Clasificación JEL: L1, L13, L11, G21, C32, E44, C1
INTRODUCCIÓN
La preocupación por las grandes utilidades y mayores rentabilidades de industrias con altos índices de concentración de la propiedad ha sido una constante desde hace varios decenios. En la América Latina, las "excesivas" rentas de las industrias más concentradas destacan en varios países. En el caso de Argentina la presidencia1 incluso atribuyó a la concentración responsabilidades de orden inflacionario.
En Chile también existen varios sectores que se destacan por sus altas utilidades y rentabilidades. En términos de utilidades totales, las empresas mineras, eléctricas, los bancos, la gran industria, las grandes empresas al menudeo (retail), los fondos de pensiones y las empresas de telecomunicaciones producen la mayor parte de las utilidades del país. Son estos mismos rubros los que presentan las más altas rentabilidades, medida en sus diversas formas. Todos estos sectores están caracterizados por alta concentración de la propiedad, lo que da pie a la preocupación de la opinión pública y llama la atención de los medios. Se debe aclarar, sin embargo, que ésta preocupación por la relación entre rendimientos y concentración ya está instalada en la bibliografía económica desde los años cincuenta (Bain, 1951) y su relación directa carece de sustento teórico y empírico.
En los decenios recientes se ha observado una reducción importante del número de empresas presentes en diversas industrias en el mundo y la América Latina, lo que profundiza la concentración de la propiedad. La industria bancaria ha sido una de ellas y Chile no ha estado ajeno a esta corriente, que tiende a la formación de grandes conglomerados financieros, muchas veces internacionales (Levy Yeyati, 2007; Vives, 2001). Estos conglomerados han tomado crecientes posiciones en la América Latina. En el sector bancario, México ha sido uno de los destinos preferidos por grupos como bbva, Santander, hsbc y Citigroup, por las altas utilidades logradas y el creciente potencial de negocios y de bancarización de las economías latinoamericanas. En varios países de la América Latina se observa esta tendencia con gran preocupación, pues una baja competencia en el sector bancario podría tener efectos nefastos para sus economías en desarrollo.
Un funcionamiento "sano" del mercado financiero es un factor clave para el crecimiento y desarrollo económicos y, por tanto, es una preocupación fundamental de los gobiernos de los países en desarrollo. Uno de los papeles fundamentales del sistema financiero, y principalmente de la banca, es promover la eficiencia económica que se logra con los mayores grados de intermediación de la banca, es decir, la promoción de fondos desde agentes sin uso productivo de sus excedentes a agentes productivos. Una mayor profundización financiera implica menores restricciones al crédito a pequeñas y medianas empresas, de manera que se puedan desarrollar proyectos de inversión pagando tasas de interés que tengan información adecuada de los riesgos y costos implicados. Cabe destacar que las pequeñas y medianas empresas son clave como motor del empleo, calificación y desarrollo económico local, lo que hace aún más crítica la necesidad de contar con un sector bancario sano que le proporcione recursos financieros para desarrollarse.
En Chile la cantidad total de bancos e instituciones financieras se ha reducido 40% en los pasados 20 años, quedando hoy día sólo 25 de ellos, debido principalmente a un proceso de consolidación, en el que los bancos más pequeños han sido absorbidos por las más grandes. Esta creciente concentración de la industria puede observarse con un notorio aumento de los índices de concentración C4 y Herfindahl-Hirschman (hhi), sobre todo en 1997 y 2002.2 Desde este último año en adelante los cuatro bancos de mayor tamaño suman más de 65% de la participación de mercado en términos de colocaciones,3 mientras que los dos más grandes alcanzaron el control de cerca de 50% de las colocaciones, lo que acrecenta la preocupación por los márgenes4.
Objetivos y contribución
Este artículo realiza una revisión actualizada de los resultados de los principales estudios de poder de mercado en la América Latina, contribuyendo a la discusión acerca del grado de competencia de la banca chilena con un modelo novedoso, muy poco utilizado aún en la bibliografía, pero de creciente interés internacional en esta y otras industrias. Esta metodología se aplica al mercado de crédito bancario chileno para el periodo 1990-2007, en el que la concentración aumentó ostensiblemente, preocupando a la opinión pública y los medios. Esto llena un vacío en la bibliografía nacional en términos de poder de mercado, pues más allá de nuestro trabajo no encontramos estimaciones por el método de variación conjetural o parámetro de comportamiento y tampoco por métodos que acomodaran relaciones dinámicas en la oferta y la demanda.
Además, a diferencia (Steen y Salvanes, 1999) proponen esta metodología, nosotros si logramos estimaciones del parámetro de poder de mercado significativas estadísticamente, que además permiten apreciar los sesgos de las estimaciones estáticas que dominan la bibliografía. Mediante esta metodología se controla por los problemas de falta de estacionariedad del equilibrio, la existencia de desviaciones de corto plazo del equilibrio y los problemas de inferencia asociados.
La estructura de este trabajo es la siguiente. Primero se introducen las dos principales opciones estáticas para estimar el poder de mercado. Luego se presenta una propuesta para introducir relaciones dinámicas a uno de estos modelos, una reformulación dinámica del modelo de (Bresnahan-Lau, 1982), propuesta por (Steen y Salvanes, 1999). Posteriormente se revisan lasaplicaciones de estos modelos a los mercados bancarios latinoamericanos.
Luego se presenta la formulación empírica utilizada, los resultados de las estimaciones, para finalmente concluir.
I. Efectos de la concentración de la propiedad en la industria bancaria
Varias son las razones que se han dado para limitar o cuestionar las fusiones bancarias en Chile la América Latina y otras partes del mundo, siendo la principal preocupación sus posibles efectos adversos en la competencia. Sin embargo, estas preocupaciones no han encontrado una base empírica. En teoría (Berger, 1999), las posibles consecuencias de una mayor concentración bancaria podrían incluir no sólo efectos directos, como el mejoramiento en la eficiencia o el aumento en el poder de mercado, sino que también otros efectos indirectos, como son sus potenciales consecuencias sistémicas.
El efecto directo se refiere principalmente a las potenciales ganancias de eficiencia. Es decir, en un sistema bancario más concentrado, con menos bancos y de mayor tamaño, las ganancias de eficiencia pueden provenir de economías de escala (tamaño), de ámbito (producción conjunta) y de la eficiencia X (mejor capacidad de administración). En esta línea los estudios tienden a sugerir que no hay economías de escala y de ámbito significativas, e incluso, en algunos casos posiblemente las fusiones bancarias que comprenden grandes bancos resulten en una pequeña pérdida de eficiencia de escala. Sin embargo, la eficiencia X se ha destacado como la principal fuente de eficiencia y de motivación para las fusiones. Un banco con considerable mejor capacidad de administración para generar ingresos y mantener los costos controlados, puede obtener grandes beneficios de una potencial fusión o absorción de un banco menos eficiente (Fuentes, 2002).
Otro posible efecto directo de una mayor concentración bancaria, pero con limitada base empírica, lo constituye la potencial menor competencia (o mayor poder monopolístico) con precios desfavorables para los consumidores (mayores spreads) menor volumen de servicios proporcionados (incluyendo menor disponibilidad de crédito) y un mayor riesgo de los grandes bancos (too big to failproblem) (Delis, 2008). Este mayor riesgo en los grandes bancos puede afectar el sistema completo, lo que aumenta su probabilidad de falla, siendo este el efecto indirecto antes mencionado.
Los efectos antes descritos conducirían a una mayor rentabilidad para las empresas, pero no forzosamente traerían beneficios para los consumidores. Por lo contrario, si el ejercicio del poder de mercado domina a otros efectos, sería en particular delicado para el desarrollo del país, puesto que es posible que se incrementara los spread e impondrían mayores costos de crédito y menores tasas para los depósitos. Esto potencialmente desmotivaría el ahorro y limitaría la inversión y el flujo de capitales para la financiación de nuevos proyectos y empobrecería a los hogares que requieren créditos para financiar su consumo y vivienda, y a las pyme que son tan sensibles a las condiciones de crédito. Todo esto se traduciría en una gran pérdida social y en una limitante para el desarrollo económico del país, que es mayor pre ocupación de los medios y de la población en general, que a pesar de todo no cuenta con una base empírica que sugiera una dominación del efecto poder de mercado por sobre el efecto de las ganancias de eficiencia.
En la práctica, además de la competencia entre los mismos bancos, la existencia de sustitutos cercanos a sus productos y servicios disciplinaría en gran medida el eventual comportamiento oligopólico de éstos. Por ejemplo, la posibilidad que los depositantes de fondos acudan a inversionistas que ofrezcan mayores intereses, como fondos de pensiones, fondos mutuos, compañías de seguro, fondos de inversión, etc., limitaría las eventuales reducciones de tasas a los depositantes y las posibles consecuencias negativas de la desintermediación de la banca.
1. Estudios nacionales de los efectos de la concentración
Además de los estudios internacionales ya citados, existen muchos otros que analizan la concentración de la propiedad y sus potenciales efectos. En la banca chilena el alcance de los estudios es más limitado según se describe a continuación. Analiza (Fuentes, 2002) los determinantes de los spreads de los bancos nacionales y encuentra que los bancos más grandes (que ma nejan mayores participaciones en el mercado del crédito) logran sostener mayores márgenes. Sin embargo, no se presenta un análisis de causalidad ni solidez, por lo que estas estimaciones podrían ser incongruentes. Afirma (Levine, 2000) que la concentración bancaria en Chile es menor que la media internacional y que no ha cambiado de manera significativa desde 1983 a 1999, pues el C3-loans se mantiene relativamente constante. Su conclusión no es sólida, pues es muy sensible a los años de inicio y término del análisis (en 1981 operaban 61 instituciones financiera, mientras que en 1983 sólo 45, como efecto de la crisis internacional de la época). El mercado ha cambia do considerablemente desde entonces, pues a fines de 2001 comienza una nueva serie de fusiones que aumenta todos los índices de concentración, tornando obsoletas sus conclusiones y generando renovado interés en la relación entre la concentración y la competencia que motiva este estudio. Analizan (Chumacero, 2001) los riesgos que enfrentan los bancos y el riesgo que se genera en el sistema debido a una mayor concentración en la industria bancaria. Encuentran que la concentración no afectaría negativa mente el grado de riesgo que tiene el sistema bancario chileno.
Estiman (Budnevich, 2001) la eficiencia de los costos de la banca chilena, encontrándose evidencia en favor de la existencia de economías de escala en bancos de tamaño pequeño y mediano, pero no en bancos grandes. Además no se encuentra pruebas en favor de economías de ámbito, por lo que no se puede respaldar la creencia de que un supermercado financiero es más eficiente. En nuestra revisión no encontramos otros estudios nacionales de eficiencia X. La revisión nacional queda prácticamente completa si se incluyen los trabajos que, motivados por los aumentos de concentración en la oferta, se centran en estimaciones o indicadores de poder de mercado. En la siguiente sección se describe estas metodologías, el marco conceptual sobre el cual se sustentan, para luego analizar sus aplicaciones al mercado bancario latinoamericano.
2. Metodologías para la estimación del poder de mercado
En los decenios recientes diversos métodos han sido propuestos para medir o estimar la existencia de poder de mercado, o intentar establecer o probar alguna relación con la concentración de la industria. La bibliografía presenta desde simples indicadores de concentración (como el HHI, C3 y C4) aplicables en todas las industrias, pero de limitada utilidad, hasta medidas más complejas, como los índices de Panzar-Rosse y los parámetros de compor tamiento de Bresnahan-Lau, pasando también por el menos popular indicador de Boone. Todos estos índices se refieren a relaciones estáticas, sin capacidad de adoptar relaciones dinámicas en la oferta o la demanda, siendo los métodos (Panzar-Rosse, 1987 y Bresnahan-Lau, 1982) los preferidos por la bibliografía internacional.
Tanto el método de Panzar-Rosse como el de Bresnahan-Lau pretenden hacer inferencias de la estructura competitiva de la industria, utilizando estimaciones de modelos teóricos reducidos. Estos modelos, a partir de observaciones del comportamiento de las empresas (precios y cantidades), aportan estimaciones de parámetros que caracterizan diversos regímenes de competencia, en línea con la llamada nueva organización industrial empírica (o neio por su sigla en inglés).
a) (Panzar-Rose 1987) El método orientado a estimaciones de poder de mercado de la industria con información de empresas individuales, permite estimar un índice estadístico H, cuyo valor sugiere distintos regímenes de competencia (monopolio, competencia monopolística o competencia perfecta). Este se basa en la variación del ingreso como respuesta a variaciones de los precios de los insumos o factores, pues corresponde a la suma de las elasticidades ingreso de las empresas respecto a los precios de los factores que utiliza. Además del supuesto estático, esta metodología tiene el defecto de suponer que el mercado está en el como dependiente por lo común conlleva a distorsiones en la estimación.
b) (Bresnahan-Lau, 1982) Tradicionalmente se ha estimado el poder de mercado de cada equilibrio de largo plazo en todo momento. Además, el escalamiento de la variable que se usa empresa en una industria por medio de un parámetro derivado de modelos estructurales de oligopolio de un único periodo. Estos modelos, con el método a veces llamado en la bibliografía conduct parameter method (cpm), presentan un enfoque flexible que permite estimar varios posibles equilibrios: monopolio, Cournot o competencia perfecta para un mercado con bienes homogéneos (Bresnahan, 1982; Lau, 1982). Mediante la estimación de las condiciones de primer orden estáticas, es decir, ingreso marginal igual a costo marginal, junto con la curva de demanda se estima este parámetro de conducta, siendo interpretado como el grado de poder de mercado.
c) (Bresnahan-Lau, 1982) En un contexto dinámico. Plantea (Steen y Salvanes, 1999) una reformulación dinámica del modelo (Bresnahan-Lau, 1982) en un marco de corrección de errores aplicado a la industria del salmón fresco en Francia. Es decir, se incorpora dinámica de corto plazo en los datos para obtener estimadores congruentes. Además se resuelve el problema de inferencia cuando los datos no son estacionarios. En este estudio se incluyen rezagos en las observaciones de la variable explicada. Además se incorporan factores dinámicos, como formación de hábitos respecto a la demanda y costos de ajustes en la producción. Los resultados sugieren que la dinámica es importante e implican que la aproximación estática es inadecuada para el mercado estudiado 5.
3. Estimaciones del poder de mercado en el sector bancario
Numerosos estudios han estimado el grado de competencia en la industria bancaria en Chile, comparándolo con otros países latinoamericanos y relacionándolo con efectos específicos de regulaciones u otros cambios estructurales. Todos estos artículos (Levi, 2007; Mico, 2003; Karasulu, 2007; Claessens y Laeven, 2004 y Yeyati) usan el estadístico H de Panzar-Rosse para estimar el grado de competencia en forma estática, con datos de bancos. Los resultados que se obtienen son variados y dependen en gran medida del grupo de control que utilice para comparar. Sin embargo, todos estos artículos encuentran competencia mo-nopolística generalizada, en la que los países más grandes tienden a presentar una menor competencia, pero no encuentran pruebas de que la mayor concentración reduzca la competencia.
(Levi-Yeyati y Micco, 2007) que Chile es el país más competitivo dentro de una muestra de ocho países latinoamericanos en el periodo 1993-2003. Al ser Chile una de las economías más desarrolladas de la región y con buen acceso al crédito no es de extrañar este resultado. Por lo contrario, estima (Karasulu, 2007) el estadístico H en el mercado bancario chileno y lo compara con otras 28 economías de mercado emergentes. Sus resultados sugieren que la banca chilena tiene un grado de competencia estadísticamente inferior al promedio muestral. Finalmen (Claessens y Lae-ven, 2004) encuentran que la banca chilena tiene un grado de competencia estadísticamente igual al promedio de la muestra de 50 países desarrollados y en desarrollo en el periodo 1994-2001. Por último (Levi-Yeyati y Micco, 2003) estiman el estadístico H para siete países latinoamericanos: analizan indicadores de concentración, penetración de bancos extranjeros y estabilidad financiera y su efecto en la competencia. Ellos encuentran que no ha ha bido un efecto negativo en la competencia debido a la formación de grandes conglomerados financieros y que la competencia para los países analizados es estable y no difiere de manera importante de la que de acuerdo con la bibliografía se observa en países desarrollados.
Entre los artículos disponibles que estudian la competencia en la banca chilena, pero no publicados en revistas (Bikker, 2007; Gelos y Roldos, 2004), quienes usan el estadístico H de Panzar-Rosse estático para estimar el grado de competencia en forma estática. Establece (Bikker, 2007) una crítica importante a la manera de estimar el estadístico H de Panzar-Rosse, encontrando que escalar la variable dependiente por el total de activos genera un sesgo hacia la mayor competencia. Ellos usan una muestra de 100 países y 18 mil bancos en 16 años. También encuentran que Chile está dentro de los 10 países con más competencia entre 1986-2006. Examinan (Gelos y Roldos, 2004) la evolución de la estructura de mercado en sistemas bancarios de ocho países en desarrollo (Argentina, Brasil, Chile, República Checa, Hungría, México, Polonia y Turquía) durante el decenio de los noventa del siglo xx. Ellos destacan que pese al aumento en la concentración del mercado, no se observa un aumento de los indicadores de poder de mercado. Así la reducción de las barreras de entrada, como permitir una mayor participación de bancos extranjeros, parece haber impedido una dis minución en las presiones competitivas asociadas a la mayor consolidación.
(Oda y Silva, 2010) mediante un artículo, enfocado específicamente en Chile, estiman competencia con un modelo estático de demanda y una función de costos translogarítmica. Ellos aplican el modelo por segmentos de productos: créditos al consumo e hipotecarios, pero se centran en créditos al consumo. Usan el índice de Boone (que mide cuánto cambia la partici pación de mercado de cada banco ante cambios en su costo marginal) para realizar sus comparaciones. Ellos encuentran que para casi todo el periodo (1997-2009) se rechaza la falta de competencia a excepción del periodo (2003-2005) que es de fusiones y aumento de concentración. Es decir, se sugiere que no se observa falta de competencia en la oferta de crédito bancario al consumo en Chile. Sin embargo, en ese periodo pese a haber seis fusiones entre distintas instituciones financieras, se produce paralelamente la entrada de cinco bancos nuevos. Por tanto, no están claras las razones del mayor poder de mercado en el periodo 2002-2005.
En resumen, la mayoría de los estudios en Chile, apoyándose en meto dologías estáticas como el H de Panzar-Rosse o el índice de Boone, sugiere que el mercado bancario es altamente competitivo. Nosotros en cambio proponemos otra metodología novedosa, muy poco usada en la bibliografía internacional, que ofrece una perspectiva más completa para analizar el proceso de competencia bancaria, que obtiene un grado de competencia significativamente menor que los estudios anteriores.
II. MODELO TEÓRICO
En esta sección se describe de manera pormenorizada el modelo estático Bresnahan-Lau, su derivación y la extensión dinámica del mismo mediante el modelo de corrección de errores.
1. Modelo estático (Bresnahan-Lau)
Se puede escribir (Bresnahan-Lau, 1982) una función de demanda para los servicios bancarios comerciales de la siguiente forma 6:
en la que Q = Σqi es la cantidad agregada de producto bancario, P representa el precio, ϒ es un vector de variables exógenas, α es el vector de parámetros de la ecuación de demanda que será estimado y ε significa el término de error aleatorio que refleja aspectos no posibles de capturar por medio del modelo.
El producto bancario es tratado en la bibliografía principalmente mediante dos enfoques: intermediación y producto. En el enfoque de intermediación, los bancos son vistos como intermediadores de servicios financieros o de fondos entre ahorrantes e inversionistas, en este caso el producto corresponde a los préstamos e inversiones, utilizando insumos como trabajo, capital físico y financiero 7. Dado que los fondos provenientes de depósitos corresponden a la materia prima más importante, su precio (gasto por intereses) debe ser considerado dentro de los costos totales. En el enfoque del producto los bancos son productores de un cierto número de transacciones de cada uno de los productos. Los costos son medidos como gastos de apoyo operacional y no incorporan el gasto de intereses, dado que el capital financiero no se considera un insumo. En este enfoque sólo se requiere insumos físicos en el proceso productivo (procesar documentación financiera y efectuar transacciones). En este trabajo se utiliza el enfoque de intermediación puesto que lo conceptualmente correcto para la maximización de utilidades es considerar los costos totales y no sólo los costos de apoyo operacional. Se usa como producto las colocaciones totales y como precio la tasa de interés promedio ganada en este producto.
La función de ingreso marginal IMg se encuentra derivando el ingreso total P(Q)Q respecto a la cantidad Q, en la que P(Q) es la función de demanda inversa IMg = P +Q/(∂Q/∂P)+ε. Esta función de ingreso marginal puede ser expresada como IMg = P + h (Q, ϒ; α).
La función h (Q, ϒ; α) es la semielasticidad de la demanda con h (•) < 0. La función del ingreso marginal percibido por la empresa puede ser expresada como IMg = P + λh(•), en la que λ es un nuevo parámetro que será estimado y alcanza valores 0 λ 1. Aquí λ mide el grado en que las empresas reconocen la diferencia entre la función de demanda inversa y de ingreso marginal, siendo interpretado tradicionalmente como el grado de poder de mercado. Por otra parte, la función de costo marginal de una empresa promedio es:
en la que W es un vector de variables exógenas por el lado de la oferta, β denota el vector de parámetros que será estimado y e representa el término de error aleatorio que refleja aspectos no posibles de captar con el modelo.
Las empresas maximizan sus ganancias en las que el ingreso marginal percibido iguale al costo marginal, esto es IMg = P + λh(Q,ϒ; α) = CM(Q,W; β). Despejando el precio, se tiene:
en la que es el término de error aleatorio, que refleja aspectos no capta dos por las otras variables. Así, si el precio es igual al costo marginal y las empresas actúan como tomadoras de precios. Cuando las empresas actúan como una perfecta colusión y si el parámetro sugiere competencia á la Cournot, con una cantidad de empresas simétricas.
La expresión (5) puede ser simplificada en la siguiente forma:
en la que
es la elasticidad precio de la demanda y el parámetro de conducta sigue la relación
es decir, el índice de Lerner ajustado por elasticidad.
Para identificar el parámetro λ se requiere estimar simultáneamente las ecuaciones (1) y (3), tratando P y Q como variables endógenas. (Bresnahan-Lau, 1982) resuelven el problema de identificación incorporando elementos en la ecuación de demanda que le den tanto rotación como movimientos verticales. Esto lo hacen incluyendo interacción entre el vector P y el vector de variables exógenas T. En nuestro caso el vector Y considera dos variables exógenas: el precio de un producto sustituto a la industria bancaria Z y el ingreso de la economía Y. La función de demanda (1) es especificada como sigue:
Los términos PY y PZ son los términos que permiten la rotación de la curva de demanda. De acuerdo con (Lau, 1982), una condición necesaria y suficiente para determinar λ es que la ecuación de demanda (o demanda inversa) no sea separable en al menos una variable exógena que esté incluida en la función de demanda pero excluida de la función de costo marginal. Esta condición es satisfecha en este caso si αPZ y αPY no son ambas iguales a 0. Esta especificación de la función de demanda, aparte de los términos de interacción, representa una aproximación de primer orden (linealizada) de la verdadera curva de demanda.8 Una inclinación descendente de la curva de demanda de la industria requiere que αP + αPYY < 0.
Respecto a la función de costos, el costo marginal de los bancos no es posible de observar de manera directa el estado de resultados de los bancos. Tradicionalmente se usa la especificación translogarítmica para representar la producción conjunta en el proceso productivo de los bancos. Sin embargo, dada la complejidad del modelo de ecuaciones simultáneas que se estimará y las interacciones entre variables endógenas que se genera, tal modelo no se puede identificar con una función de costos translogarítmica si no se cuenta con suficientes instrumentos. Por esa razón se simplifica con una función de costo marginal lineal en el producto y el insumo.
en la que CM es el costo marginal, W1 y W2 son precios de insumos exógenos, W1 denota el precio de los depósitos y W2 es el precio unitario del trabajo, medido como el salario por empleado. El capital físico es a menudo visto como un tercer insumo en la función de producción bancaria pero es omitida en esta especificación por constituir menos de 3% de los gastos de operación durante el periodo considerado.
La segunda ecuación por estimar es la función de costo marginal en el supuesto de que los bancos son tomadores de precios de los insumos y maximizan ganancias. De esta manera la ecuación (3) queda especificada como P = CM (Q,W; β) - λQ/(∂Q/∂P). Reemplazando el costo marginal,
A pesar que los parámetros αP, αPY y αP2 son conocidos, ya que se estimaron primero en la función de demanda, X aún no está identificado si no se incorpora las variables exógenas que dan rotación a la curva de demanda. Para observar esto escribamos Q*= - (Q/αP + αPZZ + αPYY). Hay dos variables endógenas incluidas Q y Q* y cuatro variables exógenas Z, Y, PZ y PY en (7); así λ está identificado como el coeficiente de La inclusión de PZ y PY es decisiva para este resultado. Si se excluyera estas variables, eqntonces Q* = -(Q/αP), haciéndose indistinguible desde Q en la relación de oferta.
Por otra parte, se analiza el posible efecto en el parámetro de comportamiento λ de choques exógenos como el cambio en la legislación o crisis financieras internacionales a lo largo de la muestra. Para el caso de Chile se analiza la crisis financiera que afectó la economía en 1998 y 1999; para ello se incorpora una variable ficticia (dummy) D adicional de la siguiente forma:
En este caso se estiman simultáneamente las ecuaciones (5) y (7') en las que ξ es un término aleatorio (Bresnahan, 1982, y Lau, 1982). El parámetro de conducta que nos interesa ahora es λ+βDD.
Esta técnica no cuenta con una definición particular del mercado bancario local; la estimación del parámetro λ será insesgada en una muestra que contenga al menos un mercado completo (Shaffer, 1983). Si la industria presenta múltiples mercados, λ podría ser interpretado como el grado promedio de poder de mercado en mercados separados. Además, no se requiere que todas las empresas exhiban el mismo grado de poder de mercado, en el que X reflejaría el comportamiento de la empresa promedio de la muestra. Por ejemplo, si en la muestra existe una empresa dominante (o un cártel) y el resto son empresas competitivas, se podría generar una estimación del parámetro con un promedio entre valores competitivos y con colusión, lo que excedería el valor competitivo.
2. Modelo dinámico en un marco de Bresnahan-Lau
El uso de modelos estáticos para estimar el parámetro de comportamiento puede llevar a graves problemas de incongruencia en la estimación si los supuestos detrás de estos modelos son violados y las empresas toman decisiones que son afectadas por variables pasadas, o si las empresas saben que sus acciones afectarán las acciones de sus competidoras o la autoridad en el futuro. En los modelos dinámicos la empresa interactúa dentro de muchos periodos y maximiza su valor presente, considerando explícitamente los dilemas intertemporales asociados con sus decisiones (Corts, 1999; Pindyck, 1985).
La bibliografía empírica de competencia bancaria, de acuerdo con nuestra revisión, no presenta aplicaciones en las que se modele explícitamente la optimación multiperiodo que podrían estar efectuando los bancos. Los enlaces intertemporales de sus decisiones y sus posibles mecanismos de realimentación (feedback) son en general despreciados, en favor de modelaciones estáticas o de un único periodo, pero evaluadas en múltiples momentos. Modelar el problema de decisión de las empresas de un periodo, considerando explícitamente el efecto de las decisiones en la esperanza del valor futuro de otras variables es una tendencia que se observa recientemente en varias otras industrias.9 Sin embargo, en el mercado bancario no es clara la necesidad, importancia y capacidad de modelar y estimar en este detalle de las decisiones, pues parte importante de la dinámica de la competencia estaría asociada con las relaciones intertemporales de la oferta y la demanda, que son parcialmente posibles de modelar mediante formulaciones distintas.
3. Dinámica fundamental y estratégica
La reformulación dinámica que se propone en este artículo, es por medio de un modelo de corrección de errores (MCE), en el que no se modelan explícitamente los mecanismos de realimentación entre las decisiones de múltiples periodos, y se supone que las empresas maximizan sus ganancias de cada periodo, como una sucesión de problemas estáticos, es decir, no se modela la naturaleza dinámica de la decisión estratégica (dinámica estratégica). Esta metodología si considera la naturaleza dinámica de la industria, permitiendo acomodar relaciones intertemporales tanto en la oferta como en la deman da (dinámica fundamental). Esta opción es además apropiada para el uso de observaciones en series de tiempo y permite resolver los problemas de inferencia al estudiar econométricamente equilibrios no estacionarios. Con esto además se permite estudiar desviaciones de corto plazo del equilibrio, situación muy común en este y otros mercados, pero que otras teorías de medición de la competencia no podrían controlar de manera satisfactoria.
En términos más formales, no se modela explícitamente la llamada dinámica estratégica asociada a la decisión oligopólica, pero si se presenta un modelo capaz de representar la dinámica fundamental de la industria, asociada a con las relaciones intertemporales de oferta y demanda (Perloff et al, 2007). Esta elección estaría apoyada por la escasa bibliografía encontrada que modela econométricamente la dinámica estratégica y por los resultados de las estimaciones que se presenta líneas abajo.
4. Modelo de corrección de errores (MCE)
Este modelo relaja la restrictiva condición de equilibrio asociada con los modelos estáticos, que en la práctica significan asumir que el mercado, a pesar de sus cambiantes condiciones, siempre está en su equilibrio, y no diferencia entre el equilibrio de corto y largo plazod. El mce supera esta limitación, estableciendo la existencia de una relación de equilibrio estable de largo plazo entre un conjunto de variables y en las que los desajustes de corto plazo son transitorios, lo que permite diferenciar entre el comportamiento de la industria de corto y largo plazos. Estos modelos tienen la ventaja de considerar, además de las series rezagadas, la información de largo plazo contenida en las variables en niveles.
El término corrección de error fue usado por (Sargan, 1964), (Hendry y Anderson, 1977) y (Davidson, et al 1978), como una manera de captar ajustes en una variable dependiente de desviaciones de variables explicativas de la relación de equilibrio. Las desviaciones en el corto plazo pueden producirse por rigideces de precios, choques aleatorios, existencia de contratos, cambios estacionales, entre otros. Los mce introducen rezagos de las variables endógenas como una manera de detectar dinámica en el modelo como la que proviene de la persistencia de hábitos o lealtad de marca.
En el mercado bancario se presentan múltiples razones para pensar que existe persistencia de hábitos respecto a la demanda, toda vez que los consumidores al tomar un crédito a un determinado plazo, gran parte de la veces deben comprar un paquete de productos o un conjunto de productos bancarios que condicionaron la compra, como por ejemplo: cuenta corriente, tarjetas de créditos, líneas de créditos y/o créditos hipotecarios. La compra de este paquete representa un contrato difícil de romper en el corto plazo, lo que resulta en una relación de varios periodos con una institución financiera. Respecto a la oferta la relación dinámica se puede deber a la existencia de costos de ajustes, inventarios u otras relaciones más complejas de modelar explícitamente. En este sentido, los depósitos, principal insumo del producto bancario, presentan inercia al ser contratos que pueden llegar a durar varios meses, generando relaciones entre periodos sucesivos.
El mce supone exogeneidad débil de los fundamentos en el sentido de Engle, Hendry y Richards (1983). Esto resulta necesario para los efectos de inferir el vector de cointegración, por cuanto no se consideran mecanismos de realimentación. Dada la no existencia de realimentación entre las empresas, se está suponiendo que los bancos maximizan ganancias cada periodo, o una sucesión de equilibrios estáticos.
Según Banerjee et al (1993), pp. 47-50, cuando la relación de equilibrio entre dos series de variables es de la forma y* = ʋx* entonces un término de corrección de error es (yt - ʋxt ) y contiene importante información, ya que el sistema se moverá hacia el equilibrio. La misma expresión anterior rezagada un periodo representa el desequilibrio del periodo anterior. En un mce la estimación de los parámetros de ajuste de corto plazo no dependen del parámetro en la medida en que otros términos en niveles estén presentes para permitir ajustes de los parámetros elegidos.
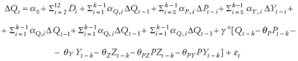
La forma general del mce para la ecuación de demanda del mercado bancario (ecuación 5) es la siguiente:
en la que j = P, Y, Z, PZ, PY.
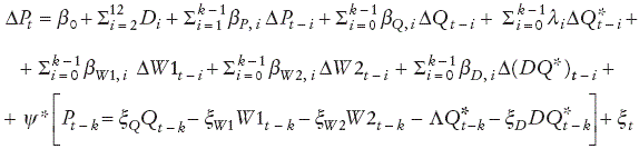
La forma general del mce para la ecuación de oferta del mercado banca-rio (ecuación 7') es la siguiente:
en la que:
y
Las sumatorias en las ecuaciones (8) y (10) captan la dinámica de corto plazo, los términos que están entre corchetes son los términos del MCE y aportan la solución de largo plazo. Por ejemplo, el parámetro 6Y mide el efecto en el largo plazo de Yt en Qt. En tanto, y * es el parámetro de ajuste y mide el efecto en ΔQt de estar fuera del equilibrio de largo plazo, o cómo la empresa tiende a corregir los errores de decisiones pasadas.
Este marco sirve para corregir por autocorrelación y no estacionariedad de las variables. Si suponemos que las variables son estacionarias en primeras diferencias todas las sumatorias incorporadas en ambas ecuaciones son estacionarias. Además, si las variables en niveles cointegran, la combinación lineal del paréntesis cuadrado, también es estacionaria para ambas ecuaciones.
Como destacó líneas arriba, para identificar el parámetro de comportamiento λ se requieren variables de interacción; en este caso se requiere θP, θpz y θPY. El MCE proporciona una medida del parámetro de comportamiento de las empresas de corto plazo λ0 y de largo plazo A. La relación de oferta en (10) incorpora costos de ajuste y permite desviaciones en el corto plazo desde la condición de optimalidad: ingreso marginal igual a costo marginal.
III. MODELO EMPÍRICO Y ESTIMACIONES
En esta sección se presenta la especificación empírica del modelo, se comenta los resultados de las pruebas de orden de integración y cointegración, para luego presentar las estimaciones de los modelos de oferta y demanda. Los resultados más notorios se encuentran en la oferta, en la que se estima sólidamente parámetros de comportamiento que sugieren el ejercicio de poder de mercado tanto en el corto como en el largo plazo, pero de distintas magnitudes.
1. Especificación empírica
Para aplicar el modelo propuesto se considera datos mensuales para el sis tema bancario chileno en el periodo enero de 1990-diciembre de 2007, que corresponden a 216 observaciones. No se considera información a partir de 2008 debido a que se incorporan las normas internacionales de contabilización, por lo que no son comparables las partidas del saldo a partir de esta fecha. Se usa la información publicada por la Superintendencia de Bancos e Instituciones Financieras (sbif). Otras variables económicas se obtuvieron de publicaciones del Banco Central de Chile y del Instituto Nacional de Estadística (ine).
Como producto Q se usa el acervo de colocaciones de menos y más de un año en millones de pesos de cada mes, restándole colocaciones contingentes. Como precio P se usa el ingreso total por intereses percibidos y devengados mensuales dividido por colocaciones efectivas. Para precios del bien sustituto Z se considera la tasa libor de base anual de 90 días en dólares. Como medida del ingreso agregado Y se usa el imacec con año base promedio 2003. Como precio de los insumos W1 se utiliza el interés pagado y devengado dividido por pasivo circulante. Como precio del trabajo W2 se usa el costo promedio mensual. Es decir, el gasto del personal y directorio mensual dividido por el número de trabajadores.
Antes de especificar el modelo empírico se comprobaron el orden de integración de las variables usando las pruebas de raíz unitaria tradicionales y se realizaron las pruebas de Dickey-Fuller aumentado (1979), presentados en el Cuadro A1 del apéndice.10 Es importante advertir que si una variable es integrada, supone que los choques que influyen en su evolución tienen un carácter permanente. Por lo contrario, si la variable es estacionaria la influencia de las perturbaciones se desvanece con el tiempo. Si las variables son encontradas no estacionarias en niveles pero estacionarias en primeras diferencias, entonces la sumatoria de las primeras diferencias que capta la dinámica de corto plazo sería estacionaria; este es el caso de las ecuaciones, mce de demanda y oferta (8) y (10).
Para asegurar la existencia de una solución de largo plazo en la demanda y oferta se probó la existencia de cointegración con la prueba de cointegración multivariada de (Johansen 1988) y (Johansen y Juselius, 1990), presentados en el Cuadro A2 del apéndice. Para encontrar vectores de cointegración se usó la técnica de correlación canónica y de traza. Un vector autorregresivo (var) en términos de corrección de error, puede ser escrito como: xt = ζ1 xt-1 + ••• + ζp-1 x t-P+1 +α-Bzt_ 1 + εt en el que la matriz de variables xt contiene las variables Q, P, Z, Y, PZ, PY para la función de demanda, y las variables P, Q, W1, W2 y Q* para la relación de oferta. Una vez verificada la existencia de vectores de cointegración, se estimaron las ecuaciones (8) y (10), dentro de las cuales (entre corchetes) se presenta los términos de corrección de error, ya que la desviación desde el equilibrio de largo plazo es corregida gradualmente por medio de una serie de ajustes parciales de corto plazo.
2. El modelo empírico
Basados en los resultados de las pruebas de orden de integración y cointegración se tiene asegurada la inferencia, la existencia de una relación de largo plazo y por ende se puede estimar satisfactoriamente los parámetro de comportamiento de las empresas de corto y largo plazos.11 Éstos entregarían información respecto al ejercicio de poder de mercado por parte de los bancos.
Estimamos el sistema de ecuaciones mce de oferta y demanda, (8) y (10), con todos los datos expresados en términos reales (se deflacionaron por el ipc de diciembre de 1998). Se incorporará variables ficticias (dummy) estacionales mensuales en la función de demanda y oferta. El sistema de ecuaciones por estimar es no lineal en sus parámetros y por tanto requeriría un procedimiento de estimación no lineal. Sin embargo, factorizando el paréntesis del mce se obtiene linealidad y es posible estimar por mínimos cuadrados, solo que en vez de obtener los parámetros de largo plazo directamente desde la estimación, se encuentran dividiendo todos los niveles de parámetros estimados por y * en (8) y por Ѱ* en (10). Este procedimiento es la llamada transformación de Bardsen (1989), y en el que la estimación es realizada en dos etapas. Sin embargo, la variable Q* se construye de una transformación no lineal de variables provenientes de la estimación de la demanda (en 11), por tanto, el modelo se estima con el método generalizado de momentos en dos etapas (mgm) que genera estimadores eficientes de los parámetros y estimadores congruentes de los errores estándar.
En este sistema de ecuaciones es clara la existencia de endogeneidad, puesto que la oferta de crédito es sensible a los precios. De esta manera, hay choques que afectan los precios y que no provienen de la demanda. Es necesario controlar los movimientos de la oferta cuando estimamos la curva de demanda y, de la misma manera, controlar los movimientos de la demanda cuando estimamos la relación de oferta.
Para resolver los problemas de simultaneidad en el sistema, en la función de demanda se instrumentalizan los precios usando los costos W1 y W2 y en la oferta, las variables Z y Y son incluidas como instrumentos de la cantidad. Se utiliza el método de variables instrumentales estimado con mgm en dos etapas (Hayashi, 2000, pp. 206-213 y 226-227) robusto a heterocedas-ticidad y autocorrelación. Para introducir los instrumentos de las variables cruzadas PZ y PY se usa la metodología propuesta por Wooldridge (2000),12 para evitar el problema de forbidden regression en la forma de incorporar los instrumentos de las variables endógenas. Los instrumentos fueron validados satisfactoriamente mediante las pruebas de subidentidicación de Kleibergen-Paap (rk LM), de debilidad de los instrumentos de Kleibergen-Paap (rk Wald) y la prueba /-Hansen de validez de los instrumentos.
3. Estimación de la demanda dinámica
La estimación de la demanda considera una formulación de seis rezagos y se presenta en el Cuadro 1. Con esta estructura de rezagos no se observa la presencia de autocorrelación en los errores, para lo cual se aplicó el estadístico Q y la prueba Breusch-Godfrey de correlación serial de los errores.13 El R2 alcanza un valor de 0.58 y la mayoría de los parámetros son significativos a 10%,14 salvo los relacionados con algunas variables ficticias estacionales y con las desviaciones de la cantidad. Los parámetros de largo plazo se calculan usando la expresión (9). Dado que estos son no lineales su desviación estándar se calcula mediante el método delta. Es notorio que todos los parámetros de largo plazo son significativos al 5 por ciento.

a Errores estándar robustos *** p < 0.01, ** p < 0.05, * p < 0.1. Estimación por MGM en dos etapas. Desviación estándar de parámetros de largo plazo mediante método delta.
CUADRO 1 Resultados de la estimación de demanda dinámica*
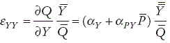
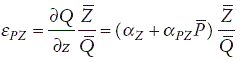
Para validar el modelo de demanda, es de interés conocer el efecto de los precios, el ingreso y el precio del bien sustituto en la cantidad demandada. Para ello se estiman las respectivas elasticidades de largo plazo, todas la cuales tienen signos y magnitudes razonables y alineadas con la bibliografía bancaria. La elasticidad de largo plazo de la demanda de préstamos respecto a los precios está dada por
y alcanza un valor de -0.26 para una demanda con seis rezagos en todas las variables.15 Este valor es acorde con la bibliografía que presenta elasticidades en estos rangos. Por ejemplo, Spiller et al (1984) entrega elasticidades de préstamos que van entre -0.12 y -0.25, Nakane (2001) muestra una elasticidad de -0.128 para el mercado brasileño y Dick (2008) una elasticidad precio propio de -0.15 para cargos por servicios. La elasticidad ingreso de largo plazo está dada por
y alcanza un valor de 1.77, lo que sugiere que el producto bancario es un bien normal y pro-cíclico. Por último, la elasticidad precio cruzada de largo plazo está dada por
y alcanza un valor de 0.075, lo que indica que la tasa libor es un bien sustituto a los préstamos ofrecidos por la banca chilena.
Respecto al ajuste de la cantidad demanda del producto bancario en el largo plazo (monto de colocaciones demandadas), se estima que la demanda ajusta o corrige las desviaciones del equilibrio de largo plazo de manera relativamente lenta, pues en el modelo de demanda el factor que acompaña a los términos del mec (de ajuste o corrección de error) tiene un valor de y* = -0.045.16 Como es de esperar, este factor de ajuste está dentro del rango (-1, 0), en el que y* = -0 implica que no hay corrección del error en el largo plazo, mientras que y* = -1 implica que una desviación desde el equilibrio de largo plazo se ajusta instantáneamente. Respecto a los instrumentos, se rechaza la hipótesis nula de subidentificación a una significación de 5%. De igual manera se rechaza que los instrumentos sean débiles (estadístico F es mayor a 12). La prueba J-Hansen indica que los instrumentos son válidos al rechazarse la hipótesis nula.
4. Estimación de la oferta dinámica
La estimación de la oferta considera una formulación de cinco rezagos y se presenta en el Cuadro 2. El modelo de oferta se ajusta mejor que el de de manda y la mayoría de los parámetros son significativos a 10, 5 o 1% (con R 2 de 0.5). Para analizar la significación de los parámetros de largo plazo se usa el método delta. Como se observa en el Cuadro 2 los parámetros de largo plazo son significativos a 5 y 10% a excepción de £,W 2 y de la variable ficticia que mide el efecto de la crisis económica de 1998.

a Errores estándar robustos *** p < 0.01, ** p < 0.08, * p 0.1. Estimación por MGM en dos etapas. Desviación estándar de parámetros de largo plazo mediante método delta.
CUADRO 2 Resultados de la estimación de oferta dinámicaa
El parámetro de ajuste o de corrección de errores Ѱ* es -0.48, lo que sugeriría que la oferta se ajusta más rápido que la demanda ante desviaciones del equilibrio de largo plazo. El parámetro de conducta de las empresas λ, que estima el poder de mercado es positivo y está en el intervalo esperado (0,1), en el que si λ = 0 el mercado bancario se comportaría competitivamente, y si es igual a 1 lo hace como una colusión perfecta.
Las estimaciones de los parámetros de comportamiento de corto plazo son λ0 = 0.00436, λ1 = 0.00707, λ2 = 0.00834, λ3 = 0.00957 y λ4 = 0.01148,17 siendo todas bajas pero significativas a 10%, lo que sugiere que existe un bajo (pero significativamente superior a 0) poder de mercado en el corto plazo para todos los rezagos considerados. El grado de competencia de largo plazo se estima con el paráetro correspondiendo al coeficiente de Qt -k en (8). Se estima Ʌ = .025 lo que sugiere que en el largo plazo se ejerce un poder de mercado significativamente mayor que el observado en el corto plazo. De hecho, este valor indica que el mercado se comporta como un oligopolio con 40 empresas idénticas, número similar al que existía en el mercado la primera mitad de la muestra. Este parámetro es significativo además a 8.8%, para validar este resultado se realizó la prueba de Wald de significación individual con distribución X . En todos los casos se rechaza la hipótesis nula que A = 0 y A = 1 a los niveles de confianza tradicionales.18 Es decir, el modelo efectivamente estima robustamente la existencia de un grado importante de poder de mercado en el largo plazo, cuando ha terminado el proceso de ajuste de las variables pertinentes. Por otra parte, en el corto plazo, cuando las variables todavía están en su proceso de ajuste en torno de este equilibrio, este poder de mercado también se observa, pero en menor cuantía y más difícil de distinguir y estimar significativamente. Este es un resultado sorprendente y muy importante para la autoridad económica.
Estos resultados son congruentes con los resultados encontrados por empresa con los estudios del estadístico H de Panzar-Rosse, lo que sugiere reexaminar la pertinencia del uso de las estimaciones estáticas del parámetro de conducta, en favor de formulaciones como la sugerida en este trabajo. Para analizar más profundamente los potenciales problemas y sesgos de utilizar formulaciones puramente estáticas se estimó el siguiente modelo estático.
5. Estimaciones estáticas
Con el fin de analizar la importancia de la especificación dinámica se estimó el modelo estático de Bresnahan-Lau (1982) usando las mismas variables instrumentales del modelo dinámico. Los resultados de las estimaciones son presentados en el Cuadro 3. Se muestra dos métodos de estimación: dos etapas (2sls) y método generalizado de momentos (mgm); en este último los estimadores de los coeficientes son eficientes y los errores estándar son congruentes. Con ambos métodos los resultados son similares en cuanto a signo y magnitud de los parámetros. A continuación se describen los resultados de la estimación en dos etapas.
6. Demanda
La demanda estática utiliza la misma especificación que en (8)-(10), pero se descarta las variables rezagadas, es decir, se estima el sistema (5)-(7') incorporando además las variables ficticias estacionales.
El modelo estático pareciera ajustar bien a los datos (con R2 de 97%, mucho mayor al obtenidos en el caso dinámico). Sin embargo, en este caso la autocorrelación es un grave problema. Al analizar el estadístico Q y el estadístico Durbin-Watson.19 Al hacer la estimación en dos etapas, la elasticidad precio propio alcanza un valor de -0.01420, que es (correctamente) negativa, pero 16 veces más pequeña que la de largo plazo estimada líneas arriba y estando muy por debajo de lo presentado por la bibliografía empírica bancaria, que comúnmente muestran valores entre -0.12 y -0.25. Las elasticidades respecto al ingreso y cruzada presentan el signo correcto y tienen magnitudes similares a las elasticidades de largo plazo presentadas líneas arriba.21
7. Oferta
La oferta estática se estima mediante el modelo (7) y pareciera presentar un buen ajuste de los datos (con R2 de 97% y muy superior al caso dinámico). Sin embargo, presenta alguna autocorrelación, lo que se puede constatar con el estadístico Q y Durbin-Watson. El parámetro de poder de mercado estático presenta dos problemas: i) el signo es incorrecto, pues no está en el intervalo (0, 1),22 y ii) a diferencia del caso dinámico, el estadístico no es significativo a 10%, lo que no permite rechazar que el parámetro sea 0 y se trate de competencia perfecta. Se realizó una prueba de Wald para probar la hipótesis nula de competencia perfecta λ = 0 y colusión perfecta λ = 1. El resultado también confirma que no se puede rechazar la hipótesis nula que el parámetro es igual a 0, pero si se rechaza que sea 1. Los resultados anteriores son una prueba de lo inadecuado de una especificación estática para estimar la competencia en esta industria con datos de series de tiempo, pues la especificación estática en esta y otras aplicaciones subestima el grado de poder de mercado de la industria, haciéndolo incluso indistinguible de la competencia perfecta. La variable ficticia para verificar la importancia de la crisis en la competencia se observa significativa pero con el signo incorrecto, lo que una vez más muestra lo inapropiado de la especificación estática. Se realizaron estimaciones con otras formas funcionales (translogarítmica y minflex) y otros métodos de estimación (dos y tres etapas), sin embargo, los problemas antes mencionados (ya sea signo y significación de λ y/o signo y magnitud de la elasticidad precio) se mantienen invariantes.
CONCLUSIONES
La bibliografía de la competencia y el poder de mercado bancario en la América Latina está dominada por aplicaciones estáticas de las dos tradicionales metodologías de Bresnahan-Lau y Panzar-Rosse; esta última es la más usada. De hecho, en el caso de Chile, no se encuentran aplicaciones de Bresnahan-Lau más allá de las versiones preliminares de nuestros trabajos. Diversos autores han evitado los problemas de inferencia en contextos dinámicos utilizando principalmente el índice H, que pareciera (aunque no se ha demostrado) ser menos sensible al sesgo de modelación estática.
En este artículo se planteó una reformulación dinámica del modelo de (Bresnahan-Lau, 1982) en un marco de corrección de error, que es una nove dosa y muy ventajosa metodología propuesta por (Steen y Salvanes, 1999), nunca antes aplicada al mercado bancario chileno y con aun muy pocas aplicaciones internacionales.
Las principales ventajas de esta formulación son las siguientes: i) mejora los resultados de las estimaciones estáticas tradicionales acomodando la dinámica de corto plazo presente en los datos, lo que resuelve la crítica de Corts (1999) y obtiene estimadores congruentes; ii) permite además realizar inferencia con series no estacionarias en niveles, estudiando la relación de largo plazo que existe entre las variables cointegradas y de esta manera iii) permite analizar correctamente el poder de mercado tanto en el corto, como en el largo plazo, sin forzar su equivalencia.
Nuestros resultados indican que existen vectores de cointegración tanto en la función de demanda de crédito como en la relación de oferta del mismo, por ende, los resultados estáticos (comunes en la bibliografía bancaria) se tornan irrelevantes y las estimaciones estáticas serían incongruentes. Esti mando tanto el tradicional modelo estático, como el modelo dinámico pro puesto, ilustramos esta situación y los sesgos asociados con la modelación estática; no encontramos en la bibliografía bancaria semejante comparación.
Observamos importantes pautas dinámicas en la industria bancaria que no pueden ser despreciadas y que si bien son difíciles de modelar explícita e individualmente, deben ser adaptadas mediante una formulación más flexible. Además de las relaciones intertemporales dadas por la formación y cambio de hábitos y los costos de ajustes que enfrentan tanto bancos como clientes (contratos, planes, cuentas, rigideces de precios, etc.), existen otras cambiantes condiciones, como lo son los cambios en el marco regulatorio, fusiones de empresas y adquisiciones, entrada de nuevos bancos, consolidación comerciales, nuevos tratados de libre comercio, arribo de conglomerados internacionales, crecimiento económico, etc., que condicionan el equilibrio del mercado.
Un buen modelo de equilibrio bancario debe ser capaz de recoger tanto estas relaciones intertemporales, como adaptar las cambiantes condiciones que afectan el equilibrio temporal o permanentemente. El modelo propuesto lo hace, permitiendo estimar relaciones de equilibrio de largo plazo, a la vez que adecuar desviaciones de corto plazo del mismo.
Los resultados sugieren una diferencia considerable entre el poder de mercado ejercido en el corto y largo plazos. En el corto plazo se ejerce poder de mercado, pero es relativamente bajo, los parámetros de poder de mercado respectivos son cercanos pero significativamente distintos de 0 (por ejemplo λ0 = 0.0044 con significación de sólo 10%). Estas conclusiones coherente con los bajos (o a veces indistinguibles) niveles de poder de mercado que entregan los modelos estáticos.
En el largo plazo, sin embargo, las estimaciones del poder de mercado son cinco veces superiores (Ʌ = 0.0250), lo cual sugeriría que el mercado se comporta bastante menos competitivamente en el largo plazo. El ejercicio del poder de mercado en la industria bancaria es un problema con una dimensión de largo plazo, que no es posible rescatar con modelos estáticos centrados exclusivamente en los equilibrios de corto plazo.23 Los modelos estáticos están sesgados, pues no controlan por los determinantes dinámicos de este mercado y tenderían a subestimar el ejercicio de poder de mercado. En el largo plazo un parámetro Ʌ = 0.0250 indica que el mercado se comporta como un oligopolio con 40 empresas idénticas, número similar al total de empresas existentes en el mercado durante la primera mitad del horizonte de estudio.
Estos resultados confirman que efectuar una estimación estática del parámetro de poder de mercado lleva a sesgos importantes, que en el caso de Chile podrían conducir a la conclusión errada de que el mercado bancario es perfectamente competitivo. Lo anterior es congruente con la crítica de Corts (1999) y con resultados de aplicaciones a otras industrias, como Salgado (2008) en el mercado de los microprocesadores.
Los resultados de las estimaciones dinámicas presentan un buen ajuste de los datos y son sólidos a distintas estructuras de rezagos. Los signos de las elasticidades de largo plazo de la demanda y del parámetro de comporta miento en la oferta, tanto en el corto como en el largo plazo, son correctos. La magnitud de la elasticidad precio propio de la demanda es coherente con la documentada en la bibliografía, por lo que en general los resultados obtenidos son bastante sólidos.
La presente aplicación obtuvo mejores resultados con seis rezagos en la función de demanda y cinco en la relación de oferta. Los parámetros de ajuste o de corrección de error son y* = -0.05 y Ѱ* = -0.48 en la demanda y oferta, respectivamente, es decir, la oferta bancaria se ajusta mucho más rápidamente que la demanda por sus créditos. Una posible interpretación de estos resultados es que a diferencia de lo que se puede esperar en los mercados caracerísticos, la oferta se ajusta más rápido que la demanda porque el producto bancario tiene una alta elasticidad oferta. Esto es, el proceso productivo es altamente flexible ante choques exógenos. No así la demanda, que se tarda más en ajustar, posiblemente porque las decisiones de préstamos dependen en gran medida de los ingresos y deudas promedios en el sistema, es decir, de cuan riesgoso se torna un cliente, lo cual es razonablemente más lento de ajustar.










nueva página del texto (beta)























