Introducción
Aproximadamente 2041 especies (20%) de las aves del mundo se pueden encontrar cerca de las ciudades (Aronson et al., 2014). Sin embargo, su abundancia y riqueza se reducen conforme se aproximan a los centros urbanos (Aronson et al., 2014), principalmente por los cambios atmosféricos, al aumento en la contaminación y la disminución de la vegetación (Seress & Liker, 2015). En México, el cambio de uso de suelo es la principal causa de pérdida de la biodiversidad de aves, no obstante, el efecto del cambio de uso de suelo no es igual para todas las especies, ya que algunas han incrementado su abundancia poblacional y/o distribución, por ejemplo, el zanate mayor (Quiscalus mexicanus) (Prieto-Torres et al., 2023). Por otra parte, se ha observado que existe una asociación positiva entre los parches de áreas verdes en los centros urbanos y la diversidad de aves (La Sorte et al., 2020).
La Ciudad de México (CDMX), es la entidad federativa más pequeña de México con apenas 148,500 ha, es decir, el 0.1% del país, en la cual 53,560 ha de su área corresponde a paisaje natural, 71,280 ha a suelo de uso urbano y 23,760 ha a zonas agropecuarias y semi urbanizadas (Cram et al., 2016). Al mismo tiempo, la CDMX es la segunda entidad más poblada del país con 9,209,944 habitantes (INEGI, 2020), y en donde la búsqueda de vivienda es constante, situación que ha llevado a la transformación de los suelos de conservación y áreas naturales a suelos de uso urbano, con asentamientos irregulares en la periferia de la ciudad. En la CDMX hay 27 Áreas Naturales Protegidas (SEDEMA, 2024), entre las que destaca la Sierra de Santa Catarina (SCC), ubicada entre las alcaldías Iztapalapa y Tláhuac, al oriente de la ciudad. Esta sierra funciona como un corredor biológico y punto de conectividad para las aves y otra fauna con otros parches de vegetación (Zellmer & Goto, 2022). La Sierra de Santa Catarina se encuentra en una de las zonas más densamente pobladas de la entidad con alrededor de 4,000,000 de habitantes (Granados, 2013), y, en consecuencia, se han visto reducidas las áreas silvestres debido a nuevos asentamientos humanos, así como de las actividades mineras y agrícolas (Granados, 2013).
La información obtenida del monitoreo de las especies en zonas perturbadas proporciona información valiosa sobre los efectos del cambio ambiental en sus poblaciones y facilita la investigación sobre biodiversidad global (Wetzel et al., 2018). Sin embargo, pese a los esfuerzos recientes de evaluar las tendencias poblacionales de las aves a gran escala, los resultados siguen siendo insuficientes para evaluar a todas las especies en todas las escalas. Por lo tanto, el monitoreo de la biodiversidad a escalas regionales y locales toma mayor importancia.
Para la Sierra de Santa Catarina no existe un inventario ni estudio actualizado sobre la riqueza de aves. La única información disponible son los listados por la Dirección General de la Comisión de Recursos Naturales y Desarrollo Rural (GODF, 2005), con 30 especies y en el Parque Ecológico Yecahuitzol con 56 especies de aves (eBird, 2024). De manera qué, para la mayor parte de la SSC, que no forma parte del ANP-SSC, se desconoce la riqueza de especies de aves. Por tal motivo, el objetivo de este estudio fue proporcionar una lista actualizada, una estimación de la diversidad y un análisis de la riqueza de especies de aves en tres volcanes de la SSC.
Materiales y métodos
Área de estudio. La Sierra de Santa Catarina, ubicada al oriente de la Ciudad de México (19°19´29.21´´ N, 99°16.7´´ O), está conformada por siete volcanes monogenéticos extintos del Cuaternario, tiene una longitud de 12 km con orientación oriente a poniente, entre las alcaldías de Iztapalapa y Tláhuac, CDMX (Lugo-Hubp et al., 1994). Esta sierra tiene un área de 2,166 ha, de las cuales el 34% pertenecen al Área Natural Protegida-SSC. El muestreo se llevó a cabo fuera del ANP-SSC por ser la zona mejor conservada de la SSC, es la menos estudiada y con menos visitantes. El polígono está conformado por los volcanes Tetlamanche (Volcán de Guadalupe), Tecuatzin (Cerro de las Tres Cruces) y Mazatepec, estos tres volcanes en conjunto serán referidos posteriormente como “TETEMAC” (Fig. 1). El polígono TETEMAC abarca 181.51 ha y tiene un clima templado subhúmedo con lluvias en verano y dos tipos de vegetación, el matorral xerófilo y el pastizal inducido (Fig. 2). El matorral xerófilo se caracteriza por ser una comunidad de arbustos y arboles bajos, en donde predominan la siempreviva (Sedum praealtum A.DC, 1848), nolina (Nolina parviflora Hemsl, 1884), palo loco (Senecio praecox DC., 1838), tepozán (Buddleja cordata Kunth, 1957 y Buddleja parviflora Kunth, 1818), y el huizache (Acacia farnesiana Willd, 1806), así como, algunas especies de cactáceas como el nopal chamacuero (Opuntia tomentosa Salm-Dyck, 1822). El pastizal inducido está dominado por especies de pastos anuales como Aristida adscensionis L., 1753 y Chondrosum simplex Kunth, 1829 (Gobierno del Distrito Federal, 2005).

Figura 1 Ubicación geográfica del área de estudio y de los puntos de muestreo en la delegación Iztapalapa y Tláhuac de la Ciudad de México, México, así como fotografías de cada uno de los volcanes que conforman el conjunto TETEMAC.

Figura 2 Tipos de vegetación presentes en la Sierra de Santa Catarina, Ciudad de México. a = Matorral xerófilo, b = Pastizal. Marzo del 2022 a febrero 2023. Fotografías por: Raúl Balam Pérez Hernández.
Trabajo de campo. De marzo del 2022 a febrero del 2023 se realizaron 12 muestreos mensuales, en un horario de 07:00-15:00 h. El conteo se llevó a cabo en 11 puntos de muestreo separados al menos 250 m, cinco puntos fueron ubicados en el matorral y seis en el pastizal, los cuales presentaron un radio de 25 m. El tiempo de observación fue de 10 minutos en cada punto (Volpato et al., 2009). Para el caso de las aves rapaces se utilizaron cuatro puntos elevados de observación en 12 muestreos mensuales. Estos puntos elevados estaban ubicados en las partes más altas de cada volcán, donde se registraron individuos en un campo visual de 120° y un radio de 1000 m, durante 30 minutos (Ralph et al., 1995). El muestreo se realizó por tres personas por punto de observación. Durante las observaciones de campo se emplearon binoculares Carl Zeiss (10 x 52) y cámaras fotográficas Canon con lentes de 75-300 mm. Para la determinación taxonómica de las especies se usaron las guías de campo de Howell y Webb (1995), Sibley (2000), Kaufman (2005), Dunn y Alderfer (2017) y eBird (2024).
Se realizó una lista taxonómica de acuerdo con la American Ornithological Society (Chesser et al. 2024). Asimismo, utilizamos las seis categorías de residencia propuestas por Berlanga et al. (2019). Para completar el listado taxonómico, incluimos las especies de aves incluidas en las bases de datos de GBIF (2024), Naturalista (2024) y Ebird (2024), seleccionando los registros dentro y en la periferia del área de estudio (250 m como máximo fuera del límite establecido). En estos registros se incluyeron los años 1990 al 2023. Así mismo, se incluyeron los registros de colecciones biológicas. Para aquellas que no contaban con material de referencia, se usaron sólo las que tenían registro fotográfico que permitiera la determinación taxonómica del individuo.
Para clasificar la abundancia de las especies, se usaron los números de registros de cada especie obtenidos durante el trabajo de campo y las categorías propuestas por Ramírez (2000): Abundancia extrema (AE, >100 organismos), muy abundante (MA, 41-99 organismos), abundante (A, 16-40 organismos), común (C, 6-15 organismos), rara (R, 3-5 organismos) y muy rara (MR, 1-2 organismos). Del mismo modo, se asignó a cada especie el tipo de residencia de acuerdo con la clasificación en González-García y Gómez de Silva (2003) y con base en los meses en que fue registrada la especie en los muestreos, siendo éstas: Residentes (R), Migratorias de invierno (MI), Migratorias de verano (MV), Transitorias (T), Accidentales (A) y Oceánicas (O), para el caso de las especies obtenidas de las bases de datos, se consideraron las fechas de observación del ejemplar especificadas en la plataforma para su ubicación en alguna categoría. Además, se utilizó la misma clasificación para describir su endemismo. También, se describe si la especie se encuentra en alguna categoría de riesgo de acuerdo con los datos de la Norma Oficial Mexicana-059-SSA1-2015 y su modificación del 2019 (SEMARNAT, 2019).
Análisis de diversidad. Para evaluar la completitud del inventario y analizar la riqueza de especies de aves, se generaron curvas de rarefacción y extrapolación para los tres primeros números de Hill (q=0, 1 y 2) (Fig. 3) con el programa iNEXT Online, tomando en consideración que la diversidad obtenida se expresa en número efectivo de especies o especies verdaderas (Chao et al., 2022), dónde el número de Hill de orden q = 0 representa la riqueza de especies, q = 1 representa el exponencial del índice de Shannon y pondera las especies por su abundancia sin ningún sesgo por las especies raras o abundantes, mientras que q = 2 equivale al inverso del índice de Simpson y representa a las especies dominantes (Chao et al., 2022).

Figura 3 Curva de rarefacción de la Sierra de Santa Catarina, Ciudad de México. a = Curva de completitud de la muestra; b = riqueza de especies; c = Número efectivo de especies (Exponencial del índice de Shannon); d = Especies dominantes (inverso del índice de Simpson). Extrapolaciones basadas en el tamaño de la muestra. Marzo del 2022 a febrero 2023.
Con el programa Excel Ver.2307 se construyó una curva de rango-abundancia para observar la estructura de la comunidad (Fig. 4). Se utilizó la abundancia relativa de las especies de aves, calculada por la fórmula: “Abundancia relativa = (Abundancia absoluta de la especie/total de individuos) *100” y usamos el logaritmo base 10 de la abundancia para una mejor apreciación de la estructura de la comunidad (Magurran, 2004).

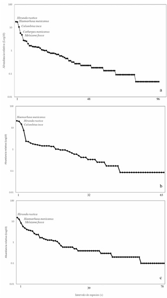
Figura 4 Curva rango-abundancia de las especies de aves de la Sierra de Santa Catarina, Ciudad de México Marzo del 2022 a febrero 2023. a = Curva rango-abundancia de las especies de aves presentes en ambos tipos de vegetación, b = Curva rango-abundancia de las especies de aves presentes en el matorral, c = Curva rango-abundancia de las especies de aves presentes en el pastizal.
Se calculó la diversidad alfa para cada mes con el índice de Shannon-Wiener (H´), por medio del programa PAST, esto debido a que este índice es igual de sensible tanto al aporte de las especies abundantes, como a las especies raras, disminuyendo el sesgo que pudiese presentarse con otros índices de diversidad (Cruz et al., 2017). El resultado de este análisis fue transformado a valores de “diversidad verdadera” (expH´=Número efectivo de especies) utilizando las fórmulas de Jost (2007). Esto permitió comparar la diferencia entre la diversidad de cada mes, algo que no es posible sólo con los índices de diversidad (Cruz et al., 2017). Por último, se obtuvo la diversidad beta, al comparar el grado de disimilitud entre ambos tipos de vegetación, para lo cual se calculó el índice de disimilitud de Sorensen con la formula proporcionada por Baselga (2009).
Resultados
Se obtuvo un total de 2,197 registros de campo de 96 especies de aves, 68 géneros, 30 familias y 11 órdenes (Cuadro 1), de las cuales 49 fueron especies residentes, 20 migratorias de invierno, siete migratorias de verano y 20 transitorias. De acuerdo con la NOM-059 (SEMARNAT 2019) cinco especies están en categoría de Protección Especial y una Amenazada. De forma adicional, cinco especies se consideraron como endémicas, 11 semi-endémicas, una cuasi-endémica y una exótica, aunque el mirlo dorso canela (Turdus rufopalliatus de Lafresnaye, NFAA, 1840) también suele ser considerado como especie exótica (Wilson y Ceballos-L., 1986, citado por Howell & Webb, 1995). De las bases de datos que se revisaron se registraron 52 especies, que pertenecen a 45 géneros, 21 familias y 7 órdenes, 17 de estas especies no se observaron durante este estudio (Cuadro 1).
Cuadro 1 Lista de las aves del polígono TETEMAC, Sierra de Santa Catarina, Ciudad de México. EOC = Especies Observadas en Campo, BD = Bases de datos, CPA = Clasificación por Abundancias. AE = Abundancia extrema, MA = Muy abundante, A = Abundante, C = Común, R = Rara, MR = Muy rara. Incluye datos de orden, familia, genero, especie, categoría de riesgo (Pr = Sujeta a protección especial, A=Amenazada) (SEMARNAT 2010). DT = Distribución. EN = Endémica, SE = Semiendémica, CE = Cuasiendémica, EXO = Exótica. Y E = Estacionalidad. MI = Migratoria de Invierno, R = Residente, MV = Migratoria de Verano, T = Transitoria (Berlanga et al. 2015).
| Orden | ||||||
| Familia | ||||||
| Especie | EOC | BD | CPA | NOM-059 | DT | E |
| Columbiformes | ||||||
| Columbidae | ||||||
| Columbina inca | x | x | AE | R | ||
| Zenaida asiatica | x | C | R | |||
| Zenaida macroura | x | A | R | |||
| Caprimulgiformes | ||||||
| Caprimulgidae | ||||||
| Chordeiles minor | x | A | MV | |||
| Chordeiles acutipennis | x | MI | ||||
| Apodiformes | ||||||
| Apodidae | ||||||
| Chaetura vauxi | x | A | T | |||
| Trochilidae | ||||||
| Archilochus colubris | x | MR | T | |||
| Cynanthus latirostris | x | x | A | SE | R | |
| Lampornis clemenciae | x | MR | SE | T | ||
| Saucerottia beryllina | x | A | R | |||
| Selasphorus heloisa | x | R | EN | MV | ||
| Selasphorus rufus | x | x | R | MI | ||
| Calothorax lucifer | x | x | MR | SE | R | |
| Basilinna leucotis | x | R | ||||
| Eugenes fulgens | x | x | R | R | ||
| Colibri thalassinus | x | R | ||||
| Charadriiformes | ||||||
| Scolopacidae | ||||||
| Actitis macularius | x | MR | MV | |||
| Pelecaniformes | ||||||
| Ardeidae | ||||||
| Ardea ibis | x | MR | EXO | R | ||
| Cathartiformes | ||||||
| Cathartidae | ||||||
| Cathartes aura | x | x | C | R | ||
| Accipitriformes | ||||||
| Accipitridae | ||||||
| Circus hudsonius | x | MR | MI | |||
| Accipiter cooperii | x | MR | Pr | T | ||
| Accipiter striatus | x | MR | Pr | T | ||
| Buteo jamaicensis | x | x | A | R | ||
| Buteo platypterus | x | MR | Pr | MI | ||
| Parabuteo unicinctus | x | A | Pr | R | ||
| Falconiformes | ||||||
| Falconidae | ||||||
| Falco sparverius | x | x | MR | MI | ||
| Falco peregrinus | x | Pr | MI | |||
| Strigiformes | ||||||
| Tytonidae | ||||||
| Tyto furcata | x | R | R | |||
| Strigidae | ||||||
| Bubo virginianus | x | R | R | |||
| Psiloscops flammeolus | x | MR | SE | T | ||
| Piciformes | ||||||
| Picidae | ||||||
| Dryobates scalaris | x | R | R | |||
| Sphyrapicus varius | x | MR | MI | |||
| Passeriformes | ||||||
| Tyrannidae | ||||||
| Contopus cooperi | x | A | R | |||
| Contopus pertinax | x | MR | T | |||
| Contopus sordidulus | x | x | R | T | ||
| Empidonax oberholseri | x | x | C | SE | MI | |
| Empidonax wrightii | x | A | SE | R | ||
| Empidonax fulvifrons | x | x | MR | R | ||
| Empidonax minimus | x | R | MI | |||
| Pyrocephalus rubinus | x | A | R | |||
| Tyrannus vociferans | x | x | A | SE | R | |
| Myiarchus cinerascens | x | x | MR | MI | ||
| Camptostoma imberbe | x | R | R | |||
| Sayornis saya | x | MI | ||||
| Myiopagis viridicata | x | T | ||||
| Vireonidae | ||||||
| Vireo gilvus | x | R | MI | |||
| Vireo huttoni | x | MR | T | |||
| Corvidae | ||||||
| Aphelocoma woodhouseii | x | MR | T | |||
| Corvus corax | x | MR | R | |||
| Laniidae | ||||||
| Lanius ludovicianus | x | x | A | R | ||
| Hirundinidae | ||||||
| Hirundo rustica | x | x | AE | R | ||
| Tachycineta thalassina | x | R | T | |||
| Troglodytidae | ||||||
| Campylorhynchus brunneicapillus | x | C | R | |||
| Catherpes mexicanus | x | x | AE | R | ||
| Salpinctes obsoletus | x | x | C | MV | ||
| Thryomanes bewickii | x | x | A | R | ||
| Cistothorus platensis | x | MI | ||||
| Cistothorus palustris | x | A | MV | |||
| Troglodytes aedon | x | MI | ||||
| Polioptilidae | ||||||
| Polioptila caerulea | x | x | A | R | ||
| Turdidae | ||||||
| Catharus guttatus | x | C | MI | |||
| Turdus migratorius | x | x | A | R | ||
| Turdus rufopalliatus | x | C | EN | T | ||
| Turdus grayi | x | R | R | |||
| Myadestes occidentalis | x | Pr | MI | |||
| Aegithalidae | ||||||
| Psaltriparus minimus | x | x | MR | MV | ||
| Mimidae | ||||||
| Toxostoma curvirostre | x | x | C | R | ||
| Mimus polyglottos | x | x | R | MI | ||
| Dumetella carolinensis | x | x | MR | T | ||
| Ptiliogonatidae | ||||||
| Ptiliogonys cinereus | x | x | R | CE | MV | |
| Passerellidae | ||||||
| Aimophila rufescens | x | MA | R | |||
| Aimophila ruficeps | x | x | MA | R | ||
| Melospiza lincolnii | x | MR | T | |||
| Melospiza melodia | x | x | C | R | ||
| Melozone fusca | x | x | AE | R | ||
| Peucaea ruficauda | x | R | R | |||
| Peucaea botterii | x | R | R | |||
| Spizella atrogularis | x | A | R | |||
| Spizella passerina | x | x | MA | R | ||
| Spizella pallida | x | SE | MI | |||
| Pipilo erythrophthalmus | x | MI | ||||
| Pipilo chlorurus | x | MI | ||||
| Fringillidae | ||||||
| Haemorhous mexicanus | x | x | AE | R | ||
| Spinus psaltria | x | x | MA | R | ||
| Icteriidae | ||||||
| Icteria virens | x | C | MI | |||
| Icteridae | ||||||
| Icterus abeillei | x | MR | EN | T | ||
| Icterus cucullatus | x | R | SE | MI | ||
| Icterus bullockii | x | x | R | SE | MI | |
| Molothrus aeneus | x | R | ||||
| Molothrus ater | x | R | R | |||
| Parulidae | ||||||
| Cardellina pusilla | x | C | R | |||
| Geothlypis nelsoni | x | x | R | EN | R | |
| Geothlypis tolmiei | x | R | A | T | ||
| Geothlypis trichas | x | C | R | |||
| Leiothlypis celata | x | R | MI | |||
| Leiothlypis ruficapilla | x | MR | MI | |||
| Leiothlypis virginiae | x | MR | SE | MI | ||
| Mniotilta varia | x | MR | T | |||
| Setophaga coronata | x | C | MI | |||
| Setophaga nigrescens | x | MR | SE | T | ||
| Setophaga petechia | x | MR | T | |||
| Setophaga townsendi | x | MR | T | |||
| Setophaga dominica | x | MR | MI | |||
| Cardinalidae | ||||||
| Passerina caerulea | x | x | C | R | ||
| Passerina ciris | x | Pr | T | |||
| Piranga bidentata | x | x | C | R | ||
| Piranga ludoviciana | x | C | MI | |||
| Piranga rubra | x | MI | ||||
| Cardinalis cardinalis | x | R | R | |||
| Pheucticus melanocephalus | x | R | ||||
| Thraupidae | ||||||
| Sporophila torqueola | x | MR | EN | R | ||
| Sporophila minuta | x | MI | ||||
| Volatinia jacarina | x | A | R |
La riqueza de especies de aves reportada con este estudio y registros previos para el polígono TETEMAC es de 113 especies, de 77 géneros, 30 familias y 11 órdenes. Las familias con mayor riqueza específica fueron Tyrannidae y Parulidae con 13 especies cada una, seguidas de Passerellidae con 12 especies. Del total de especies, 53 son residentes, 31 son migratorias de invierno, siete son migratorias de verano y 22 son transitorias, siendo así que, más de la mitad son especies no residentes. En conjunto, a nivel nacional, siete especies están clasificadas bajo la categoría de Protección Especial y una en la categoría de Amenazada (Cuadro 1). Asimismo, cinco especies son endémicas de México, 12 especies son semi-endémicas, una cuasi-endémica, y una exótica.
De acuerdo con la completitud del muestreo, la curva de rarefacción mostró > 99% para el área estudiada, con una extrapolación a 103.55 taxa considerando un tamaño de muestra del doble (Fig. 3). Asimismo, las curvas de rarefacción y extrapolación indican que las especies comunes (q1 = 25.12) y dominantes (q2 = 11.93) fueron muestreadas adecuadamente (Cuadro 2).
Cuadro 2 Números de Hill y completitud del inventario de acuerdo a lo observado. q0 = Riqueza de especies; q1 = Número efectivo de las especies abundantes o típicas; q2 = Especies dominantes, Ep = Valores obtenidos de la extrapolación para cada qD, del polígono TETEMAC, Sierra de Santa Catarina, Ciudad de México, entre los meses de marzo de 2022 a febrero de 2023.
| q0 | Ep | q1 | Ep | q2 | Ep | Completitud (%) | |
| SSC | 96 | 103.55 | 25.12 | 25.54 | 11.93 | 11.96 | 99.27 |
Los valores de la diversidad de Shannon-Wiener fueron de 2.35 - 3.56 en todos los meses, siendo abril el mes con el valor mayor H´ = 3.56, seguido de marzo con 3.16, mientras que diciembre presentó los valores menores con 2.35. Considerando estos valores como número efectivo de especies, todos los meses presentaron valores >10, abril fue el más diverso con un valor de 35.16 especies y diciembre el menos diverso con 10.55 (Cuadro 3). Al comparar por tipos de vegetación, el matorral tuvo un valor de Shannon-Wiener de 2.85 y el pastizal de 3.40, al transformarlo en número efectivo de especies cada sitio presentó 17.28 y 29.96 especies efectivas respectivamente. Al analizar la diversidad beta por medio del índice de disimilitud de Sorensen y sus componentes, tenemos que βSOR = 0.33, mientras que βSIMP = 0.26 y βNES = 0.07.
Cuadro 3 Diversidad alfa = H´ y número efectivo de especies = exp(H´) para cada mes del ciclo anual muestreado (marzo de 2022 a febrero de 2023) de acuerdo con el índice de diversidad de Shannon-Wiener polígono TETEMAC, Sierra de Santa Catarina, Ciudad de México.
| Marzo | Abril | Mayo | Junio | Julio | Agosto | |
| >H´ | 3.16 | 3.56 | 3.14 | 2.92 | 3.05 | 2.71 |
| >Exp(H´) | 23.59 | 35.16 | 23.24 | 18.69 | 21.13 | 15.08 |
| Septiembre | Octubre | Noviembre | Diciembre | Enero | Febrero | |
| >H´ | 2.56 | 2.77 | 2.42 | 2.35 | 2.84 | 3.04 |
| >Exp(H´) | 12.98 | 16.08 | 11.24 | 10.55 | 17.11 | 21.03 |
La curva de rango-abundancia muestra que el ensamblaje de aves estuvo dominado por cinco especies con abundancia extrema: el Rascador viejita (Melozone fusca (Swanson, 1827) n= 106, Saltapared barranqueño (Catherpes mexicanus Swainson, 1829) n = 126, Pinzón mexicano (Haemorhous mexicanus Müller, 1776) n = 379, Golondrina tijereta (Hirundo rustica Linnaeus, 1758) n = 391 y la Tortolita cola larga (Columbina inca Lesson, 1847) n = 232 (Fig. 4). Del resto de las especies, cuatro fueron muy abundantes, 17 fueron abundantes, 16 comunes, 24 raras y 30 muy raras, de estas últimas la mayoría son especies migratorias o transitorias (Cuadro 1).
Discusión
Este estudio se realizó en tres de los siete volcanes que conforman la Sierra de Santa Catarina, por motivos logísticos, debido a lo difícil del acceso a los sitios. En los tres volcanes se registraron en total 113 especies de avifauna, que representan al 10.06% de las 1,123 especies reportadas para México (Navarro-Sigüenza et al., 2014) y al 27.62% de las 409 especies registradas para la Ciudad de México de acuerdo con eBird (Meléndez-Herrada et al., 2016; eBird, 2024). De las 96 especies de aves registradas, solo 26 especies representan más del 86% de los individuos avistados, mientras que en el caso de las aves rapaces su abundancia fue del 1.8% de los individuos totales observados, siendo en su mayoría especies transitorias y migratorias de invierno.
La completitud del inventario de acuerdo con la curva de rarefacción, indican que es necesario un mayor esfuerzo de muestreo para alcanzar la asíntota y el inventario sea más confiable para un análisis de diversidad, por lo que, el número de especies para la SSC puede incrementarse, ya que el presente listado representa solo tres de los siete volcanes que conforman la sierra, lo que representa el 31% de toda la SSC (1815 km2) (Gobierno del Distrito Federal, 2005). No obstante, la riqueza de especies de aves del TETEMAC resulta similar a la avifauna de otras áreas de conservación presentes en el Valle de México como la Sierra de Guadalupe (GOCDMX, 2016) y la Reserva del Pedregal de San Ángel (Chávez & Gurrola, 2009), no obstante que estos sitios presentan mayor extensión territorial o tipos de vegetación que la SSC.
La diversidad de la avifauna para todo el ciclo anual entre 2022-2023 en el TETEMAC fue de H´ = 3.22, valor que se interpreta como de diversidad media, dónde Margalef (1972) y Magurran (2004) indican que el índice de Shannon-Wiener varía entre 1 a 5, donde valores menores a 2 indica una diversidad baja, valores de 2 a 3.50 una diversidad media y superiores a 3.50 una diversidad alta. Las estimaciones de diversidad fueron similares cada mes, con una H´ > 2, siendo abril el mes que presentó el valor más alto (H´ = 3.56) que convertido a número efectivo de especies es igual a 35.16. Estos resultados coinciden con otros estudios donde encontraron que la mayor riqueza de especies ocurrió entre los meses de enero a junio, destacando aquellas especies con una dependencia forestal media (Sandoval, 2019). Adicionalmente, contrario a lo que podríamos esperar, el pastizal presentó mayor diversidad que el matorral xerófilo, lo que puede deberse a un conjunto de factores, como el amplio uso del pastizal por especies migratorias y playeras, así como la llegada de especies generalistas a causa del efecto antrópico.
La mayor riqueza de especies de aves fue en la temporada seca, de noviembre a mayo, donde coincide con la presencia de las especies migratorias neotropicales. Mientras que la menor riqueza de especies ocurrió en la época húmeda (junio-octubre) en la SSC, lo cual coincide con el regreso de las aves migratorias para reproducirse en Norteamérica (Girma et al., 2017). Asimismo, algunas especies tienen movimientos hacia los campos de cultivo que existen en las partes bajas de la SSC y que representan una alternativa para el forrajeo y sitios de nidificación para estos taxa (LaGory et al., 2024). Por ejemplo, Spizella passerina, Piranga bidentata y Lanius ludovicianus, Polioptila caerulea se registraron en las partes altas en el matorral xerófilo durante la época seca, durante la época de lluvias se registraron también en el pastizal en zonas bajas.
La disminución en el número de taxa totales observados respecto al número efectivo de especies (q1) para todo el ciclo anual fue del 73.83%, lo que indica que la estructura de la comunidad es menos equitativa (Zelený, 2023). Cinco especies fueron las dominantes por su abundancia (M. fusca, C. mexicanus, H. mexicanus, H. rustica y C. inca), cuyas poblaciones han sido favorecidas por la expansión de las actividades antrópicas (Woods, 1998; Kannan et al., 2019). En el otro extremo están aquellas que sólo fueron registradas una vez en todo el ciclo anual, principalmente rapaces diurnas como Accipiter cooperii (Bonaparte, CLJL 1828), Accipiter striatus (Vieillot, LJP 1808), Buteo platypterus (Vieillot, LJP 1823) o Circus hudsonius (Linnaeus, C 1766), lo que puede indicar una disminución de la riqueza y abundancia de especies de rapaces diurnas a causa de la perturbación como se ha reportado en otros estudios (Eduardo et al., 2007).
Las cinco especies más abundantes son tolerantes al disturbio y su dominancia está sometida a diferentes actividades antrópicas como la ganadería de caprinos, agricultura de temporal, minería extractiva e incendios frecuentes, asimismo el sitio es usado como lugar de recreación por los vecinos, sobre todo los fines de semana (Román-Suárez, 2022). Estas actividades afectan la equitatividad y riqueza de las especies de un lugar. No obstante, también se registraron especies en zonas menos perturbadas que se ubican en las partes altas de la sierra, dominadas por el matorral xerófilo, por ejemplo, Cynanthus latirostris (Sawaison, WJ 1827), Thryomanes bewickii (Audubon, JJ 1827) o Spizella atrogularis (Cabanis, JL 1851), especies susceptibles a la antropización del hábitat de las zonas bajas de la sierra y que se reproducen en sitios a mayor altitud, así como, matorrales densamente poblados con grandes rocas y laderas (Kennedy & White, 2020; Powers & Wethington, 2022), características propias de las zonas más altas de la SSC.
La diversidad beta presentó una baja similitud entre las comunidades de aves entre ambos tipos de vegetación, consecuencia del bajo recambio de especies. Esto puede deberse a que el pastizal inducido posee una mayor distribución en las partes bajas de la sierra y tiene una estructura física más simple que el matorral, lo que genera en la avifauna un uso diferencial de estos ambientes que se refleja en la estructura de las comunidades de las aves, principalmente por la llegada de especies exóticas en el pastizal (Búrquez et al., 1998).
La mayoría de las especies del TETEMAC son de hábitos exclusivamente terrestres, excepto Actitis macularius (Linnaeus, 1766) y Ardea ibis (Linnaeus, 1758) y representan al 35.22% de las 264 especies terrestres registradas en la CDMX (Meléndez-Herrada et al., 2016). Las familias Tyrannidae, Parulidae y Passerellidae, fueron las de mayor riqueza específica y las más diversas en la avifauna de la Ciudad de México (con 30, 40 y 15 especies respectivamente) (Meléndez-Herrada et al., 2016). Así mismo, son familias diversas en la Reserva Ecológica del Pedregal de San Ángel (REPSA) (con 14, 19 y 11 especies respectivamente) (Chávez & Gurrola, 2009). Estas familias son las más diversas en las comunidades de aves neotropicales (Schmitt & Edwards, 2022), motivo de su gran representatividad en el TETEMAC al igual que en otros sitios de México.
El 7.07% de la avifauna del TETEMAC, se encuentran en alguna categoría de riesgo a escala nacional (SEMARNAT 2019), número similar al 9% encontrado para la avifauna de la CDMX (Meléndez-Herrada et al., 2016). La única especie amenazada es G. tolmiei, mientras las otras seis especies están bajo protección especial. En este estudio las especies observadas fueron A. cooperii y A. striatus consideradas muy raras, G. tolmiei como rara y P. unicinctus como abundante. Todas estas especies son de amplia distribución (SEMARNAT, 2019).
Registramos cinco especies endémicas de México que representaron el 4.42% de la avifauna registrada, valor menor al 5.30% de especies endémicas con distribución en la CDMX (González-García & Gómez de Silva, 2003; Meléndez-Herrada et al., 2016), aunque el área de estudio forma parte de la región biogeográfica Eje Neovolcánico, una zona reconocida por ser un centro de endemismo y de transición biogeográfica para un número importante de especies (Gámez et al., 2012). La SSC no refleja este mismo patrón de alto endemismo, lo que puede ser una consecuencia de que las comunidades vegetales de matorral y pastizal de la SSC son más similares a las comunidades del Altiplano Mexicano que a los bosques de la Eje Neovolcánico (Gámez et al., 2012). Por lo tanto, el nivel de endemismo registrado fue menor al del Eje Neovolcánico, considerando que en el matorral xerófilo el número de especies endémicas suele ser menor (González-García & Gómez de Silva, 2003; Navarro-Sigüenza et al., 2014).
Las cinco especies endémicas a México registradas en el área de estudio tienen una distribución amplia en el territorio nacional, de ellas S. torqueola llega a ser abundante en otras regiones, principalmente en las tierras bajas del Pacífico Mexicano en áreas abiertas como sabanas, bordes de pantano, pastizales y bordes de carreteras (Hilty, 2011). Por su parte, G. nelsoni habita matorrales áridos y semihúmedos (Howell & Webb, 1995), y su abundancia es baja en otros sitios, como fue registrado en este estudio. Por otro lado, I. abeillei y S. heloisa aunque residen en tierras altas por encima de los 1500 msnm, su baja abundancia se debe a que utilizan los bosques húmedos y semihúmedos de pino, así como, la vegetación arbustiva (Howell & Webb, 1995), contrario a T. rufopalliatus, que presenta una amplia distribución (Howell & Webb, 1995) y un buen aprovechamiento de ambientes antropizados y, por ende, una mayor abundancia en la zona.
El 53.09% de las especies de aves registradas en el TETEMAC son migratorias o transitorias, valor que indica el importante uso de las aves en la SSC, la cual funciona como corredor biológico o sitio de conexión para las aves que se desplazan hacia otras áreas como las montañas del Eje Neovolcánico y matorrales del Altiplano (Zellmer & Goto, 2022). Asimismo, usan la SSC como sitio de descanso debido a la presencia de recursos necesarios y las condiciones medioambientales adecuadas para recuperar energías (Packett & Dunning, 2009).
En conclusión, el polígono TETEMAC de la SSC, presenta una diversidad avifaunística similar al de otras áreas de importancia ecológica presentes en el Valle de México. Además, corresponde a un sitio donde más de la mitad de las especies registradas son migratorias. Es necesario llevar a cabo más estudio en la SSC, que abarque la totalidad de la sierra y un mayor periodo de tiempo para dilucidar los cambios en la riqueza de la avifauna del sitio, determinación de los patrones de cambios poblacionales de los taxa presentes en la sierra y evaluar el efecto de la creciente presión urbana.










text new page (beta)



