Introducción
Una de las consecuencias de la pobreza es la exclusión. El pobre está excluido de niveles suficientes de consumo que le imposibilita reproducir sus capacidades. Para Sen (1981), la pobreza es la carencia de capacidades que otorgan a los individuos la oportunidad de cubrir necesidades básicas como nutrición, vivienda e integración social. Se puede identificar a una persona en condición de pobreza mediante los enfoques unidimensional o multidimensional. En el primer caso, se observa el nivel de ingresos de las personas; en el segundo, se contemplan las carencias de bienes y servicios en la vivienda y en la comunidad. Es común establecer la frontera de la pobreza e identificar a la población considerada como pobre cuando sus ingresos se ubican por debajo de un umbral determinado con base en el valor de una canasta de bienes y servicios para un lugar y momento delimitados.
La pobreza está relacionada con el bajo rendimiento escolar, la deserción y en última instancia con la escolaridad. Reimers (2000) señala que la condición de pobreza afecta de manera directa la salud y nutrición de las personas, esto se traduce en desventajas en términos de aprendizaje, lo cual repercute en el progreso escolar. Adicionalmente, los hogares pobres se ven en la necesidad de enviar a sus hijos a trabajar, lo que implica que los niños cuenten con menos horas disponibles para atender las actividades escolares. Lo anterior supone un mayor reto para adquirir las competencias y habilidades que promueve la enseñanza escolar. Tales habilidades como lectura, escritura y operaciones numéricas básicas, se obtienen durante la educación primaria y se refinan en la educación secundaria; adicionalmente, son los cimientos sobre los que se construyen las carreras técnicas y profesionales de las personas. Desatender las competencias básicas que promueve la educación escolar pone en riesgo el desarrollo individual de las personas y con ello el progreso de las sociedades. Hanushek (2013) encuentra que, las habilidades de los individuos ayudan a explicar el crecimiento económico porque facilitan la creación e implementación de nuevas tecnologías.
Los estudiantes pobres alcanzan niveles de aprendizaje más bajos que el resto de la población, la evidencia es robusta en distintos contextos y regiones (Murillo, 2007). De acuerdo con la Organización para la Cooperación y el Desarrollo Económicos (OCDE), en sus países miembros, en promedio, las personas con más probabilidad de tener insuficiente aprovechamiento escolar son aquellas con bajo nivel socioeconómico. Además, dicha probabilidad se intensifica para las mujeres, los habitantes de zona rural, personas de origen indígena, aquellos que vivan en familia monoparental, que no hayan asistido al preescolar y que hayan repetido un grado (OCDE, 2016). En el examen del Programa Internacional para la Evaluación de Estudiantes (PISA) del año 2018, los estudiantes mexicanos obtuvieron puntajes abajo del promedio de la OCDE y menos del 1% de los alumnos evaluados obtuvo el nivel de excelencia. De acuerdo con OCDE (2019), en México, el nivel socioeconómico es un fuerte predictor del rendimiento en lectura, matemáticas y ciencias.
Estudiar el caso mexicano es pertinente porque los últimos datos muestran que en el año 2020, el 43.9% de las personas se encontraban en situación de pobreza (CONEVAL, 2021). Además, 19.7 millones de niños y adolescentes mexicanos viven en condición de pobreza, lo anterior representa el 49.6% del total de niños y adolescentes del país (UNICEF, 2020). La educación es un medio para salir de la pobreza, no obstante en México hay baja movilidad social y de hecho en los hogares pobres la educación de los padres es casi el único determinante de la escolaridad de los hijos (Moreno, 2017). Los adultos que fueron pobres en su niñez son más propensos a seguir siendo pobres (Nikulina et al., 2011). También se tiene evidencia de que la pobreza afecta desde edades tempranas a los individuos y los efectos negativos sobre el desarrollo cognitivo se van acumulando con el tiempo (Dickerson y Popli, 2016). Lo anterior motiva a ofrecer más evidencia empírica, contar con un mayor número de estudios que sumen a la discusión, y aportar más elementos para comprender la relación entre la pobreza y el rendimiento escolar.
La presente investigación tiene tres objetivos. El primero consiste en mostrar la existencia de diferencias significativas en los resultados de pruebas de conocimiento de estudiantes mexicanos de primaria y secundaria categorizados como pobres y no pobres. El segundo reside en analizar las citadas diferencias a lo largo de la distribución de calificaciones y mostrar la parte de las brechas que se explican por los factores observables, y aquellos que no son directamente observables; por ejemplo, el estilo de crianza o las habilidades de los estudiantes para aprovechar sus dotaciones en beneficio de sus calificaciones. Finalmente, se identifican las participaciones de las variables individuales, de aula y escuela que explican la parte observable de las diferencias en el rendimiento escolar entre los estudiantes.
Para alcanzar los objetivos planteados, identificamos y asignamos a los estudiantes a cada uno de los grupos de estudio, a saber: pobres o no pobres. La identificación se hace con el Sistema Único de Puntajes (SUP) empleado para reconocer a los beneficiarios del programa de transferencias condicionadas mexicano Progresa-Oportunidades. Después se utiliza la metodología Oaxaca-Blinder para descomponer la diferencia promedio de las calificaciones entre los estudiantes por categoría. De esta forma se está en condición de identificar la parte de las diferencias que se explican por el componente de factores observables que se denomina "dotaciones" y la porción que se debe al componente de variables no observables llamado "retornos". Por último, usamos la regresión cuantil incondicionada y la función influencia recentrada propuesta por Firpo et al., (2009 y 2011) para analizar la diferencia en los puntajes a lo largo de la distribución de calificaciones e identificar las variables individuales, de aula y escuela asociadas al componente de dotaciones.
Los principales resultados de este trabajo indican que, en secundaria para lenguaje: la mayor parte de la diferencia entre los grupos se explica por las características individuales observables; en matemáticas, la explicación se debe a los retornos. En primaria, para ambos campos de formación, la desigualdad se determina por los retornos. En ambos niveles educativos, la brecha es mayor para los estudiantes con más aprovechamiento escolar. Además, la diferencia entre pobres y no pobres es más pronunciada en lenguaje y comunicación que en matemáticas.
El documento se encuentra estructurado de la siguiente manera. En la primera sección se presenta la revisión de la bibliografía. Después, se describen los datos y las variables empleadas en el análisis. En la tercera sección se exponen los métodos empleados. Enseguida se presentan los resultados y finalmente se exponen las conclusiones derivadas del estudio.
I. Revisión de la bibliografía
En la bibliografía del tema se pueden identificar los mecanismos de transmisión de la pobreza en el desempeño escolar. Los niños provenientes de hogares con niveles socioeconómicos privilegiados se desarrollan en ambientes culturalmente abundantes. Sus padres utilizan el capital económico para incrementar el capital cultural de sus hijos invirtiendo en libros, materiales didácticos, actividades culturales, educación formal o actividades extracurriculares. Para Bourdieu (1986), los niños son capaces de transformar el capital cultural en capital humano. Jæger y Breen (2016) formalizan la teoría de Bourdieu (1986) mediante un modelo dinámico de transmisión intergeneracional para mostrar el mecanismo de transmisión. Los autores asumen que los niños utilizan el capital cultural de sus padres para afectar la percepción de los profesores sobre su habilidad y con ello logran mayor atención y ayuda de ellos, en consecuencia: mejoran su desempeño académico.
La pobreza afecta de manera indirecta los resultados académicos a través de ambientes con menor apoyo emocional debido a que las familias con presiones económicas son más propensas a tener problemas emocionales y conflictos maritales, de ahí que se genere un ambiente complejo, menos estimulante cognitivamente y sin que la familia se involucre en la educación escolar de los hijos (Eamon, 2002). Desde la dimensión pedagógica, Fernández et al., (2013) encuentran que hay diferencias en las prácticas educativas de los maestros según el contexto socioeconómico de las escuelas. Así, docentes que enseñan a estudiantes de nivel socioeconómico bajo, consideran que la pobreza influye en la concurrencia de problemas de aprendizaje y dedican menos tiempo de clases a actividades de habilidades y reestructuración del conocimiento.
Reimers (2000) analiza el vínculo entre pobreza, educación y desigualdad. El autor postula -a manera de hipótesis explicativa-, cuatro procesos con sus interacciones que dan cuenta del fracaso escolar y la carencia de acceso a la educación secundaria; a saber, la pobreza misma mediante la deficiente nutrición y la poca salud; carencia de educación inicial y preescolar para los pobres; desigualdad de insumos educativos para estudiantes pobres y ausencia de políticas compensatorias.
Los estudiantes pobres se enfrentan a servicios educativos con carencias de personal, falta de infraestructura y capacitación docente (Murnane, 2007). Silva-Laya et al., (2020) revisan la bibliografía de 1995 a 2017 sobre pobreza urbana y educación, encuentran que: los estudiantes pobres muestran un rendimiento escolar deficiente tanto por aprendizajes como por trayectoria educativa; además, su inclusión en la escolarización es estratificada debido a sus condiciones materiales, características socio-territoriales y los obstáculos administrativos y culturales que enfrentan. Los primeros estudios sobre la eficacia escolar proporcionaron evidencia de que los factores escolares tienen poca influencia en el rendimiento escolar y que las características sociales de los estudiantes, como el nivel socioeconómico, son fundamentales en los resultados académicos (Coleman et al., 1966). Si bien Blanco (2017a) menciona que no hay acuerdo sobre los mecanismos que explican las desigualdades en los aprendizajes; para Biddle (2014), el factor clave del fracaso educativo en los Estados Unidos es la pobreza juvenil.
Por otro lado, hay investigaciones que sostienen que la relación entre rendimiento escolar y nivel socioeconómico es exigua. Por ejemplo, Kim (2019) muestra que hay un efecto positivo pero moderado entre la condición socioeconómica y el logro escolar en los países del Este Asiático. O’Connell (2019) con datos de PISA, analiza la relación entre el aprovechamiento escolar y las variables ingreso del hogar y logro educativo de los padres: concluye que la asociación es modesta. Más aún, el autor argumenta que la asociación entre el logro escolar y la condición socioeconómica a menudo es débil, la dirección causal de los efectos no está claramente establecida y la definición y operatividad de la condición socioeconómica es difusa e imprecisa. No obstante, muestra que en los países pobres la riqueza del hogar tiene mayor impacto en el logro escolar y en los países ricos la educación de los padres.
II. Fuentes, Variables y Descriptivos
Datos y variables
Los datos que se utilizan en el análisis provienen de las evaluaciones del Plan Nacional para la Evaluación de los Aprendizajes (Planea). Empleamos Planea porque esta prueba evalúa los contenidos clave del currículo mexicano, de tal manera que es posible identificar la brecha del logro escolar entre pobres y no pobres proveniente del aprendizaje proporcionado por la escuela. Una ventaja de dicha prueba frente a otras pruebas internacionales como la PISA, es que permite cuantificar el aprendizaje a lo largo de la trayectoria escolar, entonces se puede analizar la brecha en aprendizaje para estudiantes de primaria y secundaria. Existen críticas a las pruebas estandarizadas, por ejemplo, Márquez (2017) menciona que los involucrados en las pruebas tienen incentivos para formarse en la resolución eficiente de evaluaciones en lugar de cubrir los objetivos de los planes y programas educativos. Así, los sistemas educativos se adaptan a las necesidades de dichas pruebas con independencia de las necesidades de los alumnos (Sanz et al., 2020). Martínez-Rizo (2016) señala que las pruebas estandarizadas son insuficientes para orientar las prácticas de enseñanza porque no reflejan la dinámica a nivel de salón de clases y escuela. No obstante, los resultados en las pruebas estandarizadas son reflejo del aprendizaje obtenido en el aula (Campos-Vázquez y Urbina, 2011).
La variable dependiente que empleamos es el rendimiento escolar calculado con los puntajes de las pruebas nacionales estandarizadas de matemáticas y lenguaje y comunicación de la educación primaria y secundaria mexicanas del ciclo escolar 2017-2018 y 2016-2017, respectivamente. También se utilizan los cuestionarios de contexto elaborados por Planea y aplicados a estudiantes, docentes y directores de escuela para identificar el contexto social, económico y escolar en el que se desenvuelven los escolares. Con dichos cuestionarios se incorporan al análisis algunos factores que se han encontrado relevantes para explicar el rendimiento escolar; por ejemplo, variables tales como: edad, género, hablar lengua indígena, repetir al menos un grado, asistir al preescolar, vivir con los padres, expectativa de estudio al menos del nivel universitario, clima del aula, asistir a salón multigrado, tamaño de la clase, experiencia docente, infraestructura escolar, grado de marginación y modalidad educativa (Bradley y Taylor, 1998; Murillo y Martínez-Garrido, 2018; Blanco, 2013 y 2017b; Khattab, 2015; Schütz, 2009).
Para simplificar el análisis, las variables anteriores se agrupan en tres categorías: individual, aula y escuela. El grupo individual incluye: edad, género, habla lengua indígena, repitió al menos un grado, asistió al preescolar, vive con sus padres, expectativa de estudio al menos del nivel universitario. La categoría aula incorpora a las variables: clima del aula, asistencia a salón multigrado, tamaño de la clase y experiencia docente. En el grupo escuela se integran las variables de infraestructura escolar, grado de marginación y modalidad educativa. Las agrupaciones se realizan para identificar a los factores observables con mayor incidencia en el componente de dotaciones de las desigualdades en las calificaciones según la condición de pobreza.
Por otro lado, para medir la pobreza del hogar de los estudiantes se utiliza la metodología del SUP como en Campos-Vázquez et al., (2013). Esta metodología se empleó por un tiempo para identificar a los beneficiarios del programa de transferencias condicionadas Progresa-Oportunidades. El programa tenía la finalidad de evitar la transmisión de la pobreza a las nuevas generaciones; para ello, se otorgaba dinero de manera condicional a los hogares a cambio de que las familias invirtieran en educación, salud y nutrición de sus hijos. El método del SUP consiste en estimar un puntaje para categorizar a las personas en situación de pobreza con base en las características socioeconómicas del hogar, el tipo de localidad de residencia y la ubicación de la región geográfica del país. Mediante un análisis discriminante, este método separa a las personas pobres y asigna un ponderador a cada característica, entonces el puntaje de pobreza es la combinación lineal de dichos ponderadores y las características socioeconómicas de los hogares. Con la metodología del SUP y las preguntas del cuestionario de contexto, las características consideradas para medir la pobreza en este estudio son: índice de hacinamiento, escolaridad del jefe o jefa del hogar, tipo de piso en el hogar, tenencia de estufa de gas, de refrigerador, de lavadora, de vehículo e indicadoras de lugar donde habitan1. La metodología establece que un hogar se considera como pobre si tiene un puntaje de pobreza mayor o igual a 0.69.
Hernández et al., (2008) realizan un análisis comparativo entre distintos modelos para identificar a personas en pobreza y encuentran que la metodología por medio del análisis discriminante es la que presenta los errores de exclusión más bajos. Existe evidencia de que el programa Progresa-Oportunidades presentó errores de exclusión altos, pero no son atribuidos a la metodología de identificación de los beneficiarios. Araujo y Suárez (2013) mencionan que los errores de exclusión ocurrían principalmente porque las personas en condición de pobreza extrema no recibían los beneficios por radicar en localidades marginadas que no contaban con escuelas y centro de salud, los cuales eran necesarios para que una localidad fuera considerada en la incorporación al programa.
Características observables de los estudiantes
En el Cuadro 1 se muestran las diferencias promedio de las características observables de los estudiantes por nivel educativo. En la muestra de primaria hay menos porcentaje de mujeres en el grupo de pobres, en secundaria se observa el mismo porcentaje de hombres y mujeres. Respecto al clima del aula, en primaria los estudiantes pobres presentan un menor nivel promedio de dicha variable relativo a los estudiantes no pobres. En secundaria ocurre lo contrario. El clima del aula representa el grado de comunicación que los alumnos perciben que existe con sus profesores, así como el nivel de confianza que tienen para expresar sus ideas y opiniones. Murillo y Martínez-Garrido (2018) encuentran que un clima del aula favorable afecta positivamente al rendimiento escolar.
Cuadro 1 Estadística descriptiva. Diferencia de medias entre estudiantes pobres y no pobres
| Primaria | Secundaria | |||||
| No pobre |
Pobre | t-stat | No pobre | Pobre | t-stat | |
| Edad | 12.06 | 12.25 | -33.57*** | 15.14 | 15.43 | -45.10*** |
| %Mujeres | 51.00 | 48.05 | 5.088*** | 50.51 | 51.03 | -0.94 |
| Clima del aula1 | 0.0408 | -0.260 | 25.95*** | -0.00778 | 0.0787 | -7.72*** |
| %Hablan lengua indígena | 8.314 | 37.40 | -83.35*** | 4.581 | 35.49 | -114.06*** |
| %Han repetido grado | 8.150 | 27.60 | -57.04*** | 8.615 | 23.16 | -44.09*** |
| %Asistió preescolar | 96.92 | 88.82 | 36.69*** | 97.69 | 92.02 | 30.96*** |
| %Asiste escuela general | 87.42 | 69.10 | 45.69*** | 44.29 | 9.068 | 64.86*** |
| %Asiste escuela indígena | 1.868 | 26.01 | -112.80*** | |||
| %Asiste escuela comunitaria | 0.266 | 3.905 | -41.12*** | 0.277 | 4.304 | -47.04*** |
| %Asiste escuela privada | 10.44 | 0.979 | 27.83*** | 11.120 | 0.355 | 31.86*** |
| %Asiste escuela telesecundaria |
18.53 | 75.35 | -129.14*** | |||
| %Asiste escuela técnica | 25.78 | 10.92 | 30.89*** | |||
| Infraestructura escolar | 0.426 | 0.280 | 52.52*** | 0.656 | 0.372 | 73.58*** |
| %En aula multigrado | 6.797 | 30.57 | -73.82*** | 5.049 | 9.081 | -15.94*** |
| %Espera estudiar al menos universidad |
79.03 | 35.40 | 90.71*** | 79.38 | 42.68 | 79.26*** |
| %Vive con ambos padres | 97.42 | 93.30 | 21.03*** | 96.98 | 95.89 | 5.62*** |
| %En aula con +30 compañeros |
44.01 | 16.73 | 48.28*** | 64.32 | 22.56 | 78.35*** |
| %Con docente c/experiencia <5 años |
21.58 | 32.62 | -22.81*** | 17.57 | 31.00 | -30.87*** |
| %Con docente c/experiencia entre 6-10 años |
20.41 | 23.91 | -7.44*** | 19.20 | 21.23 | -4.57*** |
| %Con docente c/experiencia entre 11-16 años |
18.25 | 14.05 | 9.47*** | 18.91 | 17.18 | 3.94*** |
| %Con docente c/experiencia >=17 años |
39.76 | 29.43 | 18.28*** | 44.32 | 30.59 | 24.78*** |
| %En marginación alta | 32.54 | 86.20 | -100.87*** | 30.82 | 89.50 | -115.74*** |
| %En marginación media | 33.74 | 8.700 | 46.98*** | 31.19 | 7.089 | 47.72*** |
| %En marginación baja | 33.72 | 5.096 | 54.10*** | 38.00 | 3.412 | 65.74*** |
| Observaciones | 83,555 | 6,401 | 98,689 | 9,740 | ||
Fuente: elaboración propia. Diferencia estadísticamente significativa al ***1%, **5%, *10%. t-stat indica el estadístico t. 1Es un índice construido con la técnica de componentes principales, incluye respuestas del cuestionario de contexto de los estudiantes que reflejan el grado de comunicación entre escolares y profesores.
Los datos señalan que el 37% y el 8% de los estudiantes pobres y no pobres de primaria hablan lengua indígena, respectivamente. De manera similar, en secundaria hay mayor número de estudiantes que hablan lengua indígena en el conjunto de los pobres. Blanco (2017b) señala que en condiciones socioeconómicas similares, los problemas de educabilidad entre estudiantes indígenas y no indígenas son parecidos. También se observa que el 27% de los estudiantes pobres de primaria han reprobado al menos un grado, en los no pobres solo el 8%; en secundaria los porcentajes son 23% y 8%, respectivamente. En los países de la OCDE, un estudiante que ha repetido un grado tiene en promedio 6.4 veces mayor probabilidad de tener bajo rendimiento que aquellos que nunca han repetido un grado (OCDE, 2016).
El 16% de los alumnos pobres de primaria se encuentran en aulas con más de 30 alumnos, mientras que en los no pobres el respectivo porcentaje es de 44%. En secundaria, la brecha en esta variable es de 42 puntos porcentuales. La relación entre el tamaño del aula y el rendimiento escolar no es clara, pero un mayor número de estudiantes posibilita la agrupación de alumnos de acuerdo con su nivel de habilidad, esto facilita el proceso de enseñanza-aprendizaje (Bradley y Taylor, 1998).
De acuerdo con Currie (2001), asistir a la educación preescolar es particularmente importante para las personas en contextos de desventaja porque ayuda a promover la igualdad de oportunidades educativas. Schütz (2009) argumenta que dicha educación se asocia positivamente con resultados en el aprendizaje. El 97% de los estudiantes de primaria no pobres asistieron al preescolar y de los pobres solo el 89%. Para secundaria, la brecha de asistencia al preescolar es 5 puntos porcentuales, siendo mayor para los no pobres. Por otro lado, los estudiantes con altas expectativas de estudio tienden a obtener rendimientos académicos más altos (Khattab, 2015). En estudiantes de primaria, el 35% de los alumnos pobres esperan estudiar al menos la universidad, comparado con el 79% de los no pobres. Para secundaria se observa el mismo comportamiento.
Los datos también indican que en primaria el porcentaje de estudiantes que viven con ambos padres es del 93% y 97% para pobres y no pobres, respectivamente. En secundaria la brecha es más pequeña, pero sigue siendo estadísticamente distinta y con el mismo patrón observado en primaria. Cervini et al., (2014) encuentran que los alumnos que viven con ambos padres tienen resultados más altos en las pruebas de conocimiento. El efecto anterior en parte se explica porque en los hogares con ambos padres hay una tendencia a contar con mayores recursos económicos. En resumen, los estudiantes no pobres en mayor proporción a los pobres, asistieron al preescolar, esperan estudiar al menos la universidad, viven con ambos padres, han repetido al menos un grado y asisten a clases con más estudiantes. De acuerdo con Paz (2016), las desigualdades a favor de los no pobres se generan por los factores determinantes relacionados con las oportunidades.
III. Método de descomposición
Para analizar la diferencia de puntajes entre los grupos utilizamos el método de descomposición propuesto por Oaxaca (1973) y Blinder (1973). El método Oaxaca-Blinder (OB) posibilita identificar las partes de la diferencia promedio entre los grupos que se deben a las variables observables y aquellas que se deben a los efectos o retornos de dichas variables. Entre otros temas, la técnica se ha utilizado para estudiar brechas en calificaciones, Castro et al., (2017) analizan las brechas de rendimiento escolar entre escuelas públicas y privadas de América Latina. Los autores argumentan que los principales factores para explicar dichas brechas fueron; primero, las diferencias en dotaciones individuales, después en dotaciones familiares y por último en recursos escolares. Giménez y Aristizábal (2017) analizan las diferencias en los resultados de la prueba PISA entre escuelas públicas y privadas; sostienen que, en orden de importancia las causas de las diferencias son: las características de los hogares, los recursos de los centros escolares, las características individuales y el ambiente laboral de las escuelas. Ramos et al., (2012) estudian la diferencia en rendimiento entre escuelas rurales y urbanas, encuentran que la diferencia se explica más por las características familiares que por los factores escolares. Aquí se descompone la diferencia promedio del rendimiento escolar (D), en dotaciones y retornos, y se consideran las categorías: no pobres (NP) y pobres (P).
donde
donde
donde
Dado que el método OB solo permite descomposiciones en el promedio, la descomposición de la diferencia entre NP y P en toda la distribución de puntajes se realiza usando la regresión función influencia recentrada (RIF) propuesta por Firpo et al., (2009 y 2011). La regresión RIF es similar a la regresión lineal pero la variable dependiente
En este caso el estadístico
donde
donde
Para realizar la descomposición de la diferencia entre NP y P en cualquier cuantil de la distribución, en lugar de estimar las regresiones planteadas en (1), se estiman las regresiones de la ecuación (3) y luego se realiza la descomposición como en (2).
IV. Resultados
Descomposición de la diferencia promedio de las calificaciones
El promedio de calificaciones en lenguaje para estudiantes no pobres de primaria es de 514 puntos, el de los pobres es de 429 puntos, hay una diferencia de 85 puntos. Para matemáticas la brecha es de 64.7 puntos. En secundaria, la diferencia promedio entre los dos grupos es de 79.5 puntos en lenguaje y de 45.7 puntos en matemáticas. En el Cuadro 2 se muestra la descomposición de la diferencia de los componentes de dotaciones y retornos. En primaria las dotaciones explican el 32% de las diferencias en matemáticas y el 40% en lenguaje, esto implica que la mayor parte de las brechas se explican por el componente de retornos. En secundaria, los retornos explican el 61.5% de la diferencia en matemáticas; en lenguaje, la explicación está repartida casi en partes iguales entre los componentes.
Cuadro 2 Descomposición de las diferencias de calificaciones entre no pobres y pobres
| Primaria | Secundaria | |||
| No pobres | Pobres | No pobres | Pobres | |
| Lenguaje y comunicación | ||||
| Calificación | 513.91 | 429.09 | 505.62 | 426.14 |
| Diferencia | 84.82 (100%) | 79.5 (100%) | ||
| Dotaciones | 33.24 (39.2%) | 39.11 (49.2%) | ||
| Retornos | 51.57 (60.8%) | 40.4 (50.8%) | ||
| Matemáticas | ||||
| Calificación | 513.85 | 449.11 | 505.93 | 460.27 |
| Diferencia | 64.75 (100%) | 45.7 (100%) | ||
| Dotaciones | 20.5 (31.6%) | 17.6 (38.5%) | ||
| Retornos | 44.3 (68.4%) | 28.1 (61.5%) | ||
Fuente: elaboración propia
Descomposición de la diferencia en calificaciones por cuantiles
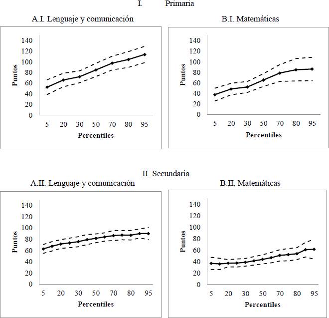
En la Gráfica 1 se presenta la diferencia entre los grupos a lo largo de la distribución de calificaciones. En el panel I se exhiben los resultados para primaria, en el II los de secundaria. En el panel A se muestra la diferencia en las calificaciones en lenguaje, en el B para matemáticas. En ambas asignaturas la diferencia observada es positiva, esto significa que los estudiantes pobres obtienen menos calificaciones que los no pobres; además, en la parte alta de la distribución la diferencia entre ellos es más grande. En el quinto percentil de la distribución de calificaciones de lenguaje la diferencia es de 52 puntos, esta desigualdad va creciendo conforme se avanza a la derecha en la distribución, de tal forma que, en el percentil 95, es de 114 puntos. También en cada punto analizado el efecto es más grande en los resultados de lenguaje que en los de matemáticas. En el quinto percentil de matemáticas la diferencia es de un poco más de 37 puntos, mientras que en el percentil 95 es 2.2 veces mayor.

Fuente: elaboración propia. Las líneas punteadas indican los intervalos de confianza al 5% de significancia.
Gráfica 1 Diferencia en calificaciones entre no pobres y pobres a lo largo de la distribución. Resultados por nivel educativo y campo disciplinar
En el panel II se observa que, en la parte baja de la distribución de calificaciones de lenguaje de secundaria, hay una diferencia entre los grupos de 63 puntos; en los percentiles 90 y 95 se observa la mayor diferencia en calificaciones. En matemáticas la diferencia oscila entre 35 y 61 puntos. La mayor brecha está en los percentiles altos de la distribución. Al igual que en primaria, la diferencia es menor en el campo de formación de matemáticas. Tan (2017) encuentra que los padres con mayor nivel socioeconómico transmiten más fácil las habilidades de comunicación que el pensamiento analítico.
En la Gráfica 2 se presenta la descomposición de la diferencia de las calificaciones en dotaciones y retornos para algunos puntos de la distribución de calificaciones. El panel I muestra los resultados para primaria, en el percentil 5 de lenguaje, el 37% de la diferencia entre los grupos se debe a las dotaciones, esto implica que, en mayor proporción, la diferencia se explica por el efecto de los retornos. En matemáticas, el 40% de la diferencia entre el percentil 5 y el 30 se debe a las dotaciones. No obstante, en la mayoría de la distribución, la diferencia en calificaciones se manifiesta por los retornos.

Fuente: elaboración propia. Los números sobre las barras indican los puntos de calificación atribuibles a cada componente.
Gráfica 2 Descomposición de la diferencia entre no pobres y pobres en las calificaciones de matemáticas y lenguaje y comunicación. Resultados de primaria y secundaria
En el panel II de la Gráfica 2 se presenta la descomposición de la diferencia de calificaciones para algunos puntos de la distribución de secundaria. En la parte baja de la distribución de lenguaje, el 36% de la desigualdad se debe al componente de dotaciones. Entre el percentil 50 y 90, la diferencia en calificaciones por condición de pobreza se explica con un porcentaje que va del 50.4% al 58% por el componente de dotaciones. En el resto de la distribución predomina el efecto de los retornos. En matemáticas, las discrepancias se deben al efecto de los retornos. La mayor diferencia se debe al componente de dotaciones y se ubica entre el percentil 5 y 30, con un porcentaje de explicación que oscila entre el 41% y el 47%.
De acuerdo con Paz (2016), en la bibliografía especializada hay dos hipótesis sobre la diferencia en los resultados de calificaciones de los escolares: las desigualdades se explican tanto por factores individuales como sociales y por ello los estudiantes pobres están en desventaja; o con base en distintos estratos socioeconómicos, las desigualdades se presentan como la capacidad diferenciada de los alumnos de convertir sus dotaciones en resultados. Paz (2016) denomina "propensiones" al componente de retornos y lo refiere como las habilidades que permiten a los estudiantes convertir sus dotaciones en resultados académicos.
Para identificar a los factores observables con mayor incidencia en el componente de dotaciones de las desigualdades por grupo, se agregan las variables en tres categorías: individual, aula y escuela. En la Gráfica 3 se presenta el agregado de las características observables para cada grupo de variables por nivel educativo y campo de formación, se muestran los efectos estadísticamente significativos al menos al 10%. En el panel A.I., para lenguaje a nivel primaria, entre el 53% y 68% del componente de dotaciones se debe al grupo de variables individuales. Una parte reducida de la explicación corresponde a las variables de aula y las variables de escuela no son significativas. En el panel B.I. se muestran los resultados para matemáticas. Entre el percentil 10 y 70, la mayor parte del componente de dotaciones se integra con las variables individuales, entre el percentil 80 y 90 con factores de aula. Berkowitz et al., (2017) revisan los trabajos sobre la asociación entre el nivel socioeconómico, el clima del aula, la desigualdad y el logro escolar; encuentran que un clima de aula positivo reduce la asociación negativa entre el bajo nivel socioeconómico y el aprovechamiento escolar.

Fuente: elaboración propia. Individual incluye: edad, género, habla lengua indígena, repitió al menos un grado, asistió al preescolar, vive con sus padres, expectativa de estudio al menos del nivel universitario. Aula incluye: clima del aula, asistencia a salón multigrado, tamaño de la clase y la experiencia docente. Escuela incluye las variables de infraestructura escolar, grado de marginación y modalidad educativa. Sólo se presentan los efectos estadísticamente significativos al menos al 10% de significancia.
Gráfica 3 Componente de dotaciones de la diferencia en calificaciones entre no pobres y pobres a lo largo de la distribución. Resultados de primaria y secundaria
El panel A.II. concierne a lenguaje para secundaria. Las variables individuales tienen mayor peso en el componente de dotaciones y en menor grado por los factores de escuela, las variables de aula no son estadísticamente significativas. En el panel B.II. se presentan los resultados análogos para matemáticas, el mayor peso en el componente de dotaciones es por los factores individuales, las variables de aula y escuela no son estadísticamente significativas en ningún punto de la distribución.
Conclusiones
La diferencia en rendimiento escolar según la condición de pobreza es estadísticamente significativa a lo largo de la distribución de calificaciones: en el periodo analizado los escolares mexicanos de primaria y secundaria pobres obtienen menos calificaciones que los no pobres. En ambos niveles educativos la desigualdad en calificaciones es más grande entre los estudiantes de mayor rendimiento escolar, es decir, la condición de pobreza incide con mayor fuerza en los estudiantes con mejores calificaciones. La evidencia muestra que, para ambos niveles educativos y en toda la distribución, la brecha de puntajes es más grande en lenguaje y comunicación que en matemáticas. En los puntos de la distribución analizados, tanto de primaria como de secundaria y ambos campos de formación, las variables individuales son las de mayor incidencia con la excepción de matemáticas a nivel primaria donde las variables de aula para los deciles del 70 al 90 son las de mayor peso.
En todos los casos, las características observables de los escolares no explican la totalidad de las desigualdades de los puntajes entre los grupos. En matemáticas para ambos niveles educativos, la mayor parte de la explicación se debe al componente de retornos, esto ocurre tanto en el promedio como en cada percentil analizado. En lenguaje y comunicación a nivel primaria, la parte de retornos en su mayoría da cuenta de las discrepancias, pero en secundaria, desde la mediana y hasta el percentil 90, las diferencias ocurren principalmente por el elemento de dotaciones. La investigación se hace con estudiantes que comparten características observables similares, únicamente separados por la condición de pobreza, los resultados muestran que la mayor parte de las diferencias se deben a las habilidades de los escolares de convertir sus dotaciones en calificaciones, ya que el componente de retornos corresponde a las características no observables en la muestra como pueden ser -por mencionar algunas-, la destreza o el talento de los estudiantes y el estilo de crianza de los padres. Al respecto, es oportuno mencionar que las características no observables se fomentan tanto adentro como afuera de la escuela, en este sentido hay una responsabilidad compartida entre los sistemas educativos y la sociedad en su conjunto.
Si bien los resultados de la investigación sugieren que no se anulan del todo las brechas de calificaciones entre los grupos pese a lograr la igualdad en las oportunidades por la vía de las dotaciones: las desigualdades en el rendimiento escolar sí se reducirían. La reducción de dichas brechas se puede dar en el nivel primaria diseñando políticas que capaciten a los docentes para mejorar el clima del aula y fomentar la estabilidad laboral de los maestros que permita cultivar la experiencia docente; en secundaria, mejorando la infraestructura escolar, y en ambos niveles, diseñando políticas que logren incidir en las dotaciones individuales modificables, a saber: repetir año, asistir al preescolar y expectativas de estudios.
La investigación educativa ha mostrado que los resultados de aprendizaje dependen de múltiples factores escolares, extraescolares y su interacción. Además, se ha demostrado que los factores socioeconómicos tienen un peso de importancia en tales resultados. En este sentido, es necesario mejorar la calidad de los servicios educativos para los segmentos de la población más vulnerable, pero también implementar políticas integrales para reducir la pobreza, sobre todo la que afecta a las fases tempranas de las personas y con ello aumentar las posibilidades de los estudiantes y erradicar sus efectos negativos de largo plazo.










nueva página del texto (beta)



