Servicios Personalizados
Revista
Articulo
Indicadores
-
Citado por SciELO -
Accesos
Links relacionados
-
Similares en
SciELO
Compartir
Revista mexicana de fitopatología
versión On-line ISSN 2007-8080versión impresa ISSN 0185-3309
Rev. mex. fitopatol vol.25 no.1 Texcoco 2007
Artículos científicos
Jasmonic Acid Accelerates the Expression of a Pathogen-Specific Lipoxygenase (POTLX-3) and Delays Foliar Late Blight Development in Potato (Solanum tuberosum L.)
El ácido jasmónico acelera la expresión de la lipooxigenasa (POTLX-3) patógeno-específica y retarda el desarrollo del tizón tardío en papa (Solanum thuberosum L.)
Miriam Tejeda-Sartorius, Norma Angélica Martínez-Gallardo, Víctor Olalde-Portugal, and John Paul Délano-Frier
Centro de Investigación y de Estudios Avanzados del IPN, Unidad Irapuato, km 9.6 Libramiento Norte Carr. Irapuato-León, Apdo. Postal 629, Irapuato, Guanajuato, México CP 36500. Correspondence to: jdelano@ira.cinvestav.mx.
Received: September 6, 2006
Accepted: October 13, 2006
Abstract. The induced resistance to Phytophthora infestans (Phi) in potato plants (Solanum tuberosum) treated with combinations of jasmonic acid (JA), systemin (SYS), and β- amino butyric acid (BABA) was analyzed. Changes in the levels of β-1,3-glucanase (BG) and chitinase (CHI) activity and POTLX-3 expression, a pathogen-induced leaf lipooxygenase, were also measured. BABA + SYS induced a weak accumulation of POTLX-3 transcripts in uninfected plants, whereas all BABA-containing mixtures enhanced POTLX-3 expression 48 h after Phi infection which was not correlated to an increased resistance response. Conversely, plants treated with JA and JA + SYS showed a delayed progression of the disease, which coincided with a rapid and transient increase of POTLX-3 expression observed 24 h postinfection. These effects were suppressed when JA was applied simultaneously with BABA, an elicitor which generally made plants more susceptible to Phi, even though it induced significant increases in CHI and BG activity levels. Accordingly, a possible antagonism between JA and BABA signalling pathways is discussed. Furthermore, the positive correlation found between an earlier expression of POTLX-3 and resistance to late blight, suggested that it could be part of the mechanism through which JA- and JA+SYS treatments induced the observed protection.
Keywords: Phytophthora infestans, systemin, β-aminobutyric acid, induced resistance.
Resumen
Se analizó la inducción de resistencia contra Phytophthora infestans (Phi) en plantas de papa (Solanum tuberosum) tratadas con combinaciones de ácido jasmónico (JA), sistemina (SYS) y ácido β-aminobutírico (BABA). También se evaluaron cambios en la actividad de quitinasa (CHI) y β-1,3-glucanasa (BG) y en la expresión de POTLX-3, una lipooxigenasa patógeno-específica. El tratamiento de BABA + SYS indujo una débil acumulación de transcritos de POTLX-3 en plantas no infectadas, mientras que en todas las mezclas conteniendo BABA se incrementó la expresión de POTLX-3 a las 48 h post-infección por Phi, la cual no estuvo correlacionada a un incremento de la resistencia. Por el contrario, las plantas tratadas con JA y JA + SYS mostraron un retardo en el progreso de la enfermedad, que coincidió con un incremento rápido y transitorio de la expresión de POTLX-3, observado a las 24 h post-infección. Estos efectos se suprimieron al aplicar JA simultáneamente con BABA evocador que, en general, aumentó la susceptibilidad a Phi, a pesar de que indujo aumentos significativos en los niveles de actividad de CHI y BG. Debido a estos hallazgos, se discute el posible antagonismo entre las vías de señalización de JA y BABA. Además los resultados sugieren que la expresión temprana de POTLX-3 podría ser parte del mecanismo por el cual los tratamientos JA y JA+SYS conducen a la resistencia incrementada contra el tizón tardío.
Palabras clave: Phytophthora infestans, sistemina, ácido β-aminobutírico, resistencia inducida.
In Mexico, approximately 80% of the total potato (Solanum tuberosum L.) production is represented by the cultivar Alpha, which is susceptible to late blight caused by Phytophthora infestans (Phi) (Mont.) de Bary (Rubio-Covarrubias y Flores-Gurtiérrez, 1997 cited by Grünwald et al, 2000). A high percentage of the total production costs are therefore destined for the chemical control of this disease in the field, increasing the need for alternative strategies for its control. Jasmonic acid (JA), JA methyl ester (MeJA), and β-aminobutyric acid (BABA) have been successfully employed to induce resistance to Phi (Cohen and Niderman, 1993; Cohen, 1994; Cohen, 2002; Cohen et al., 1994), whereas systemin, a polypeptide hormone that regulates the systemic responses to wounding in coordination with JA, has been shown to contribute to an increased resistance to necrotrophic fungal pathogens (i.e., Botrytis cinerea Pers.:Fr.) in tomato (Lycopersicon esculentum Mill.) and related solanaceous plants, including potato (Ryan, 2000; Díaz et al., 2002). A number of chemical changes have been associated with enhanced resistance to disease in BABA-treated plants, including the accumulation of PR proteins, whereas the mechanism by which JA or MeJA protect potato plants against late blight has not been identified, although increased levels of free radicals due to enhanced lipooxygenase activity has been suggested as a possible alternative (Cohen, 2002). The identification of a novel lipooxygenase gene (POTLX-3) in potato supports this possibility. This gene codifies for an inducible 9-lipooxygenase that is specifically expressed in leaves in response to pathogens, exogenous jasmonic acid (JA), and ethylene, but not wounding. Its expression was also found to be rapidly induced in incompatible interactions between resistant potato cultivars and Phi (Kolomiets et al., 2000). In spite of the documented evidence on the effectiveness that these elicitors have in the induction of protection against Phi in potato, we are not aware of any research effort conducted to determine the existence of a possible crosstalk between these elicitors in order to detect any synergistic or antagonistic relationship between them that could affect their resistance-inducing properties. Accordingly, susceptible potato plants were treated with JA, SYS, and BABA, and combinations of them, and subsequently challenged with Phi under conditions that were highly conducive to the progression of the disease. The results obtained indicate that treatments with exogenous JA or JA + SYS could represent an effective method to retard the appearance of foliar late blight symptoms and that this effect might be mediated by the enhanced expression of POTLX-3 following infection with Phi.
MATERIALS AND METHODS
Biological material. Potato plants (cv. Alpha) were propagated and grown under conditions described by Tejeda-Sartorius (2003). The virulent strain of P. infestans (mating type A2) used in this study was obtained from a collection maintained by the Biochemical Ecology laboratory in Irapuato. It was grown on clarified V8 agar medium according to Erwin and Ribeiro (1996). Prior to plant infection, zoospore release was induced according to Tejeda-Sartorius (2003). The inoculum used to infect plants was adjusted to ca. 2000 zoospores/mL. Plants were kept in a closed chamber in which suitable conditions for the development of late blight disease were maintained, e.g., relative humidity ≥ 95%, and moderate ambient temperature (18-20°C).
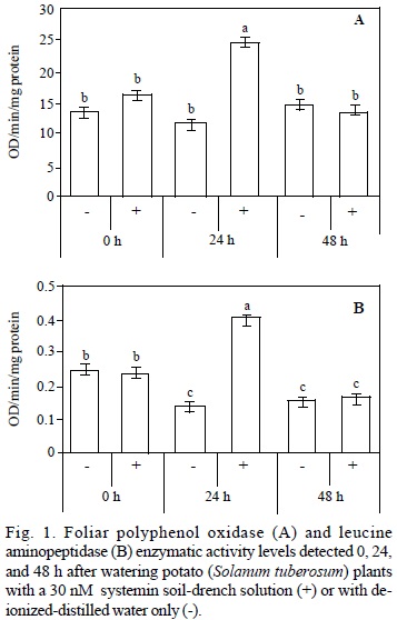
Plant treatments and Phi challenge. Four independent experiments were performed with potted plants having 5 to 7 compound leaves. Each plant constituted an experimental unit, which were randomly distributed inside the closed chamber after treatment. At least 9 plants per treatment were used. The treatments were the following: 1) untreated control; 2) 1000 μg/mL JA; 3) 19.4 mM BABA; 4) 100 nM SYS; 5) JA + BABA; 6) JA + SYS; 7) BABA + SYS, and 8) JA + BABA + SYS. The dosages employed were based on previous studies that reported protection against Phi in JA-treated potato plants (Cohen and Niderman, 1993), and BABA-treated tomato plants (Cohen et al., 1994), respectively. JA and BABA were applied as foliar sprays until run-off (ca. 3 mL/plant), whereas systemin was applied as a soil drench at 30 mL/plant. Prior to the experiments, the accumulation of leucine aminopeptidase (LAP), and polyphenol oxidase (PPO) activity was assayed in leaves of systemin-treated plants in order to confirm systemin absorption by potato roots. The above enzymes are well-known markers of the systemin pathway. Control plants were treated with water only. JA was produced from the alkaline hydrolysis of MeJA as described by Farmer et al. (1992). BABA and MeJA were acquired from Sigma-Aldrich Chemical Co. (St. Louis MO, USA) and tomato systemin was chemically synthesized (BQ-SOS Laboratories, Mexico). Plants were infected with ca. 8000 zoospores/plant 48 h after treatment. Severity of the infection by Phi was visually evaluated 24, 48, 120, 192, and 264 h post-infection (p.i.) (experiment 1), and 24, 48, and 120 h p.i (experiment 2), according to a scale developed by Malcolmson (1976), and subsequently illustrated by Cruickshank et al. (1982). This scale grades infection from level 1 (highly susceptible) to 8 (highly resistant). For biochemical (CHI and BG activities) and molecular assays (POTLX-3 expression), two sets of leaves from three plants (odd and even numbered leaves starting from the oldest leaf) were sampled 48 h after treatment (0 h p.i.; experiment 3), and 24, 48, and 120 h p.i. (experiment 4). Leaf samples were flash frozen in liquid nitrogen and subsequently stored at -80°C until required.
Biochemical and molecular assays. LAP and PPO activities in leaves of systemin-treated plants were determined according to Appel (1974) and Thaler et al. (1996), using leucine-p-nitroanilide and chlorogenic acid as substrates, respectively. CHI and BG activities were determined in salted out (90% saturation (NH4)2SO4) protein extracts prepared from 20 mg lyophilized leaf material in 400 μL of a 50 mM sodium acetate buffer (pH 5.5). CHI activity was determined according to Villagómez-Castro et al. (1992), using 4-methylumbelliferyl-β-D-N,NI,NII-triacetylchitotrioside hydrate as substrate, whereas BG activity was assayed according to Zheng and Wozniak (1997) using laminarin as substrate. All assays (except CHI) were modified to fit a microplate format. Foliar enzyme activities were calculated per mg total protein. Protein content was measured according to Bradford (1976), employing a commercial kit (Bio-Rad Laboratories, USA). All substrates and enzymes employed as controls were acquired from Sigma-Aldrich Chemical Co. POTLX-3 expression was assayed using reverse-transcription polymerase chain reaction (RT-PCR). Total leaf RNA extraction and reverse transcription (RT) were conducted employing the TRI-Pure isolation reagent (Roche, USA) and SuperScript™ Reverse Transcriptase (Invitrogen, USA), respectively, following the manufacturer's instructions. After cDNA synthesis, PCR amplification was carried out using oligonucleotides 5'-CAGGCATATCTTCCCGGTGAA-3' (forward) and 5'-TCTTGAGGCGTAGAGTTT-3' (reverse), which were designed on the basis of the reported sequence for POTLX-3 cDNA (GenBank/EMBL accession number: U60202). The reaction was performed using the following conditions: 1 min at 94°C, 1 min at 55°C, 1 min at 72°C for 35 cycles, and an additional extension period of 10 min at 72°C. A fragment (400 bp) of the constitutively expressed potato ubiquitin carrier protein gene, homologous to the tobacco NTUBC-2 gene (GenBank accession number: ABO26056), was amplified as an internal loading control, using the oligonucleotides:5'-GAAGAGACTGGTGAGGGATTTTA AG-3' (forward) and 5'-GCGCACCTTCCTGTTGTATTCG-3' (reverse). The PCR conditions were the same to those mentioned previously, except for the annealing temperature which was 53°C. All primers were synthesized by Invitrogen. Amplicons were analysed by 0.8% agarose gel electrophoresis and cloned directly into TOPO 2.1 vector (Invitrogen), as indicated by the manufacturer, and sequenced. The size (863 bp) and sequence of all the amplicons obtained which showed 100% homology with POTLX-3, confirmed that the primer pair employed, which had the potential to amplify other LOX genes present in potato, were specific for this pathogen-inducible LOX gene.
Statistical analysis. The results derived from the biochemical assays were examined by analysis of variance (ANOVA), in agreement with the experimental design. For ANOVA tables where the F test was significant at P = 0.05, the Tukey method was applied to obtain 95% simultaneous confidence intervals for the differences among treatment means. All analyses were performed using the statistical software package, version 2.5, designed by the University of Nuevo León, México (Olivares, 1994).
RESULTS
The virulence of the Phi strain used in this study was confirmed by the complete necrosis observed in potato leaves, 120 h after infection with agar discs or an homogenate of mycelium, sporangia, and zoospores (not shown), whereas the systemic induction of wound-responsive proteins in potato plants in which systemin was supplied through the roots, was corroborated by the accumulation of LAP and PPO activity in leaves of systemin-treated plants (Fig. 1). In experiments 1 and 2, the progress of infection in the variously treated plants was followed by periodic visual inspections. The results obtained from both experiments were reproducible and only those obtained from the second experiment are shown (Fig. 2). All unchallenged plants treated with elicitor mixtures containing BABA developed small necrotic lesions, which became visible 24 h after treatment. This effect was attenuated by JA and/or SYS (not shown). This response has been reported before in several plants species treated with BABA, and has been attributed to a phytotoxic effect that phenocopies the hypersensitive response (HR) (Cohen, 2002; Siegrist et al., 2000); however, it had no protective effect since BABA-treated potato plants showed increased susceptibility to Phi, as evidenced by a more extensive damage observed 120 h p.i. in plants treated with BABA- and BABA + SYS. The simultaneous application of JA and SYS appeared to attenuate the BABA-related susceptibility, as observed 120 h p.i in plants treated with BABA + JA and BABA + JA + SYS. Moreover, plants treated with JA and JA + SYS were clearly protected against Phi infection, as shown by the moderate level of infection developed in these plants 120 h p.i. In contrast, resistance in SYS-treated plants was similar to that observed in controls (Fig. 2). In this study, an inverse relationship between leaf CHI and BG activity levels (Fig. 3) and resistance to Phi infection (Fig. 2) was observed. Most chemical elicitor combinations examined did not induce a significant accumulation of BG and CHI activity in unchallenged plants assayed 48 h after application, except for the significant 1.9-fold increase in CHI levels observed in BABA-treated plants. BABA-treated plants also responded more intensely to infection, as evidenced by the significant 1.8- and 2.3-fold increases detected 48 h p.i. in BG and CHI activity levels, respectively. The combination of BABA with other chemical elicitors, in particular when applied together with JA + SYS, either interfered with the BABA-related priming of BG and CHI accumulation in infected plants or suppressed activity to below control levels. Furthermore, JA, SYS, and JA + SYS had an inhibitory effect, since CHI and BG levels detected in these plants 48 h p.i., were significantly lower than those in infected controls (except for CHI in SYS-treated plants). Inhibition was stronger for BG than for CHI, considering that the extent of inhibition with respect to controls, ranged from a 1.5-fold reduction in CHI levels in JA-treated plants to a 4.4-fold reduction in BG levels in SYS-treated plants (Fig. 3). Interestingly, CHI and BG levels dropped to almost undetectable levels 120 h p.i, independently of the treatment applied to plants. In general, the results suggest that increased levels in BG and CHI activity were not correlated with an enhanced resistance to Phi. In contrast to the BG and CHI accumulation patterns (Fig. 3), the priming ofPOTLX-3 expression, observed 24 h p.i in plants previously treated with JA and JA + SYS, coincided with an increased protection against Phi (compare Figs. 2 [3] and 4). The absence of detectable levels of POTLX-3 expression in BABA + JA- and BABA + JA + SYS-treated plants 24 h p.i., suggests a possible antagonism between JA and BABA signalling in potato plants. POTLX-3 expression was not observed in uninfected JA-and JA + SYS-treated plants 48 h after treatment. This was possibly due to the late sampling, since JA-induced POTLX-3 expression in leaves of susceptible potato cultivars is known to be rapid and transient, reaching a maximum level 6 h after treatment and returning to undetectable levels shortly thereafter (Kolomiets et al., 2000). Although SYS-treatment did not induce POTLX-3 expression, it nevertheless appeared to stabilize the primed expression of this gene by JA, since POTLX-3 transcripts were still visible 48 h p.i. in plants treated with JA + SYS but not in those treated with JA alone. A synergism between SYS and BABA was also implied by the expression of POTLX-3 in uninfected plants treated with BABA + SYS and BABA + JA + SYS, but not in those treated with BABA or SYS alone. POTLX-3 expression in the former two groups of treated plants declined 24 h p.i, and resurged, 48 h p.i., probably in response to a pathogen derived factor. Interestingly, the timing of POTLX-3 expression in these plants was very similar to the pattern of CHI and BG accumulation, both of which reached a maximum level 48 h p.i. and receded to low or undetectable levels 120 h p.i. Finally, the inconsistent expression of POTLX-3 in untreated plants, barely detectable 24 h p.i and only visible at 120 h p.i, was similar to the expression patterns of this gene reported in other compatible potato-Phi interactions (Kolomiets et al., 2000).

DISCUSSION
The effect of JA, BABA, and SYS on induced resistance against Phi in a susceptible potato cultivar was evaluated. These elicitors were applied singly, as described above for JA, SYS or BABA, or in combination, in order to detect any hitherto unexplored synergistic or antagonistic effects. Induced resistance was evaluated by comparing the progression of late blight disease in treated versus untreated infected plants. Biochemical (CHI and BG activity levels) and gene expression (POTLX-3) changes were also analyzed in order to determine their possible contribution to an induced resistance response against this pathogen. As observed in Figure 2, treatment of potato plants with JA and JA + SYS 48 h prior to infection with a virulent strain of Phi clearly retarded the progression of the blight. These results coincided with those reported by Cohen et al. (1993), who described similar, although higher, levels of protection after spraying susceptible potato cultivars (Bintje and Alpha) with an identical dose of JA (1000 μg/mL). Thus, the leaves of JA-and JA + SYS-treated plants inspected 120 h p.i. had between 40 to 60% of blighted area (compared to 70 to 80% in controls), whereas in the above study, the blighted area in leaves of JA-treated plants, determined five days after infection, was 3% of that recorded in untreated controls. This discrepancy could have been due to differences in the experimental conditions employed (e.g., live zoospores vs sporangia as inoculum and constant humidity vs moist conditions only in the first 20 h following infection), which could have influenced the degree of damage caused by Phi. A similar argument was presented by Zimmerli et al. (2001) to explain an unexpected increase in the susceptibility to infection by B. cinerea in mutant Arabidopsis plants affected in salicylic acid (SA) signalling, which had previously shown to be resistant under less stringent experimental conditions (Thomma et al., 1998). In contrast, plants treated with elicitor combinations containing BABA were more susceptible to infection by Phi. This was especially evident 120 h p.i in BABA- and BABA + SYS-treated plants. This occurred even when BABA-treated plants developed small necrotic lesions on the surface of the leaf. In other plant species, these necrotic lesions have been shown to mimic the HR produced in response to necrotrophic pathogens and to lead to a systemic acquired resistance (SAR) response and increased resistance against pathogen infection (Siegrist et al., 2000). The results with BABA-treated plants herewith obtained also differed with previous data indicating increased resistance against Phi when susceptible potato cultivars (including Alpha) were treated with BABA in laboratory and field settings (Cohen, 2002). Once again, differences in experimental conditions might explain the observed lack of coincidence, suggesting that BABA could be less effective, or even have a negative effect on resistance against Phi, in conditions that are favourable for infection. It is tempting to speculate that under high pressure from the pathogen, the HR phenocopy induced by BABA could have been exploited by Phi to facilitate infection. Other workers have reported that infection by some necrotrophic fungal pathogens, such as B. cinerea and probably, Sclerotinia sclerotiorum (Lib.) de Bary is facilitated by the HR (Govrin and Levine, 2000). Moreover, BABA appeared to interfere with the protective effect exerted by the JA and JA + SYS treatments, thereby suggesting that BABA could negatively affect JA-signalling. The proposed negative crosstalk between BABA and JA could be mediated by SA (a known antagonist of JA signalling) considering that: a) the application of BABA as foliar sprays has been observed to lead to the accumulation of SA in tobacco (Nicotiana tabacum L.), pepper (Capsicum annuum L.) and tomato, and b) BABA enhanced mRNA accumulation of an SA-associated PR-1 and was inactive against some pathogens in mutant plants affected in SA-dependent SAR signalling (Cohen, 2002; Zimmerli et al., 2000, 2001). However, the above hypothesis contradicts previous evidence showing that BABA protects plants against oomycete pathogens via an SA-independent mechanism (Cohen, 2002), thereby suggesting that other unknown mechanisms might be relevant in the negative JA/ BABA crosstalk. The lack of protection against Phi in SYS-treated plants coincided with previous results reported by Cohen and Niderman (1993), who found that feeding detached leaves of tomato and potato plants with systemin concentrations as high as 1000 μg/mL afforded no protection against late blight. Levels of CHI and BG in leaves of uninfected plants treated with all elicitor combinations were not significantly induced above control levels, except for CHI in BABA-treated plants. However, most BABA-containing treatment combinations induced a significantly higher levels of CHI and BG activity in infected plants, an effect that was in agreement the BABA-enhanced expression of PR-1 observed in other plant-pathogen interactions (e.g., Arabidopsis: B. cinerea; Arabidopsis: Pseudomonas syringae pv. tomato Okabe) (Cohen, 2002; Cohen et al., 1993; Hwang et al., 1997; Jeun and Buchenauer, 2001; Zimmerli et al., 2000, 2001). However, we showed that the BABA-related augmentation of BG and CHI levels in infected plants did not lead to an increased protection against Phi. This could be attributed to the relatively late (e .g., maximum levels at 48 h p.i) and transient (almost undetectable levels at 120 h p.i.) nature of CHI and BG accumulation in these plants. The lack of correlation between Phi resistance and BG/CHI activity was in agreement with a previous study showing that the BG and CHI protein and mRNA distribution and accumulation patterns were similar in compatible and incompatible potato-Phi interactions (Schröder et al., 1992), although others have reported that a higher constitutive expression of PR protein genes (e.g., PR-1, PR-2, and PR-5) could be related to non-specific resistance against Phi in Solanum species (Vleeshouwers et al., 2000). In contrast to the above, the primed expression of POTLX-3 observed in infected plants treated with JA and JA + SYS coincided with an increased resistance to Phi. Thus, the relation between a rapid expression of POTLX-3 after pathogen challenge and a retarded development of late blight symptoms observed in this work, suggests a role for this gene in protection against Phi in p otato plants. This proposal is supported by other studies that have established a link between increased levels of expression and/or activity of 9-lipooxygenases and resistance against Phytophthora (Göbel et al., 2001; Rancé et al., 1998; Rustérucci et al., 1999; Weber et al., 1999; Zimmerli et al., 2001). It was intriguing to observe that POTLX-3 expression was only detected in unchallenged plants treated with BABA + SYS and BABA + JA + SYS, and that this induction did not lead to protection against Phi. This result suggests a synergy between systemin and BABA, occurring through an unknown mechanism that allowed the basal expression of a gene that was found to be expressed only transiently by JA in susceptible potato cultivars (Kolomiets et al., 2000). Contrary, all treatments with elicitor combinations containing BABA retarded the expression of POTLX-3 in infected plants, further reinforcing the possibility that BABA acts negatively on JA signalling. In conclusion, this work showed that treatment with JA and JA + SYS delayed the progression of late blight disease in a susceptible potato cultivar and that the increased resistance observed coincided with a rapid, although transient, expression of POTLX-3 after infection. In contrast to other studies, treatment with BABA-containing elicitor solutions increased the susceptibility to Phi, an effect that is proposed to have occurred as a consequence of a negative crosstalk between JA- and BABA signalling pathways.
ACKNOWLEDGEMENTS
This work was supported by grants (0003-201-062 and 01-03-201-141) provided JDF by The Council for Science and Technology of the State of Guanajuato (CONCYTEG). MTS was supported by a postgraduate scholarship (157791) granted by the Mexican Council for Science and Technology (CONACYT). We are grateful to Dr. Alberto Flores-Olivas for his generous gift of the Phi strain used in this study and to Dr. Luis González de la Vara for critical review of the manuscript.
LITERATURE CITED
Appel, W. 1974. Amino acid arylamidases ("Leucine-nitroanilidase"). Determination with L-Leucine-p-nitroanilide as substrate. pp. 958-963. In: H.U. Bergmeyer (ed.). Methods of Enzymatic Analysis. Vol. 2. 2nd. Ed. Academic Press. New York, USA, USA. 1124 p. [ Links ]
Bradford, M. 1976. A rapid and sensitive method for the determination of microgram quantities of protein utilizing the principle of protein dye-binding. Analytical Biochemistry 72:248-254. [ Links ]
Cohen, Y. 1994. Local and systemic control of Phytophthora infestans in tomato plants by DL-3-amino-n-butanoic acids. Phytopathology 84:55-59. [ Links ]
Cohen, Y. 2002. β-aminobutyric acid-induced resistance against plant pathogens. Plant Disease 86:448-457. [ Links ]
Cohen, Y., Gisi, U., and Niderman, T. 1993. Local and systemic protection against Phytophthora infestans induced in potato and tomato plants by jasmonic acid and jasmonic acid methyl ester. Phytopathology 83:1054-1062. [ Links ]
Cohen, Y., Niderman, T., Mosinger, E., and Fluhr, R. 1994. β-aminobutyric acid induces the accumulation of pathogenesis-related proteins in tomato (Lycopersicon esculentum L.) plants and resistance to late blight infection caused by Phytophthora infestans. Plant Physiology 104:59-66. [ Links ]
Cruickshank, G., Stewart, H.E., and Wastie, L. 1982. An illustrated assessment for a foliage blight of potatoes. Potato Research 25:213-214. [ Links ]
Díaz, J., ten Have, A., and van Kan, J.A.L. 2002 The role of ethylene and wound signaling in resistance of tomato to Botrytis cinerea. Plant Physiology 129:1341-1351. [ Links ]
Erwin, C.D., and Ribeiro, O.K. 1996. Phytophthora Diseases Worldwide. The American Phytopathological Society, APS Press. St. Paul, Minnesota, USA. 561 p. [ Links ]
Farmer, E.E., Johnson, R.R., and Ryan, C.A. 1992. Regulation of the expression of proteinase inhibitor genes by methyl jasmonate and jasmonic acid. Journal of Plant Physiology 98:995-1002. [ Links ]
Göbel, C., Feussner, I., Schmidt, A., Scheel, D., Sánchez-Serrano, J., Hamberg, M., and Rosahl, S. 2001. Oxylipin profiling reveals the preferential stimulation of the 9-lipoxygenase pathway in elicitor-treated potato cells. Journal of Biological Chemistry 276:6267-6273. [ Links ]
Govrin, E.M., and Levine, A. 2000. The hypersensitive response facilitates plant infection by the necrotrophic pathogen Botrytis cinerea. Current Biology 10:751-757. [ Links ]
Grünwald, N.J., Rubio-Covarrubias, O.A., and Fry, W.E. 2000. Potato late-blight management in the Toluca Valley: Forecasts and resistant cultivars. Plant Disease 84:410-416. [ Links ]
Hwang, B.K., Sunwoo, J.Y., Kim, Y.J., and Kim, B.S. 1997. Accumulation of beta-1,3-glucanase and chitinase isoforms, and salicylic acid in the DL-beta-amino-n-butyric acid-induced resistance response of pepper stems to Phytophthora capsici. Physiological and Molecular Plant Pathology 51:305-322. [ Links ]
Jeun, Y.C., and Buchenauer, H. 2001. Infection structures and localization of the pathogenesis-related protein AP24 in leaves of tomato plants exhibiting systemic acquired resistance against Phytophthora infestans after pre-treatment with 3-aminobutyric acid or tobacco necrosis virus. Journal of Phytopathology 149:141-153. [ Links ]
Kolomiets, M.V., Chen, H., Gladon, R.J., Braun, E.J., and Hannapel, D.J. 2000. A leaf lipooxygenase of potato induced specifically by pathogen infection. Plant Physiology 124:1121-1130. [ Links ]
Malcomson, J.F. 1976. Assessment of field resistance to blight (Phytophthora infestans) in potatoes. Transactions of the British Mycological Society 67:321-325. [ Links ]
Olivares, S.E. 1994. Paquete de Diseños Experimentales. Versión 2.5. Facultad de Agronomía de la Universidad de Nuevo León, México. [ Links ]
Rancé, I., Fournier, J., and Esquerré-Tugayé, M.-T. 1998. The incompatible interaction between Phytophthora parasitica var. nicotianae race 0 and tobacco is suppressed in transgenic plants expressing antisense lipooxygenase sequences. Proceedings of the National Academy of Science USA 95:6554-6559. [ Links ]
Rustérucci, C., Montillet, J.-L., Agnel, J.-P., Battesti, C., Alonso, B., Knoll, A., Bessoule, J.-J., Etienne, P., Suty, L., Blein, J.-P., and Triantaphylidés, C. 1999. Involvement of lipooxygenase-dependent production of fatty acid hydroperoxides in the development of the hypersensitive cell death induced by cryptogein on tobacco leaves. Journal of Biological Chemistry 274:36446-36455. [ Links ]
Ryan, C.A. 2000. The systemin signaling pathway: differential activation of plant defensive genes. Biochimica et Biophysica Acta 1477:112-121 [ Links ]
Schröder, M., Hahlbrock, K., and Kombrink, E. 1992. Temporal and spatial patterns of 1,3-β-glucanase and chitinase induction in potato leaves infected by Phytophthora infestans. The Plant Journal 2:161-172. [ Links ]
Siegrist, J., Orober, M., and Buchenauer, H. 2000. β-Aminobutyric acid-mediated enhancement of resistance in tobacco to tobacco mosaic virus depends on the accumulation of salicylic acid. Physiological and Molecular Plant Pathology 56:95-106. [ Links ]
Tejeda-Sartorius, M. 2003. Efecto del tratamiento con ácido jasmónico, ácido aminobutírico, sistemina y combinaciones de éstos sobre la inducción de respuestas defensivas en papa (Solanum tuberosum, var. Alpha), contra Phytophthora infestans. Tesis de Maestría en Ciencias. CINVESTAV-IPN-Campus Guanajuato. Irapuato. Guanajuato, México. 69 p. [ Links ]
Thaler, J.S., Stout, M.J., Karban, R., and Duffey, S.S. 1996. Exogenous jasmonates simulate insect wounding in tomato plants (Lycopersicon esculentum) in the laboratory and field. Journal of Chemical Ecology 22:1767-1781. [ Links ]
Thomma, B.P.H.J., Eggermont, K., Penninckx, I.A.M.A., Mauch-Mani, B., Vogelsang, R., Cammue, B.P.A., and Broekaert, W.F. 1998. Separate jasmonate-dependent and salicylate-dependent defense-response pathways in Arabidopsis are essential for resistance to distinct microbial pathogens. Proceedings of the National Academy of Science USA 95:15107-15111. [ Links ]
Villagómez-Castro, J.C., Calvo-Mendez, C., and López-Romero, E. 1992. Chitinase activity in encysting Entamoeba invadens and its inhibition by allosamidin. Molecular and Biochemical Parasitology 52:53-62. [ Links ]
Vleeshouwers, V.G.A.A., van Dooijeweert, W., Govers, F., Kamoun, S., and Colon, L.T. 2000. Does basal PR gene expression in Solanum species contribute to non-specific resistance to Phytophthora infestans? Physiological and Molecular Plant Pathology 57:35-42. [ Links ]
Weber, H., Chételat, A., Caldelari, D., and Farmer, E.E. 1999. Divinyl ether fatty acid synthesis in late blight-diseased potato leaves. The Plant Cell 11:485-493. [ Links ]
Zheng, Y., and Wozniak, C.A. 1997. Adaptation of a β-1,3-glucanase assay to microplate format. BioTechniques 22:922-926. [ Links ]
Zimmerli, L., Métraux, J.P., and Mauch-Mani, B. 2001. β-Aminobutyric acid-induced protection of Arabidopsis against the necrotrophic fungus Botrytis cinerea. Plant Physiology 126:517-523. [ Links ]
Zimmerli, L., Jakab, G., Métraux, J.P., and Mauch-Mani, B. 2000. Potentiation of pathogen-specific defense mechanisms in Arabidopsis by β-aminobutyric acid. Proceedings of the National Academy of Science USA 97:12920-12925. [ Links ]













