Servicios Personalizados
Revista
Articulo
Indicadores
-
Citado por SciELO -
Accesos
Links relacionados
-
Similares en
SciELO
Compartir
Salud mental
versión impresa ISSN 0185-3325
Salud Ment vol.34 no.4 México jul./ago. 2011
Artículo original
Timing of progesterone and allopregnanolone effects in a serial forced swim test
Duración del efecto de progesterona y alopregnanolona en la prueba de nado forzado seriada
Carlos M. Contreras,1,2 Juan Francisco RodríguezLanda,1 Blandina BernalMorales,1 Ana G. GutiérrezGarcía,1,3 Margarita Saavedra1,4
1 Laboratorio de Neurofarmacología, Instituto de Neuroetología, Universidad Veracruzana, Xalapa, Veracruz, México.
2 Instituto de Investigaciones Biomédicas, Universidad Nacional Autónoma de México, Xalapa, Veracruz, México.
3 Facultad de Psicología, Universidad Veracruzana, Xalapa, Veracruz, México.
4 Facultad de Química Farmacéutica Biológica, Universidad Veracruzana, Xalapa, Veracruz, México.
Corresponding Author:
Carlos M. Contreras.
E.mail: ccontreras@uv.mx
Recibido: 20 de mayo de 2011.
Aceptado: 4 de julio de 2011.
ABSTRACT
The forced swim test (FST) is commonly employed to test the potency of drugs to reduce immobility as an indicator of antidespair. Certainly, antidepressant drugs reduce the total time of immobility and enlarge the latency to the first immobility period. FST is preceded by the open field test (OFT) to discard any influence of changes in general motor activity that could interfere with immobility in the FST. Albeit progesterone and its areduced metabolite allopregnanolone produce antidepressantlike effects in the FST, the timing of actions is unknown. We hypothesized that the latency and duration of effects produced by progesterone and allopregnanolone may be characterized by repeated FST sessions; we therefore devised a serialFST experimental design to evaluate the timing effects of these steroids on immobility, locomotion in the open field test, and grooming in the later as an indicator of response to stress.
We included fiftyone ovariectomized adult Wistar rats weighing 200250 g at the beginning of the experiments. They were ovariectomized by abdominal approach under anesthesia. Rats were housed six per cage, at room temperature (25 ± 1°C) under a 12 h/12 h light/dark cycle (lights ON at 7:00 a.m.) with ad libitum access to purified water and food. All of the experimental procedures followed National Institutes of Health Guidelines. The local Ethics Committee (Biomedical Research Institute, Universidad Nacional Autónoma de México) approved the experimental protocol.
A first group received vehicle (2hidroxypropylγcyclodextrin dissolved in injectable sterilized water to obtain a 35% solution, control group n=17), the second group progesterone (1.0 mg/kg, n=17), and the third group allopregnanolone (1.0 mg/kg, n=17). All single injections were applied by intraperitoneal route at a volume of 0.8 ml/kg.
The effects of treatments were evaluated in the serialFST at 0.25, 0.5, 1, 2, 4, 6, and 24 h after injection, in a rectangular pool (height, 60 cm; length, 30 cm; width, 50 cm), with 24 cm deep water (25 ± 1°C). We evaluated the total time of immobility, during 5 min, considered as the principal indicator of an antidespair effect. Before each session of serialFST, locomotion was evaluated in the OFT during 5 minutes. The apparatus consisted on an acrylic box (height, 20 cm; length, 44 cm; width, 33 cm), with twelve squares delineated on the floor (11x11 cm). In the same OFT sessions, grooming was evaluated as an indicator of response to stress. Statistical analysis consisted in twoway analysis of variance (ANOVA) and StudentNewmanKeuls as post hoc test.
Total time in immobility was the highest and remained at similar levels only in the control group throughout the seven sessions of the serialFST. In the allopregnanolone group a reduction in immobility was observed beginning 0.5 h after injection and lasted approximately 1.5 h. Similarly, progesterone reduced immobility beginning 1.0 h after injection, and the reduction lasted for approximately 5.0 h. In all groups, locomotion in the OFT was reduced after the first serialFST session and remained at similar low levels during the serialFST. In the control group, grooming was reduced after the first serialFST session and lasted 24 h, but grooming did not change in the progesteroneor allopregnanolonetreated rats.
From a serialFST design, we conclude that progesterone and allopregnanolone exert short timedependent reductions in immobility and antistresslike effects no longer than 24 hrs, and seemingly a reduction in the response to stress, which may have some clinical applications.
Key words: Allopregnanolone, antidepressant, antistress, grooming, progesterone, serialforced swim test.
RESUMEN
Introducción
La progesterona y su metabolito activo alopregnanolona se han estudiado ampliamente en modelos experimentales de ansiedad y depresión, y por su propiedad de ser sintetizadas en el cerebro se les considera como neuroesteroides. Entre las pruebas que permiten determinar la potencia antidepresiva de ciertos fármacos se encuentra la prueba de nado forzado, la cual se diseñó originalmente para detectar la potencia de sustancias con propiedades antidepresivas. Estas sustancias reducen el tiempo de inmovilidad y alargan la latencia al primer periodo de inmovilidad, lo cual es considerado como un efecto antidepresivo. Usualmente, la prueba de nado forzado se aplica dos veces, una sesión de preprueba que dura 15 minutos, en la cual la rata o ratón desarrolla el estado de desesperanza. La preprueba es seguida de la sesión de prueba que se realiza 24 horas después durante 5 minutos. En ella se evalúa el efecto de las sustancias con propiedades antidepresivas. Además, la prueba de nado forzado es precedida por la prueba de campo abierto con la finalidad de identificar cambios en la actividad motora general (hipoactividad o hiperactividad) que pudiera interferir con la interpretación de las variables evaluadas en la prueba de nado forzado.
Algunos esteroides, como la progesterona y alopregnanolona, reducen la inmovilidad y alargan la latencia a la primera inmovilidad en la prueba de nado forzado, lo que indica su efecto tipoantidepresivo. Sin embargo, la latencia y la duración de los efectos farmacológicos son desconocidas. La hipótesis de este trabajo fue que, si utilizábamos la prueba de nado forzado de forma repetida, podríamos identificar el tiempo de duración de los efectos de estos esteroides. Por lo tanto, diseñamos un experimento con la prueba de nado forzado seriada para evaluar el tiempo de permanencia de los efectos de progesterona y alopregnanolona en esta prueba conductual.
Materiales y métodos
Sujetos: En este estudio se incluyeron 51 ratas adultas ovariectomizadas de la cepa Wistar, con peso entre 200 y 250 g al inicio de los experimentos. Las ratas fueron anestesiadas y ovariectomizadas por aproximación ventral y fueron alojadas en cajas de acrílico trasparente (n=6), con una temperatura ambiente de 25 ± 1°C y con un ciclo de luzoscuridad de 12 ×12 h (la luz se encendió a las 7:00 am). Las ratas tuvieron libre acceso al agua purificada y al alimento (Purina). Todos los procedimientos realizados en este estudio fueron de acuerdo con las normas éticas en el uso de animales de experimentación, basándonos en la Guía del National Institute of Health, y el protocolo fue aprobado por el Comité de Ética del Instituto de Investigaciones Biomédicas de la Universidad Nacional Autónoma de México.
Grupos y tratamientos: Las ratas del grupo control recibieron el vehículo (solución al 35% de 2hidroxipropilgciclodextrina), el segundo grupo recibió progesterona (1.0 mg/kg) y el tercero recibió alopregnanolona (1.0 mg/kg) por vía intraperitoneal, en un volumen de 0.8 ml/kg.
Pruebas conductuales: El efecto de los tratamientos fue evaluado en la prueba de nado forzado a las 0.25, 0.5, 1, 2, 4, 6 y 24 horas después de la administración. Utilizamos un estanque rectangular (base 50 × 34 cm, altura 60 cm), con agua a 25°C y una altura de 24 cm. Sólo se evaluó el tiempo total de inmovilidad, considerando que es el principal indicador de un efecto antidesesperanza. Antes de cada sesión de nado forzado se evaluó la actividad motora (cuadros deambulados) y el acicalamiento en campo abierto. Esta prueba consistió en colocar a la rata en una caja de acrílico (base 33 × 44 cm, altura 20 cm) con el piso dividido en 12 cuadros de 11 × 11 cm. Los resultados obtenidos de ambas pruebas fueron evaluados por medio de una ANOVA de dos vías y como prueba post hoc se aplicó StudentNewmanKeuls.
Resultados
La prueba de nado forzado aplicada de forma repetida resultó ser útil para evaluar los efectos temporales producidos por dos esteroides con potencia antidepresiva. Las ratas del grupo control mostraron los valores más altos de inmovilidad en la prueba de nado forzado, los cuales se mantuvieron así durante las sesiones de prueba. En los grupos tratados con progesterona o alopregnanolona hubo una reducción de la inmovilidad, gradual y temporal. Los animales tratados con alopregnanolona redujeron la inmovilidad a partir de las 0.5 horas después de la administración, efecto que se mantuvo por un periodo de 1.5 h. Los animales tratados con progesterona redujeron la inmovilidad a partir de 1.0 hora después de la administración, efecto que se mantuvo por un periodo de 5.0h. En campo abierto, independientemente del tratamiento, hubo una reducción del número de cuadros cruzados después de la primera sesión de nado forzado, efecto que permaneció hasta las 24h. En el acicalamiento, se observó que sólo los animales del grupo control redujeron significativamente el tiempo empleado en esta conducta, mientras que los animales inyectados con progesterona o alopregnanolona no modificaron esta variable. Es decir, mantuvieron niveles semejantes durante todas las sesiones de prueba y estuvieron por arriba de los valores encontrados en los animales control.
Conclusión
La progesterona y la alopregnanolona ejercen un efecto antidesesperanza de breve latencia, no mayor a 24 horas. Este hallazgo podría tener implicaciones clínicas en pacientes con depresión refractaria al tratamiento convencional.
Palabras clave: Acicalamiento, alopregnanolona, antidepresivo, antiestrés, progesterona, FST seriada.
INTRODUCTION
Progesterone and its metabolite allopregnanolone are gonadal steroids for which anxiolytic1,2 and antidepressantlike3,4 effects have been demonstrated in experimental animal models.5 Progesterone is a drug frequently used in gynecology,6 while allopregnanolone has been tested in some clinical approaches.7 Because of their actions in Central Nervous System and behavior8 and their synthesis in situ, both steroids are classified as neurosteroids,9 but the timing of their possible antidespair actions is unknown.
An accepted model for testing antidepressant drugs is the forced swim test (FST). At the beginning of the FST, the rat swims vigorously, apparently seeking an exit. Later, the animal becomes almost immobile while exhibiting minimal movements to maintain its head above the water's surface. The observation that immobility is reversed by systemic administration of a wide variety of clinically effective antidepressant drugs supports the assumption that immobility reflects despair.10
In experimental FST single highdoses are commonly used (surrounding 10 mg/kg)11 or higher.12 Notwithstanding, we13 and other research groups14 have repeatedly demonstrated that low doses (about 1 mg/kg) of antidepressants significantly reduces immobility in FST, and increases the neuronal firing rate of forebrain structures related with hedonism, such as lateral septal nucleus, only after several weeks of treatment, resembling with more precision clinical observations.15
Although the number of FST sessions is controversial,16 we propose that a serialFST (i.e., in which the FST is conducted with repeated sessions within a short period of time) may be useful for measuring the timedependent effects of antidespair or antidepressantlike drugs. In any case, the influence of locomotor activity on immobility in the FST must be discarded by subjecting the animal to the open field test (OFT).17 In OFT, some additional indicators of stress may also be incorporated, such as a selfdirected behavior, i.e., grooming. This behavior may increase or decrease depending on the severity of stress. Mild stress (restraint during a short time) increases grooming,18 while chronic highstress (footshocks), decreases grooming.19 Noticeably, antidepressant drugs reverse the effect of mild stress.18,20 Herein, FST may be considered as a stressful situation, but some differences may be expected depending on the length of the test.
We, therefore, hypothesized that a serialFST experimental design may be useful for determining the onset and duration of action of a given treatment (e.g. progesterone and allopregnanolone). In a longitudinal serialFST design we evaluated antidespairlike behavior produced by progesterone or allopregnanolone, and compared the results with a vehicletreated group. The OFT assessed any influence of changes in locomotor activity on immobility time, and grooming to explore the response to stress.
MATERIAL AND METHODS
Animals
Fiftyone adult female Wistar rats were used, weighing 200250 g at the beginning of the experiments. They were housed in acrylic boxes (six rats per cage) at room temperature (25 ± 1°C) under a 12 h/12 h light/dark cycle (lights on at 7:00 a.m.) with ad libitum access to purified water and food. All of the experimental procedures followed National Institutes of Health Guidelines.21 The local Ethics Committee (Biomedical Research Institute, Universidad Nacional Autónoma de México) approved the experimental protocol.
Ovariectomy
Rats were ovariectomized 14 days before the behavioral procedures to control changes in immobility in the FST associated with hormonal oscillations during the estrous cycle.22 Under diethyl ether anesthesia (J.T. Baker, Mexico), the ovaries were removed through an abdominal approach. Hormone levels were allowed to stabilize for 2 weeks before the tests.23 The rats were then randomly assigned to the experimental groups.
Experimental groups and treatments
A longitudinal study was performed in three independent groups of rats receiving a single injection of different drugs. The control group (n= 17) received vehicle (2hidroxypropylγcyclodextrin dissolved in injectable sterilized water to obtain a 35% solution). The progesterone group (n= 17) received 1.0 mg/kg progesterone. The allopregnanolone group (n= 17) received 1.0 mg/kg allopregnanolone. Progesterone, allopregnanolone, and vehicle were injected 15 min (0.25 h) before the behavioral tests (volume injected: 0.8 ml/kg, i.p.). Steroid doses were chosen from previous studies.3,4 All chemical compounds were obtained from Sigma Chemical Co. (St. Louis, MO, USA).
Forced swim test
We did not use any pretest session. In this longitudinal design, the behavioral effects of hormones were evaluated 0.25, 0.5, 1, 2, 4, 6, and 24 h after single injections (figure 1). In each of the seven sessions, the rats were placed individually for 5 min in a rectangular pool (height, 60 cm; length, 30 cm; width, 50 cm) with 24 cm deep water (25 + 1°C). Immobility was assumed either when the rat floated without making vigorous movements leading to displacements and only maintained its head above the water surface or when the rat touched the bottom of the pool with at least two points of contact (e.g., one or both hind paws and the tail) for more than 2 s.
Open field test
Before each session in the FST, the rats were evaluated in the OFT. Rats were placed individually in an acrylic box (height, 20 cm; length, 44 cm; width, 33 cm), with twelve squares delineated on the floor (11 x 11 cm) to evaluate the number of squares crossed (i.e., crossings) and the cumulative grooming time during the 5 min test. Crossings were considered an indication of mobility, and grooming was considered an indicator of «emotionality» in response to stress. Crossings were counted when the rat passed from one square to another with all four paws. Grooming included24 paw licking, nose/face grooming (strokes along the snout), head washes (semicircular movements over the top of the head and behind the ears), body grooming/ scratching (body fur licking and scratching the body with the hind paws), leg licking, and tail/genital grooming (licking of the legs, genital area, and tail).
After each experimental session, the open field box was carefully cleaned with a cleaning solution (0.5% ammonia, 15% ethanol, 10% extran, 5% isopropyl alcohol, 19% Pinol, and 50.5% water) and immediately dried with paper towels. Five minutes elapsed after cleaning the box, allowing the scent of the substances to disperse. All tests were performed during the light period. The testing room was illuminated with white light (40 lux) by a tungsten lamp placed 2 m above the OFT and FST devices.
All sessions in the FST and OFT were videotaped and subsequently reviewed until reaching 100% agreement by trained observers who were blind to the experimental conditions.
Statistical analysis
We used twoway analysis of variance (ANOVA), with treatment (vehicle, progesterone and allopregnanolone) as the first factor and session (0.25, 0.5, 1, 2, 4, 6, and 24 h) as the second factor. Values of p<0.05 were considered statistically significant. Significant effects in the ANOVA were followed by the StudentNewmanKeuls (SNK) post hoc test. Data are expressed as mean ± standard error.
RESULTS
Serial Forced Swim Test
The twoway ANOVA showed significant effects of treatment (F2,335 =27.09, p<0.0001) and session (F6,335=16.64, p<0.0001) and a significant treatment × session interaction (F12,335=4.67, p<0.0001). The SNK post hoc test showed that rats from the control group displayed the highest immobility time (45.5±1.2s) compared with the progesterone (31.1±1.3 s) and allopregnanolone groups (32.9±1.2s), which displayed similar low values. The allopregnanolone group exhibited reduced immobility beginning 0.5h after injection, whereas the progesterone group exhibited reduced immobility 1h after injection (figure 2). Additionally, the low immobility timedetected in the allopregnanolone group persisted for a shorter period of time (1.5h) than in the progesterone group (5h).

Open field test
The twoway ANOVA showed no significant effect of treatment (F2,335=2.95, p=0.07) on the crossings but a significant effect of session (F6,335=56.38, p<0.0001). The treatment × session interaction was not significant (F12,335=1.05, p=0.40). The SNK post hoc test showed that during six sessions the crossings were reduced significantly (p<0.05) after the first session of the serialFST, an effect that was independent of treatment (figure 3).

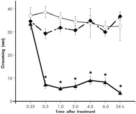
The twoway ANOVA showed significant effects of treatment (F2,335=137.34, p<0.0001) and session (F6,335=5.35, p<0.0001) on grooming behavior and a significant treatment × session interaction (F12,335=3.93, p<0.0001). The SNK post hoc test showed that all groups displayed similar grooming values in the first OFT session. Afterward, the control group significantly reduced grooming (p<0.05), and this reduction lasted for at least 24h. However, in the progesterone and allopregnanolone groups, the grooming values remained at similar amounts throughout the seven sessions of the serialFST (figure 4).

DISCUSSION
The present study used a serialFST to determine the timedependent effects of two neuroactive steroids, with the OFT used to exclude the possible influence of locomotor activity on swimming behavior and grooming as an indicator of stress. The control group reduced crossings and grooming from the second test onward. No changes in total immobility time were observed in the control group, but the steroid effects became more pronounced with time. Progesterone and allopregnanolone both reduced immobility time in the FST. Although the effects of allopregnanolone in the FST were observed at an earlier time point than progesterone, this effect endured for less time than that produced by its precursor, without changes in locomotion and grooming in the OFT. Progesterone and allopregnanolone produced effects in FST similar to those produced by antidepressant drugs. However, the steroids produced rapid onset of shortduration antiimmobility effects with a single, low dose.
Both one session of the FST25 and acute stress26 increase allopregnanolone content in brain and plasma of male and female rats, which appears to be an adaptive process given that high plasma levels of this steroid reduce immobility in the FST. Progesterone also exerts antistresslike effects.27 The main contribution of the present study is the observation of the timedependent effects of these steroids. The reduction in immobility appeared earlier with allopregnanolone than progesterone, but the duration of allopregnanolone effects was shorter. These results indicate that some of the anxiolytic or antidespairlike effects of progesterone may be attributable to biotransformation to its αreduced metabolite, allopregnanolone.28 This fact could partially explain the differences in the observed latency and duration of effects. Allopregnanolone is a metabolite of progesterone, which is hydroxylated and sulfated29 and could be more rapidly eliminated, as observed after its infusion in rats,30 thus causing a brief duration of its antidespairlike effects. But also, the metabolism of progesterone to allopregnanolone may sustain the longer antidespairlike effects of progesterone.
Progesterone and allopregnanolone exert anxiolyticlike effects through GABAA receptor, so it may be a constraint how they produce antidepressant like effects. The reason is that progesterone exerts antistresslike effects and, in addition, allopregnanolone produces antidespairlike effects in rats parallel to an increase in γaminobutyric acidA (GABAA) γ 2 subunit mRNA activity.31 Furthermore, the brain structures involved in the regulation of despair and anxiety, like the hippocampus and lateral septum, contain a high density of GABAA receptors in which allopregnanolone may act reducing the immobility time in the FST32 when is microinjected in both brain structures.
Both progesterone and allopregnanolone reduce crossings in the OFT (i.e., less locomotor activity) and decrease immobility in the FST (i.e., more swimming activity), demonstrating that the change in immobility was not related to a change in locomotion. Additionally, the control group did not exhibit altered immobility during the seven sessions. Therefore, the present results obtained using these two steroids may not be attributable to fatigue, which is also supported by the fact that the effects of progesterone and allopregnanolone in the serialFST showed a Ushaped distribution over time, allowing the detection of differences related to the onset and duration of the effects.
In female rats, grooming is influenced by hormonal oscillations during the estrous cycle. The young and adult rats display the highest values of grooming during the estrus phase, indicating that progesterone and estrogens are involved in the expression of this behavior.33 In our study, rats were ovariectomized; consequently, the hormonal influence from gonadal source in results may be discarded. However, we found that the control group exhibited nearly no grooming after the first session of the serialFST, suggesting some stress produced by being forced to swim. Herein, an anxiolytic (muscimol) increases grooming, while an anxiogenic (bicuculline) inhibits grooming in rats.34 We found that the progesterone and allopregnanolone groups displayed this selfdirected behavior during the six sessions at similar values than the first session, suggesting a protective effect against the stress induced by repeated FST, supporting the assumption of antistresslike effects of both steroids.
From our results, both steroids produced behavioral effects during several hours, an intriguing fact, due to its short half life. While in the rat the plasma half life of progesterone surrounds 1h,35 in mice the half life of allopregnanolone is about 30min.36 However, both steroids accumulate in brain tissue36 and the initial effect produced by progesterone is strengthened by its αreduction to allopregnanolone.22
CONCLUSION
We confirm previous observations of an antidespairlike effect of progesterone and allopregnanolone, in both cases the effects occur with a considerable short latency and effects do not last more than 24 hours, which merits to be considered in clinical studies dealing with some depressive cases, namely those for whom it is needed a briefshort antidepressant action. Lastly, these results show that the serialFST may be a useful tool for detecting timedependent antidespairlike effects of drugs with antidepressant potency.
ACKNOWLEDGEMENTS
The authors thank Michael Arends for revising and editing the English version of this manuscript. This study was partially supported by a grant from the Consejo Nacional de Ciencia y Tecnología, México (CONACyT: CB20061, 61741).
REFERENCES
1. Picazo O, FernándezGuasti A. Antianxiety effects of progesterone and some of its reduced metabolites: an evaluation using the burying behavior test. Brain Res 1995;680(12):135141. [ Links ]
2. MartínezMota L, Estrada Camarena E, López Ruvalcaba C, Contreras CM et al. Interaction of desipramine with steroid hormones on experimental anxiety. Psychoneuroendocrinology 2000;25(2):109120. [ Links ]
3. MartínezMota L, Contreras CM, Saavedra M. Progesterone reduces immobility in rats forced to swim. Arch Med Res 1999;30(4):286289. [ Links ]
4. RodríguezLanda JF, Contreras CM, BernalMorales B, GutiérrezGarcía AG et al. Allopregnanolone reduces immobility in the forced swimming test and increases firing rate of lateral septal neurons through actions on the GABAA receptor in the rat. J Psychopharmacol 2007;21(1):7684. [ Links ]
5. Finn DA, Purdy RH, Koob GF. Animal models of anxiety and stressinduced behavior: effect of neuroactive steroids. In: Smith SS (ed). Neurosteroid effects in the central nervous system: The role of the GABAA receptor. Washington DC: CRC Press; 2004. [ Links ]
6. de Ziegler D, Fanchin R. Progesterone and progestins: applications in gynecology. Steroids 2000;65(1011):671679. [ Links ]
7. Klatzkin RR, Morrow AL, Light KC, Pedersen, CA et al. Histories of depression, allopregnanolone responses to stress, and premenstrual symptoms in women. Biol Psychol 2006;71(1):211. [ Links ]
8. GutiérrezGarcía AG, Contreras CM, DíazMeza JL. Cómo actúa la progesterona en el Sistema Nervioso Central. Salud Mental 2000;23(2):4248. [ Links ]
9. Rupprecht R. Neuroactive steroids: mechanisms of action and neuropsychopharmacological properties. Psychoneuroendocrinology 2003;28(2):139168. [ Links ]
10. Porsolt RD, Le Pichon M, Jalfre M. Depression: a new model sensitive to the antidepressant treatment. Nature 1977;266(5604):730732. [ Links ]
11. Kulkarni SK, Dhir A. Effect of various classes of antidepressants in behavioral paradigms of despair. Prog Neuropsychopharmacol Biol Psychiatry 2007;31(6):12481254. [ Links ]
12. Hayashi E, Shimamura M, Kuratani K, Kinoshita M et al. Automated experimental system capturing three behavioral components during murine forced swim test. Life Sci 2011;88(910):411417. [ Links ]
13. Contreras CM, RodríguezLanda JF, GutiérrezGarcía AG, BernalMorales B. The lowest effective dose of fluoxetine in the forced swim test significantly affects the firing rate of lateral septal neurones in the rat. J Psychopharmacol 2001;15(4):231236. [ Links ]
14. Ampuero E, Rubio FJ, Falcon R, Sandoval M et al. Chronic fluoxetine treatment induces structural plasticity and selective changes in glutamate receptor subunits in the rat cerebral cortex. Neuroscience 2010;169(1):98108. [ Links ]
15. Contreras CM, Marván ML, AlcaláHerrera V, GuzmánSáenz MA. Chronic clomipramine increases firing rate in lateral septal nuclei of the rat. Physiol Behav 1990;48(4):551554. [ Links ]
16. Borsini F, Lecci A, Sessarego A, Frassine R et al. Discovery of antidepressant activity by forced swimming test may depend on preexposure of rats to a stressful situation. Psychopharmacology 1989;97(2):183188. [ Links ]
17. Wieland S, Lucki I. Antidepressantlike activity of 5HT1A agonist measured with the forced swim test. Psychopharmacology 1990;101(4):497504. [ Links ]
18. D'Aquila PS, Peana AT, Carboni V, Serra G. Exploratory behaviour and grooming alter repeated restraint and chronic mild stress: effect of desipramine. Eur J Pharmacol 2000;399(1):4347. [ Links ]
19. van Dijken HH, van der Heyden JAM, Mos J, Tilders FJH. Inescapable footshocks induce progressive and longlasting behavioural changes in male rats. Physiol Behav 1992;51(4):787794. [ Links ]
20. Hata T, Nishimura Y, Kita T, Itoh E et al. The abnormal openfield behavior of SARTstressed rats and effects of some drugs on it. Jpn J Pharmacol 1988;48(4):479490. [ Links ]
21. National Research Council. Guide for the care and use of laboratory animals. 7th ed. Washington: National Academy Press; 1996. [ Links ]
22. Frye CA, Walf AA. Changes in progesterone metabolites in the hippocampus can modulate open field and forced swim test behavior of proestrous rats. Horm Behav 2002;41(3):306315. [ Links ]
23. Freeman ME. The ovarian cycle of the rat. In: Knobil E, Neill J (eds). The physiology of reproduction. New York: Raven Press; 1988. [ Links ]
24. Kalueff AV, Touhimaa P. Grooming analysis algorithm for neurobehavioural stress research. Brain Res Protoc 2004;13(3):151158. [ Links ]
25. Purdy RH, Morrow AL, Moore PH Jr, Paul SM. Stressinduced elevations of gammaaminobutyric acid type A receptoractive steroids in the rat brain. Proc Natl Acad Sci USA 1991;88(10):45534557. [ Links ]
26. Barbaccia ML, Serra M, Purdy RH, Biggio G. Stress and neuroactive steroids. In: Biggio G, Purdy RH (eds). Neurosteroids and brain function. San Diego: Academic Press; 2001. [ Links ]
27. Reddy DS. Pharmacology of endogenous neuroactive steroids. Crit Rev Neurobiol 2003;15(34):197234. [ Links ]
28. Bitran D, Shiekh M, McLeod M. Anxiolytic effect of progesterone is mediated by the neurosteroid allopregnanolone at brain GABAA receptors. J Neuroendocrinol 1995;7(3):171177. [ Links ]
29. Anderson RA, Baillie TA, Axelson M, Cronholm T et al. Stable isotope studies on steroid metabolism and kinetics: sulfates of 3áhydroxy5ápregnane derivatives in human pregnancy. Steroids 1990;55(10):443457. [ Links ]
30. Zhu D, Wang MD, Bäckström T, Wahlström G. Evaluation and comparison of the pharmacokinetic and pharmacodynamic properties of allopregnanolone and pregnanolone at induction of anaesthesia in the male rat. Brit J Anaesth 2001;86(3):403412. [ Links ]
31. Nin MS, Salles FB, Azeredo LA, Frazon APG et al. Antidepressant effect and changes of GABAA receptor g2 subunit mRNA after hippocampal administration of allopregnanolone in rats. J Psychopharmacol 2008;22(5):477485. [ Links ]
32. RodríguezLanda JF, Contreras CM, GarcíaRios RI. Allopregnanolone microinjected into the lateral septum or dorsal hippocampus reduces immobility in the forced swim test: participation of the GABAA receptor. Behav Pharmacol 2009;20(7):614622. [ Links ]
33. Scimonelli T, Marucco M, Celis ME. Agerelated changes in grooming behavior and motor activity in female rats. Physiol Behav 1999;66(3):481484. [ Links ]
34. Osborne PG, Mataga N, Onoe H, Watanabe Y. Behavioral activation by stimulation of a GABAergic mechanism in the preoptic area of rat. Neurosci Lett 1993;158(2):201204. [ Links ]
35. Gangrade NK, Boudinot FD, Price JC. Pharmacokinetics of progesterone in ovariectomized rats after single dose intravenous administration. Biopharm Drug Dispos 1992;13(9):703709. [ Links ]
36. Mellon SH, Wong W, Schonemann MD. Endogenous and synthetic neurosteroids in treatment of Niemann Pick Type C Disease. Brain Res Rev 2008;57(2):410420. [ Links ]













