Servicios Personalizados
Revista
Articulo
Indicadores
-
Citado por SciELO -
Accesos
Links relacionados
-
Similares en
SciELO
Compartir
Ingeniería sísmica
versión impresa ISSN 0185-092X
Ing. sísm no.79 Ciudad de México jul./dic. 2008
Artículo
Evaluación basada en desplazamientos de edificaciones de mampostería confinada
Oscar Zúñiga Cuevas1 y Amador Terán Gilmore 1
1 Universidad Autónoma Metropolitana, Av. San Pablo 180, Colonia Reynosa Tamaulipas, México 02200, D.F. al203380930@alumnos.azc.uam.mx, tga@correo.azc.uam.mx
Recibido el 10 de noviembre de 2006
Aprobado el 23 de enero de 2008
Resumen
Las tendencias arquitectónicas y las necesidades de urbanización de los grandes centros urbanos de la República Mexicana han dado lugar a edificaciones de mampostería cuya estructuración no satisface las condiciones de regularidad que se requieren para fomentar un desempeño sísmico adecuado. Bajo estas circunstancias, es importante que las edificaciones de mampostería se analicen con procedimientos basados en desempeño, que aporten información suficiente sobre la distribución de fuerzas y desplazamientos laterales en su rango inelástico de comportamiento. Este artículo discute un procedimiento de análisis no lineal que permite estimar de manera razonable el comportamiento de las edificaciones de mampostería confinada más allá de su límite elástico. Dicho procedimiento, que constituye la base para el planteamiento de metodologías de evaluación y de diseño por desempeño, se basa a su vez en el uso de un sistema equivalente de un grado de libertad y del modelo de la columna ancha, que es utilizado rutinariamente por los ingenieros de la práctica. Se ilustra el uso del procedimiento propuesto para la evaluación del desempeño sísmico de una edificación de mampostería de cuatro niveles.
Abstract
The architectural tendencies and the urbanization needs of the large urban centers of Mexico have given place to masonry buildings whose structural layout does not satisfy the regularity conditions required to promote an adequate seismic performance. Under these circumstances, it is important for masonry buildings to be analyzed with performance-based procedures that are capable of providing enough information regarding the lateral force and displacement distributions in their inelastic range of behavior. This paper discusses a non-linear analysis procedure that allows for a reasonable evaluation of the behavior of confined masonry buildings beyond their elastic limit. Such procedure, which constitutes the basis for the formulation of performance-based evaluation and design methodologies, is based on the use of an equivalent single-degree-of-freedom system and of the wide column model, widely used by practicing structural engineers. The use of the proposed model to evaluate the seismic performance of a four-story masonry building is illustrated.
Introducción
La mampostería es un material ampliamente utilizado para la construcción de viviendas en México. Desafortunadamente, el uso de los espacios urbanos requiere, en muchos casos, que la configuración estructural de las edificaciones dependan más de las necesidades arquitectónicas del proyecto que de un buen juicio de estructuración. Bajo estas circunstancias, los métodos de diseño basados en resistencia pueden dar lugar a sistemas sismorresistentes con un bajo nivel de seguridad estructural.
Dado el gran número de edificaciones de mampostería ubicadas en zonas de alto peligro sísmico de la República Mexicana, resulta relevante entender su comportamiento esperado ante solicitaciones sísmicas intensas. Esto requiere del planteamiento de nuevos criterios de análisis y diseño sísmico, cuyo principal objetivo sea reducir su vulnerabilidad a través del control explícito del daño estructural esperado durante los movimientos sísmicos de diseño. Una opción atractiva debido a su relativa simplicidad es el diseño sísmico basado en el control del desplazamiento lateral. Parte fundamental de este esquema radica en la posibilidad de evaluar la máxima demanda de desplazamiento lateral en la estructura, y de compararla con umbrales de desplazamiento asociados a diferentes estados límite. En los EE.UU. se han desarrollado una serie de lineamientos para una evaluación estructural basada en desplazamientos. Entre ellos pueden mencionarse los incluidos en el documento FEMA 273 (Federal Emergency Management Agency 1997), y su versión práctica, el FEMA 356 (Federal Emergency Management Agency 2000). Recientemente se ha publicado en ese mismo país el documento FEMA 440 (Applied Technology Council 2005), que constituye un intento por refinar y mejorar los métodos de evaluación propuestos en los FEMA 273 y 356. La figura 1 muestra esquemáticamente la curva de desplazamiento global contra cortante basal de una estructura (conocida como curva de capacidad), la cual se obtiene al sujetarla a un estado de desplazamiento lateral monótonamente creciente. La curva refleja los umbrales de desplazamiento lateral asociados a tres estados límite que plantean las recomendaciones FEMA. Para establecer dichos umbrales, se requiere establecer para diferentes desplazamientos de azotea, el nivel de daño que corresponde a los elementos estructurales en función de las demandas no lineales que exhiben. Con base en la definición que se haga para los diferentes estados límite en función del daño aceptable a nivel local, se establecen los umbrales de desplazamiento de azotea. La evaluación del desempeño de la edificación se hace al contrastar la demanda de desplazamiento lateral esperada en la estructura durante las excitaciones sísmicas de diseño con los diferentes umbrales de desplazamiento.

A pesar de los desarrollos recientes en México (Rodríguez 2004), no será posible la aplicación racional de metodologías basadas en desplazamiento a las edificaciones de mampostería hasta que no se desarrollen métodos de análisis no lineal para este tipo de estructuras. Dentro de este contexto, el objetivo del presente artículo es discutir un procedimiento simple para obtener la curva de capacidad de edificaciones de mampostería, y el uso de la misma dentro de una metodología de evaluación basada en desplazamientos. Se identifican los parámetros básicos que deben tomarse en cuenta para modelar analíticamente la respuesta de la mampostería en sus rangos elástico e inelástico de comportamiento, y se discuten las consideraciones implícitas en la estimación del nivel esperado de daño estructural en edificaciones de mampostería sujetas a excitaciones sísmicas de distintas intensidades.
Con base en evidencia experimental, la metodología aquí propuesta adapta el modelo de la columna ancha para plantear un modelo de análisis capaz de estimar la respuesta no lineal de las estructuras de mampostería. Esto permite establecer, conforme muestra la figura 2, la curva de capacidad de la edificación y los umbrales de desplazamiento asociados a los estados límites relevantes para el diseño. La demanda máxima de desplazamiento lateral se estima a partir de las propiedades dinámicas derivadas del modelo de análisis, y del uso de un sistema equivalente de un grado de libertad. Existen dos opciones para estimar el desplazamiento: A) Utilizar un espectro de diseño, y B) Llevar a cabo un análisis paso a paso. Una vez establecida la demanda máxima de desplazamiento se contrasta con los umbrales de respuesta para definir el desempeño sísmico esperado de la edificación.
Comportamiento de muros de mampostería ante carga lateral
Aunque el daño excesivo observado en estructuras de mampostería después de eventos sísmicos de diferente intensidad ha llegado a ganarle a la mampostería una mala reputación como material sismorresistente, las pruebas experimentales llevadas a cabo en México y en algunos países de América Latina, Europa y Asia, han dejado claro que con el debido cuidado durante su diseño y detallado, las estructuras de mampostería resultan una buena alternativa para la sismorresistencia. A pesar de lo anterior, es importante mencionar que todavía hay muchos casos de relevancia para la práctica de la ingeniería estructural para los que no se cuenta con la información suficiente sobre el comportamiento de muros y sistemas estructurales de mampostería.
Los resultados experimentales varían notablemente en función de la forma en que se aplican las cargas (cuasi-estáticas o dinámicas) a los especimenes de mampostería. Bajo estas circunstancias, el tipo de prueba experimental se vuelve un factor determinante en la calidad de la información con que se cuenta. A pesar de que se obtiene una mejor idea de la respuesta de las estructuras de mampostería a partir de pruebas dinámicas, la mayor parte de la información disponible a la fecha ha sido derivada de pruebas cuasi-estáticas. Dado lo anterior, los requerimientos de diseño incluidos actualmente en los códigos de diseño para estructuras de mampostería han sido calibrados a partir de pruebas cuasi-estáticas. El lector puede profundizar su conocimiento del comportamiento de la mampostería en los trabajos publicados por Alcocer (1997), Miranda (1999) y Zúñiga (2005).
Envolvente de Comportamiento Histerético
La envolvente de comportamiento histerético aporta información relevante sobre el comportamiento de muros de mampostería sujetos a cargas laterales cíclicas. Conforme muestra la figura 3, dicha envolvente corresponde a los puntos máximos asociados a cada ciclo de carga aplicado experimentalmente. Dado que el comportamiento de la mampostería suele estar dominado por la componente de deformación por corte (Sánchez et al. 1996), su respuesta tiende a estar caracterizada, aún para deformaciones relativamente pequeñas, por un importante deterioro de sus propiedades estructurales.
La figura 4 identifica zonas bien definidas asociadas a la envolvente del comportamiento histerético de muros de mampostería confinada:
a) Comportamiento elástico. A niveles pequeños de desplazamiento y esfuerzo, caracterizados por la presencia de agrietamiento horizontal en los castillos que confinan al muro y de un mínimo agrietamiento en el panel de mampostería, los muros exhiben un comportamiento prácticamente elástico.
b) Degradación de rigidez. Después de que se presenta el agrietamiento diagonal, los muros de mampostería exhiben una pendiente post-elástica positiva que es sustancialmente menor a la rigidez elástica inicial, lo que les permite alcanzar una resistencia máxima mayor que la que corresponde al primer agrietamiento.
c) Degradación de rigidez y resistencia. Una vez que alcanza su resistencia máxima, la mampostería exhibe una pendiente negativa asociada a pérdidas de resistencia y rigidez que evolucionan hasta la falla del muro.
Con base en evidencia experimental, Flores y Alcocer (1995) propusieron una curva trilineal para caracterizar la envolvente del ciclo histerético de muros de mampostería confinada de piezas macizas de barro recocido. Dicha propuesta, basada en la de Meli (1979), se diferencia en que el tercer tramo considera deterioro de resistencia. El modelo de Flores y Alcocer se define a partir de seis parámetros, varios de los cuales se estiman a partir de: A) Las expresiones establecidas por las Normas Técnicas Complementarias para Diseño y Construcción de Estructuras de Mampostería (NTCM-2004), B) La mecánica de materiales, y C) La geometría de los muros. Mientras que la Tabla 1 indica como se determinan los parámetros involucrados en el modelo, la figura 5 lo ilustra esquemáticamente. En la tabla Vagr corresponde al cortante de diseño establecido de acuerdo a las NTCM-2004 (VRDF = FR(0.5v*mAT + 0.3P) ≤ 1.5 FRv*mAT); H la altura del muro; DIagr la distorsión asociada al primer agrietamiento diagonal de la mampostería; DImax la distorsión en la que se alcanza la resistencia máxima (Vmax); DIult la distorsión última de la mampostería; Vult el cortante último; y K0 la rigidez elástica obtenida a partir de métodos tradicionales de la mecánica de materiales. Es importante aclarar que los valores de distorsión que aparecen como constantes en la tabla fueron establecidos de manera directa a partir de la evidencia experimental disponible.


Degradación de rigidez
Modelos como el de Flores y Alcocer permiten caracterizar la resistencia, rigidez y capacidad de deformación de elementos y estructuras de mampostería. Sin embargo, el planteamiento de un método para estimar la respuesta dinámica máxima de una estructura implica manejar otro tipo de información, como lo es el cambio de estas propiedades en función de las demandas máxima y acumulada de deformación. En particular, un sistema estructural de mampostería exhibe degradación de rigidez y resistencia en presencia de cargas cíclicas, situación que puede complicar de manera importante su análisis estructural.
El grado de deterioro que exhibe la rigidez lateral de las estructuras de mampostería puede establecerse mediante el concepto de rigidez de ciclo, que se define como la pendiente de la línea secante que une al origen del sistema coordenado con el punto asociado al cortante máximo/distorsión máxima en cada ciclo de carga (figura 6). Conforme puede apreciarse en la figura 3, los lazos de histéresis de la mampostería tienden a estabilizarse a través de la aplicación de varios ciclos de deformación constante. Si la distorsión se controla dentro del umbral definido por DImax, es posible aplicar de manera razonable el concepto de rigidez de ciclo a través de considerar la rigidez promedio que corresponde a los diferentes ciclos.

Es práctica común normalizar la rigidez de ciclo por la rigidez elástica inicial de la mampostería. A partir de resultados experimentales, Ruiz et al. (1998) proponen la siguiente expresión para estimar la rigidez de ciclo en muros de mampostería confinada sin refuerzo interior:

donde Ki es la rigidez de ciclo; K0 la rigidez elástica; DIi la distorsión a la que corresponde la rigidez Ki; y DIagr, la distorsión lateral asociada al agrietamiento diagonal de la mampostería. Note que DIi en la ecuación 1 debe ser mayor que DIagr.
Modelo de la columna ancha
En principio, un modelo analítico es una representación matemática de un sistema en el que deberán tomarse en cuenta las propiedades de la estructura, de tal forma que al aplicarse un sistema de fuerzas, éste responda de forma semejante a como lo haría la estructura analizada. En un análisis estructural es necesario considerar la disposición y dimensiones de los elementos estructurales que conforman la edificación. En este sentido, el modelo analítico de un edificio de mampostería debe estar constituido por un ensamblaje de elementos estructurales que tomen en consideración las propiedades mecánicas de la mampostería. Aunque actualmente existe una gran variedad de modelos de análisis estructural para muros, no todos son directamente aplicables al diseño de las estructuras de mampostería confinada. A continuación se describe el modelo de la columna ancha, comúnmente utilizado en la práctica mexicana para el análisis y diseño de edificaciones de mampostería.
Conforme lo ilustra la figura 7 para el caso plano, las estructuras de mampostería pueden idealizarse a través de marcos. Dentro de este contexto, los muros se modelan a través de columnas equivalentes que deben representar sus propiedades a flexión y corte. A las vigas inmersas en los muros se les asigna rigidez infinita, tanto a flexión como a corte. Para estimar las propiedades de las vigas que acoplan los muros, se considera la contribución de la porción de losa que según la Sección 3.2.3.2 de las NTCM-2004 es tributaria a las vigas. Los pretiles de las ventanas suelen modelarse como columnas anchas, tal como se haría en el caso de cualquier otro muro.
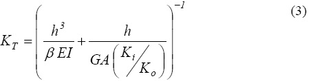
Para el caso de muros de mampostería confinada, las propiedades de la columna ancha deben contemplar tanto la contribución de la mampostería como la de los castillos de concreto que la confinan. Para tal efecto, dichas propiedades deben estimarse a partir de una sección transformada que considere explícitamente la relación modular entre concreto y mampostería. En caso que se usen marcos planos para modelar la estructura, es necesario considerar la contribución de las secciones de muro que se encuentran fuera del plano de análisis. El uso de un modelo tridimensional permite el modelado directo de dichas secciones. Una ventaja de utilizar el modelo de la columna ancha es que las propiedades a corte y a flexión de los muros dependen directamente de las propiedades geométricas de sus secciones y de las propiedades mecánicas de la mampostería. La rigidez elástica de los muros de mampostería puede estimarse como:

donde K0 es la rigidez elástica; h la altura del muro; A e I el área de corte y momento de inercia de su sección transversal, respectivamente; E y G el módulo de elasticidad y de corte de la mampostería, respectivamente; y β un factor que depende de las condiciones de apoyo en los extremos del muro (figura 8).

A través de la ecuación 2 es posible establecer, en función de la esbeltez y condiciones de apoyo, la influencia de las deformaciones por corte y flexión en la respuesta del muro ante cargas laterales. En general, las deformaciones por corte tienden a ser de mayor importancia en elementos robustos. Lo contrario ocurre en muros esbeltos, los cuales son dominados por deformaciones por flexión. La respuesta de elementos doblemente empotrados y relaciones de aspecto (L/H) ligeramente menores que la unidad suele estar dominada por deformaciones de corte. Este suele ser el caso de una gran cantidad de muros de mampostería, cuya robustez y condiciones de apoyo resultan en que su comportamiento ante cargas laterales quede dominado por deformaciones a corte.
A partir de resultados obtenidos por Bazán (1980) y Zúñiga (2005), es posible decir que el modelo de la columna ancha es capaz de representar con relativa precisión, y para un amplio rango de relaciones de aspecto, la rigidez lateral elástica de muros sujetos a cargas laterales. La Tabla 2 compara resultados experimentales y analíticos obtenidos con el modelo de la columna ancha para los especimenes WW, WBW, WWW y 3D ensayados por Alcocer et al. (1993 y 1994). Note el potencial que tiene el modelo de la columna ancha para estimar en el rango de comportamiento elástico las propiedades de sistemas de mampostería.

Modelo modificado de la columna ancha
A lo largo de este artículo se han planteado, entre otros, dos hechos: A) El modelo de la columna ancha representa una alternativa viable para modelar el comportamiento elástico de los muros de mampostería, y B) Las deformaciones que exhiben los muros de mampostería, particularmente en su rango inelástico de comportamiento, tienden a estar regidas por corte. A partir de estos dos hechos, aquí se plantea un modelo modificado de la columna ancha, que asocia a la componente de deformación por corte la totalidad de degradación de rigidez lateral del muro de mampostería. Esto implica que después del agrietamiento diagonal de la mampostería, la rigidez a flexión se mantiene constante mientras que la rigidez lateral por corte es modificada conforme al grado de degradación que exhibe el muro. En términos de la rigidez de ciclo, este planteamiento puede expresarse conforme a lo siguiente:

donde KT es la rigidez de ciclo correspondiente a una distorsión dada; y Ki/K0 es el factor de degradación de la rigidez del muro que depende de la demanda de distorsión (ver ecuación 1).
Para evaluar la pertinencia de utilizar el modelo modificado de la columna ancha, se recurrió a estimar mediante su uso curvas de degradación de rigidez a corte para los especimenes W-W, WBW, WWW y 3D. Durante la obtención de las curvas para especimenes con más de un muro se consideró que las propiedades a corte de los muros se degradan en la misma proporción. La curva de cada espécimen comprende un amplio intervalo de valores de Ki/K0. Para cada valor de Ki/K0 se procedió conforme a lo siguiente: A) Se estima el valor de KT que le corresponde de acuerdo a la ecuación 3; B) Se busca el punto en que la línea definida por KT intersecta la envolvente definida para el espécimen de acuerdo al modelo de Flores y Alcocer; y C) Se asocia el valor de distorsión correspondiente al punto de intersección con el valor de Ki/K0 con el cual inicia el proceso. A partir de una regresión simple se ajustó la siguiente expresión a las curvas mostradas en la figura 9:

donde
es el factor de degradación de rigidez a corte; y DIi la distorsión de entrepiso.

La figura 10 compara curvas de degradación de rigidez obtenidas mediante las ecuaciones 1 y 4. Note que mientras que la ecuación 1 arroja la relación entre la rigidez total de ciclo y la rigidez total elástica medida experimentalmente en especimenes de mampostería, la ecuación 4 ofrece la misma relación para la rigidez a corte estimada analíticamente en varios especimenes de mampostería. Dado que las curvas derivadas de ambas ecuaciones comparan razonablemente bien, puede concluirse que: A) La degradación de las propiedades estructurales de un muro de mampostería esta asociada en lo esencial a su comportamiento a corte; y B) El modelo modificado de la columna ancha tiende a arrojar resultados razonables durante el modelado de las edificaciones de mampostería. Note que las ecuaciones 1 y 4 solo aplican a muros de mampostería confinada sin refuerzo interior, lo que implica que sus coeficientes deben calibrarse para otro tipo de mampostería.

Analisis no lineal de edificaciones de mampostería confinada
La curva de capacidad de una edificación (figura 1) se obtiene a partir de un análisis estático no-lineal bajo desplazamiento lateral monótonamente creciente. Durante este análisis, se aplica un patrón de cargas laterales que aunque varía en magnitud, mantiene su valor relativo en altura. La magnitud de las fuerzas laterales se va variando hasta que la edificación alcanza el desplazamiento lateral asociado a un estado máximo de utilidad (usualmente asociado a la falla o colapso de la misma). En función de los resultados obtenidos de este análisis, es posible establecer una curva que relaciona el desplazamiento lateral global en la edificación con el cortante basal actuante. Cambios importantes en la curva de capacidad aportan información relevante sobre el comportamiento y nivel de daño en la estructura; es decir, proporciona herramientas para establecer las demandas de desplazamiento asociadas al agrietamiento generalizado de la mampostería, resistencia máxima y colapso de la estructura.
Vale la pena recordar que el análisis no lineal de marcos momento-resistentes suele considerar que el comportamiento inelástico se concentra en articulaciones plásticas que usualmente se ubican en los extremos de columnas y vigas. Normalmente se desprecian para estos elementos la contribución de los efectos de corte, de tal manera que solo se considera durante el análisis sus propiedades a flexión. En contraste, los efectos de corte en muros de mampostería son importantes y deben tomarse explícitamente en cuenta.
El análisis no-lineal de las estructuras debe considerar dos tipos de no linealidad: la relacionada con el comportamiento del material y la relacionada con la configuración deformada de la estructura. En el caso de las estructuras de mampostería, el umbral de desplazamiento asociado a su estado máximo de utilidad es tan bajo que usualmente es posible despreciar el segundo tipo de no linealidad. Debido a lo anterior, el modelo que aquí se presenta solo considera la no linealidad de la mampostería.
Aplicación del Modelo Modificado de la Columna Ancha
El modelado propuesto en este artículo para una edificación de mampostería, implica modelar a su vez cada muro de mampostería a través de una columna ancha. Mientras que la rigidez a flexión de las columnas anchas se mantiene constante durante el análisis, la rigidez a corte se modifica de acuerdo a lo indicado por el modelo de Flores y Alcocer (1995). La figura 11 ilustra esquemáticamente la idealización de los muros de mampostería para la condición de doble empotramiento. Conforme a lo mostrado, el comportamiento inelástico de los muros se modela a través de un resorte rotacional ubicado en su base que contempla las propiedades a corte. El resorte se ubica en la base con el fin de relacionar el comportamiento no lineal de los muros con su distorsión a corte. A partir de la demanda de distorsión en cada muro, es posible establecer la evolución de su daño estructural en función del desplazamiento de azotea. Las curvas de capacidad mostradas en este artículo se obtuvieron con el programa SAP2000 Advanced (CSI 2004).

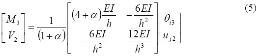
Con base en la figura 11, se presenta la ecuación de rigidez de un muro con condición de apoyo doblemente empotrado, la cual involucra las deformaciones por corte y por flexión.


donde M3 es el momento flexionante en la base del muro; V2 es el cortante en la base del muro; E es el módulo de elasticidad; I es el momento de inercia de la sección; h es la altura del muro; G es el módulo de elasticidad a corte; A es el área a corte de la sección; θi3 es la rotación en el nodo i respecto a la dirección 3; uj2 es el desplazamiento del nodo j en la dirección 2; y α es un factor que relaciona las propiedades de flexión con las propiedades a corte de la sección.
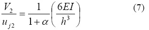
De la figura 11 se tiene que para deformaciones pequeñas θi3 ≅ uj2 h, de tal manera que la rigidez a corte del muro puede expresarse en términos de sus componentes de flexión y corte conforme a lo siguiente:

Si el valor de GA tiende a cero en la ecuación 6, la rigidez a corte (V2 uj2) tiende a cero ya que el valor de α tiende a infinito. Lo anterior implica una degradación en las propiedades de corte en un muro de mampostería que exhibe una reducción de su valor de GA. Debe notarse que al hacer el mismo tratamiento para la rigidez a flexión, se llega a que esta tiende a mantenerse constante conforme se incrementa la deformación en la parte superior del muro.
La figura 12 compara los resultados derivados de los modelos analíticos de los especímenes W-W, WBW, WWW y 3D con valores medidos experimentalmente. A pesar de la elevada variabilidad exhibida por los resultados experimentales, puede decirse que el modelo modificado de la columna ancha ofrece estimaciones razonablemente conservadoras de las curvas de capacidad de los especímenes bajo consideración. Note que tanto la rigidez elástica como la resistencia asociada al primer agrietamiento son capturadas con elevada precisión por el modelo propuesto.
Es importante notar que además de estimar de manera razonable el comportamiento global de los especimenes, el modelo permite establecer de manera razonable la evolución del daño estructural en los diferentes muros de mampostería. Esto se muestra en la figura 13 para el espécimen 3D, el cual exhibió en laboratorio daño severo en la planta baja y daño leve en la planta superior.
Determinación del Grado de Daño en la Mampostería
Uno de los objetivos de una metodología de evaluación por desempeño consiste en establecer el nivel de daño en los elementos estructurales de una edificación en función de sus demandas locales y globales de deformación. Una opción para ello consiste en establecer las demandas locales de deformación inelástica en los diferentes muros para un desplazamiento de azotea dado (tal como se sugiere en la figura 13), y asociar dichas demandas al estado de daño que corresponde al muro conforme a lo que se ilustra en la figura 4. Note que el desplazamiento de azotea de interés estará asociado a la demanda máxima de desplazamiento en la edificación durante la excitación sísmica de diseño. Una segunda opción, válida en caso de que el comportamiento global de la estructura este dominado por la componente de corte (que es el caso de la gran mayoría de edificaciones de mampostería) consiste en complementar el modelo modificado de la columna ancha con información como la que proveen las Tablas 3 y 4. La segunda opción requiere establecer la demanda máxima de distorsión en los muros de mampostería que de acuerdo al análisis no lineal corresponde al desplazamiento de azotea de interés, y establecer el estado de daño en los muros (Tabla 3) o revisar si dicho estado de daño satisface un estado límite bajo consideración (Tabla 4).


La figura 14 resume de manera esquemática la información contenida en la Tabla 3. Note que la evolución del daño estructural en las edificaciones de mampostería depende de las demandas máximas de deformación, y que la deformación máxima que debe permitirse en una estructura de mampostería durante una excitación sísmica severa debe estar acotada por la distorsión en que se alcanza el cortante máximo. Si la demanda de desplazamiento lateral rebasa dicho umbral, la mampostería exhibe una pendiente negativa que inestabiliza de manera importante la respuesta dinámica de la edificación. Esto tiene dos consecuencias negativas: A) El nivel de seguridad estructural de la edificación disminuye considerablemente y B) Se reduce sustancialmente la posibilidad de obtener estimaciones razonables de las demandas de desplazamiento en la edificación.
Evaluación del Desplazamiento de Azotea
Se ha sugerido que si los modos superiores de una estructura no contribuyen de manera importante a su respuesta dinámica, el desplazamiento lateral puede ser estimado de manera razonable a partir de un sistema de un grado de libertad (Qi and Moehle 1991, Priestley 2000). Dado que el comportamiento dinámico de las edificaciones de mampostería tiende a estar dominado por su periodo fundamental de vibración, el uso de un sistema de un grado de libertad (1GL) para estimar su demanda máxima de desplazamiento lateral tiende a dar resultados razonables. Al respecto, existen dos opciones: A) Utilizar un espectro de diseño, y B) Establecer un sistema equivalente de un grado de libertad y llevar a cabo un análisis paso a paso.
En cuanto a la primera opción, Negrete (2006) propone para edificaciones de mampostería ubicadas en el Pacífico Mexicano una versión simplificada del método de los coeficientes propuesto por el FEMA 440:

donde δT representa el desplazamiento lateral asociado a la planta baja, el cual se considera igual que el de azotea; C1 y C2 son coeficientes que toman en cuenta el comportamiento no lineal y la degradación del ciclo histerético, respectivamente, de la mampostería; Sα la seudo-aceleración que corresponde a la edificación de acuerdo al espectro de diseño; Te el periodo fundamental de vibración; y g la aceleración de la gravedad. Las medianas de C1 y C2 se estiman conforme a:

donde R es la resistencia lateral relativa, definida como el valor de Sα normalizado por el coeficiente sísmico estimado para la edificación a partir de su curva de capacidad. Aunque la ecuación 8a representa una herramienta sencilla para estimar el desplazamiento, es necesario identificar algunas de sus limitaciones. En primer lugar, dicha ecuación es aplicable a edificaciones sensiblemente regulares que no exhiban efectos P-Δ de consideración. En segundo término, el planteamiento asume que la edificación de mampostería acomoda toda su deformación lateral en un piso suave que se forma en la planta baja, lo que resulta moderadamente conservador para estados límite que impliquen daño de importancia, y muy conservador para aquellos que conlleven daño menor. Finalmente, la expresión es aplicable a la evaluación de edificaciones de mampostería confinada sin refuerzo horizontal.
La segunda opción implica el planteamiento de un sistema equivalente de un grado de libertad, lo que implica considerar el comportamiento cíclico global de la edificación ante acciones dinámicas. Aunque esta opción es más compleja, elimina varias de las restricciones implícitas en el uso de la primera. Esto es, la formulación que se presenta a continuación puede ser adaptada para tomar en cuenta las particularidades de la configuración estructural de la edificación y de las características del ciclo histerético de la mampostería. Entre la información relevante para plantear el sistema equivalente, esta la distribución de rigidez lateral en altura, la cual depende del nivel de daño estructural. En particular, una estructura de mampostería sin daño tiende a exhibir una distribución constante de rigidez en altura, lo que resulta en un patrón triangular de cargas y deformaciones laterales. Conforme se incrementa la demanda de desplazamiento en la estructura, el daño estructural tiende a acumularse en la planta baja, lo que resulta en que la rigidez en dicha planta se reduzca considerablemente con respecto a la de los otros pisos y, por tanto, que el patrón de cargas laterales evolucione de triangular a rectangular. Dado que, como se discutirá en detalle mas adelante, las propiedades estructurales del sistema equivalente de 1GL dependen de la distribución de desplazamiento lateral en altura (y por tanto de la rigidez lateral en altura), es deseable tener una estimación inicial razonable de la máxima demanda de desplazamiento lateral en la edificación o, en su caso, iterar hasta establecer un nivel aceptable de congruencia entre la distribución de rigidez lateral y la demanda máxima de desplazamiento de azotea.
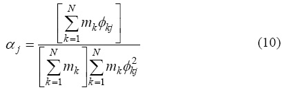
A partir de la curva de capacidad de una estructura de mampostería (obtenida con el modelo modificado de la columna ancha), es posible establecer la curva de capacidad de un sistema equivalente de 1GL. Aunque la curva de capacidad de las edificaciones generalmente se establece en términos de su desplazamiento de azotea, durante el planteamiento del sistema equivalente de 1GL de una estructura de mampostería conviene referir su curva de capacidad con respecto al desplazamiento lateral del primer nivel. Esto debido a que precisamente es el primer nivel el que prácticamente acumula el daño estructural en la edificación. Las ecuaciones 9 a 12, resumen la transformación de la curva de capacidad de una edificación a la curva de capacidad del sistema equivalente de un 1GL, la cual se ubica dentro de un espacio de seudo-aceleración, Sα, contra seudo-desplazamiento, Sd (Ayala 1998):




donde N es el número de pisos de la estructura; mk la masa correspondiente al piso k; φij el valor asociado al piso i correspondiente a la forma modal j; PFij el factor de participación modal para el piso i en el modo j; αj el factor de participación del cortante basal para el modo j; W el peso total de la estructura; V el cortante basal obtenido de la curva de capacidad; y Δ1 el desplazamiento lateral del entrepiso obtenido de la curva de capacidad del primer nivel. Para convertir la curva de capacidad de varios a un grado de libertad, se van tomando pares de valores V-Δ1 de la curva de capacidad, y se transforman conforme a las ecuaciones 11 y 12 para obtener los puntos de la curva correspondiente al sistema equivalente de 1GL.
Una de las ventajas de obtener la curva de capacidad del sistema equivalente de 1GL en un espacio espectral, es que esta queda planteada en términos que se manejan usualmente en la práctica del diseño sísmico, tales como seudo-aceleración y seudo-desplazamiento. Una vez obtenida la curva de capacidad del sistema equivalente, se idealiza conforme muestra la figura 15 a través de una curva bilineal, la cual define la envolvente del comportamiento histerético de la estructura. Note que el modelo bilineal no ofrece resultados razonables cuando el desplazamiento global de la estructura excede el umbral asociado a la resistencia máxima.

Aparte de la envolvente de comportamiento histerético de la mampostería, un análisis dinámico requiere establecer reglas que definan la degradación de las propiedades estructurales del sistema equivalente de 1GL en función de las demandas máxima y acumulada de desplazamiento lateral. Al respecto, Ruiz y Miranda (2003) observan que la respuesta histerética de las estructuras de mampostería puede modelarse de manera razonable a partir del modelo modificado de los tres parámetros (Cheok et al. 1998). A partir de la calibración de este modelo para estimar el comportamiento histerético del espécimen 3D, se obtienen los valores indicados en la Tabla 5 para los diferentes parámetros del modelo modificado de los tres parámetros.

Las figura 16 compara resultados experimentales con aquellos derivados del modelo modificado de los tres parámetros para el espécimen 3D. Puede concluirse que el modelo modificado de los tres parámetros estima de manera razonable la capacidad de disipación de energía del espécimen, y que es capaz de modelar cercanamente la historia de cargas en el mismo.
Si el sistema equivalente de 1GL es capaz de capturar la envolvente y las propiedades del ciclo histerético, entonces es posible estimar de manera razonable las demandas máximas de desplazamiento en las edificaciones de mampostería. Vale la pena mencionar que el uso de un sistema equivalente de 1GL como el aquí propuesto requiere calibrar los resultados analíticos con información experimental. Hasta la fecha esto no ha sido posible por la falta de resultados experimentales obtenidos en pruebas dinámicas.
Ejemplo de aplicación
Se evalúa el desempeño estructural de la edificación de mampostería de 4 niveles mostrada en la figura 17, la cual pesa 298 toneladas. Aunque la estructura fue diseñada para satisfacer los requerimientos del Reglamento de Construcciones del D.F. para la Zona del Lago (Zúñiga 2005), el ejemplo la supondrá ubicada en la zona de subducción del Pacífico Mexicano. Se utilizan 22 acelerogramas registrados en sitios de terreno firme ubicados en o cerca de la costa del Estado de Guerrero. Los acelerogramas se escalaron para exhibir una aceleración máxima del terreno de 300 cm/seg2, lo que corresponde, según los estudios actuales, a un periodo de retorno de 72 años o a una probabilidad de excedencia del 50% en 50 años (Ordaz et al. 2003).
Propiedades de la edificación
Las propiedades de las columnas anchas modificadas que representan cada muro de la edificación fueron calculadas a partir de su geometría y las propiedades mecánicas que las NTCM-2004 establecen para los materiales estructurales. Debido a que la estructura es sensiblemente regular en planta, se utilizó un modelo plano que consideró todos los planos sismorresistentes en la dirección de análisis, unidos por diafragmas rígidos a las alturas de las losas.
Bajo la consideración de que no existe daño previo en la estructura, se obtuvieron las propiedades dinámicas de la edificación resumidas en la Tabla 6 y la curva de capacidad (referida a la losa de la planta baja) ilustrada en la figura 18. Se muestra la idealización bilineal de dicha curva, a partir de la cual se establecieron los desplazamientos y cortantes basales correspondientes al agrietamiento y resistencia máxima de la edificación. A partir del uso de las propiedades dinámicas del sistema estructural, se transforma la curva de comportamiento a la curva de comportamiento en el espacio de seudo-aceleración y seudo-desplazamiento mostrada en la figura 19. Para ello se usan los valores obtenidos a partir de las ecuaciones 11 y 12 para el primer modo, los cuales se resumen en la Tabla 6. Las propiedades del sistema equivalente de un grado de libertad se establecen directamente de la figura 19.



Desplazamiento de Azotea
La figura 20 muestra los espectros de seudo-aceleración correspondientes a los acelerogramas considerados, y presenta su media y media mas una desviación estándar (σ). En cuanto al uso de las ecuaciones 8a a 8c, la edificación posee un periodo fundamental de vibración de 0.23 segundos, al que corresponde de acuerdo con la figura 20b valores medio y medio + σ de seudo-aceleración de 0.65 y 0.86, respectivamente. Para un coeficiente sísmico de 78/298 = 0.26 (ver figura 18), las ecuaciones 8a a 8c arrojan para la planta baja desplazamientos de 0.98 y 1.41 centímetros, respectivamente.

Si se considera que el primer modo de la estructura normalmente moviliza 80% de la masa de una estructura, esto resulta en desplazamientos dinámicos del orden de 0.78 y 1.13 centímetros, respectivamente, lo que para un altura de entrepiso de 270 centímetros resulta en distorsiones de 0.0029 y 0.0042, respectivamente. De acuerdo con la Tabla 3, esto implica un nivel de daño que oscila entre fuerte y grave.
En cuanto al modelo equivalente de un grado de libertad, se considera una degradación de propiedades estructurales conforme a lo indicado en la Tabla 5. La figura 21 resume las demandas de desplazamiento en la planta baja de la edificación para cada acelerograma bajo consideración. Acorde a lo que se muestra, los análisis paso a paso arrojan desplazamientos medio y medio + σ de 0.52 y 0.75 cm, respectivamente. Para una altura de entrepiso de 270 cm, estos corresponden a distorsiones de 0.0019 y .0028, respectivamente. Estos valores de distorsión corresponden, conforme a lo que se indica en la Tabla 3, a daño fuerte. Vale la pena observar que mientras la ecuación 8a asigna la totalidad del desplazamiento lateral de la edificación a la planta baja, el uso de un sistema equivalente de un grado de libertad permite una consideración más realista de la distribución de desplazamiento lateral a través de la altura de la edificación. En resumen, mientras que la ecuación 8a permite una estimación más sencilla de las demandas de desplazamiento lateral, las suposiciones involucradas en su formulación resultan en estimaciones más conservadoras del nivel de daño en la edificación.

Observaciones finales
Aunque el modelo modificado de la columna ancha complementado con expresiones similares a la ecuación 8a puede constituir la base a partir de la cual se plantee en México métodos de evaluación y diseño sísmico por desempeño, es necesario mencionar que la evaluación de la capacidad y demanda de deformación lateral en las estructuras de mampostería conlleva una alta incertidumbre. Los niveles de incertidumbre reportados por Negrete (2006) alrededor de dicha evaluación son considerablemente mayores que aquellos correspondientes a otros materiales estructurales, como pueden ser el concreto reforzado y el acero estructural. Debido a esto, es importante que las recomendaciones que se hagan den lugar a evaluaciones razonablemente conservadoras, lo que implica el uso de un juicio ingenieril que por el momento iría mas allá de la información con la que actualmente se dispone. Tal como lo hacen los requerimientos del FEMA, se recomienda que el nivel de conservadurismo se introduzca en la estimación de la capacidad de deformación de la estructura, y no en las expresiones utilizadas para establecer las demandas de desplazamiento. En cuanto a dichas expresiones, se recomienda el uso de medidas centrales de los parámetros involucrados en ellas (ecuaciones 8b y 8c).
Conclusiones
El modelo modificado de la columna ancha propuesto en este artículo es capaz de representar adecuadamente la envolvente del comportamiento histerético de las edificaciones de mampostería. Un análisis estático inelástico bajo deformación lateral monótonamente creciente de una edificación de mampostería modelada de esta manera ofrece una estimación razonablemente conservadora de su curva de capacidad. Otra ventaja del modelo propuesto es que permite establecer el nivel de daño estructural relativo que exhiben los diferentes muros de la edificación, lo que a su vez permite identificar la ocurrencia del fenómeno de planta baja débil y flexible.
El modelo propuesto asigna a cada muro de la edificación de mampostería una columna ancha cuyas propiedades se obtienen de la envolvente de la curva carga-deformación propuesta por Flores y Alcocer (1995) para muros de mampostería confinada. La degradación de las propiedades estructurales se asigna exclusivamente a las propiedades a corte de cada columna ancha, de tal manera que el modelo propuesto pudiera no ser aplicable a estructuras que exhiban muros esbeltos.
La evaluación del desempeño sísmico de una edificación de mampostería requiere de la estimación de su demanda máxima de desplazamiento lateral. Dado que en la mayoría de los casos, el modo fundamental de vibración domina la respuesta dinámica de las edificaciones de mampostería, la estimación de dicha demanda puede hacerse de manera razonable a través de un sistema de un grado de libertad. Una vez obtenido el desplazamiento lateral máximo en la edificación de mampostería, es posible evaluar el nivel de daño estructural en los diferentes muros de mampostería, y así evaluar el desempeño sísmico de la edificación.
Es importante reconocer que la información que se dispone hasta el momento no abarca muchas situaciones que pueden presentarse en edificaciones reales de mampostería. Por tanto, es necesario seguir llevando a cabo estudios que integren los aspectos experimental, analítico y de campo para aportar información que permita calibrar de mejor manera modelos como el que aquí se presenta. A partir de esto, será posible establecer criterios más racionales para la evaluación y diseño de las edificaciones de mampostería.
Reconocimientos
Los autores agradecen el apoyo de la Universidad Autónoma Metropolitana, y las observaciones y sugerencias de los ingenieros Leonardo Flores Corona y Jorge Ruiz García. Este trabajo se desarrolló como parte de las actividades del Comité de Mampostería de la Sociedad Mexicana de Ingeniería Estructural.
Referencias
Alcocer, S M, T Sánchez y R Meli (1993), "Comportamiento de la Estructura Tridimensional de Mampostería Confinada de Dos Niveles del CENAPRED", Informe para el Instituto Nacional para la vivienda de los trabajadores, Centro Nacional de Prevención de Desastres (CENAPRED), 36-39. [ Links ]
Alcocer, S M, R Meli, T Sánchez y L Flores (1994), "Comportamiento ante Cargas Laterales de Sistemas de Muros de Mampostería Confinada con Diferentes Grados de Acoplamiento a Flexión", Cuaderno de Investigación, No. 17, Centro Nacional de Prevención de Desastres (CENAPRED), 53-76. [ Links ]
Alcocer, S M (1997), "Comportamiento sísmico de estructuras de mampostería: una revisión", Memorias del XI Congreso Nacional de Ingeniería Sísmica, 164-191. [ Links ]
Astroza, M y A Schmidt (2004), "Capacidad de Deformación de Muros de Albañilería Confinada para Distintos Nieles de Desempeño", Revista de Ingeniería Sísmica, 70, 59-75. [ Links ]
Applied Technology Council (2005), "Improvement of Nonlinear Static Seismic Análisis Procedures", Reporte FEMA 440. [ Links ]
Ayala, G (1998), "Evaluación del Desempeño Sísmico de Estructuras-Un Nuevo Enfoque", Repote Técnico, Academia de Ingeniería, México. [ Links ]
Bazán, E (1980), "Muros de Mampostería ante Cargas Laterales Estudios Analíticos", Tesis Doctoral, Facultad de Ingeniería, UNAM, 72-89. [ Links ]
Cheok, G, W Stone y S Kunnath (1998), "Seismic Response of Precast Concrete Frames with Hybrid Connections", ACI Structural Journal, 5, 527-532. [ Links ]
CSI (2004), "SAP2000 Advanced 9.0.3", Computers and Structures, Inc., Berkeley, California. [ Links ]
Federal Emergency Management Agency (1997), "NEHRP guidelines for the seismic rehabilitation of buildings," Reporte FEMA 273. [ Links ]
Federal Emergency Management Agency FEMA (2000), "Prestandard and Commentary for the Seismic Rehabilitation of Buildings," Reporte FEMA 356. [ Links ]
Flores, L y S M Alcocer (1995), "Estudio Analítico de Estructuras de Mampostería confinada", Informe de tesis de maestría, Centro Nacional de Prevención de Desastres (CENAPRED), 46-49. [ Links ]
Meli, R (1979), "Comportamiento Sísmico de Muros de Mampostería", Reporte No. 352, Serie del Instituto de Ingeniería, Universidad Nacional Autónoma de México, 14-49. [ Links ]
Miranda, E (1999), "Comportamiento Mecánico de la Mampostería Confinada", Edificaciones de Mampostería, Fundación ICA, 73- 82. [ Links ]
Negrete, M (2006), "Evaluación de las capacidades y demandas de deformación lateral de estructuras de mampostería en zonas sísmicas", Tesis de Maestría, Universidad Michoacana de San Nicolás de Hidalgo. [ Links ]
Ordaz, M, A Aguilar y J Arboleda (2003), "CRISIS 2003", Instituto de Ingeniería, Universidad Nacional Autónoma de México. [ Links ]
Priestley M J N (2000), "Performance based seismic design", Memorias 12th World Conference on Earthquake Engineering, CDROM. [ Links ]
Qi X y J P Moehle (1991), "Displacement design approach for reinforced concrete structures subjected to earthquakes", Reporte No. UCB/EERC-91/02, Universidad de California en Berkeley. [ Links ]
Rodríguez, M (2004) "Un Enfoque Alternativo para la Evaluación y Diseño de Edificaciones de Mampostería en Zonas Sísmicas", Revista de Ingeniería Sísmica, 70, 27-58. [ Links ]
Ruiz-García, J, T Sánchez y S M Alcocer (1998), "Rehabilitación de Muros de Mampostería Confinada Mediante Malla de Alambre y Recubrimiento de Mortero", Memorias del Onceavo Congreso Nacional de Ingeniería Estructural, 808-889. [ Links ]
Ruiz-García, J y E Miranda (2003), "Evaluación de los Factores de Reducción de Resistencia por Ductilidad para Estructuras de Mampostería Cimentadas en Terreno Firme", Revista de Ingeniería Sísmica, 69, 1-23. [ Links ]
Sánchez, T, S M Alcocer y L Flores (1996), "Estudio Experimental Sobre una Estructura de Mampostería Confinada Tridimensional, Construida a Escala Natural y Sujeta a Cargas Laterales", Memorias del Décimo Congreso Nacional de Ingeniería Estructural, 909-918. [ Links ]
Zúñiga, O (2005), "Evaluación Analítica de la Respuesta Sísmica de las Edificaciones de Mampostería", Tesis de Maestría, Universidad Autónoma Metropolitana. [ Links ]














