Introducción
El uso de plantas silvestres está, ampliamente, extendido en el mundo, mayormente en áreas no urbanas ubicadas dentro o en las cercanías de comunidades vegetales en las que la agricultura tradicional y los sistemas agroforestales son una práctica común (Bharucha y Pretty, 2010). El aprovechamiento de estas plantas en poblaciones silvestres se realiza in situ, pero también se recolectan o extraen, y llegan a ser fomentadas como un cultivo más, en huertos de traspatio, dando lugar al incremento de las plantas de interés (Casas, Viveros y Caballero, 1994; Lira et al., 2009). El subgénero Leptostemonum pertenece a las llamadas “solanáceas espinosas” (Levin, Myers y Bohs, 2006; Agra, 2007; Knapp, Vorontsova y Prohens, 2013), este grupo, al que también pertenece el cuatomate, tienen las características particulares que presenta espinas en diversos órganos de la planta. Al respecto Knapp (2009) menciona que Solanum glaucescens Zucc., se distribuye en México y que, probablemente, también sea una planta cultivada en Cuba. En el suroeste del estado de Puebla, denominada Mixteca Baja Poblana, el cuatomate resalta por su importancia cultural, económica y agroecológica y sobre todo como una planta de usos múltiples del bosque tropical caducifolio donde encuentra su hábitat natural (Martínez, López, Gil, y Cuevas, 2012). Esta también es objeto de protección dentro de este bosque, por ende, ha sido objeto de una selección de los mejores individuos (Martínez et al., 2012). De los frutos de estas plantas se extraen las semillas para ser cultivadas en sus huertos familiares, por lo que los pobladores saben con precisión en qué sitios de los cerros y barrancas circunvecinas se encuentran las plantas más prolíficas en frutos. Hay que señalar que el bosque tropical caducifolio es el segundo tipo de vegetación más importante del estado de Puebla; ocupa el 15.68 % de su superficie forestal (Conabio, 2011). Por otra parte, esta Solanácea forma parte de la vegetación natural; crece sobre los árboles que le dan soporte y sombra, donde, solamente en la época de lluvia, florece y fructifica (Figura 1).
De acuerdo con Ortiz et al. (2010)S. glaucescens es una especie en proceso de domesticación, ya que todavía, en algunas partes de Mixteca Poblana, el fruto se recolecta de plantas silvestres, dentro del bosque tropical caducifolio. Por otro lado, Pickersgill (2007), menciona que el grado de domesticación varía entre especies de un mismo cultivo. De acuerdo con Sánchez y García (2000) indican que, a pesar de la globalización de los mercados alimentarios, todavía se sigue la tradición en las comunidades de la región Mixteca Poblana, la selección y recolección de especies silvestres para el consumo. Mientras que Medina, Muñoz, Guzmán y Acereto, 2014 indican que el fruto tiene un alto valor nutritivo proteínico que va del 10.5 a 13.1 %, comparado con los frutos de Solanum torvum con 1.4 % (Mahapatra, Mishra, Basak y Panda, 2012). Por otro lado, Martínez et al. (2012) indican que el cuatomate (Solanum glaucescens Zucc.) es una planta útil con valor socioeconómico, con potencial alimenticio y además ecológico, que puede ser utilizada para repoblamiento forestal o en el establecimiento de sistemas agroforestales. Esto es al igual que especies silvestres del género Physalis como nuevas alternativas en la producción de cultivos (Valdivia, Rodríguez, Sánchez y Vargas, 2016). Herrera, Fischer y Chacón (2012) en evaluación de germoplasma de uchuva (Physalis peruviana L.) proveniente de la región andina del centro y nor-oriente de Colombia, concluyen que el peso y tamaño de fruto son componentes de la variabilidad. Mientras que Peña et al. (2010), en una evaluación de tres ecotipos de Physalis peruviana L., encontraron que la relación del peso fresco del fruto con el número de semillas es variable. En México se dispone de una gran diversidad genética de especies silvestres y de variedades regionales, que precisan ser estudiadas, rescatadas y preservadas, como es el caso del Cuatomate (Solanum glaucescens Zucc.) (Martínez de la Cruz et al. 2015). La caracterización del fruto nos permitirá resolver una parte del problema de la alimentación, ya que es un producto poco estudiado en el traspatio de la Mixteca Poblana. Por lo anterior, el objetivo de este trabajo fue evaluar las colectas del fruto maduro para la descripción de algunas características sobresalientes de interés agronómico, ya que actualmente son pocos o nulos los trabajos que hacen referencia a la descripción del fruto y manejo de la planta a nivel regional.
Metodología
Descripción del sitio de las colectas.
Las colectas de frutos de cuatomate (Solanum glaucescens Zucc.) se realizaron en octubre de 2014 en ocho municipios de la región de la Mixteca baja del estado de Puebla (Figura 2).

Fuente: Ruiz, 2018, con datos de Inegi, 2009.
Figura 2 Área de distribución natural de cuatomate (Solanum glaucescens Zucc.) en la región de la Mixteca de Puebla.
Las características de esta región, según la descripción agroclimática de Köppen (Köppen, 1900), impera un clima Aw´o; trópico seco con una precipitación de 600 a 700 mm anuales con lluvias en verano de corta duración de alrededor de cuatro a cinco meses, aproximadamente. Presenta prolongados periodos de sequía y limitada disponibilidad de agua, tanto para el consumo humano como para el desarrollo de la agricultura, con una temperatura media anual de 26 °C. Sin embargo, de acuerdo con Crespo (2005) la precipitación regional media anual puede alcanzar los 881.6 mm y la evapotranspiración potencial es 1465.7 mm, por lo que se presenta un breve periodo húmedo y también un corto periodo de crecimiento de la vegetación. La altitud de los sitios de las colectas osciló entre 1023 y 1182 metros sobre el nivel del mar.
Las plantas a las cuales se les cosechó el fruto, tenían entre cuatro y seis años de edad, según los dueños de los huertos, con una altura promedio de tres a cuatro metros. También se procedió a medir el área donde se localizaban las plantas con un flexómetro, para calcular el espacio del sistema de producción; además se les preguntó a los pobladores sobre algunos aspectos generales del manejo de la planta (labores culturales, tipo de fertilización y tipo de tutor), dentro de los huertos. Aparte las características de los frutos colectados a madurez fisiológica (Figura 3), se eligió de acuerdo con la época donde sólo existen mayormente frutos maduros, los cuales presentaban un color amarillo-naranja intenso (Gutiérrez, Medina, Ocampo, López y Pedraza, 2011). Además, se consideró firmeza del fruto, que no presentaran avanzada deshidratación, ni daños por aves o mamíferos, debido a que pudieran alterar los datos a tomar.
Diseño y unidad experimental
Se empleó un diseño completamente al azar con diez repeticiones, es decir, diez frutos por colecta, lo que dio un total de 80 frutos. Las variables evaluadas fueron: peso de fruto (PF; g), diámetro polar (DPOL; mm), diámetro ecuatorial (DECU; mm), longitud de pedúnculo (LPED; mm), ancho de pedúnculo a la base del fruto (APED; mm) y número de semillas por fruto (NUSE). A las cuales se les realizó el análisis de varianza (ANAVA), y comparación de medias con la prueba de Tukey (p≤ 0.05) con el paquete del Sistema Estadístico (SAS) versión 9.3 para Windows (SAS, 2006).
Resultados
Sistema de producción
En los sistemas agroforestales tradicionales o huertos de traspatio la mayoría de las plantas de cuatomate tenían junto a ellas un tutor vivo como limón (Citrus sinensis L.), naranja (Citrus limon L.) y anona (Annona Cherimola), mezquite (Prosopis laevigata) y huizache (Acacia farnesiana) que les proporcionan soporte y sombra a la vez (ver Tabla 1 más adelante). La diversificación productiva en el traspatio desempeña un rol trascendente, pues en un pequeño espacio de tierra se cultivan frecuentemente hortalizas, plantas medicinales y frutales, es decir, se trata de auténticos sistemas agroforestales, aunque en pequeña escala, puesto que además son acompañados por ganado menor (borregos, chivos, guajolotes, gallinas y cerdos), por lo que con estas prácticas se mantiene la diversidad genética (Álvarez, 2016). Los frutos objeto de estudio fueron cosechados de plantas que estaban sembradas en su mayoría en traspatios (Figura 4), corroborando lo dicho por Gutiérrez et al. (2008) que el cuatomate juega un papel relevante en la alimentación y eventual comercialización en mercados locales, ya que el fruto es de alto valor económico, alcanzando precios en el mercado local de 100 pesos el kilogramo, complementando el ingreso familiar de los productores y recolectores. Por lo que Salazar, Magaña y Latournerie (2015), menciona que el traspatio como un agroecosistema es uno de los más ricos y diversos que existen, tal cual ocurre en la Mixteca Poblana.
Tabla 1 Algunos aspectos relacionados con el cultivo del “cuatomate” (Solanum glaucescens Zucc.) en huertos de la Mixteca de Puebla.
| Municipio | Tipo de huerto | Superficie | Manejo de la planta | Tipo de fertilización | Tipo de tutor |
|---|---|---|---|---|---|
| Izúcar de Matamoros | Huerto de traspatio | 300 m2 | Ninguno | Ninguno | Guaje, Mezquite |
| Tehuitzingo | Parcela de riego | 1105 m2 | Podas | Ninguno | Guaje, limón, naranja |
| Chinantla | Huerto de traspatio | 256 m2 | Ninguno | Abono de chivo | Naranja y limón |
| Tulcingo | Parcela de Temporal | 476 m2 | Ninguno | Abono de res | Limón y neem |
| Chiautla de Tapia | Parcela Temporal | 200 m2 | Ninguno | Ninguno | Ciruela |
| Guadalupe Santa Ana | Huerto de traspatio | 175 m2 | Ninguno | Abono de chivo | Limón, naranja, anona |
| Acatlán de Osorio | Huerto de traspatio | 145 m2 | Raleos ocasionales | composta (hojarasca) | Mezquite, limón, guayaba |
| San Pedro | Huerto de traspatio | 245 m2 | Ninguno | Ninguno | Mango, guayaba, limón |
Fuente: elaboración propia, con datos de campo.

Fuente: Hernández, 2015.
Figura 4 Arboles usados como tutores vivos para Solanum glaucescens Zucc. a) Mezquite (Prosopis laevigata) y b) Anona (Annona cherimola).
Cabe mencionar que la parcela del municipio de Tehuitzingo, fue la que presentó mayor superficie (Tabla 1, más adelante), diferenciándose del resto en que tiene riego y se realizan podas a las plantas; también lo que coincide con Gutiérrez et al. (2008) para las dimensiones de los traspatios en la Mixteca de Puebla, cada unidad presenta entre 300 a 1000 m2. En esta parcela, el cuatomate fue sembrado mayormente junto a arboles de guaje (Leucaena leucocephala) para darle soporte a las mismas. El propósito de cosechar la vaina de ese árbol, es que las semillas del guaje, al igual que el fruto de cuatomate son usados, en la elaboración de salsas, agregados especialmente en verde (Figura 5), considerados como una delicia de la cocina tradicional poblana (Gómez, 2014).

Fuente: Hernández, 2015.
Figura 5 Frutos hervidos de cuatomate, junto con chile “chiltepín” Capsicum annum), ajo y sal, ingredientes que son usados para la elaboración de la salsa.
Agustín et al. (2017) mencionan que los arboles de Roseodendron donnell-smithii, son manejados en combinación con el cultivo del café (Coffea arabica L.), al igual que en otros sistemas tradicionales como los de Theobroma cacao L. (Triano, Palma, Lagunes, Salgado y Córdova, 2016).
Esta especie también tiene una gran importancia ecológica, ya que se observaron algunos mamíferos nocturnos consumiendo sus frutos maduros, como el tlacuache (Didelphis virginiana) y algunas aves silvestres como la calandria negra o amarilla (Icterus wagleri), el carpintero de cabeza roja (Melanerpes hypopolius) y alguacil o chismoso (Piaya Cayana), nombre común que le dan los pobladores a esta ave, por el comportamiento que tiene hacia la gente. Estas aves actúan, en su mayoría, como dispersores de las semillas de Solanum glaucescens Zucc., pues se alimentan de los frutos fisiológicamente maduros. En el caso de Solanum granulosoleprosum, las aves tienen gran atracción para consumir los frutos de esta especie, transportando la semilla a otros lugares (Cáceres y Moura, 2003). En otras solanáceas como el “chiltepin” (Capsicum annum), Ramírez, Villalón, Aguilar, Corona y Latournerie (2015), mencionan que es difícil su reproducción en áreas donde crece la vegetación nativa, sin embargo, prospera ayudado mayormente por aves, lo que favorece a su distribución y reproducción de esta especie.
Análisis de varianza
El análisis de varianza (ANAVA), mostró que para los caracteres peso de fruto, diámetro polar y ecuatorial de fruto, longitud y ancho de pedúnculo y número de semillas fueron significativamente diferentes entre colectas (p≤ 0.05); en la Tabla 2 se muestran los valores obtenidos para estas seis variables de fruto evaluados; cabe destacar que para el peso de fruto y número de semillas, los coeficientes de variación fueron los más altos con 22 y 25 % y los más bajos, para el diámetros polar y ecuatorial de fruto, alrededor del 8 y 7 por ciento.
Tabla 2 Análisis de varianza para seis caracteres de fruto de Cuatomate (Solanum glaucescens Zucc.), colectados en la región Mixteca de Puebla en 2014.
| F.V. | PF (g) | DPOL (mm) | DECU (mm) | LPED (mm) | APED (mm) | NUSE |
|---|---|---|---|---|---|---|
| G.L. col | 7 | 7 | 7 | 7 | 7 | 7 |
| S.C. col | 1941.901 | 1006.884 | 413.613 | 433.714 | 91.007 | 50438.150 |
| C.M. col | 277.414 | 143.840 | 59.087 | 61.959 | 13.001 | 7205.450 |
| S.C. error | 1674.064 | 568.195 | 470.923 | 337.980 | 81.575 | 110597.800 |
| C.M. error | 23.250 | 7.891 | 6.540 | 4.694 | 1.132 | 1536.080 |
| F cal. | 11.93* | 18.23* | 9.03* | 13.20* | 11.47* | 4.69* |
| C.V. | 22.630 | 8.194 | 7.186 | 9.746 | 9.452 | 25.653 |
F.V.: fuente de variación, G.L. col: grados de libertad de las colectas, S.C. col: suma de cuadrados de colectas, C.M. col: cuadrados medios de las colectas, S.C. error: suma de cuadrados del error, C.M. error: cuadrados medios del error, F cal.: F calculada, C.V.: coeficiente de variación, PF: peso fresco de fruto, DPOL: diámetro polar, DECU: diámetro ecuatorial, LPED: longitud de pedúnculo, APED: ancho de pedúnculo, NUSE: número de semillas*: significativo (p≤ 0.05). Fuente: elaboración propia, con datos de campo.
Peso de fruto
En la Figura 6, se observa que la colecta Izúcar de Matamoros mostró mayor peso promedio significativo con 30.94 g; seguida de Chinantla con 27.56 g; mientras que, en el caso de Acatlán de Osorio y San Pedro, mostraron pesos no significativos de 21.33 y 20.34 g, ambos fueron estadísticamente similares; el resto de las colectas mostraron promedios de peso de fruto menores y estadísticamente similares. Por su parte Chaves, Carrillo, Vera, Rodríguez y Lobato (2011), evaluaron 16 cruzas interpoblacionales entre tres materiales de tomatillo (Solanum lycopersicum var cerasiforme) en condiciones de invernadero, encontraron un peso promedio de 28.5 g de fruto de los progenitores. Los resultados fueron cercanos a los encontrados en Solanum glaucescens. Sin embargo, no concuerdan con lo reportado por Durán (2009) para la solanacea ochuva (Physalis peruviana L.) en frutos maduros, de los ecotipos Colombia, Kenia y Sudáfrica; los pesos fueron de 5, 6.2 y 6.8 g, que son menores comparados con los frutos de cuatomate. Por otra parte, en la región de la Mixteca se observa diversidad en cuanto a hojas y tallos en la planta de cuatomate, y algunas características de fruto inmaduro, pero los productores sólo identifican tres tipos con base en el color de este; verde, blanco y moteado (Gutiérrez et al., 2011).
Diámetro polar y ecuatorial de fruto
La comparación múltiple de medias hecha para diámetro polar de fruto de S. glaucescens mostró que la colecta Tehuitzingo, Chinantla, Tulcingo y Chiautla de Tapia, fueron estadísticamente similares, mientras que las colectas que presentaron mayor diámetro polar de fruto fueron Izúcar de Matamoros, San Pedro y Acatlán de Osorio, con un promedio de 38.42, 40.94 y 35.12 mm respectivamente (Figura 7). Con relación al diámetro ecuatorial de fruto, estos no mostraron diferencias estadísticas en las colectas realizadas en Tehuitzingo, Tulcingo, Chiautla de Tapia, Guadalupe Santa Ana, San Pedro y Acatlán de Osorio, sólo se observaron diferencias en Izúcar de Matamoros y Chinantla, con 40.6 y 36.6 mm respectivamente (Figura 8). El fruto es reconocido por presentar características de mayor tamaño y color verde obscuro en estado inmaduro, en lo sucesivo esta variable de diámetro polar y ecuatorial de fruto pueden ser utilizadas de forma acertada para futuras caracterizaciones de Solanum glaucescens, ya que pueden variar en los diferentes genotipos de cuatomate. Dottori y Cosa (2007) reportan para Solanum palinacanthum que su tamaño varía entre 34 a 40 mm de diámetro en la parte media, en estado más avanzado de madurez, cuando el fruto es inmaduro mide de 20 a 22 mm de diámetro, para el caso del diámetro ecuatorial de fruto maduro, son similares, a los reportados en esta especie para el caso de S. glaucescens.

Fuente: elaboración propia, con base en resultados.
Figura 7 Diámetro polar de fruto de ocho colectas de cuatomate (Solanum glaucescens Zucc.), realizadas en la Mixteca Poblana en 2014; diferencia honesta significativa (DHS), (Tukey p≤ 0.05): 4.5 mm.
Longitud y ancho de pedúnculo
La colecta Chinantla fue la que presentó mayor longitud de pedúnculo con 27.2 mm, le siguieron Guadalupe Santa Ana y Acatlán de Osorio con 23.1 y 23.0 mm, pero no fueron significativas entre ellas; Tehuitzingo, Tulcingo, Chiautla de Tapia, San Pedro, fueron estadísticamente similares para esta variable evaluada; en cambio, Izúcar de Matamoros, fue la que presentó menor longitud de pedúnculo con 18.6 mm (Figura 9).

Fuente: elaboración propia, con base en resultados.
Figura 9 Longitud de pedúnculo de fruto de ocho colectas de “Cuatomate” (Solanum glaucescens Zucc.), realizadas en la Mixteca Poblana en 2014; diferencia honesta significativa (DHS), (Tukey p≤ 0.05): 3.4859 mm.
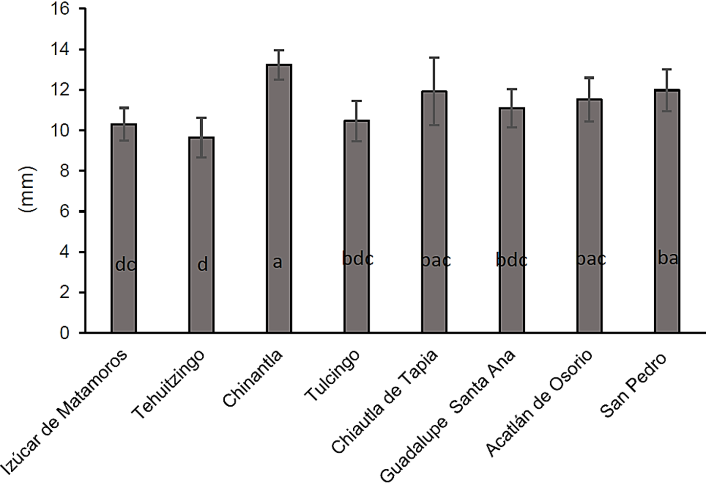
Con relación al ancho de pedúnculo del fruto, la colecta de Chinantla fue la que presentó mayor valor con 13.2 mm, seguido de San Pedro con 11.97 mm; las que presentaron valores similares en ancho de pedúnculo fueron Chiautla de Tapia y Acatlán de Osorio, con 11.9 y 11.6 mm, otros como Guadalupe Santa Ana y Tulcingo se observaron con 11.1 y 10.4 mm, el resto de las colectas que mostraron menor anchura de pedúnculo fueron, Izúcar de Matamoros y Tehuitzingo con 10.3 y 9.6 mm para esta variable evaluada (Figura 10). Estos valores son menores a los obtenidos por Vargas (1998) en la región de la Mixteca, encontró que la longitud del pedúnculo del fruto varío de 15.7 a 28.1 mm y con un promedio de 19.5 mm considerado como largo. El diámetro del pedúnculo oscilo entre 1.2 y 2.5 mm en la parte media, ensanchándose hacia la base del fruto, donde llega a medir hasta 8 mm de longitud. Mientras que Chiarini y Mentz (2012) en la caracterización de Solanum sect. Acanthophora encontraron una longitud de pedúnculo de fruto que osciló entre 25.0 a 50.0 mm, por lo que longitudes del pedúnculo de Solanum glaucescens Zucc., comparada con esta solanácea fueron menores. Por otra parte, Benítez de Rojas, Nee y Rodríguez (2011) encontraron en las montañas Andinas de América del sur, para Solanum uncinellum una longitud de pedúnculo del fruto de 1-17 mm, por lo que las colectas de Solanum glaucescens Zucc., obtenidas en nuestro trabajo presentaron pedúnculos más largos. La mayoría de los productores y recolectores de cuatomate lo cosechan con todo y pedúnculo para su venta en los mercados regionales de la Mixteca Poblana; por lo general estos se encuentran a grandes distancias de los sitios de producción. De acuerdo con Feicán, Encalada y Becerril (2016) indican, que cuando los centros de comercialización están alejados para la venta de frutos de Solanum betaceum Cav., es necesario que sean cosechados a media madurez con su pedúnculo para impedir su deshidratación y la entrada de hongos en la base de este; además de darle un buen aspecto al exhibirlo al público.
Número de semillas
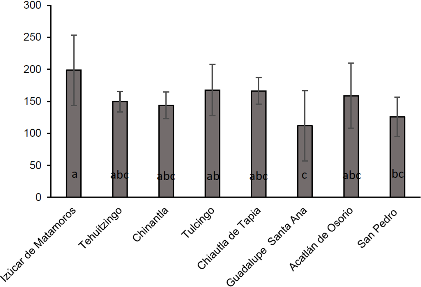
En la comparación de medias para el fruto de la colecta Izúcar de Matamoros, fue la que presentó mayor número de semillas con 194, seguido de las colectas Tulcingo, Chiautla de Tapia y Acatlán de Osorio, con 168, 160 y 159 semillas respectivamente; las que presentaron menor número de semillas fueron Guadalupe Santa Ana y San Pedro con 112 y 125; las de Tehuitzingo y Chinantla presentaron estadísticamente similar número de semillas con 145 y 144 (Figura 11). Estos resultados son diferentes a los mostrados por Vargas (1998) que encontró un promedio de 108 semillas extraídas del interior de 21 frutos muestreados. No obstante, Duran encontró mayor cantidad de semillas en Physalis peruviana L., que va de 250 a 320 semillas por fruto, presentando mayor número que Solanum glaucescens Zucc. A pesar de esto Kumar, Kaul, Bhan, Khanna y Suri (2007), para otra solanácea como: Withania somnifera L., recolectada en diferentes partes de la India, encontraron de 21 a 41 semillas por fruto, siendo menores a las colectas evaluadas en la Mixteca. Por su parte, Martins, Vilela, Guimarães, Gomes y Silva (2012) señalan que la obtención de semillas es importante, y su recolección debe ser cuando estas alcanzan su madurez fisiológica. Estos indicadores ayudan a la descripción de esta variable para facilitar su propagación y evitar pérdidas. Por otro lado, Gutiérrez, et al. (2011) indican que el 82.3 % de los campesinos que cultivan cuatomate (Solanum glaucescens Zucc.) en la Mixteca Poblana, lo propagan por medio de semilla, por lo que Izúcar de Matamoros y Tulcingo, son una buena opción de colectas para su reproducción por vía sexual.
Conclusiones
En las variables evaluadas, destacó la colecta Izúcar de Matamoros por su peso, diámetro polar y ecuatorial del fruto, así como también en el número de semillas por fruto; sin embargo, la longitud y ancho de pedúnculo fueron menores. Chinantla fue la segunda colecta que mostró mayor peso y diámetro ecuatorial de fruto; no obstante, el diámetro polar fue similar a la de Tehuitzingo, Tulcingo y Chiautla de Tapia; a pesar de esto, Chinantla fue de la que mayor longitud y ancho de pedúnculo mostró de todas las colectas. Ésta presentó similitud en el número de semillas con Tehuitzingo, Chiautla de Tapia y Acatlán de Osorio, pero diferente a Tulcingo. No obstante, el fruto es de gran importancia social, económica y ecológica, además es utilizado como alimento y en la propagación sexual en los traspatios de la región Mixteca de Puebla.
Es recomendable seguir en esta línea de investigación para precisar más la información obtenida en evaluación de colectas, con características agronómicas sobresalientes de la planta y fruto; y estudiar otras variables de importancia genética y económica.










nueva página del texto (beta)









