“En el corto plazo la productividad no lo es todo, pero en el largo plazo es casi todo” Paul Krugman (1997)
Introducción
Uno de los problemas más acusados en la economía mexicana es la baja tasa de crecimiento que se observa desde el inicio de la década de los ochenta, aunque paradójicamente se han tenido tasas de desempleo relativamente bajas con respecto no solo a economías de la OCDE, sino también con otras de similar tamaño y desarrollo.
Se observa desde entonces una economía de lento crecimiento con bajo desempleo, en donde el factor trabajo no es escaso. El aparente debilitamiento de la relación propuesta por Okun (1962) tiene una explicación en el crecimiento del sector informal, que tradicionalmente ha sido una de las válvulas de alivio del mercado laboral en México.
El sector informal no es una masa homogénea sino que, por el contrario, nos encontramos frente a un fenómeno difícil de medir y conceptualizar, que la OIT (2012) ha definido como el conjunto de actividades y personas con una situación institucional irregular que provoca un acceso marginal, en el mejor de los casos, a las oportunidades de financiamiento que, por ende, reduce la capacidad de acumulación de capital y predispone la creación de entidades productivas, cuyos procesos están basados no en el capital sino en la incorporación de trabajo, con la característica de ser poco productivo al estar poco calificado en relación con el personal de las unidades formales.
El sector informal se caracteriza -entre otras cosas- por tener una menor intensidad de capital que genera menores salarios, pero con la capacidad de hacer crecer su volumen de ocupación y producto con menor inversión. Loría, Libreros y Salas (2012) muestran en un modelo de dos sectores para la economía mexicana que el sector sujeto a una menor intensidad de capital, por su mayor componente de trabajo informal, tiene una relación más débil entre desempleo y crecimiento, lo que ofrece respuesta a la relativa baja tasa de desempleo que registra la economía mexicana.
De esta manera, nos encontramos ante una circunstancia en donde la baja tasa de desempleo, por el crecimiento del sector informal, ha modelado una economía con un importante y creciente sector de baja productividad, que se asocia y a la vez condiciona un lento crecimiento debido a que la baja razón capital-trabajo desincentiva a la Productividad Total Factorial (PTF), único motor de crecimiento de largo plazo, el cual no se explica por los incrementos/decrementos de los diferentes factores que se involucran en la producción (INEGI, 2013), lo que sumerge a la economía en una espiral descendente en términos de desarrollo y crecimiento.
Esta inercia es muy difícil de romper, debido a una circunstancia de selección adversa de parte de los agentes que se ven orillados a emplearse en sectores de baja productividad, por dos razones. Por un lado, porque tienen la necesidad de un ingreso, porque los demás miembros de sus familias tienen salarios bajos que no permiten que un solo sujeto sea el proveedor de toda la familia; y, adicionalmente, porque presentan características de productividad inferiores a las que requiere el sector formal, que les ofrecería un salario más alto que permitiría a los demás miembros de la familia no incorporarse precozmente al sector informal, y adquirir, así, las capacidades laborales que les permitan alcanzar un empleo formal, obviamente mejor remunerado, para salir, tanto en lo individual como colectivamente, de la trampa de pobreza. El objetivo central de este artículo radica en verificar tanto teórica como econométricamente la relación negativa entre el crecimiento del sector informal y la PTF.
Además de la introducción, el artículo está estructurado de la siguiente manera: Primero, se hace una revisión de la literatura que expone la situación de la informalidad en términos generales y que plantea que la presencia de un sector de baja intensidad de capital, y por ende de baja productividad, es una condición que provoca un lento crecimiento de la PTF. En el siguiente apartado, se muestran los hechos estilizados sobre la evolución de las variables de interés y en particular sus comportamientos derivados de las dos crisis que se observan en el periodo de estudio (2001-2003 y 2009 en adelante). En el tercer apartado, se muestran los aspectos econométricos y se analizan y discuten los resultados principales. Por último, se presentan las conclusiones y algunos comentarios finales.
1. Aspectos teóricos y revisión de literatura
Desde hace varias décadas, la informalidad ha adquirido reconocimiento internacional para ingresar en las agendas de políticas públicas de los gobiernos; y desde hace unos años, los conceptos han ganado gran importancia, principalmente en economías emergentes por sus múltiples implicaciones en el crecimiento y desarrollo económicos. Se acepta que la informalidad es un fenómeno multifacético y multifactorial que aqueja a la economía mexicana, y que se ha vuelto un problema estructural desde la década de los ochenta.
Ochoa (2011) argumenta que el crecimiento del sector informal en México se ha asociado a los efectos de la crisis económica de los años ochenta, ya que a partir de entonces, se registraron fuertes disminuciones del crecimiento del PIB, de la PTF y del empleo formal.
1.1. Informalidad, productividad y crecimiento
La literatura convencional del desarrollo sugiere que el crecimiento económico es un proceso uniforme de trasformación del producto y de todos los sectores de la economía. Pero en economías no desarrolladas, la pobreza, la desigualdad, el crecimiento de la población y los problemas de los mercados laborales, no responden así, no necesariamente. Bien puede ser que el crecimiento tenga efectos desiguales y que este proceso beneficie diferenciadamente a sectores sociales y económicos (Debraj, 2008).
Según el Banco Mundial (2008), la informalidad ha ganado creciente atención porque ha afectado el crecimiento económico y el bienestar social, y se ha convertido en una fuerza corrosiva para la integridad de las sociedades en Latinoamérica.
La Organización Internacional del Trabajo (2011) define a la economía informal como el conjunto de actividades económicas desarrolladas por los trabajadores y las unidades económicas que, tanto en la legislación como en la práctica, están insuficientemente contempladas por sistemas formales o no lo están en absoluto. Las actividades de esas personas y empresas no están recogidas dentro de la ley, lo que significa que se desempeñan al margen de ella; o no están contempladas en la práctica. Es decir, que si bien estas personas operan dentro del ámbito de la ley, esta no se aplica o no se cumple; o la propia ley no fomenta su cumplimiento por ser inadecuada, engorrosa o imponer costos excesivos.
Existen diversas opiniones en torno a la informalidad. Algunos autores, como Cimoli, Primi y Pugno (2006) y Levi (2008), proponen que hay efectos negativos hacia el crecimiento económico, ya que los empleos generados por este sector son de baja productividad y deprimen la PTF, con lo que comprometen el crecimiento futuro del conjunto de la economía. Señalan que cada vez más la informalidad es un rasgo persistente y distintivo de las economías latinoamericanas, y no solo tiene efectos adversos en el desempeño del crecimiento, sino que también en la economía en términos de exclusión, marginalización, precariedad y disparidades de salarios.
Levy (2008), Ochoa (2011) y Ros (2013) hacen referencia a que, por su naturaleza, las actividades informales se desarrollan con bajos niveles de inversión, capital físico y humano y productividad. De esta forma, un sector informal grande afecta la utilización eficiente de los recursos de toda la economía.
Es por todas las razones anteriores que la economía informal está asociada (y no necesariamente es la causa inicial)1 a un menor ritmo de crecimiento del producto interno bruto (PIB), con baja productividad y, lo que es más importante, con generación de empleos precarios (salarios bajos y flexibles y sin prestaciones sociales).
Si bien hay una gran discusión sobre la causalidad: crecimiento económico - informalidad, aquí evidenciamos que lo que ha prevalecido en nuestro país es que la caída del crecimiento de PTF y del producto han generado un círculo vicioso de improductividad.
Aquí consideramos que el círculo vicioso inicia con el lento crecimiento del PIB que se asocia a la caída secular de la PTF, lo que ha provocado que el desempleo crezca. De esta suerte, la teoría de la elección racional (Becker, 1968) afirma que las válvulas de escape son la informalidad (Maloney, 2004), el desaliento, la emigración (Figueroa, Ramírez, Gonzáles, Pérez y Espinosa, 2012) y la violencia social (crimen organizado). Lo anterior a su vez genera precarización del mercado de trabajo, con lo que se cierra el círculo vicioso ya descrito que, finalmente, se plasma en precarización laboral y preservación de la pobreza, y en fuertes contrastes sociales (ver Diagrama 1).
Resulta pertinente plantear que muchos de los grandes problemas que México enfrenta como la pobreza, la informalidad, el rezago educativo y de salud, el financiamiento del sistema de pensiones y la violencia social proveniente del crimen organizado son, en buena parte, resultado de la falta de crecimiento y de la precarización de los mercados laborales.
Sin entrar en discusiones ni en controversias, es plausible considerar que entre las causas del bajo crecimiento están el agotamiento del modelo de desarrollo seguido desde los años cincuenta, la falta de adopción de uno nuevo y exitoso y el tipo de inserción en el mercado mundial que experimentó la economía mexicana, a mediados de la década de los noventa2.
Como consecuencia del círculo vicioso ya descrito, los empleos que se han generado en México en los últimos años han sido en su mayoría informales (Samaniego, 2008). Dicho de otro modo, la informalidad se ha convertido en una opción de sobrevivencia y, adicionalmente, de rentabilidad. La primera se refiere a que se pertenece a este sector de la economía como medio de subsistencia. La segunda se refiere a que al pertenecer a este sector se evaden importantes costos de la formalidad, como: pago de impuestos y servicios públicos, regulación y seguridad laboral, entre otros.
De Soto (1986) utiliza el concepto de costo de la formalidad y costo de la informalidad para explicar la elección racional de los agentes económicos. Ubica la condición de informalidad en situaciones de demanda agregada y parcial fluctuantes, derivadas de la precariedad y la reducción del crecimiento y a la vez aumento de la volatilidad de la economía mundial y nacional.
Este enfoque denominado de subsistencia es el que toma la economía del desarrollo para explicar el surgimiento del sector informal en la economía. Lewis (1954), Harris y Todaro (1970), entre otros, retoman este modelo, en el cual los determinantes de la informalidad se refieren a pobreza, ingresos y nivel de educación, y a que la existencia de dos sectores, el formal y el informal, sugieren que podría existir un puente entre ambos en la medida en que crezca vigorosamente el sector formal, lo que no se ha visto desde 1982.
Maloney (2004) señala que la informalidad es una opción paralela al empleo formal y que estos dos sectores ofrecen trabajos deseables con características distintas, que los trabajadores escogen de acuerdo con su preferencia. Muestra que la informalidad en México representa no solo un “colchón” para los desempleados del sector formal, sino que también es una alternativa laboral con sus propias características atractivas para los trabajadores, y es una vía de escape para los (pequeños) empresarios.
Desde 1982, México ha experimentado un periodo de lento crecimiento, sin embargo, la tasa de desempleo es más baja de lo que se esperaría, en función de otras economías, pues teóricamente, como lo plantea Okun (1962), existe una relación causal bidireccional negativa entre el crecimiento económico y la tasa de desempleo, pero para el caso de México está relación ha sido menor a la esperada, pues aun cuando las tasas de crecimiento han sido bajas, el desempleo se ha mantenido en un rango de 2% a 5%, lo cual conduce a la pregunta: ¿por qué la tasa de desempleo no se ha elevado notablemente, aun con tasas bajas de crecimiento?
Loría et al. (2012) encuentran en un estudio sobre la ley de Okun, que para el caso de México, al segmentar a la economía en dos sectores, aquella con una menor intensidad de capital y favorecida por una mayor presencia de informalidad, reportaba una relación más débil entre desempleo y crecimiento que el sector más intensivo en capital y con un mayor componente formal. Lo que lleva a pensar que en México el crecimiento del sector informal es la condición básica para el bajo desempleo, en una ambiente de bajo crecimiento.
1.2. Modelo teórico
Lewis (1954) parte de una oferta de trabajo infinitamente elástica en los países en desarrollo; con este supuesto básico, describe el comportamiento de una economía “dual” que produce un bien y en la que coexisten un sector atrasado y un sector moderno.
Para analizar la relación negativa entre la PTF y el empleo del sector informal
El sector moderno (formal) Y es intensivo en capital K y el sector de subsistencia I lo es en trabajo.
En la (3) despejamos A ─que es la PTF─ de la ecuación del sector formal, e introducimos al empleo informal mediante la propuesta de que es una proporción relativamente fija del empleo formal, ecuación (4).
Definimos la elasticidad PTF del empleo informal en (6).
En (7), desarrollamos en numerador de (6) y en (8), simplificamos términos.
Por la ecuación (4), sustituimos
2. Hechos estilizados
A partir de este momento, cuando nos refiramos a informalidad estaremos hablando específicamente de la Tasa de Ocupación en el Sector Informal (TOSI), la cual se refiere a la población ocupada que trabaja para una unidad económica que opera a partir de los recursos del hogar, pero sin constituirse como empresa. Esta definición no es igual a la que se refiere a la informalidad laboral, pues este otro concepto añade las categorías de trabajo no protegido, servicio doméstico, trabajadores subordinados en empresas formales pero sin registro de seguridad social (INEGI, 2014).
Debido a que no existen datos oficiales previos de la TOSI, el análisis empírico partirá de 2000.Q2. A continuación analizaremos una serie de hechos que nos sirven para poder sugerir relaciones importantes entre las variables que nos ocupan y que, finalmente, configuran el modelo econométrico.
En la Gráfica 1, tenemos la relación de TOSI con la PTF, y podemos observar que existe una clara relación negativa que además es estadísticamente significativa.

Fuente: cálculos propios basados en el Plan Nacional de Desarrollo (2013-2018) e INEGI (2014).
Gráfica 1 Diagrama de dispersión PTF vs. tasa de ocupación en el sector informal, 2000.Q2-2014.Q4
Siguiendo a Pagés (2010), Sala-i-Martin y Artadi (1999) y Romer (2002), el principal determinante del crecimiento de largo plazo de una economía es la PTF. En México, entre 1990 y 2014, esta variable registró un caída media anual de 0.6%. En la Gráfica 2, podemos observar que es a partir de 1982, cuando comienza a caer estrepitosamente, justo cuando se inicia una larga depresión económica que duró hasta 1988.

Fuente: Plan Nacional de Desarrollo (2013-2018) e INEGI (2015). Nota: pronóstico para 2012-2014 calculado por un ARIMA (3, 1, 3).
Gráfica 2 México: productividad total de los factores (PTF), 1970-2014. 1990 = 100
En la Gráfica 3, se demuestra la relación PTF-PIB, que nos conduce al inicio del círculo vicioso de la improductividad y el bajo crecimiento, ya mencionados; lo que se prueba econométricamente en la siguiente sección.

Fuente: Plan Nacional de Desarrollo (2013-2018) e INEGI (2015).
Gráfica 3 Diagrama de dispersión PTF vs. PIB, 2000.Q2-2014.Q4
Por otro lado, en la Gráfica 4, observamos la evolución de TOSI y el PIB. La gráfica está dividida en cuatro secciones. En la primera, que corresponde al periodo 2000.Q2-2003.Q3, ocurrió una larga recesión, por lo que la informalidad creció muy rápidamente. En la segunda sección (2003.Q4-2008.Q2), el PIB se recuperó notablemente y la informalidad cayó sustancialmente. En estos dos periodos, se observó la relación que sugiere la teoría y que se presenta en el Diagrama 1.

Fuente: cálculos propios con información de INEGI (2014). Nota: series desestacionalizadas con el método ARIMA X12.
Gráfica 4 México: tasa de ocupación en el sector informal y PIB, 2000.Q2-2014.Q4 -series desestacionalizadas-
Sin embargo, en la tercera y cuarta secciones (2008.Q3- 2012.Q2 y 2012.Q3-2014.Q4), se observa la caída del producto por la gran recesión de 2009 y, a pesar de su recuperación, la informalidad muestra un comportamiento errático y creciente hasta 2012.Q2, que en adelante (cuarto periodo) se reduce mucho, aun en presencia del PIB, que reduce sustancialmente su crecimiento. Esta nueva relación denota un fuerte cambio estructural que merece un análisis particular; pues fue en 2013, cuando entró en vigor la Reforma Laboral y en 2014, la Reforma Hacendaria con la que el gobierno federal impulsó el programa “Crezcamos juntos”, para formalizar al empleo que se desempeñaba en condiciones de informalidad. Como se observa en la cuarta sección, la informalidad muestra una caída, pues según datos oficiales se formalizaron 4.3 millones de negocios. Este análisis es preliminar y se requerirá de mucho más tiempo para ver los efectos (permanentes o transitorios) de estas reformas.
3. Aspectos econométricos
Con el fin de formalizar estadísticamente las regularidades ya referidas de largo plazo, particularmente verificar la relación negativa entre la PTF y el empleo en el sector informal, como se propuso en la ecuación 11, se estimó un modelo de cointegración (Johansen, 1988), en virtud de que todas las variables son I(1) (ver Cuadro 1A en el anexo). Las pruebas de la Traza y Max-Eigen de valor indican que al 95% de confianza existe una sola ecuación de cointegración (ver Cuadro 2A de anexo).
Se definió el sistema de información (Y) para el periodo 2001.Q2-2014.Q4, en el que existe cointegración con las variables de interés: PIB (y), PTF (p)3, y la tasa de ocupación en el sector informal (i)4.
Y = {i t , y t , p t, } (12)
La especificación general de un VECM es:
Donde
Corrección de error
La ecuación 14 reporta los resultados de la estimación y pasa todas las pruebas de correcta especificación5. El mecanismo de corrección de error es significativo y tiene el signo correcto, lo que demuestra que hay un ajuste dinámico trimestre a trimestre sobre la PTF. Se usó una dummy de correcta especificación, que toma el valor de 1 en 2009.1.
Los signos son los esperados, encontramos evidencia de la relación negativa entre informalidad (i) y PTF. El signo del parámetro ajusta a lo propuesto en la ecuación (11), en donde se propuso que el valor de la elasticidad productividad informalidad es en términos absolutos igual a la elasticidad producto del trabajo formal. Se obtuvo el signo negativo de PIB a PTF, que prueba la evidencia analizada en los hechos estilizados en que el lento crecimiento del PIB se ha asociado a una reducción sistemática de PTF. Para ser más enfáticos, apreciamos que buena parte del crecimiento se asocia a un crecimiento extensivo en el uso del factor trabajo del sector informal, y no a un crecimiento intensivo que genere productividad.
La motivación de normalizar el vector de cointegración sobre PTF, además de la hipótesis central del artículo, radica en la presencia de exogeneidad débil6 de las demás variables (Johansen, 1992; Juselius, 2006; Smith y Harrison, 1995 y Lanteri, 2011), y de que el sistema de información solo cuenta con un vector de cointegración.
La simulación histórica (Gráfica 5) se utilizó como un elemento adicional para demostrar la correcta especificación en la medida que muestra la gran capacidad de replicación del modelo, a todos los datos históricos, sin excepción.

Fuente: Elaboración propia con base en la simulación del modelo
Gráfica 5 Simulación histórica con algoritmo de Broyden
En el apartado teórico que se expresa en el Diagrama 1 y la ecuación 11, se establecieron relaciones causales entre las variables que conforman el sistema de información y que la ecuación de cointegración prueba con claridad.
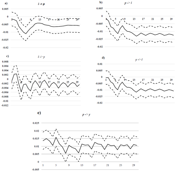
Los impulsos-respuesta (ver Gráfica 6) corroboran los resultados anteriores y prueban el signo de las relaciones. Con el fin de ser muy específicos en esta parte del análisis, puntualizaremos cada respuesta relevante derivada de los impulsos:
Se observan efectos negativos, permanentes y significativos de las variables p y y sobre i, Gráficas 6b y 6d.
En las Gráficas 6a y 6c se prueba que la informalidad deprime las variables p y y, particularmente la primera de manera mucho más clara y permanente7.
La Gráfica 6e prueba el efecto positivo de p sobre y.

Fuente: Elaboración propia con base en los resultados del modelo. Nota: Las bandas de confianza se calcularon con el método de Bootstrap (método percentil) con mil iteraciones que permite obtener la desviación estándar de la muestra al 95% de confianza. Se utiliza el método de impulsos generalizados para evitar la sensibilidad al ordenamiento del sistema (Pesaran, Shin y Smith, 2001).
Gráfica 6 Impulsos - respuesta generalizados
Adicionalmente, una prueba inferencial muy relevante para probar la interacción de las variables, se realiza mediante la descomposición de la varianza. Esta prueba es un estudio complementario para el análisis impulso-respuesta, y que informa -en distintos horizontes del tiempo- sobre el porcentaje de volatilidad que registra una variable debido a los choques de las demás (ver Cuadro 1).
Cuadro 1 Descomposición de la Varianza
| p | y | i | ||||||||||
|---|---|---|---|---|---|---|---|---|---|---|---|---|
| Periodo | S.E. | p | i | y | S.E. | p | i | y | S.E. | p | i | y |
| 1 | 0.0085 | 100 | 0 | 0 | 0.0142 | 59.942 | 0.205 | 39.852 | 0.0142 | 0.0889 | 99.911 | 0 |
| 10 | 0.0298 | 66.47 | 21.95 | 11.57 | 0.0363 | 60.998 | 3.661 | 35.339 | 0.0397 | 12.297 | 86.821 | 0.8807 |
| 20 | 0.0317 | 59.07 | 27.88 | 13.03 | 0.0462 | 60.635 | 3.272 | 36.091 | 0.0589 | 20.256 | 78.7 | 1.0427 |
| 30 | 0.0337 | 52.85 | 32.3 | 14.84 | 0.0547 | 60.321 | 3.149 | 36.528 | 0.0743 | 22.967 | 75.853 | 1.1792 |
Fuente: Elaboración propia con base en los resultados del modelo.
Encontramos que la PTF reacciona, de manera importante, tanto en el corto como en el largo plazo, a la informalidad; de hecho, se aprecia que en el periodo 30, la relación es alrededor del doble que la que tiene con el producto. Respecto del producto, el epígrafe de Krugman se valida al mostrar que más de la mitad de la variación dinámica del producto, se debe a la productividad. Por último, apreciamos el peligroso fenómeno del sector informal que se explica a sí mismo, lo que justifica lo difícil que es salir del círculo vicioso de bajo crecimiento, que promueve la misma alta informalidad.
Conclusiones y comentarios finales
El bajo crecimiento de la economía mexicana desde 1982 se ha asociado a una caída estrepitosa de la productividad total factorial, lo que sumado a cambios estructurales, la recesión de 2001-2003 y la crisis de 2009, han afectado de manera importante los mercados laborales, aumentando el desempleo, la precarización laboral y el empleo informal.
No es arriesgado afirmar que esta red de causalidades ha configurado un círculo vicioso de bajo crecimiento e improductividad que asola el tejido social y económico de México.
Por otro lado, el crecimiento del empleo informal no solo es un problema del bajo crecimiento económico de México; esto es, no se trata de un problema que se enfrenta únicamente desde el punto de vista macroeconómico, sino que también debe observarse en el nivel microeconómico, en la medida que los agentes toman la decisión de insertarse en este sector, como una alternativa o elección racional ante el desempleo.
La informalidad es un fenómeno muy complejo, y son diversas las causas que han alentado el crecimiento de esta variable representativa del mercado laboral de países en desarrollo y, particularmente, de México.
Para probar la hipótesis de que la informalidad deprime la PTF se estimó un VECM(4) para el periodo 2000.Q2-2014.Q4.
La emigración, por su parte, ha disminuido en estos últimos años, lo que señala que ahora una importante válvula de escape ante el desempleo ya no es emigrar a Estados Unidos, sino buscar en México una alternativa ante el desempleo, como lo es el empleo informal.
Lo anterior nos lleva a concluir que ahora la informalidad es una opción ante la situación de desempleo, aunque también se puede concluir que el estatus de empleado informal ahora ya no responde, como en el pasado, al desempleo ni a la actividad económica, sino básicamente a la baja productividad factorial; y, en los últimos dos años, a reformas estructurales muy difíciles de evaluar en sus efectos de largo plazo.
El desempleo y la informalidad son consecuencia del estancamiento que ha tenido el crecimiento y la caída de la productividad total de los factores, desde comienzos de la década de los ochenta.
La productividad total de los factores, por su parte, es una de las variables que más ha resentido la baja actividad económica, los cambios estructurales y las crisis económicas; lo que también es, a su vez, una de las causantes del lento crecimiento de la economía mexicana.
Es por todos los hechos anteriores, que se habla de un círculo vicioso de bajo crecimiento e improductividad, lo que da pauta para poder hablar de una bicausalidad entre productividad total factorial y crecimiento económico e informalidad, que a diferencia de otros autores, como Levy (2008), solo se basan en la causalidad: informalidad - crecimiento económico, y viceversa.
La informalidad es un fenómeno bastante complejo y no existe un consenso sobre cómo erradicarlo; sin embargo, parecería que se ha reducido recientemente debido a las reformas fiscales definidas desde 2013, aunque es necesario considerar que esto tendrá un límite en la medida que el crecimiento económico siga siendo bajo y la productividad factorial continúe decreciendo.
Se puede concluir que, en materia de política pública, aún se está haciendo un esfuerzo por reducir los niveles del empleo informal, pero los resultados no son muy claros. El gobierno tendría que ver este complejo problema desde todas las perspectivas y no solo tomando en cuenta que la informalidad es la causante del bajo crecimiento económico.
Finalmente, este trabajo brinda herramientas para construir un marco explicativo de la evolución del crecimiento económico, de la productividad y -principalmente- de la informalidad, que en los últimos 15 años han tenido cambios importantes en su comportamiento y en las relaciones entre estas variables.










nueva página del texto (beta)






