SciELO - Scientific Electronic Library Online

 
vol.28 número2Cuando las praxeologías viajan de una institución a otra: una aproximación epistemológica del "boundary crossing"Ciclos de entendimiento de los conceptos de función y variación índice de autoresíndice de materiabúsqueda de artículos
Home Pagelista alfabética de revistas  

Servicios Personalizados

Revista

Articulo

Indicadores

Links relacionados

  • No hay artículos similaresSimilares en SciELO

Compartir


Educación matemática

versión On-line ISSN 2448-8089versión impresa ISSN 0187-8298

Educ. mat. vol.28 no.2 Ciudad de México ago. 2016  Epub 08-Abr-2022

https://doi.org/10.24844/em2802.02 

Artículos de investigación

La separación ciega de fuentes: un puente entre el álgebra lineal y el análisis de señales

Blind source separation: a bridge between linear algebra and signal analysis

Rita Vázquez1 

Avenilde Romo1 

Rebeca Romo-Vázquez2 

María Trigueros3 

1Centro de Investigación en ciencia Aplicada y Tecnológica Avanzada, Unidad Legaria, Instituto Politécnico Nacional, México. rita.vazquez@uacm.edu.mx, aromov@ipn.mx

2Centro Universitario de Ciencias Exactas e Ingeniería, Universidad de Guadalajara, México. rebeca.romo@cucei.udg.mx

3Departamento Académico de Matemáticas, Instituto Tecnológico Autónomo de México, México. trigue@itam.mx


Resumen:

El objetivo de este artículo es presentar un análisis praxeológico enmarcado en la Teoría Antropológica de lo Didáctico (TAD) de un método proveniente de la ingeniería conocido como Separación Ciega de Fuentes (BSS). En el método están presentes praxeologías que pueden trasponerse a los cursos iniciales de matemáticas dentro de una formación de ingenieros, concretamente dentro del curso de Álgebra Lineal. El análisis muestra que la BSS tiene potencial para generar actividades de modelación que conecten la teoría matemática con la práctica ingenieril. Se presenta, además, una propuesta inicial para una actividad de estudio e investigación basada en la BSS.

Palabras clave: Formación de ingenieros; modelos matemáticos; álgebra lineal; BSS; teoría antropológica de lo didáctico

Abstract:

The aim of this paper is to present a praxeological analysis in the frame of the anthropological theory of didactics (ATD) of an engineering method known as Blind Source Separation (BSS). In the method we found praxeologies that can be transposed to the first year mathematics courses in engineering education, particularly in Linear Algebra. The analysis shows that BSS is a potential tool to generate modelling activities that reduce the gap between mathematical theory and engineering practice. We present a proposal of a research and study path based on BSS.

Key words: Engineering education; mathematical models; linear algebra; BSS; anthropological theory of didactics

1.Introducción. La modelación matemática en la formación de ingenieros

En las formaciones profesionales como las ingenierías, una función de la matemática es servir como herramienta para acceder a conocimientos de otras disciplinas, lo que abre el cuestionamiento: ¿qué matemáticas deben incluirse en cada formación, y cuáles son las formas más efectivas de hacerlo? Para abordar esta cuestión analizamos trabajos que abordan las necesidades matemáticas de las prácticas profesionales y trabajos centrados en la modelación matemática como estrategia de enseñanza. El estudio ICMI 3 se dedicó a la matemática vista como disciplina de servicio, lo que mostró que en las formaciones de futuros profesionistas -no matemáticos- su razón de ser necesita ser comprendida tomando en cuenta a la profesión en cuestión. En la contribución de Pollak (1988) se muestra una reflexión acerca del papel que debe darse a la matemática en la formación de ingenieros, identificando el uso de modelos y la modelación como un elemento esencial para conectar la práctica profesional con esta disciplina. La modelación en la práctica de ingenieros, como lo muestra Bissell (2000), está asociada más al uso de modelos matemáticos "estándar", bien conocidos que a la construcción de nuevos modelos matemáticos. En ese sentido, importa adaptar, ajustar, hacer funcionar el modelo en distintas situaciones y recurrir a formas de validación que provienen no sólo de la teoría matemática sino también de la práctica. Las investigaciones de Kent y Noss (2002) además señalan que los modelos matemáticos funcionan de manera implícita, por lo que reconocer las relaciones entre validaciones teóricas y prácticas, solicita un estudio a profundidad de las prácticas profesionales. Estos trabajos se han incrementado hasta lograr un espacio en el ámbito de la investigación en matemática educativa, como lo muestra la conformación del grupo Mathematics education in and for work en la conferencia ICME desde el 2008.

Por otra parte, la modelación matemática por sí misma se ha venido estudiando ampliamente en la Matemática Educativa, reconociéndose como un paradigma de enseñanza (Kaiser, Blomhoj & Sriraman, 2006). De acuerdo a sus propósitos se pueden distinguir dos vertientes de la modelación: como herramienta para enseñar y como medio para alcanzar otros conocimientos (Niss, Blum, Galbraith & Henn, 2007). La primera ha producido numerosas líneas de investigación, basadas mayormente en la reproducción en el aula de un proceso cíclico: formulación del modelopruebaajustereformulación, conocido como ciclo de modelación, estudiado desde diversos enfoques teóricos (Borromeo-Ferri, 2006) y con distintos objetivos.

Existe extensa literatura de investigación en Educación Matemática en torno al uso de los modelos para el aprendizaje de distintos conceptos de las mate-máticas (por ejemplo Kadijevich, D. Haapasalo, L. & Hvorecky, J. 2005; Larson, Nelipovich, Rasmussen, Smith & Zandieh, 2007; Possani, Trigueros, Preciado, & Lozano, 2010). Todos ellos reportan algunas dificultades y resultados de apren-dizaje satisfactorios al incluir la modelación en la enseñanza; sin embargo, en la revisión de literatura que efectuamos no encontramos estudios en los que se muestre el proceso involucrado en la conversión de un modelo utilizado en el ámbito de la ingeniería en un dispositivo didáctico. Es por ello que, desde la perspectiva de nuestra investigación, nos interesa analizar modelos con el fin de contextualizar contenidos matemáticos específicos. En este sentido, nuestro objetivo es que los estudiantes sean capaces de plantear modelos provenientes de problemas complejos de la ingeniería pero adaptados a un nivel más ele-mental de conocimientos. La contribución principal de este trabajo es justamente el análisis de un problema complejo de la ingeniería desde la perspectiva de su uso para la enseñanza de algunos conceptos del Álgebra Lineal. El eje central del trabajo consiste en desarrollar una estrategia que permita la adaptación de modelos complejos a dicho contexto y su uso en la clase de matemáticas.

1.1 Acercar la enseñanza de la matemática a la práctica profesional del ingeniero: ¿es posible?

Con el objetivo de acercar la práctica a la enseñanza, proponemos analizar contextos de ingeniería e identificar en éstos, modelos matemáticos que a la vez sean objetos de enseñanza en los primeros años universitarios. Se busca que este análisis constituya una herramienta, particularmente para profesores universitarios que deseen diseñar actividades didácticas de modelación matemática. Resaltamos en este enfoque un sentido que va del uso hacia la enseñanza y no al revés. Cabe señalar que el diseño y uso de herramientas didácticas basadas en modelos reales requiere, de parte del profesor de matemáticas, adentrarse en contextos distintos a esta disciplina, que tienen por su parte una lógica y lenguaje propios, lo que resulta una tarea compleja, como también se señala en Borromeo-Ferri (2011). Consideramos dos elementos fundamentales en esta investigación: encontrar un contexto de ingeniería pertinente y elementos teóricos y metodológicos que posibiliten el diseño didáctico. El problema que buscamos investigar es ¿cómo reconocer en modelos provenientes de la práctica profesional del ingeniero la matemática inmersa, de modo que ésta pueda servir como base para investigaciones o diseños didácticos? Abordarla supone un interés en analizar la actividad de modelación matemática al seno de una comunidad que reconocemos como representante de la práctica del ingeniero y sus posibles transposiciones al aula de matemáticas. Consideramos que para estudiar esta cuestión, la Teoría Antropológica de lo Didáctico resulta óptima pues ofrece un modelo para el estudio de la actividad humana, incluida la de modelación matemática, en su dimensión institucional. Presentamos a continuación una propuesta teórica-metodológica para analizar modelos matemáticos en contextos de uso de la ingeniería, y el análisis de acuerdo a esta aproximación, del contexto conocido como Separación Ciega de Fuentes (Blind Source Separation, BSS).

2.Elementos de la teoría antropológica de lo didáctico para el análisis de modelos matemáticos en uso

La Teoría Antropológica de lo Didáctico (TAD) propuesta por Chevallard (1999) ofrece un modelo para el estudio de los procesos de producción y circulación de saberes. Los saberes humanos son vistos como el resultado de enfrentarse a situaciones problemáticas. Parte de la idea de que los humanos producimos formas de resolver problemas (técnicas) y discursos (tecnologías) que justifican dichas formas. La acumulación y refinamiento de tales técnicas y tecnologías es lo que llamamos el saber. En este sentido la TAD ha sido una herramienta esencial para estudiar la actividad matemática que tiene lugar en las instituciones de enseñanza en su dimensión institucional. Las instituciones, de acuerdo a Castela y Romo-Vázquez (2011), son "organizaciones sociales estables, que enmarcan las actividades humanas y simultáneamente las hacen posibles por los recursos que éstas ponen a disposición de sus sujetos." (Romo-Vázquez y Castela, 2011, p. 85, traducción).

La unidad mínima de análisis de la actividad es la praxeología, término que etimológicamente une dos conceptos: praxis y logos, de donde se suele traducir praxeología como el estudio sobre la práctica. Una praxeología está formada de cuatro elementos: T el tipo de tarea o tareas (lo que se hace), τ la técnica (la forma en cómo se lleva a cabo la tarea), θ la tecnología (un discurso que justifica la técnica y que está respaldado por una institución) y la teoría Θ (un súper discurso que a su vez, justifica la tecnología), mismos que se agrupan en dos bloques: el técnico-práctico T, τ y el tecnológico-teórico θ, Θ. La praxeología es un modelo de la actividad y de los recursos (materiales pero sobre todo cognitivos) que son producidos socialmente y capitalizados por los grupos humanos para llevar al cabo las actividades (tareas) de forma eficiente. Una praxeología P reconocida por una institución I provee a los sujetos de I de recursos para tratar las tareas de un tipo T. Al mismo tiempo, norma las formas de afrontar estas tareas dentro de I (Castela, 2011).

2.1 Determinación de praxeologías matemáticas

Las praxeologías matemáticas u organizaciones matemáticas (OM), pueden ser estudiadas en el marco de una institución I, considerando la jerarquía de niveles de determinación propuesta por Chevallard (2002). En esta jerarquía se propone un modelo de normas y restricciones que la institución I impone a las (OM). Este modelo reposa sobre una estructuración que organiza las praxeologías en diferentes niveles anidados, que de acuerdo a un orden de complejidad creciente son los siguientes: específico (OM puntual), local (OM local), sector (OM regional) y dominio (OM global).

El nivel más básico de una organización matemática es el puntual: supone que T/τ/θ/Θ posee una sola técnica para realizar el tipo de tareas. El siguiente nivel es el local, que reagrupa todas las organizaciones matemáticas puntuales asociadas a la misma tecnología θ. El nivel regional reagrupa todas las organizaciones puntuales asociadas a la misma teoría Θ, el global o el dominio reagrupa ciertas organizaciones matemáticas regionales, la disciplina es el nivel superior y reagrupa todos los dominios. En el caso de las matemáticas, éstas constituyen la disciplina, la Geometría, la Topología, el Álgebra, son dominios, el Álgebra Lineal es una organización regional del Álgebra; a su vez, las operaciones sobre matrices podrían constituir una organización local y las técnicas para determinar la inversa de una matriz, podría conformar una organización puntual (ver Figura 1). Dicho de otra manera, la institución matemática es vista como un anidamiento de sub-instituciones, constituida por organizaciones matemáticas OM de diferentes niveles: específico, local, regional y global.

Figura 1 Anidamiento de sub-instituciones de organizaciones matemáticas a diferentes niveles. 

El anidamiento pone en evidencia una cascada de condiciones o restricciones pesando sobre una praxeología puntual, asociada a un tipo de tareas T. Así, el hecho de que un tipo de tareas sea visto como relevante en las matemáticas puede, en cierto momento, poner en un plano secundario ciertas técnicas aceptadas en otras épocas o en otras disciplinas (un ejemplo podría ser el cálculo de determinantes recurriendo a propiedades de los mismos, antes del uso de las computadoras, o la medición como una forma de validación en geometría). Por otra parte, este anidamiento también muestra que para acercarse a las matemáticas como disciplina, es difícil hacerlo a partir de praxeologías puntuales desconectadas y es necesario, al menos, considerar una praxeología local. Esta consideración, supone que es posible establecer sólidas relaciones entre las praxeologías puntuales, de lo contrario siempre habrá un cierto grado de incompletitud de la organización matemática local, como lo señala Fonseca (2004). Dicho de otro modo, es posible y deseable buscar construir organizaciones matemáticas relativamente completas.

Consideramos que una estructuración de niveles praxeológicos resulta también posible para el conocimiento ingenieril. En particular, la separación ciega de fuentes (BSS), considerada desde la institución productora de saberes en el área del Análisis de Señales, constituye una praxeología ingenieril. Notemos que, a diferencia de las praxeologías matemáticas, que resultan de una acumulación de conocimientos de siglos de historia humana, puede resultar más difícil distinguir en las praxeologías ingenieriles o prácticas -en particular aquellas cuyo desarrollo es relativamente reciente- los límites de los niveles de organización, tal es el caso de la BSS cuya historia tiene apenas unas tres décadas. La praxeología BSS nos sirve como punto de partida para generar praxeologías de modelación matemática en las que se contemple el problema didáctico de establecer puentes entre dos dominios: la ingeniería y el Álgebra Lineal.

2.2 Codeterminación de lo matemático y lo didáctico

Chevallard desarrolla enseguida el modelo de co-determinación de lo matemático y lo didáctico con el objetivo de tomar en cuenta las restricciones que pesan sobre la organización didáctica del estudio de las praxeologías. Señala que las organizaciones didácticas no pueden desarrollarse distanciadas de niveles superiores, dominio y disciplina, pero también recíprocamente que estos niveles no pueden imponerse sin considerar las condiciones de la institución de enseñanza. Por lo que resulta una co-determinación de organizaciones matemáticas y didácticas.

[...] cada nivel impone, a un momento dado de la vida del sistema educativo un conjunto de restricciones y de puntos de apoyo: la ecología que resulta es determinada a la vez por lo que las restricciones prohíben o impulsan, y por la explotación que hacen los actores de los puntos de apoyo que los diferentes niveles les ofrecen. (Chevallard, 2002, p.49)

2.3 Modelo praxeológico extendido

Con el objetivo de estudiar praxeologías matemáticas en instituciones no matemáticas, el modelo praxeológico extendido se ha desarrollado (Castela y Romo, 2011) explicitando dos componentes tecnológicas (teórica y práctica). Se consideran elementos tecnológicos que provienen de una o más instituciones de referencia, de manera sintética una praxeología en este modelo puede denotarse con

T, τ, θthθp,ΘPSlu

donde P(S) representa la incidencia en la praxeología de la institución productora de saberes (por ejemplo, el Álgebra Lineal) e Iu denota la institución usuaria de tales saberes (por ejemplo, el lugar de trabajo del ingeniero profesional). Se reconoce que una institución P(S) puede también aparecer en la posición de Iu, en ese caso se consideran los saberes empíricos a los que recurren los sujetos de P(S) para producir saberes. Al enfrentarse a tareas en un contexto de ingeniería, se recurre al uso de saberes matemáticos (modelos matemáticos) mediante técnicas matemáticas validadas por saberes matemáticos θth. El uso de la técnica (como por ejemplo, reconocer la naturaleza de la tarea, discriminar una técnica de otra dependiendo de su utilidad o bien adaptar la técnica al contexto) es validado en cambio por saberes prácticos θp legitimados por Iu.

La componente práctica de la tecnología θp se concibe como un discurso que tiene seis funciones en relación a la técnica: describir, validar, explicar, facilitar, motivar y evaluar el uso de técnicas matemáticas en referencia a instituciones usuarias, no necesariamente matemáticas. Enfatizando que las funciones explicitar y validar la técnica son también parte de la componente teórica de la tecnología, pero que en el caso de la componente práctica están asociadas al uso de la técnica y no a la técnica misma. La utilidad de éstas es reconocer cómo se validan la adaptación y uso de modelos matemáticos. Se considera que en el análisis del contexto ingenieril habrá funciones tecnológicas matemáticas (asociadas a modelos matemáticos), pero también funciones tecnológicas prácticas (asociadas al uso de los modelos en ingeniería).

2.4 Instituciones en la formación del ingeniero

De acuerdo a Romo (2009) distinguiremos para el análisis de la BSS, las siguientes instituciones:

Productoras de saberes matemáticos P(M), de saberes de ingeniería P(DI). Éstas tienen por función principal producir praxeologías, haciendo incidir en ellas sus restricciones y condicionamientos.

De enseñanza de matemáticas E (M) y de disciplinas intermediarias E (DI). Éstas tienen por función transmitir, mostrar y difundir praxeologías. Las representan por ejemplo, los cursos de matemáticas y los cursos de disciplinas intermediarias respectivamente.

Una circulación de praxeologías entre instituciones es posible, generando diferentes relaciones entre estas instituciones, que esquemáticamente pueden representarse así:

Figura 2 Circulación de praxeologías entre las instituciones relacionadas con la formación matemática de ingenieros. 

En la Figura 2 las flechas indican que la relación se da en dos sentidos: la incidencia de una institución sobre otra responde al interés de estudiar cómo una praxeología P presente en una institución I puede ser reconocida como una trasposición de P en I'. En un modelo de formación tradicional las relaciones 1, 2 y 5 se suponen existentes. Consideramos que las relaciones 4, 3 y 6 pueden existir, y en particular nos interesamos en posibilitar la relación 6, para que la enseñanza de la matemática dote de herramientas "realmente" necesarias al futuro ingeniero. Así, el análisis tiene como base la praxeología BSS enmarcada en P (DI).

3. Metodología para el análisis de la BSS desde P (DI)

La BSS es un método utilizado en ingeniería para separar señales que tienen distintos orígenes y que se basa en modelos matemáticos, particularmente del Álgebra Lineal. Este método fue objeto de un primer análisis en Macias (2012), poniendo de manifiesto sus potencialidades para ser base de diseños didácticos.

Sin embargo, la materialización de estos últimos requiere análisis más precisos, como el que presentamos a continuación.

3.1 Revisión y elección de documentos para el análisis

Para analizar la BSS se hizo una revisión bibliográfica de documentos representantes de P (DI) que permitiera tener una idea general del método y sus aplicaciones, para posteriormente elegir algunos documentos que pudieran ser analizados a detalle. En la primera etapa la revisión documental se hizo buscando responder: ¿cómo se modela matemáticamente la separación ciega de fuentes? De donde se eligieron como palabras clave para la búsqueda: BSS (y sus equivalentes), modelo matemático, modelo matricial y modelación, en inglés y español, utilizando el motor de búsqueda Google Scholar. De la amplia lista obtenida, se eligieron aquellos documentos que hicieran referencia a la BSS y en los que apareciera de forma explícita el modelo matricial. El índice de citas permitió identificar los artículos de Comon y Jutten (2010) como referentes del origen del problema, eligiéndolos como un documento representante de P (DI). De los documentos que explicitaban el modelo matemático se seleccionaron tres artículos de investigación sobre métodos BSS (Puntonet, 2003; Georgiev y Thais, 2004 y Oursland, De Paula & Mahmood, s.f.). En Puntonent se presenta una clasificación con tres modelos matemáticos distintos, en Georgiev y Thais se propone una aproximación matemática al problema estableciendo un teorema respecto a la separación de fuentes, y en Oursland (s.f.) se describe explícitamente la matemática subyacente a un algoritmo de separación. La búsqueda inicial resultó útil para explorar la relación entre BSS y el modelo matricial, pero restringió los resultados a artículos con lenguaje especializado que no permitían ver el panorama general de la BSS. Por ello, la búsqueda se amplió incluyendo artículos de divulgación sobre BSS (Carrión, Ródenas y Rieta, 2007), artículos sobre el estado del arte de la BSS (Caiafa, s.f.), así como un tutorial de los métodos ICA para principiantes (Delorme, s.f.). Como producto de la segunda etapa se identificó la BSS como una solución a diversos problemas en distintas ramas de la ingeniería, de donde surgió la pregunta: ¿qué sentido se le da a la noción de señal en cada contexto y cómo se modela matemáticamente? Esto llevó a incluir también -en un nivel más cercano a E (M)- un texto sobre métodos matemáticos en análisis de señales (Moon & Stirling, 2000) y un texto universitario en Análisis de Señales (Oppenheim, 1998). Finalmente, la revisión bibliográfica se complementó con entrevistas a un ingeniero investigador en BSS y a dos ingenieros docentes del curso de Análisis de Señales. Dos documentos son la base del análisis praxeológico. El primero es el Handbook of Blind Source Separation: Independent Component Analysis and Applications, de Comon y Jutten, un compendio de los llamados métodos ICA para la BSS. Este documento se eligió debido a que sus editores son los creadores del método, en éste se establece el origen del problema de separación de fuentes y es reconocido como un documento fundamental en la comunidad de investigación de BSS. El segundo documento es el producido por Oursland, De Paula, y Mahmood (s.f.), y es elegido ya que su enfoque es más cercano a la práctica profesional, explicitando un algoritmo de BSS y ejemplificando en tres distintos usos; lo que aporta al análisis de los elementos tecnológico-prácticos de la BSS. Así el análisis ilustra la génesis, la clasificación basada en los modelos utilizados y los algoritmos asociados a la BSS.

4. Análisis praxeológico de la BSS

El análisis de la BSS está realizado en dos partes, en la primera, se presenta la praxeología BSS, detallándose la técnica matemática y el modelo matricial asociado. En la segunda, se presentan algunas de las aplicaciones de esta técnica en diferentes contextos ingenieriles.

4.1 La praxeología BSS y su motivación

La praxeología BSS es sumamente relevante en el campo de la ingeniería pero también está asociada a una gran complejidad. El planteamiento del problema puede, sin embargo, ser entendido con el clásico ejemplo del "cocktail party" donde podemos imaginar en un cuarto distintas conversaciones y una de las personas necesita enfocarse en un solo conversador. El cerebro tiene la capacidad de enfocarse en una sola voz discriminando el resto de las voces o conversaciones. Es decir, es capaz de separar una mezcla (en este caso de voces). Este ejemplo sirve para ilustrar el tipo de tareas de la praxeología BSS: separar una mezcla de señales. Comon y Jutten (2010) señalan que la BSS surge en 1982 en el marco de una investigación sobre la decodificación del movimiento de articulaciones en vertebrados. En esta investigación se mostró que el sistema nervioso central recibe una mezcla de información de la contracción y de la velocidad del movimiento, haciendo emerger la siguiente cuestión, ¿cómo se pueden conocer los datos de origen si únicamente se cuenta con la información de las señales mezcladas, pero no se conoce la forma en que se mezclaron, ni las fuentes de origen? Así como el siguiente planteamiento:

Surprisingly, while we could imagine that each type of ending only transmits one type of information, either stretching or speed, the proprioceptive information trans-mitted by endings is a mixture of stretching and speed information. Estimating v and p from f1 and f2 seems impossible, however even with closed eyes, the central nervous system is able to separate joint speed and location while they are arriving (. . .) (Common y Jutten, 2010, p. 5).

En este planteamiento los investigadores reconocen la capacidad del cerebro para separar velocidad y localización de la fuente, lo que los motiva (función tecnológica-práctica) a generar una técnica que permita enfrentar el tipo de tareas, separar señales. La técnica que se propone para separar v y p se plantea a partir del modelo matricial As=x, donde A representa la matriz de mezcla, s las fuentes de origen y x las señales mezcladas y consiste en estimar una matriz B de separación que sea lo más cercana posible a la inversa de A.

The BSS problem consists of retrieving unobserved sources, denoted in vector notation as st=s1t,...,sNtTRN assuming zero mean and stationary from observed mixtures xt=x1t,...,xptTRP which can be written: xt=Ast where A is an unknown mapping from RN in RP, and where t denotes the sample index, which can stand for time for instance. (Comon y Jutten, 2010, p. 10).

La tecnología que permite asegurar que la matriz B es la "adecuada" se basa en que B = (J x W) donde W es la matriz de "blanqueamiento" espacial o de decorrelación (que elimina la correlación entre las fuentes) asegurando la ortogonalidad entre las fuentes y J es la matriz de rotación que asegura la posición correcta de las fuentes. Para estimar B, existen dos grandes familias de técnicas o algoritmos, los basados en estadística de orden superior (HOS) (Cardoso & Souloumiac, 1993; Makeig et al., 1996; Bell & Sejnowski, 1995; Hyvärinen & Oja, 1997) y los basados en estadística de orden dos (Belouchrani et al., 1993; Choi & Cichocki, 2000). Ambas familias de algoritmos tienen una primera etapa que es la decorrelación (eliminar la correlación entre las fuentes, determinar W), en los HOS la segunda etapa es calcular la independencia estadística mientras que en los SOS es realizar una diagonalización simultánea (diagonalizar múltiples matrices hasta obtener las fuentes, determinar J). Así, los primeros exigen independencia estadística, los segundos no la requieren. Notemos que estas dos grandes familias de algoritmos forman parte de la modelización inversa. Es decir, a partir de la solución (observaciones x) se busca determinar la matriz de mezcla y las fuentes.

La BSS es un método muy prometedor puesto que sin tener ningún conocimiento a priori ni de las fuentes ni de la mezcla, es capaz de dar información de las fuentes únicamente a partir de las observaciones. Una cuestión tecnológica, en el sentido de la TAD, que se revela sumamente importante es evaluar que el algoritmo elegido es el más adecuado (de la familia SOS o HOS) para realizar la tarea de separación en cada contexto. Esto, debido a que no se tiene información real de las fuentes y por tanto no es posible comparar con fuentes estimadas. Para evaluar la pertinencia del algoritmo, se eligen señales sintéticas, se simulan fuentes que tengan características similares a las de origen (i.e. frecuenciales, temporales, patrones conocidos), se mezclan por medio de una matriz de mezcla simulada y se aplican diferentes algoritmos de tal forma que sea posible comparar las fuentes estimadas, resultantes de la mezcla simulada, con las fuentes simuladas. Con el algoritmo que se obtengan de las fuentes estimadas lo más cercanas posibles a las fuentes simuladas se puede considerar el algoritmo más adecuado para dicha aplicación (ver Romo Vázquez, Vélez-Pérez, Ranta, Luis-Dorr & Maillard, 2012).

4.2 La praxeología de BSS en la práctica

En esta sección analizamos cómo se implementan en la práctica los algoritmos BSS, en dos contextos, audio y biomedicina, para ilustrar cómo el modelo matricial As=x es adaptado y cómo en cada contexto los coeficientes, el tamaño de la matriz y la naturaleza de las fuentes son elementos tecnológicos prácticos asociados al contexto.

4.2.1 La BSS en un contexto de audio

En Caiafa (s.f.) se presenta la siguiente aplicación en un contexto de audio:

Consideremos que existen dos fuentes (sources) que producen señales temporales s1t y s2t. Por ejemplo, este podría ser el caso de dos fuentes sonoras emitiendo señales acústicas. Supongamos que estas fuentes se encuentran en un ambiente especial sin eco y que colocamos dos micrófonos (sensores) en distintas posiciones del espacio. (Caiafa, s.f., p. 1).

Una vez establecida la notación, se supone un modelo lineal para las mezclas:

Estos micrófonos registrarán cada uno, una superposición diferente de las fuentes, es decir:

x1t=a11s1t+a12s2t

x2t=a21s1t+a22s2t

donde x1t y x2t son las señales registradas por los micrófonos (mezclas) y los valores de los coeficientes aij dependerán de la geometría de la configuración de las fuentes y sensores. Las ecuaciones pueden escribirse en forma compacta como xt=As(t) donde st=s1ts2tT y xt=x1tx2tT y A es a la matriz de coeficientes o matriz de mezcla. (Caifa, s.f., p. 1).

Notemos que el modelo se supone como lineal: "Estos micrófonos registrarán cada uno, una superposición diferente de las fuentes." (p. 1), de modo que el término superposición es una transposición en P (DI) de la noción de combinación lineal, en E (M). El texto de Oppenheim (1998) -documento representante de E (DI), siendo un texto introductorio al análisis de señales- establece que:

Un sistema lineal, en tiempo continuo o discreto, es aquel que posee la importante propiedad de superposición: si una entrada consiste en la suma ponderada de varias señales, entonces la salida es simplemente la superposición (es decir, la suma ponderada) de las respuestas del sistema a cada una de estas señales. (Oppenheim, 1998, p. 53).

En cuanto a la tecnología asociada a la tarea de separar o recuperar señales que se indica en este documento:

Está claro que si se conocieran los coeficientes de la mezcla, o lo que es lo mismo las distancias relativas entre los sensores y fuentes, entonces el problema estaría resuelto gracias al Álgebra usando la transformación lineal inversa, es decir: st=A-1xt, donde A-1 es la inversa de la matriz de mezcla. (Caiafa, s.f., p. 1).

Surge un elemento de la tecnología asociada a la matriz de mezcla: los coeficientes están relacionados con las distancias entre fuentes y sensores, la tecnología se explica únicamente desde el contexto de uso (audio). Una tecnología más amplia aparece en Oursland et al. (s.f.) en la que el contexto de audio es presentado por medio del muestreo de señales (toma de datos en un instante) generadas mediante archivos *.wav. En este caso, el modelo de mezcla lineal sin ruido con independencia estadística parece resultar adecuarse bien a la clase de algoritmos ICA. Un ejemplo es el algoritmo FastICA (Hyvarinen, 1999), que parte de un preprocesamiento de los datos: centrar, que se refiere a hacer que la componente x tenga media igual a cero) y blanquear los datos, que corresponde a aplicar una transformación lineal que produce datos no correlacionados y con varianza uno. Los autores señalan que la producción de señales de audio *.wav no garantiza la independencia estadística (componente tecnológica), lo cual limita el uso del algoritmo. Por lo anterior, proponen otro algoritmo de la clase ICA-HOS y para probar su eficiencia, comparan el resultado con el obtenido a partir de FastICA. En el algoritmo intervienen elementos de Álgebra Lineal avanzada y Estadística.

Todo lo anterior, permite señalar que la mezcla de fuentes, noción que parte de P (DI) circula en el sentido (4) de la Figura 1, trasponiéndose a E (DI) como suma ponderada de respuestas y ésta a su vez, circula en la dirección (3) a combinación lineal de vectores en E (M). La noción de superposición se traspone a E (M) como las propiedades de homogeneidad y aditividad de una transformación lineal. Notemos que además, esta definición hace referencia a un sistema lineal como el resultado de operar sobre señales de entrada para obtener señales de salida, en correspondencia con la idea de transformación lineal. Así, la noción de linealidad circula tanto por E (M) como por E (DI), teniendo en efecto una transposición, que puede ser objeto de un análisis más profundo para el diseño didáctico.

4.2.2 La BSS en un contexto de ingeniería biomédica

La BSS también es ampliamente utilizada en el análisis de señales de actividad eléctrica del organismo humano, por ejemplo la producida por el corazón o por el cerebro. En Comon y Jutten (2010), se estudian las señales registradas por electrocardiogramas (ECG) en los que se busca extraer la información de los latidos del corazón de un feto (estas son las señales fuente) a partir de señales obtenidas por sensores colocados sobre la piel de la madre (observaciones). Las observaciones contienen los latidos de la madre, del feto y componentes de ruido en forma de combinaciones lineales (Comon-Jutten, p. 685).

En el caso del electroencefalograma (EEG) los sensores (o electrodos) se colocan sobre el cuero cabelludo del paciente y registran la actividad cerebral. Las observaciones en un EEG miden las fluctuaciones de voltaje que resultan de flujos de corriente iónicos dentro de las neuronas del cerebro. El uso de la BSS, en este contexto, supone entonces que las observaciones combinan lineal-mente señales que provienen de distintos órganos, asegurando la independencia estadística, pues provienen de diferentes órganos, una señal cerebral no puede parecerse en lo más mínimo a una señal cardíaca. El tamaño de la matriz A está determinado por el número de electrodos utilizados para registrar las señales, lo que permite que ésta sea cuadrada y que sea posible estimar la matriz BA-1. Entre las aplicaciones en EEG podemos encontrar los trabajos de Le Van y Romo (Levan, Urrestarazu & Gotman, 2006; Romo-Vázquez et al., 2012).

El análisis praxeológico presentado muestra que la BSS permite abordar un problema complejo que puede matematizarse mediante un modelo general que supone que las observaciones son una mezcla lineal de las fuentes y que las hipótesis sobre las fuentes determinan los tipos de algoritmos de separación. Asimismo, muestra que la BSS tiene diversas aplicaciones en distintas áreas de la ingeniería.

5. El modelo matricial: potencialidades para el diseño didáctico

El análisis praxeológico de la BSS nos ha permitido identificar el uso del modelo matricial As=x, para encontrar señales fuentes a partir del sólo conocimiento de la mezcla de señales (observaciones). Este modelo se corresponde con el modelo Ax=b, objeto de enseñanza en la mayoría de cursos universitarios de Álgebra Lineal, por lo que consideramos que un diseño didáctico que involucre BSS podría dar sentido o razón de ser a la enseñanza de este modelo en una formación de futuros ingenieros. En específico, presentamos en esta sección, a manera de ejemplo, el diseño de una actividad de estudio y de investigación para un curso de Álgebra Lineal.

5.1 Actividades de estudio y de investigación

Precisamos que dentro de la TAD, el estudio de una cuestión es visto como la construcción o reconstrucción de elementos de una praxeología, con el objetivo de realizar una tarea problemática (un tipo de tareas, para el cual no hay o no está disponible una praxeología). Según Chevallard (2002) en este proceso, que puede ser el de modelación matemática, se distinguen seis momentos asociados a cuatro grupos de actividades. El primer grupo es el de Actividades de Estudio y de Investigación (AEI) y está asociado a tres momentos:

  1. Primero, o momento de encuentro. Se refiere al encuentro con una cuestión matemática, que implica para ser resuelta un tipo de tareas matemáticas. Esta cuestión surge de una situación matemática o extra matemática, y las organizaciones puntuales aisladas no pueden responderla.

  2. Segundo, o momento de la exploración de T y de la emergencia de la técnica. Para reconstruir la OML la comunidad de estudio explora el tipo de tareas relacionadas con la cuestión. La exploración hace emerger y elaborar una o más técnicas para enfrentar el tipo de tareas.

  3. Tercer momento, o construcción del bloque tecnológico-teórico. En este momento se generan explicaciones y justificaciones que aseguren que las técnicas utilizadas son válidas.

5.2 Diseño de una AEI basada en la BSS

Para diseñar una AEI basada en el modelo matemático As=x utilizado en la BSS, consideramos tres elementos de la praxeología BSS:

  1. El tipo de tareas de la BSS: dadas n señales observadas, que resultan de la mezcla (lineal) de m señales desconocidas, obtener las señales desconocidas suponiendo que no se conoce la matriz de mezcla.

  2. El modelo de mezcla lineal instantánea As=x, elemento tecnológico y la técnica asociada (determinar A-1), que involucran elementos del Álgebra Lineal como son, vectores, sistema de ecuaciones lineales, matrices (e inversas de matrices) y transformaciones lineales.

  3. Las señales que son las variables del modelo, no necesariamente disponibles en el curso de Álgebra Lineal E(M), deben ser el objeto de una transposición que puede ir de P (DI) a E(DI) y a E(M). Es decir, un recorrido en el sentido (2) → (3) de acuerdo al diagrama de la figura 1. La noción de señal se define en E (DI ) a partir del concepto de función de una variable, pero tiene variaciones importantes que imprime la práctica ingenieril como se evidenció en el análisis previo. En el diseño pretendemos dar cuenta de su potencialidad.

Para el diseño de la propuesta, el tipo de tareas y el modelo As=x están disponibles, pero no es el caso de la noción de señal, por lo que ésta requiere de un análisis complementario considerando un contexto particular de ingeniería y las condiciones del curso de Álgebra Lineal, como se detalla a continuación.

5.2.1 Noción de señal para el diseño

El análisis praxeológico muestra que las señales consideradas en BSS se modelan como variables aleatorias y se obtienen mediante muestreo, por tanto son funciones discretas. Además, la frecuencia de muestreo (número de muestras) es en general, bastante alta, manipulable sólo con software. Para transponer la noción de señal a E(M) y en específico al curso de Álgebra Lineal resulta necesario considerar que la noción de variable aleatoria no está disponible y en cuanto al muestreo, los cursos iniciales privilegian el estudio de funciones de variable continua.

Se eligió, a partir del análisis praxeológico y del Cocktail Party Problem, el contexto de audio para hacer emerger una tarea del tipo BSS. En este contexto, es posible inducir la idea de señal a partir de un tipo de señales sonoras particulares conocidas como "tonos puros", cuyo modelo ft=Asen(wt) está disponible en E(M). En este modelo, A representa la amplitud y w la frecuencia; la primera se relaciona con el volumen del sonido y la segunda, con su tono (grave, agudo). Estas señales pueden ser procesadas en programas de software matemático (como Matlab) para escuchar el sonido asociado a un modelo con valores particulares de los parámetros A y w, de modo que los estudiantes pueden transitar entre tres representaciones del modelo: una algebraica, una geométrica (gráfica de la función) y otra sonora. En particular resultan interesantes las posibilidades que da la exploración de la gráfica cuando se consideran valores altos de frecuencia (las necesarias para producir un sonido perceptible para el oído humano) que producen gráficas que no parecen curvas -se ven como franjas- y que por tanto resultan distintas a lo que los estudiantes están habituados a reconocer como una función sen(x). Este tipo de imagen será usual en los cursos intermediarios E(DI), por lo que la actividad de modelación introduce en una primera aproximación a los estudiantes al tipo de representaciones que encontrarán más adelante.

En la Figura 3 se muestra la función y=Asin(wt), con frecuencias w=3 Hz y w=43 Hz Hz. El oído humano percibe frecuencias entre 200 y 2000 Hz.

Figura 3 Gráficas de dos tonos puros con frecuencias baja y alta respectivamente. 

Acotar el contexto a este tipo particular de señal es una simplificación de la situación, que sin embargo, permite al colectivo asociar el valor de una señal en un instante con un número real a través de mirar un punto en la gráfica como una muestra instantánea del sonido. Por otro lado, por medio de la variación de parámetros en el modelo del tono puro, los estudiantes pueden identificar el efecto que tiene el cambio en la amplitud de la onda sinusoidal, al igual que en su frecuencia. Esta actividad moviliza un elemento tecnológico que en la literatura se reconoce como importante en la formación de ingenieros: controlar el ajuste de parámetros en el modelo para lograr un efecto particular.

5.2.5 AEI separando señales de audio

Situación: Hubo una reunión secreta de los embajadores de Estados Unidos, de Canadá y de Cuba en México, en la que se asegura que se trataron temas de sumo interés para nuestro país. El servicio de inteligencia mexicano logró instalar tres grabadoras en distintos puntos de la sala con lo que obtuvo tres audios. A pesar de conocer la localización de las sillas, no ha sido posible determinar la silla que ocupaba cada embajador. El servicio de inteligencia mexicano nos ha pedido determinar la localización de cada embajador a partir de la grabación en la que los tres están hablando al mismo tiempo.

1. Momento del primer encuentro con T

Para que los estudiantes puedan identificar o clarificar la tarea, determinar la localización de los tres embajadores, se puede proponer una simulación de esta situación. Tres estudiantes se van a otra aula, colocan sus tres teléfonos celulares y graban al mismo tiempo una conversación, para luego reproducir el audio al grupo. Se plantea la cuestión de separación.

2. Momento de la exploración de T y de la emergencia de la técnica

En una primera etapa se puede proponer al grupo enlistar los elementos de los que depende el poder resolver el problema; entre ellos pueden surgir algunos que no son matematizables (por ejemplo, el estilo de hablar de alguno de los emisores o la intención del discurso). Otros que sí lo son, como la distancia entre las grabadoras y los emisores, el ruido, la reverberación al rebotar el sonido en las paredes, el volumen de la voz o el número de grabadoras y de emisores, deben ser analizados en función de la factibilidad de ser modelados con herramientas conocidas y que respondan favorablemente a la situación planteada.

3. Momento de la construcción del bloque tecnológico-teórico

Como parte de la estructuración, es necesario disponer de un modelo para la voz. Dado que el registro de la voz (obtenido mediante un muestreo) no es una función continua, se propone una idealización suponiendo que en cierto instante puede modelarse como un tono puro de una cierta frecuencia. Otras consideraciones dentro de la estructuración son no tomar en cuenta el ruido y suponer que la amplitud de la señal emitida varía inversamente en relación a la distancia entre el emisor y cada receptor; esto está en correspondencia con lo mencionado en el análisis de (Caiafa, s.f.). En un modelo más preciso, la relación entre la amplitud y la distancia es A=1/d2. Los estudiantes utilizan herramientas computacionales (Matlab o generadores de tonos puros disponibles en línea) para observar el efecto de variar la amplitud de la señal y el volumen con el que se percibe. Con el fin de estudiar la relación entre el tamaño de la matriz de mezcla y la dificultad de resolver el problema, se puede proponer una configuración de fuentes y señales (ver Figura 4).

Figura 4 Dos configuraciones de fuentes y de señales. 

Ésta es una representación bidimensional de un arreglo de m fuentes y n receptores, entre los que puede medirse la distancia y permite plantear la cuestión: ¿Cuál configuración permitiría resolver más fácilmente el problema de separación? Notemos que es posible generar otras configuraciones modificando el número de fuentes y de sensores, así como las distancias entre ellos.

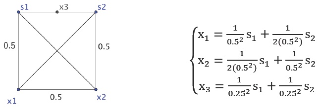
La configuración (A) muestra un arreglo de 3 fuentes y 3 observaciones, mientras que la B tiene 3 fuentes y 8 observaciones. La cuestión, ¿en cuál de las configuraciones sería más fácil separar las señales?, hace emerger dos elementos: la distancia entre las fuentes y las observaciones, así como el número de cada una. En la configuración (B) son muchas más observaciones que fuentes, lo que lleva a una situación sobredeterminada. En una configuración con menos fuentes que observaciones, la información observada es subdeterminada (insuficiente), la configuración A tiene asociada una matriz de mezcla cuadrada. A partir de una discusión sobre estas diferencias, es posible inducir una técnica que permita modelar la relación entre fuentes y observaciones como una combinación lineal. Para ejemplificarlo veamos la Figura 5, esta configuración representa a dos embajadores, situados en los puntos s1 y s2. Su conversación se registra con tres grabadoras, situadas en x1 ,x2 y x3 de acuerdo a la distancia indicada (por ejemplo, hay 0.25 metros de distancia entre la grabadora x3 y la persona s1). Entonces, el modelo es el siguiente: cada observación xi es una mezcla lineal de las 2 fuentes s1 y s2. Los coeficientes de la combinación lineal están dados por 1/dij2 donde dij es la distancia entre la observación xi y la fuente sj.

Figura 5 Una configuración y el sistema lineal asociado. 

Se puede proponer a los estudiantes relacionar la configuración con la forma matricial de la transformación y mirar la mezcla como una transformación de las fuentes que matemáticamente tiene dominio R2 y codominio R3, dada por

T:R2R3

Ts=As=42241616 s1s2=x1x2x3=x

Para explorar el modelo, se puede considerar un instante del registro de audio en el que la voz de cada persona es vista como un tono puro, por ejemplo, suponiendo frecuencias de 440Hz y de 660Hz, pero sin saber cuál frecuencia corresponde a cada persona. Si suponemos que 440Hz es la frecuencia para s1 y 660Hz para s2, entonces la mezcla en el instante t=0.5s está dada por:

42241616sen(4402π0.5)sen(6602π0.5)=-4.6244×10-13-1.1131×10-12-4.20167×10-12

Se establece el problema de separación: si en el instante t=0.5s, las observaciones registradas son x1=-4.6244×10-13 x2=-1.1131×10-12 y x3=-1.1131×10-12, ¿Cómo determinar la fuente que corresponde a la voz más aguda? Se puede recurrir a técnicas disponibles de resolución de sistemas (por ejemplo, la eliminación Gaussiana) o a la exploración de nuevas técnicas: por ejemplo, resolver el sistema mediante s=A-1x, siempre y cuando la configuración tenga el mismo número de fuentes que de observaciones y A sea invertible. Es importante hacer notar que los datos y el muestreo inducen el uso de tecnología para resolver los sistemas con ayuda de software. Asimismo, se distingue que a diferencia de la formulación "ciega" de BSS, en esta actividad la matriz puede conocerse. La simplificación de esta hipótesis es necesaria para adaptar la actividad a las técnicas disponibles en E(M).

El discurso tecnológico puede enriquecerse analizando la dependencia lineal de las filas de A -y por tanto su carácter no invertible- con configuraciones en donde las fuentes y las observaciones sean simétricas, haciendo indistinguible la información que recibe una y otra fuente, como en la Figura 6.

Figura 6 Una configuración simétrica asociada a una matriz no invertible. 

Estas tareas ejemplifican la forma en que una AEI puede ser diseñada para hacer que el problema de la BSS pueda tener lugar en la clase de matemáticas. El contexto de audio y los tonos puros permiten comprobar que la matriz A efectivamente modela la mezcla y que el cálculo de su inversa permite separarla.

Conclusiones

En este artículo se aborda la cuestión de acercar la formación matemática a la práctica profesional del futuro ingeniero. Para ello, se hace una propuesta teórico-metodológica en la que se parte del análisis del uso de modelos mate-máticos en contextos no matemáticos, para ser transpuestos mediante un diseño didáctico al aula de matemáticas. Dicha propuesta se basa en la TAD y se ilustra con el análisis de un contexto proveniente del Análisis de Señales, la BSS, que es transpuesto en un primer diseño didáctico a un curso de Álgebra Lineal. El análisis permitió mostrar un panorama de evolución y de organización del problema de la BSS en distintos niveles, que lo convierten en un contexto adecuado para diseñar actividades de modelación en diferentes momentos de la formación de ingenieros y que muestra cómo un problema de ingeniería evoluciona en concordancia con su formulación matemática.

Históricamente, la BSS surge de estudiar el movimiento en vertebrados, tomando como hipótesis que la mezcla de las fuentes es "lineal, instantánea y sin ruido" (Comon y Jutten, p. 2). El problema evolucionó, considerando distintas hipótesis sobre las fuentes y distintos modelos de mezcla. El análisis evidenció que la BSS es una praxeología de modelación, que bajo la hipótesis de independencia estadística es de nivel local, en relación a la P(DI) estudiada.

El análisis también permitió dar cuenta de elementos matemáticos que pueden transponerse en los cursos del primer año universitario, concretamente en Álgebra Lineal. La praxeología BSS desde P(DI) está asociada a las nociones de señal y de mezcla lineal. Estas nociones, pueden transponerse en E(M) en una praxeología escolar, cuya tarea sea resolver una ecuación lineal Ax = b para x y b vectores. El modelo de mezcla lineal instantánea sin ruido, con matriz de mezcla invertible puede transponerse a E(M) como un sistema lineal, que puede realizarse con la técnica que permite calcular la inversa de la matriz de mezcla.

Con el fin de adaptar el modelo de BSS para su uso en la clase de matemáticas, se observa que si bien las técnicas de la praxeología BSS involucran elementos avanzados del Álgebra Lineal y de la estadística que no están disponibles en el primer año universitario, las nociones identificadas en el análisis resultaron útiles para diseñar una primera AEI. Esta AEI consiste en separar una mezcla de señales de audio, a partir de una cuestión generatriz ¿Cómo determinar la localización de ciertos emisores a partir de un audio en que éstos hablan al mismo tiempo? Una primera exploración hace surgir técnicas para resolver sistemas de ecuaciones lineales así como elementos tecnológicos de la práctica ingenieril, como el muestreo.

Finalmente, consideramos que la variedad de aplicaciones de la BSS permite generar diferentes cuestiones generatrices, que pueden servir de base para el diseño de actividades de modelación en la formación matemática de ingenieros en distintas áreas -además de la propuesta en el contexto de audio- como son biomedicina, procesamiento de imágenes y radiostronomía. Asimismo, consideramos que éstas pueden ser implementadas en distintas etapas de la formación, tanto al inicio como al final de la preparación matemática, y durante la formación intermediaria.

Referencias

Bell, A., Sejnowski, T. (1995). "An Information Approach to Blind Separation and Blind Deconvolution". Neural Computation, 7, 1129-1159. [ Links ]

Belouchrani, A., Abed-Meraim, K., Cardoso, J., Moulines, E. (1993). "Second-order Blind Separation of Temporally Correlated Sources". En: Proc. Int. Conf. Digital Signal Processing, 346-351. [ Links ]

Belouchrani, A., Abed-Meraim, K., Cardoso, J., Moulines, E. (1997). "A Blind Source Sepa-ration Technique Using Second-order Statistics", IEEE Transactions on Signal Processing, 45(2), 434-444. [ Links ]

Bisell, C., & Dillon, C. (2000). "Telling Tales: Models, Stories and Meanings". For the Learning of Mathematics, 20(3), 3-11. [ Links ]

Borromeo Ferri, R. (2011). "Effective Mathematical Modelling Without Blockages". En G. Kaiser, W. Blum, R. Borromeo Ferri, y G. Stillman (Eds.), Trends in Teaching and Learning of Mathematical Modeling, 1, 181-186. [ Links ]

Caiafa, C. (s.f.). Tópicos en procesamiento de señales: Separación ciega de fuentes y aplicaciones. Consultado el 2 de julio de 2015 en: Consultado el 2 de julio de 2015 en: http://www.iar.unlp.edu.ar/divulgacion/art-difu-pdf/Links ]

Cardoso, A. (1993). "Blind Beamforming for non Gaussian Signals". IEE Proceedings-F, 40(6), 362-370. [ Links ]

Carrión, P., Ródenas, J., Rieta, J. (2007). Procesado de señales biomédicas. España; Ediciones de la Universidad de Castilla-La Mancha. Colección Ciencia y Técnica 53. [ Links ]

Castela, C. (2011). Développer le modèle praxéologique pour mieux prendre en compte la dynamique des savoirs. En M. Bosch y J. Gascón (Eds.), An overview of atd. Barcelona: Centre de Recerca Matemática, pp. 163-186. [ Links ]

Castela, C., y Romo-Vázquez, A. (2011). "Des mathématiques à l' automatique: étude des effets de transposition sur la transformée de Laplace dans la formation des ingénieurs". Recherches en didactique des mathématiques, 31(1), 79-130. [ Links ]

Comon, P., & Jutten, C. (2010). Handbook of Blind Source Separation: Independent Component Analysis and Applications. Academic Press. [ Links ]

Choi S., Cichocki, A. (2000). "Blind Separation of Nonstationary Sources in Noisy Mixtures".Electronics Letters, 36, 848-849. [ Links ]

Chevallard, Y. (1999). "L'analyse des pratiques enseignantes en théorie anthropologique du didactique". Recherches en didactique des mathématiques, 19(2), 221-266. [ Links ]

Chevallard, Y. (2002). "Organiser l'étude". En J-L. Dorier & al. (Eds.) Actes de la 11éme École d'éte de didactique des mathématiques. Grenoble: La pensée Sauvage, 3-22. [ Links ]

Delorme, A. (s.f.). ICA: Independent Component Analysis for Dummies. Recuperado el 1 de julio de 2015, del sitio web del Swartz Center for Computational Neuroscience: Recuperado el 1 de julio de 2015, del sitio web del Swartz Center for Computational Neuroscience: http://sccn.ucsd.edu/~arno/indexica.htmlLinks ]

Fonseca, C. (2004). "Discontinuidades matemáticas y didácticas entre la enseñanza secundaria y la enseñanza universitaria". Tesis doctoral. Universidad de Vigo. [ Links ]

Georgiev, P., & Theis, F. (2004). "Blind Source Separation of Linear Mixtures with Singular Matrices". Lecture notes in computer science, Springer-Verlag Heidelberg, 3195, 121-128. [ Links ]

Hyvarinen, A. (1999). "Fast and Robust Fixed-point Algorithms for Independent Component Analysis". IEEE Transactions on neural networks. 10(3), 626-634. [ Links ]

Hyvarinen, A. & Oja, E. (1997). "A Fast Fixed-point Algorithm for Independent Component Analysis". Neural Computation, 9(7), 1483-1492. [ Links ]

Kadijevich, D. Haapasalo, L. & Hvorecky, J. (2005). "Using Technology in Applicationsand Modeling". Teaching Mathematics and its Applications. 23(2-3), 114-122. [ Links ]

Kaiser, G., Blomhoj, M., Sriraman, B. (2006). "Towards a Didactical Theory for Mathematical Modelling". ZDM, 38(2), 82-85. [ Links ]

Kent, P., & Noss, R. (2002). "The Mathematical Components of Engineering Expertise: the Relationship Between Doing and Understanding Mathematics". I.E.E.E. Second Annual Symposium on Engineering Education. Londres, Reino Unido. [ Links ]

Larson, C., Nelipovich, C., Rasmussen, C., Smith, M. & Zandieh, M. (2007). "Modeling Perspectives in Linear Algebra". Electronic Proceedings for the Tenth Special Interest Group of the Mathematical Association of America on Research in Undergraduate Mathematics Education. [ Links ]

Le Van, P., Urrestarazu, E., Gotman, J., (2006). "A System for Automatic Artifact Removal in Ictal Scalp EEG Based on Independent Component Analysis and Bayesian Classification". Clinical Neurophysiology. 117(4), 912-927. [ Links ]

Macias, C. (2012) "Uso de las nuevas tecnologías en la formación matemática de ingenieros". Tesis de Maestría. CICATA-IPN, México. Consultado el 2 de diciembre de 2015 de: Consultado el 2 de diciembre de 2015 de: http://www.matedu.cicata.ipn.mx/tesis/maestria/macias_2012.pdfLinks ]

Moon, T. & Stirling, W. (2000). Mathematical Methods and Algorithms for Signal Processing. Prentice Hall, USA. [ Links ]

Makeig, A., Bell, A., Jung, T., Sejnowski, T. (1996). "Independent Component Analysis of Electroencephalographic Data". D. Touretzky, M. Mozer and M. Hasselmo (Eds). Advances in Neural Information Processing Systems, 8, 45-151. [ Links ]

Niss, M., Blum, W., Galbraith, P., Henn, H. W. (2007). "Modelling and Applications in Mathematics Education ICMI". Study Series, 3-32. New York: Springer. [ Links ]

Oppenheim, A. (1998). Señales y sistemas. México: Prentice Hall. [ Links ]

Oursland, A., De Paula, J. Mahmood, N. (s.f.) Case Studies of Independent Component Analysis. Consultado el 2 de julio de 2015 en: Consultado el 2 de julio de 2015 en: http://www.oursland.net/tutorials/ica/ica-report.pdfLinks ]

Pollak, H. (1988). "Mathematics as a Service Subject: Why?". En A. Howson, J. Kahane, P. Lauginie, E. Turckeim (Eds.), Mathematics as a Service Subject Icmi Study Series, 28-34. Gran Bretaña: Cambridge University Press. [ Links ]

Possani, E., Trigueros, M., Preciado, J. G., Lozano, M. D. (2010). "Use of Models in the Teaching of Linear Algebra". Linear Algebra and its Applications, 432(8), 21-25. [ Links ]

Puntonet, C. (2003). Procedimientos y aplicaciones en separación de señales: BSS-ICA. Consultado el 2 de julio de 2015 en: Consultado el 2 de julio de 2015 en: http://www.researchgate.net/publication/228456658_Procedimientos_y_aplicaciones_en_separacin_de_seales_(BSS-ICA)Links ]

Romo-Vázquez, A., Romo-Vázquez, R., Vélez-Pérez, H. (2012). De la ingeniería biomédica al aula de matemáticas. ReCIBE, 1 (1). Consultado el 2 de julio de 2015 en: Consultado el 2 de julio de 2015 en: http://recibe.cucei.udg.mx/revista/es/vol1-no1/biomedica.htmlLinks ]

Romo-Vázquez, R. R. Velez-Pérez, H. Ranta, R., Louis-Dorr, V., Maquin, D., Maillard, L. (2012). "Blind Source Separation, Wavelet Denoising and Discriminant Analysis for EEG Artefacts and Noise Cancelling". Biomedical Signal Porcessing and Control, 7(4), 389-400 [ Links ]

Recibido: 13 de Agosto de 2015; Aprobado: 11 de Abril de 2016

Creative Commons License Este es un artículo publicado en acceso abierto bajo una licencia Creative Commons