Códigos JEL: M30; C23
Introducción
En términos teóricos, la participación de mercado es afectada por los elementos de la estrategia de marketing y el marketing mix (Weiss, 1968). Por otra parte, la estrategia de marketing puede ser pensada como los diferentes planes o cursos de acción que puede elegir una empresa para reaccionar a las fuerzas ambientales que la afectan con tal de alcanzar los objetivos organizacionales dentro de un segmento de mercado. En general, el concepto de estrategia de marketing se asocia a los elementos del marketing mix que incluyen producto, precio, distribución y promoción (Stanton, Etzel y Walker, 2007).
Desde un punto de vista empírico, a partir de la década de los sesenta se ha intentado investigar con métodos econométricos qué factores afectan las ventas y cómo afectan las mismas a la participación de mercado de una empresa (ver Massy y Frank, 1965; Weiss, 1968; Rao, 1972; Bell, Keeney y Little, 1975; Horsky, 1977, entre otros).
Actualmente, a nivel internacional no existen muchos estudios recientes sobre el efecto que tienen las decisiones de marketing sobre la participación de mercado a nivel de la industria manufacturera. La excepción son los trabajos de Babić, Kuljanin y Kalić (2014), quienes desarrollan un modelo con métodos de regresión y fuzzy logic para predecir la participación de mercado de las líneas aéreas en los aeropuertos; para ello utilizan datos de precios promedio, frecuencia de vuelos, número de competidores, factor de carga, alianzas suscritas y existencia de líneas aéreas del tipo low cost . Tamm, Tauchmann, Wasem y Gress (2007), utilizando el método de paneles dinámicos, determinan la elasticidad precio sobre la participación de mercado en el sistema de seguro social de salud alemán; sus resultados muestran diferencias sustanciales entre las elasticidades de corto y largo plazo. Ailawadi, Lehmann y Neslin (2001) analizan la estrategia de marketing de Procter & Gamble planteando que, para una marca promedio, las ofertas y los cupones de descuento aumentan la penetración en el mercado, pero tienen baja influencia en la retención de clientes. Además, se encuentra que la publicidad aumenta la participación de mercado. Ataman, van Heerde y Mela (2010) estudian el efecto que tiene la distribución sobre la participación de mercado y establecen una relación positiva entre las variables para la categoría de bienes envasados, mientras que Wildbur y Farris (2014) concluyen que el grado de convexidad de la relación es mayor en las categorías con mayores utilidades y más altas participaciones de mercado.
Otros estudios que abordan problemáticas relacionadas a la participación de mercado son analizadas en Bowman y Gatignon (1996), quienes concluyen que la entrada tardía a un mercado no necesariamente conlleva una menor participación de mercado, aunque nivelar la situación no está exento de un costo sustancial para las empresas de entrada tardía. Ruble y Versaevel (2014) demuestran que cuando la participación de mercado combinada es alta, las empresas pueden aumentar su I +D a través de cooperación, y que sus acuerdos de I + D pueden ser más beneficiosos. Finalmente, Packalen y Sen (2013) estiman los efectos de una fusión sobre la participación de mercado en el corto y largo plazo.
En Chile, la Encuesta Nacional Industrial Anual (ENIA) ha sido utilizada para diversos estudios económicos en el sector industrial, aunque no para investigar específicamente las variables de marketing y su efecto en la participación de mercado. Sin embargo, uno de los resultados de Álvarez y Crespi (2000) muestra que no existe un impacto positivo en el número de productos exportados a través de la utilización de publicidad para exportaciones, suministrada por instrumentos públicos de fomento al sector exportador.
En este contexto, se decidió analizar los efectos que tienen distintos factores de marketing sobre la participación de mercado a nivel industrial en Chile utilizando datos de las encuestas ENIA desde el año 2000 al 20121, ya que los resultados del trabajo permitirían aportar un enfoque cuantitativo a la toma decisiones de marketing en mercados industriales.
Descripción de los datos utilizados
La ENIA es una encuesta que recolecta información de los establecimientos industriales chilenos que tengan 10 o más personas ocupadas durante un periodo igual o mayor a un semestre. El principal interés de la encuesta es "realizar una caracterización detallada de la actividad manufacturera del país, en términos de insumos utilizados, productos elaborados y factores productivos que participan en el proceso de transformación" (Instituto Nacional de Estadísticas, 2013).
Ya que el levantamiento de información es de carácter anual (durante el mes de abril y mayo), en la ENIA se incorporan nuevos establecimientos y se excluyen aquellos que paralizaron su actividad en forma temporal o definitiva año tras año. Todas las empresas están obligadas por Ley n.° 17.374 a responder las solicitudes del Instituto Nacional de Estadísticas. De negarse a contestar, las firmas arriesgan multas económicas.
Se debe mencionar que los establecimientos industriales encuestados mantienen el anonimato (gracias al secreto estadístico) y se identifican en base a un código de identificación asignado cada año. Nada asegura que la cantidad de establecimientos encuestados sea la misma año a año, ni que el código que se le asignó a una un determinado periodo sea el mismo al año siguiente, por lo que hacer seguimiento de los establecimientos industriales en el tiempo resulta imposible.
La encuesta se levanta a través de 6 formularios mediante los cuales se recopila información económica, contable, geográfica, características del producto elaborado, materias primas y materiales requeridos, entre otros. El Instituto Nacional de Estadísticas define los formularios y las temáticas abarcadas a través del informe metodológico que se publica junto con los resultados de la ENIA.
En la figura 1 se aprecia que una empresa que posee un solo establecimiento y participa en solo una actividad económica está completamente descrita con la información de los formularios 1, 3 y 4.

Fuente: Instituto Nacional de Estadísticas (2013).
Figura 1 Esquema de formularios caso uniestablecimiento-uniactividad.
No obstante, la encuesta a través de los restantes formularios también caracteriza a las empresas que poseen más de un establecimiento industrial y participan en uno o varios sectores económicos verticalmente.
A partir de la ENIA se obtuvo la información de un total 62.118 establecimientos industriales2 durante 13 años (en promedio se contó con 4.778 firmas por año de estudio), para los cuales no se conoce la razón social ni algún dato que permita identificarlos, pero existe información del sector económico al cual pertenecen (Clasificación Internacional Industrial Uniforme [CIIU]). La tercera revisión del año 1990 (Rev. 3) del código CIIU se compone de 17 categorías que representan actividades económicas (desde la A a la Q), 60 divisiones (números), 159 grupos y 292 clases. Se estructura de forma tal que, en conjunto, el primer y segundo dígitos indican la división, 3 dígitos indican un grupo y finalmente 4 dígitos indican la clase.
Luego de analizar la disponibilidad de información en la ENIA y contrastarla con los factores teóricos de marketing que afectan la participación de mercado de acuerdo a los estudios mencionados en la revisión bibliográfica, se construyeron distintas variables caracterizadoras.
Para la estrategia de "promoción", que incluye publicidad, fuerza de ventas, promoción de ventas y relaciones públicas, las variables disponibles que se pudieron construir fueron: razón de remuneraciones pagadas a vendedores y trabajadores comisionistas con respecto al total de remuneraciones pagadas (remcomtot) ; razón de horas trabajadas por los vendedores y trabajadores comisionistas con respecto al total de horas trabajadas (hhcomtot) ; razón del número de vendedores y trabajadores comisionistas respecto al total de trabajadores (numcomtot) ; razón del gasto en publicidad sobre el costo total (pubtot) . Para la estrategia de "plaza" la variable que se pudo construir fue: razón del gasto en distribución sobre el costo total (distot) . Para la estrategia de "precio" la variable que se pudo construir fue: razón que relaciona las utilidades sobre el costo total como una aproximación al margen de comercialización (uticost) . Para la estrategia de "producto" no fue posible obtener variables a partir de la información disponible en la base de datos utilizada.
Además, se incluyeron variables para caracterizar los establecimientos industriales: forma de propiedad (forpro) ; tamaño de la empresa (tamaño) ; región en la cual el establecimiento industrial se localiza (región) ; sector económico al cual pertenece (CIIU) ; año al cual pertenecen los datos (año) ; razón de trabajadores de género masculino con respecto al total de trabajadores (numhomtot) ; razón de participación de capital extranjero (capext) ; razón de exportaciones a ventas totales (expor) ; razón de días de paralización respecto al total de días trabajados (diapartot) .
Finalmente, la variable de interés sobre la cual se pretende realizar una modelación econométrica para caracterizar su comportamiento es: participación de mercado del establecimiento industrial respecto al total de ventas del sector económico al cual pertenece (pmerc).
Así, se generó una base de datos con los valores de las variables de interés correspondiente a cada una de los establecimientos industriales encuestados durante cada año de la ENIA.
Con el fin de perder la menor cantidad de datos posible se trabajó con los códigos CIIU a 2 dígitos, ya que a partir del año 2008 en la ENIA se observó la aparición de códigos CIIU de uno, 2, 3 y 4 dígitos en la clasificación, lo que generaba un problema para realizar el cálculo de la participación de mercado. Así, para el cálculo de la variable pmerc se consideraron las ventas anuales de cada establecimiento industrial respecto a las ventas de todos los establecimientos industriales que compartían el mismo código CIIU truncado a 2 dígitos, obteniendo un total de 62.011 observaciones (99,83% del total) clasificadas en 22 categorías de sectores económicos (tabla 1). Cabe destacar que existen 3 sectores económicos (códigos CIIU 23, 30 y 37) para los cuales existen muy pocas observaciones anuales.
Tabla 1 Clasificación de empresas en base a CIIU a 2 dígitos
| Código CIIU | Sector industrial | 2000 | 2001 | 2002 | 2003 | 2004 | 2005 | 2006 | 2007 | 2008 | 2009 | 2010 | 2011 | 2012 | Total |
|---|---|---|---|---|---|---|---|---|---|---|---|---|---|---|---|
| 15 | Fab. de productos alimenticios y bebidas | 1515 | 1521 | 1621 | 1607 | 1685 | 1680 | 1606 | 1520 | 1371 | 1325 | 1261 | 1243 | 952 | 18907 |
| 17 | Fab. de productos textiles | 269 | 274 | 276 | 272 | 268 | 250 | 232 | 218 | 178 | 158 | 162 | 145 | 114 | 2816 |
| 18 | Fab. de prendas de vestir | 293 | 280 | 300 | 282 | 283 | 264 | 245 | 219 | 189 | 167 | 142 | 127 | 95 | 2886 |
| 19 | Fab. de productos de cuero, maletas y bolsos | 162 | 165 | 158 | 146 | 145 | 122 | 115 | 105 | 78 | 70 | 59 | 61 | 50 | 1436 |
| 20 | Fab. de madera y productos de madera | 343 | 348 | 369 | 354 | 360 | 362 | 342 | 327 | 273 | 240 | 218 | 189 | 172 | 3897 |
| 21 | Fab. de papel y productos del papel | 144 | 134 | 146 | 159 | 169 | 166 | 158 | 150 | 146 | 140 | 129 | 115 | 109 | 1865 |
| 22 | Actividades de edición, grabación e impresión | 222 | 215 | 253 | 276 | 281 | 279 | 265 | 267 | 214 | 197 | 186 | 159 | 129 | 2943 |
| 23 | Fab. de productos de horno coque y refinación | 0 | 0 | 0 | 0 | 0 | 0 | 0 | 0 | 0 | 0 | 0 | 0 | 4 | 4 |
| 24 | Fab. de sustancias y productos químicos | 298 | 294 | 311 | 321 | 327 | 333 | 315 | 291 | 261 | 251 | 236 | 213 | 203 | 3654 |
| 25 | Fab. de productos de plástico | 300 | 291 | 315 | 339 | 359 | 350 | 344 | 334 | 334 | 321 | 297 | 295 | 236 | 4115 |
| 26 | Fab. de otros productos no metálicos | 272 | 282 | 277 | 266 | 268 | 274 | 286 | 287 | 239 | 231 | 238 | 246 | 227 | 3393 |
| 27 | Fabricación de metales comunes | 123 | 125 | 127 | 124 | 150 | 159 | 159 | 155 | 131 | 123 | 63 | 76 | 57 | 1572 |
| 28 | Fab. de productos de metal | 392 | 378 | 405 | 395 | 416 | 410 | 403 | 395 | 393 | 363 | 362 | 354 | 289 | 4955 |
| 29 | Fab. de maquinaria y equipo | 290 | 277 | 330 | 318 | 335 | 329 | 315 | 299 | 303 | 281 | 261 | 280 | 210 | 3828 |
| 30 | Fab. de maquinaria de oficina e informática | 0 | 0 | 0 | 3 | 3 | 3 | 3 | 3 | 3 | 4 | 5 | 3 | 0 | 30 |
| 31 | Fab. de maquinaria y aparatos eléctricos | 104 | 86 | 90 | 86 | 91 | 85 | 73 | 66 | 56 | 56 | 51 | 60 | 63 | 967 |
| 32 | Fab. de equipos de comunicaciones | 12 | 9 | 12 | 12 | 12 | 6 | 4 | 3 | 3 | 3 | 3 | 3 | 3 | 85 |
| 33 | Fab. de instrumentos médicos, precisión y relojes | 30 | 27 | 31 | 34 | 33 | 34 | 34 | 30 | 20 | 24 | 22 | 31 | 22 | 372 |
| 34 | Fab. de vehículos automotores y remolques | 76 | 77 | 75 | 84 | 84 | 92 | 88 | 82 | 50 | 45 | 40 | 43 | 30 | 866 |
| 35 | Fab. de otros tipos de equipo de transporte | 52 | 50 | 56 | 48 | 55 | 53 | 51 | 52 | 24 | 24 | 23 | 32 | 21 | 541 |
| 36 | Fab. de muebles | 264 | 255 | 264 | 251 | 276 | 265 | 235 | 234 | 195 | 181 | 173 | 163 | 122 | 2878 |
| 37 | Reciclamiento de desperdicios y desechos | 0 | 0 | 0 | 0 | 0 | 0 | 0 | 0 | 0 | 0 | 0 | 0 | 1 | 1 |
| Total | 5161 | 5088 | 5416 | 5377 | 5600 | 5516 | 5273 | 5037 | 4461 | 4204 | 3931 | 3838 | 3109 | 62011 |
Fuente: elaboración propia en base a Encuesta ENIA (2000-2012).
Los cálculos de la participación de mercado muestran que en promedio la participación no es estable, y para la mayoría de los sectores industriales ha ido creciendo a través de los años, lo cual refleja una mayor concentración del mercado (fig. 2). Por lo tanto, identificar qué factores han influido de forma positiva en la participación de mercado para un establecimiento industrial particular es de alto interés para la alta gerencia.

Fuente: elaboración propia en base a Encuesta ENIA (2000-2012).
Figura 2 Evolución promedio de la participación de mercado por sector industrial
En la tabla 2 se presentan la definición y la estadística descriptiva de todas las variables utilizadas en la presente investigación. Además, se incluye el signo esperado basado en los aspectos teóricos del marketing. Por ejemplo, a priori la variable capext se espera que tenga un signo positivo, ya que las empresas con capitales extranjeros tienen mayor transferencia tecnológica del extranjero y pueden ser más productivas; la variable diapartot se espera que tenga un signo negativo, ya que un menor nivel de actividad obviamente genera menores ventas; la variable expor se espera que tenga un signo positivo, ya que al competir en mercados internacionales tiene un mayor acceso a grandes mercados; de la variable numhomtot a priori no existe ningún signo esperado, ya que existen argumentos contrapuestos (productividad, mejor atención del cliente, entre otros); la variable distot se espera que tenga un signo positivo, ya que un mayor gasto en distribución podría involucrar acceso a mercados geográficos más distantes; la variable hhcomtot se espera que tenga un signo positivo, ya que a mayor cantidad de horas en actividades de venta se esperan mejores resultados; la variable remcomtot se espera que tenga un signo positivo, ya que a mayor incentivo monetario a los vendedores se esperan ventas mayores; la variable numcomtot se espera que tenga un signo positivo, ya que a mayor fuerza de venta se esperan mejores resultados; la variable pubtot se espera que tenga un signo positivo, ya que a mayor esfuerzo publicitario se espera mayor recordación de marca y fidelización de los clientes; la variable uticost se espera que tenga un signo negativo, ya que a mayores márgenes de comercialización se tienen precios más altos que la competencia, lo cual generaría menores ventas si no está acompañado de una mejor propuesta de valor para el cliente; la variable forpro se espera que tenga un signo positivo para las empresas públicas o mixtas, ya que en Chile existen pocas empresas de propiedad estatal y ellas pertenecen a sectores con características monopólicas o sectores regulados; la variable año se espera que tenga un signo positivo de acuerdo a los resultados observados en la figura 2; la variable ciiu2 se espera que tenga algún efecto positivo o negativo dependiendo del grado de concentración del sector económico; la variable tamaño se espera que tenga un signo positivo para las empresas de mayor tamaño; la variable región se espera que tenga algún efecto positivo o negativo dependiendo de si la región tiene o no alta densidad poblacional.
Tabla 2 Estadística descriptiva de variables utilizadas
| Variable | Descripción | Signo esperado | N° Obs. | Promedio | D. Est. | Min | Max |
|---|---|---|---|---|---|---|---|
| pmercint | Participación de mercado del establecimiento industrial respecto al total de ventas de su sector económico | - | 62011 | 0.0035 | 0.0184 | 0 | 1 |
| capext | El porcentaje de conformación del capital extranjero sobre el capital total del establecimiento industrial | Positivo | 62118 | 0.0484 | 0.2030 | 0 | 1 |
| diapartot | El cociente entre los días paralizados y los días trabajados en la firma. | Negativo | 62046 | 0.0350 | 0.4063 | 0 | 90.2500 |
| expor | Representa la razón de exportaciones a ventas totales | Positivo | 62009 | 0.0683 | 0.2055 | 0 | 1 |
| numhomtot | La participación de los trabajadores de sexo masculino en los establecimientos industriales | ¿? | 62011 | 0.7689 | 0.2212 | 0 | 1 |
| distot | Representa el gasto en distribución (gasto en servicios de almacenamiento y frigoríficos, las comisiones a distribuidores, y el gasto en fletes) dividido por el costo total | Positivo | 58602 | 0.1377 | 0.2013 | 0 | 1 |
| hhcomtot | El porcentaje de horas trabajadas por los vendedores comisionistas sobre el total de horas trabajadas por todos los trabajadores del establecimiento industrial | Positivo | 62019 | 0.0652 | 0.1315 | 0 | 1 |
| remcomtot | La fracción del gasto en remuneraciones que se paga a los vendedores respecto al gasto total en remuneraciones | Positivo | 62058 | 0.0770 | 0.1281 | 0 | 1 |
| numcomtot | Representa la razón de número de vendedores y trabajadores comisionistas respecto al total de trabajadores | Positivo | 62011 | 0.0686 | 0.1258 | 0 | 1 |
| pubtot | Representa la razón de gasto en publicidad (desembolsos en publicidad e investigación de mercado) con respecto al costo total | Positivo | 58602 | 0.0458 | 0.1124 | 0 | 1 |
| uticost | Refleja el margen de comercialización definido como utilidad sobre el costo total | Negativo | 61706 | 0.1264 | 0.6955 | 0 | 9.9977 |
| forpro | Describe la forma de propiedad de la empresa (privada nacional, privada extranjera, mixta o estatal) | Positivo | 62118 | 1.1317 | 0.4960 | 0 | 4 |
| año | Año de la información | Positivo | 62118 | 2005.50 | 3.5734 | 2000 | 2012 |
| ciiu2 | Sector económico al que pertenece el establecimiento industrial | ¿? | 62118 | 21.9488 | 6.3483 | 15 | 37 |
| tamaño | Estratifica las industrias según cantidad total de empleados utilizados en un año (0 a 4, 5 a 9, 10 a 19, 20 a 49, 50 a 99, 100 a 199, 200 a 499, 500 a 999, y mayor a 1000 trabajadores) | Positivo | 62118 | 3.1470 | 1.5308 | 0 | 8 |
| región | Identifica la ubicación del establecimiento industrial en cada región de Chile | ¿? | 62118 | 10.1232 | 3.6722 | 1 | 15 |
Fuente: elaboración propia en base a Encuesta ENIA (2000-2012).
Metodología
Para analizar los datos obtenidos se utilizó la metodología de pseudopanel con variables instrumentales, dada la incapacidad de realizar un seguimiento de cada una de los establecimientos industriales a través del tiempo (de ser así, se hubiese utilizado una metodología para datos de panel). Posteriormente, se utilizaron regresiones de mínimos cuadros con varianza robusta para realizar análisis específicos para cada sector económico.
Pseudopanel
En muchos países no se cuenta con información en forma de datos de panel, debido a distintos factores de tipo económico o logístico. La falta de información en forma de panel genuino, donde se haga seguimiento en el tiempo sobre firmas específicas, es reemplazada por encuestas de secciones repetidas de corte transversal, donde se elige aleatoriamente a los encuestados en periodos de tiempo consecutivos. Sin embargo, se genera un problema con las repeticiones de datos de corte transversal, ya que es imposible hacer un rastreo de los encuestados a través del tiempo, como se requiere en los estudios de panel tradicionales (Baltagi, 2005).
Por lo anterior, se ha propuesto un modelo que permite hacer seguimiento de cohortes y estimación de relaciones económicas basados en la media de las cohortes, por sobre las mediciones individuales. Una cohorte se define como "un grupo de membresía fija, individuos que pueden ser identificados a medida que van apareciendo en las encuestas".
Así, los llamados pseudopaneles no sufren del problema de deserción que abunda en los paneles ordinarios, y que puede estar disponible por periodos de tiempo más largos (Deaton, 1985).
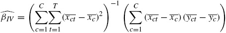
Desde una perspectiva general, se tienen datos de corte transversal repetidos, de los cuales se deben construir las cohortes para luego aplicar las técnicas de mínimos cuadrados adecuadas con el fin de obtener los estimadores del modelo. En la ecuación (1) se presenta un set de T secciones de corte transversal independientes.
El subíndice i corresponde a un nuevo y, muy probablemente, un conjunto diferente de individuos en cada período. Es por lo anterior que el subíndice it denota que los individuos son dependientes del tiempo, y se asume que el número de encuestados es constante (e iguales a N ) para cada periodo de estudio y elegidos aleatoriamente.
Si se define un conjunto de C cohortes, cada uno con una cantidad de miembros fija, que permanece constante durante todo el periodo de observación, cada individuo observado en la encuesta pertenece exactamente a una cohorte. Calculando el promedio de las observaciones en cada cohorte, se obtiene la ecuación (2), válida para c = 1, ..., C y t = 1, ..., T .
ȳct es el promedio de todos los y it que pertenecen a la cohorte c en el periodo t . Como la relación económica para el individuo incluye un efecto individual fijo, la relación correspondiente para la cohorte también incluye un efecto de cohorte fijo. Sin embargo, ūct varía con t , debido a que se promedia a través de las observaciones de cada cohorte c en el periodo t . Además, estos ūct están presuntamente correlacionados con x it , por lo cual la especificación de efecto aleatorio genera estimaciones inconsistentes. Por otro lado, tratar ūct como un efecto fijo crea un problema de identificación, a menos que ūct=ūc permanezca constante en el tiempo. Este último supuesto es factible siempre y cuando las observaciones en cada cohorte sean muy grandes. Así, se puede formular la ecuación (3), válida para c = 1, ..., C y t = 1, ..., T .
La ecuación anterior representa un pseudopanel con T observaciones en C cohortes, para la cual, el estimador de efectos fijos
Baltagi (2005) plantea que hay un trade-off significativo en la construcción de un pseudopanel, ya que a mayor cantidad de cohortes, menor es el número de individuos por cohorte. En este caso, C es grande y el pseudopanel se basa en un gran número de observaciones. Sin embargo, que n c no sea grande implica que el estimador de la media poblacional, la media de la cohorte, no es preciso y se tiene una gran cantidad C de observaciones imprecisas. Por otro lado, un pseudopanel construido con un pequeño número de cohortes y más observaciones individuales por cohorte, vale decir C pequeño y n c grande, genera observaciones más precisas.
Pseudopaneles con variables instrumentales
Una metodología alternativa para pseudopaneles es desarrollada por Moffitt (1993), quien plantea que se puede tratar el agrupamiento (cohortes) con variables instrumentales.
Primero, descompone el efecto individual θ i en un efecto cohorte θ c y una desviación individual vi.
Donde d ci son los variables dummies a nivel de cohorte, que indican que la firma i es parte de la cohorte c . Luego, se sustituye la ecuación anterior en el modelo de efectos fijos, lo que arroja la ecuación (5).
No es improbable que la variable explicativa x it y la variación individual vi estén correlacionados, lo cual arroja estimadores inconsistentes si se utiliza mínimos cuadrados ordinarios (MCO). Si se demuestra que x it no está correlacionado con vi ni con ε it , un estimador de variables instrumentales produce un estimador consistente para β y para θ c . Además, se sugiere definir variables dummy D st para cada año, las cuales toman el valor 1 si s = t y cero en otro caso, las cuales, al interactuar con las variables dummy de las cohortes, pueden ser utilizadas como instrumentos (estimaciones) para x it . También se define un predictor para x it en la ecuación (6).
Para evitar multicolinealidad se deben hacer ciertas restricciones, una de ellas es que la suma de la desviación de la cohorte no sea mayor a 0. Un predictor lineal para x it
está dado por
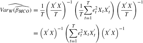
Mínimos cuadrados ordinarios con varianza robusta
Las regresiones robustas son un tipo de análisis que permite eludir las limitaciones tradicionales de los métodos de MCO, los cuales son afectados por heterocedasticidad y datos atípicos. En muchos casos la varianza de la variable explicativa no es constante, por lo que no se cumple el supuesto de homocedasticidad.
Para combatir el hecho de que los errores sean heterocedásticos, se utiliza el método de "estimador de White de la matriz de varianzas de
La ecuación anterior se define como "matriz de varianzas estimada de
Aplicación de los métodos estadísticos
Tal como se indicó previamente, para utilizar el método de pseudopanel con variables instrumentales primero se construyeron 2 tipos de variables dummy con las cuales se proyectaron las variables explicativas. El primer tipo de variables fue de la forma dummy_ciiuNN , donde NN representó un código CIIU de los que ya se truncaron a 2 dígitos. Dicha variable tomó valor 1 si la firma pertenece al código NN , y cero en caso contrario. El segundo tipo de variable tuvo la forma dummy_ciiuNN_YYYY , donde NN representó un código CIIU de los que ya se truncaron a 2 y YYYY representó un año en estudio. Por lo tanto, dummy_ciiu15_2000 representa a una empresa que pertenece a la división "elaboración de productos alimenticios y bebidas" y el dato del año 2000. La variable que se definió anteriormente toma 2 valores, 1 cuando la firma pertenece al código NN y el dato es del año YYYY . En resumen, se construyeron variables que incluyeron el identificador de la cohorte (CIIU) y variables que incluyeron la interacción entre la cohorte (CIIU) y el año.
Luego se realizó una regresión de MCO para proyectar las variables explicativas, a partir de las variables dummy previamente definidas. Luego se crearon las variables explicativas instrumentalizadas. Una vez que se completó la estimación de las variables explicativas, se procede a realizar la regresión mediante mínimos cuadrados, lo que completa el análisis de pseudopanel con variables instrumentales.
Como análisis complementario, también se realizaron regresiones múltiples, mediante mínimos cuadrados con varianza robusta (White, 1980), para cada uno de los códigos CIIU de la muestra. Para la participación de mercado pmerc se consideraron las variables explicativas region 1, region 2, region 3, region 4, region 5, region 6, region 7, region 8, region 9, region 10, region 11, region 12, region 13, region 14, tam 1, tam 2, tam 3, tam 4, tam 5, tam 6, tam 7, forpro 1, forpro 2, forpro 3, año2000, año2001,año2002,año2003,año2004,año2005,año2006,año2006,año2007,año2008,año2009,año2010,año2011,expor, remcomtot , numcomtot , numhomtot , capext , diapartot , pubtot , distot y uticost .
Resultados
A continuación se presentan los resultados del estudio para el método de pseudopanel con variables instrumentales, y luego, los resultados obtenidos de la regresión mediante MCO con varianza robusta para cada código CIIU.
Regresión de pseudopanel mediante variables instrumentales
En la tabla 3 se observan 3 especificaciones alternativas para analizar la robustez de las estimaciones de pseudopanel con variables instrumentales. La primera especificación incluye variables con características del establecimiento industrial, variables asociadas a las decisiones de marketing, variables asociadas a la forma de propiedad, variables temporales, variables por código CIIU, variables asociadas al tamaño y variables asociadas a la localización regional. En la segunda especificación se excluyen las variables asociadas a la localización regional. En la tercera especificación se excluyen las variables asociadas a la localización regional, y además, las variables asociadas al tamaño del establecimiento industrial.
Tabla 3 Resultados de la estimación de pseudopanel mediante variables instrumentales para la participación de mercado
| Variable | Coeficiente | D. Est. | Coeficiente | D. Est. | Coeficiente | D. Est. |
|---|---|---|---|---|---|---|
| constante | 0.2788 | 0.0954** | 0.1518 | 0.0699* | 0.1009 | 0.0250** |
| capext | −0.2027 | 0.0882* | −0.1581 | 0.0857 | −0.1267 | 0.0859 |
| diapartot | 0.0259 | 0.0165 | −0.0504 | 0.0099** | −0.0488 | 0.0098** |
| expor | 0.0641 | 0.0387 | 0.0077 | 0.0280 | 0.0233 | 0.0212 |
| numhomtot | 0.0094 | 0.0120 | −0.0147 | 0.0076 | −0.0174 | 0.0071* |
| distot | 0.0307 | 0.0107** | 0.0140 | 0.0099 | 0.0157 | 0.0095 |
| hhcomtot | 0.0246 | 0.0354 | 0.0284 | 0.0318 | 0.0312 | 0.0307 |
| remcomtot | 0.0050 | 0.0328 | 0.0352 | 0.0285 | 0.0284 | 0.0289 |
| numcomtot | 0.0364 | 0.0233 | −0.0487 | 0.0217* | −0.0431 | 0.0145** |
| pubtot | −0.0438 | 0.0249 | −0.0965 | 0.0312** | −0.1034 | 0.0308** |
| uticost | −0.0006 | 0.0052 | 0.0087 | 0.0046 | 0.0093 | 0.0039* |
| forpro1 | −0.1927 | 0.0459** | −0.0499 | 0.0184** | −0.0581 | 0.0196** |
| forpro2 | −0.0422 | 0.0830 | 0.0576 | 0.0848 | 0.0061 | 0.0813 |
| forpro3 | −0.0626 | 0.0673 | 0.0905 | 0.0581 | 0.0731 | 0.0590 |
| año 2000 | −0.0142 | 0.0089 | −0.0218 | 0.0076** | −0.0226 | 0.0072** |
| año 2001 | −0.0174 | 0.0093 | −0.0201 | 0.0079* | −0.0222 | 0.0072** |
| año 2002 | −0.0195 | 0.0094* | −0.0200 | 0.0077** | −0.0225 | 0.0069** |
| año 2003 | −0.0210 | 0.0096* | −0.0212 | 0.0076** | −0.0235 | 0.0068** |
| año 2004 | −0.0204 | 0.0093* | −0.0224 | 0.0072** | −0.0242 | 0.0066** |
| año 2005 | −0.0219 | 0.0092* | −0.0221 | 0.0072** | −0.0248 | 0.0067** |
| año 2006 | −0.0222 | 0.0090* | −0.0221 | 0.0072** | −0.0249 | 0.0068** |
| año 2007 | −0.0232 | 0.0090** | −0.0265 | 0.0063** | −0.0296 | 0.0064** |
| año 2008 | −0.0274 | 0.0096** | −0.0283 | 0.0064** | −0.0300 | 0.0066** |
| año 2009 | −0.0282 | 0.0102** | −0.0235 | 0.0072** | −0.0255 | 0.0072** |
| año 2010 | −0.0324 | 0.0109** | −0.0260 | 0.0071** | −0.0278 | 0.0074** |
| año 2011 | −0.0247 | 0.0124* | −0.0248 | 0.0096** | −0.0252 | 0.0100* |
| ciiu15 | −0.0113 | 0.0057* | −0.0170 | 0.0027** | −0.0179 | 0.0028** |
| ciiu17 | −0.0174 | 0.0048** | −0.0120 | 0.0028** | −0.0129 | 0.0030** |
| ciiu18 | −0.0229 | 0.0044** | −0.0234 | 0.0042** | −0.0254 | 0.0045** |
| ciiu19 | −0.0312 | 0.0096** | −0.0143 | 0.0077 | −0.0139 | 0.0049** |
| ciiu20 | −0.0212 | 0.0062** | −0.0262 | 0.0063** | −0.0268 | 0.0056** |
| ciiu21 | −0.0497 | 0.0115** | −0.0301 | 0.0108** | −0.0318 | 0.0070** |
| ciiu22 | −0.0199 | 0.0082* | −0.0221 | 0.0043** | −0.0221 | 0.0046** |
| ciiu24 | −0.0200 | 0.0113 | −0.0087 | 0.0098 | −0.0065 | 0.0074 |
| ciiu25 | −0.0261 | 0.0064** | −0.0194 | 0.0055** | −0.0195 | 0.0046** |
| ciiu26 | −0.0018 | 0.0127 | −0.0273 | 0.0088** | −0.0225 | 0.0059** |
| ciiu27 | −0.0606 | 0.0194** | −0.0566 | 0.0183** | −0.0631 | 0.0151** |
| ciiu28 | −0.0177 | 0.0076* | −0.0179 | 0.0042** | −0.0174 | 0.0036** |
| ciiu29 | −0.0197 | 0.0085* | −0.0215 | 0.0042** | −0.0196 | 0.0041** |
| ciiu30 | 26.6528 | 3.8637** | 24.1146 | 3.8095** | 25.1619 | 4.0168** |
| ciiu31 | −0.0412 | 0.0170* | −0.0158 | 0.0112 | −0.0070 | 0.0109 |
| ciiu32 | 1.6089 | 0.6937* | 1.7787 | 0.5868** | 1.7773 | 0.5151** |
| ciiu33 | 0.1142 | 0.0516* | 0.1123 | 0.0450* | 0.1357 | 0.0456** |
| ciiu34 | −0.0139 | 0.0249 | 0.0130 | 0.0151 | 0.0104 | 0.0149 |
| ciiu35 | −0.0298 | 0.0870 | 0.0028 | 0.0368 | 0.0093 | 0.0260 |
| tamaño 1 | −0.0333 | 0.0773 | −0.0719 | 0.0637 | ||
| tamaño 2 | −0.0388 | 0.0770 | −0.0686 | 0.0657 | ||
| tamaño 3 | −0.0368 | 0.0789 | −0.0460 | 0.0642 | ||
| tamaño 4 | −0.0770 | 0.0851 | −0.0803 | 0.0701 | ||
| tamaño 5 | −0.0681 | 0.0801 | −0.0569 | 0.0660 | ||
| tamaño 6 | −0.0309 | 0.0817 | −0.0719 | 0.0709 | ||
| tamaño 7 | −0.1059 | 0.0985 | −0.0524 | 0.0855 | ||
| región 1 | −0.0027 | 0.0519 | ||||
| región 2 | −0.0435 | 0.0626 | ||||
| región 3 | −0.3076 | 0.1027** | ||||
| región 4 | −0.0168 | 0.0671 | ||||
| región 5 | −0.1323 | 0.0645* | ||||
| región 6 | −0.0117 | 0.0702 | ||||
| región 7 | −0.0686 | 0.0584 | ||||
| región 8 | 0.0060 | 0.0547 | ||||
| región 9 | −0.2206 | 0.0555** | ||||
| región 10 | −0.0099 | 0.0686 | ||||
| región 11 | 0.1121 | 0.0548* | ||||
| región 12 | −0.2108 | 0.0806** | ||||
| región 13 | −0.0111 | 0.0534 | ||||
| región 14 | 0.0059 | 0.0606 | ||||
| N° observaciones | 62011 | 62011 | 62011 | |||
| R cuadrado | 0.1957 | 0.1727 | 0.1709 |
Fuente: elaboración propia en base a ENIA.
* p < 0.05.
** p < 0.01.
Los resultados muestran que, al contrario de lo que se esperaba al comienzo del estudio, las variables asociadas a decisiones de marketing en general no presentan efectos estadísticamente significativos con los signos esperados, ni son robustos a las diferentes especificaciones. Solo en la primera especificación que incluye todas las variables se observa un efecto positivo al 1% de significancia para la variable que incluye la razón entre el gasto de distribución respecto al costo total. En la segunda y tercera especificación, que excluyen algunos grupos de variables (tamaño y/o región), existe un efecto negativo de la variable que incluye la razón entre el número de vendedores respecto al total de trabajadores, y de la variable que incluye la razón entre el gasto en publicidad respecto al costo total. Sin embargo, se observa que el sector económico al cual pertenece el establecimiento industrial tiene un efecto estadísticamente significativo y robusto a las diferentes especificaciones para los sectores CIIU 15 (Fabricación de productos alimenticios y bebidas), CIIU 17 (Fabricación de productos textiles), CIIU 18 (Fabricación de prendas de vestir), CIIU 20 (Fabricación de madera y productos de madera), CIIU 21 (Fabricación de papel y productos del papel), CIIU 22 (Actividades de edición, grabación e impresión), CIIU 25 (Fabricación de productos de plástico), CIIU 27 (Fabricación de metales comunes), CIIU 28 (Fabricación de productos de metal), CIIU 29 (Fabricación de maquinaria y equipo), CIIU 30 (Fabricación de maquinaria de oficina e informática), CIIU 32 (Fabricación de equipos de comunicaciones) y CIIU 33 (Fabricación de instrumentos médicos, precisión y relojes). En particular, los resultados con un signo negativo en las 3 especificaciones para el coeficiente de la variable dummy de los sectores CIIU 15, CIIU 17, CIIU 18, CIIU 20, CIIU 21, CIIU 22, CIIU 25, CIIU 27, CIIU 28, CIIU 29 son bastante lógicos, ya que, tal como se aprecia en la tabla 1, estos sectores se caracterizan por tener un mayor número de establecimientos industriales, y eso se traduce en menores participaciones de mercado.
Como las variables que miden las decisiones de marketing en general no tuvieron efectos sobre la participación de mercado considerando los datos de todos los establecimientos industriales bajo el enfoque de pseudopanel, y además el R2 de las regresiones fue bajo, se decidió realizar un análisis de regresión específico para cada código CIIU, pensando que de este modo se podría encontrar los efectos esperados al menos en algunos sectores industriales.
Regresiones mediante mínimos cuadrados con varianza robusta por código CIIU
A continuación se presentan los resultados más destacados y de mayor interés para la investigación (tabla 4).
Tabla 4. Resultados para la participación de mercado por código CIIU (parte 1 de 3)

Fuente: elaboración propia.
* p < 0.05.
** p < 0.01.
Con respecto a las variables que caracterizan a los establecimientos industriales se puede mencionar que la variable que incluye la proporción de las exportaciones sobre ventas totales tiene un efecto estadísticamente significativo sobre la participación de mercado de las empresas (al 1% o al 5%) para un 70% de los códigos CIIU que se estudiaron; en la mayoría de los sectores el efecto es negativo, lo cual se podría atribuir a que estos establecimientos industriales podrían enfocarse en nichos específicos de productos exportados, postergando la venta de productos masivos. La variable que incluye la proporción de trabajadores hombres sobre el total de trabajadores también tiene un efecto significativo en el 55% de los sectores. La participación de capital extranjero sobre el capital total tiene efectos significativos en un 20% de los sectores. La variable que mide los días de paralización respecto al total de días trabajados solo tiene un efecto negativo en la participación de mercado del sector "Fabricación de madera y productos de madera", explicado por la naturaleza continua de su proceso productivo. En general, las variables dummy asociadas al tamaño, a la localización regional, a la forma de propiedad y al año son relevantes para explicar la participación de mercado a nivel sectorial.
Respecto a los efectos específicos de las variables asociadas a las decisiones de marketing sobre la participación de mercado, los resultados son los siguientes.
La variable que mide el porcentaje de los gastos en distribución respecto al costo total tiene un efecto positivo y significativo (al 1% o al 5%) en los sectores "Fabricación de productos alimenticios y bebidas", "Fabricación de productos textiles", "Fabricación de madera y productos de madera", "Fabricación de sustancias y productos químicos", "Fabricación de productos de plástico", "Fabricación de productos de metal" y "Fabricación de vehículos automotores y remolques", y además, un efecto negativo y significativo al 1% en el sector "Fabricación de papel y productos del papel".
Las variables asociadas a la fuerza de ventas entregan resultados mixtos. El porcentaje de horas trabajadas por vendedores sobre el total de horas trabajadas tiene un efecto negativo y significativo (al 1% o al 5%) solo en 3 sectores: "Fabricación de productos textiles", "Fabricación de maquinaria y equipo" y "Fabricación de vehículos automotores y remolques". El porcentaje de remuneraciones a vendedores respecto del total de remuneraciones tiene un efecto positivo y significativo en los sectores "Fabricación de productos textiles", "Fabricación de madera y productos de madera" y "Fabricación de maquinaria y equipo", pero un efecto negativo y significativo en el sector "Fabricación de otros productos no metálicos". La variable que mide el porcentaje de vendedores respecto al total de trabajadores tiene un efecto positivo y significativo en los sectores "Fabricación de prendas de vestir", "Fabricación de productos de cuero, maletas y bolsos" y "Fabricación de muebles", es decir, en sectores destinados al mercado del consumidor final. Aunque también hay un efecto negativo de esta última variable en la participación de mercado de los sectores "Actividades de edición, grabación e impresión", "Fabricación de sustancias y productos químicos" y "Fabricación de instrumentos médicos, precisión y relojes", es decir, sectores enfocados al mercado de los negocios.
La razón del gasto en publicidad respecto al costo total tiene un efecto positivo y estadísticamente significativo en el 45% de los sectores industriales analizados, específicamente en los sectores "Fabricación de productos alimenticios y bebidas", "Fabricación de productos textiles", "Fabricación de productos de cuero, maletas y bolsos", "Fabricación de papel y productos del papel", "Fabricación de maquinaria y equipo", "Fabricación de maquinaria y aparatos eléctricos", "Fabricación de vehículos automotores y remolques" y "Fabricación de muebles". Esta variable tiene un efecto negativo solo en el sector "Fabricación de sustancias y productos químicos".
La interpretación de los coeficientes de las regresiones es muy sencilla desde una perspectiva gerencial para un análisis cuantitativo de marketing en cada sector industrial. El incremento en un punto porcentual de alguna variable asociada a la estrategia de marketing refleja que la participación de mercado cambiaría en el valor del coeficiente estimado (en puntos porcentuales). Por ejemplo, el incremento en un 1% del gasto en publicidad respecto al costo total en un establecimiento industrial del sector Fabricación de vehículos automotores y remolques (código CIIU 34) generaría un incremento de 0.098% en su participación de mercado.
Además, para facilitar la compresión de todas las variables que presentan efectos estadísticamente significativos positivos y negativos se incluye la figura 3.

Fuente: elaboración propia en base a Encuesta ENIA (2000-2012).
Figura 3 Resumen de las variables que presentan efectos estadísticamente significativos en todos los sectores económicos
En general, los resultados muestran que las variables asociadas a decisiones de marketing tienen un efecto diferente en la participación de mercado dependiendo del sector económico en el cual compite el establecimiento industrial. Además, la variable de marketing que tiene mayor relevancia en la participación de mercado es el porcentaje del gasto publicitario, tanto en el número de sectores como en la magnitud del impacto. Por su parte, el gasto en distribución tiene efectos menores en magnitud pero consistentemente positivos. Finalmente, las variables que tratan de capturar las decisiones asociadas a la fuerza de ventas arrojan resultados contrapuestos, es decir, para incrementar la participación de mercado en algunos sectores es mejor elevar el número de vendedores respecto al total de trabajadores, y en otros sectores es mejor incrementar el porcentaje de remuneraciones destinadas a los vendedores.
Conclusiones
En esta investigación se analizaron los efectos que tienen distintos elementos de la estrategia de marketing sobre la participación de mercado para la industria manufacturera en Chile.
El análisis considera una estimación con la metodología de pseudopanel, y luego, un análisis desagregado por sector económico. Esta última estimación permitió identificar efectos significativos de marketing que no fueron identificados con el método de pseudopanel, presumiblemente porque al ser impactos bajos y/o diferentes en signo entre sectores tendieron a anularse cuando se ocupó la base de datos completa.
Los coeficientes obtenidos a partir de las estimaciones realizadas en esta investigación son fácilmente interpretables para la toma de decisiones de marketing a nivel gerencial en diferentes sectores industriales. El incremento en un punto porcentual de alguna variable asociada a la estrategia de marketing refleja que la participación de mercado variaría en el valor del coeficiente estimado (en puntos porcentuales).
Los resultados arrojan varias conclusiones interesantes. Por ejemplo, hay una estrecha relación entre la variable que mide la proporción del gasto en publicidad respecto al costo total del establecimiento industrial y la participación de mercado del mismo, para un 45% de los sectores económicos analizados. La magnitud del efecto depende obviamente del sector económico, pero el estudio permite generar una estimación cuantitativa del impacto, manteniendo constante el resto de factores, por lo cual se entrega información relevante para que en la toma de decisiones de marketing la publicidad pueda ser considerada como una inversión en vez de simplemente un gasto. Específicamente, los sectores en los cuales la gerencia debería invertir más en publicidad debido al alto impacto sobre la participación de mercado son: Fabricación de vehículos automotores y remolques, Actividades de edición, grabación e impresión, Fabricación de productos de cuero, maletas y bolsos, y Fabricación de maquinaria y aparatos eléctricos.
La variable asociada a la proporción del gasto en distribución en el costo total sugiere un efecto bajo en magnitud pero estadísticamente significativo y positivo para un 40% de los sectores analizados. Este resultado sugiere revisar las políticas de envíos y transporte con el fin de mejorar la logística y los tiempos de espera de los pedidos, ya que los clientes valoran a los establecimientos industriales que destinan mayores recursos a estas áreas sin que por ello se vuelvan menos competitivos. Específicamente, los sectores en los cuales la gerencia debería invertir más recursos sobre la distribución debido al alto impacto sobre la participación de mercado son: Fabricación de sustancias y productos químicos, Fabricación de productos de plástico y Fabricación de productos de metal.
Finalmente, las variables que caracterizan la fuerza de ventas reflejaron resultados contrapuestos y dependientes del sector económico. Sin embargo, un resultado llamativo es que el porcentaje de vendedores respecto al total de trabajadores tiene un efecto positivo y significativo en la participación de mercado de 3 sectores que pueden ser claramente identificados con el mercado del consumidor final y un efecto negativo en 3 sectores enfocados al mercado de los negocios. Los sectores en los cuales la gerencia debería incrementar la fuerza de ventas debido al alto impacto sobre la participación de mercado son: Fabricación de prendas de vestir, Fabricación de productos de cuero, maletas y bolsos, y Fabricación de muebles, mientras los sectores en los cuales la gerencia debería incrementar las comisiones para la fuerza de ventas son Fabricación de productos textiles, Fabricación de maquinaria y equipo, y Fabricación de madera y productos de madera.










nueva página del texto (beta)










