Servicios Personalizados
Revista
Articulo
Indicadores
-
Citado por SciELO -
Accesos
Links relacionados
-
Similares en
SciELO
Compartir
Papeles de población
versión On-line ISSN 2448-7147versión impresa ISSN 1405-7425
Pap. poblac vol.18 no.73 Toluca jul./sep. 2012
El progreso de la Estadística y su utilidad en la evaluación del desarrollo
The progress of statistics and its usefulness in development assessment
Adán Barreto-Villanueva
Consejo de Investigación y Evaluación de la Política Social
Este artículo fue
recibido el 13 de julio de 2012
aprobado el 23 de agosto de 2012.
Resumen
El presente ensayo hace un recorrido didáctico sobre la relación entre la Estadística y sus aplicaciones en el desarrollo social. Luego de un recuento histórico sobre sus orígenes y evolución, se destaca la importancia que esta ciencia ha adquirido como disciplina transversal, de apoyo, lo mismo en la investigación biológica que en la psicología o en la política. El avance de las tecnologías de la información (TIC) y en general de la sociedad del conocimiento, le han dado un impulso que no había experimentado y, a partir de la primera década del siglo XXI, se proyecta como una de las disciplinas más influyentes de esta nueva centuria. Se intenta demostrar aquí la utilidad práctica de la Estadística, cómo permite ahora medir otros valores, más allá de los estrictamente económicos, para incursionar en la construcción de indicadores alternativos del progreso económico y la prosperidad, para poner en evidencia que el desarrollo de los pueblos no radica solo en el bienestar material. El documento consta de dos grandes apartados, en el primero se da cuenta de la Estadística, sus orígenes y aplicaciones como ciencia transversal; en el segundo se abordan algunas de sus más importantes contribuciones al desarrollo social, mediante una recopilación de argumentos, tesis, concepciones y prácticas, en el ámbito internacional y nacional, sobre el tema de las nuevas alternativas para la medición del bienestar, precisamente para hacer evidente la idea de que el desarrollo va más allá del crecimiento económico.
Palabras clave: Estadística, desarrollo social, tecnología de la información, sociedad del conocimiento.
Abstract
The present essay makes a didactical outline on the relation between statistics and its applications in social development. After a historic account on its origins and evolution, in which distinguishable is the importance this science has acquired as a transversal discipline, as a supportive one, in biology, psychology and politics. The advancement of ICT's and in general of the society of knowledge has given it an unprecedented boost and, from the first decade of the XXI century it projects as one of the most influential disciplines of this new century. Here we intend to demonstrate the practical usefulness of Statistics, how it enables measuring other values, beyond those strictly economical to venture in the construction of alternative indicators of economic progress and prosperity, to make it evident that the development of peoples not only lies in material possessions. The document contains two large sections; in the first we give an account of Statistics, its origins and applications as a transversal science; in the second we approach some of its most important contributions to social development, by means of a collection of argumentations, theses, conceptions and practices in the national and international sphere, on the topic of new alternatives to measure welfare, to make it evident indeed the idea that development goes beyond economic growth.
Key words: statistics, social development, information technology, society of knowledge.
La estadística como ciencia transversal
Toda ciencia es medición, toda medición es Estadística.
Helhomtz
La mayoría de las veces y a lo largo del tiempo, la Estadística ha sido odiada por estudiantes, pero apreciada y reconocida por profesionistas e investigadores; hoy es una de las ciencias más útiles e influyentes en la mayoría de los campos del conocimiento, pues ofrece posibilidades cuasi infinitas de desarrollo y aplicación.
En nuestros días la Estadística es una herramienta que abunda en literatura científica y se ha convertido en aplicación imprescindible en múltiples ámbitos de la vida científica y cotidiana; en esa medida es una ciencia transversal.
Cada vez son más recurrentes las aplicaciones de métodos estadísticos en la gestión de proyectos y presupuestos de todo tipo y dimensión. La gestión de los sistemas de sanidad y seguridad social son hoy inconcebibles sin el empleo de metodologías estadísticas, capaces de recopilar una inmensa cantidad de datos de forma continua para su posterior tratamiento a través de potentes paquetes estadísticos informáticos. En la actualidad, el análisis estadístico se utiliza para hacer "radiografías" de la situación demográfica y social de un país, así como predicciones de cómo evolucionará su población en los próximos 50 o 100 años. De igual forma, la Estadística es empleada por multitud de profesionales en campos tan diversos como la Medicina, la Arquitectura, la investigación de mercados, la Meteorología, la Biología, y la Política. Hoy se pueden hacer ejercicios indicativos de las preferencias electorales presidenciales en Francia, México o Tejupilco.
En la investigación social tradicionalmente han existido dos vertientes metodológicas: la cualitativa, que privilegia la recopilación de información sobre valores objetivos medibles a través de técnicas cualitativas como la observación, la entrevista, la participación grupal, los grupos de enfoque, entre otros métodos, y la cuantitativa, que se auxilia de la recopilación y análisis de datos. Actualmente se combinan ambas metodologías, aplicando preceptos estadísticos a las técnicas tradicionales de investigación cualitativa. Precisamente uno de los atractivos de la Estadística consiste en eso, en su versatilidad de aplicación. Así, los procesos de investigación se han fortalecido y consolidado a lo largo de las últimas décadas gracias, en parte, a los avances tecnológicos que han dotado de potencia el tratamiento informático de los datos, ya sean cualitativos o cuantitativos.
Orígenes y estado actual
La literatura sobre el tema señala que la Estadística o el quehacer estadístico surgió con la invención del dado, hace siete mil años, pero a causa de los prejuicios religiosos y las especulaciones su desarrollo realmente inició hasta el siglo XVI, cuando Girolamo Cardamo publicó Liberde Ludo Aleae.1 Por su parte, el adjetivo statisticus se conoció hasta el siglo XVII, deribado del italiano statista, termino empleado para referirse a la persona dedicada a los asuntos del Estado (ragione di Stato). Así surgió una disciplina híbrida, la del Estado, una especie de aglomeración de historias constitucionales, algo de Economía Política y descripción de las constituciones de los países de la época.
Fue Gotfried A. Achenwall, hasta 1752, quien usó la palabra "estadística" para esta nueva rama del conocimiento. Achenwall fundó la Escuela de Göttingen y es conocido por los alemanes como el padre de la Estadística, reconocimiento que el propio Achenwall atribuye a Hermann Conrig (1606-1681) (Ferreiro y Fernández, 1988). En la ciudad de Londres había surgido la Escuela de Aritmética-Política, dedicada a los estudios demográficos, actuariales y se encargaba de llevar datos oficiales. Por su parte, Abraham de Moivre (1667-1754), francés de origen y nacimiento, expulsado de Francia por protestante, apátrida, radicado en Inglaterra y premio de la Academia de Ciencias de París (como extranjero), fue quien sentó las bases de la Estadística demográfica del Estado y otras que más tarde pondrían a Francia a la vanguardia del tema.
La Revolución Industrial dio una gran impulso a la necesidad de contar con información y datos permanentes, así que las estadísticas aplicables a fin de controlar la calidad de la producción, sumada después a la idea de experimentar y obtener productos nuevos, mejores y más baratos tendrían reservado un lugar destacado en las fábricas y los comercios de la época.
Más tarde, investigadores como Karl y Egon Pearson, Gossett, Neyman y, especialmente, Ronald Fisher colaboran notablemente al desarrollo de la Estadística. Fisher ha sido considerado uno de los más destacados que incursiona en campos como la Genética, la Biología y la Agronomía, actividad científica que le valió que muchos lo distinguieran como "el padre de la Estadística moderna" (Yañez, 2000).2 Las aportaciones de Fisher dieron a la Estadística el estatus de ciencia que ahora tiene, reafirmado a lo largo del tiempo por los innumerables campos de aplicación que ha desarrollado desde entonces. También se considera en esta línea histórica el trabajo aparecido en 1933, en alemán, del ruso A. N. Kolmogorov,3 con orientación probabilística y matemática para el desarrollo de métodos nuevos y más confiables.
Entre otros, la Teoría de juegos, la Ley de los grandes números, el análisis de series temporales, el diseño de muestras, el cálculo de probabilidades, el control de calidad, los test de correlación chi-cuadrado y los test ANOVA, son actualmente instrumentos y herramientas de una inmensa utilidad y aplicación en muy diversos ámbitos profesionales.
Sin duda, hoy en día, la Estadística y la evolución acelerada de las nuevas tecnologías se han constituido en el gran binomio de la investigación aplicada. Adicionalmente, las redes sociales como Facebook y Twiter, entre otras, se nutren de un continuo análisis estadístico en el desarrollo de sus aplicaciones internas; esas redes sociales no son más que un enorme sistema de nodos en el que la investigación operativa (rama de la Matemática y la Estadística) tendrá mucho que decir en el futuro cercano.
La Estadística y sus aplicaciones
La Estadística es la ciencia cuyo objetivo es reunir información cuantitativa concerniente a individuos, grupos, series de hechos, etc., para deducir de ello, gracias al análisis de estos datos, significados precisos o previsiones para el futuro.
La Estadística, en general, es la ciencia que trata de la recopilación, organización presentación, análisis e interpretación de datos numéricos con el fin de tomar decisiones efectivas y pertinentes.
Otros autores tienen definiciones de la Estadística semejantes a las anteriores y algunos otros no tan semejantes. La mayoría la definen como la ciencia que tiene por objeto el estudio cuantitativo de los colectivos, otros como la expresión cuantitativa del conocimiento dispuesta en forma adecuada para el escrutinio y análisis. La más aceptada, sin embargo, es la de Minguez, quien define la Estadística de esta manera: "La ciencia que tiene por objeto aplicar las leyes de la cantidad a los hechos sociales para medir su intensidad, deducir las leyes que los rigen y hacer su predicción próxima".4
Los estudiantes confunden comúnmente los demás términos asociados con las estadísticas, una confusión que es conveniente aclarar debido a que la palabra "estadística" posee tres significados: en primer término, se usa para referirse a la información Estadística; también se utiliza para aludir al conjunto de técnicas y métodos que se emplean en el análisis de la información Estadística; por último, el término estadístico, en singular y en masculino, se refiere a una medida derivada de una muestra.
Utilidad e importancia
Los métodos estadísticos tradicionalmente se utilizan para propósitos descriptivos, para organizar y resumir datos numéricos. La Estadística descriptiva, por ejemplo, trata de la tabulación de datos, su presentación en forma gráfica o ilustrativa y el cálculo de medidas descriptivas.
Ahora bien, las técnicas estadísticas se aplican de manera amplia en mercadotecnia, contabilidad, control de calidad, estudios de consumidores, análisis de resultados en deportes, administración de instituciones, en la educación, organismos políticos, en la medicina y en otras muy distintas áreas como un auxiliar en la toma de decisiones.
La Estadística se divide en:
Estadística descriptiva. Se define como los métodos que implican recopilación, caracterización y presentación de un conjunto de datos con el fin de describir varias de sus características.
Estadística inferencial. Se define como aquellos métodos que permiten hacer estimación de una característica de la población o de toma de decisiones respecto a una población, con base solo en los resultados obtenidos de una muestra.
Bernoulli, De Moivre y Karl Gauss fueron los precursores del objeto de la Estadística inferencial. Ésta tiene por objetivo describir las características de un conjunto, pero sin la necesidad de realizar el registro de datos a todos los elementos o unidades del conjunto o población, sino solo a una parte de esta. La inferencia constituye la base teórica del muestreo, permite conocer el todo con cierta aproximación, a partir del estudio de una parte. La Estadística inferencial no proporciona una certeza completa de sus resultados, sino que los mismos están sujetos a una probabilidad de error. Una selección incorrecta de las unidades muestra puede acarrear la imposibilidad de inferir correctamente las características de la población.
El desarrollo de las Ciencias Sociales en el siglo XX y lo que va del XXI no se puede entender sin el papel que ha desempeñado la Estadística, unido indefectiblemente al interés de los investigadores y científicos por cuantificar la magnitud, incidencia e impacto de los fenómenos sociales, entre sus principales usos. De esta manera, los diferentes ámbitos de las Ciencias Sociales en los que la Estadística actúa y aporta sus conocimientos son, entre otros:
• Educación: existen estrechos vínculos entre la Estadística y la investigación pedagógica empírica, lo que contribuye a la comprensión de los métodos de investigación en educación, el diseño de programas, los problemas de medición y evaluación, el diagnóstico y hasta su orientación, entre las más importantes.
• Psicología: los estudios de naturaleza psicológica han contribuido al desarrollo de algunas técnicas estadísticas, como el análisis factorial. El estudio del comportamiento de los sujetos, las aptitudes, los rasgos de personalidad, los factores de inteligencia, por mencionar algunos, se basan en el empleo de la Estadística. El estudio se traslada a campos como la Psicología experimental, la Psicometría y la Psicología diferencial.
• Sociología: el estudio de los fenómenos y las relaciones sociales son cometido principal de la Sociología. Para comprender y valorar el desarrollo de los comportamientos colectivos, describir instituciones sociales, su organización e interrelaciones, el análisis y la comparación de las estructuras sociales subyacentes a los grupos, etc., es preciso recurrir a la Estadística.
• Economía: su cometido consiste en el manejo de datos numéricos. Para su interpretación y valoración es preciso emplear los métodos estadísticos. Entre otros se pueden citar los siguientes: el índice de precios al consumo, el análisis de mercados, la estimación de la demanda y las series temporales. Además, buena parte de las teorías económicas recurren a modelos estadísticos para describir los fenómenos económicos. Un campo especial de estudio lo constituye la Econometría y los modelos econométricos.
• Demografía: se ocupa del estudio de la población, a través de diversos censos, la distribución por edades o sexo, localización geográfica, profesiones, religión, nacionalidades, tasas de nacimiento o defunción (crecimiento vegetativo) y movimientos sociales migratorios. La simple enumeración pone de relieve el importante papel de la Estadística para perfilar y desarrollar estas tareas.
• Administración pública: los estudios de la administración sobre los censos de habitantes, su distribución, las fuentes de riqueza, los temas laborales y sectoriales. Todos estos conocimientos son precisos para la planificación de las acciones que son más necesarias en cada zona, de forma que puedan contribuir al bienestar social. Para que puedan desarrollarse de forma eficaz estas tareas necesitan del apoyo de la Estadística.
• Humanidades: las nuevas metodologías de investigación en la Historia, la Geografía, la Antropología o la Literatura requieren el concurso de la Estadística, que aporta métodos más rigurosos y contrastados en los campos de estudio propios de las Humanidades.
• Ciencias jurídicas: uno de los campos del Derecho en que encontramos alguna de las aplicaciones de la Estadística es el de la Criminología, en los estudios de prevención de delitos. En muchos juicios civiles se precisa el concurso de peritos estadísticos para testificar y valorar algunos datos de interés para la justicia.
La Estadística permite explicar las condiciones regulares en los fenómenos de tipo aleatorio, que componen buena parte de nuestro mundo.
Censos y conteos demográficos
Los censos son recuentos exhaustivos de la población que la legislación obliga a realizar de forma periódica a las oficinas de Estadística de los países, normalmente cada 10 años, para conocer las características sociales y demográficas de sus habitantes. Simultáneamente a los censos de población se efectúan los censos de vivienda, lo que permite relacionar las características de los habitantes con las viviendas que ocupan.
El Primer Censo General de Población, levantado en México en 1895, arrojó 12.6 millones de habitantes. Para el Tercer Censo General de Población, llevado a cabo en 1910, justo antes de la caída de la estructura porfirista, México llegó a una cifra ligeramente superior a los 15 millones de habitantes. Después del periodo revolucionario, el Sexto Censo General de Población, realizado en 1940, sumó un total de 20 millones de mexicanos (INEGI, 2009).
La realización de un censo tiene numerosas finalidades. De la información censal se pueden derivar conclusiones tan importantes como cuántos somos y cómo estamos distribuidos, atendiendo al sexo, la edad, lugar de nacimiento y de residencia, estado civil; el modo como están estructurados los hogares en la actualidad, atendiendo a las formas de convivencia; el número de personas que trabajan, clasificadas por actividades, por situación profesional, así como el número de quienes están desempleados y en situación de buscar trabajo; igualmente, la cantidad de personas que estudian y en qué nivel o qué tipo de estudios poseen. Todo este caudal de información puede utilizarse para planificar políticas demográficas, sanitarias, educativas, asistenciales, medioambientales y muchas más, así como evaluar los resultados de las mismas.
También, debido a que un censo recoge toda la información de la población residente en el territorio, sirve de marco para las encuestas por muestreo y la selección de las unidades estadísticas (secciones censales, municipios, manzanas). Asimismo, resulta clave a fin de asignar recursos económicos procedentes de los distintos órdenes de gobierno para el desarrollo rural, la construcción de carreteras y los programas de política social, entre otras diversas aplicaciones.
Por su parte, el Conteo de Población y Vivienda es un proyecto nacional que se realiza a la mitad del periodo del levantamiento de los censos generales de población y vivienda, que como señalamos se llevan a cabo cada 10 años. Este proyecto intercensal se efectuó por primera vez en México en 1995, por lo que este y el XII Censo General de Población y Vivienda 2000 son los antecedentes más inmediatos del II Conteo de Población y Vivienda 2005.
El objetivo general de los conteos es producir información sociodemográfica básica, que actualice el conocimiento sobre el tamaño, la composición y la distribución territorial de la población, los hogares y las viviendas existentes en el país. Como objetivos específicos se pueden mencionar:
• Generar información básica para identificar y ubicar a los distintos grupos poblacionales, así como a las regiones sociodemográficas que se conforman dentro del territorio nacional.
• Incrementar la serie histórica de la información conservando la comparabilidad, de tal forma que permita conocer los cambios demográficos, económicos y sociales de la población.
• Proporcionar información para que las dependencias públicas responsables de brindar servicios a la sociedad dispongan de cifras actualizadas en periodos cortos, para orientar y evaluar de manera eficiente sus planes y programas.
• Permitir la actualización de las proyecciones de población a diferentes niveles territoriales.
• Generar datos para el cálculo de indicadores de bienestar, con lo cual es factible conocer el grado en que nuestro país cumple con los compromisos internacionales adquiridos en la materia.
• Fortalecer el Sistema Nacional Estadístico, ya que actualiza los marcos muestrales sobre los cuales se habrán de levantar las encuestas en hogares en el siguiente lustro.
En los conteos de población en México se utilizan en particular la recomendaciones de la Organización de las Naciones Unidas (ONU) en materia de censos de población, tales como:
• El empadronamiento individual. En cada vivienda, además de registrar las características y servicios con que cuenta, se recoge información básica de todos y cada uno de sus ocupantes.
• La universalidad. El censo debe abarcar la totalidad del territorio y las viviendas, así como a todas las personas.
• La simultaneidad. La información debe estar referida a un mismo momento en el tiempo. En el caso del Conteo de Población y Vivienda 2005, ese momento corresponde a las cero horas del 17 de octubre de 2005.
• La periodicidad. La ONU también recomienda que los censos de población y vivienda se levanten en intervalos regulares, cuando menos cada diez años; sin embargo, señala que por la rapidez con la cual actualmente se producen los cambios en la población y en las condiciones en materia de habitación, algunos países encuentran necesario efectuarlos con mayor frecuencia.
El conteo permite identificar los cambios que experimenta el país en sus aspectos demográficos, económicos y sociales, por lo que representa un soporte estadístico fundamental para apoyar la toma de decisiones de los sectores público, privado y social; contribuye a respaldar la investigación que llevan a cabo académicos e instituciones educativas en el ámbito sociodemográfico; fortalece el federalismo al proporcionar información comparable referida al ámbito estatal, municipal y local; posibilita la actualización de información que los organismos internacionales requieren con fines comparativos (ONU, Organización Internacional del Trabajo, Comisión Económica para América Latina y el Caribe, Organización para la Cooperación y el Desarrollo Económicos, entre otros).
Otras aplicaciones
La Estadística proporciona una serie de principios, procedimientos, técnicas y métodos para cuatro tareas fundamentales en la investigación social y los estudios técnicos:
• Obtener datos pertinentes de manera rápida y a costos bajos.
• Los métodos para su organización y procesamiento, a fin de obtener de ellos la información requerida.
• Los principios y métodos para que las conclusiones emanadas o acciones a seguir sean producto de procesos de inducción válidos, que se obtengan de interpretaciones adecuadas de los resultados.
Proporciona los principios y lineamientos para comunicar apropiadamente los resultados, conclusiones y recomendaciones.
También se le define como un campo de estudio al que le concierne la toma de decisiones en un marco de incertidumbre, en particular, el estudio de procesos inferenciales, especialmente la planeación y análisis de experimentos, encuestas y estudios observacionales para los que se desarrollan y utilizan técnicas para la colecta, análisis, presentación e interpretación de datos numéricos relacionados con colectivos (Sahai y Khurshid, 2002).
Así, los métodos y técnicas de la Estadística ayudan a llevar a cabo múltiples tareas en las organizaciones productivas y sociales, tanto en las empresas públicas como en las privadas; son la base para la realización de estudios técnicos e investigaciones que permiten la mejora de procesos de producción de bienes y servicios o dan sustento a la toma de decisiones en empresas u organizaciones de los más diversos giros.
La velocidad del desarrollo tecnológico, los volúmenes de nueva información y el avance vertiginoso de la ciencia han generado una gran diversificación en las aplicaciones de la metodología estadística, cada vez más disciplinas encuentran en los métodos estadísticos una opción para el adecuado planteamiento y solución de problemas específicos; hoy esta es más sencillo decir en qué no se aplica la Estadística. Indudablemente la metodología estadística ha adquirido una importancia tal que el reconocimiento de esta disciplina es un asunto incuestionable en todo el mundo. En la actualidad la Estadística ocupa un lugar muy significativo en la sociedad. Algunos hechos que hacen evidente la veracidad de tal juicio se mencionan a continuación:
1. Los gobiernos nacionales y provinciales cuentan invariablemente con un sistema de estadísticas, que incluye aspectos demográficos, económicos y sociales. La Estadística llamada oficial ocupa una posición importante en los esfuerzos de planeación, toma de decisiones e investigación de los procesos económicos y sociales de todas las naciones. Un indicador de esta importancia es el hecho de que la ONU cuenta con un comité especial de Estadística, el cual apoya a los países miembros en el diseño y desarrollo de sistemas de información acordes con los lineamientos internacionales.
2. Una amplia diversidad de estudios en ciencias económicas, empresariales y sociales requieren del uso de métodos estadísticos; los estudios de opinión, mercadotecnia, dinámica financiera, riesgos y la toma de decisiones, por mencionar algunos, son estudios estadísticos. La estadística aplicada a los negocios, la Economía y las Ciencias Sociales ocupa un sitio destacado entre las áreas de la metodología estadística.
3. El desarrollo de medicamentos, nuevos productos y procedimientos tecnológicos requiere de una fase de experimentación, que se conduce siguiendo los principios y métodos de la experimentación estadística. La normatividad establece que todos los nuevos desarrollos deben pasar una serie de pruebas de efectividad, sobre la base de ensayos y pruebas estadísticas. Mientras no se tenga evidencia estadística sobre un nuevo fármaco, este no puede salir al mercado.
4. La mejora de la calidad y la productividad, tanto en procesos de manufactura como en los servicios, requiere de la metodología estadística. Recientemente esta se ha hecho muy popular por su vinculación con el mejoramiento de la calidad; sin embargo, esto no es algo nuevo. Desde sus inicios, en la década de 1930, el control de la calidad demandó de los métodos estadísticos. No por casualidad un estadístico es considerado el padre del control de la calidad (Edwards Deming). Hoy calidad, productividad y excelencia son términos que se asocian al uso de la metodología estadística.
5. La Psicología y las Ciencias de la Educación utilizan la base metodológica de la Estadística para los procesos de investigación aplicada, no solo para monitorear programas en sistemas educativos sino para cualquier asunto relacionado con la evaluación y toma de decisiones.
6. Las Ciencias Biológicas y las disciplinas emergentes, como el desarrollo sustentable y los agroecosistemas, los estudios sobre medio ambiente, cambio global y ecología, consideran a la metodología estadística como fundamental para la generación del conocimiento y el diseño e implantación de estrategias de intervención. Sin la metodología estadística sería impensable gran cantidad de estudios e investigaciones en estas disciplinas.
7. La metodología estadística se considera ahora desde la enseñanza media y la inmensa mayoría de carreras profesionales y técnicas incluye temas y materias que la tratan o están relacionadas con ella; sin duda, esto constituye un gran reconocimiento respecto a la importancia de esta disciplina en la cultura general. Hay países en los que el pensamiento y los principios de la Estadística se difunden desde primaria, además se desarrollan programas para difundir la cultura estadística entre la población en general. En México algunos conceptos estadísticos se estudian desde secundaria, pero falta mucho por hacer en este rubro.
8. La Estadística es una profesión reconocida y cada vez con mayor frecuencia los estadistas ocupan los puestos que les corresponden de acuerdo con su perfil; en la industria, los negocios, la burocracia y la academia se crean cada vez más puestos laborales para ellos.
9. A escala mundial se cuenta con una organización que integra a todas las asociaciones de estadísticos o profesionales que usan la Estadística. Se realiza anualmente un gran número de congresos sobre temas generales y particulares en la materia, y se promueve el desarrollo de la disciplina en todos los sentidos.
10. El desarrollo de la tecnología de la computación y las telecomunicaciones ha propiciado una amplia promoción de la metodología estadística. Es necesario poseer habilidades en el manejo de métodos y técnicas estadísticas para aprovechar mejor la tecnología. El software estadístico existente es diverso y accesible a diversos tipos de usuarios. En la Internet hay una gran gama de información sobre la Estadística y sus usos, y a su vez la Estadística ayuda para las tareas de gestión en el marco de la red de redes.
Perspectivas para el siglo XXI
La Estadística, en el marco de la sociedad del conocimiento y la información, tiene un gran porvenir en el siglo XXI (Rao y Székely, 2000). Cada vez se abren más nichos de oportunidad para los principios, técnicas y procedimientos que forman el cuerpo de la metodología estadística (Lent, 2002). En seguida se mencionan algunas líneas de desarrollo que ya están tomando rumbo en los aspectos teóricos, metodológicos y de las aplicaciones.
1. El hecho de disponer de grandes volúmenes de datos hace difícil extraer información precisa y útil a los propósitos del entendimiento de procesos y fenómenos complejos. Por tal motivo, los principios estadísticos, acompañados de algoritmos computacionales "de aprendizaje y obtención de conocimiento", están dando origen a un área que se prevé tenga gran dinamismo en los próximos años: la minería de datos (data mining). De hecho, ya en la actualidad se le cataloga como "la disciplina" para extraer información en grandes volúmenes de datos.
2. El desarrollo de la matemática numérica y el cómputo estadístico han encontrado una veta de posibilidades al promoverse los métodos computacionales para la inferencia, particularmente en el enfoque bayesiano (Berger, 2002). Cabe hacer notar que esta vertiente explota la simulación y el llamado método de Monte Carlo, que permiten resolver problemas de cálculo de probabilidades que sería muy difícil o imposible de solucionar por la vía analítica. En este sentido, la escuela de la inferencia estadística bayesiana está ocupando un amplio espacio de los desarrollos de la ciencia Estadística, y se prevé que muy pronto sea el enfoque dominante.
3. La preocupación por propiciar una cultura estadística que forme parte de los elementos de la cultura general para las sociedades del conocimiento y la información ha generado diversas iniciativas en la comunidad estadística, pero se prevé que en las próximas décadas será una tarea más generalizada, que desde luego involucrará a los profesionales de la Estadística, pero sobre todo a los administradores, a los actores de sistemas educativos y a los medios de comunicación masiva (véase Ojeda, 2000; Maxwell, 1998).
4. La atención de la formación del pensamiento estadístico (Wild y Pfannkuch, 1999) en los profesionales que requieren de esta metodología es un tema que ocupa una creciente atención de los investigadores en el área de educación estadística y está propiciando la revisión a fondo de los contenidos de los cursos de Estadística, sobre todo de los enfoques. Se prevé que en los próximos años el empleo las tecnologías de comunicación y el enfoque del constructivismo influirán significativamente en esta área de desarrollo.
5. En la perspectiva de la especialización de técnicas para problemas específicos o para áreas disciplinarias particulares, se prevé que se multiplicarán en casos como los de la econometría, la biometría, la psicometría, etc., dando origen a líneas de desarrollo independientes de la Estadística.
En Estados Unidos se han hecho proyecciones del mercado ocupacional para los estadísticos en la concepción actual de la disciplina y se pronostica incrementos bastante modestos (2.3 por ciento de 2000 a 2010), pero considerando la dinámica de desarrollo se prevé que los estadísticos estadounidenses del futuro tendrán considerables espacios laborales en las áreas de especialización y en los nuevos nichos que se vislumbran (Lent, 2002).
Para el caso de las sociedades en vías de desarrollo, el futuro inmediato del mercado laboral para los profesionales de la Estadística es bastante más halagador, ya que existe un déficit muy grande de estos profesionales; hará falta prepararlos con una capacidad para adaptarse a los cambios vertiginosos que vivirá la disciplina. Sin embargo, el punto más importante es que la Estadística será parte de una nueva cultura que avanza con el inicio de este siglo: la de la sociedad de la información y el conocimiento; y en este sentido se diseminará con todas las implicaciones que conlleva.
La Estadística en el desarrollo social
Una de las grandes áreas en las que la Estadística ha encontrado un amplio espacio de desarrollo y una utilidad sin precedente es, sin duda, la del desarrollo social; específicamente por su contribución a la generación de distintos indicadores para medir el bienestar social de los pueblos. Desde hace tres décadas por lo menos, han avanzado simultáneamente las metodologías, los indicadores y, en general, la planeación y evaluación de políticas y programas de desarrollo social, en todos los casos apoyados en el empleo de métodos estadísticos cada vez más complejos y sofisticados, pero a la vez cada vez más precisos y de mayor utilidad. En los siguientes párrafos de este apartado se mencionan algunos de los cambios en las herramientas de la Ciencia Estadística empleados para estimar, elementos del desarrollo social, dejando ver por otra parte las limitaciones metodológicas de algunos indicadores de uso histórico.
De todas maneras, es un hecho que el bienestar, la pobreza y la desigualdad se miden ahora con una precisión insospechada, al grado de que los avances metodológicos en este terreno han cuestionado varios métodos, aunque aún sin sustituirlos por técnicas más depuradas y de mayor calidad. El Producto Interno Bruto (PIB), por ejemplo, aunque ha probado no ser el mejor indicador del desarrollo, sigue usándose como un indicador privilegiado a nivel internacional.
Nuevas alternativas para medir el bienestar
En efecto, desde hace ya varios años siguiendo con el ejemplo, al menos desde que empezó el siglo, la tarea de encontrar nuevas formas de medición ha sido asumida por diversas instituciones, entre las que destaca la Comisión Europea (CE). La CE ha realizado diversas investigaciones y estudios en el sentido de que el PIB no es más un indicador preciso, fiel y pertinente para medir el bienestar de una sociedad. A lo largo de los últimos años, en diversos organismos internacionales y nacionales comienzan a proponerse y utilizarse también otros indicadores.
El PIB ha sido el índice utilizado históricamente para medir la riqueza de la sociedad, su incremento ha sido el objetivo permanente de los gobiernos nacionales, estatales o supranacionales para confirmar que la economía tiene un buen desempeño. El PIB fue introducido después de la Gran Depresión de los años treinta y, desde entonces, ha sido el indicador por excelencia para medir el progreso económico. Incluso en la Unión Europea fue incluido entre los indicadores que debían cumplir con ciertos parámetros para que los países de ese continente pudieran ingresar a la "zona del euro" (unión monetaria) o como referencia para el cálculo de los niveles permisibles de déficit presupuestal.
Con todo, este índice ha comenzado a ser cuestionado seriamente por numerosos colectivos y por las propias instituciones que, en su momento, lo consideraron como el indicador del crecimiento de la economía mundial.
Actividades económicas de dudoso efecto social
Uno de los cuestionamiento más serios es el que se refiere a que el PIB no distingue las actividades económicas con un efecto positivo o negativo en el bienestar, de manera que junto a la fabricación de automóviles, teléfonos móviles o zapatos, la actividad turística, la distribución de electricidad o las ganancias de un banco, en él se contabiliza el costo de la reconstrucción tras una inundación que deja miles de víctimas, las ventas de armas en un conflicto bélico o la construcción de cárceles.
Es decir, que en una Tasa de Crecimiento de cinco por ciento se incluyen actividades de dudoso beneficio social, como las relacionadas con la construcción de una autopista de alta velocidad a costa de la deforestación o los recursos movilizados (ambulancias, talleres o incluso funerarias) a consecuencia de los accidentes de tránsito. Al mismo tiempo, otras actividades que sí crean riqueza y bienestar quedan excluidas, como el caso de la actividad doméstica o el trabajo voluntario.
En la Unión Europea (UE) el asunto se debate seriamente desde hace años. En noviembre de 2007 más de 600 especialistas en Economía, Estadística y Ciencias Sociales analizaron este concepto de bienestar para ir más allá del PIB, convocados por la ce, la Organización para la Cooperación y el Desarrollo (OCDE), el Club de Roma y el Fondo Mundial para la Naturaleza. En aquel momento, el presidente de la ce subrayó la necesidad de una definición más precisa del progreso, la riqueza y el bienestar, pero además de cómo debían evaluarse. La Comisión señaló, como ejemplo, que un país donde el trabajo infantil esté permitido puede reflejar un incremento del PIB, y reconoció que también se ocultan las diferencias dentro de un mismo país donde, con un PIB elevado, pueden convivir amplios asentamientos de pobreza extrema.
El reconocimiento de que el PIB no permite distinguir entre las actividades que tienen un impacto negativo o uno positivo en el bienestar es cada vez mayor; de hecho, se cuestiona que la guerra e incluso los desastres naturales puedan tomarse como aumento en el PIB. Aunque este sea una medida imprescindible de la actividad económica que ha marcado el desempeño de las economías en el periodo de la posguerra, los nuevos desafíos del siglo XXI requieren instrumentos estadísticos distintos.
Desde los medios académicos también hay ya coincidencias. Antón Borja, profesor de economía de la Universidad del País Vasco, está de acuerdo en que el PIB no es un concepto exacto y que excluye la economía "sumergida" o "subterránea", así como la prostitución o el juego clandestino, actividades que en general se estiman en 20 por ciento de las economías. Borja señala la necesidad de tener en cuenta que los factores tradicionalmente considerados como los que crean riqueza -la naturaleza, el trabajo y el capital-, ya no son lo que eran. La naturaleza ya no es tanto un factor productivo como una limitación, explica, en cuanto se aplican criterios de sostenibilidad como los del Protocolo de Kioto; aunque, a la vez, esa limitación crea otra industria ligada a la descontaminación.
El conocimiento empuja el bienestar
El trabajo, añade el profesor Borja, sigue siendo un factor de producción, pero ya no ligado a la imagen tradicional del trabajo manufacturero, sino que cada vez adquiere más importancia el trabajo calificado, el conocimiento que, en su opinión, es el verdadero factor de crecimiento. Igualmente ha cambiado la naturaleza del capital. El vector que empuja el bienestar de una sociedad es el conocimiento aplicado sistémicamente, afirma.
Los tradicionales sectores primario, industrial y terciario no son lo que eran hace 30 años y, así, la actividad industrial tiene que ver cada vez más con tecnología y conocimiento. En opinión de Borja, el conocimiento hace más productivo a un país, y no solo al trabajador o a la empresa sino también al consumidor, que crea demandas nuevas (véase Gaiak, 2008).
Este conocimiento está ligado a la investigación y al desarrollo. En este sentido, destaca que los países escandinavos cuentan con un PIB alto, pero también con un elevado Índice de Desarrollo Humano (IDH, índice de la ONU que vincula también educación y salud), mientras Estados Unidos contaba (al menos hasta esta última crisis) con un alto PIB, pero con cifras no tan buenas en cuanto al IDH.5
Borja destaca que en esto influye que los países escandinavos dedican más recursos a la investigación y al desarrollo, pero también fomentan más la formación continua y la participación en el trabajo mientras que en otras regiones se sigue produciendo bajo formas tayloristas. Añade que también la creación de empleo está ligada al conocimiento y a una producción con más valor tecnológico, a la vez que crea una sociedad en cierto grado más equitativa. Por el contrario, el PIB puede crecer mientras se pierde empleo, sobre todo en una economía financiera como la que en los últimos tiempos está mostrando sus debilidades con las caídas en bolsa, lo que en realidad no refleja una pérdida de la riqueza real.
Borja concluye que hay que elaborar otros indicadores relacionados con beneficios colectivos de la economía del conocimiento, que reflejen la inversión en investigación, desarrollo y trabajo calificado.
Los nuevos conceptos
Ahora se apuesta por integrar en las estadísticas conceptos ambientales, económicos y sociales. Sobre todo destaca el valor de integrar las cuentas económicas y ambientales para analizar las conexiones entre el ambiente y la economía, pues ello permitirá contestar a preguntas políticas urgentes. Por ejemplo, ayudará a comprobar si el desarrollo económico está teniendo menos impacto en el ambiente, también contribuirá a establecer si se están respetando los objetivos del Protocolo de Kioto sobre emisiones de efecto invernadero o si simplemente se están exportando las emisiones después de deslocalizar la producción.
Por su parte, Branislav Mikulic y Eszter Sandor (2009), representantes de la Fundación Europea para la Mejora de las Condiciones de Vida y de Trabajo, opina que la calidad de vida de un país se mide tanto con indicadores objetivos como subjetivos. En ella no solo se incluyen los recursos económicos, sino también datos sobre niveles de salud, empleo y condiciones laborales, entorno familiar, participación social, conocimiento, educación y formación, percepción subjetiva de la felicidad, ambiente doméstico y local, seguridad pública, ocio, recursos políticos y derechos civiles.
Según estos criterios, países como Dinamarca, Finlandia o Suecia lideran la satisfacción en la vida, por encima de Luxemburgo, que tiene el mayor PIB de la Unión Europea. Asimismo, Chipre o Eslovenia tienen índices de satisfacción similares a Alemania o Francia, pese a tener un PIB inferior.
En opinión de Mikulic, los recursos económicos y el nivel de vida influyen en la percepción subjetiva de bienestar que tienen los individuos, pero otros factores como los culturales y los políticos también son muy importantes a la hora de determinar la felicidad de una comunidad.
Al respecto, Hazel Henderson,6 miembro del Club de Roma, señala que en los balances de las propias empresas deben incluirse datos que completen los meramente económicos y añadir costos sociales y ambientales. Apunta algunos grupos que ya lo hacen y cree que ha llegado la hora de que los Estados elaboren las cuentas de forma similar. Critica que se añadan al PIB esos costos sociales y medioambientales como si fuesen productos deseables.
Ante la diferencia entre felicidad e ingresos económicos, Bruno Frey (2012), de la Universidad de Zurich, propone dar mayor peso a los indicadores sobre felicidad, aunque sin maximizarlos, y que las instituciones hagan posible que la población alcance su felicidad deseada a través de la educación, las condiciones económicas generales, el empleo, la estabilidad de precios y condiciones políticas que posibiliten el derecho de participación de los ciudadanos. Como ejemplo pone el caso de Alemania, con un índice de satisfacción en 1970 muy por encima del PIB percápita con que contaba entonces, pero mientras el primero se ha mantenido en los mismos niveles, el PIB no ha parado de subir hasta llegar a duplicarse.
La UE esperaba contar en 2010 con su propio indicador para medir el progreso de la Unión, más allá del PIB. Sin embargo, la crisis financiera que estalló en 2008-2009 ha puesto alto a esos intentos y la recesión que ahora padece ha impactado prácticamente todos los indicadores sociales y económicos de la región. En su momento, sin embargo, el Estado francés quiso ser el primero en contar con una alternativa y el presidente Nicolás Sarkozy quizás por eludir un PIB que no crecía tan vigorosamente como en otros países encargó la búsqueda de otras alternativas para medir.
Estadísticas ignoradas
En Australia también se ha empezado a evaluar la calidad de vida en la medición de sus logros económicos, y un centenar de otros países ha iniciado trabajos sobre el mismo tema, desde Bután hasta Estados Unidos. El premio Nobel Joseph Stiglitz, quien colaboró con el gobierno francés en esta tarea, ha reconocido que los economistas son conscientes de los límites del PIB, porque no mide convenientemente los cambios que afectan al bienestar ni permite comparar correctamente el bienestar entre los diferentes países.
La OCDE, por su parte, trabaja desde hace tres años en cómo hacer más representativas las estadísticas económicas y opina que debe vincularse a los propios ciudadanos en la elaboración de las medidas del progreso nacional que consideren importantes. Los trabajos de la OCDE son dirigidos por su jefe de Estadística, Enrico Giovannini, quien estima que se trata de un tema tan importante en el siglo XXI porque se dirige al corazón del funcionamiento democrático en la era de la información; si los ciudadanos eligen a sus representantes políticos pero no creen en las estadísticas que estos utilizan, pueden convertirse en esclavos de la propaganda, afirman Giovannini y Hali (2006).
Según estudios de la UE, alrededor de 65 por ciento de sus habitantes solo tiene una idea aproximada sobre las cifras de estadísticas esenciales como el crecimiento, la inflación o el desempleo de su propio país, incluso si piensan que las estadísticas son importantes.
Luisa Corrado, de la Universidad de Cambridge, realizó durante dos años un estudio en la UE para evaluar datos que iban desde la confianza que las personas depositan en sus instituciones parlamentarias, hasta la satisfacción sobre sus condiciones de vida, pasando por conceptos como el altruismo. Según sus conclusiones, muchos de los países más felices y más ricos, como los escandinavos, Luxemburgo y los Países Bajos, están también a la cabeza de los indicadores del Banco Mundial sobre la buena gestión de los asuntos públicos (Corrado y Aslam, 2012).
En este sentido, el mensaje para los responsables políticos es que no resulta suficiente para los gobiernos concentrarse en el aumento de la riqueza y el nivel de vida material. Nuestro bienestar debería abrirse a una sociedad más solidaria, en la cual la gente confíe, concluye.
Medir la felicidad
Como alternativas para medir el bienestar de una sociedad, numerosos organismos ya han puesto en marcha indicadores como medidores de calidad de vida, índices de educación, huella ecológica, medio ambiente, indicadores del cumplimiento de los objetivos de la Estrategia de Lisboa, desarrollo sostenible, desarrollo humano, capital natural o, simplemente, sobre la felicidad.
El sitio en la Internet www.happyplanetindex.org ofrece precisamente un mapa con los índices de felicidad de cada país del mundo, en el que se constata que países considerados pobres pueden ofrecer un índice de felicidad superior al de los ricos. El sitio incluye un cuestionario para que cada persona evalúe su propia felicidad.
El reporte Stiglitz-Sen
La Comisión Stiglitz o Comisión para la Medición de los Resultados Económicos y del Progreso Social, que toma su nombre del economista estadounidense Joseph Stiglitz ex jefe de asesores para asuntos económicos del ex presidente Bill Clinton y ex vicepresidente del Banco Mundial, se encarga de estudiar la construcción de nuevos indicadores, alternativos al PIB, con el fin de evaluar la riqueza de las naciones de una forma más justa y adecuada.
La Comisión concluyó en septiembre de 2009 un informe encargado por el presidente Sarkozy en el que recomienda incluir el bienestar ciudadano y de las familias entre los factores a tener en cuenta para evaluar la riqueza de los países.
La Comisión Stiglitz se constituyó en febrero de 2008 y está formada por cinco economistas galardonados con el premio Nobel: Joseph Stiglitz, Amartya Sen, Kenneth Arrow, James Heckman y Daniel Kahneman. Estos expertos recomiendan comenzar de cero en cuanto a los postulados ideológicos del PIB e introducir el bienestar de los hogares, el desarrollo sostenible y la ecología entre los factores "medibles" de la riqueza de las naciones.
La Comisión elaboró un par de borradores antes del informe definitivo, el cual fue presentado en septiembre de 2009. El informe, de 300 páginas, introduce aspectos sociales y medioambientales entre los futuros indicadores de la riqueza de las naciones. El informe recomienda "situar al individuo en el centro de las reflexiones y decisiones políticas" y afirma:
ya es hora de que nuestro sistema estadístico se centre en la medida del bienestar de la población y no exclusivamente en el bienestar económico. Estas medidas del bienestar se deben situar en un contexto de economía sostenible (Stiglitz et al., 2008).
Sin despreciar del todo al PIB como herramienta, el informe advierte de su uso equivocado. El PIB aumenta y ajusta los precios de forma arbitraria, no tiene en cuenta el trabajo de la mujer en el hogar; por el contrario, cuenta como valor añadido el costo de los trayectos que se realizan para ir al trabajo e incluso la delincuencia y la banca. El PIB ignora los fenómenos de devaluación del medio ambiente, no incluye las nociones de fortuna ni de reparto de la renta. Los responsables políticos deben conocer la situación real de los hogares, tanto en materia económica como de salud, bienestar y calidad de vida. "Más" no siempre implica "mejor".
El informe consta de 12 recomendaciones y, en su preámbulo, muestra un ejemplo que ilustra su filosofía y las directrices recomendadas para la elaboración de los futuros indicadores de la riqueza de las naciones: "Los congestionamientos de tránsito pueden aumentar el PIB, dado que conllevan un aumento del consumo de gasolina. Sin embargo, no colaboran a mejorar el bienestar" (Stiglitz et al., 2008).
Las recomendaciones de la Comisión Stiglitz sugieren evaluar el bienestar material analizando los ingresos y el consumo antes que la producción, de esta forma y al contrario de lo que permite el PIB, se pueden observar las diferencias salariales de los ciudadanos y la desigualdad individual. El análisis del poder adquisitivo de los hogares debe ser la referencia más importante para poder evaluar más justamente la riqueza, dado que se observará el impacto de la inflación y de la pérdida del poder adquisitivo en los individuos más desfavorecidos. Si se conoce el patrimonio de las familias, resulta más fácil evaluar su nivel de vida.
El informe solicita que se tengan en cuenta factores no comerciales tales como la calidad de vida, la inseguridad, la tasa de mortalidad, la salud y el entorno medioambiental donde viven las familias. Para medir el bienestar se deben tomar en cuenta factores como el nivel de democracia, las relaciones sociales, las actividades individuales y de trabajo y las conexiones sociales de los ciudadanos.
La Comisión Stiglitz propone evaluar la "sostenibilidad del bienestar", para lo que se deben implantar indicadores monetarios del desarrollo sostenible que permitan calcular la variación en las reservas de los recursos naturales, humanos y físicos de las naciones; la sostenibilidad será la base sobre la que se mida el crecimiento. De esta forma, si el crecimiento propicia el aumento de la reserva humana y física de un país, se tratará de un crecimiento sostenible y, al contrario, si la tendencia de dichas reservas es a disminuir, el crecimiento será insostenible.
Se espera que el informe suscite la investigación y la generación de instrumentos de medida más adecuados para conseguir evaluar los resultados económicos y el progreso social. Se espera que las instituciones económicas internacionales adopten o aprueben estos indicadores y los pongan en marcha lo antes posible para que la economía tenga en cuenta al individuo y al entorno natural.
Acerca del Índice de Prosperidad de Legatum7
El Índice de Prosperidad de Legatum se basa en el análisis estadístico de más de 40 años de datos para más de 100 países en todo el mundo, producido y supervisado por el Legatum Institute, con aportación de la consultora en investigación Oxford Analytica y un panel de asesores respetados en los campos de la economía, la historia, el desarrollo, la sociología y la ciencia política.
El Índice de Prosperidad contabiliza a 90 por ciento de la población mundial y utiliza una combinación de datos objetivos y respuestas subjetivas para las encuestas. Estos datos componen 79 variables diferentes, cada una de las cuales se destila posteriormente dentro de uno de los nueve subíndices diferentes identificados como las bases de la prosperidad. El rendimiento de un país dentro de cada subíndice se puntúa y la calificación general del Índice de Prosperidad se consigue como la media entre las puntuaciones igualmente ponderadas de los nueve subíndices para cada uno de los países. Los países que disponen de un buen rendimiento en cada uno de estos subíndices puntúan más alto en el ranking general.
Las bases de la prosperidad que definen a las naciones de éxito incluyen:
• Fundamentos económicos: una economía creciente y destacada que proporciona oportunidades para la creación de riqueza.
• Empresariazgo e innovación: un entorno respetuoso en materia medio ambiental de la nueva empresa y con la comercialización de nuevas ideas.
• Formación: un sistema de formación accesible y de alta calidad que mejora el desarrollo humano.
• Instituciones democráticas: gobierno transparente e instituciones confiables que promuevan el crecimiento económico.
• Gobierno: un gobierno honesto y eficaz que preserve el orden e inste a conseguir una ciudadanía productiva.
• Salud: bienestar físico de la población.
• Libertad personal: grado en el que las personas puedan elegir el curso de sus vidas.
• Seguridad: un entorno seguro donde las personas puedan conseguir sus oportunidades.
• Capital social: confianza en las relaciones y comunidades fuertes.
Las naciones más prósperas del mundo están en Europa, según el Índice de Prosperidad de Legatum 2011: Noruega y Dinamarca están a la cabeza; Suecia y Finlandia ocupan el quinto y séptimo lugar, respectivamente; Suiza y Holanda el octavo y noveno, en ese orden; y Estados Unidos el décimo.
El Índice de Prosperidad de Legatum evalúa 104 países (cubriendo 90 por ciento de la población mundial), con base en una definición de prosperidad que combina el crecimiento económico con las medidas de felicidad y calidad de vida.
El Índice de Prosperidad de Legatum es la única evaluación mundial de riqueza y bienestar. Una vez más, creemos que Europa representa la mayor concentración de las naciones más prósperas del mundo, gracias a la impresionante mezcla de progreso económico y la buena calidad de vida. Los principales centros de población y crecimiento económico de Europa están mostrando signos de debilidad potencial en áreas importantes, como la seguridad y gobierno nacionales (Legatum Institute, 2011).
El índice identifica nueve factores clave como los conductores del crecimiento económico y el bienestar personal, que son las bases de la prosperidad, cada uno de estos nueve factores está representado por un subíndice y la evaluación final de Índice de Prosperidad de un país está generada por la media de sus puntos en los nueve subíndices, ponderados de la misma forma.8
Estadística y desigualdad
El PIB percápita es otro de los indicadores que la Estadística proporciona para medir el desarrollo económico de las naciones, se refiere al ingreso que tendría cada habitante si el PIB se repartiera por igual entre toda la población. En la realidad, la distribución del ingreso dista mucho de ser así, por más igualdad distributiva que exista en cualquier país, el ingreso no se distribuye por igual entre todos los habitantes. En México, por ejemplo, la Encuesta Nacional de Ingresos y Gastos de los Hogares (ENIGH) 2010 reveló que 10 por ciento de los hogares de más bajos ingresos destina 50 por ciento de su gasto a la alimentación, mientras 10 por ciento de los hogares de mayores ingresos gasta en el mismo concepto 24 por ciento de su ingreso total. Además, 20 por ciento de los hogares de mayores ingresos concentra 52.7 por ciento del ingreso total (véase Cortés, 2003).
El grado de desigualdad económica existente en una sociedad y su evolución en el tiempo son temas que mantienen el interés permanente de la opinión pública y de los especialistas en el estudio del bienestar colectivo. Por su parte, en la literatura que aborda el análisis de la distribución del excedente de la economía se han propuesto diferentes medidas que pretenden sintetizar esta variable, con el objeto de efectuar comparaciones intertemporales y entre países, a la vez de permitir asignar un valor absoluto a la desigualdad y derivar conclusiones sobre el nivel de concentración del ingreso en una población determinada (CEPAL-ECLAC, 2001: 7).
Existen diversas posibilidades de análisis estadístico en torno a la desigualdad, así como diversos procedimientos metodológicos que se aplican para evaluar los diferentes grados de la misma, dentro de cada país en relación con el desempeño del resto de las economías del mundo.
Uno de los indicadores más populares para el análisis estadístico de la desigualdad es el denominado índice de Gini, el cual destaca por la facilidad de cálculo e interpretación, lo que lo ha llevado a ser el indicador con mayor aceptación en los trabajos empíricos y como una referencia común en los debates sobre el bienestar y la equidad.
Un índice de desigualdad tiene por objetivo cuantificar la distribución de una variable entre un conjunto de individuos. En el caso de la desigualdad económica, la medición se asocia al ingreso (o al gasto) de las familias o personas. Así, cuando y1, y2, ..., yn representan los ingresos de un grupo de n individuos, el indicador de desigualdad se construye como función de las observaciones: I(y1,y2,..., yn).
Una de las principales clasificaciones de los indicadores de desigualdad hace una distinción entre dos grupos principales: medidas positivas, aquellas sin ninguna referencia al concepto de bienestar social, y medidas normativas, las cuales se basan en alguna función de bienestar. Dentro del primer grupo se encuentran los índices estadísticos utilizados para analizar la dispersión de una distribución de frecuencias, mientras que las medidas normativas se han propuesto para el análisis de la concentración del ingreso u otras condiciones asociadas al bienestar.
Dependiendo del análisis seleccionado, se define una norma o un parámetro con el cual comparar la distribución del ingreso observada. Para los estadísticos utilizados en el estudio de la dispersión de una variable (varianza, desviación estándar y coeficiente de variación), el valor de referencia consiste en el promedio de la variable de análisis.
En el caso del Indice de Gini, existe una particularidad debido a que su construcción se deriva de la curva de Lorenz y no del valor promedio del ingreso; la curva de Lorenz representa un diagrama que permite ordenar la información y partir de un parámetro en donde existe igualdad en el ingreso de los habitantes.
La elaboración de un diagrama que muestre la distribución del ingreso resulta de gran utilidad para el análisis de la desigualdad, ya que permite identificar algunos aspectos de la forma de la distribución que de otro modo no se podrían observar. La distribución de frecuencias es la manera más intuitiva de ordenar las observaciones, al agrupar el ingreso de los individuos en diferentes intervalos de clase y apreciar la concentración de observaciones que se forman en cada uno de ellos.
La curva de Lorenz fue una medida propuesta en 1905 con el propósito de ilustrar la desigualdad en la distribución de la salud y desde su aparición se ha popularizado en la medición de la desigualdad económica. En términos simples, la curva de Lorenz representa el porcentaje acumulado de ingreso (%Yi) recibido por un determinado grupo de población (%Pi), ordenado en forma ascendente de acuerdo con la cuantía de su ingreso (y1≤ y2 ≤..., ≤ yn) (CEPAL-ECLAC, 2001;13).
La formación de esta curva se lleva a cabo de la siguiente manera: suponiendo que se tienen n individuos ordenados de menor a mayor respecto al valor de sus ingresos y1 ≤ y2, ..., ≤ yn, integrando g grupos de igual tamaño, llamados percentiles (quintiles o deciles son las formas más habituales de ordenar a la población). La curva de Lorenz se define como la relación que existe entre las proporciones acumuladas de población (%Pi) y las proporciones acumuladas de ingreso (%Yi).
Asimismo, en caso de que a cada porcentaje de la población le corresponda el mismo porcentaje de ingresos (P i= Yi; ∀ i), se formaría una línea de 45 grados que dividiría en dos partes iguales el cuadrado de lado uno que resulta al graficar las proporciones acumuladas de personas en el eje horizontal (Pi) y de ingresos en el vertical (Yi).
Esta línea de 45 grados corresponde a lo que Lorenz definió como la línea de equidad perfecta y expresa ausencia de desigualdad; la curva de Lorenz debe estar acompañada de dos figuras más: la curva correspondiente a la distribución empírica formada a partir de las parejas (Pi,Yi) o curva de Lorenz, y el área entre las dos líneas denominada área de concentración. A partir de la relación entre esta última y la línea de igualdad perfecta, es posible derivar diversos indicadores que se utilizan para evaluar la concentración del ingreso.
Debe observarse que la curva de Lorenz siempre se ubica por debajo de la diagonal, en la medida que los ingresos de los individuos se hayan ordenado en forma creciente y a medida que la curva de Lorenz se aproxime a la diagonal, se estará observando una situación de mayor igualdad, mientras que cuando se aleja la desigualdad se incrementa.
El punto (0,0) significa que el cero por ciento de la población tiene cero por ciento del ingreso, en tanto que en el extremo opuesto el 100 por ciento de la población concentra todo el ingreso. Desde el punto de vista empírico, la curva de Lorenz se construye graficando los porcentajes acumulados de ingresos que reciben los distintos grupos de la población (Yi), con la única condición de que estos se definan con la misma amplitud, a efecto de evitar problemas asociados con el número de observaciones agrupadas en cada intervalo.
En el ámbito del análisis de la distribución del ingreso de las familias, es común que la curva de Lorenz se construya a partir de datos agrupados

en subconjuntos iguales de tamaño 10 por ciento, denominados deciles de hogares, y que se utilicen diversos conceptos de ingreso para efectuar el ordenamiento de las observaciones.
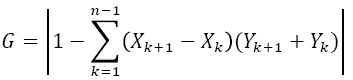
El coeficiente de Gini se calcula a partir del área que se encuentra entre la curva de equidad perfecta y la curva de Lorenz conforme a la siguiente ecuación:
En donde G es el coeficiente de Gini.
X es la proporción acumulada de la variable población.
Y es la proporción acumulada de la variable ingresos.
0 ≤ G ≤ 1
Siendo 0 total igualdad en la distribución y 1 total concentración.
Otra medida de bienestar estrechamente relacionada con el ingreso y la pobreza es la marginación, fenómeno que se origina en la modalidad, estilo o patrón histórico de desarrollo. Se expresa, por un lado, en la dificultad de propagar el progreso técnico en el conjunto de la estructura productiva y en las regiones del país, y por el otro, en la exclusión de grupos sociales del proceso de desarrollo y del disfrute de sus beneficios. El índice de marginación es una medida-resumen que permite diferenciar economías de acuerdo con el impacto global de las carencias que padece su población, como resultado de la falta de acceso a la educación, la residencia en viviendas inadecuadas, la percepción de ingresos monetarios insuficientes y las relacionadas con la residencia en localidades pequeñas. El índice de marginación considera cuatro dimensiones, identifica nueve formas de exclusión y mide su intensidad espacial como porcentaje de la población que no participa del disfrute de bienes y servicios esenciales para el desarrollo de sus capacidades básicas.
No existe una medida única de bienestar. No podemos medir el bienestar de una economía (país, estado o municipio) por su PIB real percápita, ni comparar dos economías empleando solo este indicador, toda vez que la misma definición del PIB no es suficiente porque excluye todos los males, como la degradación del medio ambiente y los índices de criminalidad, y además no incluye bienes que, desde el punto de vista del individuo, generan bienestar, tal como la esperanza de vida al nacer, acceso a servicios de educación y salud, entre otros.
Supongamos que es factible obtener un PIB real percápita totalmente ajustado por todos los bienes y males, como lo hacen, en parte, el Índice de Desarrollo Humano y el índice de marginación. Esta medida tampoco serviría como indicador de bienestar, ya que no considera cómo se distribuye el ingreso.
Si una economía tiene la misma distribución del ingreso en dos periodos de tiempo o si dos economías tienen el mismo coeficiente de Gini en un mismo periodo de tiempo, tampoco podemos decir que su bienestar es el mismo, pues la distribución del ingreso no nos dice si el ingreso está bien distribuido entre los pobres o mal distribuido entre los ricos. Por tal motivo, es necesario contar también con medidas de pobreza, como el número de pobres y la intensidad de su pobreza.
La mejor medida de bienestar que podemos emplear es aquella que aporte respuestas concretas a preguntas también concretas, toda vez que la medición del bienestar es multidimensional.
Conclusión
No hay duda de que la Estadística es hoy una de las ciencias más útiles e influyentes en la mayoría de los campos del conocimiento, que ofrece amplísimas posibilidades de aplicación, y más todavía si se consideran la velocidad con la que se genera el desarrollo tecnológico, los volúmenes de nueva información y el avance vertiginoso de la ciencia. Es un hecho que a lo largo del tiempo cada vez más disciplinas encuentran en los métodos estadísticos una opción para el adecuado planteamiento y solución de problemas específicos. El reconocimiento de esta disciplina es un asunto incuestionable.
En el marco de la sociedad del conocimiento y la información, la Estadística tiene un gran porvenir en el siglo XXI, y cada vez se abren más nichos de oportunidad para los principios, técnicas y procedimientos que forman el cuerpo de esta ciencia.
Una de las grandes áreas en las que la Estadística ha encontrado un amplio espacio y una utilidad sin precedente es, sin duda, la del desarrollo social, específicamente, por su contribución a la generación de distintos indicadores para medir el bienestar social de los pueblos. Se han desarrollado simultáneamente las metodologías, los indicadores y, en general, la planeación y evaluación de políticas y programas de desarrollo social; en todos los casos apoyados en la utilización de métodos estadísticos cada vez más complejos y sofisticados, pero a la vez cada más precisos y de mayor utilidad.
Sin embargo, de hace un tiempo, se apuesta por integrar en las estadísticas conceptos ambientales, económicos y sociales, pero también otros factores como los culturales y los políticos, que también son importantes a la hora de determinar la prosperidad y hasta la felicidad de una comunidad. Muchos proponen ahora (lo mismo académicos de distintas universidades de prestigio, que organismos internacionales) dar mayor peso a los indicadores sobre felicidad y a que las instituciones hagan posible que la población la alcance a través de la educación, las condiciones económicas generales, el empleo, la estabilidad de precios y condiciones políticas que posibiliten el derecho de participación de los ciudadanos.
El problema esencial es entonces cómo hacer más representativas las estadísticas de manera que reflejen la prosperidad y el bienestar como fenómenos multidimensionales. A ese reto se seguirá enfrentando la Estadística en los años por venir.
Bibliografía
ANDERSON, Robert, Branislav MIKULIC y Eszter SANDOR, 2010,Quality of life in the EU: trends in key dimensions 2003-2009, Internet, recuperado de: http://www.dgins-sofia2010.eu/pdocs/Eurofound%20Quality%20of%20life%20in%20the%20EU%20Trends%20in%20key%20dimensions.pdf [ Links ]
ÁNGEL, María Eugenia, Graciela FERNÁNDEZ, Laura POLOLA, Liliana PAGANO, Silvia BRUNETTI, Miriam ECALLE y Enrique BORGONA, 2006,Génesis y evolución histórica de los conceptos de probabilidad y Estadística como herramienta metodológica, recuperado de: http://economicas.unlam.edu.ar/descargas/5_b107.pdf [ Links ]
BATANERO, Carmen, 2001, Didáctica de la Estadística, Grupo de Educación Estadística Universitaria de Granada, Departamento de Didáctica de la Matemática, Universidad de Granada, Granada, España. [ Links ]
BERGER, James O., 2002, "Bayesian analysis: a look a today and thoughts of tomorrow", en Adrian E., RAFTERY, Martin A. TANNER y Martin T. WELLS (eds.),Statistics in the 21st Century, Chapman and Press Hall, Londres. [ Links ]
CONSEJO NACIONAL DE POBLACIÓN, 2000, Índices de Desarrollo Humano 2000, Consejo Nacional de Población (CONAPO), México. [ Links ]
CONAPO, 2000, Índices de marginación 2000, CONAPO, México. [ Links ]
CORRADO, Luisa y Aqib ASLAM, 2012, "The geography of well-being", en Journal of Economic Geography, vol. 12, núm. 3. [ Links ]
CORTÉS, Fernando, 2003, "El ingreso y la desigualdad en su distribución en México", en Papeles de Población, núm. 35, Universidad Autónoma del Estado de México, Toluca, México. [ Links ]
FERREIRO, Osvaldo y Pedro FERNÁNDEZ, 1988, "La Estadística, una ciencia en la controversia", en Revista Universitaria, núm. 25. [ Links ]
FREY, Bruno, 2012, ¿Deberían los gobiernos hacer feliz a la gente?, Fundación Barrié, ponencia presentada el 8 de junio de 2012, recuperado de: http://capital-socialenespanol.wordpress.com/2012/06/08/conferencia-de-bruno-frey-deberian-los-gobiernos-hacer-feliz-a-la-gente/ [ Links ]
RUIZ de Aretxabaleta, Pablo, 2008, Se busca alternativa para medir el bienestar, Internet, recuperado de: gara.naiz.irrfo/paperezkoa/.../se-busca-alternativa-para-mejorar-bienestar. [ Links ]
GIOVANNINI, Enrico y Jon HALL, 2006, Measuringwell-being and societalprogress, OCDE, recuperado de: http://www.beyond-gdp.eu/download/oecd_measuring-progress.pdf [ Links ]
INSTITUTO NACIONAL DE ESTADÍSTICA Y GEOGRAFÍA, 2009, Estadísticas Históricas de México, Instituto Nacional de Estadística y Geografía (INEGI), México. [ Links ]
INEGI, 2003, Cuenta Satélite del Subsector Informal de los Hogares, INEGI, México. [ Links ]
INEGI, 2010, Encuesta Nacional de Ingresos Gastos de los Hogares, INEGI, México. [ Links ]
INEGI, 2010, Encuesta Continua sobre la Percepción de la Inseguridad Pública, INEGI, México. [ Links ]
INEGI, 2003, Historia del Sistema de Cuentas Nacionales de México, 1938-2000, INEGI, México. [ Links ]
INEGI, Sistema de Cuentas Económicas y Ecológicas de México 1999-2004, INEGI, México. [ Links ]
INEGI, Sistema de Cuentas Nacionales de México, INEGI, México. [ Links ]
LEGATUM INSTITUTE, 2011, The 2011 legatum prosperity index, Internet, recuperado de: http://www.prosperity.com [ Links ]
LEGATUM INSTITUTE, 2009, The 2009 legatum prosperity index, Internet, recuperado de: http://es.scribd.com/doc/21690760/2009-Legatum-Prosperity-Index-Report [ Links ]
LENT, J., 2002, "A look at the future job market for statisticians", en Amstat News, November, 25. [ Links ]
MEDINA, Fernando, 2001, Consideraciones sobre el índice de Gini para medir la concentración del ingreso, serie Estudios estadísticos y prospectivos, Naciones Unidas Santiago de Chile. [ Links ]
MIKULIC, Branislav, 2008, "Quality of life in Europe: concepts, measuremet and results", Internet, recuperado de: http://www.slideworld.org/viewslides.aspx/Branislav-Mikulic-QUALITY-OF-LIFE-IN-EUROPE-Concep-ppt-2527942 [ Links ]
OJEDA, Mario Miguel, 2000, La Estadística en la perspectiva de su desarrollo, Universidad Veracruzana, recuperado de: http://www.uv.mx/acl/paginas/ciencia-4.htm [ Links ]
RAO, Radhakrishna y Gabor SZÉKELY, 2000, Statistics for the 21st century,, Marcel Dekker, Nueva York. [ Links ]
SAHAI, Hurdeo y Khurshid ANWER, 2002, Pocket dictionary of statistics, Mc-Graw Hill, Nueva York. [ Links ]
STIGLITZ, Joseph E., Amartya SEN y Jean-Paul FITOUSSI, 2008, en Report by the Commission on the Measurement of Economic Performance and Social Progress, Internet, recuperado de: http://www.stiglitz-sen-fitoussi.fr/documents/rapport_anglais.pdf [ Links ]
VEGA-AMAYA, Oscar, 2002, "Surgimiento de la teoría matemática de la probabilidad", en Apuntes de historia de las matemáticas, vol.1, núm. 1. [ Links ]
WILD, Chris J. y Maxime PFANNKUCH, 1999, "Statisticalthinking in empiricalenquiry", en International Statistical Review, vol. 67, núm. 3. [ Links ]
YAÑEZ CANAL, Sergio, 2000, "La Estadística, una ciencia del siglo XX, Fisher el genio", en Revista Colombiana de Estadística, vol. 23, núm. 2. [ Links ]
1 El primer libro que se escribió sobre juegos de azar es Liber de Ludo Aleae, de Girolamo Cardano (1501-1576), el cual se publicó en 1663 -casi 100 años después de la muerte de su autor. Posteriormente, Galileo (1564-1642), quien aparentemente no tenía conocimiento del trabajo de Cardano, se ocupó de los juegos de azar en Sopra le Scoperte dei Dadi, obra publicada hasta 1718. Tal vez la publicación en extremo tardía del Liber explique parcialmente el interés de Galileo por problemas que ya habían sido resueltos previamente por Cardano. De cualquier manera, en ambos trabajos ya aparecen de forma definida los elementos que constituyen el enfoque que actualmente conocemos como "enfoque clásico de la probabilidad" (Vega-Amaya, 2002).
2 La Estadística como ciencia independiente es un desarrollo del siglo XX. Sir Roland Aylmer Fisher (1890-1962) es considerado como el genio de la Estadística, el transformador de ideas que cohesionó y estableció los fundamentos teóricos de la inferencia estadística, como método de razonamiento inductivo que da un nuevo sentido al procesamiento de datos e intenta medir su grado de incertidumbre (Yañez, 2000)..
3 A Andrei Nikolaevich Kolmogorov se le debe la idea de asignar un espacio muestral de sucesos observables a cada experimento aleatorio y representar los sucesos observables como subconjuntos del espacio muestral, dando una interpretación probabilística a las operaciones con sucesos. Es decir, inventariar todos los posibles sucesos elementales asignados a un experimento, considerarlo como un conjunto de referencia o universal, y aplicar toda la potencia del Álgebra de conjuntos para poder definir los demás sucesos a partir de los sucesos elementales (Batanero, 2009).
4 Para la consulta de una amplia gama de definiciones sobre la Estadística, véase Ángel et al., 2006.
5 El Índice de Desarrollo Humano (IDH) es una medición por país elaborada por el Programa de las Naciones Unidas para el Desarrollo (PNUD), se basa en un indicador social estadístico compuesto por tres parámetros: vida larga y saludable (medida según la esperanza de vida al nacer), educación (medida por la tasa de alfabetización de adultos y la tasa bruta combinada de matriculación en educación primaria, secundaria y superior, así como los años que dura la educación obligatoria) y nivel de vida digno (medido por el PIB percápita IDH en dólares).
6 Hazel Henderson es una futurista, una iconoclasta económica, fundadora de Ethical Markets Media y autora de varios libros. Su principal objetivo es explorar los "puntos ciegos" de la teoría económica convencional. Entre otros, pueden revisarse: "Más allá del economismo: hacia una ética de la Tierra" y "El Producto Interno Bruto, un indicador que falsea la economía".
7 El Legatum Institute es un centro de investigación dentro del grupo de empresas Legatum. La misión del Instituto es investigar y promover los principios que impulsan la creación de la prosperidad mundial y la expansión de la libertad y el bienestar humanos. El instituto es parte de Legatum Group, una firma de inversión mundial privada que se concentra en invertir en mercados de capital internacionales y promover el desarrollo sostenido.
8 Más información sobre el Índice de Prosperidad, incluyendo la calificación completa de los países, respaldo de los datos y metodología y perfiles de cada país, disponible en http://www.prosperity.com.
Información sobre el autor:
Adán Barreto Villanueva. Actuario por la Universidad Nacional Autónoma de México y maestro en Demografía por El Colegio de México. Es miembro del padrón de investigadores del Instituto de Administración Pública del Estado de México, A. C. desde 2009. Secretario Editorial y posteriormente editor de la revista Cofactor del Consejo de Investigación y Evaluación de la Política Social del Estado de México. Ha sido profesor de la Maestría en Ciencias Sociales con especialidad en Desarrollo Municipal de El Colegio Mexiquense, A.C. Dirección electrónica: abv365@yahoo.com.mx












