1. Introducción
En la actualidad se vive una crisis climática global que ocasiona alteraciones en los ciclos hidrológicos y aumento de la temperatura. Dichos fenómenos han sido determinantes para la producción agropecuaria a nivel mundial. El déficit de lluvias en México ha provocado pérdidas significativas en el sector agropecuario y por ende afectación en la población de las comunidades rurales (Diario Oficial de la Federación [DOF], 2020, Secretaría de Agricultura y Desarrollo Rural [SADER], 2022), de la cual dependen económicamente de manera directa o indirecta el 19% de los hogares mexicanos (Instituto Nacional de Estadística y Geografía [INEGI], 2022). Por otro lado, existe un extenso deterioro de los suelos agrícolas y la pérdida de la biodiversidad en los agroecosistemas ocasionada por el uso excesivo de los recursos naturales (SADER, 2022). Por tal motivo, la SADER a través de su Programa Sectorial 2020-2024, está trabajando en construir un sistema agroalimentario justo, autosuficiente, saludable y sostenible, a través del incremento de la producción y productividad de cultivos, la producción de alimentos sanos e inocuos, el uso responsable del suelo y el agua, la protección y conservación del ambiente, la implementación de medidas de mitigación y adaptación al cambio climático y la inclusión de sectores históricamente excluidos revalorizando el trabajo y los saberes de los pequeños y medianos productores rurales y los pueblos indígenas (SADER, 2022).
La implementación de una agricultura sostenible por pequeños agricultores requiere soluciones digitales para resolver desafíos comunes (Mushi, Di Marzo y Burgi, 2022). Por tal motivo, es necesario incorporar metodologías y técnicas de la Agricultura de Precisión (AP) como son los sensores remotos abordo de satélites y vehículos aéreos no tripulados (VANT). La AP en las prácticas agrícolas tradicionales mejora la sostenibilidad generando un equilibrio dinámico (Lee, Strong y Dooley, 2021). Esto debido a que la información obtenida de sensores remotos mejora la gestión de los insumos agrícolas como son el uso de suelo, fertilizantes, semillas y plaguicidas (Johri, Singh, Khatri, Bagchi y Rajesh, 2021; Raj, et al., 2021; Karunathilake, et al., 2023). Los productos generados a partir de la información obtenida de sensores remotos permiten a los agricultores tomar decisiones informadas, logrando beneficios económicos y ambientales, al disminuir el uso de agroquímicos reduciendo daños ambientales y contribuyendo al ahorro económico en la compra de insumos (Delavarpour, Koparan, Nowatzki, Bajwa y Sun, 2021; Lee, et al., 2021).
En este contexto, el presente estudio realizó el seguimiento de la salud y etapas fenológicas de 11 parcelas de maíz a través de imágenes de un VANT y de los satélites Sentinel-2 y Sentinel-1. A partir de la información multiespectral procedente de las imágenes del satélite Sentinel-2 y el VANT, se llevó a cabo un análisis espaciotemporal de seis índices de vegetación (IVs) con la finalidad de determinar su sensibilidad a los cambios del vigor de la planta en un entorno de condiciones reales. Igualmente, a través de entrevistas a los agricultores que manejan las parcelas analizadas, se consultaron las prácticas agronómicas empleadas las cuales se relacionaron para confirmar los hallazgos. Las 11 parcelas presentan una heterogeneidad de los valores de los IVs debido a una vegetación menos vigorosa en algunas parcelas y áreas específicas dentro de éstas, indicando una deficiencia de nutrientes o estrés hídrico. Asimismo, se analizaron las retrodispersiones polarizadas VH y VV del satélite Sentinel-1, demostrándose un potencial de la polarización VH para el seguimiento del desarrollo del maíz debido a su alta correlación con los IVs, siendo la información del Sentinel-1 complementaria a la de Sentinel-2 cuando no existen datos debido a la nubosidad. Esta información puede anticipar problemas en etapas tempranas del desarrollo del cultivo y llevar a cabo medidas correctivas inmediatas, especialmente en la etapa de crecimiento vegetativo antes del panojamiento, así como en etapa reproductiva, particularmente en la floración y fecundación.
2. Metodología
2.1 Área de estudio
Se realizó el monitoreo del ciclo agrícola 2022 de 5.5 hectáreas de cultivo de maíz en el Ejido de San Francisco Chalchihuapan que pertenece al municipio de Atlacomulco, Estado de México (19° 45’ 58 N y 99° 52’ 32 O). Esta área cubre 22 parcelas de riego rodado de ¼ de hectárea (Figura 1). No obstante, solo 11 parcelas fueron sembradas en este ciclo. Fueron sembradas con maíz criollo entre el 28 de marzo y el 1 de abril de 2022. El clima en Atlacomulco es subhúmedo con lluvias en verano (CW), precipitación media anual entre 800 y 1000 mm y rangos de temperatura de 6° C-20° C. La temporada de lluvias comienza en mayo y finaliza en octubre, mientras que la estación seca, de noviembre a mayo.
2.2 Diseño metodológico
El diseño metodológico (Figura 2) se basó en los estudios a nivel internacional de Zhang et al. (2022), Jorge, Vallbéa y Solerb (2019) y Nonni et al. (2018) para la selección de los IVs que se analizaron en este trabajo. Mientras que a nivel nacional se consideró el estudio en parcelas experimentales de la Universidad Autónoma Chapingo de López-Hernández (2021) relacionado el monitoreo de estrés hídrico en cultivo de maíz mediante imágenes multiespectrales de un VANT. Los IVs seleccionados fueron el Índice de Vegetación de Diferencia Normalizada (NDVI), el Índice Normalizado Diferencial de Borde Rojo (NDRE), el Índice de Vegetación de Diferencia Normalizada Verde (GNDVI), el Índice de Vegetación de Diferencia Normalizada Verde-Rojo (GRNDVI), el Índice de Vegetación de Proporción Verde (GRVI) y el Índice de Vegetación de Rango Dinámico Amplio (WDRVI). Respecto al análisis espaciotemporal de los datos Sentinel-1 la metodología se basó en el estudio de Aobpaet (2022) y Arslan, Topakcı y Demir (2022). Los análisis de correlación se basaron el trabajo de Ma, Johansen y McCabe (2022).

Fuente: elaboración propia con base en Nonni et al.(2018), Vallbéa y Solerb (2019), López-Hernández (2021), Jorge, Aobpaet (2022), Zhang et al. (2022), Arslan, Topakcı y Demir (2022); Ma, Johansen y McCabe (2022).
Figura 2 Diagrama de flujo de la metodología empleada.
2.2.1. Datos de entrada
Sentinel-2A y 2B: se seleccionaron 21 imágenes Nivel-2A sin nubosidad desde marzo a octubre de 2022 en Google Earth Engine (GEE), con una resolución espacial de 10m. El Nivel-2A proporciona la reflectancia a nivel de la superficie (también conocida como BOA, por sus siglas en inglés). El área de estudio se encuentra ubicada al noroeste de la escena 14QMG.
Sentinel-1: se seleccionaron 17 imágenes desde marzo a octubre de 2022 en el portal de Copernicus, con un intervalo de 12 días entre imágenes. Se empleó el producto Ground Range Detected (GRD) de nivel 1, modo de franja Interferometric Wide (IW), resolución espacial de 10 m y polarizaciones duales (VV y VH). Igualmente, se seleccionaron imágenes del paso descendente del satélite debido a que éste cubría completamente el área de estudio.
VANT: se emplearon imágenes capturadas a través de una cámara multiespectral Sequoia abordo de una plataforma Parrot Disco Pro AG. Esta cámara tiene integrado un GPS con sensor de luz. Además, tiene cuatro bandas: verde (530-570 nm), roja (640-680 nm), borde rojo (730-740 nm) e infrarrojo cercano (NIR) (770-810 nm). Las imágenes de Sequoia fueron tomadas mientras volaba a 50 m de altura de la superficie, obteniendo una resolución espacial de 5 cm. Se realizaron cuatro vuelos entre las 10:30 a 11:30 a.m., con la finalidad de mantener una iluminación similar respecto a las imágenes obtenidas por el satélite Sentinel-2. Los vuelos se realizaron el 05 de julio, 19 de agosto, 28 de septiembre y 28 de octubre de 2022. Asimismo, las imágenes se adquirieron con un 80% de superposición. El sensor capturó 340 imágenes para cada una de las cuatro bandas espectrales.
Datos de campo: se realizaron entrevistas a los agricultores para conocer sus prácticas agronómicas en las etapas clave de crecimiento del cultivo de maíz. El ciclo agrícola comenzó con un barbecho en enero, el riego rodado de las parcelas en febrero, un proceso de rastreo del suelo en marzo, siembra del 28 de marzo al 1 de abril, fertilización y escarda en mayo, aplicación de herbicida en julio, finalmente la cosecha se llevó a cabo en diciembre.
Datos meteorológicos: se realizó un análisis de correlación de los IVs con datos de precipitación acumulada (mm), humedad relativa media mensual (%), temperatura media mensual (°C) y radiación solar media mensual (W/m²). Los datos fueron obtenidos de la estación meteorológica automática de la Comisión Nacional del Agua (CONAGUA), la cual se localiza a 19°47’57 N y 99°52’38 W, a una altitud de 2,570 m.s.n.m. Se encuentra ubicada aproximadamente a 5.5 km del área de estudio.
2.2.2. Procesamiento de datos
Para el procesamiento de imágenes de los satélites Sentienel-1 y Sentinel-2, así como del VANT, se empleó una estación de trabajo HP Z6 G4. El equipo de cómputo empleado cuenta con un procesador Intel Xeron ® Platinum 8260 CPU 2.40 GHz, 128 GB RAM, NVIDIA Versión 451.48 Quadro P2200.
Preprocesamiento de imágenes Sentinel-1: se utilizó el Sentinel-1 Toolbox del (versión 9.0.0) de la Agencia Espacial Europea (ESA, por sus siglas en inglés). La metodología se basó en el estudio de Filipponi (2019), la cual incluyó siete herramientas a) corrección de órbita (Apply orbit), b) eliminación de ruido térmico (Thermal Noise Removal), c) eliminación del ruido de borde (Border Noise Removal), d) calibración (Calibration), e) aplicación de filtro para eliminación de ruido de moteado (Speckle Filtering), f) corrección geométrica (Range Doppler Terrain Correction) y g) conversión de valores de retrodispersión a decibelios (Conversion to dB). Los procesos se realizaron en lote con las herramientas Graph Builder y Batch Processing.
Procesamiento de imágenes Sentinel-2: los IVs seleccionados se calcularon a través de la plataforma Google Earth Engine (GEE) a partir de las fórmulas de la Tabla 1.
Tabla 1 Índices de Vegetación analizados
| Índice | Fórmula |
| NDVI | (NIR-RED) / (NIR+RED) |
| NDRE | (NIR-REG) / (NIR+REG) |
| GNDVI | (NIR-G) / (NIR+G) |
| GRNDVI | (NIR-G) / (NIR+G) |
| GRVI | NIR / G |
| WDRVI | ((0.1*NIR)-RED) / ((0.1*NIR)+RED) |
Fuente: elaboración propia con base en Zhang et al., 2023; Zhang et al., 2022; Jorge, et al., 2019; Santos et al., 2022, Maresma et al., 2016. NIR= infrarrojo cercano, RED= banda roja, REG= banda borde rojo, GREEN= banda verde.
Preprocesamiento y procesamiento de imágenes del VANT: Los ortomosaicos georreferenciados se generaron utilizando el programa Agisoft Metashape, se emplearon las herramientas a) Orientar fotos, b) Referencia para desarrollar la corrección geométrica importando el archivo con los puntos control terrestres (GCP, por sus siglas en inglés,) en este estudio se consideraron seis GCP, los cuales se obtuvieron por medio de un sistema cinemático en tiempo real (RTK, por sus siglas en inglés) para medir con mayor precisión la posición de los objetos. Éstos se distribuyeron en los vértices y centro del área de estudio. Posteriormente, se empleó la herramienta a) Crear nube de puntos densa, b) Crea la malla, c) Crear el modelo de teselas, d) Crear ortomosaico. Finalmente, a partir de los ortomosaicos se estimaron los mismos IVs que se calcularon con las imágenes Sentinel-2.
2.2.3. Análisis espaciotemporal
Las capas ráster de los IVs del satélite Sentinel-2, así como la retrodispersión del satélite Sentinel-1 se vectorizaron a través de la herramienta Raster Pixels to Points del programa QGIS versión 3.20.2 para tener un mejor manejo de la información. Posteriormente, se llevó a cabo un análisis espaciotemporal de los seis IVs y la retrodispersión con la finalidad de determinar su sensibilidad a los cambios del verdor de la planta. Por otro lado, se reclasificaron los índices normalizados NDVI, GNDVI, GRNDVI y NDRE calculados con las imágenes del VANT a través de la herramienta Reclasificación por tabla de QGIS considerando 4 clases asociadas a la salud del cultivo a) planta saludable con valores del 1 al 0.6, b) planta medianamente saludable con valores de 0.6 al 0.3, c) planta enferma con valores de 0.3 al 0 y d) planta muerta u otro objeto con valores de 0 a -1.
De igual forma, se realizó una segmentación con los resultados de los seis IVs calculados a partir de las imágenes del VANT con el objetivo de realizar una fusión iterativa de regiones a través de una medida de costo de homogeneidad en función de las características espectrales. Se empleó la herramienta segmentación de fusión de regiones genéricas (Generic Region Merging Procesor) del programa SNAP (Lassalle, Inglada, Michel, Grizonnet y Malik, 2015). La segmentación se realizó a partir de la unión de los 6 IVs (GNDVI, GRNDVI, GRVI, NDRE, NDVI y WDRVI) de las imágenes de los cuatro vuelos del VANT, con los criterios (umbral t= 100, 50 iteraciones, criterio de fusión de región por el método de best fitting, criterio de costo de fusión por el método de spring, homogeneidad espectral cw= 0.5 y homogeneidad espacial sw= 0.5) y 100 iteraciones. Finalmente, se evaluó la relación de los IVs con los valores de retrodispersados de las polarizaciones VV y VH.
3. Resultados y discusión
La Figura 3 presenta las series de tiempo de los valores de los seis IVs calculados a partir de las imágenes Sentinel-2 para las 11 parcelas cultivadas en el ciclo agrícola 2022. Los valores de los IVs fueron relacionados con las prácticas agronómicas y las etapas de crecimiento del maíz. Todos los IVs muestran la distribución normal esperada, se pueden observar valores bajos de IVs en las etapas de siembra y fertilización, después de la aplicación de herbicida se puede observar que los valores de los IVs presentan un crecimiento exponencial con un pico a finales de agosto. Posteriormente, los valores de IVs disminuyen debido a que el contenido de agua del dosel del maíz reduce, indicando que los granos de maíz han pasado por las etapas finales de crecimiento y es hora de cosechar. Por otro lado, en las gráficas se puede observar que los valores de IVs presentaron variabilidad entre parcelas. Los IVs indican una heterogeneidad en la salud del maíz, por ejemplo, en la parcela 13 (P13) tiene valores más altos en los seis IVs que la parcela 8 (P8), lo que podría estar relacionado con diversas causas como la presencia de vegetación herbácea entre los surcos, las diferentes prácticas agronómicas empleadas, la deficiencia de nutrientes o agua entre parcelas y las condiciones de sequía y altas temperaturas registradas (Nonni et al., 2018; Wang, Fang, Zhao, Huang y Jiang, 2020).

Fuente: elaboración propia con base en los datos de Sentinel-2.
Figura 3 Comportamiento de los seis IVs en la zona de estudio: a) GNDVI, b) GRNDVI, c) GRVI, d) NDRE, e) NDVI y f) WDRVI.
Además, la inspección in situ confirmó que esta falta de homogeneidad se debe a una vegetación menos vigorosa, debido a que en algunas parcelas las plantas presentan hojas verdes y otras hojas amarillas (Figura 4). Las plantas verdes son más ricas en clorofila, por lo que se trataba de plantas sanas. Mientras que las plantas amarillas indican que una posible eficiencia de agua o nutrientes.

Fuente: elaboración propia con base en la observación de campo.
Figura 4 La inspección in situ. (a) parcelas de maíz con hojas amarillas; (b) parcelas de maíz con hojas verdes.
Por otro lado, NDVI tiene una alta sensibilidad a las etapas de crecimiento del cultivo durante sus fases de reverdecimiento y senescencia (Raeva, Šedina y Dlesk, 2019; Mahlayeye, Darvishzadeh y Nelson, 2022), pero es muy susceptible a la saturación cuando ya no puede diferenciar entre doseles de diferente densidad y productividad (Chang et al., 2020). Por lo que es conveniente analizar la sensibilidad de diferentes IVs para identificar posibles heterogeneidades en la cobertura vegetal y monitorear cultivos medios y tardíos con alto nivel de clorofila (Raeva, et al., 2019). Con este contexto, se presenta en la Figura 5, la sensibilidad de cuatro de los índices de vegetación analizados se observa que cada uno está detectando cambios en el contenido de clorofila de las plantas de maíz.

Fuente: elaboración propia con base en datos de Sentinel-2.
Figura 5 Análisis espaciotemporal del vigor del cultivo de maíz a través del GNDVI, GRNDVI, NDRE, y NDVI.
El GNDVI se ha considerado útil para evaluar la variabilidad de la clorofila foliar cuando el índice de área foliar es moderadamente alto (Burns et al., 2022). De igual forma, el GNDVI ha sido de los mejores predictores del rendimiento de grano de maíz al principio de la temporada de crecimiento cuando la aplicación de N adicional todavía es agronómicamente factible (Maresma et al., 2016; Burns et al., 2022). Además, el NDRE se ha mostrado más ventajoso que NDVI porque es muy sensible a los cambios en las propiedades de la vegetación y particularmente útil para identificar el crecimiento. Asimismo, NDRE se ha utilizado para la detección de irregularidades en el riego (Jorge et al., 2019). Esto es posible debido a una mayor reflectancia en la banda del borde rojo que en la banda roja cuando cambia el contenido de agua y nitrógeno (Raeva et al., 2019; Burns et al., 2022). Comparando los valores obtenidos de NDVI y NDRE del presente estudio, muestran una diferencia de 0.3, especialmente en la etapa reproductiva. Donde el panojamiento es una de las etapas fenológicas más importantes del maíz que influyen en el rendimiento (Jorge et al., 2019). Por otro parte, el GRNDVI ha mostrado potencial para discriminar hojas infestadas de hojas sanas. El análisis concluyó que las hojas sanas presentaron valores más altos de IVs en comparación con las hojas infestadas. Debido a que el ataque es intenso, esta plaga disminuye la capacidad fotosintética de la planta por la destrucción y caída de hojas (Santos et al., 2022). Esta situación podría ser otra razón por la cual hay valores bajos de IVs en algunas de las parcelas (Figura 3b). Para la detección remota de la deficiencia de nitrógeno en el maíz, se ha reportado una mayor sensibilidad del GRVI para evaluar las deficiencias de N en el maíz (Maresma et al., 2016). El cual mostró mayor sensibilidad para detectar anomalías en el maíz entre parcelas (Figura 3c). Otros autores informaron la mayor sensibilidad del GRVI que los índices basados en la banda roja para evaluar las deficiencias de N en el maíz en las etapas de crecimiento V12 o posteriores (Chang et al., 2020). Por último, WDRVI ha mostrado sensibilidad a los cambios en los valores del índice de área foliar (LAI) porque estos mantienen una relación lineal (Marino y Alvino, 2019). Además, WDRVI ha demostrado distinguir aplicaciones de N por encima o por debajo de 250 - 300 kg·N·ha−1 y en la predicción de rendimiento de grano en la etapa V12. Considerando una caracterización robusta de las características fisiológicas y fenológicas del cultivo (Maresma et al., 2016).
Posteriormente, se realizó una regresión lineal empleando el programa Jamovi entre los valores medios mensuales de los IVs con los datos meteorológicos. La precipitación acumulada mensual (mm), la humedad relativa media mensual (%) y la radiación solar media mensual (W/m²) mostraron correlación con los valores medios de los IVs. Sin embargo, la temperatura no mostró correlación (Tabla 2). Se consideró un nivel de confianza del 95%. En la Tabla 3 se presenta la estadística descriptiva de las variables meteorológicas que presentaron correlación con los IVs.
Tabla 2 Valores del coeficiente de determinación
| Índice | Pe | HR | T | RS | ||||
| R² | P | R² | P | R² | P | R² | P | |
| GNDVI | 0.665 | 0.014 | 0.855 | 0.001 | 0.166 | 0.317 | 0.739 | 0.006 |
| GRNDVI | 0.733 | 0.007 | 0.791 | 0.003 | 0.111 | 0.419 | 0.654 | 0.015 |
| GRVI | 0.758 | 0.005 | 0.751 | 0.005 | 0.112 | 0.419 | 0.610 | 0.022 |
| NDRE | 0.672 | 0.013 | 0.748 | 0.006 | 0.080 | 0.496 | 0.587 | 0.027 |
| NDVI | 0.733 | 0.007 | 0.788 | 0.003 | 0.100 | 0.445 | 0.648 | 0.016 |
| WDRVI | 0.796 | 0.003 | 0.691 | 0.011 | 0.071 | 0.524 | 0.536 | 0.039 |
Fuente: elaboración propia con base en datos de la Estación Meteorológica Automática de Atlacomulco. Pe= precipitación, HR= humedad relativa, T= temperatura, RS= radiación solar.
Tabla 3 Estadística descriptiva de la precipitación, humedad relativa y radiación solar
| Mes | Pe (mm) | HR(%) | RS (W/m²) | ||||||||
| Acu | Max | Min | Media | Max | Min | SD | Media | Max | Min | SD | |
| Marzo | 3 | 1 | 0 | 34 | 90 | 2 | 19 | 303 | 1269 | 0 | 396 |
| Abril | 56 | 7 | 0 | 45 | 97 | 1 | 24 | 292 | 1314 | 0 | 388 |
| Mayo | 20 | 2 | 0 | 39 | 93 | 3 | 22 | 311 | 1266 | 0 | 401 |
| Junio | 101 | 6 | 0 | 60 | 100 | 4 | 22 | 238 | 1253 | 0 | 339 |
| Julio | 182 | 14 | 0 | 68 | 100 | 9 | 22 | 227 | 1242 | 0 | 329 |
| Agosto | 157 | 12 | 0 | 73 | 100 | 17 | 22 | 222 | 1325 | 0 | 326 |
| Septiembre | 60 | 5 | 0 | 70 | 100 | 21 | 18 | 238 | 1227 | 0 | 238 |
| Octubre | 60 | 4 | 0 | 70 | 100 | 20 | 22 | 222 | 1167 | 0 | 330 |
Fuente: elaboración propia con base en datos de la Estación Meteorológica Automática de Atlacomulco. SD=desviación estándar, Max=máximo, Min=mínimo, Pe=precipitación, HR=humedad relativa, Acu=acumulada, PS= radiación solar.
Con base en el análisis de los datos meteorológicos y considerando el día de la siembra y las etapas de crecimiento cruciales del maíz para obtener un óptimo rendimiento (etapas V12, V18 y VT de crecimiento vegetativo y emergencia de barbas de la etapa reproductiva), se determinó que es necesario el riego en dichas etapas con la finalidad de mejorar el rendimiento de las parcelas, debido a la baja precipitación en los meses de mayo a junio donde se desarrollan dichas etapas.
La Figura 6, Figura 7 y Figura 8, presentan mapas de los datos reclasificados del IVs normalizados NDVI, GRNDVI y NDRE del VANT. En la Figura 8, se puede observar que en la parcela 10 (P10) fue sembrada días posteriores en comparación con las otras parcelas debido a que el 28 de octubre presenta valores de 0.6 a 1, mientras que las otras parcelas presentan valores menores a 0.6.

Fuente: elaboración propia con base en imágenes del VANT (resolución espacial 5cm).
Figura 6 Evolución del NDVI en los cuatro vuelos del VANT realizados.

Fuente: elaboración propia con base en imágenes del VANT (resolución espacial 5 cm).
Figura 7 Evolución del GRNDVI en los cuatro vuelos del VANT realizados.

Fuente: elaboración propia con base en imágenes del VANT (resolución espacial 5 cm).
Figura 8 Evolución del NRDE en los cuatro vuelos del VANT realizados.
En la Figura 9, se presenta el histograma de los IVs obtenidos a partir del VANT y Sentinel-2 para el mes de julio en la etapa reproductiva de la planta de maíz, se puede observar una mayor variabilidad en los datos del VANT, esto se debe principalmente a que el sensor del VANT detecta la respuesta del suelo desprovisto de vegetación de los surcos, por lo que es recomendable eliminar el ruido que causa el suelo en los datos del VANT a través de una clasificación supervisada, por otro lado, es importante realizar el seguimiento de todo el ciclo fenológico del maíz a partir de imágenes obtenidas del VANT como se llevó a cabo con sensores satelitales.

Fuente: elaboración propia.
Figura 9 Histograma de los datos del VANT (reescalada a 10m) y Sentinel-2 en julio para cada IVs.
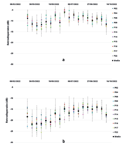
Respecto a los resultados del satélite activo Sentinel-1, se realizó el seguimiento de las retrodispersiones polarizadas VV y VH de marzo a octubre de 2022 (Figura 10). La tendencia de ambas polarizaciones mostró valores altos de retrodispersión durante las etapas vegetativas del maíz cercanas al panojamiento. Mientras que en las actividades de barbecho, riego, rastreo y siembra demostraron menores valores de retrodispersión se puede atribuir la rugosidad del suelo en estas etapas. De esta forma, los valores altos en las parcelas fueron causados por la vegetación y el contenido de agua del suelo, mientras que los valores más bajos en la etapa vegetativa indican parcelas con estrés hídrico.

Fuente: elaboración propia con base en pase descendente Sentinel-1, trayectoria 41.
Figura 10 Retrodispersión multitemporal de los valores de las polarizaciones a) VV y b) VH.
Durante el crecimiento de la vegetación, la retrodispersión polarizada VV demostró una variación de amplitud mayor que la retrodispersión polarizada VH. Por lo tanto, es importante considerar que las señales de radar pueden volverse sensibles a la humedad del suelo (Arslan et al., 2022), especialmente cuando la distancia entre surcos es amplia. Por otro lado, la disminución de retrodispersión indica que el contenido de agua del dosel ha comenzado a disminuir y que es hora de cosechar. Finalmente, los datos de los IVs se correlacionaron con los valores de retrodispersión de las polarizaciones VV y VH. En diversos estudios se ha explorado el potencial de estas polarizaciones para monitorear los cambios en los cultivos (Ma et al., 2022; Wang, et al., 2020). Otros estudios han revelado la posibilidad de complementar los IVs con la información de la retrodispersión debido a la falta de datos de sensores ópticos debido a la nubosidad (Aobpaet, 2022). El resultado de este estudio mostró valores altos del coeficiente de determinación entre retrodispersiones polarizadas VH y todos los VI analizados (Tabla 4).
Tabla 4 Valores del coeficiente de determinación de la correlación entre los IVs y retrodispersión
| Índice | VH | VV | ||
| R² | P | R² | P | |
| GNDVI | 0.919 | <0.001 | 0.456 | 0.066 |
| GRNDVI | 0.895 | <0.001 | 0.507 | 0.048 |
| GRVI | 0.858 | <0.001 | 0.467 | 0.062 |
| NDRE | 0.907 | <0.001 | 0.568 | 0.031 |
| NDVI | 0.900 | <0.001 | 0.531 | 0.040 |
| WDRVI | 0.836 | 0.001 | 0.523 | 0.043 |
Fuente: elaboración propia con base en datos de Sentinel-1.
Finalmente, con relación a los resultados de la segmentación de fusión de regiones genéricas de los IVs calculados a partir de las imágenes del VANT, se observan las regiones del área de estudio que presentan características similares (Figura 11). Se logró determinar que la clase 2 representa los valores más altos de los IVs. Además, se puede observar que el comportamiento de las regiones es similar en el tiempo.
4. Conclusiones
La información obtenida a partir de los tres sensores remotos abordo de los satélites Sentinel-1, Sentinel-2 y un vehículo aéreo no tripulado permitió analizar la dinámica espaciotemporal del cultivo de maíz en 5.5 hectáreas del Ejido de San Francisco Chalchihuapan del municipio de Atlacomulco, Estado de México. Se identificó una falta de homogeneidad espacial y temporal de la salud del cultivo en las 11 parcelas analizadas, lo cual se determinó con seis IVs. Los índices GRNDVI, NDRE y WDRVI demostraron una mayor sensibilidad a los cambios en el verdor del maíz que NDVI, lo que indica que estos podrían ser mejores predictores del rendimiento del maíz en la etapa de crecimiento. Por otro lado, respecto a la información obtenida del VANT se detectó que es recomendable eliminar el ruido generado por el suelo de los surcos con la finalidad de obtener solo la respuesta espectral del cultivo. Finalmente, la retrodispersión polarizada VH han demostrado un potencial en el monitoreo del crecimiento del maíz debido a su alta correlación con los IVs. Por lo tanto, el uso de datos SAR en aplicaciones agrícolas podría usarse cuando no estén disponibles datos de sensores ópticos. En estudios futuros, es conveniente estimar el rendimiento del maíz a través de los IVs NDRE, WDRVI y GRNDVI.
Agradecimientos
Los autores agradecen las facilidades brindadas por los agricultores del Ejido San Francisco Chalchihuapan. Su agradecimiento especial al señor Miguel Ángel Martínez presidente del Comisariado Ejidal, al señor Bernabé Martínez y al ingeniero. Daniel Mendoza González por su apoyo y compartir sus experiencias. Los autores desean dar un importante agradecimiento al Centro Regional de Desarrollo Espacial (CREDES) Estado de México de la Agencia Espacial Mexicana (AEM) por el acceso al equipo de cómputo del Laboratorio de Análisis y Procesamiento de Imágenes (LAPI). Finalmente, un agradecimiento especial al Consejo Mexiquense de Ciencia y Tecnología (COMECYT) por haber otorgado el apoyo económico al primer autor, lo que permitió realizar este estudio.










nueva página del texto (beta)





