAF), de la Universidad Técnica Estatal de Quevedo, finca experimental “La María”, ubicado en el km 7.5 de la vía Quevedo - El Empalme, cantón Mocache, Provincia de Los Ríos, cuyas coordenadas geográficas son de 01° 11’ 02” S y 30° 79’ 20” O, con una altitud de 75 metros y una temperatura media anual de 24.9 °C, precipitación media anual de 2295 mm y una humedad relativa del 84%. Se utilizó un diseño completamente al azar en arreglo factorial 3×3, y tres repeticiones por tratamiento, en dónde cada repetición o unidad experimental estaba conformada por 20 plantas de lechuga.
Sistema acuapónico. El sistema estuvo conformado por tubos de PVC de 2 m de longitud y 4 pulgadas de diámetro, colocados en soportes a unos 30 cm del suelo, los cuales contenían una perforación de 2” cada 20 cm y conectados a los tanques que permiten la recirculación del agua en el sistema. El agua en el sistema proviene de reservorios (tanques) conectados a los tubos PVC y cuya agua provenía de la crianza de juveniles de tilapia roja (Oreochromis mossambicus x Oreochromis niloticus), alimentados con concentrado comercial a base de 5% de su peso vivo.
Siembra de la lechuga. La implementación del semillero se realizó en bandejas germinadoras utilizando como medio de sostén y germinación el sustrato agrícola a base de fibra de coco a una profundidad de 5 mm. El trasplante se efectuó una vez que las plántulas presentaron la tercera hoja verdadera. Se sacaron las plantas del semillero con cuidado, se lavaron las raíces minuciosamente para eliminar todo residuo del sustrato, y posteriormente las plantas fueron colocadas en vasos de plástico que contenían una esponja como sostén. Las plantas se colocaron a una distancia de 20 cm entre plantas y con una distancia entre hileras (tubos) de 40 cm. Para el riego se utilizó un sistema de recirculación del agua, de los tanques reservorios a los tubos de PVC y viceversa, este proceso de recirculación permite la incorporación de oxígeno al agua.
Tratamientos. Se probaron nueve tratamientos como resultado de la combinación de tres variedades de lechuga (Grandes Lagos, Regina 500 y Red Rock) con tres dosis de quitosano (0, 500 y 1000 mg L-1). Las dosis de quitosano fueron aplicadas mediante aspersión con un atomizador de 2 L de capacidad, bañándose completamente la planta. Se realizaron dos aplicaciones; a los 10 y 20 días después del trasplante. El control fitosanitario se realizó diariamente mediante inspección visual con el fin de determinar la presencia de insectos o enfermedades.
La cosecha se realizó dentro del área útil de cada parcela (20 plantas) en forma manual, a los 65 días después del trasplante.
Variables evaluadas. Se tomaron al azar 10 plantas por unidad experimental y se registraron las siguientes variables: Altura de la planta (cm), desde la base del tallo hasta el ápice de la hoja más alta; número de hojas; longitud de las hojas (cm), de cada planta se midieron: la longitud de 10 hojas, la distancia entre el tallo y el ápice de la hoja, peso de la planta (g) al momento de la cosecha; rendimiento agrícola se determinó mediante el peso (kg) de las lechugas en el área útil de cada unidad experimental y se extrapoló al área útil del invernadero (164.28 m2 y 666 plantas).
Análisis estadístico. Se determinó la relación entre el rendimiento con las variables altura de la planta y número y longitud de las hojas, utilizando un análisis de regresión lineal simple. El efecto de la variedad y dosis de quitosano, se determinó mediante un análisis de varianza, realizándose previamente la comprobación de normalidad, homocedasticidad e independencia de los errores, las comparaciones de medias se realizaron con la prueba de Tukey. Para el análisis del efecto de la dosis de quitosano, se utilizó un análisis de polinomios ortogonales. Los análisis estadísticos fueron realizados utilizando los softwares Minitab 19 (Minitab, 2019) y SAS (SAS Institute, 2023).
Resultados y Discusión
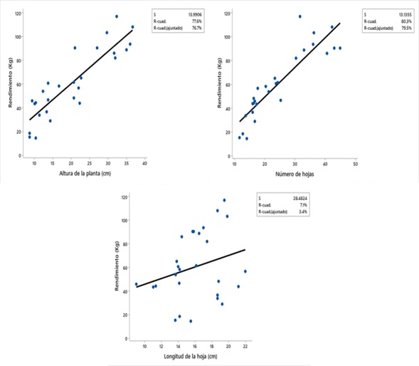
La relación entre el rendimiento (kg área-1 útil del invernadero) y las variables altura de la planta, número y longitud de las hojas, se muestra en la Figura 1, en ella se observa que el rendimiento se incrementa conforme se incrementan la altura de la planta y el número de hojas, con coeficientes de determinación relativamente altos (77.6 y 80.3%, respectivamente), no sucede lo mismo con la altura de la hoja, en dónde el coeficiente de determinación es de apenas un 7.1%, lo que indica que la relación entre estas dos variables no se ajusta a un modelo de regresión lineal simple, o bien que su relación es no lineal. Los resultados anteriores indican que el rendimiento de la lechuga puede ser estimado a través del número de hojas y la altura de la planta, con una confiabilidad relativamente alta.
El promedio de cada variable para cada una de las dosis de quitosano en las tres variedades se presenta en el Cuadro 1. Exceptuando en la longitud de las hojas, la variedad Grandes Lagos tuvo los valores más bajos en las variables registradas.
Cuadro 1: Comportamiento (
Table 1: Behavior (
| Variedad Grandes Lagos | |||
| - - - - - - - - - - - mg L-1 - - - - - - - - - - - | |||
| Dosis de quitosano | 0 mg L-1 | 500 mg L-1 | 1000 mg L-1 |
| Número de hojas | 12.78±0.68 b | 15.44±0.91 a | 16.67±0.51 a |
| Longitud raíz (cm) | 11.0±0.77 c | 16.33±0.67 b | 19.56±0.11 a |
| Peso planta (g) | 24.11±1.79 c | 49.78±3.42 b | 74.56±5.76 a |
| Altura planta (cm) | 9.22±0.56 c | 13.00±0.88 b | 21.67±0.88 a |
| Longitud hoja (cm) | 14.44±0.54 b | 18.87±0.20 a | 20.67±0.95 a |
| Rendimiento (kg) | 16.06±1.19 c | 33.15±2.28 b | 49.65±3.83 a |
| Variedad Red Rock | |||
| - - - - - - - - - - - mg L-1 - - - - - - - - - - - | |||
| 0 | 500 | 1000 | |
| Número de hojas | 22.67±1.20 b | 33.11±1.64 a | 36.78±3.09 a |
| Longitud raíz (cm) | 17.78±1.64 b | 26.89±1.28 a | 25.33±2.22 a |
| Peso planta (g) | 92.56±2.98 c | 132.67±5.12 b | 164.56±5.95 a |
| Altura planta (cm) | 20.00±1.76 b | 34.33±1.20 a | 32.89±2.04 a |
| Longitud hoja (cm) | 14.72±0.73 c | 16.98±0.27 b | 19.33±0.35 a |
| Rendimiento (kg) | 61.64±1.99 c | 88.36±3.41 b | 109.59±3.96 a |
| Variedad Regina 500 | |||
| - - - - - - - - - - - mg L-1 - - - - - - - - - - - | |||
| 0 | 500 | 1000 | |
| Número de hojas | 16.78±0.29 c | 23.44±1.16 b | 42.89±1.25 a |
| Longitud raíz (cm) | 13.89±0.80 a | 13.67±0.84 a | 16.33±0.51 a |
| Peso planta (g) | 66.89±1.09 b | 80.67±6.06 b | 133.56±2.11 a |
| Altura planta (cm) | 9.89±0.29 b | 13.22±0.44 b | 26.56±3.09 a |
| Longitud hoja (cm) | 10.44±0.73 b | 13.93±0.12 a | 15.32±0.45 a |
| Rendimiento (kg) | 44.55±0.73 b | 53.72±4.04 b | 88.95±1.41 a |
Literales distintas dentro de hileras indican diferencia significativa (P < 0.05).
Different letters within rows indicate significant difference (P < 0.05).
La altura de la planta para las tres variedades con aplicación de 1000 mg L-1 de quitosano, y la de la variedad Red Rock con dosis de 500 mg L-1 fue mayor a la encontrada por otros investigadores, así, Medrano (20171) reporta alturas dentro de un rango de 15.7 a 22.15 cm, Castilblanco y Hidalgo (20092), de 9.6 a 11.0 cm y Flores y Madrid (20133) de 13 a 20 centímetros.
El número de hojas se incrementó a medida que la dosis de quitosano aumentó. La variedad Red Rock presentó el mayor número de hojas (P < 0.05) en las dosis de quitosano de 0 y 500 mg L-1, seguido por las variedades Regina 500 y Grandes lagos, ésta última fue la de menor número de hojas en las tres concentraciones de quitosano. Sin embargo, la variedad Regina 500 superó en el número de hojas a la variedad Red Rock a una concentración de 1000 mg L-1 de quitosano. El número de hojas es mayor a lo encontrado por Veovides-Amador et al. (2022), quienes utilizando diversas concentraciones de humus y vermicomposta, reportan entre 12.8 y 14.77 hojas en promedio. Valores mayores a estos pero menores a los encontrados en el presente estudio (17.9-21.1), son reportados por Medrano (20171).
En las variedades Grandes lagos y Red Rock, la longitud de la raíz tiende a incrementarse (P < 0.05) conforme se incrementa la dosis de quitosano, sin embargo, en la variedad Regina 500 la longitud de la raíz permanece estable (P > 0.05). La variedad Red Rock superó (P < 0.05) a las otras variedades en las tres concentraciones de quitosano, no habiendo diferencia (P > 0.05) entre las variedades Regina 500 y Grandes lagos en las tres concentraciones de quitosano. La longitud de la raíz fue similar a la observada por diversos autores (Castilblanco y Hidalgo, 20092; Flores y Madrid, 20133; Veovides-Amador et al., 2022), fluctuando en promedio entre los 15 y los 30 centímetros.
Dentro de cada variedad, el peso de la planta se incrementa (P < 0.05) conforme se aumentó la dosis de quitosano. Respecto al comportamiento de las variedades dentro de cada concentración de quitosano, la variedad Red Rock superó (P < 0.05) a las demás variedades en todas las concentraciones, la variedad Grandes Lagos fue la que presentó menor peso (P < 0.05) en las diferentes concentraciones. El peso de la planta fue similar al encontrado por otros autores (Flores y Madrid, 20133; Osorto, 20214), en un rango de 86 a 209 g y de 12.44 a180.39 g, respectivamente.
La longitud de la hoja tendió a incrementarse (P < 0.05) conforme se incrementó la dosis de quitosano. las variedades Red Rock y Grandes Lagos no presentaron diferencias significativas (P > 0.05) dentro de la concentración de 0 y 1000 mg L-1 de quitosano, sin embargo, superaron (P < 0.05) a la variedad Regina 500, ésta presentó la menor longitud de hoja en las tres concentraciones. La variedad Grandes Lagos superó (P < 0.05) a la variedad Red Rock cuando se utilizó una concentración de 500 mg L-1 de quitosano.
En las variedades Grandes Lagos y Red Rock, el rendimiento se incrementó (P < 0.05) a medida que la dosis de quitosano fue mayor, sin embargo, en la variedad Regina 500 no hubo diferencia (P > 0.05) en rendimiento entre las concentraciones de 0 y 500 mg L-1 de quitosano, y al incrementarse la dosis a 1000 mg L-1 el rendimiento disminuye (P < 0.05). Respecto al comportamiento de las variedades dentro de cada concentración de quitosano, la variedad Red Rock alcanzó el mayor rendimiento (P < 0.05) en todas las concentraciones, Regina 500 superó (P < 0.05) a Grandes lagos en las concentraciones de 0 y 500 mg L-1 de quitosano, y a una concentración de 1000 mg L-1, Grandes Lagos superó a Regina 500 (P < 0.05). El rendimiento obtenido en el presente estudio supera al alcanzado por Osorto (20214) quien con composta y humus de lombriz obtuvo rendimientos entre 1.83 a 2.21 kg m-2, y en este estudio el rendimiento por metro cuadrado fluctuó entre los 1.61 a 3.29 kg m-2. No se detectó presencia de insectos o enfermedades.
Conclusiones
La aplicación de quitosano tiene un efecto positivo sobre las variables de crecimiento y rendimiento de las variedades de lechuga, en particular a dosis de 1000 miligramos por litro. La variedad Red Rock supera a las variedades Regina 500 y Grandes Lagos en crecimiento y rendimiento.










nova página do texto(beta)




