Introducción
La interpretación de las dificultades de aprendizaje en matemáticas se efectúa en el contexto de diferentes corrientes teóricas. La posibilidad de usar en dicha interpretación conceptos provenientes de disciplinas diferentes, no es en principio problemática si se ejerce una vigilancia epistemológica, lo que exige, en particular, el análisis de las condiciones en la cuales dichos conceptos han sido elaborados, a fin de evitar extrapolaciones incorrectas.
Las ciencias cognitivas han sido y son una referencia recurrente en lo que respecta al análisis de las dificultades de aprendizaje, sobre todo, en el dominio de las matemáticas. Sin embargo, un análisis detallado muestra que las investigaciones realizadas por una gran parte de las corrientes cognitivistas se limitan al análisis de ciertos saberes, principalmente a los números naturales y sus operaciones, y se pretende posteriormente generalizar a la totalidad de las matemáticas algunas conclusiones referidas a estos objetos de aprendizaje. Esta pretensión de generalización no está desvinculada de determinados principios epistemológicos constitutivos de estas disciplinas, en particular ciertas hipótesis sobre la universalidad de las operaciones cognitivas y sobre la existencia de mecanismos de producción de conocimientos transferibles de un dominio de saber a otro.
En este artículo, se propone una reflexión sobre la manera en que las ciencias cognitivas y la didáctica de las matemáticas abordan las cuestiones ligadas a las dificultades de aprendizaje en matemáticas. Se intenta poner en evidencia las concepciones teóricas sobre las que se apoya el análisis y ciertas razones por las cuales estas concepciones son consideradas como fundamentales para el mismo.
1. El paradigma del cognitivismo clásico
Las ciencias cognitivas emergen de una alianza de disciplinas que estudian las capacidades y los procesos mentales, partiendo de la hipótesis de existencia de una vida mental interna que permite explicar las transiciones entre la entrada y la salida de la información. En clara oposición al conductismo, que modeliza el pensamiento por medio de un esquema de estímulo-respuesta, se afirma que es fundamental tener en cuenta la manera en la cual la mente percibe y representa la información contenida en un estímulo. De esta manera, la noción de representación (interna) adquiere un status fundamental en este paradigma, ya que permite explicar científicamente el proceso de transición en cuestión, considerándolo como un sistema de tratamiento de la información, que se caracteriza fundamentalmente por la realización de cálculos efectuados sobre representaciones (operaciones sobre símbolos), sintácticamente estructurados mediante reglas formales.
En este marco, la representación de un problema matemático, por ejemplo, es definida como la interpretación que un sujeto elabora y que puede describirse por tres componentes: situación inicial, situación final y transformaciones que permiten pasar de una situación a la otra. La construcción de la representación depende de conocimientos guardados en la memoria a largo plazo y de informaciones ligadas el contexto específico de un problema particular (Sarrazy, 2015).
En el cognitivismo clásico1 de Fodor, J. (1989, 2003), Minsky, M. (1993), Sterelny, K. (1990), y Pylyshyn, Z. (1984), los observables provenientes de la descripción de comportamientos se interpretan como marcas de operaciones de tratamiento de la información. De este tratamiento, se infieren las etapas del proceso que son puramente mentales (no observables) y se proponen modelos en los cuales estos procesos no observables (pero el funcionamiento del modelo produce comportamientos observables) aparecen como realizaciones particulares (Sarrazy, 2015); el ordenador es uno de estos modelos posibles. En este modelo, la información recibida es representada por símbolos y, mediante la manipulación estrictamente sintáctica de símbolos y utilizando reglas de la lógica (que garantizan la preservación de la semántica), se modeliza la producción del pensamiento (información de salida). La aplicación de las reglas de manipulación de símbolos no es consciente. En este contexto, la mente es comparada a un programa y el cerebro a un ordenador. Bronckart (2007) explicita que el núcleo central del cognitivismo clásico consiste en suponer que los procesos cognitivos que permiten la manipulación de representaciones mentales son previos al desarrollo de los conocimientos (propiedades a priori o innatas) y que el lenguaje es posterior y es solamente revelador de estos conocimientos. La acción de pensar (y en particular los conocimientos) es equiparada a los cálculos internos de un ordenador.
Como Sarrazy (2015) lo señala, algunos cognitivistas defensores de la inteligencia artificial "pura y dura", así como algunas de sus aplicaciones a la educación fusionan el modelo y la realidad y consideran que el pensamiento es regulado por (y no modelizado) un programa organizado en un conjunto de procesos elementales de tratamiento de la información (procesos estrictamente sintácticos). En este sentido, sus investigaciones buscan identificar las capacidades elementales irreductibles a partir de las cuales, por combinación y encadenamiento, todas las otras capacidades mentales pueden ser elaboradas, en particular, el pensamiento matemático.
Las dificultades en el aprendizaje de las matemáticas son de este modo interpretadas como fallos en alguno de los procesos elementales de tratamiento de la información. Teniendo como referencia este tipo de interpretación, se elaboran programas de remediación cognitiva o de enseñanza de procesos meta-cognitivos, destinados a paliar estas dificultades. Sarrazy cita a Glaser y Pellegrino, quienes elaboran una proposición para optimizar el aprendizaje de la lectura, escritura y de la aritmética: "...Si los procesos puestos en funcionamiento en un modelo de simulación son similares a los que intervienen en los sujetos humanos, estos procesos pueden ser objeto de entrenamiento en los individuos que tienen un nivel bajo o intermediario de performance en la tarea en cuestión. Este entrenamiento debería mejorar la performance" (Sarrazy, pp. 23).
Los programas de remediación elaborados en este contexto consisten en reducir una tarea compleja en tareas simples (módulos intermedios), suponiendo que el acceso a la tarea compleja se realiza por medio del acceso a tareas intermedias y que los conocimientos elaborados en cada etapa se guardan en la memoria a largo plazo, junto a otros conocimientos y procedimientos elaborados precedentemente, para luego ser convocados durante la resolución de otra actividad. Lo que estos programas no explican es la manera en que estas etapas se gestionan didácticamente: ¿quién decide y cómo se decide la organización de estas etapas?, ¿cómo los alumnos pueden reconocer las condiciones de aplicación de las reglas enseñadas?, ¿cómo las competencias adquiridas en las distintas etapas se relacionan para constituir un todo? etcétera. Sarrazy (2015) afirma que esta falta de explicación refleja la imposibilidad de formalizar y algoritmizar una parte del trabajo autónomo del alumnos frente a la situación de enseñanza.
Por otro lado, el fracaso de la aplicación del modelo cognitivista clásico en la enseñanza se ha visto reflejado específicamente en las dificultades manifestadas por los alumnos para transferir estos saberes "locales" aprendidos en el contexto de estos programas de remediación a situaciones nuevas. Surgen así, como respuesta a estas dificultades, diversas investigaciones sobre la metacognición (J. H. Flavell, 1985). Una de las ideas de estas investigaciones es el estudio y la descripción de las estrategias metacognitivas ligadas a la resolución de problemas matemáticos utilizadas por los buenos alumnos y los expertos, para luego ser enseñadas a los alumnos en dificultad. El supuesto de base es el siguiente: los buenos alumnos y los expertos son capaces de identificar las características estructurales de los problemas y de sus soluciones, en tanto que los alumnos en dificultad retienen solamente los aspectos contextuales (superficiales) de los mismos. Como aplicaciones de estas investigaciones, aparecen en los manuales escolares capítulos o partes de capítulos destinados a la enseñanza de estrategias de comprensión y de resolución de problemas, tales como: subrayar los datos importantes de un problema (sin embargo, ¿cómo saber si un dato es "importante" o no antes de resolver el problema?); o elegir la operación adecuada (sin embargo, ¿cómo saber si una operación es adecuada o no?); etc.
Nadie duda que un matemático experto (y los alumnos también) pone en juego estrategias metacognitivas al resolver un problema. Sin embargo, estas estrategias que el experto pone en funcionamiento las ha construido él mismo a lo largo del desarrollo de una práctica matemática compartida (el matemático no sigue un curso de técnicas de resolución de problemas). Ciertas investigaciones en metacognición observan el funcionamiento del experto, identifican estrategias metacognitivas e, ignorando la "práctica matemática" en el contexto de la cual estas estrategias se han elaborado, proponen una enseñanza directa de las estrategias identificadas (extrapolando de este modo "la forma" sin contenido). Esta manera de proceder evita todo el trabajo esencial sobre los objetos y los métodos propios a la actividad matemática (y a la actividad específica en cada dominio de la matemática). Sin embargo, es este trabajo, constitutivo de la práctica matemática, el que permite acceder a las "condiciones de aplicación" de dichas estrategias. La pertinencia de este tipo de enseñanza "meta" ha sido cuestionada por diversos autores (Sarrazy,1996, Chartier, y col.,1992).
En esta breve descripción de las hipótesis globales del cognitivismo clásico vemos bien que la noción de representación aparece como un elemento esencial de respuesta al conductismo:2 se trata de un saber o de un conocimiento adquirido por un individuo, guardado en la memoria a largo plazo (Denis et Dubois, 1976). Esto implica, en principio, una relación entre dos sistemas, el representante y el representado; la actividad cognitiva estaría en la base de esta relación. Los datos de entrada son codificados para dar lugar a la representación (analógica, cuando la representación se asemeja al objeto representado, como por ejemplo una imagen, o proposicional, por ejemplo una definición de un objeto matemático), lo que produce una transformación del objeto inicial. La representación puede corresponder a conocimientos procedimentales (guardados en la memoria como reglas o procedimientos que pueden ser reconstituidos) o puede ser un conocimiento guardado en forma declarativa posible de ser recuperado tal como ha sido aprendido. En este contexto, la psicología cognitiva postula que sobre las representaciones actuarían ciertos procesos de recuperación o de activación, algunos fuertemente ligados al contexto de aprendizaje y otros con mayor nivel de generalización. Hemos visto ya que Sarrazy nos advierte sobre la dificultad de algoritmizar estos procesos de recuperación o activación, así como sobre los riesgos de pretender reducirlos a procesos mecánicos.
Otorgando una importancia fundamental a las representaciones internas de un sujeto, así como al tratamiento en términos operatorios de las mismas, es evidente que las explicaciones sobre las dificultades de aprendizaje (en particular, en matemáticas) se centren exclusivamente en el sujeto mismo y en estos mecanismos cognitivos que se consideran innatos. Todo el análisis de la actividad matemática que no puede ser encasillada en un proceso mecánico (por ejemplo, la invención de una nueva estrategia de resolución de un problema o la creación de un nuevo objeto matemático), en particular, la actividad de un alumno que se inicia en el aprendizaje de las matemáticas y para el cual esta actividad es mucho más que la aplicación de reglas y de sintaxis que utiliza el experto, no es considerada en la explicación de las dificultades.
Por otro lado, el análisis específico de la actividad matemática muestra que el trabajo sobre los objetos constitutivos de las proposiciones (nivel semántico) es fundamental para el desarrollo del nivel sintáctico.
Ilustraremos en seguida, con un ejemplo del dominio de la aritmética, la manera en que el cognitivismo clásico aborda las dificultades de aprendizaje en matemáticas. Es importante señalar que la mayoría de los trabajos sobre el aprendizaje de las matemáticas elaborados en el contexto del cognitivismo clásico se refieren a los números y al cálculo. Sin embargo, sin una justificación sólida, se pretende extender estos resultados a todos los dominios matemáticos.
1.1 Ejemplo de un modelo cognitivo de la aritmética
Teniendo como referencia el modelo modular3 del cognitivismo clásico, McCloskey y su equipo de investigadores (1985, 1991a, 1991b) propusieron un modelo de procesamiento de los números y del cálculo organizado en módulos, en los cuales los datos de entrada y de salida están conectados por representaciones internas abstractas de las cantidades, independientes de la notación de entrada o de salida a partir de la cual se efectúa el tratamiento aritmético (Delazer, M., & Girelli, L., 2004). El modelo de cálculo propuesto está constituido por módulos organizados en torno de estas representaciones abstractas:
Módulo de comprensión de los números,
Módulo de producción de números, donde, se distingue si los números ingresados están expresados en palabras o en dígitos,
Módulo de cálculo, que se ocupa de las operaciones (sobre los inputs ya representados), de los conocimientos aritméticos (conocimientos de cálculos de base, de tablas de adición y multiplicación, etc.) y de los procedimientos de cálculo,
Módulo de producción de respuesta, que traslada la representación interna de los resultados a un output arábigo o verbal.
En este modelo, una dificultad de cálculo es atribuida a un disfuncionamiento de uno de los módulos; ciertos resultados mostrarían que las dificultades de aprendizaje pueden estar relacionadas con uno de los módulos, sin afectar los otros (un alumno podría tener dificultades en el cálculo, sin tenerlas en la representación o la comprensión del número). Sin embargo, el análisis de las dificultades no pone el acento en las relaciones entre los diferentes módulos, evitando así pensar en una acción simultánea de los mismos para la realización de ciertas tareas.
En este marco teórico, la evaluación de los alumnos en dificultad de aprendizaje en aritmética utiliza test construidos con el objetivo de identificar el módulo afectado. Es importante señalar que estos tests son elaborados teniendo en cuenta ciertas hipótesis (la cuestión de la existencia o no de dichos módulos no está en cuestionamiento, sino que es un punto de partida aceptado); es decir, la organización del test y el tipo de tareas propuestas están guiados por la teoría de referencia, y entonces, los resultados obtenidos deben ser interpretados en este contexto.4 De esta manera, el resultado de un test no muestra si hay o no un disfuncionamiento de un módulo, el resultado de un test muestra si hay o no dificultad en aritmética y, según la teoría cognitivista clásica, esta dificultad en aritmética es interpretada como un disfuncionamiento de alguno de los módulos descritos por el modelo.
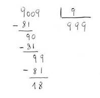
Es importante señalar que este modelo ha sido validado experimentalmente, sobre todo, a partir de datos que provienen de personas adultas enfermas (alzhéimer, accidente cerebro-vascular, etc.), mostrando, por ejemplo, que algunas de estas personas pueden recordar ciertos resultados relativos al cálculo numérico, como las tablas de adición básicas, pero perder el manejo del algoritmo elemental de cálculo de la adición; por ejemplo, se observó un paciente que conociendo las tablas de adición y de multiplicación, efectúa el cálculo siguiente:
Como acabamos de indicar, el modelo postula que diferentes módulos intervendrían en el desarrollo de un cálculo; uno de ellos estaría asociado a la memoria (hechos o conocimientos acumulados). Ciertas dificultades de cálculo observadas son atribuidas exclusivamente a la imposibilidad de acceder a esta memoria, sin ni siquiera mencionar otros aspectos conceptuales que podrían estar implicados.
El modelo permite, por ejemplo, identificar el manejo o no de un algoritmo de cálculo (si está disponible o no en la memoria de un sujeto) pero no da ninguna explicación respecto a los mecanismos lógicos asociados a las dificultades que pueden surgir en el empleo de este algoritmo. Todo lo que refiere a las razones del funcionamiento del algoritmo (las justificaciones matemáticas) no es abordado por este modelo.
La extensión de este modelo a los niños en edad de aprendizaje implica un análisis similar de las dificultades; por ejemplo, las dificultades en la utilización de estrategias de conteo son asociadas a la incapacidad de la memoria de recuperar resultados aritméticos simples. Analizando patrones de errores, y comparándolos con aquellos cometidos por niños que han sufrido una lesión cerebral precoz, se formula la hipótesis que sostiene que las dificultades de recuperación de la memoria podrían reflejar un problema cognitivo, más que una falta de exposición a problemas aritméticos o falta de motivación (Geary et al, 2000). Las dificultades de conteo se explican, en este contexto, por anomalías genéticas en los módulos específicos o por disfuncionamientos del sistema central (otros autores incluyen aquí cuestiones conceptuales).
Sin negar que se trata de una interpretación posible (puesto que la similitud del comportamiento observado en niños con lesiones cerebrales y en otros niños no puede garantizar la hipótesis formulada), es importante observar que otras cuestiones podrían intervenir en la explicación de estas dificultades, como aquellas ligadas a las significaciones implícitas o explícitas construidas en el contexto de la enseñanza (recordemos que el aprendizaje de la aritmética no se produce en un ámbito natural de desarrollo sino en instituciones destinadas a tal fin, en las cuales existen maneras de enseñar, maneras de evaluar, es decir, hábitos y prácticas escolares que pueden tener impacto sobre los comportamientos observados de los alumnos).
Nuestro propósito no es, de ninguna manera, cuestionar estos resultados experimentales sino la manera en que son extrapolados al dominio de la educación, pretendiendo que todo error del tipo mencionado (habitualmente observado en las clases) es únicamente interpretable en término de "módulos" o en términos de una anomalía biológica.
1.2 Los límites del modelo en la interpretación de las dificultades de aprendizaje
La utilización exclusiva de este marco teórico en el análisis de los procesos de aprendizaje de las matemáticas plantea varias cuestiones. Por un lado, el acceso a los saberes matemáticos sería reductible a un conjunto de etapas yuxtapuestas o a procesos algorítmicos en los cuales el análisis epistemológico del saber (los procesos de desarrollo de los objetos, los campos de problemas asociados, los obstáculos epistemológicos, etc.) no interviene de manera explícita:
Si un origen directamente genético tan específico como la discalculia pura parece difícil de concebir, por el contrario el cálculo o las matemáticas tienen especificidades que ninguna otra disciplina científica posee. Resulta así la hipótesis que las especificidades de cálculo, o más generalmente de las matemáticas, pueden engendrar dificultades específicas (Fisher, 2009, citado por Giroux, 2010) 5
Este modelo de modularidad, base de las corrientes cognitivistas recientemente citadas, implica la reducción de la complejidad conceptual de una noción matemática a la yuxtaposición de partes elementales que compondrían esta noción, bajo la suposición de que el acceso a dicha complejidad se desarrolla por medio del acceso a cada una de sus partes elementales: todo se reduce a la activación en memoria de conocimientos y a la puesta en funcionamiento de mecanismos de tratamiento de la información, cuya naturaleza no tiene explicación clara.
Es importante destacar que esta manera específica de proceder en lo que respecta en particular al estudio del acceso al saber matemático, está sustentada sobre ciertos postulados adoptados por estas corrientes de pensamiento, que no son necesariamente explicitados y que aparecen (o son presentados) en ciertos casos como "naturalmente válidos".6
El ejemplo siguiente, propuesto por Duquesne-Belfais et Meljac (2007) y extraído de un capítulo de Pesanti (2000), ilustra bien la idea precedente. Se trata de la interpretación de un error de cálculo en una multiplicación:
Pesanti afirma: "Es la recuperación en memoria de hechos multiplicativos intermedios que plantea dificultades y que conduce a una respuesta errónea".
Dicho de otra manera, para analizar el error de cálculo, el algoritmo de la multiplicación es descompuesto en sus "partes intermedias", y el autor atribuye el error de escribir 4 al hecho de no saber que 3 x 1 = 3 y el error de escribir 5 (en la segunda línea) a no poder recordar que
Duquesne-Belfais et Meljac (2007) advierten que otras interpretaciones son posibles: por ejemplo, el remplazo de la multiplicación por la adición. Efectivamente, 1+3= 4 y 3+2 =5 y 2+2 = 2x2. Queda un 2 misterioso (el de 24 en la primera línea) que no tiene, en principio, una explicación evidente. Los autores afirman, al mismo tiempo, que este ejemplo es significativo de este tipo de interpretaciones tendientes a remplazar un campo conceptual por una recuperación de hechos en memoria: ¿se trata verdaderamente de un problema de memoria? ¿No se podría tomar en consideración, al menos de manera provisoria, que los errores podrían estar ligados del pasaje de un campo conceptual al otro (del campo aditivo al campo multiplicativo)?
La interpretación en términos de procesos intermedios erróneos (el saber es "recortado" en partes) responde bien al modelo de conocimiento de base del cognitivismo clásico que ya hemos presentado. La interpretación en términos de campos conceptuales (Vergnaud, 1989,1990), además de considerar la cognición de manera estructural, y no como una acumulación de partes, otorga un lugar primordial a la especificidad del saber y al sentido que éste adquiere en el contexto de un campo conceptual determinado.
Otro de los problemas que plantea el uso del modelo cognitivista en cuestión en el análisis del aprendizaje de las matemáticas, es la falta de consideración de las características específicas de los procesos de enseñanza asociados a dicho aprendizaje. Diversas investigaciones (Brun et al., 1994; Conne, 2008; Barallobres, 2007; Cobb et al, 2000; Hitt, F,. 1998; Lemoyne, G. et al, 2002, Lemoyne, G. 2004; Mercier, A., 1995; etc.) muestran que un sujeto en proceso de aprendizaje pone de manifiesto relaciones de significación establecidas, por medio del uso del lenguaje, en interacción con el contexto de referencia y con la especificidad del saber en juego.
Lassègue (2003) explica la dificultad de la consideración del problema de la significación por el paradigma clásico de las ciencias cognitivas en términos de concepción de ciencia: siguiendo la actitud heredada de Galileo, la ciencia es considerada como una reconstrucción funcional de tipo estructural y sus conceptos están ligados por leyes descritas por las matemáticas. La consideración de las significaciones cambiantes que los humanos desarrollan con el entorno, vía el lenguaje, está ausente en esta concepción de ciencia, puesto que, por un lado, significaciones no pueden ser modelizadas por las matemáticas y, por otro lado, desafían y amenazan la determinación unívoca de los conceptos que pretende construir esta concepción de ciencia.
2. Otros modelos cognitivistas: Vergnaud y Duval
Otras corrientes cognitivistas se desarrollan en clara ruptura con el paradigma del tratamiento de la información, en particular en lo que respecta a la cuestión de la significación y a la imposibilidad de un tratamiento mecánico de la misma.
En el campo específico del aprendizaje de las matemáticas -y teniendo como referencia los trabajos de Piaget-, Vergnaud elabora una teoría cognitivista (la teoría de los campos conceptuales) destinada al estudio del desarrollo y el aprendizaje de objetos de saber específicos y complejos, como los saberes matemáticos. De esta manera, Vergnaud incorpora el contenido específico al aspecto estrictamente estructural del conocimiento estudiado por Piaget. El vínculo entre acción y conceptualización,7 ausente en las teorías de tratamiento de la información, es central en la proposición de Vergnaud, su noción de representación incorpora las formas interiorizadas de la actividad8 en situación, las cuales no son necesariamente observables.
Hemos mostrado que en el contexto de los modelos cognitivistas clásicos, el análisis de los errores de cálculo escrito, por ejemplo, se basa en la identificación de la etapa en la cual el error ha sido cometido, teniendo como modelo de referencia el funcionamiento del algoritmo enseñado, para luego aislar esta etapa y realizar un trabajo correctivo sobre la misma. Sin embargo, a diferencia del ordenador que reproduce las reglas y normas programadas, el sujeto que aprende interpreta estas reglas y las utiliza de manera no necesariamente automática. Los aspectos conceptuales de los conocimientos numéricos intervienen, en el caso de los alumnos, en la elaboración misma de los cálculos (Resnick, 1982).
Brun y colaboradores (1994) utilizan la noción de "esquema" desarrollada por Vergnaud para incorporar, en el análisis de los errores de cálculo, los aspectos conceptuales y semánticos. El esquema es definido como "la organización invariante de la actividad para una clase de situaciones dadas" (Vergnaud, 2003). El esquema está compuesto de conceptos en acto y teoremas en acto, que son los invariantes operatorios subyacentes a la actividad. La puesta en funcionamiento de los esquemas está ligada a las características de las situaciones y de las experiencias a las cuales los esquemas están articulados.
La investigación de Brun y sus colegas (1994) sobre los errores de cálculo en cierto tipo de divisiones, pone en evidencia que los alumnos controlan sus aprendizajes mediante esquemas que no son independientes del contexto en el cual han sido elaborados. Por ejemplo, antes de la enseñanza del algoritmo de la división, el esquema "repartir/distribuir¨ es elaborado a partir del trabajo con problemas de reparto, permitiendo a los alumnos asociar el dividendo a ¨la cantidad por repartir¨ y el divisor a la ¨cantidad de partes por distribuir". Para muchos alumnos, este esquema funciona solamente cuando el dividendo es más grande que el divisor (por lo general, los problemas presentados en la escuela responden a esta condición, nunca o rara vez se propone repartir, por ejemplo, una cantidad de chocolates igual a la cantidad de alumnos entre los cuales se efectúa el reparto).
En la división 9009 entre 9
Para el alumno, como no es posible repartir 9 en 9, considera el reparto de 90 entre 9. Al mismo tiempo, como a cada posición de la escritura del cociente sólo es posible escribir un número de un dígito, el alumno elige el máximo posible, que es 9. Vemos así que en el trabajo del alumno, una regla de numeración ("9 es el mayor número que puede escribirse en cada posición del cociente") se coordina con el esquema repartir/distribuir ("El número de objetos a repartir tiene que ser mayor que el número de personas entre las que se realiza el reparto").
Durante el aprendizaje del algoritmo de la división, el esquema asociado a la ¨significación¨ de la división construido en el contexto escolar interfiere en el desarrollo del cálculo, lo que permite explicar ciertos errores que aparecen al dividir dos números iguales. Brun y sus colegas muestran claramente que el error de cálculo en el algoritmo no puede ser interpretado estrictamente en términos procedimentales: efectuar "una operación escrita de división con resto" implica la puesta en funcionamiento de "conocimientos en acto" (un modelo de división, anticipación, elecciones, planificación de acciones, controles, mediante el uso de los conocimientos numéricos disponibles) y no simplemente la aplicación organizada de reglas convencionales (Brun y col, 1994). El esquema en construcción presenta organizaciones provisorias y el error está asociado a este proceso de construcción, y es considerado como un intento de adaptación del alumno a la variedad de situaciones de cálculo presentadas. El error del alumno no proviene solamente de la sintaxis del algoritmo, sino que también está ligado a la organización conceptual de los conocimientos numéricos.
Hemos dicho que los análisis de Brun y su equipo se apoyan sobre la noción de esquema de Vergnaud. Esta noción de esquema considera las representaciones semióticas pero de manera subordinada a los invariantes operatorios, es decir, las representaciones simbólicas son posteriores a las acciones constitutivas de estos invariantes y aparecen como medios de objetivización de dichas acciones.
Para Duval (2006), al contrario, la primacía de los aspectos semióticos es fundamental en la comprensión de las matemáticas, puesto que la naturaleza específica de los objetos matemáticos hace que el acceso a los mismos se produzca exclusivamente por medio del uso de sistemas de representación. Por otro lado, un mismo objeto matemático puede ser representado mediante sistemas semióticos heterogéneos. Por ejemplo, los números racionales pueden ser representados por fracciones o por expresiones decimales, lo que plantea ya una dificultad mayor a los alumnos, puesto que la manera de atribuir significación a estos números cambia en cada sistema (el hecho, por ejemplo, que 2.8 está entre 2 y 3 no es evidente a partir de la escritura 28/10). Así mismo, el tratamiento de dichos números en cada sistema de representación varía: la manera de multiplicar dos fracciones y dos números decimales es diferente. La comprensión conceptual así como las dificultades de comprensión aparecen, para Duval, ligadas al reconocimiento de una cohesión interna de cada sistema de representación y de otra externa entre ellos, esta hipótesis del autor se construyó teniendo en cuenta el análisis de la especificidad de los objetos en cuestión. El autor propone el aprendizaje de actividades de transformación de representaciones semióticas con el objetivo de fomentar la coordinación entre las mismas y así ayudar a sobrepasar ciertas dificultades de aprendizaje en matemáticas.
Si bien los fundamentos teóricos de los autores citados no son compartidos en su totalidad (Vergnaud es discípulo de Piaget y Vigotsky es una referencia fundamental para Duval, en particular en lo que respecta al rol del lenguaje), estos autores abordan el problema de las dificultades de aprendizaje de las matemáticas desde el punto de vista del sujeto individual. La dimensión de la interacción con otros sujetos es apenas evocada, pero no es considerada una variable fundamental en sus modelizaciones.
Ahora bien, Crahay (2010) muestra bien que el sujeto epistémico de Piaget es una abstracción construida para designar los mecanismos comunes a todos los sujetos del mismo nivel, independientemente de sus diferencias individuales. Piaget atribuye al sujeto mecanismos psicológicos puestos en funcionamiento cuando éste resuelve una actividad sin mediación social (el sujeto individual en interacción con la actividad). El sujeto epistémico no es caracterizado por los mecanismos comunes a los sujetos que intentan apropiarse de un saber compartido por una comunidad cultural (Crahay, 2010). No se trata de una crítica a la teoría, puesto que esta reducción responde, de una cierta manera, al objeto de estudio planteado por Piaget, sino más bien de una advertencia sobre la extrapolación (sin vigilancia epistemológica) del contexto epistemológico de emergencia de la teoría piagetiana al campo de la educación.
En el marco del aprendizaje escolar, la intersubjetividad no puede ser ignorada puesto que la participación en la resolución de actividades es frecuentemente colectiva, y en ella otros alumnos y el profesor ocupan un rol central. Por otro lado, veremos que las interacciones con el profesor implican ciertas especificidades, en particular el hecho de estar cargadas de significaciones culturales (el profesor de matemática tiene el rol de representante de la cultura matemática). Efectivamente, aún si la naturaleza de la experiencia en el contexto de la cual se desarrollan los esquemas, es considerada por Vergnaud en tanto que fuente de modificaciones de las estructuras y de la actividad del pensamiento, las dimensiones estructurales y de significados pre construidas por generaciones anteriores -que el sujeto debe apropiarse y al interior de las cuales debe aprender a funcionar- no son consideradas por Vergnaud como relevantes en la constitución de los esquemas (Bronckart, 2007). Vergnaud (1996) afirma que el sentido es una relación del sujeto con las situaciones y con los significantes: son los esquemas evocados en el sujeto individual por una situación o un significante que constituye el sentido de esta situación o de este significante para este individuo9 (p.228).
Esta postura que considera al sujeto como centro de producción de significaciones tiene, evidentemente, consecuencias importantes sobre el análisis de las dificultades de aprendizaje en matemáticas ya que los modos de intervención que podrían elaborarse para ayudar a los alumnos a superar dichas dificultades están organizados estrictamente en función de las características cognitivas de los sujetos individuales y todo lo que hace referencia a la organización del saber en cuestión (su historia, las significaciones culturales pre existentes, etc.) es secundario o es completamente eliminado del análisis.
3. El paradigma interaccionista
La obra de Vygotsky (1994; 1997) se sitúa en un paradigma que admite la existencia de ciertas capacidades específicamente humanas innatas pero que afirma que las capacidades de la conciencia se construyen históricamente: las capacidades innatas, permitieron la elaboración de actividades colectivas y de instrumentos al servicio de su ejecución y gestión (en particular mediante el lenguaje), construyendo así un entorno social. Es en el rencuentro con este entorno (que precede al sujeto) que las capacidades psíquicas heredadas de la evolución se transforman dando emergencia al pensamiento consciente. El entorno está compuesto no sólo de objetos sino de representaciones, de significaciones y de valores contextualizados y el sujeto interactúa, desde su nacimiento, con este entorno de formas pre-construidas. Una gran parte de esta interacción está organizada explícitamente para integrar al sujeto en la sociedad, por medio de la reproducción y transformación de significaciones sociales construidas en la historia de un grupo (Bronckart, 2007). La interiorización de estas prácticas colectivas reorganiza las formas psíquicas "originales", y participa en la constitución del pensamiento consciente (el pensamiento operatorio). La acción del sujeto sobre el entorno le permite conservar huellas de los objetos y de sus comportamientos (inteligencia práctica), pero estas huellas son dependientes del contexto, permanecen implícitas y se pierden si las interacciones con el entorno cesan. Es la interiorización de los signos del lenguaje usados en la interacción con el entorno, que permite transformar el pensamiento práctico en pensamiento consciente (Bronckart, 2007).
El interaccionismo se distingue, por un lado, del cognitivismo que atribuye a las estructuras mentales la exclusividad de gobernar todas las formas de relación entre el sujeto y el entorno y, por otro lado, del conductismo para el cual es el entorno el que elige los comportamientos que le son adaptados y los estabiliza por medio de retroacciones (el conocimiento como reflejo directo de las estructuras del mundo), puesto que otorga un rol central a la organización intencional o pre existente de las interacciones entre los individuos y el entorno.
Si bien el aprendizaje de las matemáticas presupone la puesta en funcionamiento de procesos biológicos, el rencuentro del sujeto con este dominio del conocimiento está marcado por propiedades específicas de la práctica de esta disciplina, que son constitutivas de este aprendizaje. El encuentro con la cultura, a través de la organización específica de instancias de enseñanza y mediatizado por el lenguaje, transforma las capacidades innatas. La cultura sugiere a los alumnos formas de percibir la realidad y sus fenómenos (Radford, 2006).
Según Bronckart, el interaccionismo es cuestionado por dos aspectos: introducir nuevamente el dualismo, al sostener que el pensamiento consciente es una capacidad específicamente humana que emerge en interacción con un entorno caracterizado por significaciones socio-semióticas que presuponen un lenguaje y, por otro lado, remplazar el reduccionismo biológico por un reduccionismo social. Sin embargo, para el autor, estas críticas responden a una interpretación estática, mecánica y causal de las ciencias naturales, que ignora las dimensiones dinámicas de la materia misma que permitiría considerar que las capacidades psíquicas primarias de nuestra especie son heredades de esta acción dinámica. La puesta en práctica de estas capacidades ha producido una modificación fundamental del entorno y el hombre es confrontado a este mundo en permanente modificación: él mismo transforma el entorno y las restricciones de éste operan al mismo tiempo sobre sus capacidades, en particular las capacidades psíquicas. Este punto fundamental es minimizado en las corrientes cognitivistas ya mencionadas. Sin embargo, desde el nacimiento, el sujeto está confrontado con un cierto contexto cultural caracterizado por actividades humanas previamente organizadas y mediatizadas por el lenguaje (instrumento elaborado por los humanos para planificar, regular y evaluar las actividades colectivas, Habermas, 2001) y por mundos formales de conocimiento. Una parte importante de esta confrontación es organizada de manera intencional (en particular, a través de las instituciones escolares) para que los sujetos se apropien de objetos de la historia social humana. Es la idea de Bruner (1997), cuando plantea: "...Mi punto de vista es que la cultura (y no la biología) da forma a la vida y a la mente del hombre, que ella da una significación a su acción ubicando la intencionalidad que la sustenta en un sistema interpretativo preciso" (Bruner, 1997, p. 20).
Desde esta perspectiva, en el estudio del aprendizaje de los saberes matemáticos y, en particular, de las dificultades de aprendizaje en matemática, el análisis de las mediaciones escolares organizadas y de estos "mundos" que preexisten a los sujetos es un elemento esencial.
Las matemáticas se caracterizan por formas específicas de pensar y hacer, propias a este dominio científico, que guían el aprendizaje de esta disciplina. El análisis de las dificultades no puede ignorar el estudio específico de estas formas culturales que preceden al aprendizaje ni las formas de intervención que la cultura organiza para orientar a los alumnos en la apropiación de los objetos de saber. Otorgando un lugar primordial al contexto, a la historia, a la cultura y al lenguaje, las dificultades de aprendizaje no pueden explicarse estrictamente en términos de disfuncionamientos cognitivos individuales.
Vemos así cómo al interior mismo de la psicología el estudio del desarrollo del saber matemático comienza a ser considerado como una variable fundamental para explicar el aprendizaje, y comprender la naturaleza posible de las dificultades en matemática. La didáctica de las matemáticas, al menos la corriente francesa, se ha constituido en este contexto particular, desarrollando un análisis sistémico de los procesos de enseñanza y aprendizaje, otorgando un lugar central al saber y a las instituciones en las cuales este saber interviene.
4. La didáctica de las matemáticas
En los párrafos precedentes hemos mostrado cómo diferentes paradigmas de la psicología abordan el análisis de las dificultades de aprendizaje en matemática y cómo la cultura, y en particular la organización de la transmisión de los saberes de generación en generación aparece como un elemento ineludible en el estudio de los problemas de aprendizaje de esta disciplina.
La didáctica de la matemática, en continuidad con el paradigma interaccionista, considera fundamental el estudio de las condiciones de enseñanza y aprendizaje de esta disciplina y adopta un enfoque sistémico en el cual las interpretaciones de las dificultades de aprendizaje tienen en cuenta el funcionamiento del sistema didáctico, es decir, las interacciones entre cada uno de los elementos que lo componen y el contexto institucional en el cual la enseñanza se desarrolla. Es este sistema didáctico que actúa como mediación cultural entre el sujeto y el entorno, el que es objeto fundamental de estudio para explicar el aprendizaje de las matemáticas.
En el estudio de las dificultades de aprendizaje, uno de los elementos distintivos que la didáctica pone en evidencia es la existencia de fenómenos que caracterizan las interacciones didácticas con alumnos en dificultad y que tienen un impacto sobre los conocimientos adquiridos. Uno de estos fenómenos se refiere a la "simplificación" de los objetos de saber, de manera de hacerlos más "accesibles" a los alumnos, lo que implica en muchos casos un empobrecimiento de las interacciones didácticas y, por consecuencia, la pérdida de las características esenciales de los saberes implicados. Como señala Conne (2002), se trata de una manera de transformar las situaciones de aprendizaje y enseñanza en situaciones de éxito: al simplificar la situación (y, en consecuencia, los saberes implicados), los alumnos pueden acceder más fácilmente a la respuesta, lo que no significa necesariamente que hayan aprendido el objeto de saber en cuestión. De esta manera, los conocimientos de los alumnos no son independientes de estos fenómenos didácticos que caracterizan las interacciones entre los sujetos y el entorno.
Veamos un ejemplo. Cuando se trata de la enseñanza de ciertos objetos matemáticos considerados "muy abstractos", identificamos una tendencia a "reducir" los niveles de abstracción mediante la utilización de dispositivos de enseñanza que recurren a la materialización o a la concretización de los objetos de saber en cuestión (actividades de "observación" de regularidades supuestamente "visibles" en la situación presentada, "manipulaciones" de objetos materiales, etcétera.), con el objetivo de hacerlos "más accesibles" a los alumnos. Esta decisión tiene un impacto sobre los contenidos específicos (Barallobres, 2009): por ejemplo, para introducir las operaciones con números enteros, ciertas prácticas escolares asocian fichas de un color, por ejemplo rojas, a los números negativos y fichas azules a los números positivos. El cálculo (-8) + (-3) es representado por un conjunto de 8 fichas rojas y por otras 3 fichas del mismo color y la adición por la acción de agrupar todas las fichas. El resultado es entonces -11 (fichas rojas).
En el caso de la sustracción (-8) + 4, se proponen 8 fichas rojas y 4 fichas azules y se afirma que una ficha roja junto con una ficha azul se anulan. Como hay 4 anulaciones y quedan 4 fichas rojas, entonces el resultado es -4. Vemos de este modo que una misma operación cambia de significación según los números que intervienen (este cambio de significación es introducido por el dispositivo didáctico utilizado). Además, la introducción de este material concreto exige la definición de una regla que no tiene explicación alguna (que dos fichas de colores diferentes se "anulan").
El recurso a este dispositivo material "facilita" el acceso al cálculo pero, al mismo tiempo, empobrece las interacciones del alumno con los objetos matemáticos y, así, los niveles de conceptualización y de abstracción necesarios a su constitución. Efectivamente, el uso de fichas para representar los números enteros implica una interpretación (implícita o explícita) de éstos en términos de cantidades (-8 es representado por "8" fichas rojas), es decir se reduce el tratamiento de los números negativos al tratamiento de números positivos, lo que desnaturaliza el saber en cuestión. Esta desnaturalización se refleja en diversos aspectos: el cálculo (-2) - (-8) no puede ser interpretado en el contexto de las fichas de colores (no pueden "sacarse" 8 fichas rojas de un conjunto de 2 fichas rojas); por otro lado, al tratar los números negativos como números positivos (pretendiendo facilitar la tarea a los alumnos, puesto que éstos pueden abordar el nuevo objeto a partir de conocimientos disponibles), las significaciones asociadas a las operaciones en el conjunto de los naturales son extrapoladas al nuevo conjunto numérico y plantean obstáculos. En efecto, ciertos alumnos plantean la imposibilidad de que 7 - (-2) de como resultado 9, puesto que en esta sustracción el resultado deber ser necesariamente menor que 7. Este obstáculo está ligado, evidentemente, al contexto organizado por la enseñanza que no colabora en la necesaria ruptura de significaciones que plantea el pasaje de un conjunto numérico al otro.
Algo similar sucede en el caso de la enseñanza de las fracciones, cuando se sobrevalora una de sus significaciones por ser supuestamente más accesible, la fracción como parte de un todo, asociando de esta manera la fracción a "una cantidad" y evitando así tratarla como una relación. Esta elección tiene consecuencia sobre las concepciones de los alumnos: algunos de ellos tienen dificultad para comprender cómo dos "mitades" de unidades diferentes pueden ser representadas por la misma fracción 1/2, si cada una de estas mitades representan cantidades diferentes; otros tienen dificultad para concebir una fracción en la cual el numerador es mayor que el denominador.
Partiendo de un enfoque sistémico que tiene en cuenta las condiciones en las que los alumnos interactúan con los objetos matemáticos (en particular la naturaleza de la práctica matemática institucional), las investigaciones en didáctica estudian las características de estas interacciones y ponen en evidencia que en la enseñanza a alumnos en dificultad hay tendencia a evitar la confrontación con la abstracción (Barallobres, 2009, Chevallard, 2000), poniendo así de relieve que las condiciones de enseñanza, y no solamente las características cognitivas del alumno, deben ser consideradas en el análisis de las dificultades observadas. ¿Cómo los alumnos pueden acceder a niveles de abstracción superior si la organización de la enseñanza los evita o los reduce, bajo la suposición que esta reducción permite un acceso más fácil a los objetos matemáticos? Los estudios de manuales escolares y de prácticas efectivas de enseñanza ponen de manifiesto esta manera de organizar la práctica escolar (Bolea y col. 2001, Margolinas, C. 2015, Robert, 2004).
Mientras las interacciones didácticas sean más variadas, más los alumnos serán expuestos a objetos y a relaciones que les interesa elaborar; lo abstracto se torna más "concreto" no porque los objetos de pensamiento (los objetos matemáticos en nuestro caso) son reducidos a una materialización, sino por la frecuencia de los encuentros de los alumnos con estos objetos, en situaciones que permitan acceder a su utilidad.
Frente a una dificultad de los alumnos denominada "dificultad de abstracción", por ejemplo, la didáctica busca de esta manera comprender y explicar esta problemática teniendo en cuenta otros elementos que aquellos ligados exclusivamente a disfuncionamientos cognitivos de un sujeto individual. Si los mecanismos cognitivos individuales se desarrollan y evolucionan en interacción con la cultura, y en particular, con la cultura matemática que la institución escolar proyecta el estudio de esta interacción y de los elementos que la componen no puede estar ausente en el análisis de las dificultades de aprendizaje. De este modo, frente a una dificultad observada, la didáctica pone énfasis en el análisis de la naturaleza de las mediaciones creadas para introducir los alumnos en una práctica matemática, teniendo en cuenta la especificidad de ésta y las instituciones que intervienen en su difusión. Es importante destacar que no se trata, de ninguna manera, de pasar de una explicación estrictamente biológica o cognitivista a una explicación que considera exclusivamente los aspectos socioculturales. No negamos la existencia de operaciones lógico-cognitivas en el sujeto individual (en particular los procesos de generalización y abstracción individuales que permiten la elaboración de conocimientos formales, puestos en evidencia por Piaget), sino que advertimos sobre el rol fundamental que la cultura y las mediaciones formativas intencionales organizadas por la sociedad tienen en la elaboración de dichas operaciones. Como Bronckart (2007) lo señala, el sujeto construye su estructura psicológica en el marco de una micro-historia singular, diferente a la historia social en su dimensión más amplia, que no es una reproducción mecánica de los preconstruidos sociales. Es esta micro-historia que la didáctica considera imposible de ignorar, si se pretende comprender las dificultades de aprendizaje en matemática.
Otro de los fenómenos didácticos identificados, en lo que respecta a las interacciones con alumnos en dificultad, es la algoritmización de los saberes y el recorte de los mismos en "pequeñas partes" (Cherel, 2005; Giroux et De Cotret, 2001). Se trata en general de adaptar la enseñanza (y como consecuencia, los objetos matemáticos) a las características o dificultades individuales de los alumnos, descuidando, por un lado, los aspectos culturales y sociales de la práctica matemática, y por otro, la naturaleza misma de los objetos de saber. Bajo el supuesto de considerar las especificidades de los alumnos y asumiendo que el acceso a un saber complejo se efectua mediante el conocimiento de las distintas partes que lo componen (sin discusión clara de cómo estas partes son determinadas), los objetos de saber son adaptados y transformados sin una vigilancia epistemológica.
Por ejemplo, cuando se trata del cálculo algebraico elemental, ciertas proposiciones de enseñanza destinadas a los alumnos con dificultades (y, en general, a todos los alumnos) definen primeramente la noción de término semejante y proponen luego ciertas reglas de acción (sin justificación) que permiten posteriormente efectuar operaciones elementales, como, la transformación de una expresión algebraica en otra equivalente. Una de estas reglas es la siguiente: "Para reducir una expresión algebraica compuesta de muchos términos, se adicionan o se sustraen los términos semejantes".
Es decir, para expresar 3 x2 + 5 + 6x +2 x3 + 4x mediante otra expresión equivalente, se propone identificar los términos semejantes (6 x y 4 x) y adicionarlos o sustraerlos, según la operación indicada. La expresión 3 x2 + 5 + 10x + 2 x3 es la expresión equivalente buscada. La justificación de la regla de acción que permite pasar de 4x + 6x a 10x no refiere a ningún conocimiento matemático explícito: se recurre a una materialización de los términos asociando a la variable "x" un objeto físico, por ejemplo se habla de "manzanas", y se efectúa el cálculo en contexto, concluyendo que 4 manzanas más 6 manzanas dan 10 manzanas. Se insiste asimismo sobre el hecho que los términos que no son semejantes no pueden adicionarse (3 x2 y 2 x3), justificando esta imposibilidad sobre el hecho que no pueden juntarse "tomates y peras".
Este recorte del saber, manifestado por una regla de acción que permite obtener la transformación algebraica deseada, es decir permite un éxito local, plantea posteriormente ciertos obstáculos cuando se trata, en el contexto de la resolución de ecuaciones de segundo grado, de expresar x2 + 2x como x (x+2) con el objetivo de encontrar las raíces de la ecuación. Ciertos alumnos tienen dificultad en aceptar dicha transformación, haciendo referencia al hecho de que anteriormente habían aprendido que no se podía efectuar ninguna operación con los "tomates" (x2) y las "peras" (x). El saber matemático que justifica la igualdad 4x + 6x= 10x es la propiedad distributiva de la multiplicación respecto de la adición, saber que raramente es identificado para justificar dicha equivalencia. En la ejecución de cálculos algebraicos, raramente se justifica por qué es posible "agrupar" los términos semejantes en una expresión algebraica.
Vemos así como un objeto de saber es recortado en pequeñas partes, para hacerlo más "accesible" a los alumnos; este recorte, que permite construir reglas de acción para resolver ciertas problemáticas locales, puede generar dificultades cuando se trata de operar en niveles más complejos.
De este modo, la didáctica se diferencia de las interpretaciones cognitivistas en las cuales la noción de sujeto -heredada de la Ilustración- postula la autonomía como categoría fundamental de la persona (Radford, 2000) 10 y presupone que el medio no puede modificar el funcionamiento cognitivo del sujeto. Por el contrario, se da un lugar fundamental a la cultura, se adopta una noción de sujeto en la cual las interacciones entre los individuos son la base de la constitución de su identidad (Jean Lassègue, 2003) y se otorga un rol fundamental a la noción de significación en los análisis de las dificultades de aprendizaje. Vergnaud (1983) muestra, por ejemplo, que las diferentes maneras de leer la fórmula del volumen del prisma, V = s .h (cálculo del volumen cuando se conoce el área, cálculo de la altura cuando se conoce el volumen, el volumen es proporcional al área de la base cuando la altura es constante, etc.) depende de diferentes tipos de conceptualizaciones que no están contenidas en la estructura algebraica de la fórmula (en un vínculo estrictamente algorítmico entre los símbolos implicados). Las categorías de pensamiento, generalmente no explícitas, necesarias a las lecturas posibles de la fórmula (el sistema de signos que la expresa) se constituyen en interacción con una cierta variedad de situaciones que provienen del análisis epistemológico del saber matemático. La didáctica puso en evidencia que estas situaciones se acompañan de interacciones específicas (ligadas a formas culturales pre existentes, al uso del lenguaje, a contextos institucionales específicos) que condicionan los modos de acción de los alumnos y que modifican de esta manera la resolución de la situación y por ende, los conocimientos movilizados. Estas interacciones son constitutivas de las significaciones elaboradas por los alumnos y resultan esenciales para el análisis de las producciones de los alumnos y para comprender las dificultades de aprendizaje.
En ámbito de las neurociencias, de moda actualmente en sus aplicaciones a la educación en América del Norte y en Europa, el rol que juega el contexto en la constitución de las capacidades individuales es claramente diferente:
Los útiles matemáticos que son los números evolucionaron a la vez, por el cerebro y para el cerebro. Por el cerebro puesto que es claro que la historia de los números estuvo limitada por la capacidad del cerebro humano a inventar principios nuevos de numeración. Para el cerebro, porque solamente fueron transmitidas a las generaciones siguientes las invenciones que se adaptaban estrechamente a las capacidades perceptivas y de memoria humanas y que aumentaban las capacidades de cálculo de la humanidad (Dehaene, 1977, p. 219, traducción libre).
El parágrafo donde se encuentra esta citación se titula "El cerebro, motor de la evolución cultural". Claramente, el autor considera que "las capacidades humanas", definidas a priori, condicionan lo que puede producirse en matemática, sin considerar la posibilidad de que las prácticas matemáticas, fundamentalmente sociales, puedan modificar las capacidades que se presuponen a priori. Por otro lado, lo que es transmitido por la cultura es, para el autor, determinado por las capacidades individuales (en particular, las capacidades del cerebro humano) y no por las necesidades colectivas de organización social. Sin embargo, si consideramos el ejemplo particular del cálculo, el saber transmitido de generación en generación está íntimamente ligado al desarrollo tecnológico y no estrictamente a las capacidades de memoria individuales. Los algoritmos de cálculo que implican grandes números no requieren más la utilización de logaritmos desde que se han desarrollado las calculadoras científicas y los ordenadores, siendo estas herramientas tecnológicas el resultado de una práctica colectiva y no una tarea de individuos aislados.
Lassègue (2003) muestra bien que las razones epistemológicas ligadas al proyecto de naturalización de las neurociencias, proyecto en el cual se sitúa Dehaene y que se focaliza exclusivamente en la elaboración de una cartografía neuronal que es común a todos los individuos de la especie, permiten limitar los análisis realizados a individuos aislados y reducir el sujeto de manera de hacerle corresponder una génesis de los conceptos matemáticos ya elaborados (es decir, ya trabajados por la abstracción matemática), evacuando así toda huella de historia y de intersubjetividad en el desarrollo conceptual. Si este modelo de sujeto puede ser transferible o no al contexto epistemológico de la educación, en particular de la educación matemática, es una discusión que todavía no se ha llevado a cabo explícitamente sino que se ha intentado dar por sentado aquello que no es más que una suposición, una hipótesis o un postulado de partida.
Diversos autores, entre ellos Giroux (2010) y Roiné (2009), muestran bien que los trabajos sobre las dificultades de aprendizaje en matemática efectuados en el marco de la psicología del desarrollo, de la psicología cognitiva y de la neuropsicología atribuyen las dificultades directamente a las características funcionales y estructurales del pensamiento del alumno y, por ende, las intervenciones reeducativas son destinadas a actuar directamente sobre los procesos cognitivos (intervenir directamente sobre "las especificidades" del alumno, [Roiné, 2009]). En una recensión de estudios sobre las dificultades en matemática producidos en lengua inglesa, en particular en los Estados Unidos, Giroux (2012) muestra bien que una gran parte de ellos buscan identificar los déficits cognitivos en los alumnos, en particular, los problemas biológicos que pueden estar asociados (inspirados de los trabajos realizados sobre la dislexia). Giroux (2012) advierte sobre la negligencia en estas interpretaciones de la función específica del saber matemático en el análisis de las dificultades de aprendizaje. Apoyándose sobre la noción de saber como conocimiento útil (Conne, 1992), Giroux (2012) afirma que ciertos errores recurrentes de los alumnos no provienen únicamente de una falta de conocimientos sino de relaciones inoperantes entre los conocimientos y las situaciones en las cuales éstos conocimientos son útiles: " Sin reconocimiento de la utilidad de los conocimientos, los alumnos no pueden "saber"" (Giroux, 2012, p. 18).
En el contexto de la didáctica, algunas de estas dificultades pueden estar también ligadas al contrato didáctico que caracteriza el sistema didáctico (Perrin-Glorian, 1993); las intervenciones, en este caso, apuntan a la organización del sistema de mediación elaborado para enseñar un objeto de saber. Sin embargo, Roiné (2009) explica, en su tesis de doctorado, que la ideología psicologista que prevalece en las instituciones escolares produce una cierta " ceguera " en los profesores respecto a las propiedades didácticas pudiendo estar en el origen de las dificultades de los alumnos: el análisis no integra las condiciones didácticas en el contexto de las cuales se manifiestan las dificultades.
5. Conclusión
La discusión sobre los modelos de ciencia implícitos en las disciplinas que colaboran con la educación, así como sobre la concepción de sujeto adoptada, son necesarias para juzgar la pertinencia de la utilización de algunos conceptos en el ámbito de la enseñanza.
En el caso de las neurociencias y en ciertas corrientes de la psicología cognitiva, el modelo de ciencia adoptado responde a un modelo funcional heredado de Galileo, caracterizado por la búsqueda de leyes determinísticas, que no tiene en cuenta las cuestiones de significación que los seres humanos establecen, a través del lenguaje, con el contexto de referencia. Estas cuestiones de significación son esencialmente cambiantes, lo que pone en cuestionamiento la univocidad de los conceptos a los que apunta este modelo de ciencia y por ende, el determinismo al cual se pretende someter la cognición.
Estas posturas que intentan explicar todo proceso de adquisición de conocimientos en términos estrictamente funcionales o biológicos se han traducido en educación en vínculo con una tendencia, al menos en América del Norte, a la medicalización de la enseñanza: a toda dificultad en matemática se le asocia un disfuncionamiento cognitivo (en el caso del modelo funcional adoptado por la psicología cognitiva) o un disfuncionamiento biológico (en el caso de la neuro-educación) para cada uno de los cuales existiría un "diagnóstico" por efectuar y un tratamiento adecuado para repararlo. En esta línea de pensamiento, luego de la discalculia, deberíamos esperar la llegada de diagnósticos de "disalgebria", "disgeometria", "disprobabilidad", entre otros, y por supuesto, la puesta en funcionamiento de investigaciones que busquen los "remedios" adecuados.
En una postura de universalidad de las operaciones cognitivas implicadas en la producción de conocimientos y en el aprendizaje, los contextos de aprendizaje, las condiciones institucionales de transmisión de saberes, los contextos culturales y sociales de pertenencia de los alumnos y la naturaleza específica de los saberes enseñados no son variables esenciales que intervienen en la explicación de las dificultades de aprendizaje.
Diferentes teorías comienzan a incorporar estas variables en el análisis de los problemas de aprendizaje. La teoría de los campos conceptuales de Vergnaud otorga un lugar central al contenido específico de aprendizaje y Duval, a partir de un análisis de la naturaleza específica de los objetos matemáticos, incorpora la dimensión semiótica.
Finalmente, la didáctica de las matemáticas considera las dimensiones contextuales e institucionales del aprendizaje de las matemáticas como elementos fundamentales para la explicación de los fenómenos de aprendizaje de esta disciplina, otorgando así un lugar fundamental a las cuestiones de significación.










nueva página del texto (beta)






