Introducción
La caracterización y evaluación de los recursos fitogenéticos del aguacate (Per- sea americana) (Lauraceae) constituye un área de investigación estratégica que puede responder a retos en sistemas productivos actuales y futuros (Ben-Ya’acov y Zilbersteine, 1999). Una de las principales limitantes del cultivo en la actualidad, es la pudrición de raíz causada por el oomicete Phytophthora cinnamomi (Peronos- poraceae). Este patógeno destruye las raíces finas afectando la captación de agua y nutrientes, lo que conlleva al desarrollo de síntomas secundarios en el follaje y a mediano plazo muerte de la planta (Mora-Aguilera et al., 2007). El manejo de esta problemática es limitado y se recomienda abordarla desde una perspectiva integrada (Drenth y Guest, 2004; Ramírez-Gil et al., 2017), en donde el uso de por- tainjertos con atributos de resistencia a P. cinnamomi se propone como una de las principales opciones, debido a que, al ser combinada con otras prácticas de manejo de forma adecuada puede ser una alternativa de solución sostenible a mediano y largo plazo (Engelbrecht y Van den Berg, 2013).
El nivel de resistencia a P. cinnamomi en germoplasma de aguacate puede ser evaluado de forma indirecta a través de la técnica de inoculación por herida al tallo. Esta técnica de selección emplea la propagación vegetativa de germoplasma de aguacate a través de yemas injertadas sobre portainjertos desarrollados por semilla sexual. Cuando el brote injertado obtiene el desarrollo adecuado, se realiza una pe- queña herida en el tallo en la que se inserta un disco de PDA (Agar-Papa-Dextrosa) con micelio del patógeno, sobre el cual se evalúa el progreso de la lesión durante un tiempo determinado (Dolan y Coffey, 1986; Gabor y Coffey, 1991; Rodríguez et al., 2017). Esta es una técnica probada como método alternativo preliminar para la detección rápida y conveniente de genotipos de aguacate potencialmente resis- tentes a P. cinnamomi, debido a su fácil reproducibilidad y favorable correlación con el método de inoculación directo en raíz (Dolan y Coffey, 1986; Gabor y Co- ffey, 1991; Rodríguez-Padrón et al., 2018). Sin embargo, el uso de esta técnica de selección debe garantizar la mayor uniformidad en el desarrollo vegetativo de los injertos, especialmente en tamaño, grado de lignificación y diámetros de tallo ade- cuados para la inoculación, esto con el propósito de obtener menor variación en el área de las lesiones en las unidades experimentales de un genotipo al ser inoculado con P. cinnamomi (Gabor y Coffey, 1991; Rodríguez et al., 2017).
El objetivo de este trabajo fue comparar y caracterizar dos métodos de desarro- llo de brotes en injertos de aguacate para determinar niveles de resistencia indirecta a P. cinnamomi a través de la técnica de inoculación por herida al tallo, esto con el propósito de disponer de un método adecuado de multiplicación y de desarrollo de brotes, que permita la mayor fiabilidad al momento de evaluar y seleccionar de forma preliminar genotipos de aguacate con atributos de resistencia al patógeno.
Materiales y Métodos
Área de estudio. El trabajo fue realizado en las instalaciones del Centro de Inves- tigación Palmira de AGROSAVIA, Valle del Cauca, Colombia (03°30’43.6’’ LN y 76°18’53.5’’ LO; 1001 msnm), durante octubre de 2019 a marzo de 2020.
Acondicionamiento de semillas y producción de portainjertos. Para la produc- ción de portainjertos se utilizaron semillas de aguacate antillano (P. americana var. americana) provenientes de árboles reconocidos como donadores de semilla del centro productor de Alvarado (Tolima, Colombia) (Berdugo-Cely et al., 2023; López-Galé et al., 2022). La extracción de semillas se realizó de forma manual de frutos sanos y en etapa de madurez fisiológica. Para garantizar la limpieza y desin- festación de las semillas la cubierta seminal fue retirada completamente. A todas se les realizó corte apical de 1 cm para facilitar la emergencia del epicótilo. Posterior- mente, fueron desinfestadas con una solución de 2 cm3 L-1 Fosetyl + Propamocard y 3 g L-1 Carboxin + Captan por 2 minutos.
El sustrato utilizado para la germinación fue arena fina previamente solarizada y desinfestada con 2 cm3 L-1 Fosetyl + Propamocard. Las semillas una vez sembradas permanecieron bajo cubierta plástica y polisombra color negro con reducción de luz del 50 % hasta obtener emergencia del epicótilo mayor a 1 cm, el cual marcaba el momento óptimo de trasplante a bolsa de vivero con sustrato. El sustrato utiliza- do en el trasplante fue turba, cascarilla de arroz, arena y vermiculita en relaciones 4:2:1:1, respectivamente, previamente solarizado y desinfestado con 2 cm3 L-1 Fo- setyl + Propamocard.
Propagación vegetativa de germoplasma de aguacate. Se seleccionaron dos ge- notipos de aguacate con diferente grado de resistencia y susceptibilidad a P. cinna- momi de la Colección Colombiana de Germoplasma de Aguacate (AGROSAVIA, Centro de Investigación Palmira). Los genotipos seleccionados fueron aguacate var. ‘Hass’ identificado como genotipo susceptible (Rodríguez et al., 2017; Sán- chez-Gonzalez et al., 2019) y el clon estándar ‘Duke-7’ reportado como genotipo medianamente resistente a P. cinnamomi (Barrientos-Priego et al., 2007; Kellam y Coffey, 1985). La multiplicación clonal de los genotipos de aguacate se realizó con yemas injertadas en púa terminal sobre portainjertos previamente propagados por semilla. Las yemas de cada genotipo fueron colectadas, procesadas y desinfestadas atendiendo las recomendaciones de Rodríguez et al. (2017).
Método convencional de desarrollo de injertos. El método se tomó a partir de las recomendaciones establecidas por Bernal-Estrada y Díaz-Díez (2020), en donde se dan los lineamientos para la propagación de material de siembra en vivero. En este método, las semillas germinadas de aguacate antillano fueron trasplantadas a bol- sas de vivero color negro con capacidad volumétrica de 6 L de sustrato. El injerto de las yemas de aguacate Hass y Duke-7 se realizó a la altura de 20 cm con respecto a la base del tallo del portainjerto, garantizando como mínimo diámetro en el por- tainjerto ≥ 6 mm. Las plántulas injertadas permanecieron bajo cubierta plástica y polisombra color negro con reducción de luz del 50 % hasta obtener prendimiento y alturas de brotes mayor a 30 cm y diámetros de tallo ≥ 6 mm a la altura de 8 cm por encima del punto de injertación (Figura 1A).
Método de desarrollo de injertos etiolados. El método fue ajustado a partir del protocolo descrito por Frolich y Platt (1972), para la propagación de portainjertos clonales y las recomendaciones establecidas por Gabor y Coffey (1985), para eva- luar germoplasma de aguacate frente a P. cinnamomi. En este método, el trasplante de las semillas germinadas se realizó sobre bolsas negras de vivero con capacidad volumétrica de 0.5 L de sustrato. Las yemas de aguacate Hass y Duke-7 se injerta- ron a la altura de 3 cm con respecto a la base del tallo del portainjerto, garantizando que como mínimo a esta altura el portainjerto tuviera un diámetro ≥ 6 mm. Las plantas injertadas se trasladaron a cámara oscura o de etiolación al observar pren- dimiento del injerto y desarrollo de brote apical mayor a 1 cm, esto con la finalidad de garantizar su viabilidad antes de entrar a la cámara de etiolación (Figura 1B).
La etiolación de los brotes fue de aproximadamente 25 días, durante este pro- ceso la cámara de etiolación presentó temperatura promedio de 25.8 °C (Intervalo: 23.9-26.9 °C) y humedad relativa promedio del 88.1 % (Intervalo: 76.1-93.5 %). Las plántulas etioladas fueron trasladadas a condiciones de casa malla con cubierta plástica y polisombra color negro con reducción de luz del 50 % cuando registraron

Figura 1 Proceso de propagación y desarrollo de brotes en injertos de aguacate. A) Método conven- cional de desarrollo de injertos, B) método de desarrollo de injertos etiolados. Los puntos y líneas amarillas indican la ubicación en donde se realizó la herida e inoculación de P. cinnamomi.
tamaño mayor a 30 cm de alto y diámetros de tallo ≥ 6 mm a la altura de 8 cm por encima del punto de injertación. El tiempo de aclimatación y reverdecimiento de los brotes etiolados fue de 45 días (Schmidt, 1986) (Figura 1B).
Aislamientos de Phytophthora cinnamomi. Para la obtención y producción de inó- culo de P. cinnamomi, se realizó la reactivación de tres aislamientos conservados en la colección de trabajo del laboratorio de fitopatología de AGROSAVIA, Centro de Investigación Palmira, los cuales han sido previamente evaluados y catalogados como altamente virulentos en pruebas de patogenicidad (Palacios-Joya et al., 2023; Rodríguez et al., 2017; Rodríguez-Polanco et al., 2015). Los aislamientos selec- cionados fueron: Ag-A-041 colectado en el corregimiento de Tribunas Córcega en el departamento de Risaralda, Ag-A-003 procedente de municipio de Rionegro en el departamento de Antioquía y Tamb-009 colectado en el municipio de El Tam- bo, departamento del Cauca. Los tres aislamientos de P. cinnamomi provienen de muestras de raíces colectadas en árboles de aguacate con síntomas de marchitez.
La reactivación de los aislamientos se realizó en manzanas verdes de acuerdo con la metodología de Erwin y Ribeiro (1996). En cámara de flujo laminar, las manzanas fueron desinfestadas superficialmente con alcohol al 96 %, luego con hipoclorito de sodio al 1 % y posteriormente se realizaron tres lavados con agua destilada estéril. De la parte media de las manzanas, se extrajo una porción de pulpa creando un orificio de 1 cm de profundidad con un sacabocados de 1 cm de diáme- tro previamente esterilizado. En el orificio se colocó un disco de PDA con micelio de cada aislamiento conservado. Finalmente, el orificio fue cerrado con la pulpa extraída y cubierto con cinta Parafilm. Las manzanas fueron depositadas en cámara húmeda a 28 °C hasta obtener necrosis de corteza.
A partir de las necrosis observadas en las manzanas, se tomaron pequeños frag- mentos de tejido sano y necrosado (5 mm2) que fueron sembrados en cajas Petri con un medio de cultivo selectivo para Phytophthora (PDA + fungicidas + antibióticos) (Tsao y Guy, 1983). El crecimiento en caja Petri de los tres aislamientos se realizó en incubadora a 28 °C y la confirmación taxonómica se realizó por caracterización morfológica macroscópica de crecimiento de colonia y microscópica de estructuras vegetativas y reproductivas (Abad et al., 2023).
Inoculación. La inoculación con P. cinnamomi se realizó por medio de la técnica de herida al tallo (Dolan y Coffey, 1986; Gabor y Coffey, 1991; Rodríguez et al., 2017; Rodríguez-Polanco et al., 2015). La herida fue realizada a la altura de 8 cm por encima del punto de injertación, para lo cual se levantó un fragmento de corteza de 10 mm de largo por 5 mm de ancho y un 1 mm de profundidad. En la herida se colocó un disco de PDA de 6 mm de diámetro con micelio de cada uno de los tres aislamientos de P. cinnamomi evaluados de forma individual (Figura 1). En las plantas testigo se insertaron discos de PDA de 6 mm de diámetro sin inóculo. La herida fue cubierta con cinta Parafilm para fijar el inóculo, evitar la contaminación y asegurar la colonización del patógeno al tejido.
Parámetros de comparación y análisis de datos. En cada método se cuantificó el número de días que tardaron los injertos en alcanzar el diámetro de inoculación (≥ 6 mm) a la altura de 8 cm por encima del punto de injertación.
El área de las lesiones generadas por P. cinnamomi se determinó mediante la medición del largo y ancho cada tres días hasta completar 24 días de evaluación.
Con los datos obtenidos se determinó el Área Bajo la Curva del Progreso de la En- fermedad (ABCPE) y sus respectivos Coeficientes de Variación (CV). Durante todo el periodo de evaluación se documentó la aparición de síntomas de enfermedad a través de la identificación de necrosis, clorosis, marchitez y muerte de los injertos. Las condiciones climáticas de temperatura (°C) y humedad relativa (%) en casa malla fueron monitoreadas con una Miniestación WatchDog 2475.
Se realizaron cortes histológicos de tallos en injertos de aguacate Hass y Duke- 7 con el fin de conocer la estructura tisular de los brotes en cada método antes de realizar la inoculación con P. cinnamomi. Los cortes histológicos fueron realizados con la metodología de Andrade-Hoyos et al. (2015).
El estudio se evaluó bajo un diseño experimental completamente al azar (DCA) con arreglo factorial 2*2*3, donde el primer factor correspondió a los métodos de desarrollo de brotes evaluados, el segundo factor a los genotipos de aguacate y el tercer factor a los tres aislamientos de P. cinnamomi. Por tratamiento se conside- raron tres repeticiones y por repetición tres plantas como unidad experimental. Se realizaron análisis de varianzas (ANOVA) y las comparaciones de medias se de- terminaron con la prueba de Duncan (p≤0.05). Los datos fueron procesados con el programa estadístico SAS versión 9.4 (Statistical Analysis System) para Windows.
Resultados y Discusión
Se encontraron diferencias estadísticas altamente significativas entre los tiem- pos de desarrollo de los brotes de acuerdo con los métodos evaluados (F=12.18; p≤0.05). En los dos genotipos de aguacate (Hass y Duke-7), los brotes sometidos a etiolación y posterior reverdecimiento en condiciones de vivero presentaron rápido crecimiento y desarrollo en comparación con el método convencional.
El desarrollo del diámetro mínimo estimado (6 mm) a la altura de 8 cm por en- cima del punto de injertación en brotes etiolados de aguacate Hass, se obtuvo a los 101 días y en Duke-7 a los 107 días en promedio; mientras que, en brotes propaga- do por el método convencional el diámetro mínimo en aguacate Hass se obtuvo a los 141 días y en Duke-7 a los 159 días en promedio (Cuadro 1). Lo anterior indica que, para aguacate Hass y Duke-7 la obtención de diámetros de tallos adecuados para la inoculación con P. cinnamomi a través del método de etiolación, puede re- ducir los tiempos de desarrollo de los brotes (medido en días) hasta en un 30.6 % en promedio, comparado con los brotes desarrollados por el método convencional. Además, la etiolación de los injertos también pudo garantizar mayor uniformidad en el desarrollo de los brotes, lo cual puede ser explicado por los bajos CV obteni- dos para aguacate Hass (5.14 %) y para Duke-7 (5.51 %) (Cuadro 1).
Los diámetros adecuados para inoculación (≥ 6 mm) en cámara de etiolación se obtuvieron entre los 19 y 25 días posterior a la injertación en ambos genotipos.
Cuadro 1. Desarrollo vegetativo estimado (días) de injertos de aguacate Hass y Duke-7 propagados por el método convencional y por etiolación.
| Desarrollo vegetativo (días) | |||
|---|---|---|---|
| Método | Genotipo | ||
| Promedio ± D.E.x | CVy (%) | ||
| Convencional | Hass | 141 ± 12.8 a* | 9.07 |
| Duke-7 | 159 ± 14.1 a | 8.86 | |
| Etiolación | Hass | 101 ± 5.2 b | 5.14 |
| Duke-7 | 107 ± 5.9 b | 5.51 | |
| DMSz = 38.2 | |||
*valores promedios con letras diferentes son estadísticamente diferentes.
xD.E.: desviación estándar
yCV: coeficiente de variación
zDMS: diferencia mínima significativa
Además, se corroboró que la aclimatación y reverdecimiento por 45 días de los tejidos etiolados, fue adecuado para garantizar la lignificación y anchura de corteza en los brotes de aguacate Hass y Duke-7 (Schmidt, 1986) (Figura 2), atributos que son requeridos en inoculaciones artificiales de tallos de aguacate con P. cinnamomi (Rodríguez et al., 2017).
La etiolación de los tejidos es una respuesta de crecimiento natural de las plan- tas de aguacate que se produce en ausencia de luz, este estado proporciona cambios estructurales a nivel morfológico y anatómico que promueven el desarrollo celular (Hiti-Bandaralage et al., 2017). Los brotes etiolados de los genotipos Hass y Duke- 7 presentaron aumentos estructurales de diámetros de tallo, especialmente en el ancho cortical y de los radios del xilema, favorecido por un agrandamiento celu- lar (Figura 2). Estos resultados explicarían en cierta manera, el rápido desarrollo obtenido de los brotes para ambos genotipos en cámara de etiolación, y son muy consistentes con lo observado por Schmidt (1986) en tallos etiolados de la especie arbórea Tilia tomentosa (Malvaceae).
Para los dos métodos de desarrollo de brotes y para los dos genotipos de agua- cate, los tres aislamientos de P. cinnamomi causaron pudriciones en corteza externa en forma de manchas o cancros color café oscuro con exudaciones de apariencia blanquecina; mientras que, en la corteza interna se observó el avance de lesiones y decoloraciones de tejido con pudriciones color marrón o rojizo. Estas observacio- nes son consistentes con lo informado por Fischer et al. (2020) y Rodríguez-Padrón et al. (2018), quienes indicaron que las lesiones externas e internas generadas en tallos por diferentes aislamientos de P. cinnamomi a través de la inoculación de discos de PDA con micelio, son capaces de inducir muerte de corteza y muerte de tejido vascular. Esto confirma que el uso de micelio de P. cinnamomi puede causar

Figura 2 Micrografías de cortes histológicos de tallos de aguacate Hass y Duke-7 de- sarrollados por el método convencional y por el método de etiolación (40X). (PM) Parénquima medular, (X1) xilema primario, (X2) xilema secundario, (PC) parénquima cortical, (P) peridermis, (E) epidermis.
infecciones tan efectivas como las generadas con la inoculación de zoosporas en tallos de aguacate (Van der Merwe et al., 1990).
En todas las plantas inoculadas fue posible el reaislamiento de P. cinnamomi como el agente causal del incremento de necrosis en los brotes de aguacate. Los tres aislamientos de P. cinnamomi en medio de cultivo PDA presentaron patrones similares de crecimiento de colonia tipo petaloide con coloración blanca y mice- lio con crecimiento rastrero (Figura 3A). Microscópicamente presentaron hifas cenocíticas, ramificadas, con hinchazones globosas y subglobosas (Figura 3B);

Figura 3 Características macroscópicas y microscópicas del aislamiento A-Ag- 041 de P. cinnamomi. (A) Crecimiento de colonia en medio de cultivo PDA, (B) micelio (hifas), (C) clamidosporas, (D) esporangio.
clamidosporas globosas terminales de pared gruesa (Figura 3C), esporangióforos no ramificados con esporangios no papilados, con forma elipsoide y limoniforme (Figura 3D), con dimensiones de alto entre 48.2-57.3 µm y ancho entre 32.7-33.4 µm. Estas descripciones son similares a las reportadas por Abad et al. (2023) para
P. cinnamomi.
Síntomas de clorosis, marchitez y decaimiento de hojas y tallos se observaron a partir de los 9 días posteriores a la inoculación (dpi) en ambos métodos de desa- rrollo de brotes. Sin embargo, la muerte de brotes en plántulas propagadas por el método convencional fue evidente a partir de los 15 dpi; mientras que, en brotes etiolados se presentó a los 22 dpi. La mayor mortalidad de brotes ocurrió en Hass y fue mayor en brotes propagados por el método convencional (Cuadro 2). La muerte de los brotes estuvo relacionada con el avance de la lesión, ya que una vez el daño lograba cubrir completamente el perímetro del tallo se producía la muerte del in- jerto (Fischer et al., 2020). En las plantas testigo sin el patógeno, no se observaron necrosis ni avance de lesiones en corteza más allá del punto de corte.
Cuadro 2 Mortalidad de brotes en injertos de aguacate Hass y Duke-7 propagados por el método convencional y por etiolación e inoculados con P. cinnamomi.
| Hass | Duke-7 | ||||
|---|---|---|---|---|---|
| Método | Número de plantas inoculadas | Número de plantas inoculadas | |||
| Mortalidad | Mortalidad | ||||
| Convencional | 27 | 5 (18 %) | 27 | 2 (7 %) | |
| Etiolación | 27 | 3 (11 %) | 27 | 0 (0 %) | |
| Total | 54 | 8 (14.8 %) | 54 | 2 (3.7 %) |
Las condiciones climáticas de la casa malla fueron adecuadas para el desarro- llo de síntomas de enfermedad. En el experimento, la temperatura promedio fue de 23.3 °C (Intervalo: 17.2-31.2 °C) y la humedad relativa promedio del 71.6 % (Intervalo: 42.7-97.8 %), lo cual coincide con condiciones climáticas informadas por Andrade-Hoyos et al. (2012), Fischer et al. (2020) y Rodríguez et al. (2017) en ensayos de infección con P. cinnamomi.
El análisis de varianza para los valores medios del ABCPE no mostró diferencias significativas entre métodos (F=1.84; p=0.1881); sin embargo, se presentaron dife- rencias entre genotipos (F=13.52; p=0.001), aislamientos (F=3.47; p=0.047) y en- tre las interacciones de genotipo*método (F=4.22; p=0.05) y genotipo*aislamiento (F=3.34; p=0.037), esto hizo que cada tratamiento fuera analizado de forma inde- pendiente en cada método y por cada genotipo de aguacate.
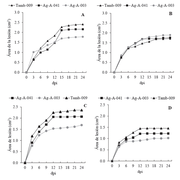
En brotes desarrollados por el método convencional, se observó solapamiento en las curvas de crecimiento promedio de las lesiones entre aislamientos a través del tiempo (Figura 4A y B). El tamaño de lesión (24 dpi) para aguacate Hass en los tres aislamientos varió entre los 1.78 y 2.40 cm; mientras que en Duke-7 varió entre los 1.70 y 1.89 cm. En estos brotes no se encontraron diferencias significativas en- tre genotipos de acuerdo con el ABCPE (F=0.73; p=0.4091). En brotes de aguacate Hass, el aislamiento Tamb-009 fue el de mayor agresividad; mientras que los aisla- mientos Ag-A-041 y Ag-A-003 el ABCPE fue menor y estadísticamente similar. En Duke-7, por el contrario, no se logró discriminar diferencias de agresividad entre aislamientos (Figura 5A). En los brotes propagados por el método convencional fue frecuente encontrar hojas y ramas laterales en la zona de inoculación que dificulta- ron la evaluación (Figura 6A) y posiblemente el avance de las lesiones necróticas generadas por el oomicete.

Figura 4 Avance del área de la lesión en injertos de aguacate Hass y Duke-7 desarrollados por el método convencional y el método de etiolación, e inoculados con tres aislamientos de P. cinnamomi. (A) Genotipo Hass convencional, (B) genotipo Duke-7 convencional, (C) ge- notipo Hass etiolado, (D) genotipo Duke-7 etiolado.

Figura 5 Área Bajo la Curva del Progreso de la Enfermedad (ABCPE) en injertos de aguacate Hass y Duke-7 desarrollados por el método convencional y por el método de etiolación (B).
En brotes desarrollados por el método de etiolación, el tamaño de las lesiones (24 dpi) en aguacate Hass para los tres aislamientos varió entre 1.68 y 2.35 cm; mientras que en Duke-7 varió entre 1.02 y 1.45 cm. En este método, se encontraron diferencias estadísticas altamente significativas entre genotipos (F=4.22; p<0.05) y entre aislamientos de P. cinnamomi de acuerdo con los valores medios de ABCPE (p≤0.05). El desarrollo de las lesiones para los tres aislamientos fue mayor en el genotipo Hass comparado con Duke-7. En los dos genotipos el tamaño de la lesión tuvo un crecimiento exponencial durante los primeros 12 dpi, y a partir de los 15 dpi se observó un patrón de crecimiento relativamente estable hasta finalizar el estudio (Figura 4C y D). La prueba de comparación de medias de Duncan para ambos genotipos identificó al aislamiento Tamb-009 como el de mayor agresivi- dad, seguido por los aislamientos Ag-A-041 y Ag-A-003 los de menor agresividad (Figura 5B).

Figura 6 Desarrollo de necrosis en injertos de aguacate inoculados con P. cinnamomi. (A) Va- riación del área de necrosis en injertos de aguacate Hass desarrollados por el método convencional (12 dpi). (B) Testigo sin inóculo en injerto de aguacate Hass desarro- llados por el método convencional. (C) Variación en el área de necrosis en injertos de aguacate Hass desarrollados por el método de etiolación (12 dpi). (D) Testigo sin inóculo en injerto de aguacate Hass desarrollados por el método de etiolación. Las fechas en rojo indican la presencia estructuras vegetativas que impiden la adecuada evaluación del área de la necrosis.
Independiente del método de desarrollo de brotes evaluado, el genotipo ‘Hass’ fue el de mayor desarrollo de lesión, ABCPE (3231.7 mm2) y muerte de injertos (14.8 %), lo cual confirma la alta susceptibilidad de este genotipo a P. cinnamo- mi (Rodríguez et al., 2017; Sánchez-Gonzalez et al., 2019). Del mismo modo, se corrobora mayor resistencia a P. cinnamomi en el genotipo Duke-7 al presentar menor tamaño de lesión, ABCPE (2463.6 mm2) y muerte de injertos (3.7 %) (Ba- rrientos-Priego et al., 2007; Kellam y Coffey, 1985). Estas diferencias de resisten- cia y susceptibilidad a P. cinnamomi expresada por los genotipos Duke-7 y Hass, respectivamente, fueron muy marcadas en los injertos desarrollados por el método de etiolación.
Por otro lado, se confirma la alta capacidad infectiva del aislamiento Tamb-009 en los ensayos evaluados, inclusive mayor al aislamiento Ag-A-041, de quien se ha corroborado alta patogenicidad y agresividad en estudios previos de inoculación en tallos de aguacate. Por ejemplo, Rodríguez-Polanco et al. (2015), utilizando la téc- nica de herida al tallo en injertos de aguacate Hass, evaluaron 22 aislamientos de P. cinnamomi obtenidos de diferentes regiones productoras de aguacate en Colombia, estos autores encontraron que el aislamiento Ag-A-041 fue el de mayor agresividad (ABCPE=64104 mm2), logrando longitudes de necrosis en tallos entre 15 y 20 cm. Resultados similares fueron presentados por Rodríguez et al. (2017), quienes eva- luando 21 genotipos de aguacate con tres aislamientos de P. cinnamomi por herida al tallo, encontraron que el aislamiento Ag-A-041 fue el de mayor agresividad y velocidad de infección (ABCPE=4086 mm2).
La uniformidad del tamaño de las lesiones generadas por los tres aislamientos de P. cinnamomi en los dos genotipos de aguacate, fue mayor en brotes desarrolla- dos por el método de etiolación (Figura 6). Estos resultados estuvieron respaldados por porcentajes menores registrados en los CV del ABCPE para brotes etioladas de los genotipos Hass y Duke-7, en donde el nivel de variación fluctuó entre el 11.1 y el 24.2 %; mientras que, en brotes desarrollados por el método convencional los
Cuadro 3 Valores promedios y Coeficiente de Variación (CV) del Área Bajo la Curva del Progreso de la Enfermedad (ABCPE) de tres aislamientos de P. cinna- momi inoculados en injertos de aguacate Hass y Duke-7 desarrollados por el método convencional y por el método de etiolación.
| Método | Genotipo | Aislamiento | ABCPE | CV (%) |
|---|---|---|---|---|
| Convencional | Hass | Tamb-009 | 3504.4 | 60.0 |
| Ag-A-041 | 3081.6 | 64.4 | ||
| Ag-A-003 | 2890.9 | 38.9 | ||
| Duke-7 | Tamb-009 | 2698.1 | 37.6 | |
| Ag-A-041 | 2846.4 | 51.4 | ||
| Ag-A-003 | 2915.6 | 43.3 | ||
| Etiolación | Hass | Tamb-009 | 3853.8 | 20.0 |
| Ag-A-041 | 3358.7 | 24.2 | ||
| Ag-A-003 | 2700.8 | 17.8 | ||
| Duke-7 | Tamb-009 | 2471.4 | 11.1 | |
| Ag-A-041 | 2089.5 | 11.6 | ||
| Ag-A-003 | 1760.5 | 17.2 |
porcentajes de variación fluctuaron entre el 38.9 y el 64.4 % para ambos genotipos (Cuadro 3). Lo anterior, permite confirmar mayor uniformidad en el tamaño de las lesiones en brotes etiolados cuando las unidades experimentales de un genotipo son sometidas a un tratamiento específico (p. ej. Aislamiento), esto es producto de la menor variación en el desarrollo vegetativo de los injertos y posiblemente favore- cido por el agrandamiento y mejor arreglo celular a nivel histológico en los brotes etiolados, especialmente en el parénquima cortical (PC) (Figura 1), que es donde se produce el corte y la inserción del disco de PDA con micelio de P. cinnamomi.
Conclusiones
Los resultados presentados muestran que las plantas de aguacate obtenidas a partir de la injertación y posterior etiolación de brotes, presentaron rápido cre- cimiento (101-107 días), mayor uniformidad en el diámetro de tallos (6 mm) (CV=5.14-5.51 %) y mayor uniformidad en el desarrollo de las lesiones dentro de las unidades experimentales de cada genotipo al momento de ser inoculadas con P. cinnamomi (CV=11.1-24.2 %), lo que genera una mayor confiabilidad en los resul- tados a la hora evaluar resistencia-susceptibilidad en germoplasma de aguacate. El método de brotes etiolados también permitió discriminar diferencias en los niveles de resistencia entre genotipos y en el grado de agresividad entre aislamientos de P. cinnamomi.
En el método convencional de desarrollo de injertos, la respuesta de infección con P. cinnamomi presentó mayor variabilidad en el crecimiento de las lesiones (CV=38.9-64.4 %), logrando discriminar grados parciales de agresividad entre ais- lamientos, pero no niveles de resistencia entre genotipos.










text in 


