Clasificación JEL: E43, E44, E58, G14.
JEL Classification: E43, E44, E58, G14.
Introducción
La estructura de tasas de interés contiene información clave tanto para la autoridad económica (Banco Central) como para agentes privados. En el primer caso, la información contenida en la estructura de tasas permite al Banco Central monitorear las expectativas del mercado respecto a futuros cambios en la tasa de política monetaria así como también extraer expectativas de inflación a mediano-largo plazo. En el caso de agentes privados, éstos utilizan la información de las tasas de mercado para calibrar una curva de tasas de interés que les permite valorizar diferentes instrumentos financieros, tomar decisiones de inversión en ciertos tramos de la curva de tasas, entre otros. Más aún, agentes del mercado financiero como bancos e instituciones financieras (fondos mutuos, fondos de pensiones, entre otros) que mantienen portafolios bajo diferentes perfiles de estrategia de inversión y de riesgo, podrían verse afectados en forma importante ante la publicación de datos económicos (locales o externos), los cuales podrían generar importantes cambios en el nivel de la estructura de tasas de interés, o cambios en algunos tramos de la estructura de tasa de interés (corto o largo plazo) lo cual generaría cambios en la forma de la estructura de tasas, aun cuando éstos mantengan portafolios inmunizados.1 Dado lo anterior, es de primer orden para agentes de mercado saber qué tan sensibles son las tasas de interés a diferentes plazos ante anuncios económicos.
Dada la importancia de las tasas de interés, se presenta en el caso de tres economías latinoamericanas (Brasil, Chile y México) los factores latentes de la estructura de tasas de interés, los cuales tienen la característica principal de presentar en forma compacta la estructura de tasas a todos los plazos en pocos factores. Dichos factores corresponden a los niveles pendiente y curvatura de la estructura de tasas de interés.
El presente estudio tiene como objetivo documentar los principales factores de la estructura de tasas nominales y el efecto de sorpresas de anuncios económicos locales y externas sobre éstas, así como el efecto de anuncios de política monetaria no convencionales. En el caso de sorpresas económicas, se considera el efecto asimétrico de éstas en los factores de la estructura de tasas, es decir, se distingue el efecto de sorpresas positivas y de sorpresas negativas.
El trabajo está organizado de la siguiente forma: la sección I presenta una breve revisión de la literatura a nivel internacional y local; la sección II presenta los hechos estilizados de la estructura de tasas en Brasil y México, así como una revisión al modelo de Nelson y Siegel (1987), el cual permite computar los factores de la estructura de tasas, definidos como el nivel, pendiente y curvatura. La sección III presenta la definición de sorpresas económicas de política monetaria, inflación, actividad y desempleo, anuncios de política monetaria no convencional de los Estados Unidos, y los resultados de los efectos de sorpresas de variables macroeconómicas y anuncios de los factores de la estructura de tasas de interés. Finalmente, se presentan las conclusiones.
I. Revisión de la literatura
Respecto al modelamiento de la estructura de tasas de interés, destacan los modelos bajo la premisa de no arbitraje, por ejemplo, Dai y Singleton (2000), quienes reportan los factores no observados que explican la estructura de tasas. En tanto, la relación entre la estructura de tasas y variables macroeconómicas ha generado diversas líneas de estudio. Entre las principales destaca a nivel internacional, Ang y Piazzesi (2003), Hördahl, et al. (2002) y Wu (2002), quienes incorporan determinantes macroeconómicos en modelos de estructura de tasas de interés, los cuales intentan estudiar la dinámica de dichos factores y variables macroeconómicas. Diebold y Li (2006) presentan una variante del modelo de Nelson y Siegel (1987) que es capaz de captar la dinámica conjunta de los factores de la estructura de tasas con algunas variables macroeconómicas. Dichos factores corresponden al nivel, pendiente y curvatura de la estructura de tasas, y pertenecen a los parámetros estimados del modelo original de Nelson-Siegel. Otra línea de investigación es la referente a como las tasas de interés se ven afectadas ante ciertos anuncios o releases de datos macroeconómicos. Esto último es reportado por Gürkaynak, et al. (2005), quienes reportan los efectos en las tasas forward a largo plazo ante sorpresas de variables macroeconómicas como de política monetaria.
Por otro lado, existe una línea de investigación caracterizada por el uso de análisis factorial, el cual corresponde a un método no paramétrico de estimación de los factores de la estructura de tasas de interés. Litterman y Scheninkman (1991) y Bliss (1997) utilizan dicho método para identificar los factores que explican la dinámica de la estructura de tasas, identificando que tres factores, descritos como nivel, pendiente y curvatura, permiten explicar en forma compacta la estructura de tasas, siendo estos factores similares en términos de información a lo obtenido en el modelo de Nelson-Siegel. Dichos factores son capaces de explicar 97% de la varianza de las tasas de interés. Por otro lado, similares resultados son reportados por Cortázar y Schwartz (1994), quienes utilizan la metodología de componentes principales en el mercado de commodities y Ceballos (2014), quien estima los factores de la estructura de tasas en Chile con base en componentes principales.
La evidencia empírica para Chile respecto a los efectos de sorpresas macroeconómicas y de política monetaria en la estructura de tasas ha sido reportada por Meyer (2006), quien reporta la respuesta de tasas de bonos a releases de datos económicos, y Larraín (2007), quien reporta los efectos de sorpresas de tasa de política en tasas de bonos a diferentes plazos. Chaumont y Cicco (2012), utilizando un enfoque heterocedástico, caracterizan efectos de shocks de política monetaria en activos financieros.
Más reciente es lo reportado por Ochoa (2006) quien estima los factores de la estructura de tasas mediante un modelo de no arbitraje, con lo que concluye que dichos factores corresponden a la tasa instantánea y tendencia central. Por otro lado, Morales (2010) estima el modelo dinámico propuesto por Diebold y Li (2006) para tasas reales en Chile y estudian la dinámica de los factores y algunas variables macroeconómicas. Alfaro, et al. (2011) estiman una versión discreta del modelo dinámico de Nelson-Siegel, reportando la relación de los factores de la curva y algunas variables macroeconómicas. Finalmente, Ceballos (2014) computa los factores de la estructura de tasas para Chile con base en componentes principales y modelo de NS concluyendo que el efecto de sorpresas en los factores de la estructura de tasas es similar. En el caso de Brasil, Pragidis, et al. (2013) estudian los efectos asimétricos de la política monetaria en los Estados Unidos y Brasil con base en modelos VAR. En tanto, De Pooter (2014) estudia el impacto de sorpresas de datos económicos en Brasil, Chile y México tanto en tasas nominales como en compensación inflacionaria a un año y a plazos más largos.
II. Estructura de tasas de interés nominales
En esta sección se revisan los principales hechos estilizados de la estructura de tasas nominales de Brasil, Chile y México en el periodo comprendido entre enero de 2005 y diciembre de 2013; al mismo tiempo se revisa el modelo de estimación y ajuste de estructura de tasas propuesto en Nelson y Siegel (1987). Finalmente se presenta los factores de la estructura de tasas de cada país, los cuales corresponden al nivel, pendiente y curvatura.
1. Hechos estilizados
La estructura de tasas nominales en estos países ha registrado episodios de importante volatilidad y cambios abruptos en el nivel de tasas a diferentes plazos. En particular, durante el periodo posterior al inicio de la crisis financiera en 2008, se registraron importantes caídas en las tasas a todos los plazos, entre las cuales destaca la caída en torno a 400 puntos base de la tasa a 10 años, con lo que se agregó a esto un aumento en la pendiente de la estructura de tasas (definido como la diferencia entre la tasa larga y tasa corta) a niveles no observados hasta ese momento como se aprecia en la Gráfica 1.

Fuentes: Bloomberg, Banco Central de Chile y Riskamerica.
a La gráfica reporta las tasas de interés nominales a plazos de tres, seis y 12 meses, así como a dos, cinco y 10 años, plazo en frecuencia diaria para el periodo enero 2005 a diciembre 2013. Todas las variables están medidas en porcentaje.
Gráfica 1: Tasas de interés nominalesa
Lo anterior revela la importancia de utilizar un modelo en particular de ajuste de la estructura de tasas, que tenga la flexibilidad de poder captar diferentes formas de la estructura de tasas a lo largo del tiempo. Otra característica relevante de la estructura de tasas es el hecho de que las tasas de menor plazo son más volátiles que las tasas de largo plazo, las cuales presentan un alto nivel de persistencia.
En lo que resta del trabajo, se utilizarán datos diarios de tasas de bonos del mercado secundario de bonos nominales informados por Riskamerica en el caso de Chile; mientras que para Brasil y México se utilizará la información basada en Bloomberg durante el periodo comprendido entre enero de 2005 y diciembre de 2013. Los plazos considerados en las tasas nominales corresponden a tres y seis meses, así como también uno, dos, cinco y 10 años plazo. Para plazos menores a un año, se consideraron instrumentos del mercado monetario de cada país, mientras que a plazos mayores a un año se consideraron bonos de gobierno nominales denominados en moneda local.
2. Modelo de Nelson-Siegel (NS)
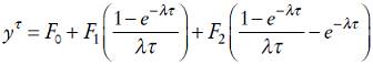
Tanto para agentes del mercado como para autoridades económicas se utilizan modelos de ajuste de tasas de interés con el objetivo de extraer información de la estructura de tasas, o para contar con una curva que permita ser usada de referencia para la valoración de otros instrumentos financieros. Tal como se indicó en la sección anterior, dicho modelo debe tener la flexibilidad de poder captar las diferentes formas de la estructura de tasas en un día determinado (e. g., curva con pendiente positiva, negativa u otra forma). De acuerdo con el BIS (2005), de las diferentes metodologías existentes para la calibración de la estructura de tasas de interés, el modelo NS es el método más utilizado por diferentes bancos centrales debido a su fácil estimación y buen ajuste a los datos observados. Dicho modelo corresponde a:
donde y
τ corresponde a las tasas de interés y al plazo τ observados en una fecha determinada. La ecuación (1) es calibrada en los parámetros
La interpretación de cada parámetro del modelo viene dado por el efecto que éstas tienen en las tasas a diferentes plazos tal como se ilustra en la Gráfica 2. Es así como el parámetro F 0 es denominado como el factor nivel (L) ya que tiene efectos permanentes sobre el nivel de tasas. El parámetro F 1 corresponde al factor pendiente (S) dado su efecto principalmente en la parte corta de la curva, mientras que a medida que aumenta el plazo de las tasas el efecto de este factor decae. Por último, el parámetro F 2 se asocia con curvatura (C) dado que el mayor impacto en las tasas es a plazos intermedios.
La estimación del modelo es no lineal y de corte transversal. En el primer caso, el parámetro λ impone la no-linealidad del modelo. En el segundo caso, el modelo (en su especificación original) ignora la dinámica de serie de tiempo de las tasas de interés, limitándose a una calibración de tasas en corte transversal. Además, el modelo de NS tiene importantes restricciones respecto a los niveles de tasas a los cuales converge:
3. Factores de la estructura de tasas
Con el objetivo de obtener los parámetros (factores) de (1), se procede a fijar el parámetro λ del modelo por dos razones: i) al fijar dicho parámetro, el modelo es lineal y es posible estimarlo mediante mínimos cuadrados ordinarios (MCO), y ii) cambios en los parámetros (factores) estimados del modelo se pueden interpretar como cambios efectivos en el nivel, pendiente y curvatura de la estructura de tasas. Con esto se procede a seleccionar el valor de λ que minimice la raíz del error cuadrático medio (RECM) de ajuste a las tasas de mercado observadas en frecuencia diaria durante el periodo en estudio. Con base en el criterio de minimizar el RECM de ajuste dentro de muestra se considera una grilla de valores para el parámetro λ, donde se aprecia que tomando valores entre 0.06 y 0.15 el error se minimiza.2 También se realizó el ejercicio de estimar el modelo no lineal durante toda la muestra, lo cual evidencia que el promedio del parámetro λ coincide con el seleccionado según el criterio del RECM.
Finalmente, se procede a estimar mediante MCO los parámetros del modelo (1) sujeto al valor calibrado de λ para cada día en el periodo enero de 2005 a diciembre de 2013.3 La Gráfica 3 presenta la estimación de los tres factores para cada economía. Se aprecia que el factor nivel es persistente y es atribuible a lo derivado del modelo de Nelson y Siegel, respecto a que este factor corresponde a la tasa de largo plazo de la economía. El factor pendiente registró un aumento importante durante el periodo 2009-2010 atribuible a la expansividad de la tasa de política monetaria de cada economía y debido a la implementación de medidas no convencionales en algunos casos. Finalmente, se aprecia que el factor de curvatura adquiere mayor dinamismo durante el mismo periodo.
III. Impacto de sorpresas económicas y anuncios en factores de la estructura de tasas
En esta sección se describen las variables macroeconómicas locales y externas utilizadas, así como las medidas de anuncios consideradas. Luego se procede a describir la construcción de las sorpresas económicas y los efectos que éstas tienen en los factores de la estructura de tasas en alta frecuencia.
1. Medidas de sorpresas y anuncios de política monetaria
Las variables macroeconómicas utilizadas corresponden a las comunes reportadas en la literatura, las cuales son el índice mensual de actividad (en el caso de Brasil y México se utiliza el índice de producción industrial, mientras que en Chile se utiliza el IMACEC), la tasa de inflación total (IPC), la tasa de política monetaria (TPM) y desempleo a nivel local. A lo anterior se agregan las mismas variables en el caso de los Estados Unidos.
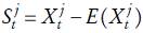
Con las ocho variables ya mencionadas, se procede a computar medidas de sorpresas macroeconómicas, las cuales son definidas como:
donde
El Cuadro 1 presenta una descripción de las sorpresas económicas consideradas. La columna Total de anuncios índica el número de publicación de datos económicos (o de reuniones de política monetaria) que se registran durante el periodo en estudio. En el caso de las reuniones de política monetaria (TPM) se consideran sólo meses en los cuales se realizó reunión de política monetaria, y por esto el número de anuncios es menor que el resto.4 La segunda columna Sorpresas indica el porcentaje de sorpresas que fueron positivas (dato efectivo mayor al esperado), negativas (dato efectivo menor al esperado) o cero (cuando no hay sorpresas). En tanto, las columnas Sorpresas positivas y Sorpresas negativas presentan el promedio y desviación estándar de las sorpresas positivas y negativas respectivamente.
Del cuadro anterior se aprecia que tanto las sorpresas de inflación, actividad y desempleo tienden a ser de igual magnitud (sorpresas positivas y negativas), aunque en términos de la frecuencia con las que se observan difieren, por lo que destaca que las sorpresas negativas de desempleo tienen mayor ocurrencia, y en algunos casos, como en Brasil y México, se evidencia el mismo hecho en sorpresas de actividad. Finalmente, la ocurrencia de sorpresas de política monetaria son acotadas (entre siete y 20% del total de reuniones), dada que una sorpresa del Banco Central en la tasa de política, evidencia que éste tiene información que el mercado no ha incorporado en sus expectativas, lo cual lleva a corregirlas. Dado lo anterior, se considera tanto el efecto total de la sorpresa en los factores de la estructura de tasas nominales, como el efecto asimétrico (si existe) en dichos factores.
Un punto importante que se debe considerar es si los releases, tanto de variables locales como externas, se informan en el mismo periodo, lo cual generaría la dificultad de poder separar el efecto de anuncios locales y externos en el caso extremo donde los anuncios sean realizados el mismo día. En el Cuadro A1 del Apéndice se reporta las semanas en las cuales los datos económicos son publicados, así como la frecuencia que se ha observado durante el periodo 2005 a 2013. En general, no se observa que la publicación de datos económicos tanto en Brasil, Chile y México coincida en forma importante con las fechas de publicación de los Estados Unidos.
Por lo anterior, se consideran anuncios locales y externos relevantes en dicho periodo, tal como anuncios de medidas de política monetaria no convencional de los Estados Unidos5 con el fin de cuantificar el impacto de éstos en las economías latinoamericanas consideradas. Las fechas y descripción de estos anuncios están detalladas en el Cuadro 2.
2. Modelo econométrico
Se procede a testar la siguiente especificación con el fin de cuantificar el impacto de sorpresas macroeconómicas locales y externas, así como también medidas de anuncios relevantes en los factores de la estructura de tasas obtenidos mediante (1):
donde F t corresponde al vector de factores estimados mediante el enfoque de Nelson y Siegel detallado en (1) el día t, S i corresponde a las medidas de sorpresas explicadas en (2), y D j corresponde a los anuncios de política monetaria no convencionales de los Estados Unidos. Tanto para el caso de la tasa de política monetaria local y externa, así como los anuncios de política no convencional, se considera que el efecto en las tasas de interés de mercado es capturado al día hábil siguiente debido a que el mercado local se encuentra cerrado al momento de la publicación en el caso de Chile. Con el objetivo de asegurar que el impacto de las variables macroeconómicas sea bien medido, se considera el efecto asimétrico de las sorpresas macroeconómicas en (2) diferenciando sorpresas positivas de las negativas.
3. Resultados
En el Apéndice se reportan los resultados de las regresiones de las sorpresas y anuncios para cada economía. Para cada país, se reporta el efecto de las sorpresas totales, es decir, sin diferencias el signo de las sorpresas, como también los efectos de sorpresas asimétricas de cada sorpresa. Tanto para las sorpresas locales, externas y anuncios de política monetaria no convencional, los coeficientes son multiplicados por 100 (en puntos base). En el caso de Brasil (Cuadro A2), se aprecia que sorpresas locales y externas de política monetaria impactan en los factores de la estructura de tasas. En tanto, todos los anuncios de política no convencional son significativos, siendo el QE1 y Twist los de mayor incidencia. En el caso de Chile (Cuadro A3) se observa que sorpresas locales de inflación y de política monetaria son relevantes, así como se registra que sorpresas de desempleo y actividad tienen un impacto asimétrico en la estructura de tasas, aunque acotado. En tanto, al considerar sorpresas externas se reporta un efecto asimétrico en la mayoría de las variables, siendo la de política monetaria la de mayor impacto. En el caso de anuncios, los resultados indican que todos los anuncios son significativos, siendo el QE1 y Twist los más relevantes al igual que lo evidenciado en Brasil. Finalmente, en México (Cuadro A4) se evidencia un efecto asimétrico tanto de desempleo y de política monetaria en los dos primeros factores de la estructura de tasas, mientras que en sorpresas externas se aprecia similar resultado al observado en Chile. El efecto de anuncios más relevante es el de QE1.
Para medir los efectos asimétricos de diferentes sorpresas económicas, la especificación (3) considera todas las sorpresas con valor absoluto distinto de cero. A modo de analizar la robustez de nuestros resultados, se consideran definiciones de sorpresas positivas y negativas más estrictas. En particular, se estima el modelo (3) considerando como sorpresas aquellas que tengan desvíos mayores a uno y dos desviaciones estándar en los casos de inflación, actividad y desempleo. Con esto, se intenta captar el efecto de sorpresas económicas poco frecuentes y que se asocian a eventos extremos de mercado.6 Se excluye el caso de política monetaria, ya que como se reporta en el Cuadro 1, en general no se notifican con frecuencia sorpresas en esta variable.
En los Cuadros A5 y A6 se reportan los resultados del ejercicio de robustez. En el caso de sorpresas locales, se observa que el cambio en la definición de sorpresas no altera la lectura del modelo base. Con esto, sorpresas de inflación se mantienen como las más relevantes, en especial las sorpresas negativas. En tanto, sorpresas de desempleo de poca frecuencia (mayor a dos desviaciones estándar) tienen impacto negativo en curvatura o pendiente de factores de los países considerados. Asimismo, respecto al modelo base, el cambio de definición del tamaño de la sorpresa económica mantiene el signo de los coeficientes. Por otro lado, en el caso de sorpresas externas, se mantienen los resultados del modelo base, por lo cual son las sorpresas de desempleo, y en menor medida las de inflación, las de mayor incidencia. No obstante, al igual que en el caso de sorpresas locales, eventos extremos de actividad registran un efecto importante en factores de la estructura de tasas.
A modo de complementar el efecto en la estructura de tasas, se analiza el efecto de las sorpresas locales y externas, así como el de anuncios de política monetaria en las tasas de interés a todos los plazos (desde tres meses hasta 10 años) con base en los efectos de dichas variables en los factores de la estructura de tasas de interés utilizando como sorpresas económicas todos los casos en que la publicación difiera del dato efecto (sorpresa mayor a cero en valor absoluto). Con esto, se puede ilustrar de mejor forma los efectos y en cuáles tramos de la estructura de tasas se concentran.
a) Efectos de sorpresas locales. En el caso de Brasil, se observa que las sorpresas locales de inflación y de política monetaria son las que tienen mayor efecto en la estructura de tasas. En particular, se evidencia que una sorpresa de 100 puntos base de inflación genera un efecto persistente en la estructura de tasas en torno a 50 puntos base a todo el horizonte. En tanto, al considerar los efectos asimétricos se observa que las sorpresas negativas de inflación tienen mayor magnitud, de modo que se registra un efecto mayor entre uno a dos años en la estructura de tasas del orden de 70 a 80 puntos base. Por otro lado, las sorpresas de política monetaria tienen mayor incidencia en el tramo corto de la estructura de tasas de interés (en particular a plazos menores de dos años), con lo que se registra una incidencia del orden de 50 puntos base a tramos de tres meses, para decaer en torno a 0 en un horizonte de cuatro años. En tanto, las sorpresas de actividad y de desempleo tienen poca incidencia en la estructura de tasas.
En Chile, al igual que en Brasil, las sorpresas, tanto de inflación como de política monetaria son relevantes. No obstante, a diferencia de Brasil, la incidencia de sorpresas de inflación son menores, entre 12 y 20 puntos base dependiendo del plazo. En tanto, al igual que el caso de Brasil, las sorpresas de inflación negativas tienen un efecto mayor en la estructura de tasas, alcanzando un máximo de 22 puntos base alrededor de dos años plazo. En tanto, las sorpresas de política monetaria tienen una alta incidencia en el tramo corto de la estructura de tasas (hasta algo menos de dos años plazo), para luego no tener incidencia a plazos mayores. Además, no se registran mayores diferencias cuando se consideran sorpresas de política monetaria.
Finalmente, en México se observan resultados similares a los de otras economías. Sorpresas de inflación y de política monetaria son los que inciden mayormente en la estructura de tasas. En el primer caso, la magnitud del efecto es menor, del orden de 10 puntos base, siendo las sorpresas negativas las que tienen un impacto algo mayor en torno a 15 puntos base. En el segundo caso, se evidencia que las sorpresas tienden a ser más relevantes a plazos menores a dos años (al igual que en el resto de países), pero la magnitud del efecto es menor (del orden de 20 puntos base). Al considerar los efectos asimétricos de dicha sorpresa, las sorpresas positivas de política monetaria tienen un efecto mayor y más persistente en la estructura de tasas, alcanzando una incidencia de 40 puntos base en un horizonte de cuatro a 10 años.
Así, las sorpresas locales de variables relacionadas con el ciclo real de la economía (actividad y desempleo) tienen un bajo efecto en la estructura de tasas, resultado que se mantiene al considerar los efectos asimétricos de dichas sorpresas. No obstante, las sorpresas económicas de inflación tienen alta incidencia con un efecto en la mayoría de los plazos analizados. Más aún, las sorpresas negativas de dicha variable registran mayor efecto en tasas de las economías analizadas, entre 15 a 80 puntos base dependiendo el país y plazo. En tanto, las sorpresas de política monetaria tienen un efecto en el tramo corto de la estructura de tasas, el cual decae a medida que se considera un plazo mayor, lo cual es coherente con la teoría de expectativas de tasas cortas.

Fuente: elaboración propia.
a La línea negra mide efecto de sorpresa total en estructura de tasas. Las líneas negra y gris punteadas miden el efecto de sorpresas positivas y negativas respectivamente. Todas las variables están medidas en punto base.
Gráfica 4: Efecto de sorpresas económicas en tasas de interésa
b) Efectos de sorpresas externas. En el caso de sorpresas externas (referidas a los Estados Unidos) se observa, al igual que en el caso de las sorpresas de datos económicos locales, que las sorpresas asociadas a actividad tienen un bajo impacto en la estructura de tasas, tanto en el efecto total como al considerar el impacto de las sorpresas asimétricas. No obstante, en el caso de las sorpresas de desempleo se aprecia que éstas tienen una mayor relevancia: en el caso de Brasil, se observa un efecto en tasas a plazos mayores de dos años y en torno a 10 puntos base, manteniéndose el resultados al considerar el efecto asimétrico de dicha sorpresa con un impacto de entre ocho y 17 puntos. En tanto, en Chile y México el efecto total y el de sorpresas negativas es bajo y en torno a cuatro puntos base, mientras que sorpresas positivas de desempleo impactan en tasas entre 10 a 15 puntos base a plazos en torno a 10 años.
Al considerar el efecto de sorpresas de inflación de los Estados Unidos se observa que el efecto total de dichas variables en todas las economías es bajo y marginal. No obstante, al considerar el signo de la sorpresa de inflación se aprecia que existe un efecto en torno a 20 puntos base en el caso de Brasil a plazos mayores a dos años, mientras que en Chile y México el efecto es en torno a 10 puntos base, siendo en el primer caso una incidencia mayor en tramos cortos de la estructura de tasas, mientras que en el segundo a plazos más largos.
En cuanto a sorpresas asociadas a política monetaria, se evidencian dos patrones comunes en las economías latinoamericanas analizadas: i) el efecto total de dicha sorpresa es en general permanente a todos los plazos; se registra el mínimo efecto en Chile en torno a los seis puntos base; mientras que tanto en Brasil y en México el impacto es del orden de los 30 puntos base, y ii) los efectos de sorpresas positivas son altas, aunque debido a que únicamente se ha registrado un anuncio del total de reuniones de política monetaria de los Estados Unidos, en donde se ha sorprendido al mercado con un alza no esperada (véase el Cuadro 1).
c) Efectos de anuncios de política monetaria. En el caso de anuncios de política monetaria no convencional, asociados principalmente a anuncios de los Estados Unidos sobre compra de activos (véase el Cuadro 2), en la Gráfica 5 se reporta el efecto de dichos anuncios a todos los plazos.

Fuente: elaboración propia.
a La línea negra mide el efecto de sorpresa total en estructura de tasas. Las líneas negra y gris punteadas miden el efecto de sorpresas positivas y negativas respectivamente. Todas las variables están medidas en punto base.
Gráfica 5: Efecto de anuncios de política monetaria no convencionala
En términos de mayor magnitud, anuncios relacionados al Quantitative Easing 1(QE1) y al Twist Operation son los que registran mayor efecto en las economías analizadas. Anuncios de política no convencional asociados al QE1 registran un efecto de negativo entre ocho a 15 puntos base dependiendo del país y plazo considerado. Más aún, el efecto de dicho anuncio tuvo un carácter permanente y de mayor incidencia en tasas largas de las economías. Dicho efecto va en línea con el carácter económico del anuncio, el cual tenía por objetivo la compra de bonos de larga duración para generar presiones de mayores precios (menor tasa de interés), lo cual se ve reflejada en las economías latinoamericanas. Por el contrario, anuncios de QE posteriores no registraron efectos relevantes en la estructura de tasas en ningún país bajo estudio (el orden de magnitud del efecto de estos anuncios fue menor a cinco puntos base).
Por otro lado, los efectos del twist operation fue un aumento de tasas en todas las economías consideradas. No obstante se registran importantes diferencias en el efecto de cada economía. En el caso de Brasil se registra una alta incidencia en la estructura de tasas de interés con un impacto de hasta 38 puntos base a horizontes largos. En el caso de Chile y México, los efectos son más acotados: mientras que en el primer caso el efecto en tasas de corto plazo es del orden de los cinco puntos base, a plazos más largos converge a un impacto de 10 puntos base, en tanto que en México el efecto es aún menor, alcanzando un impacto máximo de cinco puntos base en tasas de interés de dos a tres años.
Conclusiones
En este artículo se reportaron los efectos de sorpresas económicas y anuncios de política monetaria no convencional en los factores de la estructura de tasas nominales en Brasil, Chile y México durante el periodo 2005-2013 en frecuencia diaria.
Al estudiar los efectos de sorpresas de variables económicas y anuncios de política monetaria no convencional en la estructura de tasas a diferentes plazos, se evidencia que sorpresas locales de inflación y política monetaria tienen mayor efecto en la forma de la estructura de tasas. En el primer caso, el efecto en la estructura de tasas es de carácter permanente (efecto en las tasas de interés a todos los plazos), mientras que en el segundo caso el efecto se concentra en tramos cortos de la estructura de tasas de interés. Asimismo, los efectos asimétricos de dichas sorpresas se evidencian sólo en los casos de Brasil y Chile, aunque dicho efecto es de menor magnitud.
Por otro lado, sorpresas externas tienden a tener un impacto asimétrico en las tasas de los países considerados, siendo noticias relacionadas con el sector real (actividad) las que tienen mayor efecto en la estructura de tasas de los países bajo estudio, y en menor medida sorpresas de inflación. En cuanto al efecto de anuncios de política no convencional, tanto el del QE1 y Twist son los que presentan mayor incidencia en la estructura de tasas.
La evidencia sugiere que noticias locales relacionadas con la inflación, así como noticias externas del sector real inciden de forma importante en la forma de la estructura de tasas. Lo anterior propone que en el caso de bancos centrales, sorpresas de inflación en economías con metas de inflación como las analizadas puede conllevar a cambios permanentes, aunque moderados en la estructura de tasas, lo cual estaría en línea a que el mercado esperaría una política monetaria más contractiva ante eventos inflacionarios mayores a los esperados por el mercado. En el caso de agentes privados, nuestros resultados dan cuenta de que diferentes noticias afectan distintos tramos de la estructura de tasa, así como existen efectos diferenciados dependiendo del tipo de noticia y el valor de la misma, con lo que portafolios mantenidos por estos agentes deberían considerar la mayor sensibilidad de bonos de gobierno ante determinados anuncios de datos económicos.










nueva página del texto (beta)















