SciELO - Scientific Electronic Library Online

 
vol.77 número308Un oligopolio mixto con contratación endógena de administradores y titularidad privada nacional y extranjeraCriterios de decisión de inversión en fondos monetarios índice de autoresíndice de materiabúsqueda de artículos
Home Pagelista alfabética de revistas  

Servicios Personalizados

Revista

Articulo

Indicadores

Links relacionados

  • No hay artículos similaresSimilares en SciELO

Compartir


El trimestre económico

versión On-line ISSN 2448-718Xversión impresa ISSN 0041-3011

El trimestre econ vol.77 no.308 Ciudad de México oct./dic. 2010

 

Artículos

Análisis del mercado crediticio. Un enfoque de equilibrio general*

Kaniska Dam** 

** Centro de Investigación y Docencia Económicas (correo electrónico: kaniska.dam@cide.edu).


Resumen:

Se analiza un modelo de contratos de incentivos en el que cada uno de los principales, que poseen la misma tecnología de supervisión que los demás, celebran contratos con agentes seleccionados de entre un grupo de individuos que difieren en cuanto a su dotación de riqueza. Los principales y los agentes están emparejados para formar sociedades y estos emparejamientos están sujetos a problemas de riesgo moral bilateral. Los agentes necesitan pedirles préstamos a los principales para poder financiar sus proyectos. En equilibrio, los pagos a los principales y agentes están determinados endógenamente. Los agentes más acaudalados obtienen pagos mayores, mientras que todos los principales obtienen el mismo pago. Se analiza también los efectos de los cambios en el costo de la supervisión y la tasa de interés libre de riesgo en la supervisión óptima y los precios de las acciones.

Palabras clave: emparejamiento bilateral; estabilidad; contratos óptimos

Abstract:

I analyse a model of incentive contracts where principals who each possesses the same monitoring technology, contract with agents from a pool of individuals differing in their wealth endowments. Principals and agents are matched to form partnerships, and the matches are subject to a double-sided moral hazard problems.

Agents need to borrow from the principals to finance their projects. In equilibrium, payoffs to the principals and agents are determined endogenously. Wealthier agents consume higher payoffs, whereas all principals get the same payoff. I further analyse the effects of changes in the monitoring cost and the risk-free interest rate on the optimal monitoring and stock prices.

Clasificación JEL: D82, J33, J41.

Introducción

Los contratos de préstamos entre prestamistas/inversionistas y prestatarios/empresas están, en general, sujetos a varias imperfecciones del mercado, entre las cuales las restricciones informativas desempeñan un papel importante. Una relación de inversionista-empresa en la que la empresa busca financiación externa para cubrir el costo de su proyecto con frecuencia está sujeta a problemas de riesgo moral debido a la incapacidad de celebrar un contrato conforme a las acciones que elige el prestatario (tales como el esfuerzo). La supervisión al que los prestamistas someten a los prestatarios tiene por objeto aminorar este problema de riesgo moral. En realidad, con frecuencia las empresas son financiadas por inversionistas "externos" e "internos". En general, los inversionistas externos no pueden supervisar a sus prestatarios debido al alto costo de la supervisión, mientras que los internos sí pueden hacerlo.1 Podría surgir un posible conflicto de intereses debido a que los externos, por una parte, buscan una supervisión que maximice el valor neto presente del proyecto y los internos, por su parte, optan por una supervisión que maximice las ganancias privadas. Por consiguiente, una supervisión costosa implica que un prestamista podría no comprometerse a una supervisión especificada de antemano, lo que genera un riesgo moral adicional en dichas relaciones principal-agente.

Este problema de riesgo moral bilateral impide la instrumentación del resultado óptimo. La teoría de la agencia tradicional (Grossman y Hart, 1983) analiza contratos de préstamos óptimos desde una perspectiva de equilibrio parcial en el que se trata a la pareja de prestamista-prestatario como una entidad aislada. En este enfoque, la utilidad de reserva del principal o el agente se toma como dada exógenamente. Pero en un mercado en el que interactúan muchos principales y agentes, la utilidad de reserva de cualquier individuo se torna endógena. Por tanto, este modelo requiere un enfoque de equilibrio general. El principal objetivo de este artículo es proponer un marco de trabajo útil para analizar un modelo de equilibrio general en un mercado de prestamista-prestatario.

Considero un mercado con un número finito de principales neutrales al riesgo (inversionistas o prestamistas) y agentes (empresas o prestatarios) que están unidos para formar sociedades. Cada agente tiene un proyecto cuya consecución cuesta un dólar. Los agentes se diferencian en cuanto a su dotación de riqueza. Ningún agente tiene suficiente riqueza para cubrir el costo del proyecto, por lo que depende de la financiación externa. Los principales pueden prestarle dinero solamente a un agente, por lo cual reciben transferencias contingentes al estado (o pagos de intereses).2 Después de obtener un préstamo de su financiero, cada agente elige una acción no verificable (por ejemplo, el esfuerzo) que determina la probabilidad de que el proyecto tenga éxito. La neutralidad del riesgo, junto con una restricción de responsabilidad limitada (riqueza final no negativa), genera un problema de riesgo moral en la acción que elige el agente. Cada principal puede optar por supervisar a su agente para aminorar el problema de riesgo moral. La supervisión es costosa, por lo que ningún principal es capaz de comprometerse de antemano con una supervisión específica. Doy por hecho que todos los principales son idénticos en cuanto al costo de la supervisión. Esto induce un problema adicional de riesgo moral en la elección de la supervisión. El enfoque del equilibrio general del mercado se trata en un juego de emparejamiento bilateral entre principales y agentes.3 Una asignación del mercado es una regla de emparejamiento (que especifica el emparejamiento de un agen te a un principal) y un vector de contratos viables, uno para cada pareja. Mi concepto de equilibrio es la estabilidad, que significa que ningún individuo ni pareja de principal-agente pueden mejorar sus pagos mediante otros arreglos. Este enfoque de modelaje endogeniza la utilidad de reserva del principal, por lo que el emparejamiento de equilibrio y los contratos determinados simultáneamente (y, por consiguiente, los pagos) también son endógenos.

Primero, muestro que todos los principales, al ser idénticos, obtienen los mismos pagos. Las diferencias en la dotación de riqueza de los agentes implican diferencias en la responsabilidad, en el sentido de que para un agente que cuente con mayores recursos el riesgo moral de la acción del agente es menos severo. Por tanto, los principales compiten entre sí para lograr emparejarse con el agente más acaudalado. Esta competencia es del tipo Bertrand, en la que todos los agentes, excepto el menos acaudalado, se apropian de todos los excedentes incrementales de la relación principal-agente. Después, demuestro que todos los agentes reciben contratos que son los mejores para ellos. Por último, un agente más acaudalado genera un excedente mayor en un emparejamiento, y por ende obtiene un pago estrictamente mayor que el de su contraparte menos acaudalado. Mi análisis de equilibrio se presta a un posterior estudio interesante de estática comparada. Muestro que una disminución en el costo de supervisión o una disminución en la tasa de interés libre de riesgo mejora el bienestar de cada agente, pero deja sin cambios la situación de cada principal. Esto se debe a que todo excedente incremental proveniente de estos cambios redunda en beneficio del agente. Además, dicho cambio en el costo de supervisión o la tasa de interés libre de riesgo aumenta el precio de las acciones de todas las empresas.

La bibliografìa teórica de los efectos de la supervisión en los contratos de crédito óptimos no es escasa. Besanko y Kanatas (1993) muestran que sustituir la financiación externa de los créditos bancarios aumenta el precio de las acciones de una empresa en el equilibrio. El modelo de equilibrio parcial de la subsección I.3 tiene un gran parecido con el trabajo de Besanko y Kanatas (1993). Repullo y Suárez (2000) consideran un modelo de equilibrio competitivo de las relaciones prestamista-prestatario en el que algunas empresas obtienen préstamos de los inversionistas bancarios y del mercado. Los bancos disfrutan de una ventaja comparativa en la supervisión del mercado. Muestran que un aumento en la tasa de interés libre de riesgo reduce la inversión agregada y amplía el diferencial de la tasa de interés. Una diferencia importante entre el modelo actual y el de Repullo y Suárez (2000) es que yo considero una economía en la que cada individuo posee un cierto grado de poder de mercado. Incorporar la relación principal-agente en un modelo de emparejamiento bilateral es un estudio de reciente interés. Ackerberg y Botticini (2002) analizan los contratos entre arrendador y arrendatario durante el Renacimiento en la Toscana y muestran que la perspectiva tradicional de que los arrendatarios con mayor aversión al riesgo celebran contratos de renta fija podría revertirse debido a la naturaleza del emparejamiento endógeno entre arrendadores y arrendatarios. Algunos otros trabajos han considerado el emparejamiento endógeno entre principales y agentes en un entorno contractual. Besley y Ghatak (2005) analizan la clasificación de agentes motivados en empresas orientadas a un objetivo dado. Chakraborty y Citanna (2005) afirman que debido a los efectos de la clasificación endógena, los individuos con menos restricciones en términos de la riqueza optan por proyectos en los que los problemas de incentivos son más importantes. Dam y Pérez Castrillo (2006) también describen una economía formada por principales y agentes en presencia de emparejamiento bilateral. Von Lilienfeld-Toal y Mookherjee (2007) consideran el emparejamiento entre principales homogéneos y agentes heterogéneos, y analizan los efectos distributivos de un cambio en la ley de bancarrota personal.

En esta coyuntura, cabe discutir las ventajas del juego de emparejamiento bilateral para modelar las relaciones principal-agente. Líneas arriba analicé la evidencia empírica que está disponible en la bibliografía relacionada. Michelacci y Suárez (2004) analizan un modelo de emparejamiento aleatorio entre capitalistas de riesgo y empresas para mostrar que una mayor supervi sión induce una madurez más acelerada de las empresas de reciente creación y permite el reciclaje del capital informado para la creación de nuevas empresas comerciales. El enfoque principal de estos autores es estudiar el papel que desempeña el capital informado en el crecimiento de las empresas incipientes. El modelo presentado en este artículo no se centra en ninguno de los aspectos dinámicos de la relación principal-agente. Mi objetivo es analizar una relación única en la que los modelos de emparejamiento endógeno sean más fáciles de caracterizar.

I. El modelo

1. Principales y agentes

En la economía existen dos grupos de agentes, un conjunto finito de principales neutrales al riesgo P = {1,...,P} con el elemento genérico p y un conjunto finito de agentes neutrales al riesgo A = {1,...,A} con el elemento genérico a, en el que P - A ≥ 2. Los principales son prestamistas o inversionistas y los agentes son prestatarios o empresas. Los principales son idénticos ex ante, pero los agentes difieren en el monto (verificable) de su dotación (o tipo) de riqueza. Cada agente a tiene una riqueza inicial wα ∈ (0,1) que es un elemento de un conjunto finito {wα}α∈A con wα > wα, para α > α'. Para simplificar la exposición supongo que hay un agente de cada tipo, pero el modelo se extiende trivialmente a cualquier distribución de tipo general. Los mercados o economías están denotados por ξ = {P, A,{ wα}α∈A}.

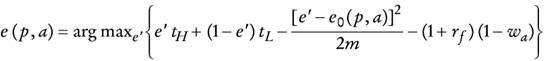
Cada agente (o empresa) tiene un proyecto de tamaño fijo 1. La riqueza del agente no es suficiente para cubrir el costo total del proyecto y, por ende, cada agente a necesita pedirle un préstamo 1 - wα aun principal. Cada proyecto genera un rendimiento alto yH> 0 o un rendimiento bajo yL > 0, en el que y : = yH - yL∈ (0,1). Se supone que los rendimientos se distribuyen independientemente en todos los proyectos. Un agente puede influir en la probabilidad de obtener un rendimiento alto por medio de la acción que elige e ∈ [0,1].Supongo que la probabilidad de obtener un rendimiento alto es una función lineal de la acción del agente, es decir, p(e) = e. En otras palabras, cada agente elige directamente esta probabilidad, que no pueden verificar los principales y, por tanto, no es contratable. Todos los agentes tienen el mismo costo de acción Ψ(e) = e2/2 Si un principal conviene en otorgarle al agente el monto requerido en calidad de préstamo, entonces podría optar por supervisar al agente a cambio de un costo ψ (e - e0) = (e - e0)2/2m, que es el mismo para todos los principales.4 El parámetro m∈(0,1) representa el costo de supervisión con valores mayores que implican un costo marginal menor de supervisión y e0 es la acción del agente o la probabilidad de un rendimiento mayor del proyecto si no se le somete a supervisión. Se supone que un principal puede inducir a un agente a elegir una acción específica e al supervisarlo. Por ende, e - e0 es la supervisión de un proyecto, que se supone que no es contratable. Por tanto, la imposibilidad de verificar tanto la acción elegida por el agente como la opción de supervisión del principal induce un problema de riesgo moral bilateral en una relación principal-agente. El costo de oportunidad de otorgar un préstamo es la tasa de interés libre de riesgo rf > 0, que también es igual para todos los principales.

2. Emparejamiento y contratos

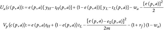
Una pareja de principal-agente se forma de acuerdo con una regla de emparejamiento μ: P U A P U A de tal manera que i) μ(α) ∈ P U {α} para cada α ∈ A, ii) μ(p) ∈ A U {p } para cada p ∈ P, y iii) μ (α) -p si y sólo si μ (p) - α para todos los (p, α) ∈ P x A. Las condiciones i) y ii) denotan que un individuo de un lado del mercado está emparejado con un individuo del otro lado, o que se queda sin emparejar. La condición iii) denota que el emparejamiento es de "uno a uno", es decir, que un agente puede pedirle un préstamo solamente a un principal, y que un principal puede otorgarle un préstamo solamente a un agente. Cuando se forma un emparejamiento arbitrario (p, a) el principal y el agente redactan un contrato vinculante c(p, α) - (tH(p, α), tL (p, α)) en el que tθ especifica la transferencia contingente al estado que recibe el principal en el estado θ e {H, L}. Adviértase que dicho contrato puede interpretarse como una mezcla de deuda y capital, en la que tL es el monto de la deuda libre de riesgo y t: - tH- tL∈ [0, y] es el capital total emitido por el agente. Para una pareja de principal-agente (p, α) formada según una regla de emparejamiento dada μ, es decir μ(α) -p, y para un contrato c(p, α), los pagos esperados para el agente y el principal están dados, respectivamente, por

Describamos primero el conjunto de contratos viables para una pareja de principal-agente (p, α). La cronología del juego de contratación es la siguiente: cuando un principal p y un agente a, están emparejados, el agente elabora un contrato c(p, α), que debe ser aceptable para ambas partes. Cada principal p aceptará el contrato si satisface la siguiente restricción de racionalidad individual para el principal.

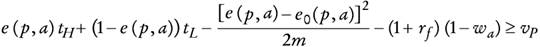
IRP

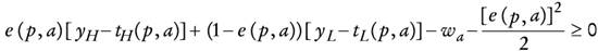
en que νp > 0 es la utilidad de reserva del principal p que puede obtenerse de otros emparejamientos. Además, cada agente a aceptará un contrato si le garantiza un pago esperado no negativo, es decir,5

IRA

Una vez que todas las partes han aceptado el contrato ofrecido c(p, α), el agente elige su acción no contratable e0 (la acción óptima en ausencia de supervisión) esperando que el principal opte por una supervisión e - e0 para maximizar su pago esperado, y el principal elige la supervisión tomando en cuenta que el agente escogería e0 para maximizar su pago esperado. Por ende, la acción y los la supervisión elegidos simultáneamente (e0, e - e0) deben constituir un equilibrio de Nash del juego de opciones de acción-supervisión, que genera las siguientes restricciones de compatibilidad de incentivos de Nash.6

ICA

ICP

Finalmente, la responsabilidad limitada requiere que el agente no pueda hacerle una transferencia al principal que sea mayor que el producto contin gente en cualquier estado de la naturaleza.7

LLC

Supongamos que Ω (p, α) es la combinación de la acción viable y las transferencias para la parej a (p, α), es decir, los contratos que satisfacen (ICA), (ICP), (IRP), (IRA) y (LLC). Dado un emparejamiento, μ, supongamos que C es un vector (P + A) de contratos factibles, uno para cada pareja, compatible con μ. Por tanto, (μ, 𝒞) denota una asignación para la economía ξ.

3. Los contratos A óptimos

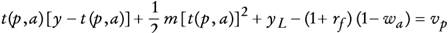
El contrato óptimo c*(p, α) y la probabilidad de un rendimiento alto e* (p, α) para una pareja dada (p, α), llamado "contrato A óptimo", se obtienen al resolver -sujeto a (ICA), (ICP), (IRP) y (LLC)- el siguiente problema de maximización.

𝒜

en que Φ (wα, νp) es la frontera de Pareto para una pareja (p, a), que representa el pago máximo que recibiría el agente a si al principal p se le garantiza un monto mínimo νp .El siguiente lema caracteriza un contrato A óptimo.

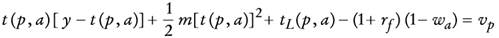
  • Lema 1. Los contratos A óptimos tienen las siguientes propiedades: i) para valores bajos de νp, sólo (IRP) se satura en el óptimo; el nivel óptimo de supervisión e* (p, α) - e0* (p, α) = 0, el capital óptimo t*(p, α) = 0, y la deuda óptima tL*(p, α) e (0, yL), y ii) para valores elevados de νp , tanto (IRP) como (LLC) son determinantes en la opción óptima. El nivel óptimo de supervisión e* (p, α) - e0* (p, α) > 0 disminuye en wa y aumenta en νp ; el capital óptimo t*(p, α) e (0, y) disminuye en wa y aumenta en νp, y la deuda óptima tL*[/p](p, α) = yL.

La restricción de responsabilidad limitada no es efectiva para los valores bajos de la utilidad de reserva del principal. Por ende, la neutralidad del ries go induce el resultado óptimo. Esto es equivalente al caso en el que la acción del agente habría sido contratable. Por consiguiente, la supervisión óptima es 0. El principal recibe una transferencia fija en ambos estados de la naturaleza, es decir, el monto del capital es 0. Para valores elevados de νp, las restricciones tanto de participación como de responsabilidad limitada son determinantes, y la provisión de incentivos se torna costosa. En dado caso, sólo se aplican los contratos subóptimos. Naturalmente, la supervisión y el capital total disminuyen con la riqueza del agente. Con frecuencia, la dotación de riqueza se toma como un sustituto de la actitud del agente para con el riesgo, en cuyo caso, cuanto mayor sea la riqueza menor será la aversión al riesgo. Por tanto, un agente más acaudalado asume un riesgo mayor al emitir un capital menor.

II. El equilibrio de mercado

En la subsección I.3 analicé los contratos de incentivos óptimos de un empa rejamiento que consiste sólo en un principal y un agente. En el análisis anterior, las sociedades no se tratan como parte del mercado de principal-agente. Cuando hay muchos principales y muchos agentes los contratos analizados en la sección anterior podrían no ser siempre óptimos, ya que la formación de otras sociedades impone una externalidad en los contratos para una pareja específica de principal-agente. De este modo, mi objetivo principal es observar el equilibrio del mercado con muchos principales y agentes. Me centró en dos cuestiones clave asociadas con el equilibrio de mercado. El primer aspecto importante es la naturaleza de los pagos de equilibrio. En la sección anterior, los contratos óptimos se resuelven tomando la utilidad de reserva del principal como dada. Cuando interactúan muchos principales y agentes, las opciones externas de un principal dependen fundamentalmente de las demás sociedades que se estén formando en el mercado. Por tanto, a diferencia de los modelos principal-agente estándar, la utilidad de reserva del principal es endógena. También analizo si es posible clasificar estos pagos de equilibrio según la dotación de riqueza de los agentes y los costos de supervisión de los principal es. En seguida, el contrato óptimo entre un principal y un agente está influido por el emparejamiento de equilibrio. Por ende, quisiera comparar los contratos asociados con dos emparejamientos distintos en el equilibrio de mercado.

Las asignaciones del mercado que describo aquí son endógenas. Esta endogeneidad tiene dos aspectos. En primer lugar, el contrato firmado por los principales y los agentes es endógeno. El segundo aspecto es que el emparejamiento en sí debería ser endógeno. Trataré esta perspectiva de la misma manera en que lo hice con la teoría del emparejamiento. Se necesitaría que un resultado razonable fuera inmune a la posibilidad de ser bloqueado por cualquier pareja de principal-agente (así como por cualquier individuo). Consideremos una asignación (μ, 𝒞). Si hay una pareja de principal-agente que pueda firmar un contrato viable de manera que tanto al principal como al agente les vaya estrictamente mejor con el nuevo arreglo, comparado con su situación en la asignación ( μ, 𝒞), entonces dicha asignación no es razonable. Esta idea corresponde a la noción de estabilidad.

  • Definición 1. Una asignación (μ, 𝒞) está en el equilibrio de mercado o estable si no existen ninguna pareja principal-agente (p, α) ni contrato viable c'(p, α) e Ω(p, α) tal que, tanto para c(μ(α), α) como para c(p, μ(α)) en 𝒞, Uα (c'(p, α)) > Uα (c(μ(α), α)) y vp(c'(p, α)) > Vp(c(p, μ(p))).

La definición anterior afirma que si hay un contrato viable para una pareja (p, α) que hace que los dos estén en una posición estrictamente mejor en comparación con la asignación inicial (μ, 𝒞) entonces esta pareja "bloquea ría" la asignación y, por ende, la asignación no está en equilibrio. Ahora supongamos que en una asignación estable μ(α) =p. Por ende, no puede haber ningún contrato viable para esta combinación con el que puedan bloquear el resultado. El proceso de emparejamiento que se describe aquí consiste en un mercado centralizado como el de Roth y Sotomayor (1990), y el equilibrio de mercado no tiene ninguna propiedad "tipo Nash" in du ci da por interacciones estratégicas entre los individuos. Un planeador central propone una asignación que debe ser inmune a las desviaciones unilaterales y bilaterales. Las preferencias de los individuos de un lado del mercado por encima de los individuos del otro lado se describen en términos de los pagos óptimos que redundan en beneficio de cada principal y cada agente en los respectivos emparejamientos. Dado que los agentes son heterogéneos y el hecho de que una riqueza más alta implica un problema de riesgo moral menos severo en la acción del agente, todos los principales prefieren al agente más acaudalado, luego al segundo agente más acaudalado y así sucesivamente. Esto crea una estructura de preferencias que se parece a un modelo de diferenciación vertical de productos. Von Lilienfeld-Toal y Mookherjee (2007) muestran que la asignación estable de un mercado formado por principales y agentes con estas características coincide con un equilibrio walrasiano de un mercado en el que el vector de pagos de reserva puede entenderse como el vector de los precios walrasianos y el equitibrio se determina al equiparar la demanda agregada a la oferta agregada. En general, en ausencia de externalida-des intercoalicionales, ésta es una característica común de los mercados de emparejamiento bilateral (véase Shapley y Shubik, 1971).

La estabilidad de una asignación inmediatamente implica que todos los con tratos en el equilibrio de mercado deben ser óptimos de Pareto (restringidos). Por ende, todo contrato en el equilibrio de mercado debe resolver el programa (𝒜). Su pon gamos que uα y vp son los pagos a un agente α y a un principal p, respectivamente. Por ende, en un equilibrio de mercado es necesario que uα = Φ (wα, vμ(α)) y vP = φ ( wα, vμ(p)), en que φ es el cuasi inverso de Φ. Una propiedad de las asignaciones estables es que ningún principal puede ganar más de lo que gana cualquiera de sus contrapartes. Es decir, los pagos a todos los principales son igual es. El siguiente lema confirma esta aserción.

  • Lema 2. En cualquier resultado estable (μ, 𝒞) todos los principales reciben el mismo pago.

Este lema implica una característica importante del conjunto de asignaciones estables de un juego de emparejamiento bilateral, a saber, "el tratamiento igual de los iguales". Además me permite asentar que vp = v para todos los p ∈ P. Esta propiedad ya no sería válida si se considerara la heterogeneidad entre los principales. Todos los principales homogéneos compiten por emparejarse con el mejor agente. Esto genera un desenlace tipo Bertrand en el que el excedente incremental redunda en beneficio de los agentes, lo que ejerce una presión a la baja en el pago a cada agente hasta llegar a su utilidad de reserva. Esto implica que cada agente recibe su contrato A óptimo sujeto a un valor común v de la utilidad de reserva de los principales. La siguiente proposición describe el conjunto de asignaciones estables.

  • Proposición 1. Una asignación (μ, 𝒞) es estable o está en el equilibrio de mercado si y sólo si se cumplen las siguientes tres condiciones: i) todos los principales y todos los agentes están emparejados; ii) v ∈ [0,φ (w1, 0)] para todos los p e P, y iii) uα =Φ ( wα, v) para todos los a e A con uα > uα', para α > α'.

La proposición 1 i) afirma que existe pleno empleo en la economía. Nótese que, dadas la coincidencia del tamaño de los dos lados del mercado y la restricción de que haya un emparejamiento de uno a uno en las asignaciones, en cualquier asignación estable todos los principales y agentes están emparejados. De lo contrario, un agente no emparejado y un principal no emparejado fácilmente pueden bloquear la asignación con un contrato viable que genere pagos estrictamente positivos para ambos. La condición ii) describe el rango de pagos que puede obtener cada principal en el equilibrio de mercado. Dado que los principales obtienen el mismo pago esperado, pueden obtener hasta 0, pero no más de φ (w1, 0), que es el pago máximo que puede obtener el principal emparejado con el agente menos acaudalado si recibiera un pago de 0. Cabe señalar que el agente menos acaudalado determina el pago que se hace a cada principal en una asignación estable. Una diferencia importante entre el enfoque actual y el de equilibrio competitivo estándar es la siguiente: en el enfoque del equilibrio competitivo el contrato óptimo para un agente se resuelve sujeto a las restricciones de beneficios nulos de los principales. Dado que la utilidad de reserva de cada principal es endógena, en una asignación estable los principales pueden obtener pagos estrictamente positivos, es decir, hasta φ(w1,0). Por ende, el pago a cada principal que corresponde a cada emparejamiento estable puede tomar un número infinito de valores en un intervalo cerrado del ortante positivo de la línea real. Esta es una característica propia de un juego de emparejamiento bilateral. Existe una asignación en la que v = 0, que es la peor asignación para todos los principales y la mejor para todos los agentes. Por otra parte, v =φ (w1, 0) es la peor asignación para todos los agentes y la mejor para todos los principales. Por ende, el poder de predicción de las asignaciones de equilibrio depende de la asignación estable seleccionada. Como se dijo líneas arriba, la proposición 1 iii) afirma que cada agente recibe su contrato A óptimo respecto al pago común que se hace a cada principal. Por ende, en una empresa dirigida por un agente más acaudalado, hay menos supervisión y se emite menos capital. Además, un agente más acaudalado obtiene un pago de equilibrio mayor, ya que de otra manera este agente, junto con el principal emparejado con el agente menos acaudalado (que recibe un pago mayor), puede formar una pareja bloqueadora, lo que contradice la estabilidad de la asignación inicial.

Aquí conviene llamar la atención en las diferencias entre el modelo actual y la contratación óptima en una relación principal-agente aislada. En un modelo de principal-agente estándar, el principal puede hacerle una oferta al estilo de "o lo tomas o lo dejas" al agente, dado que la utilidad de reserva del agente es 0. Para una pareja arbitraria (p, α), denominemos ese con trato el contrato P óptimo. En un contrato P óptimo, el principal asume toda la capacidad de negociación. La competencia al estilo de Bertrand para los agentes más acaudalados implica un cambio en la capacidad de negociación y que el único conjunto de contratos que emerge en el equilibrio de mercado son los contratos A óptimos, en los que la probabilidad óptima de éxito en cada emparejamiento es mucho mayor que en el contrato P óptimo. Por ende, la estabilidad conduce al conjunto de contratos más eficientes.8 Este aspecto de la eficiencia productiva es una consecuencia inmediata de un modelo de equilibrio general de un mercado formado por principales y agentes. Además, adviértase que el pago de equilibrio para cada principal toma valor en el intervalo [0,φ (w1, 0)]. Así que la configuración de pago de equilibrio no es única. Hay una asignación en la que todos los principales obtienen νmin = 0 y un agente con una riqueza de wα obtiene uα =Φ (wα, 0). Esta es la mejor asignación de equilibrio desde el punto de vista de los agentes y la peor asignación para los principales. Por otra parte, hay una asignación que induce pagos de modo que vmax = φ (w1,0) para todos los principales y uα = Φ ( wα, Vmax), que es la mejor asignación para todos los principales y la peor para todos los agentes. A la primera la denomino la asignación de equilibrio A óptima y a la segunda, la asignación de equilibrio P óptima.9

Por simplificación, tomé el mismo número de principales y agentes en el mercado. La proposición anterior puede modificarse para adaptarse a los siguientes dos casos. Primero, podría haber más principales que agentes. Dada la restricción de emparejamiento de uno a uno, algunos principales se quedarán sin pareja y obtendrán pagos de 0. El lema 2 inmediatamente implica que todos los principales deben obtener 0 en el equilibrio de mercado, es decir, v = 0. Esto se debe a que si un principal emparejado obtiene una ganancia estrictamente positiva, entonces un principal no emparejado puede ofrecerle un contrato un poco mejor al agente emparejado con el principal que está obteniendo una ganancia positiva y formar una pareja bloqueadora. Se presenta un caso más realista cuando la economía está formada por más agentes que principales. En este caso, la estabilidad implicaría que algunos de los agentes deben quedarse sin pareja y que la optimación del emparejamiento de equilibrio implicaría que sólo los agentes más acaudalados se emparejan en el equilibrio de mercado. Dentro del conjunto emparejado, las características de equilibrio se parecerían a las de la proposición anterior. Una situación como ésta podría explicar por qué los prestatarios más restringidos en cuanto al crédito con frecuencia están racionados en este sentido debido a la competencia en el mercado crediticio.

III. Estática comparativa

En esta sección estudio los efectos de equilibrio general de los cambios en el costo de supervisión y la tasa libre de riesgo en el equilibrio de mercado. Con frecuencia los prestatarios están sujetos a restricciones de liquidez y, por tanto, esto conduce una supervisión subóptima debido a un posible problema de riesgo moral por parte de los inversionistas del mercado. Un costo de supervisión menor que resulta de un aumento en el valor de m relaja esas restricciones y debería tener un efecto favorable en el bienestar. Por otra parte, una reducción en la tasa libre de riesgo disminuye el costo de oportunidad de otorgar préstamos. Habría sido interesante observar el efecto de esos cambios en los contratos óptimos si el tamaño del préstamo hubiera sido variable. Sin embargo, se obtienen resultados interesantes en términos de estática comparativa aun con el tamaño del préstamo fijo. Hay un punto importante del que se debería considerar antes de realizar ejercicios comparativos de este tipo. Aunque el equilibrio es único en el emparejamiento, no lo es en relación con las configuraciones de pagos, ya que la proposición 1 implica que el pago de equilibrio a cada principal reside en el intervalo [0, φ ( w1, 0)]. Por ende, para el análisis que se presenta a continuación es nece sario seleccionar una configuración de pagos específica en el intervalo anterior. Los resultados de estática comparativa que afirmo a continuación corresponden a cada selección.

  • Proposición 2. Para cada emparejamiento en un equilibrio de mercado: i) tanto una reducción en el costo de supervisión como una reducción en la tasa libre de riesgo aumentan el pago a cada agente, pero el de cada principal permanece sin cambios; ii) una reducción en el costo de supervisión aumenta el nivel de supervisión y el precio de las acciones de la empresa, y iii) una reducción en la tasa libre de riesgo reduce la supervisión y aumenta el precio de las acciones de la empresa.

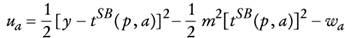
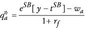
Una reducción en el costo de supervisión implica que en cada emparejamiento la supervisión debería ser mayor. Por otra parte, una reducción en la tasa libre de riesgo disminuye el costo de oportunidad de otorgar préstamos. Ambos casos afectan favorablemente la eficiencia de una relación principal-agente y aumentan el excedente total de un emparejamiento. Pero todo excedente incremental redunda en beneficio del agente y no del principal debido a la característica tipo Bertrand de la competencia para los agentes mejores. Por ende, el pago de un principal en el nuevo equilibrio permanece sin cambios. Obviamente, un costo de supervisión menor aumenta el grado de supervisión ya que es marginalmente menos costoso. El precio de las acciones de una empresa es el valor actual de su flujo de efectivo esperado, el cual está dado por qα* = [e(y - t) - wα]/(1+ rf).

Una reducción en el costo de supervisión tiene dos efectos mediante los cuales influye en el precio de las acciones. Primero, aumenta la probabilidad del alto rendimiento del proyecto e. Segundo, reduce el capital t, con el resultado de que el agente tiene prioridad de cobro en la producción final. En conjunto, los dos efectos aumentan el precio de las acciones de la empresa. Por otra parte, un menor costo de oportunidad de otorgar préstamos deja menos incentivos para que un principal supervise a su agente y, por ende, la supervisión se reduce. Sin embargo, esto otorga mayores derechos de control al agente por medio de una reducción en t, lo que a su vez aumenta la probabilidad de un mayor rendimiento. Por tanto, el precio de las acciones se incrementa.

Conclusiones

En este artículo consideré un modelo bilateral de emparejamiento principal-agente y describí el conjunto de asignaciones estables. A diferencia de los modelos de relaciones principal-agente tradicionales de equilibrio parcial, el emparejamiento entre los principales y los agentes genera un modelo de equilibrio general que da cuenta de la externalidad del contrato impuesta en una relación dada por las otras alianzas que se están formando en el mercado. Mi modelo puede verse como una generalización del "juego de emparejamiento" (assignment game) de Shapley y Shubik (1971), en el que los compradores y vendedores están emparejados para comerciar con bienes indivisibles en un mercado en el que los emparejamientos no están sujetos a asimetrías de información. El uso de la restricción de responsabilidad limitada debería tomarse como una manera muy sencilla de tratar los problemas de incentivos. Los hallazgos pueden aplicarse fácilmente a varias otras economías formadas por principales y agentes que incluyen agentes con aversión al riesgo. Como se demuestra en Demange, Gale y Sotomayor (1986), el conjunto de asignaciones estables también puede instrumentarse mediante un mecanismo parecido a una subasta ascendente.

Supuse que los principales son idénticos. Aunque algunas de las conclusiones de mis análisis pueden extenderse inmediatamente de modo que se apliquen a economías con principales heterogéneos, las características de los contratos que se firman en las asignaciones estables pueden diferir marcadamente de los identificados en el presente artículo. Por una parte, los resultados de que los contratos firmados en una asignación estable son óptimos y el emparejamiento en sí es eficiente (en el sentido de que maximiza el excedente total) también son válidos dentro de un marco con principales heterogéneos. Por otra parte, no hay un modo único de modelar las diferencias entre los principales y los contratos variarán según el tipo de heterogeneidad que se desee introducir. Un modelo interesante sería aquel en el que los principales son heterogéneos en términos de su capacidad de préstamo, es decir, algunos de los principales quizá puedan prestarles a más agentes que otros. En este caso el mercado está formado por varias coaliciones, y cada una de ellas tiene un principal y varios agentes. Por ende, dentro de cada coalición habría una situación de contratación con varios agentes. Si el beneficio que recibe el principal al celebrar un contrato con un agente no depende del otro agente en la coalición, es decir, no existe ninguna externalidad por medio del agente dentro de una coalición dada, entonces todos mis resultados son válidos. Si, por ejemplo, un principal p celebra un con trato con np agentes, entonces es necesario tratar esa coalición que consta de np agentes y np copias del mismo principal. Introducir externalidades entre los agentes dentro de una coalición es una tarea más interesante, aunque difícil. Con frecuencia la acción elegida por un agente influye en los pagos al principal y al agente en otro emparejamiento. Un ejemplo de esto es cuando los proyectos de la empresa están correlacionados. En este caso, no hay una manera única de definir la estabilidad. Sería un interesante programa de investigación buscar la definición correcta del equilibrio y la descripción adecuada de las asignaciones estables.

Referencias bibliográficas

Ackerberg, D. A., y M. Botticini (2002), "Endogenous Matching and the Empirical Determinants of Contract Form", Journal of Political Economy, 110, pp. 564-591. [ Links ]

Besanko, D., y G. Kanatas (1993), "Credit Market Equilibrium with Bank Monitoring and Moral Hazard", The Review of Financial Studies, 6, pp. 213-232. [ Links ]

Besley, T., y M. Ghatak (2005), "Competition and Incentives with Motivated Agents", The American Economic Review, 95, pp. 616-636. [ Links ]

Chakraborty, A., y A. Citanna (2005), "Occupational Choice, Incentives and Wealth Distribution", Journal of Economic Theory, 122, pp. 206-224. [ Links ]

Dam, K., y D. Pérez Castritlo (2006), "The Principal-Agent Matching Market", Frontiers of Theoretical Economics, 2 artículo 1. [ Links ]

Demange. G., D. Gale y M. O. Sotomayor (1986), "Multi-Item Auctions", Journal of Political Economy , 94, pp. 863-872. [ Links ]

Grossman, S. J., y O. D. Hart (1983), "An Analysis of the Principal-Agent Problem", Econometrica, 51, pp. 7-45. [ Links ]

Kahn, C., y D. Mookherjee (1998), "Competition and Incentives with Nonexclusive Contracts", The RAND Journal of Economics, 29, pp. 443-465. [ Links ]

Michelacci, C., y J. Suárez (2004), "Business Creation and the Stock Market", The Review of Economic Studies, 71, pp. 459-481. [ Links ]

Repullo, R., y J. Suárez (2000), "Entrepreneurial Moral Hazard and Bank Monitoring: A Model of the Credit Channel", European Economic Review, 44, páginas 1931-1950. [ Links ]

Roth, A. E., y M. O. Sotomayor (1990), Two-Sided Matching: A Study in Game-Theoretic Modeling and Analysis, Cambridge, Cambridge University Press. [ Links ]

Shapley, L. S., y M. Shubik (1971), "The Assignment Game I: The Core", International Journal of Game Theory, 1, pp. 111-130. [ Links ]

Von Lilienfeld-Toal, U., y D. Mookherjee (2007), "A General Equilibrium Analysis of Personal Bankruptcy Law", Universidad de Boston, mimeografiado. [ Links ]

*Agradezco a Fausto Hernández Trillo, director de la revista, y a dos dictaminadores anónimos sus útiles comentarios [traducción del inglés de Karina Azanza y Brian McDougall].

1En este artículo no analizo contratos de préstamos en presencia de ambos tipos de inversionistas, sino que modelo una relación entre un inversionista interno y una empresa, suponiendo que los actores externos son pasivos.

2Con frecuencia, los acuerdos plasmados en los contratos financieros no permiten que un inversionista invierta más que en un cierto número de empresas. Estas normas predominan en las empresas de capitales de riesgo. La idea detrás de esta suposición es la siguiente: la supervisión es costosa, por lo que el inversionista podría no ser capaz de supervisar eficazmente más de una empresa. Por otra parte, los contratos de préstamos con frecuencia son exclusivos en el sentido de que un principal o agente no puede formar parte de varias relaciones comerciales. Véase las consecuencias de los contratos no exclusivos en un modelo principal-agente en Kahn y Mookherjee (1998).

3Véase en Roth y Sotomayor (1990) un análisis extenso de los mercados de emparejamiento bilateral.

4Todos los resultados del modelo pasan, al menos cualitativamente, si las funciones Ψ( · ) y ψ(· ) son incrementales y convexas. La selección de las formas funcionales particulares es para obtener soluciones de forma cerrada.

5

En la contratación óptima, puede suponerse que el agente a aporta un monto verificable Ia e [0, wa]. Es fácil mostrar que la contribución óptima del agente es aportar toda su riqueza al proyecto. Asimismo, supongo que el agente no tiene acceso al mercado de crédito formal, en el que podría dar en préstamo parte de su riqueza a la tasa de interés libre de riesgo. Esto es una normalización, y los resultados no se lo que se alteran si se hace la suposición anterior. Nótese que la utilidad esperada, después del costo de la acción del agente a, está daspués del costo de la acción del agente a, está dada por

ep,ayH-wa-tH(p,a)+(1-ep,a)yL-wa-tL(p,a)-e(p,a)220

lo que se reduce a (IRA).

6Aquí, la suposición decisiva es que el principal, al supervisar al agente, puede obligarlo a elegir la acción e.

7En efecto, existen dos conjuntos de restricciones de responsabilidad limitada: uno para el principal y otro para el agente. La responsabilidad limitada del principal implica que, en cualquier estado de la naturaleza, el principal debe recibir una transferencia positiva, es decir tθ(p, α) - 0 por θ ∈{H, L¡. Este pago final no incluye la contribución predeterminada 1- wα del principal. Hago caso omiso de este conjunto de restricciones porque es fácil demostrar que éstas no se saturarían en el óptimo. La responsabilidad limitada del agente implica que no puede tener un pago negativo en ningún estado de la naturaleza, sin incluir su contribución predeterminada wα.

8Véase en Dam y Pérez Castrillo (2006) un análisis pormenorizado de la eficiencia.

9No se deben confundir los contratos óptimos con las asignaciones óptimas. Todos los contratos que constituyen una asignación de equilibrio son contratos A óptimos, independientemente de si la asignación es P o A óptima.

Apéndice

Confirmación del lema 1. Dado que los pagos esperados al agente y al principal son estrictamente cóncavos respecto al esfuerzo, ambas restricciones de compatibilidad de incentivos (ICA) e (ICP) pueden remplazarse con las condiciones de primer orden de los problemas de maximización como

ICA'

ICP'

Nótese que, en conjunto, la compatibilidad de incentivos y la responsabilidad limitada en θ = L dan a entender la responsabilidad limitada en θ = H, y, por tanto, se puede hacer caso omiso de esta restricción en todo el proceso. Además, la restricción de participación (IRP) se satura en el óptimo; de lo contrario el agente puede reducir las transferencias un poco en ambos estados, el principal aún aceptaría el contrato y el agente saldría ganando. Si se sustituyen e(p, α) y eo(p, α) en las expresiones para las utilidades esperadas del agente a y del principal p, el problema de maximización se reduce a:

A1

sujeto

A2

A3

Podrían presentarse dos casos. Primero, la restricción de responsabilidad limitada no se satura en el óptimo. Se da el resultado óptimo, que se obtiene al maximizar el excedente total neto de vp. Esto implica que tFB(p, α) = 0,es decir, el principal recibe un pago fijo tHFB (p, α) = tLFB(p, α) en ambos estados de la naturaleza. En el óptimo, ya que se puede contratar la acción del agente, hay 0 supervisión, es decir, eFB (p, α) - e0FB(p, α) = mtFB(p, α) = 0. La probabilidad óptima de éxito está dada por eFB(p, α) = y < 1, y la restricción (IRP) efectiva determina la transferencia en el estado H como tLFB(p, α) = vp + (1+ rf) (1- wα) > 0. La restricción (LLC) no efectiva implica que vp <yL - (1+ rf) (1- wα). Por ende, para valores bajos de vp, los contratos óptimos, efectivamente, son los ideales.

El segundo caso es el que (LLC) se satura en el óptimo. Entonces se da el resultado subóptimo (SB). La (LLC) efectiva determina la transferencia en el estado H como tLSB(p, α) = y L Asimismo, el capital óptimo está dado por

A4

Dado que e (p, α)- e0 (p, α) = mt(p, α), al diferenciar la expresión anterior y la supervisión óptima en términos de wα y vp se obtiene el lema 1 ii). ||

Confirmación del lema 2. Supongamos que en una asignación estable (μ, 𝒞), se tiene vp (c(p, μ (p))) > vp' (c(p, μ (p'))). Demuestro que exisle un contrato c'(p', μ (p)) ∈ Ω (p ', μ(p)) con el cual la pareja (p', μ (p)) bloquea la asignación (μ, 𝒞). Dado cualquier contrato c = (tH, tL), consideremos el contrato c' = c - ε = (tH - ε, tL - ε) con ε > 0 aunque muy reducido. Adviértase que las restricciones de incentivos permanecen sin cambios tanto con c como con c'. Por ende, se tienen i) Vp' (c'(p ', μ (p))) = Vp(c ( p, μ (p)))-ε> Vp'(c (p' μ( p'))) y ii) Vμ(p)(c'(p', μ (p))) ≥ Vμ(p)(c ( p, μ ( p ))) + ε > Vμ(p)(c(p, μ(p))).Esto contradice la estabilidad de (μ, 𝒞). ||

Confirmación de la proposición 1. Primero, demuestro que las condiciones i)-iii) son condiciones necesarias para que una asignación sea estable. i) Supongamos que (μ, 𝒞) es estable y que hay un agente a que no está emparejado; entonces debe haber un principalp no emparejado, y los dos deben estar obteniendo pagos de 0. Consideremos el contrato A óptimo c(wα, 0), el contrato entre α y p en el que vp = 0. Existe un contrato c'(p, α) ∈ Ω (p, α) talque c'(p, α) = c (wα ,0) - ε, en que uα (c'( p, α)) = Φ(wα, 0)- ε > 0 y Vp(c'(p, α)) > ε > 0. Por ende, la pareja (p, α) bloquea (μ, 𝒞), lo que es una contradicción. ii) De acuerdo al lema 2, en una asignación estable, vp = v para todos los p ∈ P. Supongamos primero que v < 0paratodos los p emparejados en una asignación estable (μ, 𝒞). De este modo a cada principal le conviene permanecer sin emparejarse y por tanto la asignación está bloqueada por cualquier principal individual. Ahora supongamos que v > φ(w1, 0), en el que w1 es la riqueza del agente menos acomodado. Nótese que, por la definición de la frontera de Pareto, ua = Φ(wα, 4>(wα, uα)) para cualquier agente α. Por ende, lo anterior implica que Φ (w1, v) < Φ(w1, φ (w1, 0) = 0 ya que Φ(w1, v) está estrictamente disminuyendo en v. Esto no es posible en una asignación estable debido a la restricción (IRA). iii) Esta condición afirma que todos los agentes deben obtener su contrato 𝒜 óptimo sujeto al pago común v que se hace a cada principal. Argumenté que cualquier contrato en una asignación estable debe ser óptimo de Pareto, es decir, debe resolver (A). Nótese que Φ(wα, v)está estrictamente aumentando en wα,lo que implica que uα =Φ(wα, v) >Φ (wα', v) = uα' si α > α.

Ahora confirmo que, efectivamente, cualquier asignación (μ, 𝒞) que satisfaga i)-iii) es estable. Consideremos cualquier pareja emparejada (p, a) con μ.Esta selección es posible gracias a i). Evidentemente, (p, a) no puede bloquear la asignación con cualquier contrato viable en Ω (p, a). En efecto, no existe ningún contrato en el que p reciba más que v y a reciba más que Φ (wα, v), ya que el contrato c(p, a) es óptimo por iii). ||

Confirmación de laproposición 2. Adviértase que los pagos de equilibrio subóptimos que se hacen al principal p y al agente a están dados respectivamente por

A5

A6

Además, el precio de equilibrio de las acciones de una empresa a es el valor actual del flujo neto de efectivo esperado, es decir,

A7

La diferenciación de (A4) y las tres expresiones anteriores respecto a m y rf produce los resultados deseados. ||

Recibido: 15 de Julio de 2009; Aprobado: 18 de Diciembre de 2009

Creative Commons License Este es un artículo publicado en acceso abierto bajo una licencia Creative Commons