1. INTRODUCCIÓN
Para abordar la problemática de la enseñanza y el aprendizaje del cálculo, Artigue (1995) propone desarrollar investigaciones que se ubiquen en la transición álgebra-cálculo, ya que considera que no existe un paso natural entre estos dominios. Por el contrario, plantea que existe una ruptura entre ambos que impacta en la comprensión de los temas del cálculo.
Consideramos que las desigualdades matemáticas constituyen uno de los temas que forman parte de esta transición, dado que intervienen en algunas definiciones, como por ejemplo la de límite de una función, en los procedimientos de acotación, en la comparación de expresiones algebraicas y en otras nociones relacionadas al cálculo y al álgebra.
Algunas investigaciones en torno a las desigualdades estudian las dificultades de los estudiantes al abordarlas y formulan propuestas para mejorar su tratamiento en el aula. Tal es el caso de Diez (1996), Malara, Brandoli y Fiori (1999), Tsamir y Almog (2001), Garrote, Hidalgo y Blanco (2004), Garuti (2003), Kieran (2004), Sackur (2004) y Alvarenga (2006). Otras se dedican a indagar concepciones de estudiantes y docentes sobre el tema, como por ejemplo, Borello, Farfán y Lezama (2008), Borello (2010) y Halmaghi (2011). Finalmente, algunos trabajos estudian las dificultades asociadas a las desigualdades de los estudiantes en el aprendizaje de las nociones del cálculo como Artigue (1995), Tall (1995), Azcárate y Camacho (2003) y Calvo (2001).
La investigación realizada (Bernardis, 2015) tuvo como objetivo estudiar el tratamiento de las desigualdades en relación con las cuestiones que necesita construir el estudiante en la matemática elemental,4 para comprender mejor la matemática avanzada. Dicho estudio constó de dos estadios. En el primero realizamos un estudio fenomenológico que consiste en indagar en textos de matemática avanzada con la finalidad de caracterizar fenómenos matemáticos organizados por el concepto de desigualdad. Además, buscamos evidencias de la presencia de dichos fenómenos en la historia de la matemática y en la opinión de matemáticos de nuestra institución. En el segundo estadio, con este insumo, analizamos el tratamiento del tema en la escuela secundaria, a partir del estudio de opiniones de docentes, libros escolares y producciones de estudiantes ingresantes al profesorado en Matemática de nuestra institución.
Nuestro interés en este artículo es hallar elementos que den cuenta de la manifestación en la historia de los fenómenos matemáticos identificados en el primer estadio de la investigación. Los documentos utilizados son, por un lado, fuentes primarias (Euclides, 1996) y por el otro, fuentes secundarias, como libros de historia de la matemática (Boyer, 1986; Rey Pastor y Babini, 1997; Bourbaki, 1976) e investigaciones sobre la historia de las desigualdades (Bagni, 2005; Fink, 2000; Halmaghi, 2011, 2012; Pellicer, 2007; Sfard, 1995; Sinaceur, 1992).
A continuación, destacamos el interés de algunos investigadores en Educación Matemática en indagar en la historia de la matemática para comprender la evolución de un concepto y sobre todo para constituirse en una herramienta para su enseñanza.
Boero (1997, 1998, 1999 citado por Borello, 2010), reconoce que la historia de la matemática y la historia de la enseñanza de la matemática tendrían elementos para entender la constitución histórica de algún saber concerniente a las inecuaciones.
Bagni (2005) menciona “distintas perspectivas teóricas” en torno a la relación entre historia y didáctica. En el marco de una investigación sobre la historia del álgebra, se dedica particularmente a la historia de las ecuaciones e inecuaciones. El autor considera que una primera perspectiva se relaciona con la presentación de anécdotas y aclara que la selección de los datos históricos que se presentará en la práctica del aula es relevante ya que refleja algunas opciones epistemológicas adoptadas por el docente. Otra asume un paralelismo entre el desarrollo histórico y el desarrollo cognitivo. Desde este punto de vista se sostiene que las reacciones de los alumnos son a veces bastante similares a las interpretaciones que tuvieron algunos matemáticos en la historia en la conformación de ciertas teorías matemáticas. Dicha similitud sería una herramienta importante para los profesores de matemática. Finalmente, Bagni (2005) menciona la perspectiva que alude a los “obstáculos epistemológicos”, según la cual, la mayoría de los objetivos importantes de los estudios históricos se llevan a cabo para encontrar problemas y sistemas de restricciones (situaciones fundamentales) que deben ser analizados con el fin de entender el conocimiento existente, cuyo descubrimiento está conectado a la solución de tales problemas.
Sessa (2005) reflexiona sobre la historia del álgebra y alerta sobre el uso “ingenuo” de la historia de la matemática en la enseñanza y el aprendizaje. Considera que el conocimiento de los “caminos” de la historia representa una vía de acceso a mayores niveles de complejidad acerca de la naturaleza de los objetos matemáticos. Menciona que las condiciones de la historia que hicieron posible el planteo de problemas y de preguntas, no son adecuadas en general para reproducir en la escuela.
Azcárate y Deulofeu (1990) destacan en este sentido que no se trata de enseñar la historia de un concepto en un período o períodos determinados, sino que constituye un instrumento básico para el enseñante y supone un conocimiento imprescindible para la elaboración de una didáctica determinada. Este conocimiento, le permitirá adquirir una visión más amplia de la que se obtiene a partir de las definiciones de una teoría acabada, a la que se llega después de un largo camino. Además, aclaran, que si las nociones matemáticas se reproducen en la enseñanza como formalmente son presentadas en una teoría acabada pueden conducir a graves errores epistemológicos y didácticos.
A partir de las consideraciones anteriores sostenemos que el análisis histórico de un concepto da indicios para interpretar las producciones, concepciones y dificultades de los estudiantes y para detectar los fenómenos que el concepto organiza (en el sentido que le damos siguiendo a Freudenthal, 2002, en el apartado siguiente). Esto permitirá ofrecer experiencias que favorezcan su comprensión.
2. MARCO TEÓRICO
El marco teórico en el que basamos nuestro estudio proviene principalmente de la perspectiva de Freudenthal (2002). Este autor afirma que los conceptos, ideas y estructuras matemáticas sirven para organizar fenómenos del mundo físico, social y mental. La fenomenología de un concepto, estructura o idea matemática significa describirlo en su relación con los fenómenos para los que fue creado y a los que ha sido extendido en el proceso de aprendizaje de la humanidad. Cuando esta descripción se refiere al proceso de aprendizaje de las generaciones jóvenes, se habla de fenomenología didáctica, que proporciona una guía al profesor acerca de los lugares por los que el alumno puede transitar en el proceso de aprendizaje. En particular, Freudenthal (2002) considera fenomenología histórica al estudio de cómo se adquiere la relación entre los conceptos, ideas y estructuras matemáticas y los fenómenos en la historia. El conocimiento de los momentos claves en la historia de la desigualdad matemática pone de manifiesto aquellos obstáculos que hubo que superar para perfeccionar este concepto. Además, pone en evidencia su importancia en distintos dominios de la matemática. Consideramos que estas cuestiones resultan de interés para el diseño de experiencias de aprendizaje apropiadas para su comprensión.
Si bien en este artículo no pretendemos realizar una fenomenología histórica, nos apoyamos en esta idea para explorar en la historia de la matemática con el fin de detectar evidencias de los fenómenos en los que surge el uso de las desigualdades matemáticas.
Freudenthal (2002) propone comenzar por los fenómenos que solicitan ser organizados y desde aquí enseñar a manipular los correspondientes medios de organización. En el proceso de construcción del conocimiento matemático, como se muestra en el Esquema 1, distingue entre phainomenon y nooumena. Phainomenon: es el fenómeno que queremos comprender y estructurar. Es aquello que se comprende a través de la experiencia. Nooumena: corresponde a las entidades de pensamiento, las ideas con las que organizamos tal fenómeno. Es decir, lo que es capaz de concebirse con la mente.
Los términos que utilizamos en nuestra investigación son concepto de desigualdad para nooumena, es decir lo que está en la mente del estudiante referido a la desigualdad y para phainomenon optamos por describir los fenómenos del tipo matemático, aquello de lo que tenemos experiencia matemática.
En su postura didáctica, Freudenthal asume que el objetivo de la acción educativa en el sistema escolar ha de ser básicamente la constitución de buenos objetos mentales y, sólo en segundo lugar, la adquisición de conceptos tanto temporalmente como en orden de complejidad.
En Bernardis (2015) encontramos tres fenómenos matemáticos que surgen del análisis de las definiciones de desigualdad matemática presentadas en dos textos de Matemática avanzada. Elegimos estos textos debido a que son los que utilizan los estudiantes del primer año de la formación inicial de profesorado en Matemática en Argentina, sujetos de estudio en el segundo estadio de la investigación. Para el desarrollo de la fenomenología didáctica de la desigualdad seguimos el criterio adoptado por Claros (2010) y Sánchez (2012), quienes realizan una búsqueda de fenómenos (del límite finito de una sucesión y de límite finito de una función en un punto, respectivamente) que surgen directamente de las definiciones formales de los textos de matemática avanzada.
A continuación describimos brevemente cada uno de los fenómenos matemáticos que organiza la desigualdad que encontramos en el primer estadio de la investigación mencionada.
En el libro de Lehmann (1992) encontramos una primera parte donde destaca la existencia de una relación de orden definida en los números reales. En la sección 6.2 denominada “Definiciones y Teoremas Fundamentales” el autor retoma la definición de ecuación para introducir por oposición las desigualdades.
A continuación, el autor define mayor y menor. Además, destaca que dos desigualdades tienen el mismo sentido si sus símbolos apuntan en la misma dirección; en caso contrario tienen sentidos opuestos.
Claramente el autor relaciona mayor y menor con la ordenación, extiende esta idea por lo que consideramos que a partir de la definición de desigualdad entre expresiones que propone surge el fenómeno de ordenación.
Fenómeno de ordenación: la definición de desigualdad como una relación que cumple con ciertas propiedades (tricotomía y transitividad) nos conduce a plantear la existencia del fenómeno de ordenación. Como resultado de la relación de orden en el conjunto de los números reales, surgen en paralelo las desigualdades de expresiones. Es fácil entender que este fenómeno está presente en la necesidad de comparar y ordenar.
La relación de orden, o simplemente orden, es una relación binaria que permite formalizar la idea intuitiva de ordenación de los elementos de un conjunto. El orden supone una estructura agregada al conjunto, y se adquiere mediante la definición en él de una relación apropiada. Para establecer un orden debemos señalar qué elementos preceden a cuáles, lo cual se indica mediante la relación R: “si a precede a b, entonces (a, b) ∈ R”. Claramente el par inverso no puede ser parte de la relación, por lo cual pediremos que ésta sea asimétrica. Además, si un elemento precede a otro y éste a un tercero, entonces el primero debe preceder al tercero, por lo cual exigiremos transitividad.
Lehmann (1992) define dos tipos de desigualdades, diferenciándolas de acuerdo a su dominio de validez, las “desigualdades absolutas” y las “desigualdades condicionales o inecuaciones”. Este hecho es relevante a nuestro entender para identificar cada uno de estos conceptos en relación a los fenómenos que organizan.
Una desigualdad absoluta o incondicional es aquella que tiene el mismo sentido para todos los valores de las variables para los que están definidos sus miembros. Son ejemplos de desigualdades absolutas 5 > - 7 y x 2 + 1 > 0. (p. 136)
Observamos que la expresión “tiene el mismo sentido para todos los valores de las variables” supone la existencia de una función proposicional cuantificada universalmente que será necesario validar. Esta validación se concreta para todos los elementos del dominio de valores admisibles de la variable. Interpretamos que refiere al fenómeno de generalización.
Fenómeno de generalización: la definición de desigualdad absoluta o incondicional se fundamenta en la lógica proposicional y en particular en el principio de generalización universal, que establece que: “del ejemplo de sustitución de una función proposicional respecto del nombre de un individuo cualquiera arbitrariamente elegido, se puede inferir válidamente la cuantificación universal de la función proposicional” (Copi, 1999, p. 375). Este fenómeno se presenta en la necesidad de demostrar la validez de una desigualdad absoluta, es decir una desigualdad que es cierta para todos los valores posibles de la variable.
Por otro lado, Lehmann (1992) define desigualdades del tipo condicionales.
Una desigualdad condicional o inecuación es aquella que tiene el mismo sentido solo para ciertos valores de las variables, tomados entre los valores para los que sus miembros están definidos. Son ejemplos de desigualdades condicionales o inecuaciones. x - 2 < 3, válida solo si x < 5; x 2 > 4, válida solo si x > 2 ó si x < - 2. (p. 136)
En la definición de desigualdad condicional expresa que es aquella que tiene el “mismo sentido para ciertos valores de las variables”. Esta expresión es relevante ya que pone de manifiesto que existirán o no valores, que se toman de un dominio admisible, que harán cierta la desigualdad. Esta idea nos remite a la acción de particularizar las variables con valores del dominio. Surge de esta manera el fenómeno de especificación.
Fenómeno de especificación: la definición de desigualdad condicional o inecuación refiere al dominio de validez de la desigualdad entre dos expresiones. Se basa en el llamado axioma (esquema) de especificación destinado a la formación de nuevos conjuntos a partir de un referencial. Tomamos de Halmos (1967) su enunciado:
Axioma de especificación: a todo conjunto A y a toda condición S(x) corresponde un conjunto B cuyos elementos son precisamente aquellos elementos x de A para los cuales se cumple S(x). (...) Para indicar la forma en que B es obtenida de A y de S(x), se escribe: B = {x ∈ A/S(x)} (p. 15).
Este fenómeno se presenta en la búsqueda del(los) valor(es) que verifican la condición de desigualdad.
Para contribuir a formar “buenos objetos mentales” de desigualdad matemática, será necesario en primer lugar: identificar aquellos fenómenos a los cuales sirve de medio de organización, para luego elaborar situaciones de enseñanza en distintos contextos.
En el presente trabajo, coincidimos con Douady (1986) respecto de que la presentación de un contenido matemático bajo distintos marcos promoverá en el estudiante la constitución de un objeto mental del mismo, que le permita comprender distintos sentidos y aplicaciones. La autora considera que “un marco está formado por los objetos de un dominio de las matemáticas, las relaciones entre objetos, sus formulaciones eventualmente diversas y las imágenes mentales asociadas a estos objetos y sus relaciones” (1986, p. 11).
La autora destaca que las traducciones de un marco a otro conducen a resultados no conocidos, a técnicas nuevas, a la creación de objetos matemáticos nuevos, en suma, al enriquecimiento del marco origen y de los marcos auxiliares de trabajo. Aclara que dos marcos diferentes pueden tener los mismos objetos matemáticos pero diferentes imágenes mentales asociadas a ellos, como también las cuestiones conceptuales que generan.
Douady sostiene también que una pregunta interesante es ¿cuándo se realiza un cambio de marco? Considera que el cambio de marco se realiza ante la necesidad de presentar diferentes formulaciones de un mismo problema, por las dificultades que presenta o por la posibilidad de acceder a otras herramientas. Además, menciona que estas herramientas no sólo pueden favorecer la solución del mismo sino también la adquisición de conceptos.
Los cambios de marcos, según explica Douady, pueden ser espontáneos, es decir, por la iniciativa de un alumno o provocados por otro alumno o docente para hacer avanzar en los conceptos, desbloquear una situación o hacer evolucionar o complejizar una concepción. En este sentido, menciona que podemos ayudar al alumno a comprender un problema dentro de un marco u otro, mediante distintos procedimientos acordes a cada uno de ellos. Estos procedimientos, como afirma la autora, permitirán entender la matemática como un todo, favoreciendo la integración de los diferentes dominios de esta ciencia.
En el caso de las desigualdades, existen diferencias en su tratamiento según el marco en el que se trabaja. Cada marco aporta al objeto desigualdad de un modo determinado e inherente al mismo. Es por ello, que consideramos importante que los estudiantes aborden situaciones que les permitan poner en juego, según sea el caso, cualquiera de ellos. Por ejemplo, en los problemas siguientes:
Problema 1: Si 0 < x <1 ¿cómo es x 2 ?
Problema 2: Si la longitud del lado de un cuadrado es menor que 1, ¿cómo es su área?
Podemos observar que ambos problemas involucran las mismas desigualdades, sin embargo toman de los marcos sus características propias. El primero, claramente se trata de un marco algebraico y el segundo de un marco geométrico. Estos dos marcos diferentes tienen los mismos objetos matemáticos pero distintas imágenes mentales asociadas y generan cuestiones conceptuales diversas.
3. ASPECTOS METODOLÓGICOS
La metodología de la investigación se encuadra en la modalidad cualitativa (McMillan y Schumacher, 2005). Llevamos a cabo una investigación consistente en el análisis de libros de texto de historia de la matemática e investigaciones de educación matemática que incluyen una mirada histórica del tema.
Indagamos los usos a lo largo de la historia de la matemática que presentan los textos con el objetivo de detectar algunas manifestaciones de los fenómenos matemáticos que organiza el concepto de desigualdad.
4. INDAGACIÓN EN LA HISTORIA
Según Halmaghi (2012) en los primeros registros matemáticos que brinda la historia, las desigualdades tenían sólo un carácter instrumental, y cuando las circunstancias se convirtieron en favorables, evolucionaron en una disciplina, tanto es así que en la actualidad existen revistas específicas de matemática dedicadas a las desigualdades y sus aplicaciones (Journal of Inequalities and Applications y Mathematical Inequalities and Applications, cuyos primeros volúmenes datan de 1997 y 1998).
Esta autora sostiene que las desigualdades se utilizaron en un comienzo como herramientas para resolver problemas geométricos vinculados con longitudes, áreas y volúmenes. También fueron útiles para pensar problemas algebraicos y finalmente se instalaron en la teoría de funciones, aplicándose a los más variados modelos. Esto posibilitó la interacción con diversas áreas de la matemática: el cálculo, la estadística, el análisis numérico, la teoría de juegos, etcétera.
A partir de las consideraciones de esta autora organizamos la información relacionada a las cuestiones históricas de las desigualdades en tres secciones, sin que esta disposición signifique una evolución lineal y cronológica de los acontecimientos o descubrimientos. En cada sección describimos resultados e ideas matemáticas que involucran desigualdades.
4.1 Origen en la Geometría
Rey Pastor y Babini (1997) describen en el capítulo correspondiente a la matemática helénica (siglos VI a IV a.C. de la cultura griega) la obra matemática de Eudoxo, quien utiliza para llegar a la definición de la razón entre dos cantidades (sean éstas conmensurables o no) un “principio lógico”. Este principio se refiere a la condición para que dos cantidades “tengan razón mutua”. El mismo expresa que dos cantidades tienen razón mutua cuando un múltiplo de la menor supera a la mayor; en términos actuales: dadas dos cantidades A > B, existe siempre un entero positivo n tal que n 1 A < B. Afirman los autores que Euclides en sus Elementos otorgó a este enunciado el carácter de “principio lógico”, pero Arquímedes lo considera en sus escritos un postulado. Este postulado se conoce actualmente como el “postulado de la continuidad”, de Arquímedes y a veces, de Eudoxo o Arquímedes.
Consideran los autores que Eudoxo logró conceder carácter geométrico a las cantidades inconmensurables, con lo que acentuó el proceso iniciado por los pitagóricos de sacrificar la aritmética y el álgebra, privilegiando lo geométrico. Estas nociones seguirán presentándose en la matemática griega, por mucho tiempo, bajo ropaje geométrico.
En el libro citado, los autores describen en el capítulo correspondiente a la matemática helenística (etapa de la cultura griega posterior al reinado de Alejandro Magno y que llega hasta el emperador Augusto) los trabajos de Euclides, Arquímedes y Apolonio y conciben esta época como la “edad de oro de la matemática griega”. Afirman que Euclides establece con sus postulados las condiciones de desigualdad de ciertas líneas y de ciertas porciones de superficies, así como fija un principio de mínimo para casos particulares.
Fink (2000), en relación con la historia de las desigualdades, menciona que los antiguos sabían de la desigualdad del triángulo como un hecho geométrico. Aclara que se trata de una desigualdad general puesto que se aplica a todos los triángulos. Además destaca que una desigualdad general en el contexto geométrico es la desigualdad de la media aritmética y la geométrica para dos números, incluida en el texto de Euclides.
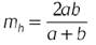
Según Boyer (1986), las tres medias: aritmética, geométrica y subcontraria (más tarde llamada harmónica), ya eran conocidas por los babilonios. Cuenta que Pitágoras de Samos, matemático griego que vivió alrededor del año 550, antes del nacimiento de Euclides, sabía de la existencia de estas tres medias en la Mesopotamia. Los pitagóricos poseían una manera alternativa de definir las tres medias utilizando la noción de proporcionalidad. Es decir, dados dos números positivos a y b, las medias aritmética, geométrica y harmónica entre a y b son los números m a , m g y m h que satisfacen respectivamente las siguientes relaciones:
De donde:
Despejando m
a
de la ecuación (1), obtenemos
media aritmética de a y b.
Despejando mg de la ecuación (2), obtenemos
, media geométrica de a y b.
Despejando mh de la ecuación (3), obtenemos
, media harmónica de a y b.
Una construcción geométrica como se muestra en la Figura 3 demuestra esta desigualdad.
Boyer (1986) menciona que Papus de Alejandría, geómetra que vivió alrededor del año 300, antes del nacimiento de Euclides, describe en el libro III de su colección una interesante construcción de las medias: aritmética, geométrica y harmónica desde un punto de vista geométrico en un semicírculo (ver Figura 1).
Observamos que
, desde el punto de vista geométrico claramente tenemos las desigualdades m
a
≥ m
g
≥ m
h
y las igualdades se obtienen cuando los números a y b coinciden.
Fink (2000) menciona que una tercera desigualdad es la que ahora llamamos la “desigualdad isoperimétrica” en el plano, y que mencionamos a continuación. Ésta era conocida por Arquímedes y por matemáticos griegos anteriores:
Desigualdad isoperimétrica: si α es una curva cerrada de longitud L y A(α) es el área de la región acotada por la curva, entonces L 2 ≤ 4π A(α), siendo la igualdad cierta únicamente si α describe una circunferencia.
Además el autor menciona que en la antigua Grecia, durante el segundo milenio a.C., consideraban como ecuaciones a las relaciones entre números, buscando aquellos que satisficieran las mismas (interpretadas como longitudes, áreas y volúmenes) con tanta precisión como fuera posible o deseable.
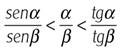
Boyer (1986) menciona que Aristarco de Samos (310-230 a.C.) propuso un sistema astronómico heliocéntrico (más de un milenio antes de Copérnico) pero todo lo que escribió al respecto se ha perdido. En cambio nos ha llegado su tratado, escrito posiblemente antes de elaborar su teoría heliocéntrica, titulado Sobre los tamaños y las distancias del Sol y la Luna, en el que supone un universo geocéntrico. En esta obra hace la suposición de que cuando la Luna está exactamente medio llena, el ángulo entre la visual dirigida al centro del Sol y la visual dirigida al centro de la Luna es menor que un ángulo recto en un treintavo de cuadrante. En el lenguaje actual esto significa que la razón entre la distancia de la Luna a la Tierra y la distancia del Sol a la Tierra es igual a sen3º. Como aún no se conocían las tablas trigonométricas recurre a un teorema geométrico conocido en su época y que hoy lo expresaríamos por medio de la cadena de desigualdades trigonométricas:
De estas condiciones, indica el autor, Aristarco afirmó que el Sol está más alejado de la Tierra que la Luna. Si bien los valores están lejos de aproximarse a los verdaderos, mejoró los que Arquimedes atribuye a Eudoxo y Fidias.
En Euclides (1996), Libro X de los Elementos (300 A.C.) se incluye la siguiente proposición:
Proposición 1: Dadas dos magnitudes desiguales, si se quita de la mayor una (magnitud) mayor que su mitad y, de la que queda, una magnitud mayor que su mitad y así sucesivamente, quedará una magnitud que será menor que la magnitud menor dada. (p. 12).
Más adelante se menciona el siguiente lema:
Lema: Dadas dos rectas desiguales hallar cuanto el cuadrado de la mayor es mayor que el cuadrado de la menor. (p. 30).
Se acompaña con la Figura 2.
Y la explicación:
Descríbase sobre AB el semicírculo AΔB y adáptese a él la (recta) AΔ igual a Γ y trácese Δ. Entonces está claro que el ángulo AΔB es recto y que el cuadrado de AB es mayor que el cuadrado de AΔ, es decir de Γ, en el cuadrado de ΔB. (p. 30)
Según Boyer (1986), Herón estaba interesado en las medidas numéricas bajo todas sus formas que derivan de las mediciones geométricas a distintas aplicaciones, como óptica, mecánica y geodesia. La ley de reflexión de la luz ya la conocían Euclides y Aristóteles pero Herón parece haber sido el primero que la demostró a través de un razonamiento geométrico. Si un haz de luz de rayos luminosos parte de un foco S, se refleja en un espejo MM’ y se dirige después hacia el ojo E de un observador (ver Figura 5) entonces la luz deberá recorrer el camino más corto posible SPE, que es exactamente aquel en que los ángulos SPM y EPM’ sean iguales. Ningún otro camino posible SP’E es más corto. En efecto, trazando la perpendicular SQS’ a MM’ tomando S’Q = SQ y comparando el camino SPE con el SP’E, dado que S’PE es una línea recta por ser iguales los ángulos M’PE y MPS, se llega a la conclusión de que S’PE es el camino más corto. Es decir, la justificación se basa en la comparación de las longitudes de los segmentos utilizando la desigualdad del triángulo.
Sessa (2005) considera que el tratamiento geométrico babilónico de las ecuaciones supone la existencia de una solución, y piensa la figura como una figura de análisis, en la que se apoya la resolución numérica para guiarse en el cálculo, pero no se realizan sobre ella transformaciones a partir de los datos. En cambio Euclides, obtiene los resultados mediante construcciones a partir de los datos, avanza hacia lo que quiere hallar, es decir avanza por “síntesis” (desde los datos a las incógnitas). Es decir, que el tratamiento que hace Euclides está lejos del trabajo que realizamos con las ecuaciones actualmente. Resalta la autora que las ecuaciones (y extendemos la idea a las inecuaciones) se caracterizan por juntar en una expresión datos e incógnitas, y a partir de establecer una relación entre ellos se realizan transformaciones, sin cambiar su conjunto solución, hasta obtener el o los valores de las incógnitas. A este tipo de tratamiento se le da el nombre de “análisis”.
4.2 Emigración al Álgebra
Según Rey Pastor y Babini (1997) las ideas de Diofanto, matemático destacado del período grecorromano de los primeros siglos cristianos, estuvieron vinculadas preferentemente con la matemática babilónica. Diofanto, para resolver ecuaciones de segundo grado, toma incógnitas auxiliares que lo llevan a reducirlas a ecuaciones lineales (sistemas) y a desigualdades, considerando las resolventes de las ecuaciones cuadráticas correspondientes (transformando las desigualdades en igualdades). Los autores describen el “problema de los vinos”, el cual trata de determinar las cantidades de dos clases de vino de precios proporcionales a 8 y 5, de manera que el costo sea un cuadrado, que sumado al número 60, reproduzca el cuadrado de la suma de las dos cantidades. Para resolver el sistema (con los símbolos actuales): 8x+5y=z 2 ; z 2 +60=(x+y) 2 introduce la incógnita auxiliar u=x+y que lo lleva al sistema u 2 -60=3x+5u=8u-3y, y a las desigualdades 8u>u 2 -60>5u. Teniendo en cuenta las resolventes de las ecuaciones cuadráticas (transformando las desigualdades en igualdades), encuentra que u está entre 11 y 12. Como u2-60 debe ser un cuadrado, introduce otra variable v tal que u 2 -60=(u-v) 2 llegando a un nuevo par de inecuaciones: 22v<60+v 2 <24v, llega así a 19<v<21, toma v=20 y de allí obtiene los demás valores.
Notemos que en las estrategias utilizadas para resolver estos tipos de problemas se usan (como herramientas) las igualdades y las desigualdades. No se trata de resolver un problema de desigualdades, sino que éstas surgen como una estrategia de resolución.
Halmaghi (2012) afirma que en la historia del álgebra, Nesselmann (1842) identifica tres etapas de desarrollo: álgebra retórica, álgebra sincopada y álgebra simbólica. Además, continúa su descripción mencionando que el álgebra retórica es el álgebra de las palabras y el álgebra sincopada utiliza una mezcla de palabras y símbolos para expresar generalidades.
Boyer (1986) piensa que tal división del desarrollo del álgebra supone una simplificación quizás excesiva pero que puede servir para una primera aproximación de lo ocurrido, y dentro de este esquema ubica a la obra Arithmetica de Diofanto en la segunda categoría.
Sessa (2005) advierte respecto de esta clasificación tan rígida del álgebra que atiende sólo a sus formas de escrituras. Considera que las relaciones entre abstracción, escritura simbólica y generalización son complejas y no es posible pensar la historia como una evolución lineal en esos tres aspectos hasta alcanzar las formas actuales. Respecto de la producción de Viète, resalta la autora que a pesar del tratamiento algebraico de las expresiones, la interpretación geométrica seguía vigente. Es decir, la geometría seguía dando interpretación a las expresiones y validando procedimientos de cálculo.
Según Bagni (2005), François Viète introdujo la distinción entre una cantidad determinada, una constante y las variables en una ecuación. Comenta que Viète fue el primero en resolver con éxito las ecuaciones paramétricas. Después de ese descubrimiento, las ecuaciones se convirtieron en objetos de procesos de orden superior.
Según comenta Sfard (1995), desde Viète en adelante, el álgebra estructural hace su aparición. Las obras de Descartes y Fermat, sobre las aportaciones de Viète, ayudaron a la geometría a capturar generalidad y expresar ideas operativas. En los primeros años, el álgebra necesita de la geometría para la materialización y verificación, luego, la geometría utiliza el álgebra para nuevas materializaciones y desarrollo.
Halmaghi (2012) estima que antes de la invención de los símbolos, el álgebra fue la interpretación verbal de los procesos algorítmicos. Es importante reflexionar sobre si las desigualdades emergieron de la retórica o el álgebra sincopada, o si la naturaleza de éstas es en realidad diferente de la esencia del álgebra. Es posible que la invención de los símbolos de las desigualdades ayudara a la manipulación de las desigualdades conocidas.
4.2.1 Los símbolos
Sostiene Eves (1983), citado por Halmaghi (2011), que los símbolos < y > se introdujeron por primera vez por el matemático inglés Thomas Harriot (1560-1621) en su obra Artis Analyticae Praxis publicada en Londres en 1631. Halmaghi (2011) también cita a Johnson (1994) quién comenta que Harriot fue inspirado por un símbolo que había visto en el brazo de un nativo americano (ver Figura 4) para “inventar” los símbolos de las desigualdades.
En 1734, el francés Pierre Bouguer inventó los símbolos ≤ y ≥ . Mucho antes de la aparición del álgebra simbólica no había símbolos para representar las incógnitas y no había símbolos para representar la relación entre incógnitas antes de Diofanto. No hay nada malo en escribir enunciados matemáticos en un lenguaje sencillo, pero puede tomar varias páginas, mientras que con símbolos matemáticos el mismo trabajo se podría hacer, posiblemente, en una sola línea.
Sessa (2005) menciona el proyecto de Descartes como esencialmente nuevo, que consistía en resolver problemas geométricos a través de herramientas algebraicas.
Rey Pastor y Babini (1997) describen en la resolución gráfica de las ecuaciones cúbicas y cuárticas el método de Descartes de la “parábola fija”, que consiste en considerar la ecuación de cuarto grado reducida. Se construye gráficamente una parábola fija de lado recto unitario y una circunferencia de centro y radio dados, y de esta manera se pone en juego la geometría sintética y la analítica.
Según Boyer (1986), el álgebra simbólica formal, que había seguido desde el Renacimiento un proceso más o menos continuo de avance, encuentra su culminación en La géometrie de Descartes, ya que fue mucho más sistemático que sus predecesores en su álgebra simbólica y en la interpretación geométrica del álgebra.
4.3 Inserción en la teoría de funciones
Rey Pastor y Babini (1997) sostienen que en el método de máximos y mínimos de Fermat, se logra traducir algebraicamente la anulación de la variación de la función en las proximidades de los valores considerados. Aplican este método al problema de encontrar entre todos los rectángulos isoperimétricos el de área máxima. Dado un rectángulo de perímetro 2a y lado x, el otro lado es a-x, el área del rectángulo es x(a-x). Este producto será máximo si el rectángulo es un cuadrado de lado a/2.
Según Fink (2000), durante muchos años no aparecieron otras desigualdades generales y menciona el siguiente resultado que atribuye a Newton:
Sea p r el promedio de la función simétrica elemental de las cantidades positivas a 1 … a n de orden r, es decir, el promedio de las sumas de todos los productos de los a i tomados r a la vez. Entonces Newton demostró que p r-1 p r+1 < p r 2 para 1≤ r<n, a menos que todos los a i sean iguales.
Agrega también que Maclaurin observó que p 1 > p 2 1/2 >…> p n 1/n , Hardy, Littlewood y Polya (1934, citado en Fink, 2000), comentan que este último resultado es un corolario del teorema de Newton. Los extremos de esta sucesión son la media aritmética y la media geométrica, lo que permite establecer una desigualdad ya famosa.
Según Perez (2008), en la teoría de las “razones últimas” de Newton, expuesta en Philosophiae Naturalis Principia Mathematica (1687) aparece el primer indicio del concepto de límite funcional en estrecha relación con el cálculo de fluxiones (velocidades instantáneas). Estas ideas de Newton fueron desarrolladas por el matemático escocés Colin Maclaurin (1698- 1746) que, en su gran obra A Treatise of Fluxions (1742), establece el cálculo sobre la base de una teoría geométrico-cinemática de límites. Maclaurin rechazaba los infinitésimos, afirmaba que los antiguos nunca reemplazaron curvas por polígonos y que la base de la geometría de Arquímedes era el concepto de límite. Lo sorprendente es que Maclaurin usa el concepto de límite como algo evidente que no precisa ser explícitamente presentado ni analizado. Esto se debe a que el cálculo de Maclaurin se sustenta sobre las ideas de espacio, tiempo y movimiento, lo que le lleva a aceptar como evidentes la continuidad y la diferenciabilidad.
Fink (2000) considera que Maclaurin desempeña un papel prominente en el campo de las desigualdades, pero que no originó las desigualdades generales con nombres. Además comenta que este matemático realizó lo que equivale a las pruebas de épsilon-delta para varios límites, y hay serios indicios de que estos resultados tuvieron una influencia en los matemáticos continentales que estaban empezando a utilizar las pruebas basadas en la desigualdad para el análisis. Curiosamente, el siglo transcurrido más o menos entre Maclaurin y Cauchy no dio lugar a desigualdades. Cauchy es reconocido como el autor de la prueba formal de la desigualdad entre la media aritmética y geométrica.
Como afirma Sinaceur (1992) fue Weierstrass quien eliminó del lenguaje del análisis toda relación con el movimiento. Considera que frases como “una variable se acerca a un límite”, que recuerdan las ideas temporales de Newton, fueron transformadas en desigualdades, intentando aritmetizar todo lo posible. Además, agrega el autor, que se debe al mismo matemático la definición de continuidad que hoy se llama épsilon-delta. Destaca que en su obra de 1968 Éléments d’analyse, Jean Diudonné define explícitamente el cálculo infinitesimal como “un aprendizaje en el manejo de las desigualdades”, un aprendizaje que puede resumirse en tres palabras: “minorización, mayorización, aproximación”.
Según Rey Pastor y Babini (1997), Schwartz, discípulo de Weierstrass, fue quien continuó su obra y se ocupó del cálculo de variaciones, en especial de superficies de área mínima. Además de sus aportes en teoría de grupos y en teorías de funciones le debemos la desigualdad de Schwartz que establece, en 1885, que el producto a escalar de dos vectores no puede superar el producto de sus módulos. Aunque la desigualdad de Schwartz para puede ya ser atribuida a Lagrange para sumas finitas arbitrarias de números reales, había sido establecida por Cauchy en 1821 y para integrales por Buniacowsky en 1859. Bourbaki (1976) expresa que la teoría de conjuntos, en el sentido que le damos actualmente, se la debemos a Cantor. Weierstrass fue el único en seguir los trabajos de su alumno Cantor. Quién había demostrado en 1890 la desigualdad m<2 m , pero no pudo establecer una relación de buena ordenación entre cardinales cualesquiera. Este inconveniente fue resuelto por Bernstein (1897) demostrando que las relaciones a ≤ b y b ≤ a implican a = b, y sobre todo por el teorema de Zermelo que demuestra la existencia en todo conjunto de una buena ordenación (conjeturado por Cantor en 1883).
Fink (2000) reconoció que la historia de las desigualdades se había escrito cuando Hardy completó las 300 páginas de su libro Inequalities sobre desigualdades con sus pruebas. Por otra parte, menciona que hay dos revistas en la actualidad dedicadas a desigualdades (Journal of Inequalities and Applications y Mathematical Inequalities), así como muchas publicaciones matemáticas, cuyo único propósito es demostrar una desigualdad.
Pellicer (2007) indica que la teoría de optimización se desarrolló en la primera mitad del siglo XX, debido al avance del capitalismo hacia las grandes empresas en Estados Unidos y a la ejecución de grandes planes estatales en la Unión Soviética. Durante la Segunda Guerra Mundial se resolvieron diversos problemas con criterio de optimización. Esto exigió la construcción de ordenadores y el desarrollo de la técnica de programación lineal, donde las restricciones vienen dadas por desigualdades lineales y el criterio de optimización se expresa mediante una función lineal.
5. CONCLUSIONES
La geometría, la aritmética y la teoría de números son disciplinas que están bien establecidas desde la antigüedad. Con la etapa del álgebra simbólica, nuevas disciplinas matemáticas se desarrollaron, como la geometría analítica. Sfard (1995) sostiene que la geometría ayudó a la materialización de pesados cálculos de álgebra. El álgebra y la geometría ayudaron a evolucionar y a responder muchos de los problemas que habían quedado pendientes desde la antigüedad.
Inicialmente, las desigualdades no tienen un estatus especial en matemática, sino que se consideraron peculiaridades o herramientas matemáticas para el desarrollo de otras teorías. Dos milenios y acciones personales cambiaron el estado de las desigualdades, desde considerarse una herramienta para la matemática hasta afianzarse como una disciplina real de estudio.
A partir de lo analizado en la evolución histórica pensamos que las desigualdades no son intrínsecamente geométricas, aunque muchas de ellas puedan ser visualizadas a través de la representación de objetos geométricos, por la relación de comparaciones entre las relaciones métricas (longitudes, áreas, volúmenes); tampoco son puramente algebraicas, a pesar de que puedan ser traducidas al lenguaje algebraico, ni aun del análisis, aunque están presentes en las nociones de límite y convergencia. Es una noción que se presta a diversos “trajes”, a una variedad de expresiones. Para una mejor comprensión de estas relaciones por parte de los alumnos es indispensable presentarlas en distintos marcos (algebraico, geométrico y funcional) y mostrar que estas expresiones se corresponden en cada uno de ellos. De esta manera, reconocerán a la desigualdad como un concepto transversal que está presente en muchos otros y que conectan distintos dominios de la matemática.
Como consecuencia de este análisis surgen relaciones entre la evolución histórica de la desigualdad y los marcos (según Douady, 1986) adoptados para su tratamiento (ver Esquema 2).
Marco geométrico: se relaciona fundamentalmente con la primera etapa histórica cuando las desigualdades surgen como un instrumento para expresar problemas de comparación de magnitudes (longitudes, áreas, volúmenes), para resolver problemas geométricos. Se basa en lo visual, las construcciones y las propiedades de los objetos geométricos respaldan las comparaciones.
Marco algebraico: se pone en evidencia durante la etapa en que las desigualdades emigran de la geometría para impregnarse del simbolismo del álgebra. Las resoluciones basadas en procedimientos algebraicos son priorizadas. Se subordina al trabajo con la ecuación, incluso en cierto momento se limita a la sustitución en los extremos. También es tomada como una herramienta, en este caso, para resolver problemas.
Marco funcional: se considera en la etapa en que las desigualdades se instalan definitivamente en la teoría de funciones, donde se enriquecen con nuevas estructuras y sustentan la reversibilidad de los procesos de acotación. En este marco se resuelven problemas de modelización de situaciones que podrán ser geométricas, algebraicas, cotidianas, relacionadas con otras ciencias, etcétera.
Claramente estos marcos no son los únicos a partir de los cuáles es posible abordar las desigualdades (por ejemplo, podríamos mencionar además el numérico). Pero en esta indagación histórica surgen estos tres marcos a través de los cuales las miradas del objeto desigualdad toma tintes especiales. Estimamos que el objeto mental desigualdad que construyen los estudiantes será rico en la medida en que se brinden experiencias para lograr imágenes elaboradas en distintos marcos. La historia de la matemática muestra, y un ejemplo es esta indagación, que los conceptos matemáticos se construyen, modifican y amplían para resolver problemas de la vida real o de la matemática misma y que evolucionan tanto en su formulación como en su manera de representación.
Coincidimos con Sessa (2005) respecto de que el análisis histórico cuestiona el modo distanciado en que usualmente el álgebra y la geometría conviven en la escuela.
Nos permitimos añadir que la incorporación de la mirada funcional amplía las posibilidades de favorecer la construcción de sentido en la escuela. Además, como menciona Sessa, el juego de marcos de Douady constituye una herramienta didáctica útil para dicha construcción. El juego de marcos proporciona la posibilidad de generar cambios en la interpretación de los problemas que podrían, por un lado, habilitar la evolución de las concepciones de los estudiantes y, por el otro, activar el proceso de aprendizaje. Estos cambios exigen reformulaciones del problema y la puesta en acción de herramientas y técnicas distintas a las iniciales.
En relación con los tres fenómenos matemáticos organizados por el concepto de desigualdad, los documentos analizados permiten constatar algunas evidencias de su manifestación, a saber:
Fenómeno de ordenación: se establecen relaciones de desigualdad entre cantidades distintas de la misma magnitud. Este fenómeno aparece, por ejemplo:
en las relaciones de desigualdad establecidas entre números, interpretadas como longitudes, áreas y volúmenes;
en el postulado de Arquímedes.
Fenómeno de especificación: del conjunto solución de una inecuación. A modo de ejemplo mencionamos algunos:
En la antigua Grecia, durante la exploración de relaciones entre números, se trataba de buscar aquellos que satisficieran las relaciones con tanta precisión como fuera posible o deseable. Estas relaciones eran interpretadas como longitudes, áreas y volúmenes;
Diofanto al resolver ecuaciones de segundo grado comienza a tomar incógnitas auxiliares que lo llevan a reducirlas a ecuaciones lineales (sistemas) y a desigualdades. Dichas desigualdades son inecuaciones que resuelve especificando los números que pueden verificar las condiciones.
Fenómeno de generalización: aparece claramente la idea de la generalización de una propiedad expresada en una desigualdad que se menciona para un representante que se toma de una clase de objetos. Encontramos por ejemplo:
La desigualdad del triángulo se trata de una desigualdad general puesto que se aplica a todos los triángulos;
Hardy recopila en su libro las desigualdades generales con sus pruebas. Dichas pruebas consisten en justificaciones formales de la generalización de la propiedad para todos los elementos para los cuáles está definida.
Consideramos que esta indagación histórica nos ayuda a reflexionar respecto de cuáles de los fenómenos matemáticos encontrados, que son incluidos en la escuela, fueron importantes a lo largo de la historia del concepto y continúan vigentes. Así como también, a pensar en los aspectos del objeto mental desigualdad que aporta el trabajo con cada uno de ellos.
A partir de los resultados obtenidos, proponemos las siguientes recomendaciones para la enseñanza.
Tener en cuenta los fenómenos matemáticos que organiza el concepto de desigualdad y ofrecer experiencias a los estudiantes abordando distintos tipos de tareas que enriquezcan su objeto mental desigualdad.
Las tareas que involucran a los estudiantes en actividades enmarcadas en el fenómeno de ordenación, aportan sentido de relación a las desigualdades y los introduce en la noción de orden, presente cada vez que aparece una desigualdad, en los distintos marcos.
Las tareas de resolución de inecuaciones que involucran a los alumnos en el fenómeno de especificación, deben estar fundadas en el reconocimiento de la transformación de una inecuación en otra equivalente y se enriquecen al incluirse los casos no típicos, donde los procedimientos no se automatizan, ya que podrían acostumbrarse a verlas sólo como una rutina de procedimientos.
Las tareas de demostrar desigualdades absolutas contribuyen a introducir a los estudiantes en la problemática de la demostración matemática y brinda experiencias dentro del fenómeno de generalización. Es importante habituar a los estudiantes a que justifiquen sus decisiones con las herramientas matemáticas que poseen, respaldando las afirmaciones con propiedades conocidas. Como sostiene Dreyfus (2000), “no deberíamos esperar que nuestros estudiantes sean capaces de captar demostraciones sofisticadas y de alto nivel, sin haber estado expuestos durante muchos años al espíritu de la justificación y a la naturaleza del pensamiento matemático” (p. 130).
La utilización de los marcos (algebraico, funcional y geométrico) en el tratamiento del tema, podría contribuir al uso de diferentes estrategias frente al mismo problema y aportaría otra interpretación de la situación en pos de una mejor comprensión.










nueva página del texto (beta)













