Serviços Personalizados
Journal
Artigo
Indicadores
-
Citado por SciELO -
Acessos
Links relacionados
-
Similares em
SciELO
Compartilhar
Acta zoológica mexicana
versão On-line ISSN 2448-8445versão impressa ISSN 0065-1737
Acta Zool. Mex vol.21 no.2 Xalapa Ago. 2005
Ecología poblacional de Liomys pictus en tres áreas de bosques tropical subcaducifolio con diferente tiempo de regeneración, en la costa Norte de Jalisco, México
Silvia S. Zalapa1, Mohammad H. Badii2, Fernando A. Cervantes3 & Sergio Guerrero4
1 Dirección de Estudios de Postgrado. Facultad de Ciencias Biológicas, Universidad Autónoma de Nuevo León, N.L., MÉXICO.
2 Facultad de Ciencias Biológicas, Universidad Autónoma de Nuevo León, Apdo. Postal 391. 6645 San Nicolás de Los Garza, N.L., MÉXICO.
3 Departamento de Zoología. Instituto de Biología, UNAM Apdo. Postal 70-153. 04150 Coyoacán, México, D.F. MÉXICO.
4 Centro de Estudios en Zoología, Universidad de Guadalajara Apdo. Postal 1-1919. 44101 Guadalajara, Jalisco, MÉXICO.
Recibido: 10 de febrero 2004
Aceptado: 17 de enero 2005
RESUMEN
Se estudiaron algunos parámetros poblacionales de Liomys pictus en tres áreas del bosque tropical subcaducifolio con diferente tiempo de regeneración: 1) bosque tropical subcaducifolio (BTS), 2) vegetación secundaria con 32 años de regeneración (VS32) y 3) vegetación secundaria con 7 años de regeneración (VS7). El ciclo anual se dividió en tres temporadas climáticas con base en datos de precipitación y temperatura registradas en el área de estudio: seca-cálida (febrero-mayo), seca-fría (octubre-enero) y lluvias (junio-septiembre). Los muestreos se realizaron en cuadrantes, dos en BTS (C1, C2), dos en VS32 (C3, C4) y uno en VS7 (C5), usando la técnica de captura-recaptura. La densidad (ind/ha) se calculó mediante el método de Jolly-Saber. Durante la temporada seca-cálida se presentó diferencia significativa en el número de capturas totales y recapturas entre los cuadrantes, así como en la densidad, siendo el C5 diferente (P < 0.05), del resto de los cuadrantes. Los individuos juveniles fueron registrados principalmente al inicio de la temporada de lluvias en los cinco cuadrantes. Solo el número de hembras adultas fue diferente significativamente entre los cuadrantes durante la temporada seca-cálida, siendo el C5 diferente de los restantes (P < 0.05). La proporción de sexos fue de 1:1 en C1, C3 y C4 (P> 0.05), de 1:0.5 en C2 (P< 0.05) y de 0.5:1 en C5 (P< 0.05). El registro de actividad reproductiva fue mayor en machos que en hembras, en ambos casos en el C5 se registró la mayor actividad. Menos del 40% (n=116) en los cuadrantes C1, C2, C3 y C4 y el 60% (n=56) en C5, de los machos adultos capturados estuvieron activos reproductivamente, presentando la mayor actividad en la estación seca-fría. En hembras, menos del 20% (n=51) en C1, C2, C3 y C4 y el 20% (n=25) en C5, fueron activas reproductivamente, esta actividad se concentró entre las temporadas seca-cálida y al principio de la temporada de lluvias. Se observó mayor estabilidad poblacional en el cuadrante de VS7, ya que el número de individuos recapturados fue mayor, así como la longevidad y la residencia de hembras. Fue clara la diferencia en algunos de los parámetros poblacionales de L. pictus en el cuadrante de VS7 con respecto a los cuadrantes de BTS y de VS32.
Palabras clave: Liomys pictus, ecología poblacional, bosque tropical subcaducifolio, costa norte de Jalisco, México.
ABSTRACT
We studied some population parameters of Liomys pictus in three areas in a Tropical Subdeciduous Forest: 1) Tropical Subdeciduous Forest (BTS); 2) second growth Tropical Subdeciduous Forest with 32 years of regeneration (VS32) and 3) second growth Tropical Subdeciduous Forest with 7 years of regeneration (VS7). The annual cycle was divided into three seasons: dry-hot season (February-May), dry-cold season (October-January) and rain season (June-September). We used mark-recapture techniques in five grids. Two in BTS (C1, C2), two in VS32 (C3, C4) and one in VS7 (C5). We calculated density with Jolly-Saber method. In the dry-hot season total capture, recapture and density were different between grids, C5 was significantly different (P < 0.05) to the others grids. Young individuals were recorded only at the beginning of the rain season in the grids. The sex ratio was 1:1 in C1, C3 and C4 (P> 0.05), 1:0.5 in C2(P< 0.05) and 0.5:1 in C5 (P< 0.05). Males were reproductively more active than females. In C5 both reproductive males and females were significantly different (P < 0.05) to the others grids. Less than 40% (n= 116) in C1, C2, C3 and C4, and 60% (n= 56) in C5 of the males were reproductively active at dry-cold season. In C1, C2, C3 and C4 less than 20% (n=51) and in C5 20% (n= 25) of the females were reproductively active at dry-hot season and at the beginning of the rain season. Population was more stable in VS7 (C5) than BTS (C1, C2) and VS32 (C3, C4), as shown by the higher number of recaptured individuals, as well as longevity and persistence of females. Some population parameters shown by L. pictus in grid of VS7, were different from the same parameters shown in the grids of BTS and VS32.
Key Words: Liomys pictus, population ecology, Tropical Subdeciduous Forest, North Cost of Jalisco, Mexico.
INTRODUCCIÓN
La distribución de una especie está influenciada por el grado de especialización en su uso de hábitat (MacNally 1995). Las especies generalistas mantienen altas densidades a través de un amplio espectro de hábitats (Tomblin & Adler 1998). Sin embargo, otros aspectos demográficos tales como la estructura de edades, proporción de sexos, supervivencia, tasas de emigración e inmigración y actividad reproductiva pueden variar (Adler & Wilson 1987), en función de la estructura del hábitat (Galindo-Leal & Krebs 1997). En este sentido, estudios de poblaciones de pequeños mamíferos han arrojado resultados opuestos; en tanto para algunas especies se observan patrones demográficos contrastantes entre hábitats con características estructurales diferentes (Bondrup-Nielsen 1987, Hansson 1994, Krohne & Baccus 1985, Ostfeld & Klosterman 1986, Ostfeld et al. 1985, Van Horne 1981), otras exhiben patrones demográficos similares (Adler & Wilson 1987, Parmenter & MacMahon 1983, Sullivan 1979, Petticrew & Sadleir 1974, Sadleir 1974).
En el estado de Jalisco, los bosques tropicales son uno de los hábitats con mayor complejidad estructural, lo que da lugar a gran número de microambientes. Una de las especies de pequeños mamíferos más abundante en este tipo de bosques es Liomys pictus, considerada como importante dispersor y depredador de semillas, por lo que juega un papel relevante en estos bosques (Ceballos & Miranda 1986).
Diversos estudios de L. pictus, han arrojado información respecto a su densidad poblacional, reproducción e historia natural, así como sobre su relación con la estacionalidad climática (Collett et al. 1975, Ceballos 1989, 1990, Briones 1991, Romero 1993). Variaciones registradas en su densidad poblacional y actividad reproductiva han sido atribuidas a la precipitación (Ceballos 1989, Briones 1991, Romero 1993). Se considera una especie de gran éxito biológico y capacidad para utilizar los recursos disponibles, lo que se relaciona con la riqueza y abundancia de semillas (Romero 1993). Por otro lado los habitas ocupados por esta especies son extremadamente variables, los que van desde zonas desérticas hasta tierras bajas tropicales (McGhee & Genoways 1978). Sin embargo, no se ha estudiado la respuesta de los parámetros ecológicos de esta especie respecto a áreas con diferente tiempo de regeneración en un mismo tipo de bosque (bosque tropical subcaducifolio). Por lo que, el objetivo del presente estudio fue conocer algunos parámetros poblacional de L. pictus en tres áreas con diferente tiempo de regeneración del bosque tropical subcaducifolio. Basándonos en la capacidad de adaptación que presenta esta especie, se espera que aspectos como la densidad, proporción de sexos y estructura de edades difieran en cada una de las áreas.
MATERIAL Y MÉTODOS
El área de estudio se localiza en el Municipio de Puerto Vallarta, Jalisco, próxima al poblado de Las Palmas, entre las coordenadas 20° 49' y 20° 50' N y 105° 05' y 105° 07' W, a una altura de 100 msnm (SPP 1981).
Presenta un clima cálido subhúmedo; la máxima temperatura se registra en los meses de junio a septiembre, con una fluctuación entre los 29°C y 30°C. El período más frío es en febrero con una temperatura de 23 a 24° C. La temperatura media anual es entre los 22 y 26°C. La precipitación tiene su máxima incidencia en el mes de junio con valores entre los 300 y los 310 mm mientras que la mínima ocurre en los meses de febrero a abril con 5 mm, la media anual tiene un rango entre los 1000 y 1500 mm (SPP 1981). Entre los tipos de vegetación más importantes para la zona se encuentra el bosque tropical subcaducifolio (Pennington & Sarukhán 1998), sin embargo, debido a la actividad humana se han generado áreas de desmonte en este tipo de bosque que han sido abandonadas y que ahora tienen diferentes tiempos de regeneración.
Para el presente estudio se eligieron dos áreas con diferente tiempo de regeneración en el bosque tropical subcaducifolio y una de vegetación natural: 1) bosque tropical subcaducifolio (BTS), el cual presenta tres estratos y la presencia de algunos árboles que superan los 35 m; durante la temporada seca pierde un 58% de cobertura. Entre las especies presentes están: Syngonium podophyllum, Philodendron sp., Athurium schlechtendalis, Randia sp., Piper jaliscana, Phoradendron quadrangula, Conostegia xalapensis, Luehea candida, Ardisia compressa, Ficus sp., Brosimum alicastrum. 2) Vegetación secundaria del bosque tropical subcaducifolio, con un tiempo de regeneración de aproximadamente 32 años (VS32), presenta dos estratos y escasos individuos mayores de 20 m de altura; durante la temporada seca la cobertura se pierde en un 65%. Entre las especies presentes están: Randia tetracantha, Lasiacis nigra, Senna sp., Trichilia trifoliata, Bromelia blumeri, Karwinskia latifolia, Erythroxylon sp., Phyllanthus sp. 3) Vegetación secundaria del bosque tropical subcaducifolio, con un tiempo de regeneración de aproximadamente 7 años (VS7), solo tiene un estrato y escasos individuos mayores de 5 m; durante la temporada seca únicamente pierde el 38% de la cobertura. Entre las especies presentes están: Hura polyandra, Eugenia sp., Mimosa costenya, Pithecellobium lanceolatum, Acacia hindisii, Acacia macracanta, Crotalaria sp., Zanthoxyllum fagara, Guarea glabara, Asterophytis stellulata, Guazuma ulmifolia, Calea sp., Lasiacis nigra, Pisonia aculeata, Conostegia xalapensis, Malvaviscus arboreus, Coccolaba barbadensis, Acromia aculeata (observación personal de los autores).
Los muestreos se realizaron de julio de 1999 a junio 2001, para lo cual se establecieron cinco cuadrantes, dos en BTS (C1, C2), dos en VS32 (C3, C4) y solo uno en VS7 (C5), debido a la reducida superficie encontrada con este tiempo de regeneración. Los cuadrantes con el mismo tiempo de regeneración estuvieron separados al menos por 500 m; los cuadrantes entre BTS y VS32 estuvieron separados por 1.5 km; y el cuadrante de VS7 estuvo separado de los otros cuatro cuadrantes por una distancia de 2 km. Para cada cuadrante se realizaron dos sesiones de muestreo por temporada climática por año. Las temporadas climáticas fueron definidas con base en la precipitación y temperatura registradas en el área de estudio: seca-cálida (febrero-mayo), seca-fría (octubre-enero) y lluvias (junio-septiembre). Se utilizaron trampas tipo Sherman (7.5 x 9.0 x 30.0 cm), las cuales se colocaron en cada cuadrante en un arreglo de 4 x 8, con una separación de 15 m entre línea y línea y 10 m entre trampa y trampa. Se cebaron con maíz quebrado, avena y vainilla. Se activaron tres noches consecutivas por sesión de muestreo durante la fase de luna nueva (Ceballos 1990).
Los roedores capturados fueron anestesiados con éter, se marcaron por ectomización de falanges y se liberaron en el lugar de captura después de tomar los siguientes datos: largo total (LT), largo cola (LC), largo pata (LP), largo oreja (O), peso, sexo, número de marca y número de estación de recolecta. Se consideraron como activos reproductivamente a los machos si presentaban testículos escrotales y a las hembras sí tenían la vagina abierta, estaban preñadas o lactando (Mares & Ernest 1995).
El tamaño de la población se determinó mediante el modelo de Jolly-Seber (Jolly 1965, Seber 1965), ya que por lo general los modelos probabilísticos se consideran mejores estimadores de tamaños poblacionales (Nichols & Pollock 1983). La densidad se estimó dividiendo el tamaño de la población por el área efectiva de trampeo (Mares & Ernest 1995). El área efectiva se calculó añadiendo una franja de 15 m (distancia promedio de desplazamiento de L. pictus en el área de estudio) al perímetro de los cuadrantes (Stenseth & Hansson 1979, Krebs 1999); en este caso el área efectiva de trampeo fue de 7,500 m2 (0.75 ha) por cuadrante.
Los individuos capturados fueron catalogados como juvenil y adulto de acuerdo con el rango de talla y peso considerados por Romero (1993): juvenil, largo total menor de 190 mm y peso menor de 25 g; adulto, largo total mayor de 190 mm y peso mayor de 25 g. Debido al bajo registro de juveniles, sólo los adultos se analizaron por sexos. Los individuos que sólo se capturaron durante una sesión de muestreo fueron catalogados como transeúntes y como residentes aquellos que se capturaron más de una sesión, se excluyeron los individuos capturados durante la última sesión de muestreo.
A todos los datos se les aplicaron las pruebas de Shapiro-Wilk y Bartlett para probar normalidad y homocedasticidad. Debido a que la mayoría no presentaron distribución normal, se usaron pruebas no peramétricas. La proporción de sexos y el número de residentes y transeúntes se analizaron mediante la prueba de homogeneidad x2 (Zar 1996). Las capturas totales, capturas nuevas, recapturas, (generales, machos y hembras), el número de machos y hembras con actividad reproductiva y el número de juveniles y adultos machos y hembras, se analizaron mediante las pruebas de Kruskal-Wallis y Mann-Withney para la comparación entre los cuadrantes por temporada climática y dentro del cuadrante, respectivamente. En los casos necesarios se aplicó Conover-Inman (C.-I.), después de Kruskal-Wallis, para conocer cual cuadrante marcaba la diferencia (Conover 1999, Hollander & Wolfe 1999, Zar 1996). Sólo la densidad se analizó mediante ANOVA de una vía, seguida por la prueba de Tukey (Zar 1996). En todos los casos se usó un nivel de significancia del 0.05.
RESULTADOS
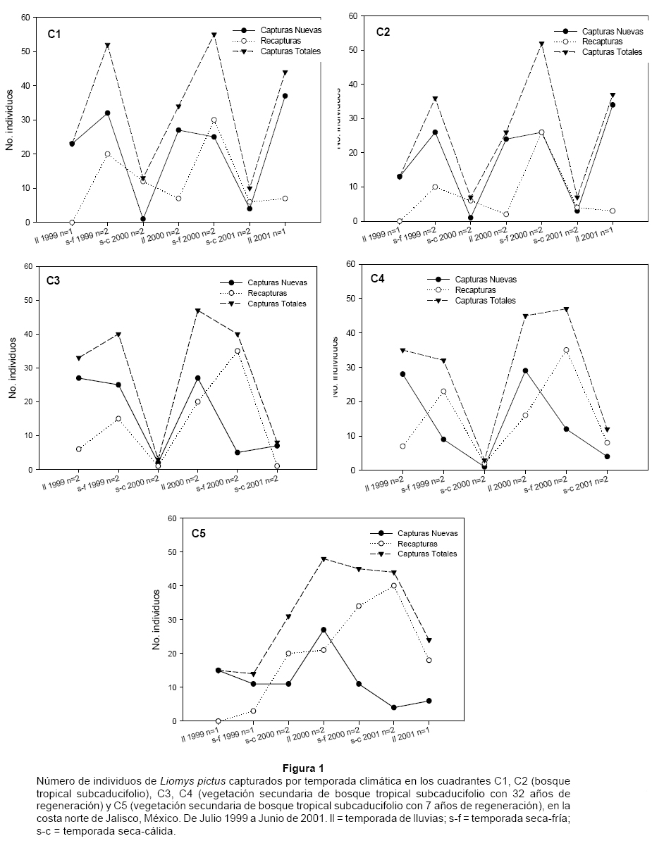
Demografía.- Se realizaron 4 sesiones de muestreo por temporada climática (12 sesiones de muestreo) en C1, C2 (BTS) y C3, C4 (VS32). En el C5 debido al difícil acceso durante la temporada seca-fría del primer año de estudio, solo se lograron 3 sesiones de muestreo (11 sesiones de muestreo), para un total de 5,664 noches trampa. El cuadrante con mayor número de individuos capturados fue C1 con 149 (87 machos y 62 hembras; recapturados 82 veces), seguido por C2 con 126 individuos (71 machos y 55 hembras; recapturados 51 veces), C3 con 93 individuos (53 machos y 40 hembras; recapturados 78 veces), C4 con 83 individuos (41 machos y 42 hembras; recapturados 91 veces) y C5 con 85 individuos capturados (41 machos y 44 hembras; recapturados 136 veces). En ninguno de los cuadrantes se capturaron individuos marcados de otros cuadrantes.
Para los cuadrantes C1, C2, y C4, las capturas totales presentaron el valor más alto durante la temporada seca-fría 2000 (55, 52, 47 respectivamente), y para C3 y C5 durante la temporada de lluvias 2000 (47, 48); en tanto que el valor más bajo resultó en la temporada seca-cálida 2000 para C2, C3 y C4 (7, 3, 3), para C1 en la temporada seca-cálida 2001 (10) y para C5 en la temporada seca-fría 1999 (14). Sin embargo, en este último, la fluctuación de las capturas, a lo largo del estudio, no fue tan marcada como en los restantes (Fig. 1).
Las capturas totales durante la temporada seca-cálida fueron significativamente diferentes entre cuadrantes (H= 10.19, P= 0.037, gl=4), siendo distinto C5 respecto a los restantes (C1, C.-I. P= 0.03; C2, C.-I. P= 0.005; C3, C.-I. P= 0.004; C4, C.-I. P= 0.006). No se encontró diferencia significativa en las capturas nuevas (H= 1.65, P>0.05, gl=4). En cambio, las recapturas si fueron significativamente diferentes durante la temporada seca-cálida (H= 11.41, P= 0.022, gl=4), siendo nuevamente C5 diferente respecto de los restantes (C1, C.-I. P= 0.033; C2, C.-I. P= 0.007; C3, C.-I. P= 0.0005; C4, C.-I. P= 0.012). No se encontró diferencia significativa entre capturas nuevas y recapturas por cuadrante (C1 U'= 53, P= 0.28; C2 U'= 45, P= 0.12; C3 U'= 61, P= 0.53; C4 U'= 45.5, P= 0.85; C5 U'= 94, P= 0.09).
Las capturas totales de hembras fueron diferentes significativamente entre cuadrantes durante la temporada seca-cálida (H= 10.41, P = 0.034), estableciendo dicha diferencia C5 (C1, C.-I. P= 0.02; C2, C.-I. P= 0.001; C3, C.-I. P= 0.007; C4, C.-I. P= 0.013). Las recapturas de machos y de hembras también fueron diferentes significativamente entre los cuadrantes durante la estación seca-cálida (machos: H= 10.1, P= 0.04, gl=4; hembras: H= 12.59, P= 0.013, gl=4); en ambos casos, C5 marcó la diferencia (machos: C3, C.-I. P= 0.006; C4, C.-I. P= 0.014; hembras: C1, C.-I. P= 0.04; C2, C.-I. P= 0.0005; C3, C.-I. P= 0.0006, C4, C.-I. P= 0.02). Por su parte, las recapturas entre machos y hembras difirieron significativamente únicamente en el C5 ( U'= 94, P = 0.03).
La densidad poblacional presentó variaciones importantes a lo largo del estudio en los cinco cuadrantes (Cuadro 1). El cuadrante con mayor variación en la densidad de individuos fue el C2 con valores de 0 ind/ha, para la temporada de lluvias 2000, a 68.4 ind/ha, en la temporada seca-fría 1999. En cambio el C5 resultó con 21.2 ind/ha, en la temporada seca-fría 1999, a 54.4 ind/ha, para la temporada de lluvias 2000, siendo el más homogéneo. Únicamente en la temporada seca-cálida, la densidad fue diferente entre los cuadrantes (F = 4.123, P = 0.036, gl=4), marcando esa diferencia el C5 del C4 (Tukey P = 0.036).
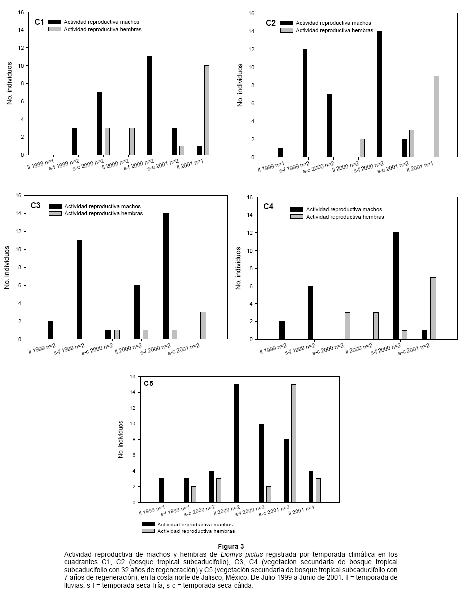
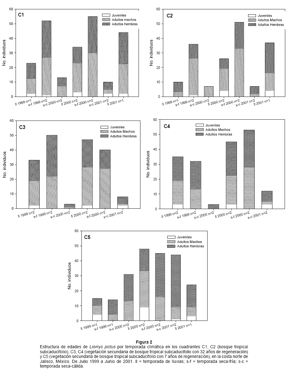
La mayoría de los individuos capturados fueron adultos, los juveniles se registraron principalmente al inicio de la temporada de lluvias en los cinco cuadrantes (Fig. 2). El número de hembras adultas presentó diferencia significativa entre los cuadrantes durante la temporada seca-cálida (H= 10.38, P= 0.034, gl=4), siendo C5 significativamente diferente de los restantes (C1, C.-I. P= 0.021; C2, C.-I. P= 0.001; C3 C.-I. P= 0.004; C4 C.-I. P= 0.013). La proporción de sexos (macho-hembra) en C1 (X2 = 0.848, P> 0.05, gl=1), C3 (X2= 2.33, P> 0.05, gl=1) y C4 (X2= >0.05, gl=1) fue de 1:1. En el C2 fue 1:0.5 (X2= 5.78, P< 0.05, gl=1) y en el C5 de 0.5:1 (X2 =14.19 P< 0.05, gl=1).
Se registró mayor actividad reproductiva en machos que en hembras. En C1, C2, C3 y C4 menos del 40% (n=116) de los machos adultos capturados fueron activos reproductivamente, presentandose la mayor actividad en la estación seca-fría. Mientras que en C5, el 60% (n=56) de machos fueron observados con actividad reproductiva, siendo ésta a lo largo de todo el estudio; los picos más altos se observaron en la temporada de lluvias 2000 y seca-fría 2000 (Fig. 3). En hembras el registro de actividad reproductiva fue bajo, representando menos del 20% (n=51) de las hembras adultas capturadas en C1, C2, C3 y C4 durante todo el estudio. Esta actividad se concentró entre las temporadas seca-cálida y principio de la temporada de lluvias, lapso en el cual el 53% (n=45) de hembras capturadas con actividad reproductiva se encontraron lactando o con indicios de que habían estado. En C5, el 20% (n=25) de las hembras adultas capturadas registraron actividad reproductiva, presentando un incremento durante la temporada seca-cálida 2001. En la temporada seca-cálida 2001 y al inicio de la temporada de lluvias 2001 el 100% (n=17) de las hembras capturadas con actividad reproductiva estuvieron lactando. El número de individuos machos y hembras con actividad reproductiva fue significativamente diferente en el C3 (U'= 35, P= 0.025) y en el C5 (U' = 21 =0.006). La actividad reproductiva de machos entre los cuadrantes fue diferente durante la temporada de lluvias (H = 13.82, P = 0.008, gl=4), siendo C5 diferente a los cuadrantes restantes (C1, C.-I. P= 0.007; C2, C.-I. P= 0.0007; C3 C.-I. P= 0.041; C4 C.-I. P= 0.003) y el C3 de los cuadrantes C1 y C2 (C1,C.-I. P= 0.012; C2, C.-I. P= 0.012). Las hembras con actividad reproductiva fueron diferentes significativamente durante la temporada seca-fría (H = 11.297, P = 0.023, gl=4); siendo distinto C5 de C1 y C2 (C1, C.-I. P = 0.023; C2, C.-I. P= 0.023).
De los individuos capturados, el 40 % fueron residentes en C1, 34% en C2, 42% en C3, 49% en C4 y 57% en C5. La proporción de machos transeúntes fue mayor que la de residentes en C1 (x2 = 6.77, P< 0.05, gl=1), C2 (x2 = 10.25, P< 0.05, gl=1) y C3 (x2 = 5.77, P< 0.05, gl=1); en el C2 las hembras transeúntes resultaron con diferencia significativa (x2= 12.97, P< 0.05, gl=1) respecto a las residentes. Por el contrario, en el C5 la proporción de hembras residentes fue mayor a la de transeúntes (x2= 8.3, P < 0.05, gl=1). La longevidad promedio para C1 fue 5.2 meses (d.e.= 2.91), sólo el 24% sobrevivió más de 6 meses, la mayor longevidad fue de una hembra que sobrevivió por 12 meses. En C2 la media fue de 4.8 meses (d.e. = 2.61), sólo el 16% sobrevivió más de 6 meses, y una hembra por 13 meses. En C3 la media fue de 5.6 meses (d.e. = 2.96), el 41% sobrevivió más de 6 meses y una hembra por 18 meses. En C4 la media fue de 6.2 meses (d.e. = 3.71), 44% sobrevivió más de 6 meses, un macho y una hembra por 17 y 18 meses respectivamente. En C5 la longevidad promedio fue de 7.5 (d.e = 4.09), el 60% sobrevivió por lo menos seis meses y el 11% más de 12 meses; la mayor longevidad fue de una hembra y un macho con 17 meses.
DISCUSIÓN
Los resultados mostraron una diferencia considerable en el número de individuos capturados entre los cuadrantes. En los de bosque tropical subcaducifolio (C1, C2) y en los de vegetación secundaria con 32 años de regeneración (C3, C4) se presentaron variaciones poblacionales que coinciden con las temporadas climáticas, lo cual es acorde con lo citado por Tevis (1958a, b), Beatley (1967, 1969, 1974), Brown (1987), Sala et al. (1988), Romero (1993), Meserve et al. (1995), Jaksic et al. (1997), Polis et al. (1998) y Lima et al. (1999), quienes atribuyen a la precipitación las variaciones poblacionales de roedores. Mientras que en el cuadrante de vegetación secundaria con 7 años de regeneración (C5) la variación no siguió este patrón. Kaufman & Kaufman (1989) consideran que, además de la precipitación, otros factores pueden influir en la densidad como la presencia de agua, sitios de refugio, arquitectura del hábitat, vegetación y relaciones con otros animales. Adicionalmente, Sánchez-Cordero (1993) registró correspondencia entre la fluctuación de la densidad poblacional de Heteromys desmarestianus y la mayor disponibilidad de frutos y semillas; Galindo-Leal & Krebs (1997) consideran que los hábitats que pueden proveer una combinación de cobertura para protección y una mayor estabilidad de alimento disponible, contribuyen a dicha estabilidad. Aunque los cinco cuadrantes estuvieron afectados por las mismas condiciones climáticas, en el C5 se observaron diferencias fisonómicas relevantes, respecto a los otros cuadrantes, principalmente en la cobertura vegetal y en la presencia de semillas a lo largo de todo el año, particularmente durante la temporada más seca (seca-cálida) (observación personal de los autores). Durante esta temporada, consistentemente, se encontraron semillas de Mimosa costenya (árbol abundante en C5) en los abazones de L. pictus.
La densidad poblacional presentó un comportamiento unimodal durante los dos ciclos de estudio en los cinco cuadrantes. Sin embargo, aunque en C5 presentó el mismo patrón, la diferencia entre el valor más alto y el más bajo no fue tan marcada. Este comportamiento ha sido registrado en otros estudios de L. pictus (Collet et al. 1975, Romero 1993) y para otras especies de heterómidos (Fleming 1971, Sánchez-Cordero 1993).
Otro aspecto que marcó la diferencia entre los cuadrantes fue la proporción de sexos. Para C1, C3 y C4 fue de 1:1, lo que coincide con lo reportado por Ceballos (1989) y Briones (1991) para esta especie y por Fleming (1971) para L. adspersus. En cambio, en C5 la proporción favoreció a las hembras (0.5:1), coincidiendo esto con lo citado por Romero (1993) y Sánchez-Cordero (1993).
Se registró diferencia en la actividad reproductiva entre los cuadrantes. En los de BTS y VS32 fue bajo el número de hembras con actividad reproductiva. Sin embargo, se asume que dicha actividad se concentra en la temporada seca-cálida, ya que la mayor cantidad de juveniles fue obtenida durante los meses de junio y julio, además de que las hembras que se registraron como activas reproductivamente durante los meses de junio y julio, se encontraron lactando o con indicios de que estuvieron lactando. Resultados similares fueron registrados por Collet et al. (1975) y Ceballos y Miranda (1986) para esta misma especie en bosque tropical caducifolio, quienes sugieren que el apareamiento ocurre en la primavera y que la mayoría de los nacimientos son en mayo y junio, en cambio Fleming (1971) señala que la máxima actividad reproductiva de L. adspersus se presenta en los meses de marzo y abril. Dado que la disponibilidad y calidad nutricional del alimento es un factor limitante para la reproducción (Romero 1993, Sánchez-Cordero 1993), el comportamiento de almacenador de L. pictus (Ceballos & Miranda 1986), es un factor relevante para que en la zona de estudio aproveche la temporada seca-cálida para la reproducción, haciendo uso del alimento almacenado. Tuomi et al. (1983) y Reznick (1985) proponen que si la reproducción se lleva a cabo durante el período de abundancia de recursos, o si estos se almacenan y se aprovechan durante la reproducción, los costos reproductivos podrían ser casi nulos, lo cual puede ser el caso de lo observado en los cuadrantes de BTS y VS32.
A diferencia de los cuadrantes anteriores (C1, C2, C3, y C4), en el cuadrante C5 se observó actividad reproductiva durante las tres temporadas climáticas, lo cual concuerda con lo citado por Romero (1993) y Sánchez-Cordero (1993), quienes observan actividad reproductiva continua en años de abundancia de precipitación y, por ende, de alimento. Si bien durante el estudio no se registró en el sitio una precipitación continua, si se pudo notar la disponibilidad de semillas a lo largo de todo el ciclo, lo que era confirmado con la presencia de ellas tanto en abazones como en las trampas en donde se capturaban individuos.
El bajo registro de juveniles en los cinco cuadrantes coincide con lo observado por Collet et al. (1975), la posible causa de éste comportamiento puede ser el patrón reproductivo de hembras, mortalidad y migración, rápido crecimiento y desarrollo de la especie (Romero 1993). Sin embargo, difiere de lo citado por Fleming (1971) para L. adspersus y Sánchez-Cordero (1993) para H. desmarestianus, la primera especie presenta juveniles desde enero hasta junio y la segunda en todos los meses de estudio.
Tanto la longevidad como el número de individuos residentes fue mayor en C5 que en el resto de los cuadrantes, por lo que puede ser considerado el de mayor estabilidad poblacional; en éste, el 60% de individuos sobrevivieron por lo menos seis meses y el 11% 12 meses ó más. Resultados contrastantes se han obtenido para esta misma especie en bosque tropical caducifolio, mientras que Romero (1993) encontró resultados similares a los de este estudio, con un 51% de individuos que sobrevivieron más de seis meses y 2.5% más de dos años, Collet et al. (1975) registraron que un 28% de individuos vivió más de un año. En los cuadrantes de BTS y VS32 menos del 44% de los individuos sobrevivió al menos seis meses, lo cual es semejante a lo citado por Ceballos (1989) y Briones (1991) quienes registran baja sobrevivencia para esta especie, ya que apenas el 48% alcanzó los dos meses y el 26% los seis meses, respectivamente. Esto puede ser evidencia de la capacidad adaptativa de L. pictus a diferentes condiciones microclimáticas y de disponibilidad de recursos, que al parecer están presentes en los distintos cuadrantes estudiados.
Se ha señalado que la longevidad de algunos heterómidos se ve favorecida por su capacidad de aletargarse (French et al. 1967, Jones 1985). En particular L. pictus carece de capacidad de letargo aparente (Collett et al. 1975), sin embargo, consideramos que esta especie pudiera estar presentando algún comportamiento de este tipo, ya que en los cuadrantes de BTS y VS32 la actividad de la población prácticamente desaparece durante la temporada de mayor estiaje (febrero - mayo).
Es clara la diferencia en algunos de los parámetros poblacionales de L. pictus en el cuadrante de VS7 (C5) respecto de los de BTS (C1, C2) y los de VS32 (C3, C4), por lo que esta área pudiera estar funcionando como un hábitat fuente, ya que en C5 se registró la mayor actividad reproductiva, el mayor tiempo de residencia y la mayor longevidad de hembras respecto a los otros cuadrantes. Las poblaciones fuente-resumidero manifiestan diferencia en el rendimiento y éxito reproductivo de los individuos, ya que los hábitats fuente (hábitats de alta calidad) son aquellas áreas que ofrecen las condiciones necesarias para la sobrevivencia exitosa y reproducción, mientras que los hábitat marginales (resumidero) soportan individuos, pero sus tasas de sobrevivencia y reproducción son más bajas que en los hábitat fuente (Kawecki 1995, Morrison et al. 1992).
AGRADECIMIENTOS
Agradecemos a Jorge Téllez López y Rosio Amparán Salido por su apoyo en la realización del trabajo de campo. A CONACyT por su apoyo financiero mediante una beca doctoral (Silvia S. Zalapa Hernández Becario No. 118806) a través de la Facultad de Ciencias Biológicas, UANL. Dedicamos este trabajo a nuestro amigo Miguel Ángel López Acosta (Q.D.P.).
LITERATURA CITADA
Adler, G. H. & Wilson. 1987. Demography of a habitat generalist, the White-footed Mouse in a heterogeneous environment. Ecology 68:1785-1796. [ Links ]
Beatley, J. C. 1967. Survival of winter annuals in the northern Mojave desert. Ecology 48: 745-750. [ Links ]
----------, 1969. Dependence of desert rodents on winter annuals and precipitation. Ecology 50: 721-724. [ Links ]
----------, 1974. Phenological events and their environmental triggers in Mojave desert ecosystems. Ecology 55: 856-863. [ Links ]
Bondrup-Nielsen, S. 1987. Demography of Clethrionomys gapperi in different habitats. Can. J. Zool. 65:277-283. [ Links ]
Briones, S. M. A. 1991. Patrón demográfico y reproductivo de Liomys pictus (Rodentia: Heteromyidae) en un bosque tropical caducifolio. Tesis de Maestría. Facultad de Ciencias, UNAM. México, 101 pp. [ Links ]
Brown, J. H. 1987. Variation in desert rodent guilds: patterns, processes, and scales. Pp. 185-204. In: J. H. R. Gee and P. S. Giller (eds). Organization of communities past and present. Blackwell, Oxford. [ Links ]
Ceballos, G. 1989. Population and community ecology of small mammals in tropical deciduous forest in western Mexico. Ph.D. dissert. University of Arizona, Tucson, 158 pp. [ Links ]
----------, 1990. Comparative natural history of small mammals from tropical forests in Western Mexico. J. Mammal. 71(2):263-266. [ Links ]
Ceballos, G. & A. Miranda. 1986. Los mamíferos de Chamela, Jalisco. Instituto de Biología, UNAM, México, 667 pp. [ Links ]
Collett, S., C. Sánchez H., K. A. Shump Jr., W. R. Teska & R. H. Baker. 1975. Algunas características poblacionales y demográficas de pequeños mamíferos en dos hábitats mexicanos. An. Inst. Biol, México, Ser. Zool. 46:101-124. [ Links ]
Conover, W. J. 1999. Practical nonparametric statistics. (3rd edition). John Wiley, New York. [ Links ]
Fleming, T. H. 1971. Population ecology of three species of Neotropical rodents. Misc. Publ. Univ. Michigan Mus. Zool. 143:1-77. [ Links ]
French, N. R., B. G. Maza & A. P. Aschwanden. 1967. Life spans of Dipodomys and Perognathus in The Mojave Desert. J. Mammal. 48(4):537-548. [ Links ]
Galindo-Leal, C. & C. J. Krebs. 1997. Habitat structure and demographic variability of a habitat specialist: the Rock Mouse (Peromyscus difficilis). Rev. Mex. Mast. 2:72-89. [ Links ]
Hansson, L. 1994. Spatial dynamics in relation to density variations of rodents in a forested landscape. Polish Ecological Studies 20:193-201. [ Links ]
Hollander, M. & D. A. Wolfe. 1999. Non-parametric statistical methods. (2da edition). Wile. New York. [ Links ]
Jaksic, F. M., Silvia, S. I., Meserve, P. L. & J. R. Gutierrez. 1997. A long-term study of vertebrate predator responses to an El Niño (ENSO) disturbance in western South America. Oikos 78: 341-343. [ Links ]
Jolly, G. M. 1965. Explicit estimates from capture-recapture data with both death and immigration-stochastic model. Biometrika 52:225-247. [ Links ]
Jones, T. W. 1985. Body size and life-history variables in heteromyids. J. Mammal. 66:128-132. [ Links ]
Kaufman, D. W. & G. H. Kaufman. 1989. Population biology. Pp. 233-270. In: G. Kirkland, Jr. and J. N. Layne (eds). Advances in the study of Peromyscus (Rodentia). Texas Tech University Press. USA. [ Links ]
Kawecki, T. J. 1995. Demography of source-sink population and the evolution of ecological niches. Evol. Ecol. 9:38-44. [ Links ]
Krebs, C. J. 1999. Ecological methodology. Ed. Benjamin/Cummings. USA. [ Links ]
Krohne, D. T. & R. Baccus. 1985. Genetic and ecological structure of a population of Peromyscus leucopus. J. Mammal. 66:529-537. [ Links ]
Lima, M., Keymer, J. E. & F. M. Jaksic. 1999. El Niño-Southern oscillation-driven rainfall variability and delayed density dependence cause rodent outbreaks in Western South America: linking demography and population dynamics. Am. Nat. 153: 476-491. [ Links ]
McGhee, M. E. & H. H. Genoways. 1978. Liomys pictus. Mamm. Spec. 83:1-5. [ Links ]
MacNally, R. C. 1995. Ecological versatility and community ecology. Cambridge University Press, Cambridge, United Kingdom. [ Links ]
Mares, M. A. & K. A. Ernest. 1995. Population and community ecology of small mammals in a gallery forest of Central Brazil. J. Mammal. 76(3):750-768. [ Links ]
Meserve, P. L., J. A. Yunger, J. R. Gutierrez, L. C. Contreras, W. B. Milstead, B. K. Lang, K. L. Cramer, S. Herrera, V. O. Lagos, S. I. Silva, E. L. Tabilo, M. A. Torrealba & F. M. Jaksic. 1995. Heterogeneous response of small mammals to an El Niño Southern Oscillation event in northcentral Chile and the importance of ecological scale. J. Mammal. 76:580-595. [ Links ]
Morrison, M. L., B. G. Marcot & R. W. Mannan. 1992. Wildlife-habitat relationships: concepts and applications. The University of Wisconsin Press, Madison, Wisconsin. [ Links ]
Nichols, J. D. & K. H. Pollock. 1983. Estimation methodology in contemporary small mammal capture-recapture studies. J. Mammal. 64(2):253-260. [ Links ]
Ostfeld, R. S. & L. L. Klosterman. 1986. Demographic substructure in California vole population inhabiting a patchy environment. J. Mammal. 67:693-704. [ Links ]
Ostfeld, R. S, W. Z. Lidicker & E. J. Heske. 1985. The relationship between habitat heterogeneity, space use and demography in population of California voles. Oikos 45:433-442. [ Links ]
Parmenter, R. R. & J. A. MacMahon. 1983. Factors determining the abundance and distribution of rodents in a shrub steppe ecosystem: the role of shrubs. Oecología 59:145-156. [ Links ]
Pennington, T. D. & J. Sarukhán. 1998. Árboles tropicales de México. 2da edición. UNAM, Fondo de Cultura Económica. México. [ Links ]
Petticrew, B. G. & R. M. S. Sadleir. 1974. The ecology of Deer Mouse Peromyscus maniculatus in a coastal coniferous forest. I. Population dynamics. Can. J. Zool. 52:107-118. [ Links ]
Polis, G. A., Hurd, S. D., Jackson, C. T. & F. Sanchez-Pinero. 1998. Multifactor population limitation: variable spatial and temporal control of spider on Gulf of California Islands. Ecology 79: 490-502. [ Links ]
Reznick, D. 1985. Cost of reproduction: an evaluation of the empirical evidence. Oikos 44:257-267. [ Links ]
Romero, A. M. 1993. Biología de Liomys pictus. Tesis de doctorado. Facultad de Ciencias, UNAM. 108 pp. [ Links ]
Sadleir, R.M. F. S. 1974. The ecology of Deer Mouse Peromyscus maniculatus in a coastal coniferous forest. II. Reproducction. Can. J. Zool. 52:119-131. [ Links ]
Sala, O. E., W. J. Parton, L. A. Joyce & W. K. Lauenroth. 1988. Primary production of the central grassland region of the United States. Ecology 69: 40-45. [ Links ]
Sánchez-Cordero, V. 1993. Estudio poblacional de la Rata Espinosa Heteromys desmarestianus en la selva húmeda en Veracruz, México. Pp. 301-316. In: R. A. Medellín y G. Ceballos (eds.). Avances en el Estudio de los Mamíferos de México. Publicaciones Especiales, Vol. 1. Asociación Mexicana de Mastozoología, A.C. México. [ Links ]
Seber, G. A. F. 1965. A note on the multiple recapture census. Biometrika 52:249-259. [ Links ]
SPP. 1981. Síntesis geográfica de Jalisco. Coordinación General de Servicios Nacionales de Estadística, Geografía e Informática. México D.F. [ Links ]
Stenseth, N. C. & L. Hansson. 1979. Correcting for the edge effect in density estimation: explorations around a new method. Oikos 32:337-348. [ Links ]
Sullivan, T. P. 1979. Demography of populations of Deer Mice in coastal forest and clear-cut (logged) habitats. Can. J. Zool. 57:1636-1648. [ Links ]
Tevis, L. Jr. 1958a. Germination and growth of ephemerals induced by sprinkling a sandy desert. Ecology 39: 681-688. [ Links ]
----------, 1958b. A population of desert ephemerals germinated by less than one inch of rain. Ecology 39: 688-395. [ Links ]
Tomblin. D. C. & G. H. Adler. 1998. Diferences in habitat use between two morphologically similar tropical forest rodents. J. Mammal. 79(3):953-961. [ Links ]
Tuomi, J., T. Hakala & E. Haukioja. 1983. Alternative concepts of reproductive efforts, costs of reproduction, and selection in life history evolution. Amer. Zool. 23:25-34. [ Links ]
Van Horne, B. 1981. Demography of Peromyscus maniculatus populations in seral stages of coastal coniferous forest in southeast Alaska. Can. J. Zool. 59:1045-1061. [ Links ]
Zar, J. H. 1996. Bioestatistical Analysis. Third Edition, Prentice may, New Jersey, USA. 662 pp. + 205 app + 11 ans + 19 L + 12 index. [ Links ]













