Clasificación JEL: F12, F21, F16, J24.
Introducción
En su trascendental artículo, Lucas (1990) analiza los flujos de capital desde los países desarrollados hacia los subdesarrollados y muestra que éstos no alcanzan los niveles que predice la teoría económica neoclásica. Según esta teoría, existe una “fuerza” que impulsa el flujo de capital desde los países ricos hacia los pobres debido a que los rendimientos marginales del capital -que son decrecientes- serían mayores en los países más pobres.
Este tema es importante para la política económica en los países subdesarrollados porque, según las conclusiones derivadas desde un punto de vista neoclásico, existirían obstáculos que impiden que esta “fuerza impulsora” beneficie la capitalización de los países pobres. Estos obstáculos deberían eliminarse mediante la apertura a los flujos de capital internacional, la firma de acuerdos de protección a la inversión y dando certeza jurídica a la inversión extranjera.
Sin embargo, la evidencia empírica contradice ampliamente esta predicción. “No solamente el capital no está fluyendo de los países ricos hacia los pobres en las cantidades que el modelo neoclásico predice [...] sino que en años recientes ha estado fluyendo de los países pobres hacia los ricos” (Prasad et al., 2007).1 Asimismo, la dirección de los flujos no ha sido constante, como señala Bernanke (2006):
Un aspecto incluso más sorprendente de la ruptura del paradigma de centro-periferia es la dirección de los flujos de capital: en el siglo XIX, el país que estaba al centro de la economía mundial, la Gran Bretaña [sic], obtenía superávits de la cuenta corriente y exportaba capital financiero a la periferia. Hoy en día, la economía más grande del mundo, los Estados Unidos, obtiene déficits de la cuenta corriente y está financiada en gran medida por exportaciones de capital de países con mercados emergentes.2
Esta evidencia empírica contradice la existencia de una fuerza que se origine en el diferencial de las productividades marginales del capital e impulse el flujo de capitales de los países ricos a los pobres. El presente artículo aborda esta cuestión mediante el desarrollo de un modelo en el que la productividad marginal del capital es la misma para todos los países. Esto concuerda con un escenario en el que no hay una tendencia central para este flujo de capital y, por ende, puede haber cambios en la dirección y la magnitud de los flujos y en quienes los reciben, dependiendo de varios factores tales como la robustez de los sectores financieros, la vigencia del Estado de derecho, los cambios en el valor de la moneda local, el crecimiento económico, las tasas de ahorro, etc., tanto en el país receptor como en el emisor. La predicción del modelo también concuerda con los cálculos de Caselli y Feyrer (2007), quienes estimaron las tasas de rendimiento del capital y hallaron que eran muy similares entre países desarrollados y países en vías de desarrollo.
El modelo considera dos tipos de mano de obra -calificada y no calificada- y exhibe estados estacionarios múltiples (puntos fijos) que emanan de las externalidades positivas de la mano de obra calificada. Estos puntos fijos se clasifican con base en el principio de Pareto. Por consiguiente, un estado estacionario con salarios bajos, mano de obra escasa o ausente y un bajo stock de capital puede identificarse con un país pobre, mientras que el escenario opuesto se identificaría con un país rico. Otra predicción del modelo es que la productividad de la mano de obra calificada en los países ricos es mayor que en los países pobres. Esto concuerda con la evidencia empírica. Por ejemplo, Gibson y McKenzie (2013: 111) señalan lo siguiente respecto de los salarios para la mano de obra calificada en distintos países: “las restricciones al movimiento generan amplias brechas entre los [niveles de] ingreso que se pueden obtener en distintos lugares, y dichas brechas son muchísimo más pronunciadas que las que se aprecian en el caso de movimientos internos”. Asimismo, para estos autores, esta brecha es un factor importante para explicar la migración de la mano de obra calificada que “constituye una parte desproporcionalmente elevada de la migración total” (2003: 109). En este sentido, un modelo con una productividad marginal de la mano de obra no calificada es útil para entender lo que para Docquier y Rapoport (2012) es un fenómeno importante:3 “[mostramos] que la fuga de cerebros (o la migración de la mano de obra altamente calificada) se está convirtiendo en un patrón dominante de migración internacional y en uno de los aspectos principales de la globalización”.
El presente artículo también es una continuación del trabajo de Murphy et al. (1989), quienes hacen un análisis formal de la obra de Rosenstein Rodán (1943), en el sentido de que el concepto de los puntos fijos múltiples es un enfoque poderoso para pensar acerca de la dicotomía que existe entre el desarrollo económico y el subdesarrollo. Estos autores también proponen un modelo que exhibe puntos fijos múltiples que surgen de las fallas en la coordinación debido al surgimiento de rendimientos crecientes de escala en los costos fijos. Sin embargo, su modelo considera una economía cerrada y tal como señalaron Krugman (1995) y Stiglitz (1992), en él no hay razón para que exista un estado estacionario de bajo nivel si la economía es abierta. Este problema se supera en el presente trabajo, ya que se considera una economía pequeña y totalmente abierta a los flujos comerciales y de capital.
Además, nuestro modelo explica la diferencia entre los salarios de los sectores moderno y tradicional, no sólo por la diferencia en la tecnología que emplean, sino también debido a la creciente productividad marginal de la mano de obra y del capital que proviene de las externalidades de la mano de obra calificada. Nuestro modelo responde a la crítica que Krugman (1995) hace del modelo de Murphy et al. (1989), en donde “los diferenciales salariales de la historia del superávit de la mano de obra nunca se explicaron debidamente, sino que simple y sencillamente se afirmaron”.
Por otro lado, dependiendo de la distribución de las habilidades de aprendizaje (como se expone más adelante), es posible que los sectores tanto tradicional como moderno coexistan en lo que se conoce como economía dual, que es un hecho persistente en las economías subdesarrolladas (véase Ray, 2010). En este sentido, nuestro enfoque es distinto al del modelo Murphy et al. (1989) y más realista que éste, ya que en dicho modelo, la totalidad de la fuerza laboral puede o no estar trabajando en el sector moderno.
En Lucas (1988) también se encuentra literatura relacionada que nos brinda: a) una evaluación de la teoría neoclásica del crecimiento (capítulo 3), b) un modelo de crecimiento con externalidades del capital humano y el capital físico (capítulo 4), y c) un modelo en donde se aprende mediante la práctica y no hay capital físico (capítulo 5). En cuanto al primer punto, Lucas (1988) afirma que “la teoría [neoclásica] no es, como tal, una teoría útil del desarrollo económico [... ]” (Lucas, 1988: 9). En el punto b) hay un elegante modelo en donde agentes idénticos deciden repartir su tiempo de actividad entre el trabajo y el desarrollo de más capital humano, hay externalidades del capital humano, y la dinámica del crecimiento equilibrado se analiza con resultados muy interesantes. Sin embargo, debido a la riqueza y complejidad del modelo, queda un problema sin resolver: la dinámica entre un punto inicial de capital humano y físico y la trayectoria de equilibrio.4 Por consiguiente, no es posible evaluar cuestiones tales como si existen trampas de pobreza (dado que no conocemos la dinámica de un país pobre) o si hay alguna convergencia entre países pobres y ricos. Nuestro modelo, al ser más sencillo, nos permite describir toda la dinámica del sistema y abordar este tipo de cuestiones. El segundo modelo de Lucas c) incluye el capital humano sólo con externalidades positivas originadas por el aprendizaje mediante la práctica, con dos tipos distintos de habilidades técnicas y concluye que cada país se especializaría totalmente en una sola habilidad técnica. Nuestro modelo, dado que incluye explícitamente el capital físico, nos permite reflexionar sobre los rendimientos marginales y los flujos de capital y, por otro lado, permite la posibilidad de la existencia de economías duales (es decir, en donde están presentes dos tipos de habilidades técnicas).
Fundamentalmente, el modelo que presentamos es uno en el que una economía que no tenga información asimétrica, conductas irracionales ni restricciones crediticias puede estar atrapada en un punto bajo fijo en donde únicamente se invierten pequeñas cantidades de capital, se pagan bajos salarios y la mayoría de la fuerza laboral es no calificada. En este escenario, es posible (como se mostrará más adelante) reflexionar sobre la necesidad de que las políticas públicas lleguen a puntos críticos o umbrales para tener éxito, siguiendo la línea del argumento del “gran impulso”, que es válido debido a que las fuentes de externalidades son de tipo tecnológico (véase Ros, 2000).
El presente artículo está estructurado de la siguiente manera: la sección I explica el modelo y presenta las condiciones suficientes para la existencia de puntos fijos múltiples; la sección II expone las características básicas de la dinámica; y por último se presentan las conclusiones.
I. El modelo y sus múltiples estados estacionarios
En el presente artículo, se supone la existencia de externalidades positivas para la mano de obra calificada en la producción y la educación: ¿de dónde provienen estas externalidades positivas en la mano de obra calificada? La importancia del conocimiento en la economía actual se reconoce ampliamente,5 pero también es importante recordar que el conocimiento se materializa en el capital tanto físico como humano (que no son sustitutos perfectos)6 y que existen límites en cuanto a su intercambiabilidad. En efecto, si bien el capital físico es casi siempre intercambiable, el “conocimiento importado” normalmente requiere también de capital humano y de conocimientos complementarios particulares a la localidad. Partiendo de la característica de no rivalidad del conocimiento, la principal suposición de este modelo es que existen externalidades positivas de la mano de obra calificada, tanto en la producción como en el proceso de aprendizaje, pero dada la limitada intercambiabilidad del conocimiento, se supone que estas externalidades son esencialmente locales (nacionales).
En cuanto a la existencia de estas externalidades, Mookherjee y Ray (2000: 5) sostienen lo siguiente: “Supongamos que la expansión de algunos sectores contribuye a la generación de una fuerza laboral calificada, confiable y con una formación académica. Entonces, la oferta de un universo de mano de obra de alta calidad estimulará el desarrollo de otras industrias”. Acemoglu (1997) afirma que, entre las industrias avanzadas, se puede ver que la existencia de un universo mayor de mano de obra calificada reduce los costos de buscar mano de obra de alta calidad. Además, este hecho hace más probable la existencia de habilidades complementarias en la economía (Rodrik, 1996) y facilita el que las empresas instalen y adapten nuevo capital y tecnología (Gomory y Baumol, 2000). En resumen, mediante un proceso de aprendizaje basado en la práctica -representado por el tamaño del universo de la mano de obra calificada- las industrias locales (nacionales) pueden fácilmente aprender a usar tecnología que depende de la práctica y de las técnicas perfeccionadas por la experiencia.
No obstante, estas externalidades no pueden soslayarse por completo por medio del comercio internacional. En palabras de Greenwald y Stiglitz (2006: 142): “Esta suposición [de que las externalidades se concentran dentro de las fronteras nacionales] descansa en cuatro factores: la proximidad geográfica, las restricciones internacionales al movimiento de la mano de obra (y los consiguientes movimientos del conocimiento y el capital humano), las barreras del idioma y los patrones históricos de interacciones sociales, los cuales se ven seriamente afectados por las fronteras nacionales”. Podríamos agregar que siempre hay aspectos locales, como el clima, las dotaciones particulares de factores o las restricciones socioculturales, que requieren que la tecnología se adapte y que se desarrollen técnicas específicas según el país del que se trate. Evenson y Westphal (1995) afirman que “No sólo gran parte de la tecnología es tácita, sino que también lo es buena parte del conocimiento acerca de las características específicas de las circunstancias locales y de las maneras en que las diferencias en las circunstancias afectan la productividad de las técnicas particulares” (1995: 213).
Definamos ahora el modelo. En esta economía existe un continuo de empresas, y cada una de ellas se indica como i, en donde
En esta pequeña economía abierta hay un solo bien, por lo que el precio de este bien se fija internacionalmente como 1 y la tasa de interés como r. El bien puede producirse mediante tecnología básica o avanzada. Las empresas que usan tecnología básica contratan únicamente mano de obra no calificada y tienen una función de producción lineal que no requiere de capital Zi =Ui , en donde Zi es la producción total de la empresa i y Ui mano de obra empleada por la empresa i. Evidentemente, el precio de la mano de obra no calificada es de 1 y las empresas poco tecnificadas tendrán cero utilidades.
Por otro lado, las empresas que emplean tecnología avanzada sí requieren de capital y contratan mano de obra calificada con una función de producción igual a
Comencemos con el mercado laboral y supongamos que no hay movilidad internacional de la mano de obra. Dejemos que γΔt sea la probabilidad de que un agente muera en un lapso de tiempo corto Δt, y supongamos que el parámetro γ es igual para todos los agentes.8 Por ende, el factor de descuento de estos agentes es 1 − γ y al calcular el valor actual del flujo de ingresos, la vida de cada agente debe tratarse como infinita. Supongamos también una tasa de natalidad igual a la tasa de mortalidad, de modo que la población total T se mantenga constante. Posteriormente, γ se hará endógeno, dependiendo de la etapa de desarrollo del país.
Además, qj
son las habilidades de aprendizaje del agente y esta variable aleatoria seguirá una función de distribución continua F(qj
). Al nacer, el trabajador j tiene que elegir entre adquirir o no habilidades. Asimismo, dado que la tecnología es estática en este modelo, supongamos que una vez que un trabajador se convierte en trabajador calificado, lo seguirá siendo por el resto de su vida. Si decide adquirir habilidades, tiene que pasar algún tiempo aprendiendo, lo cual se supone que es igual a τ = ln(D−qj
), en donde D define el tiempo que una persona con habilidades de aprendizaje básicas (qj
= 0) requiere para adquirir una formación. Para garantizar
Un agente nacido en el momento t − τ que decida adquirir habilidades terminaría su capacitación en el momento t y comenzaría a percibir un salario w ε, ε ≥ t. Dado que durante su capacitación sus ingresos serán de cero, el valor actual (en el momento 0) de su flujo de ingresos es:
Por otro lado, si este agente no obtiene ninguna formación, percibiría un ingreso de 1 desde su nacimiento. Por consiguiente, el valor actual (en el momento 0) de sus ingresos será:
Así que el trabajador j optará por obtener una formación si y sólo si:
Ahora bien, las empresas altamente tecnificadas son tomadoras de precio y maximizan sus utilidades. Por lo tanto, su problema es:
La condición de primer orden para el capital físico es:
En sentido estricto, un cambio en la cantidad de mano de obra calificada que una empresa contrata (Li ) modificará la cantidad total de mano de obra calificada que esté trabajando. Sin embargo, si recordamos que se supuso un continuo de empresas -o, en su defecto, una gran cantidad de éstas-, entonces el tamaño de una empresa en comparación con la economía total haría que el efecto de un cambio en Lj respecto de L fuera nulo o completamente insignificante. La condición de primer orden para la mano de obra es:
Al combinar ambas condiciones de primer orden y recordar el índice de tiempo, obtenemos:
Cabe mencionar que la función de producción de cada empresa sigue exhibiendo rendimientos constantes a escala. En efecto, el comportamiento competitivo ocurre en este entorno, lo que genera utilidades de cero, por lo que los factores percibirán su producto marginal y agotarán la producción. No obstante, dadas las externalidades de la mano de obra calificada, la función de la productividad marginal de la mano de obra calificada aumentará monotónicamente con el acervo total de capital humano calificado.
Definamos At , el valor actual (en el momento t) del flujo de ingresos de un trabajador calificado nacido en t − τ, mediante la ecuación (2), de la siguiente manera:
En donde:
A partir de la ecuación (1), decimos que el agente j adquirirá habilidades si
Por ende, la oferta de nueva mano de obra calificada en el momento t -como proporción de la nueva población total- será igual a:
II. La dinámica
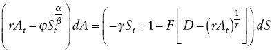
Ahora estamos listos para estudiar la dinámica del modelo. Al diferenciar la ecuación (3), y tomando en cuenta que la variación en St depende de cuántos trabajadores calificados mueren (una proporción γ de la población calificada) y la oferta de nuevos trabajadores calificados, la cual es explícita en la ecuación (4), el sistema de ecuaciones diferenciales resulta ser:
En la ecuación (6) suponemos que el factor de descuento intertemporal γ es una función decreciente del ingreso per cápita del país, que está representado por At , es decir, γ(At ).
Esto concuerda con Fisher (1930: 73), quien señala que “Un pequeño ingreso, ceteris paribus, tiende a producir gran impaciencia”.9 Dado que estamos modelando un país subdesarrollado pequeño que carece de influencia sobre la tasa de interés internacional y dada la relación entre la tasa de interés internacional y la tasa de descuento intertemporal de los países ricos,10 también podemos suponer
Tracemos ahora el diagrama de fases del sistema sobre el eje A, S. Nótese primero que el locus Ȧ= 0, es decir,
es una función cóncava, continua y creciente que comienza en (0.0). Por otro lado, el locus Ṡ = 0 es:
Que es igual a 0 para 0 ≤ A ≤ 1/r e igual a 1 para D
r/r ≤ A; el comportamiento de esta función para 1/r < A <D
r
/r depende de las características de la función de distribución F( ). Lo que es más, en el Apéndice (Lema 2) demostramos que hay una función de distribución por cada forma creciente y continua de la ecuación (7) en
Nótese que si
Nótese primero, que el máximo valor estable que S puede alcanzar es 1. De la misma manera, el valor máximo para A que un agente racional puede esperar es:
Desde luego, en ambas variables el mínimo es 0. Ahora bien, para entender la dinámica del sistema, usemos el diagrama de fases de la Gráfica 1. Hay tres estados estacionarios: (0,0); (φ/r, 1), y (Ae , Se ). Dado que, como se mencionó, nuestro interés principal son las “economías duales”, es decir, aquellas en donde coexisten ambos tipos de empresas, nos enfocamos en los puntos de estados estacionarios internos. En la Gráfica 1 tenemos uno solamente, y el diagrama de fases nos muestra que (Ae , Se ) es una espiral que se colapsa (véase la prueba en el Apéndice).
Si hay estados estacionarios múltiples, entonces están ordenados según el principio de Pareto. Está claro que los dueños del capital están obteniendo cero utilidades económicas en todos lados,11 por lo que su bienestar se mantiene constante cuando la economía se mueve de un punto fijo a cualquier otro. Sin embargo, en un punto fijo elevado, los salarios son mayores que en el punto fijo bajo, lo cual significa que más trabajadores optarán por convertirse en calificados, ya que esto aumentará su bienestar individual, lo que crea un superávit de bienestar personal. Por lo tanto, entre más mano de obra calificada haya en el país, mejor será el estado estacionario en el sentido de Pareto.
De acuerdo con nuestro modelo, la disponibilidad de grandes cantidades de mano de obra no calificada y la falta de capital en un país subdesarrollado no aportarán suficientes incentivos para que el capital fluya del país desarrollado. Además, como se muestra en el Lema 1 (véase el Apéndice), los puntos fijos internos se alternan entre espirales descendientes y puntos de silla. Esto les da estabilidad a los puntos estacionarios que corresponden a las espirales y le da a cada uno de ellos una cuenca de atracción. Esta característica tiene claras implicaciones de políticas: no es suficiente mover la economía en dirección a un punto fijo más alto, sino que es necesario llegar a un punto crítico, es decir, llegar a la cuenca de atracción del punto fijo deseado. En palabras de Hoff y Stiglitz (2000: 396), para que un país salga del subdesarrollo “‘todo’ lo que hay que hacer es inducir un movimiento fuera del viejo equilibrio, lo suficientemente lejos y en la dirección correcta, para que la economía sea ‘atraída’ hacia un nuevo equilibrio superior”. En nuestro modelo, los puntos fijos múltiples provienen de los rendimientos crecientes a escala y de una oferta elástica de la mano de obra calificada, lo cual implica que las consideraciones de escala son cruciales para que una política saque eficazmente a un país del subdesarrollo, en consonancia con el concepto del “gran impulso”. Sin embargo, para elegir el “instrumento de políticas correcto”, es esencial entender las causas y características de los puntos fijos múltiples.
Conclusiones
El presente artículo modela una pequeña economía abierta con agentes heterogéneos respecto de sus habilidades de aprendizaje y con externalidades positivas, en la producción, de la mano de obra calificada. En este modelo, las empresas exhiben rendimientos constantes a escala y el pago a cada factor es igual a su productividad marginal, o que agota la producción. Sin embargo, la economía total exhibe rendimientos crecientes a escala, lo que posibilita la existencia de puntos fijos múltiples. Demostramos que estos puntos fijos pueden clasificarse en el sentido de Pareto.
El problema de asignación de capital (Lucas, 1990) se aborda en este modelo, que predice que la productividad marginal del capital es igual para todos los países, lo cual es congruente con un escenario en el que no hay una tendencia central para este flujo de capital y, por ende, puede haber ambios de dirección, dependiendo de varios factores, como la robustez del sector financiero del país receptor, el Estado de derecho, el valor de la moneda local, el crecimiento económico, la tasa de ahorro, etc., todo lo cual concuerda con la evidencia de Prassad et al. (2007), y de Gourinchas y Jeanne (2007). La predicción del modelo también coincide con los cálculos de Caselli y Feyrer (2007), quienes estimaron las tasas de rendimiento del capital y hallaron que son muy similares entre países desarrollados y países en vías de desarrollo. Otra predicción del modelo es que la productividad de la mano de obra calificada es mayor en los países desarrollados, en comparación con los países subdesarrollados. Este hallazgo concuerda con la evidencia empírica presentada por Gibson y McKenzie (2013: 111), para quienes esta brecha es un factor importante para explicar la migración de la mano de obra calificada.
Si se piensa en el subdesarrollo como una falla de coordinación, este modelo es similar a Murphy et al. (1989). Sin embargo, en su modelo no hay motivo para la presencia de un estado estacionario de bajo nivel si la economía es abierta, como señalaron Krugman (1995) y Stiglitz (1992), mientras que el presente modelo se trata de una economía abierta. Además, este modelo explica la diferencia entre los salarios de los sectores moderno y tradicional, no sólo por la diferencia en la tecnología que emplean, sino también debido a la creciente productividad marginal de la mano de obra y el capital que proviene de las externalidades de la mano de obra calificada. Nuestro modelo resuelve la crítica de Krugman (1995), quien dice que “los diferenciales salariales de la historia del superávit de la mano de obra nunca se explicaron debidamente, sino que simple y sencillamente se afirmaron [en el modelo de Murphy et al. (1989)]”. Dependiendo de la distribución de las habilidades de aprendizaje, es posible que coexistan los sectores tanto tradicional como moderno. En este sentido, nuestro enfoque es distinto al del modelo de Murphy et al. (1989) y más realista que éste, ya que en dicho modelo, la totalidad de la fuerza laboral puede o no estar en el sector moderno. Es decir, el modelo explica cómo es que un país que no tiene asimetrías de la información, conductas irracionales ni restricciones crediticias puede estar atrapado en un punto bajo fijo en donde únicamente se invierten pequeñas cantidades de capital, se pagan bajos salarios, la productividad de la mano de obra calificada es baja y la mayoría de la fuerza laboral es no calificada.










nueva página del texto (beta)
































