SciELO - Scientific Electronic Library Online

 
vol.37 número95Desempleo y Producto en México, Estados Unidos y Canadá: Una relación no linealEstructura económica, exportaciones y valor agregado en México índice de autoresíndice de materiabúsqueda de artículos
Home Pagelista alfabética de revistas  

Servicios Personalizados

Revista

Articulo

Indicadores

Links relacionados

  • No hay artículos similaresSimilares en SciELO

Compartir


Análisis económico

versión On-line ISSN 2448-6655versión impresa ISSN 0185-3937

Anál. econ. vol.37 no.95 Ciudad de México may./ago. 2022  Epub 01-Ago-2022

https://doi.org/10.24275/uam/azc/dcsh/ae/2022v37n95/rivero 

Artículos

Análisis del ciclo económico en México, 2011-2020: una perspectiva de la Escuela Austriaca de Economía

Analysis of the economic cycle in Mexico, 2011-2020: a perspective of the Austrian School of Economics

Fernando Rivero Mosqueda* 

* Actualmente se desempeña en las áreas de tesorería y mercados globales en el sector bancario. Correo electrónico: economo8184@yahoo.com


Resumen

El presente trabajo tiene el objetivo de proponer un análisis formal sobre el ciclo económico en México (entre los años 2011 a 2020) con el fin de ilustrar la explicación que ofrece el modelo del ciclo austriaco con respecto al origen de una recesión económica. Esto se realiza mediante una revisión de causalidad de Granger a través de un modelo de vectores autorregresivos (VAR). Bajo la hipótesis de que toda intervención, tanto para expandir, como para contraer la base monetaria tiene un efecto causal sobre el diferencial de las tasas de interés (natural y de mercado), mismo que afecta el proceso productivo de la economía a través del índice de producción industrial, se obtienen resultados que validan dicho argumento y muestran un retraso de dos meses entre los movimientos de la base monetaria y el efecto sobre el diferencial de tasas de interés, cuyo impacto se observa de forma casi inmediata sobre la producción industrial del país.

Palabras clave: macroeconomía; Praxeología; interés walrasiano; crecimiento

Clasificación JEL: B25; B23; E32

Abstract

This work has the objective to propose a mathematical analysis on the Mexican economic cycle (2011 to 2020) to illustrate the way Austrian economics, use to explain the economic cycles related to any recession. This is done by applying the Granger causality coefficient obtained through an autoregressive vector model (VAR). The former will be exposed under the hypothesies that any intervention over monetary base will impact the interest differential ratio (natural and market ratios), and this ratio will affect the economic productive process through the industrial production index. As a conclusion, this paper proves that for the period of study, in Mexico any movement in the monetary base will affect the ratio differential two months previously as an anticipation of future intervention, and at the same time this action will have an immediate impact on the industrial production index.

Keywords: macroeconomics; Praxeology; Walrasian interest; growth

JEL classification: B25; B23; E32

Introducción

La teoría austriaca del ciclo económico tiene sus orígenes en los principios de economía política de Menger (1871), fue trabajada por Böhm-Bawerk (1890), formulada por Von-Mises (1936) y desarrollada por Hayek F.A. (1929) y Rothbard (2004), que buscan explicarla a través de procesos de expansión crediticia en un sistema de reserva fraccionaria. Al emitir préstamos de forma artificial (sin un respaldo real en ahorro de los agentes) se incentiva la inversión en proyectos de largo plazo, es decir, aquellos cuya finalización requiere de mayor tiempo al previsto por los agentes (las decisiones Inter-temporales entre consumidores y productores quedan descoordinadas). En consecuencia, la estructura productiva en la economía se ve distorsionada haciendo obligado un reajuste mediante un proceso recesivo.

Bajo este contexto el objetivo del presente escrito es la realización de un análisis matemático sobre el ciclo económico en México (entre los años 2011 a 2020) con el fin de ilustrar y respaldar la explicación que ofrece el modelo deductivo del ciclo austriaco respecto al origen de una recesión aplicada a este país. Ello a través del coeficiente de causalidad de Granger sobre las variables aproximadas a los indicadores que usa la teoría austriaca calculadas mediante un modelo de vectores autorregresivos (VAR) que pretende aportar un análisis formal poco común en dicha escuela de pensamiento económico, ya que las limitaciones que mantiene esta escuela de pensamiento económico respecto del uso de las matemáticas en sus estudios han provocado una importante escasez de textos que usen econometría.

Con base en lo anterior, se considera como hipótesis para el desarrollo del escrito los siguientes puntos:

  • a) Una expansión crediticia (M) orquestada por el Banco de México causa un desajuste entre la tasa de interés de natural2 (in) y el tipo de interés de mercado (im), dicho impacto podría estar asociado a una previsión de los agentes con respecto a la demanda futura de dinero (la expectativa inflacionaria). Es decir, se adelanta la existencia de un efecto liquidez sobre el comportamiento de las tasas de interés.

  • b) Como consecuencia de dicho desajuste los proyectos empresariales de los agentes se vuelven volátiles en términos de rendimientos, por lo tanto, se observa una alteración de la producción industrial de forma inversa a los movimientos del diferencial de la tasa de interés.

  • c) La variación de la estructura Inter-temporal del capital se vincula al patrón de evolución del ciclo económico. De ahí que la tasa de producción de materias primas en relación a las últimas etapas del proceso productivo aumente en los albores del ciclo expansivo, por lo que se observa un incremento relevante sobre dicha variable cuando la diferencia entre ambas tasas de interés sea mayor.

Con este fin el presente escrito se divide en seis partes: a la introducción le sigue (1) aquella sección donde se realiza una breve exposición de los principios de la teoría del crecimiento económico austriaco con el fin de sentar las bases argumentativas desarrolladas por la escuela austriaca a demostrar en este texto, (2) posteriormente se realiza una revisión de la bibliografía y trabajos previos de autores cuya principal aportación consiste en integrar al análisis lógico deductivo de esta línea teórica ejercicios matemáticos que apoyan las conclusiones obtenidas con el razonamiento propio de la escuela austriaca de economía.

Realizada la revisión de bibliografía se expone el modelo aplicado (3) a las condiciones mexicanas y las variables, propuestas de forma genérica por los distintos autores austriacos, que permiten la correcta descripción de los factores que componen los ciclos, seguido de (4) la metodología empleada para el cálculo del modelo VAR. Culminando este ejercicio con (5) la exposición de resultados del modelo de vectores autorregresivos y la relación causal al estilo de Granger entre las variables, cuyo resumen e interpretación se puede visualizar en las conclusiones del presente estudio.

I. La Macroeconomía del Capital

El objetivo de esta teoría del crecimiento económico es la identificación de la senda sostenible (aquella respaldada por ahorro real) y la senda de crecimiento insostenible. Con base en esta idea y a lo largo de años de estudios distintos autores identifican esta diferencia en función del papel regulatorio e intervencionista de las autoridades monetarias sobre las preferencias de los agentes ahorradores quienes proporcionan al sistema fondos suficientes para respaldar los créditos emitidos por la banca privada (Garrison, 2001).

Esta descripción propuesta por Garrison ha sido tomada por algunos integrantes de la corriente de pensamiento denominada Escuela Austriaca, como una forma incoherente de análisis al utilizar un marco teórico y metodológico distinto al predominante en dicha escuela. Sin embargo, debe tomarse en cuenta que el autor pretende (al igual que todos los escritos bajo el marco teórico Austriaco que usan metodología que incluye matemáticas y estadística) realizar una ilustración que muestre la validez de la teoría austriaca a través del uso de herramientas de la metodología dominante en los escritos actuales de macroeconomía.

Así, Garrison expone de forma gráfica la teoría austriaca del ciclo (Figura 1) mostrando los movimientos de las distintas variables económicas al ocurrir un proceso de expansión crediticia bajo los supuestos de consumidores con preferencias constantes y oferta monetaria bajo el control total del banco central, de ahí que la oferta monetaria incluya tanto los ahorros (depósitos a la vista), como los fondos suministrados por el banco central a través del sistema bancario (en México se realizan a través de las Operaciones de Mercado Abierto, donde BANXICO ofrece bonos gubernamentales a cambio de la liquidez monetaria del mercado o dicha liquidez por bonos).

Fuente: Elaboración propia basada en el modelo de Garrison, (2001).

Figura 1 Teoría Austriaca del Ciclo 

La Figura 1 muestra que los tipos de interés establecidos de forma natural (in), conocidos también como tasa Wickselliana, son la base del crecimiento sostenible, como resultado de un proceso de expansión crediticia (M) respaldado por el ahorro real provisto por los agentes (S0=I0), si por el contrario, se realizara una expansión sin dicho respaldo el tipo de interés de mercado (im) tenderá a situarse por debajo del valor de la tasa de interés natural como consecuencia del efecto liquidez3 (Garrison, 2001). En la Figura 1, dicho movimiento se ilustra en el mercado de fondos prestables, pasando del punto A al B.

En este modelo la tasa de interés no se define como el “precio del dinero” ni representa una variable dependiente de factores monetarios4 como se suele ilustrar en la macroeconomía dominante, sino que se define como una valoración de Inter-temporalidad que determina el cruce en el mercado de fondos prestables entre la oferta de ahorro real y la demanda de fondos para inversión, es decir, es el valor de la tasa de preferencia Inter-temporal de los agentes entre consumo e inversión/ahorro (León-León, 2002). Como se muestra en la Figura 1, un exceso de inversión causada por el efecto liquidez ante una expansión monetaria provocaría un desplazamiento en la combinación de posibilidades de producción de una economía de A a B.

Posteriormente, el impacto cobra efecto sobre las etapas de producción de todas las empresas que conforman la economía. Para ejemplificarlo, el modelo utiliza los triángulos de Hayek señalando que las etapas productivas en una economía tenderán a fluctuar ante el diferencial entre el interés de mercado y la tasa natural en el mercado de fondos prestables (Hayek, F., 1929). Esto se ilustra en la Figura 1 al pasar del nivel de producción de bienes de consumo final A al B, mostrando un área de producción de bienes de consumo que no estará respaldada por inversión en los procesos de elaboración de bienes de capital previos, situación que colapsará la cadena productiva en cuanto el mercado no sea capaz de absorber la demanda de bienes de capital que permitan la formación de bienes de consumo.

De ahí que toda expansión de crédito bancario no respaldado por ahorro real produce: (1) alteraciones sobre las preferencias entre ahorro y consumo de los agentes al recibir un interés inferior a la tasa natural, al tiempo que (2) las empresas que buscan financiar sus proyectos deben pagar un tipo de interés menor haciendo rentable los proyectos de largo plazo, es decir, sobre procesos productivos que por temporalidad son cercanos a los bienes de consumo final, limitando con ello la generación de bienes de capital5 a lo largo de la cadena productiva.

Por lo tanto, todo ingreso monetario a través del mercado de fondos prestables, que opera en el sistema fiduciario, produce un diferencial entre el nivel de ahorro y su correspondiente nivel de inversión, que es cubierto mediante dinero creado de forma artificial. Ello produce un tipo artificial de interés (divergente a la tasa natural) que impacta sobre las preferencias de inversión los agentes cuya respuesta es descoordinada puesto que depende de la etapa en la que se encuentra el agente, haciendo de la disposición de la información mayor o menor en función del efecto descuento temporal6 (Garrison, 2001).

Ante los anteriores movimientos las preferencias de cada empresario dan un vuelco de las inversiones, asignando los recursos invertidos en las etapas más alejadas a las más cercanas del consumo final (en búsqueda de rentabilidad de forma legítima), acumulando las inversiones sobre plazos de tiempo más largos en detrimento de aquellas inversiones de bienes intermedios y de capital que sostienen el proceso productivo (situación que a lo largo del tiempo el mercado no podrá absorber) resultando en un auge económico insostenible (Hayek F., 1929).

Al provocar escasez de recursos productivos al tiempo que se incrementa el volumen de bienes de consumo final se empuja a la economía fuera de la frontera de posibilidades de producción, se induce un alza de los tipos de interés, misma que terminará por cortar a su vez con los financiamientos baratos para los proyectos empresariales impulsados durante el tiempo de expansión crediticia guiando a las empresas hacia una quiebra, resultando en un incremento en el desempleo y una contracción en el consumo de los hogares. La economía entra entonces a una fase recesiva que purga las inversiones que se suponían rentables y resultaron no serlo, obligando a los agentes a retomar la senda de crecimiento sostenible.

II. Marco teórico

Ante la aplicación de la lógica deductiva a través de la praxeología como una herramienta de análisis, se vuelve innecesario el uso de la economía matemática y estadística, y con ello, poco relevante la evidencia empírica como medio de validar los postulados teóricos de los miembros de la Escuela Austriaca de Economía. Así, la metodología de dicha escuela vuelve al último elemento en una herramienta útil únicamente para ilustrar una teoría o caracterizar episodios concretos de la historia y no como un medio de verificación.

Tomando en cuenta que la corriente hegemónica de la metodología de investigación en la economía califica a las teorías (que no hacen uso de modelos matemáticos) como meramente divagatorias y sin sentido de discusión debido a la ausencia de métodos objetivos de valoración de falsedad o veracidad en sus resultados, se pretende incorporar al análisis del ciclo austriaco un modelo matemático que ofrezca la posibilidad de visualizar, mejorar y ampliar los resultados obtenidos con valoraciones objetivas, aunque en ningún momento se pretende desviarse del pensamiento central de la escuela austriaca respecto al comportamiento humano y a sus respuestas no-mecánicas ante los incentivos de su entorno y, contexto histórico y cultural.

Con base en lo anterior este ejercicio está alineado con una serie de publicaciones que previamente han considerado la necesidad de exponer a través de modelos matemáticos lo que el razonamiento lógico deductivo Austriaco ha ofrecido a la teoría económica en relación a los fenómenos de interés para dicha escuela de pensamiento, haciendo notar las aportaciones de algunos autores, alineados con esta escuela de pensamiento, que al introducir análisis matemáticos y estadísticos logran respaldar la teoría austriaca del ciclo.

Destaca entre dichos escritos la aportación de Wainhouse (1984) quien estudia los procesos de expansión crediticia sobre los tipos de interés, concluyendo que (1) el ciclo responde a procesos de expansión crediticia, haciendo que el dinero no sea un elemento neutral, (2) se verifica la existencia del efecto liquidez y el efecto de descuento temporal7, y (3) que el coeficiente de precios de bienes de capital en relación a los bienes de consumo verifica el comportamiento esperado en la teoría del ciclo austriaco, mostrando la existencia del efecto de demanda derivada8 en la estructura productiva.

Posteriormente Keeler (2001) desarrolla la idea previa estudiando la relación entre el producto real y la estructura inter temporal de los tipos de interés, buscando mostrar que las perturbaciones monetarias son causa de los ciclos económicos los cuales difunden sus efectos mediante los movimientos de las tasas de interés, concluyendo que (1) al tiempo que bajan los tipos de interés las inversiones son reorientadas hacia etapas de producción más cercanas a los bienes de consumo y (2) los transmisores iniciales de los efectos de una expansión crediticia son los choques microeconómicos, refutando con ello la hipótesis de neutralidad del dinero.

Estos resultados son reforzados por Bismans and Mougeot (2009) y Dempster and Carilli (2008) quienes amplían sus conclusiones a cuatro países (USA, UK, Francia y Alemania) verificando que las variaciones en las reservas de la banca central originan desequilibrios entre la tasa de interés natural y de mercado. En un estudio paralelo Mulligan (2006) estudia la relación entre el consumo y la pendiente de la curva de rendimiento de la tasa de interés, concluyendo que la estructura de los tipos de interés influye sobre la asignación de recursos a lo largo de las distintas etapas productivas. Por último, Neira, Bagus y Romero (2013) ha desarrollado un trabajo en el que se verifica la relación entre la curva de rendimiento de las tasas de interés y el ciclo económico en Estados Unidos.

III. El modelo (aplicación a la economía mexicana 2011 -2020)

México pasa por un proceso de alta volatilidad sobre su tasa de interés, los últimos años de este decenio han visto una serie de movimientos ejecutados por la autoridad monetaria con el fin de contrarrestar los efectos de distintos actores económicos tanto locales como internacionales que de acuerdo a la lógica de la banca central podrían desestabilizar los precios que se generan en el mercado. Dicho proceso inicia su desajuste a partir de 2016, sin embargo, esta sección realiza un seguimiento histórico de las decisiones tomadas por la Junta de Gobierno del banco central con el fin de clarificar los movimientos que la tasa de interés de corto plazo ha sufrido a lo largo del periodo analizado desde 2011 (ver Figura 2).

Fuente: elaboración propia con datos de BANXICO.

Nota: Los valores expresados son en puntos porcentuales.

Figura 2 Tasas de interés (ene 2011 - dic 2020) 

En un inicio, es la fortaleza de los fundamentos de la economía mexicana la que contribuye a que los choques regulares de la oferta agregada no impactaran sobre las expectativas de inflación desde el año 2011 hasta inicios de 2013. Debido a ello, la Junta de Gobierno del Banco de México votó por mantener la tasa de interés interbancaria a un día en (4.5±0.5) puntos porcentuales durante dicho trienio. El principal fundamento mencionado para dicha decisión es lo que al banco central le parece un “avance estructural en el control de la inflación” la cual explica como una consecuencia de “estabilidad macroeconómica”, junto con una “política fiscal prudente”, que define como “niveles de deuda gubernamental manejable” a lo largo de dicho periodo de tiempo (BANXICO, 2013).

Una vez concluido el primer trimestre de 2013 la autoridad monetaria mexicana anticipa un entorno externo adverso. En este contexto, hasta inicios de 2016, se busca continuar con la aplicación de las reformas estructurales planteadas en el plan de desarrollo económico federal durante el sexenio de Enrique Peña Nieto, buscando el incremento de la productividad y los efectos favorables de la atracción de mayores niveles de inversión al país. Con base en este análisis durante el periodo de tiempo comprendido entre 2013 y hasta inicios de 2016 la Junta de Gobierno decide cambiar la tasa, como se muestra en la Figura 2, a niveles de (3.5±0.5) (BANXICO, 2016).

Es a partir de 2016 cuando el periodo de turbulencia que ocupa al presente escrito inicia, se adopta una política de constante aumento de la tasa de interés diaria que no parará hasta finales de 2018. Esta serie de incrementos buscan contrarrestar las presiones inflacionarias provenientes de los incrementos sobre los precios de los energéticos, la cotización de la moneda nacional bajo presión por la posibilidad de mayores tasas de interés externas y la fortaleza del dólar, así como elementos de incertidumbre derivados de la renegociación del TLCAN en un contexto de aplicación de medidas proteccionistas por parte de EUA. Este conjunto de situaciones impulsa las decisiones de la banca central de hacer llegar la tasa de interés hasta niveles de 8.55 puntos porcentuales (BANXICO, 2019).

Dicha tendencia alcista sobre las tasas de interés tiene su fin durante el último trimestre de 2018 cuando se inicia una serie de acciones que reducen el valor de la tasa de interés diaria ubicándola en niveles de (4.5±0.5) hacia finales de 2020. La realización de dicha acción se lleva a cabo considerando el deterioro de las finanzas públicas, los choques observados sobre el producto y los niveles que ha alcanzado la inflación en dicho periodo de años. Adicionalmente, en 2019 la pandemia del Covid-19 trae consigo importantes riesgos y suma sus efectos adversos a la disminución en los precios internacionales de los energéticos haciendo evidente la gran incertidumbre sobre la magnitud y la duración de los distintos choques de oferta y de demanda agregadas durante los siguientes años (BANXICO, 2020).

Ante la descripción realizada, y con el fin de enlistar los motivos de la intervención ejercida por la banca central sobre las tasas de interés, se ilustra la definición y análisis de las variables a utilizar dentro del modelo.

Las variables

Expansión monetaria (Base Monetaria). Se usa el comportamiento del agregado M2, que engloba las cuentas de depósito a la vista y el circulante en la economía, como definición de base monetaria.9 Esta variable será considerada como un aproximado de la política monetaria estatal, que será usada a partir de la tasa de crecimiento de la masa monetaria con respecto a su tendencia, como se representa en la ecuación 1:

Mt=lnM2t-1-lnM2t     (1)

Diferencial entre tasa de interés de mercado y natural. En la teoría de la escuela austriaca se sostiene que el proceso de expansión monetaria ocurre cuando los tipos de interés se encuentran por debajo de los niveles naturales, al tiempo que la contracción se produce cuando los tipos de interés artificiales se encuentran por encima de sus niveles naturales. Los estudios previos han recurrido a la tasa de interés de largo plazo como estimación de la tasa de interés natural (Dempster and Carilli, 2008), (Keeler, 2001), (Bismans and Mougeot, 2009) (Mulligan, 2006). Así, la tasa de interés de los bonos M a 10 años funge como aproximación de la tasa natural in y la tasa de los cetes a 28 días como una aproximación de la tasa de mercado im. Estableciendo el diferencial entre ambas variables en la ecuación 2:

Diferenciat=ln1+in1+im                                                       (2)

Producción en la economía (producción industrial)

Considerando que los sectores con uso intensivo de capital y tiempo son más sensibles a las variaciones de las tasas de interés (bienes de equipo, consumo duradero, materiales duraderos), las fluctuaciones de la actividad económica agregada se miden a partir de la diferencia de la producción industrial nacional respecto a su tendencia IPIt, estimando estas oscilaciones para cada sector de la economía a partir de la forma general descrita en la ecuación 310:

Knt=lnProducción de sectorbienes de consumotendenciaProduucción de sectorbienes de consumo                                  (3)

Donde los índices que aproximan la producción de bienes de capital a través del sector primario (K1t), bienes de consumo duradero a través de la producción del sector terciario K2t y bienes duraderos a través de la producción del sector secundario (K3t), se usan como proxis de las etapas más alejadas del proceso productivo, mientras que el índice de producción de bienes de consumo representa la etapa última del proceso productivo de acuerdo a lo establecido por (Bismans and Mougeot, 2009).

La elección de estos índices para el cálculo de la ecuación (3) es una interpretación propuesta por el autor basada en la metodología de construcción de dichos índices, pues muestran los agregados macroeconómicos relacionados con las distintas etapas productivas, aquellas más alejadas del consumo o producto final se encuentran mayoritariamente englobadas por el índice del sector primario, aquellas etapas medias del proceso productivo principalmente enfocadas a la creación de capital se abarcan en el sector secundario (bienes manufacturados y de capital) y por último el sector terciario que contiene mayoritariamente a los proveedores de servicios más cercanos a las etapas de consumo final (distribución y ventas), mostrando así una forma de estratificar la producción industrial en México11.

Análisis de las variables

Las variables, introducidas desde el inicio como índices con base en el primer mes del año 2013 a excepción de la diferencia de las tasas de interés y la base monetaria (que son introducidas en usando las respectivas ecuaciones previamente señaladas), con el fin de evitar posteriores problemas de heterocedasticidad en el modelo como muestra el Cuadro 8 en el Anexo, permitiendo verificar la fiabilidad del modelo econométrico estimado.

Adicionalmente se analiza la interrelación de las variables que integran la estimación con el fin de identificar una posible multicolinealidad entre las series a través en la matriz de correlación (Ver Cuadro 7), a través de tales herramientas se establece que existe una multicolinealidad no grave para las variables especificadas en el modelo.

IV. Metodología

Se elige el uso de datos mensuales correspondientes a la base monetaria, las tasas de interés de corto y largo plazo, así como de los tres sectores de la economía mexicana (primario, secundario y terciario) procedentes del banco de datos emitido por el Banco de México, para conseguir un total de 120 observaciones. Dichas series son desestacionalizadas a través del método X12, procediendo a realizar un análisis del orden de integración de cada variable de acuerdo a la metodología de (Hamilton, 1994). Como apoyo a lo anterior y buscando adelantarnos a los posibles efectos causados por la heterocedasticidad y la autocorrelación serial dentro de las series se aplica un filtro Hodrick Prescott12 del cual se obtiene la tendencia, siguiendo la metodología mostrada por (Wooldrige, J. M., 2001) y (Marcet A. y Ravn M. O., 2003) 13.

En cuanto al grado de integración, como previamente se describe, se usa la metodología sugerida por Hamilton (1994) 14, la cual se basa en tres recursos: (1) la observación gráfica de la serie, (2) el análisis de la conduta de la función de autocorrelación en él y (3) la realización de múltiples regresiones para distinguir a forma funcional. En consecuencia, el orden de integración (número de veces que se debe diferenciar la serie para volverla estacionaria) muestra que ninguna variable debe ser diferenciada, de acuerdo con los resultados del análisis de estacionariedad realizado (Ver Cuadro 3, Anexo I).

La estimación de un sistema de ecuaciones simultáneas, como herramienta para conseguir el objetivo de este escrito, permite la identificación conjunta de variables que pueden estar relacionadas entre sí reflejando posibles interdependencias o causalidad. Sin embargo, antes de poder realizar cualquier inferencia sobre el modelo se requiere de la determinación de la longitud de los rezagos, a través de los criterios de información Akaike y Schwarz, mismos que son verificaos a través de los métodos de Pormanteau Ajustado y Normalidad (ver Cuadros 4 y 5 en el Anexo I) donde se ha establecido que el número de rezagos a utilizar es de 2.

V. Estimación del modelo de vectores autorregresivos (VAR)

Una serie de tiempo Yt puede ser modelada por su tendencia Yt-k (siendo k=0,1,2,) en conjunto con un error estadístico εt. Estos factores a través de una correcta definición de la forma funcional de la relación, el número de rezagos con el que se debe trabajar y la correcta elección de las variables permite realizar la estimación de un modelo de Vectores Autorregresivos (VAR), que son una herramienta utilizada con frecuencia en el análisis empírico de las relaciones económicas en los textos modernos.

Si bien se pretende contrastar la existencia de efecto causal de los movimientos monetarios sobre las tasas de interés, así como de las tasas de interés sobre la estructura del proceso productivo dividido en sus tres distintas etapas, el agregar una variable que aproxime el comportamiento de la producción industrial en su conjunto revelaría la existencia de ciclos económicos endógenos, en línea con la teoría austriaca del ciclo. Este proceso se formaliza en línea con el desarrollo realizado por (Neira, Bagus y Romero, 2013), donde las ecuaciones siguientes se muestran la composición de la estimación:

Difjt=α+βiMt±i+βiDift-i+βiK1t+βiK2t+βiK3t+βiIPIt+εi

Mjt=α+βiMt-i+βiDift+βiK1t+βiK2t+βiK3t+βiIPIt+εi

K1jt=α+βiMt±i+βiDift+βiK1t-1+βiK2t+βiK3t+βiIPIt+εi

K2jt=α+βiMt±i+βiDift+βiK1t+βiK2t-1+βiK3t+βiIPIt+εi

K3jt=α+βiMt±i+βiDift+βiK1t+βiK2t+βiK3t-1+βiIPIt+εi

IPIjt=α+βiMt±i+βiDift+βiK1t+βiK2t+βiK3t+βiIPIt-1+εi

Donde:

βi=a0+j=1majij                             J=1,2,3,, n

Buscando conseguir el objetivo de observar la causalidad de las variables se utiliza el coeficiente de Granger, en este contexto y considerando el modelo expuesto sobre el ciclo económico, se entiende que un incremento artificial sobre el crédito (mostrado a través de la variación de la base monetaria) estimularía un ciclo expansivo inicial seguido de un periodo contractivo. Dicho ciclo se puede observar en la Figura 3, la cual muestra un ciclo expansivo sobre la producción industrial que coincide con una tasa de interés de mercado por debajo de la tasa de interés natural (de 2014 a 2016), para posteriormente contraer el índice de producción industrial a partir del ajuste realizado por las autoridades monetaria sobre la tasa de interés de mercado (de 2016 a 2020).

Fuente: Elaboración propia con datos de BANXICO.

Nota: Los valores expresados son en puntos porcentuales.

Figura 3 Tendencia de tasas de interés y ciclo (ene 2011 - dic 2020) 

Causalidad de Granger y resultados del modelo

En esta sección se pretende formalizar la relación entre variables ilustrada por la Figura 3, utilizando una prueba estadística se asume como hipótesis nula la no causalidad al estilo de Granger, siendo la primera columna del Cuadro 1 la variable explicativa y la primera fila del mismo cuadro la variable explicada (Wooldrige, J. M., 2001). Así, el rechazo de la hipótesis nula (al tener una probabilidad menor a 0.05) muestra la existencia de causalidad de Granger. Para contrastar la causalidad de Granger de una variable Yt hacia una variable Zt se formula el modelo siguiente:

Zt=c+α1Zt-1++αpZt-p+β1Yt-1++βpYt-p+ε1

se contrasta la hipótesis H0:β1==βp=0

Si no se rechaza H0 se dice que la variable Yt no causa a la variable Zt en el sentido de Granger.

Cuadro 1 Matriz de causalidad de Granger 

Variable dependiente*
Variable
independiente
Diferencia M (2) K1 K2 K3 IPI
Diferencia - 0.5380 0.0375 0.0027 0.6074 0.0004
M (2) 0.0002 - 0.0600 0.2138 0.4744 0.0702
K1 0.1901 0.0000 - 0.0200 0.0279 0.4541
K2 0.3510 0.3639 0.0023 - 0.0006 0.0553
K3 0.9258 0.3650 0.2489 0.0012 - 0.2826
IPI 0.9088 0.1905 0.0001 0.0027 0.0207 -

Fuente: Cálculos y elaboración propios con datos de Banco de México e INEGI.

* Se considera que una probabilidad menor a 0.05 implica el cumplimiento de una relación causal en el sentido de Granger.

De acuerdo con los resultados obtenidos en el Cuadro 1 se concluye que:

  1. Se observa causalidad en el sentido de Granger de los movimientos de la base monetaria dos meses hacia el futuro sobre el diferencial de la tasa de interés natural y de mercado. Dicha relación verifica que el diferencial tiene una relación causal inversa con la emisión de masa monetaria por parte de la autoridad central. El hecho de que dicha emisión se realice dos meses posterior a las variaciones de la tasa de interés se explica a través de las predicciones y ajustes que los agentes realizan a través de sus expectativas inflacionarias respecto a los ajustes artificiales realizados pro a autoridad central.

  2. Se verifica causalidad en el sentido de Granger por parte de la diferencia de tasas sobre los componentes de actividades primarias (K1), actividades secundarias (K2) y la producción industrial (IPI), explicada principalmente por la relevancia que la tasa tiene sobre los procesos productivos más que sobre los distributivos en una economía.

  3. El tercer factor central de causalidad en el sentido de Granger es la inercia que proviene de la producción industrial y que causa en consecuencia a los tres coeficientes que componen la producción total de la economía, un resultado que bien podría ser considerado como evidente dentro de la teoría económica ya que la producción de la economía determina en sí misma la producción industrial de los bienes de consumo final.

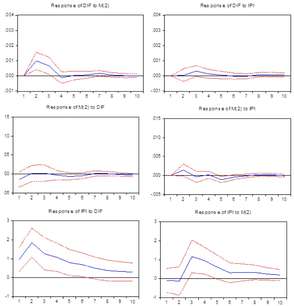
Otro indicador relevante es el referente a las perturbaciones causadas por el diferencial calculado de las tasas de interés, la variación de la base monetaria y el índice de producción industrial, sobre estas mismas variables. Así, ante un shock en las variables IPIt, Diferenciat y Mt, se obtiene una respuesta sobre cada una de dichas variables midiendo la duración de esta respuesta en meses transcurridos como se muestra en la Figura 4 y 5.

Fuente: Cálculos propios con datos de BANXICO

Figura 4 Impulso-Respuesta a Cholesky (1 desviación estándar, ±2 error estándar) 

Fuente: Cálculos propios con datos de BANXICO.

Figura 5 Impulso-Respuesta a Cholesky (1 desviación estándar, ±2 error estándar) 

Los resultados obtenidos a partir del análisis de la Figura 4 muestran el impacto directo de los movimientos previstos de la base monetaria sobre el diferencial de la tasa de interés, cuyo efecto se mantiene durante dos meses para, posteriormente, decaer durante dos meses más hasta desaparecer, al tiempo que dicho diferencial no parece responder de forma relevante a los movimientos que tiene el índice de producción industrial.

Por otro lado, la respuesta del índice de producción industria a los movimientos de la tasa de interés es inmediata, en un primer lugar, se observa un impacto positivo por dos meses para después decaer a lo largo de ocho meses, sin llegar a desaparecer. Mientras que la expectativa de una ampliación en la base monetaria tiene su efecto dos meses después del tiempo en el que se genera la información a través de un incremento inicial de un mes para posteriormente ir reduciendo su impacto en los posteriores ocho meses, sin llegar a desaparecer.

Aun considerando estos resultados como se expone en la Figura 5 y su correspondiente análisis técnico (ver Cuadro 2) existe una importante correlación entre el diferencial de tasas de interés cerca de 1/3 del valor total del coeficiente. En las etapas donde las pendientes de ambas curvas alcanzan un mayor valor es donde mejor se muestra dicha relación (véase la conducta en 2012, 2018 y 2020). Neira, Bagus y Romero (2013) exponen que la tasa de corto plazo compone una relación mucho más cercana con los movimientos de la base monetaria que la tasa de largo plazo, de ahí que la correlación de la diferencia entre las tasas y la base monetaria pueda tener una afectación relevante (Figura 6).

Cuadro 2 Análisis técnico 

Coeficiente de correlación 28.5949900%
Coeficiente de covarianza 0.00000065%

Fuente: Elaboración propia con datos de BANXICO

Fuente: Elaboración propia con datos de BANXICO

Figura 6 Correlación entre diferencia de tasas y base monetaria (Ene 2011 - Dic 2020) 

Conclusiones

A diferencia de las teorías macroeconómicas predominantes que proponen un uso intensivo de la política monetaria contra-cíclica, el enfoque de la escuela austriaca propone, en primer lugar, identificar las causas axiomáticas del ciclo para poder evitar los escenarios críticos que suelen preceder a episodios recesivos, haciendo posible el proponer que desde un sistema de banca con reserva fraccionaria se gestan todas las recesiones de un ciclo. En línea con las teorías de los economistas austriacos este escrito ilustra que la variación del crédito sin respaldo de ahorro real (que coloca al tipo de interés de mercado por debajo de su nivel natural) provoca un desbalance que afecta en primer lugar las etapas productivas más lejanas a los bienes finales de consumo para posteriormente impactar sobre el ciclo económico.

A partir del marco teórico desarrollado a lo largo de este escrito, el presente trabajo cumple con el objetivo de examinar el comportamiento de la economía mexicana desde 2011 hasta 2020 a través del planteamiento lógico deductivo propio de la escuela de economía austriaca para, posteriormente buscar aportar la validación de la economía matemática mediante factores de impulso y de propagación sobre el ciclo económico austriaco recurriendo al uso de contrastes de causalidad de Granger. A manera de conclusión se consideran los siguientes puntos:

  • a) Se verifica la hipótesis que propone a los movimientos en la diferencia entre las tasas de interés como transmisores de impactos monetarios sobre la estructura productiva de la economía. Esto mediante la vinculación de las variaciones en la estructura Inter-temporal del capital y los movimientos sobre las últimas etapas del proceso productivo a través de la causalidad de la diferencia sobre los distintos procesos productivos DIFtK1t, K2t.

  • b) Se identifica la ausencia de causalidad entre la diferencia de tasas de interés (DIFt) y la última etapa de la estructura productiva (K3t). Atribuyendo dicho resultado al efecto que se muestra directamente sobre las primeras etapas, un análisis con un mayor número de retardos en el modelo podría evidenciar el movimiento del efecto desde el inicio de la producción hacia las actividades de distribución de bienes para su consumo.

  • c) Los movimientos en la diferencia entre las tasas de interés anteceden a la producción industrial DIFtIPIt, culminando los efectos que inician la variación de la base monetaria, en otras palabras, se verifica que la política monetaria incide sobre la variación de las tasas de interés y con ello sobre la estructura del capital o proceso productivo.

  • d) Se verifica la hipótesis que indica la existencia del “efecto liquidez” como consecuencia de la expansión crediticia (M) orquestada por el Banco de México, la cual causa un desajuste entre la tasa de interés de natural (in) y el tipo de interés de mercado (im), dicho impacto se explica a través de la previsión de los agentes respecto a la demanda futura de dinero (es decir la expectativa inflacionaria).

Los resultados obtenidos concuerdan con las conclusiones de trabajos de análisis matemático sobre el ciclo actuales como (Jukka Merinen, 2015), (Luther and Cohen, 2014), (Alonso, Bagus and Romero, 2013), donde la política monetaria expansiva se asocia con efectos estimulantes sobre el consumo y la inversión que provocan en un plazo consistente en meses (variando en función del país y el método del autor para interpretar el uso de los agregados macroeconómicos) el inicio del ciclo económico. Ello permite validar el cumplimiento de las hipótesis planteadas en el presente escrito con relación a la expansión crediticia como raíz del movimiento sobre el ciclo económico a través del impacto que dicha acción tiene sobre las decisiones de consumo y ahorro de los agentes, y sobre el mercado de fondos prestables.

Adicionalmente, se propone a los lectores una ampliación de este análisis a través del uso de la curva de rendimientos de la tasa de interés, variable construida de manera distinta a las aquí presentadas (a través del modelo de Nelson-Siegel y su ampliación por Svensson), que dados los alcances de este escrito no ha sido considerada dentro del modelo y no se desarrolla en este trabajo, pero cuya incorporación mostraría formalmente, con base en los resultados obtenidos, cuántos meses se anticipa el movimiento de la tasa de interés a la producción industrial.

Referencias

Alonso, M., Bagus, P. y Romero, A. (2013). Una ilustración empirica de la teoría austriaca del ciclo económico: el caso de Estados Unidos, 1988-2010. Investigación económica, Vol. LXII, núm. 285, pp. 39-70. [ Links ]

Antón-Sarabia, A. (2009). Efectos del ciclo económico en Estados Unidos sobre la producción y el empleo en México.Documentos de Trabajo del CIDE , núm. 456. México: Centro de Investigación y Docencia Económicas. [ Links ]

BANXICO. (2013). Compilación de informes trimestrales correspondientes al año 2013. México: BANXICO . [ Links ]

BANXICO. (2016). Compilación de informes trimestrales correspondientes al año 2016. México: BANXICO . [ Links ]

BANXICO. (2019). Compilación de informes trimestrales correspondientes al año 2019. México: BANXICO . [ Links ]

BANXICO. (2020). Compilación de informes trimestrales correspondientes al año 2020. Mexico: BANXICO. [ Links ]

Bismans and Mougeot. (2009). Austrian Business Cycle Theory: Empirical evidence. Review of Austrian Economics, Vol. 22, pp. 241-257. https://doi.org/10.1007/s11138-009-0084-6 [ Links ]

Böhm-Bawerk, E. v. (1890). Capital and interest: A Critical History of Economic Theory. London: Macmillan. [ Links ]

Dempster and Carilli. (2008). Is the Austrian Business Cycle Theory Still Relevant? Review of Austrian Economics , Vol. 21, no.4, pp. 271-281. https://doi.org/10.1007/s11138-008-0044-6 [ Links ]

Garrison, R. W. (2001). Tiempo y dinero. La Macroeconomía de la estructura del capital. Madrid: Union Editorial. [ Links ]

Hamilton, J.-D. (1994). Time series analysis. Princeton: Princeton University. [ Links ]

Hayek von F. (1929). La Teoría Monetaria y el Ciclo Económico. Madrid: Union Editorial . [ Links ]

Jukka Merinen. (2015). Austrian Business Cycle Theory Examination of Theory and Evidence. Finland: Aalto University. [ Links ]

Keeler, J. (2001). Empirical Evidence on the Austrian Business Cycle Theory. Review of Austrian Economics , Vol. 14, pp. 331-351. https://doi.org/10.1023/A:1011937230775 [ Links ]

León-León, J. (2002). Análisis crítico del planteamiento del problema de la neutralidad: Wicksell, Hayek y Patinkin. Análisis Económico, Vol. XVII, no. 46, pp. 107-142. [ Links ]

Luther and Cohen. (2014). An Empirical Analysis of the Austrian Business Cycle Theory. Atlantic EconomicJournal, 42(2), 153-169. https://doi.org/ 10.1007/s11293-014-9415-5 [ Links ]

Marcet A. and Ravn M. O. (2003). The H-P filter in Cross-Country Comparisons. UK: London Business School. [ Links ]

Menger, C. (1871). Principios de Economía Política. Madrid: Unión Editorial. 1997. [ Links ]

Mulligan, R. (2006). An Empirical Examination of Austrian Business Cycle Theor. The Quarterly Journal of Austrian Economics, pp. 69-93. [ Links ]

Rothbard, M. N. (2004). El Hombre, la Economía y el Estado. Un tratado sobre principios de economía. Buenos Aires: Eseade. [ Links ]

Von-Mises, L. (1936). Teoría del dinero y el crédito. Madrid: Aguilar. [ Links ]

Wainhouse, C. (1984). Empirical Evidence for Hayek’s Theory of Economic Fluctuations. In: Siegel, B. (ed.) Money in Crisis, pp. 37-71. San Francisco: Pacific Institute for Public Policy Research. [ Links ]

Wooldrige, J. M. (2001). Introducción a la Econometría. México: Thomson Learning. [ Links ]

2La tasa natural de interés se refiere al valor de “equilibrio” de la tasa real de interés. Cuyo valor depende, tanto del cálculo individual de los agentes ante el consumo, como de la condición de equilibrio en el mercado de fondos prestables. Es decir, para los empresarios representa el rendimiento real que esperan obtener de su inversión. Mientras que para los consumidores muestra las preferencias inter temporales entre consumo y ahorro. (León-León, 2002)

3El “efecto liquidez” se refiere a los cambios de preferencias respecto a la tenencia temporal de dinero en el presente o a futuro que provoca variaciones en la oferta de crédito impactando a su vez sobre el tipo de interés de mercado. Este tipo de efecto tiene una gran relevancia a la hora de realizar un pronóstico sobre la inflación futura y las necesidades de mantener efectivo (Mulligan, 2006).

4Una exposición completa relacionada con la teoría de la tasa de interés puede ser consultada en (Böhm-Bawerk, 1890)

5Entiéndase por “bienes de capital”: herramienta, equipo, fábricas, infraestructura, recursos humanos cuyo conjunto añaden complejidad a la producción de bienes que permite a su vez más y mejores empleos, mayores salarios y en general bienestar económico (Hayek von F., 1929).

6Este efecto establece que el impacto que un tipo de interés bajo tiene sobre el valor presente de los proyectos de inversión incrementa debido a que la temporalidad requerida para su conclusión es mayor (en este sentido, cuanto más alejada se encuentre una empresa del consumo final, mayor será su reacción a las variaciones del tipo de interés).

7Referente a la merma del valor subjetivo que una recompensa representa para un agente en función del tiempo transcurrido entre su adquisición y su consumo final (Wainhouse, 1984).

8Referente a la demanda de un bien derivada de los cambios en el precio de un bien relacionado (complementario o substituto) (Wainhouse, 1984).

9De acuerdo a la teoría austriaca el dinero es el medio general de intercambio entre bienes y ha evolucionado a partir del producto más vendible en el mercado, que provee al agente de facilidad para intercambiar bienes de consumo final.

10Esta forma de ecuación se toma a partir de los trabajos de Alonso, Bagus y Romero, (2013)

11La tendencia de cada uno de estos indicadores se obtiene a partir del uso del filtro Hodrick Prescott, con base en la metodología empleada por Marcet A. y Ravn M. O. (2003).

12El cálculo del coeficiente de suavizamiento λ empleado en el filtro se realiza a partir de los resultados de los trabajos de (Hamilton, 1994) y (Antón-Sarabia, 2009), quienes concluyen que para las variables mexicanas debe ser de 1,096.

13La totalidad de cálculos realizados se llevaron a cabo en EViews versión 11.

14La formalización de esta prueba se realiza a partir de la estimación de tres formas funcionales distintas: (1) Yt = α + ρYt-1, (2) Yt = α + βt + ρYt-1, (3) Yt = ρYt-1. Así la significancia de cada uno de sus componentes determine si se debe o no estimar de esta forma reforzando dicho proceso mediante el uso de los criterios Akaike y Schwartz (Wooldrige, J. M., 2001).

ANEXO

Cuadro 3 Análisis de raíz unitaria (estacionariedad) 

Variable Augmented Dickey-Fuller Durbin-Watson Phillips-Perron Kwiatkowski-Phillips-Schmidt-Shin Forma Funcional Raíz Unitaria
M -11.209
[-2.886]
(0.000)
1.999 -13.537
[-2.886]
(0.000)
0.075
[0.463]
Intercepto En niveles
DIF -9.446
[-2.886]
(0.000)
2.014 -9.527
[-2.886]
(0.000)
0.132
[0.463]
Intercepto En niveles
K1 -3.957
[-2.888]
(0.002)
2.025 -6.158
[-2.885]
(0.000)
0.087
[0.463]
Intercepto En niveles
K2 -3.625
[-2.888]
(0.006)
2.043 -8.856
[-2.885]
(0.000)
0.074
[0.463]
Intercepto En niveles
K3 -3.406
[-1.943]
(0.000)
N/A -10.247
[-1.943]
(0.000)
0.054
[0.463]
Sin intercepto En niveles
IPI -4.892
[-3.486]
(0.000)
2.101 -4.789
[-2.885]
(0.000)
0.252
[0.463]
Intercepto En niveles

Nota: los valores entre paréntesis refieren a la probabilidad de ocurrencia.

Nota (2): los valores entre corchetes refieren al valor crítico.

Nota (3): cuadro de elaboración y cálculo propio con datos de BANXICO y BIE.

En la interpretación de estos estadísticos (ADF y PP), los resultados deben ser lo suficientemente negativos (en contraste con el valor crítico mostrado en el coeficiente a 95% de confianza) como para rechazar la hipótesis nula en favor de la estacionariedad, en términos absolutos el valor del estadístico debe ser mayor al del valor crítico. Caso contrario aplica para el KPSS, donde el estadístico debe ser menor al valor crítico.

Cuadro 4 Criterios para el uso de rezagos 

REZAGOS Akaike Schwarz
1 -19.86055 -19.57725
2 -22.90713 -21.04535
3 -22.03411 -21.09792
4 -22.37284 -20.75241
5 -21.53212 -20.01747

Nota: elaboración y cálculo propio con datos de BANXICO y BIE.

Los criterios Akaike y Schwarz han situado al segundo rezago como el más eficiente. Dicha conclusión se respalda con los resultados de pruebas multivariadas que verifican al segundo rezago con el requerido para realizar la estimación.

Cuadro 5 Resultados de pruebas multivariadas* 

Ruido Blanco Prueba de normalidad
Rezago Pormanteau Ajustado Jarque-Bera Asimetria Kurtosis
2 160.842
(0.0000)
11.0058
(0.0041)
1.43997
(0.2301)
9.56585
(0.0020)

*La probabilidad se muestra entre paréntesis

Nota: cuadro de elaboración y cálculo propio con datos de BANXICO y BIE

Cuadro 6 Matriz de correlación* 

DIF M (2) K1 K2 K3 IPI
DIF 1.000
(0.0000007)
- - - - -
M (2) -0.137
(-0.0000048)
1.000
(0.0001136)
- - - -
K1 0.088
(0.00002)
0.168
(0.000179)
1.000
(0.00997)
- - -
K2 0.087
(0.0000003)
0.174
(0.000029)
-0.131
(-0.0002)
1.000
(0.0002)
- -
K3 -0.011
(-0.0000005)
0.338
(0.00006)
0.315
(0.00057)
0.314
(0.00009)
1.000
(0.00032)
-
IPI 0.275
(0.002)
-0.063
(-0.002376)
-0.212
(-0.07424)
0.480
(0.02697)
-0.367
(-0.0232)
1.000
(12.2542)

*En paréntesis se expresa la covarianza.

Nota: cuadro de elaboración y cálculo propio con datos de BANXICO y BIE.

Cuadro 7 Resultados de la estimación del VAR* 

DIF M (2) K1 K2 K3 IPI
DIF (-1) 0.086
(-0.101)
-0.412
(-0.387)
-9.292
(-3.628)
2.005
(-0.583)
-0.498
(-0.656)
496.3
(-127.1)
DIF (-2) 0.221
(-0.107)
-0.119
(-0.413)
-0.023
(-3.873)
-0.190
(-0.622)
-0.436
(-0.701)
59.49
(-135.7)
M (1) 0.092
(-0.027)
-0.293
(-0.104)
-2.31275
(-0.975)
-0.089
(-0.156)
-0.111
(-0.176)
-31.03
(-34.19)
M 0.084
(-0.029)
-0.082
(-0.113)
-0.320
(-1.05)
0.263
(-0.170)
-0.217
(-0.191)
72.23
(-37.14)
K1 (-1) 0.002
(-0.002)
0.032
(-0.008)
0.725
(-0.082)
-0.016
(-0.013)
0.013
(-0.014)
0.130
(-2.893)
K1 (-2) -0.004
(-0.002)
0.008
(-0.008)
-0.674
(-0.084)
0.037
(-0.013)
-0.040
(-0.015)
-3.440
(-2.950)
K2 (-1) -0.023
(-0.018)
-0.0000001
(-0.070)
-2.059
(-0.661)
0.709
(-0.106)
0.458
(-0.119)
45.057
(-23.189)
K2 (-2) -0.001
(-0.019)
0.095
(-0.074)
-0.013
(-0.701)
-0.167
(-0.112)
-0.182
(-0.126)
-52.49
(-24.58)
K3 (-1) 0.005
(-0.018)
0.093
(-0.069)
0.820
(-0.655)
-0.363
(-0.105)
-0.143
(-0.118)
16.842
(-22.98)
K3 (-2) -0.005
(-0.019)
-0.035
(-0.076)
0.799
(-0.715)
0.137
(-0.115)
0.047
(-0.129)
35.617
(-25.08)
IPI (-1) 0.00001
(-0.000)
0.0006
(-0.0009)
0.013
(-0.003)
-0.001
(-0.000)
-0.001
(-0.000)
0.372
(-0.115)
IPI (-2) 0.00001
(-0.00097)
-0.0005
(-0.0003)
-0.011
(-0.003)
-0.0003
(-0.0005)
0.00005
(-0.0006)
0.372
(-0.122)
C -0.002
(-0.008)
-0.019
(-0.031)
-0.216
(-0.295)
0.156
(-0.047)
0.125
(-0.053)
26.049
(-10.37)
R2 0.151
[0.002]
0.185
[0.010]
0.716
[0.099]
0.628
[0.016]
0.270
[0.018]
0.557
[3.500]

*Los valores entre paréntesis y corchetes representan el error estándar de cada coeficiente

Fuente: elaboración y cálculo propio con datos de BANXICO y BIE.

Cuadro 8 Prueba de Heterocedasticidad sobre Residuales VAR (términos cruzados) * 

Chi cuadrada Probabilidad
2033.455 0.0111

*La probabilidad menor a 0.05 implica no heterocedasticidad.

Fuente: cálculos propios con datos de BANXICO y BIE.

Recibido: 27 de Julio de 2021; Aprobado: 17 de Febrero de 2022; Publicado: 02 de Mayo de 2022

Creative Commons License Este es un artículo publicado en acceso abierto bajo una licencia Creative Commons