Clasificación JEL: G32, G33, R11.
JEL Classification: G32, G33, R11.
Introducción
En una economía de mercado, el fracaso de una empresa puede provocar un efecto contagio que afecta de forma negativa al resto de empresas con las que aquélla tenía relación, ya que pierden un cliente o proveedor, e incrementa el desempleo, lo que afecta al consumo en general: un número limitado de empresas fracasadas, al igual que un número limitado de fallidos en los créditos, tanto comerciales como financieros, puede ser absorbido por el conjunto de la economía, sin que esto tenga efectos significativos. Por el contrario, la generalización o aumento del fracaso empresarial afecta de forma directa al sistema económico, porque se puede producir un efecto dominó en la destrucción de la actividad económica.
Acerca del efecto contagio que un evento negativo provoca sobre áreas próximas existe toda una rama de investigación en economía; se cuenta con varios estudios sobre shocks negativos en mercados financieros que se propagan a mercados próximos, como se puede ver en el trabajo de Chirinos (2013), entre otros. Más concretamente, en los últimos tiempos investigadores de todo el mundo han mostrado interés por investigar el efecto contagio y la incidencia espacial que determinados fenómenos -como el emprendimiento u otros con tintes más negativos, como el fracaso empresarial, shocks negativos de crédito, sea bancario o comercial, y la relación entre ambos fenómenos- puedan desempeñar sobre el resto de las empresas. Así, por ejemplo, contamos con el trabajo de Mathur (2009), en el que con metodología distinta a la utilizada en este artículo se analiza la incidencia espacial de la creación de nuevas empresas. En el trabajo de Buehler et al. (2012) se introducen variables que caracterizan la localización de una empresa (condiciones de negocio locales, factores culturales de la zona, etc.) para analizar el fenómeno de la bancarrota.
Las relaciones entre empresas se articulan principalmente por medio del crédito comercial, el concedido y el dispuesto. Numerosos autores han analizado, en los últimos años, si el efecto de la contracción de crédito como consecuencia de la crisis financiera ha sido compensado por un aumento de este crédito comercial o si por el contrario se ha producido una contracción de esta fuente de financiación en paralelo al cierre del grifo bancario, fenómeno llamado en inglés credit contagion. El análisis de Tsuruta (2013) muestra que el crédito comercial se redujo también a la par que el crédito bancario, durante la última fase recesiva de la economía. En concreto el saldo de proveedores disminuyó especialmente para las empresas con más altos saldos de clientes y poco efectivo. Otros autores que encuentran complementariedad y no sustitución entre el crédito comercial y el crédito bancario son, por ejemplo, Uesugi y Yamashiro (2008). Los resultados de Bastos y Pindado (2013) muestran primero un efecto sustitutivo en el corto plazo (ya que las empresas que ven restringido el acceso al crédito bancario posponen los pagos a sus proveedores, que a su vez hacen lo propio, originando un efecto cascada), que es reemplazado en el medio plazo por un efecto complementario, siguiendo la restricción del crédito comercial a la restricción del préstamo por parte de las entidades financieras.
Según( Kiyotaki y Moore, 1997, 2002), durante un credit contagion, la posibilidad de que una empresa no pague (en especial si es pequeña y restringida financieramente) se incrementa con la cantidad de créditos comerciales concedidos a otras empresas. Giesecke y Weber (2006) definen de hecho el credit contagion como la propagación de las dificultades financieras de una empresa a otra. Boissay (2006) muestra, con un modelo teórico, cómo cuando los clientes de una empresa sana sufren dificultades financieras, la probabilidad de la empresa de entrar a su vez en dificultades financieras se incrementa de igual manera. Jorion y Zhang (2009) argumentan que en el caso de una bancarrota, los efectos de contagio son mucho más fuertes para una empresa industrial con la que se tienen relaciones comerciales que para una financiera, porque la exposición al crédito comercial suele suponer una mayor proporción respecto a los activos del proveedor y además porque, a veces, un solo comprador representa un gran porcentaje del crédito comercial suministrado por un proveedor.
Los efectos negativos del contagio son obvios la mayoría de las veces. Así, Hunsader et al. (2013) encuentran que las rentabilidades de empresas cotizadas, cuyas rivales entran en bancarrota, caen. Este efecto se da si las empresas se pueden caracterizar como complementarias (strategic complements). García-Appendini (2014) muestra que las empresas en sectores donde se ha producido una quiebra de un competidor importante ven reducidas sus inversiones, probablemente por un peor acceso a los fondos externos. Tsuruta (2013) concluye que si una empresa sufre un shock inesperado de liquidez y deja de pagar, el efecto del shock se propaga a las empresas que han concedido créditos a dicha empresa. Si suponemos que las empresas suelen establecer más vínculos comerciales con sus homólogas que se encuentran en áreas geográficas cercanas, el efecto contagio del fracaso a zonas próximas es la siguiente e inevitable consecuencia lógica de esta argumentación.
En este artículo queremos analizar el fracaso y su efecto contagio para el caso español. España es una economía de mercado, con un importante peso dentro de la región económica europea. Creemos que es pertinente el estudio del fracaso y de su contagio para este país por el rápido deterioro del entorno económico y la notabilísima variación en las cifras de fracaso cuando estalló la recesión en el año 2008 y la gran importancia relativa de esta economía en el continente europeo y a nivel mundial. Ya que nuestro periodo de estudio es relativamente largo, conviene detenerse para comentar, si bien brevemente, el entorno macroeconómico que caracteriza este lapso. Durante el periodo de estudio, comprendido entre 2005 y 2013, se produce un cambio estructural importante en la economía española que divide el periodo en dos subperiodos bien diferenciados y cuyo punto de inflexión se podría situar en el último trimestre del año 2007, que marca la frontera entre los periodos de crecimiento y de recesión de la economía. La época expansiva de la economía española viene marcada por un fuerte incremento del empleo que se generó desde 1995 hasta 2007, lo que produjo un considerable aumento de la masa salarial y de la renta de los ciudadanos, lo que trajo, a su vez, un aumento de la demanda de bienes de consumo e inmuebles (Pampillon Olmedo, 2008).
El hecho de coincidir una caída significativa de los tipos de interés desde finales de la década de 1990 con una simultánea relajación de las condiciones para concesión de las hipotecas (García Montalvo, 2009) se convierte en acicate para la fuerte expansión económica; primero, y al mismo tiempo, para sentar las bases de la recesión económica actual; después, por la muy generosa concesión de crédito y el consiguiente sobreendeudamiento de la economía española, generado para financiar una burbuja de los activos inmobiliarios. Este sobreendeudamiento se producía en paralelo a un escenario en el que la desregularización del sistema financiero facilitó operaciones más especulativas por parte de las entidades financieras en un marco de relajación de los controles del riesgo (Albarracín, 2009).
Una vez que estalló la burbuja financiera, lo hizo, por simpatía, la inmobiliaria, lo que a su vez provocó más inestabilidad en el sistema financiero que se queda sin liquidez, por el no retorno del capital prestado, y con los balances saturados de inmuebles sobrevalorados. El mismo círculo virtuoso que propició el crecimiento y la creación de empleo se tornó círculo vicioso de destrucción de la actividad económica y de empleo sin parangón en España desde el crack de 1929.
Este entorno de recesión económica tiene su incidencia en el fracaso empresarial, por las menores ventas a causa de la retracción de la actividad económica, el agotamiento del crédito y la falta de liquidez, provocando un aumento brutal del número de empresas que precipitan el cierre. Estas quiebras traen como consecuencia un aumento inédito del desempleo hasta escalar a cifras de 27.16% de la población activa, equivalente a más de seis millones de desempleados (Encuesta de Población Activa, marzo, 2013). De hecho, según el informe de la Organización para la Cooperación y el Desarrollo Económicos (OCDE) Jobs Study (1994), la apertura de negocios es la mayor responsable de la creación de empleo en la economía, así como el cierre de empresas lo es de la mayoría de la destrucción de empleo. En España, en los albores de la crisis, en sólo tres meses (segundo trimestre de 2008) se cerraron alrededor de 100000 empresas y se perdieron paralelamente 1227000 puestos de trabajo.
En España, las empresas que fracasan pasan primero por un proceso concursal o concurso de acreedores, excepto aquellas que abandonan la actividad sin utilizar este recurso legal (liquidación voluntaria, que supone un porcentaje residual). Este concurso de acreedores es una nueva figura recogida por la normativa concursal, según la Ley 22/2003 del 9 de julio que entró en vigor el 1° de septiembre de 2004, y que sirve tanto para las antiguas quiebras como para las situaciones de suspensiones de pagos, que se agrupan para reflejar un estado de insolvencia dentro de la empresa. La ley define el estado de insolvencia como la situación que se produce cuando el deudor no puede cumplir regularmente sus obligaciones exigibles.
El estudio del fracaso empresarial se ha centrado hasta ahora en estimar un modelo fiable de predicción del mismo, cuyo objetivo es construir una herramienta útil para prevenir y corregir el fracaso empresarial antes de que ocurra (Lizárraga Dallo, 1997, o Labatut Serer et al., 2009, entre otros). Una segunda línea de investigación centra sus trabajos en intentar explicar cuáles son las causas del mismo, tanto las externas como las internas, con el objetivo de comprender mejor el fenómeno y ayudar a la obtención de modelos más precisos (Calvo-Flores et al., 2007, o Manzaneque et al., 2010, entre otros).
Si bien ambos grupos se centran en una visión preventiva del fracaso empresarial, el presente artículo se desmarca de todos ellos y ha optado por un enfoque del problema con un análisis que sea capaz de describir la situación de forma espacial en primera instancia, analizando el comportamiento geográfico del concurso de acreedores a nivel provincial para, posteriormente, contrastar la hipótesis del contagio financiero espacial y espacio-temporal del concurso de acreedores. Los análisis se han realizado con técnicas de Análisis Exploratorio de Datos Espaciales (AEDE).
Esta metodología de AEDE ha sido previamente utilizada para analizar, por ejemplo, si la estructura de capital de las empresas está influenciada por la ubicación territorial de las mismas, es decir, por factores regionales y por efectos de interrelación entre regiones (Maté et al., 2013); o para estudiar, por ejemplo, la distribución espacial de las industrias innovadoras en una economía (Flores y Villareal, 2014), entre otros estudios. Sin embargo, no tenemos conocimiento de ningún trabajo que, hoy día, haya estudiado el fenómeno del concurso de acreedores o fracaso empresarial con esta metodología.
Nuestros resultados sobre la incidencia del fracaso empresarial muestran la existencia a nivel global, para todo el periodo observado, de una clara diagonal noroeste-sureste que divide el territorio en dos, con una mayor concentración de concursos en la parte superior de dicha diagonal. Se constata un efecto contagio de signo positivo del sector industrial para todo el periodo, que se traslada al nivel global, especialmente para los años anteriores a la crisis. Sin embargo, el sector de la construcción no presenta contagio. Este efecto contagio que incrementa los concursos de acreedores en una provincia cuando ocurren también en las provincias vecinas en el mismo año se verifica también para el año siguiente. Durante los años de crisis parece que pesan más sobre el fracaso empresarial los efectos globales macroeconómicos que afectan a todas las empresas que el efecto contagio, que queda diluido de manera parcial.
El resto del artículo se estructura como sigue: en la sección I se hablará de la muestra, la variable objeto de estudio y la metodología seguida; en la sección II se discutirán los resultados obtenidos y al final se presentan las conclusiones.
I. Muestra, variables y metodología
1. Muestra
La muestra que se utiliza está formada por toda la población de empresas concursadas en España durante el periodo 2005-2013. En el caso de los deudores concursados que ejercen una actividad empresarial, denominados “Empresas concursadas” por el Instituto Nacional de Estadística (INE), la estadística proporciona información de otras variables: tramo de asalariados al que pertenece la empresa concursada (número de empleados); actividad económica principal de la empresa concursada;1 tramo de volumen de negocio anual de la empresa concursada; pertenencia de la empresa concursada a un grupo empresarial y, en caso de pertenencia, si el grupo está o no bajo el control extranjero; personalidad jurídica del deudor concursado, etcétera.
Tras un primer análisis exploratorio de los datos (no presentados) se observa que el mayor porcentaje de concursos de acreedores en España se da en empresas con un número de asalariados inferior a 50 (81.5% en 2005; 86.57% en 2013) y con un volumen de negocio inferior a dos millones de euros (63.4% en 2005; 61.93% en 2013). Ya que se observa una clara estabilidad de porcentajes entre el primero y el último año de la muestra, el presente artículo no analiza la distribución de los mismos en función de dichas clasificaciones. Sin embargo, sí se aprecia una incidencia determinante de los concursos en función de la actividad económica de la empresa; concretamente, en el sector industrial y en la construcción, por lo que en la presente investigación se llevará a cabo el análisis a nivel global y para cada uno de los citados sectores (Estadística del Procedimiento Concursal del INE, 2005-2013).2 Incluir al sector de la construcción además del sector industrial, es doblemente interesante por su importancia en la aportación al Producto Interno Bruto (PIB) y porque ha sido el sector motor durante la etapa de crecimiento y una de las claves en esta etapa de recesión.3
Otro aspecto importante que se debe tener en cuenta antes de analizar los datos es que, para una mayor potencia estadística en la herramienta censal que se va a utilizar (que se explicará en la subsección siguiente), se recomienda que los datos sean, al menos, provinciales. En nuestro caso, se comprueba que el INE suministra los datos anteriores por provincias para todo el periodo objeto de estudio.
2. Variable objeto de estudio
Para un correcto análisis de la importancia de la incidencia de los concursos de acreedores en las diferentes provincias, resulta más apropiado analizar el impacto de los mismos en términos relativos sobre el total de empresas. Así, la variable a analizar es el número de empresas concursadas en cada provincia sobre el total de empresas de esa provincia. De este modo, se salva el sesgo que se produce por la asimétrica distribución de empresas en España.
De forma análoga, se utiliza el mismo ratio relativizado para analizar el sector industrial y de la construcción. Así, al no disponer de datos provinciales sobre el total de empresas de cada sector, sino del número de locales por provincia y sector, se relacionan el número de concursos por provincia y sector con el número de establecimientos totales por provincia y sector. Con esta otra ponderación seguimos manteniendo el objetivo de salvar el sesgo producido por la asimetría en la distribución de las empresas a lo largo del territorio nacional. Esta variable alternativa resulta igualmente útil para el análisis por el impacto que supone el cierre de dichos locales sobre la economía de cada provincia. El número de empresas por provincias en cada periodo también se obtiene del INE, tanto a nivel general como sectorial.
3. Metodología
Para el análisis de la distribución del número de concursos de acreedores en España, objeto del presente artículo, se van a aplicar las técnicas de AEDE. Se trata de una disciplina del análisis exploratorio de datos, también denominado data mining, diseñada para el tratamiento específico de los datos espaciales o geográficos que relaciona el análisis estadístico con el gráfico. En concreto, el AEDE se define como el conjunto de técnicas que describen y visualizan las distribuciones espaciales, identifican localizaciones atípicas o atípicos espaciales, descubren esquemas de asociación espacial y sugieren estructuras espaciales u otras formas de heterogeneidad espacial (Anselin, 2003). Se trata, pues, de un método de estadística descriptiva espacial. Para la aplicación de dichas técnicas se va a utilizar el programa estadístico GeoDa. Nos centraremos en tres análisis: i) análisis exploratorio, ii) análisis de dependencia o autocorrelación espacial y iii) análisis de la correlación espaciotemporal.
a) Análisis exploratorio. Dada la naturaleza de la variable de estudio, el análisis exploratorio se centra en dos de los métodos anteriores: el mapa temático y el histograma de frecuencias. Los mapas temáticos consisten en la representación cartográfica de una variable geográfica. Ya que el objetivo es, en un primer momento, realizar un análisis descriptivo del reparto del número de concursos de acreedores a lo largo del territorio nacional, nos centraremos en el mapa de cuartiles, que clasifica las áreas en cuatro categorías o cuartiles según el valor de la variable. El histograma de frecuencias nos permite conocer la distribución no espacial de la variable objeto de estudio; es una aproximación a la función de densidad de una variable aleatoria que resulta de utilidad para detectar asimetrías y otras peculiaridades de la distribución; resulta de especial utilidad ya que, en aquellos casos en los que la variable tiene una distribución muy alejada de la normal, el mapa de cuartiles no es de utilidad.
b) Análisis de dependencia o autocorrelación espacial. La autocorrelación espacial es la concentración o dispersión de los valores de una variable en un mapa; refleja el grado en que la variable objeto de estudio de una unidad geográfica es similar a la de otras unidades geográficas próximas. Así, se puede afirmar que existe autocorrelación espacial en la medida en que existe una relación entre lo que sucede en un punto determinado del espacio y lo que acontece en otros puntos de ese mismo espacio (Sánchez Rivero, 2008). En el presente artículo, la autocorrelación espacial determina si la ocurrencia de concursos de acreedores en una determinada provincia española está relacionada con los concursos de acreedores acontecidos en otras provincias. La autocorrelación puede ser positiva o negativa. La autocorrelación espacial positiva se produce cuando existe una relación directa entre valores similares de la variable en una provincia y las cercanas entre sí, de forma que las provincias con valores elevados de la variable se encuentran rodeadas de otras provincias en las que la variable arroja también valores elevados, y viceversa. En este caso, en el que se produce una concentración del número de concursos en una zona geográfica concreta, se dice que existe “contagio” (Sánchez Rivero, 2008). Por el contrario, existe autocorrelación espacial negativa cuando las provincias cercanas presentan valores muy diferentes de la variable analizada, de forma que aquellas provincias en las que se registra un valor elevado de la variable están rodeadas de otras en las que la variable toma valores reducidos, y viceversa (Sánchez Rivero, 2008). Finalmente, también es posible la ausencia de autocorrelación espacial, que se producirá cuando los valores de la variable se distribuyan aleatoriamente en todo el territorio analizado, verificándose lo que se conoce como aleatoriedad espacial (Sánchez Rivero, 2008).
Para verificar la existencia o ausencia de autocorrelación espacial, se pueden utilizar diferentes índices, siendo el I de Moran el más conocido y utilizado en la práctica (Sánchez Rivero, 2008). Este índice (Moran, 1950) mide el grado de concentración de valores altos/bajos de una variable en el entorno geográfico de cada una de las observaciones de la muestra. Para cada valor del estadístico es posible realizar una inferencia para evaluar el nivel de significatividad estadística de rechazo de la hipótesis nula de ausencia de similitud o disimilitud de valores de una localización geográfica. Varía entre los valores −1 y +1; cuanto más cercano a 1 sea el indicador, mayor será el nivel de autocorrelación espacial (Sánchez Rivero, 2008). En el cálculo del I de Moran resulta determinante la definición de vecindad de las unidades espaciales consideradas que se utilice, que en el caso del presente artículo se trata de las provincias españolas. Para ello, se utiliza un ponderador espacial que surge de una matriz de contigüidad que toma valores de uno para provincias adyacentes y de cero para los casos contrarios. Los principales criterios de vecindad son (Sánchez Moral, 2004; Anselin, 2005; Sánchez Rivero, 2008): contigüidad tipo Rook, tipo Queen y tipo Bishop (explicados a continuación). Los tres tipos de vecindad presentados reflejan vecindad de primer orden, pero es posible considerar también contigüidad de segundo orden (cuando se considera la influencia de los vecinos de los vecinos), de tercer orden, y así sucesivamente. Tras una revisión de estudios en los que se aplica el I de Moran al estudio de la autocorrelación espacial en España se observa un uso mayoritario de la vecindad de primer orden tipo reina (Sánchez Moral, 2004, 2008; Buendía et al., 2012), por lo que será la que se aplique en el presente estudio.
El I de Moran representa una estadística resumen que indica la intensidad de autocorrelación entre las provincias, es decir, permite contrastar, en el presente caso, la hipótesis de autocorrelación espacial en la totalidad del territorio español.
c) Análisis de la correlación espacio-temporal. En el análisis de la correlación espacio-temporal se analiza el número de concursos en una provincia determinada y sus vecinas en dos momentos del tiempo (Anselin, 2003). La correlación espaciotemporal se considera así un caso especial de correlación espacial bivariante.
El análisis espacio-temporal se puede realizar desde dos puntos de vista: i) Inward diffusion (difusión interna): de los vecinos en el presente al núcleo en el futuro, y ii) Outward diffusion (difusión externa): del núcleo ahora a los vecinos en el futuro.
Cada una es un punto de vista ligeramente diferente de la correlación espaciotemporal. La más utilizada es la difusión interna (Anselin, 2003 y 2005) que mide cómo afectará en el futuro a una provincia determinada lo que ocurre en sus provincias vecinas hoy.
II. Resultados
Los resultados obtenidos responden a los tres análisis comentados anteriormente, y que se agrupan en dos niveles. El primer nivel, exploratorio, en el que se presentarán los mapas de cuartiles y el histograma, y el segundo nivel, en el que se analiza el contagio a nivel espacial y a nivel espacio-temporal. Ambos se han realizado a nivel provincial para el global y para los sectores de la industria y la construcción.
1. Resultados del Análisis exploratorio
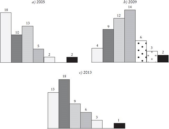
El mapa de cuartiles pone de manifiesto, mediante la intensidad de los colores, el valor en intervalos del número de concursos de acreedores sobre el total de empresas para cada provincia. Así, el primer cuartil, donde el número es menor, está representado por el tono más claro y el cuarto cuartil, donde la concentración de los concursos de acreedores en valor relativo es mayor, por el tono más oscuro. Por razones de espacio se presentan sólo los mapas para el primer y último año (2005 y 2013) y para un año central, que es además el primero de la crisis en la que ésta debe estar reflejada ya plenamente (2009).
El análisis del comportamiento de los mismos durante el periodo de estudio (2005-2013) muestra que, a nivel global, existe una mayor concentración de concursos en la parte superior de la diagonal marcada por el eje noroeste-sureste, con especial incidencia en las provincias del este y noreste del país (Mapa 1a, 1b y 1c). El análisis por años muestra pequeños cambios, esto es, no siempre las provincias permanecen en el mismo cuartil. Aunque se verifica una persistencia generalizada, destaca el hecho de que provincias como Vizcaya, Barcelona, Baleares y Valencia se encuentren en el cuarto cuartil durante todo el periodo (tanto en las gráficas que se presentan como en las que no). También presentan valores altos a lo largo del periodo de análisis La Rioja, Álava, Guipúzcoa, Navarra, Huesca y Zaragoza. En el otro extremo se observa que las provincias extremeñas, algunas provincias andaluzas como Almería, Granada o Málaga, y Ávila y Ciudad Real se mueven persistentemente entre el primer y segundo cuartil.
Este resultado, a diferencia de lo que se podía esperar, indica que las provincias con mayor número de concursos en relación con el número de empresas son aquellas que más contribuyen al PIB, con la excepción de Madrid.
En la industria se obtienen resultados muy similares a los globales. Se observa que el citado eje divisorio noroeste-sureste incluso está más definido para este sector. Esta distribución tiene un comportamiento muy correlacionado con la distribución geográfica de la industria a lo largo del territorio español (Mapa 2a, 2b y 2c).

Mapa 2: Cuartiles empresas concursadas en el sector industrial sobre número de establecimientos del sector 2005, 2009 y 2013
Para el sector de la construcción, el patrón es muy diferente al que presentaba la distribución del concurso de acreedores tanto a nivel global como en el sector industrial. En este caso se observa, desde el comienzo de la crisis, cómo la concentración de concursos parece desplazarse en cierta medida desde el norte del país hasta el sur y costa este. Esto último es un importante aspecto distintivo del comportamiento de los concursos en este sector. La importancia que este sector ha tenido se hace patente sobre todo en la costa mediterránea respecto al conjunto del país (Mapa 3a, 3b y 3c).

Mapa 3: Cuartiles empresas concursadas en el sector de la construcción sobre número de establecimientos del sector 2005, 2009 y 2013
El histograma clasifica la variable en siete categorías. Sobre cada barra aparece el número de provincias que se encuentra en cada categoría (Gráfica 1a, 1b y 1c). El análisis del histograma analiza si la función de densidad de la variable se aproxima o no a una normal (presentamos sólo el histograma para los años 2005, 2009 y 2013, siguiendo la misma filosofía que en el apartado anterior). Los datos obtenidos ponen de manifiesto el papel determinante de la crisis económica española sobre la declaración de los concursos de acreedores, ya que a partir del año 2009 el histograma revela un cambio hacia una distribución normal con la aparición de la crisis. Asimismo, hemos realizado el mismo análisis para los sectores industrial y de construcción (no se presentan por razones de espacio) y constatamos que si bien el corrimiento hacia la normalidad se produce a nivel global y para el sector de la construcción en 2008, en el caso del sector industrial comienza a producirse en 2009. Esto puede explicarse en el hecho de que en el sector industrial las repercusiones negativas de la crisis se han visto más tarde que a nivel global.
Estos resultados dan una mayor fuerza explicativa a los mapas de cuartiles vistos anteriormente, ya que el valor explicativo de los mismos se reduce en la medida que la distribución de los concursos de acreedores hubiera estado muy alejado de la distribución normal (Cliff y Ord, 1981).
La mayor normalidad a partir del año 2009 se podría atribuir a la generalización del fenómeno del fracaso y no a la singularidad de éste en épocas de bonanza que se motiva por causas muy localizadas y particulares. La generalización del fenómeno hace que sus causas exógenas pesen más que las endógenas a la hora de provocar el fracaso empresarial y pase a tener un comportamiento mucho más parecido al de una distribución normal desde un comportamiento anterior claramente más errático.
2. Resultados del análisis de dependencia: autocorrelación espacial y espacio-temporal
a) Autocorrelación espacial. El análisis de dependencia o autocorrelación espacial se realiza utilizando el índice I de Moran global. Para su cálculo se utilizó la matriz de pesos con criterio de vecindad de primer nivel tipo reina. Tras un primer resultado se excluyeron los valores extremos, lo que no varió el resultado del índice y se aplicaron 999 permutaciones. El Cuadro 1 muestra los I de Moran obtenidos a nivel global y de los sectores industrial y de la construcción, por separado, así como su nivel de significatividad.

* p < 0.10; ** p < 0.05; *** p < 0.01.
Cuadro 1: Autocorrelación espacial a nivel global del sector industrial y del sector de la construcción
Los resultados del I de Moran muestran que existe contagio positivo en el concurso de acreedores para la muestra global, evidencia similar a la de Lee y Poon (2014) que encuentran contagio en el fracaso para una muestra de empresas cotizadas de 30 países, si bien es solamente significativo de manera clara antes de la crisis y posteriormente en algunos momentos de la misma, pero sólo al nivel de 90%, con excepción del año 2013. Una explicación podría venir por el hecho de que en situaciones de crisis cobran mayor relevancia las causas externas que inciden en el fenómeno del fracaso y éstas, al ser globales, hacen que la incidencia o no de concursos de acreedores en las provincias cercanas pierda significatividad relativa ante la generalización del fracaso, no pudiendo determinarse la existencia de contagio en algunos periodos o simplemente que su influencia relativa no resulte suficientemente fuerte.
Para el sector industrial se puede rechazar la hipótesis nula anteriormente expresada, es decir, la evidencia muestra que las provincias con un elevado número de concursos de acreedores se encuentran rodeadas de otras provincias en las que el número también es elevado, y viceversa. En este caso, en el que se produce una concentración del número de concursos en una zona geográfica concreta, se dice que existe contagio positivo significativo, lo que nos indica que el número de concursos de acreedores de una zona geográfica es influido por el número de concursos de sus vecinas. Observamos que este resultado está en línea con el argumento de Jorion y Zhang (2009), de que el contagio en el sector industrial debe ser más fuerte que para el resto de sectores. Vista la alta significatividad del efecto contagio para el sector industrial y dado que, como veremos a continuación, el sector de la construcción no presenta contagio, podemos afirmar que es la industria la que traslada su efecto contagio al ámbito global.4 Dado que se verifica contagio antes y después de la crisis, la evidencia parece revelar que la situación económica general no resulta determinante a la hora de definir la existencia o no de contagio en este sector. Los resultados muestran que no se produce contagio en el sector de la construcción, con excepción de una significatividad a 10% en el año 2013, es decir, no podemos rechazar la hipótesis nula; por tanto, su comportamiento no resulta suficientemente afectado por lo que ocurre en las provincias cercanas.
b) Autocorrelación espacio-temporal. En el Cuadro 2 se presenta el I de Moran que muestra la correlación espacio-temporal interna, es decir, cómo afecta a una provincia determinada en el periodo “t + 1”, lo que ocurre en sus provincias vecinas en el momento “t”.
Los resultados de la correlación espacio-temporal son similares a los del análisis de la correlación espacial. Así, para los años en los que había contagio en el año t, los resultados muestran que ese contagio positivo se suele verificar también para el periodo t + 1. Esta evidencia da cuenta del hecho de que este efecto pernicioso se prolonga en el tiempo, más allá de un plazo estrictamente corto. Al igual que en la correlación espacial, esta influencia dañina se da sobre todo para el sector industrial, que es el que parece dotar de significatividad a la muestra global. En esta última el contagio positivo es significativo de manera muy clara para los años inmediatamente anteriores al estallido de la crisis y para el último año. El sector de la construcción alterna valores positivos y negativos para el periodo estudiado, siendo siempre no significativos. El hecho de que a partir del año 2008 se siga produciendo contagio positivo significativo a nivel industrial, pero que ya no se traslade al nivel global indica que el impacto del sector de la construcción es cada vez mayor para esos últimos años, trasladando su ausencia de contagio al nivel global (excepto para el contagio entre el penúltimo y el último año).
Conclusiones
El gravísimo problema de desempleo en España, generado en torno al muy numeroso cierre de empresas, genera una acuciante necesidad por conocer más el fenómeno del fracaso empresarial en todos sus ámbitos. Junto con las medidas, más exitosas o menos, que han implementado las autoridades para evitar el fracaso empresarial, como medidas legales (la misma Ley de Concurso de Acreedores, por ejemplo), financieras (distintas medidas para dotar de liquidez a las empresas, principalmente a las pyme, agilizar los pagos de la administración pública, etc.) o laborales (reforma del mercado laboral para aliviar la carga de salarios y de indemnizaciones a las empresas, flexibilización de las condiciones laborales para agilizar el despido y facilitar las nuevas contrataciones, etc.), se pone de manifiesto la necesidad de un análisis más exhaustivo para entender el fenómeno global del cierre de empresas. En ese sentido, este trabajo es útil ya que ayuda a caracterizar geográficamente el fracaso y a explorar el posible contagio espacial del mismo, detallándolo también para los sectores de la industria y de la construcción.
El análisis exploratorio del fenómeno del fracaso empresarial, calculado por medio de la incidencia del concurso de acreedores, muestra un patrón de comportamiento global y para el sector industrial en el que se observa una persistencia del fenómeno concursal a nivel provincial en la parte superior de la diagonal noroestesureste del territorio. Sin embargo, ese patrón varía para la construcción, que no presenta contagio significativo ni un claro patrón a nivel geográfico. Esta incidencia a nivel global e industrial puede deberse sobre todo al patrón geográfico del sector industrial en España que se sitúa con mayor intensidad precisamente en la zona de norte-noreste delimitada por esa diagonal. Por tanto, es coherente pensar, puesto que este comportamiento no se observa en otros sectores, que el sector industrial, por su peso e importancia, es el que configura dicho patrón diagonal en el análisis global. Estos resultados han sido, en cierto modo, no esperados, pues se presumía a priori una mayor incidencia de concursos en aquellas provincias más empobrecidas y con menor tejido empresarial. Sin embargo, el análisis muestra que los concursos de acreedores se concentran allí donde mayor actividad económica hay y en donde la actividad industrial es mayor.
Respecto a la forma de la distribución de los concursos se observa que, desde el inicio de la crisis, se asemeja a una normal tanto a nivel global como para cada sector analizado. Esto nos permite concluir que, en el fenómeno del fracaso, tienen un fuerte impacto los efectos externos negativos que produce la mala situación macroeconómica general y que afectan de manera global a todas las empresas en todos los territorios.
Respecto al análisis del contagio, se ha estudiado a nivel global, industria y construcción. Así, se puede afirmar que existe contagio significativo para el sector industrial en todo el periodo analizado; es decir, el hecho de que se incrementen los concursos de acreedores en las provincias vecinas ocasionará un incremento del concurso de acreedores en la provincia analizada durante el mismo periodo. Este contagio, además, se producirá también en el año siguiente. Este efecto de propagación en la industria se traslada al nivel global, con especial fuerza en los periodos previos a la crisis. Aunque no está en el espíritu de este artículo el investigar las causas de este contagio, este efecto de propagación es debido probablemente a la influencia negativa que el impago de una determinada empresa ejerce sobre las cuentas de las empresas clientes y proveedoras con las que tiene relación, que es más probable que se encuentren geográficamente próximas.
Durante la crisis, sin embargo, este efecto contagio pierde fuerza a nivel global. Este hallazgo puede deberse a dos circunstancias: la primera, que los factores explicativos de la ocurrencia del concurso de acreedores, en periodo de crisis, pueden ser tantos y tan diversos que el propio efecto contagio de lo que ocurre en otras provincias resulta menos significativo en comparación con lo que está sucediendo en la economía a nivel macroeconómico y, la segunda, que la influencia del sector industrial sobre el global queda diluida en dichos periodos de crisis. Para la construcción, se puede afirmar que no se produce contagio en ningún caso. Se observa que en periodos de recesión económica tienen mayor relevancia las causas exógenas macroecónomicas y que, por el contrario, en tiempos de bonanza económica tienen mayor predominio los factores particulares de cada empresa, entre los que podemos incluir la relación de la empresa con el resto y su posible contagio.
La principal limitación para el estudio del concurso de acreedores en España es la falta de bases de datos que proporcionen información sobre el fenómeno, hecho que no resulta muy comprensible dada la importancia que el concurso de acreedores tiene en la economía y, por tanto, en el bienestar de los ciudadanos. En este sentido, este artículo contribuye a esclarecer el patrón de comportamiento de este fenómeno.
Las implicaciones de este artículo son claras. El fenómeno del contagio del fracaso existe y se da principalmente en el sector industrial. Dependiendo de las causas que originen cada una de las crisis, los gestores macroeconómicos podrán prever si el contagio va a ser mayor a nivel global y en cada una de las provincias cuando la presencia relativa de la industria sea mayor o cuando la crisis tenga una mayor incidencia en ese sector concreto de actividad. Por otro lado, para el sector de la construcción se verifica que son las condiciones externas comunes las que influyen en el fenómeno del fracaso, ya que el efecto contagio es no significativo, y será por tanto a este nivel al que las autoridades tendrán que actuar para luchar contra el fracaso en este sector.
Queda para futura línea de investigación el realizar un tipo de estudio más analítico, que examine, por ejemplo, las causas de la existencia de ese contagio. Queremos recalcar que, aun siendo importantes las implicaciones de este artículo, no deja de ser un trabajo estadístico de tipo descriptivo, en el que hemos apurado al máximo las posibilidades que un estudio de tipo AEDE permite.










nueva página del texto (beta)






