Introducción
El yodo es un elemento esencial para los seres humanos, su deficiencia puede causar hipotiroidismo, anomalías congénitas, cretinismo, entre otros; por lo que, según algunas estimaciones, afectan alrededor de dos mil millones de personas (Benoist et al. 2008). Los niveles diarios recomendados de ingesta de yodo son 90 µg para niños en edad preescolar (0 a 59 meses), 120 µg para niños de 6 a 12 años, 150 µg para adultos mayores de 12 años y 200 µg para mujeres embarazadas y lactantes, según la Organización Mundial de la Salud (OMS) y el Consejo Internacional para el Control de los Trastornos por Deficiencia de Yodo (OMS/UNICEF/ICCIDD 2007). Una iniciativa mundial en 1920, condujo a la yodación universal de la sal de mesa, lo que originó un aumento significativo en la ingesta de yodo. Desafortunadamente, las sales de yodo inorgánico tienen la desventaja de que hasta un 20% puede perderse a través de la volatilización, además de los porcentajes que se pierden según el tipo de cocción utilizada (Longvah et al. 2012). La OMS recomienda que el consumo de sal no supere los 5 g por día, equivalente a más de 2 g de sodio por día, ya que el alto consumo de sal combinado con una ingesta insuficiente de potasio (<3.5 g por día) puede provocar presión arterial alta. Debido a eso, la OMS tiene como objetivo reducir la ingesta de sal en un 30% en la población mundial para 2025 (Fernández et al. 2018). Por este motivo, son necesarias alternativas para la ingesta adecuada de yodo y reducir el consumo de sal (Parniakov et al. 2020).
La suplementación con yodo de los alimentos o la biofortificación de alimentos de origen vegetal es una alternativa para mantener la ingesta de yodo y reducir el consumo de sal de mesa. La ventaja de la biofortificación es que el yodo se encuentra en formas orgánicas que tienen mayor biodisponibilidad y estabilidad contra la volatilización que las formas de sal inorgánica; otra ventaja de la biofortificación es que se puede aplicar a cultivos de consumo frecuente o tradicionales en ciertas regiones (Medrano et al. 2016a).
Las plantas absorben y acumulan yodo, produciendo en la planta reacciones bioquímicas, principalmente induciendo estrés oxidativo (Medrano et al. 2016b). El yodo no se considera actualmente como nutriente esencial para las plantas (Krzepiłko et al. 2021); sin embargo, juega un papel importante en el metabolismo de las algas (Küpper et al. 1998). En plantas de melón, la biofortificación con diferentes dosis de yoduro (I−) y yodato (IO3− ) causan cambios en la biomasa, la actividad enzimática y la actividad antioxidante; lo que sugiere que podrían causar toxicidad en las plantas (Leyva et al. 2011). Algunos estudios han encontrado que las aplicaciones foliares de yodo son más efectivas que las aplicaciones en el suelo (Lawson et al. 2015). Así como, que el yodo se absorbe mejor cuando se suministra directamente en las raíces mediante cultivo hidropónico, ya que el yodo es capaz de movilizarse a través del floema (Krzepiłko et al. 2021). Sin embargo, la aplicación de yodo puede afectar las concentraciones finales de yodo en las partes comestibles de las plantas, incluyendo a los frutos, cuyo efecto poscosecha o de almacenamiento merecen ser estudiados (Kiferle et al. 2013).
Por su parte, el quitosán (CS) es un polímero biológico que posee una amplia variedad de propiedades, incluyendo la elicitación vegetal, ya que induce la producción de fitoalexinas; protege a las plantas de enfermedades patógenas, ya que inhibe el crecimiento microbiano y participa en la síntesis de alcaloides y reguladores del crecimiento vegetal (Xing et al. 2015). También es biodegradable, biocompatible, induce varios genes de defensa vegetal e induce inhibidores de la proteinasa (Riseh et al. 2022). Con base en lo anterior, el objetivo principal de este trabajo se enfocó en el efecto poscosecha, tanto en la calidad visual como el contenido nutraceútico y antioxidante de frutos de melón desarrollados bajo tratamientos foliares con complejos de quitosán yodados para su biofortificación.
Materiales y métodos
Preparación de las sales yodadas y los complejos de quitosán yodados (CS-KI y CS-KIO3)
El complejo de quitosán-yoduro (CS-KI) y el complejo de quitosán-yodato CS-KIO3 se prepararon en el Centro de Investigación en Química Aplicada (CIQA). El quitosán (poli-D-glucosamina, CS) utilizado tiene un peso molecular viscosimétrico de 420 000 g mol-1 y un grado de desacetilación del 82% (marca Golden Shell, China). Primero, se preparó una solución de CS al 1% en ácido acético (AcOH, 1%) agregando el CS poco a poco durante 3 h, agitando a 300 rpm hasta disolverse por completo, a una temperatura de 60-65 °C. La solución resultante se filtró y se ajustó a 1 L, para su posterior uso como control.
Para los tratamientos con sales yodadas se prepararon soluciones de yoduro de potasio (KI) 0.1 M y yodato de potasio (KIO3) 0.1 M en agua desionizada de las cuales se utilizaron dosis de 5 y 25 mg L-1. Los complejos yodados se elaboraron disolviendo en la solución de CS al 1% la cantidad necesaria de cada solución de KI o KIO3 para obtener complejos de quitosán con 5 y 25 mg g-1 del ión correspondiente.
Material vegetal y tratamientos aplicados
El trabajo experimental se realizó de junio a septiembre de 2021, en un lote de 2 000 m2 en el campo experimental del CIQA ubicado en Ramos Arizpe, Coahuila, México con coordenadas 25° 39’ 16” LN, 101°06’ 46” LO. Las semillas de melón (Cucumis melo) utilizadas son de la variedad ‘Sweet sunrise’ de Syngenta, las cuales se sembraron de forma directa en condiciones de campo abierto. El marco de plantación de siembra fue a una distancia de 50 cm entre plantas y 2 m entre hileras: Se instaló un sistema de riego por goteo con cinta de riego; para el acolchado del suelo se utilizó un plástico de polietileno negro calibre 80. Los riegos se llevaron a cabo con solución nutritiva Steiner (1961) al 50% hasta la etapa de floración y se aumentó progresivamente al 100% hasta la cosecha. El gasto por gotero fue de 1.5 L h-1, la conductividad eléctrica de la solución nutritiva fue de 3.5 dS m-1 y un pH 6.3. Cuando la planta tenía seis hojas verdaderas se realizó la primera aplicación de los tratamientos en el tallo y hojas mediante aspersión, posteriormente se aplicaron a los 25, 45 y 65 días después del trasplante. Los 10 tratamientos aplicados fueron T0.-Testigo absoluto (sin aplicación de yodo), Tcontrol.- quitosán al 1%, T1.- KI 5 mg, T2.- KI 25 mg. T3.- KIO3 5 mg, T4.- KIO3 25 mg, T5.- CS-KI 5 mg, T6.- CS-KI 25 mg, T7.- CS-KIO3 5mg y T8.- CS KIO3 25 mg. En este trabajo, los frutos Testigo corresponden al grupo de plantas a las cuales se les aplicó el mismo manejo agronómico (fertirriego y manejos culturales) pero sin ninguna dosis de yodo. El corte de los frutos de melón fue a los 85 días después de siembra cuando el fruto presentaba signos de maduración (formación de la red), los frutos para analizar fueron tomados al azar (cuando se desprendían fácilmente del pedúnculo de acuerdo con los criterios de la USDA). Los frutos fueron transportados el mismo día al laboratorio, se lavaron con agua corriente y jabón comercial para eliminar la contaminación de campo, se colocaron sobre papel absorbente. Posteriormente, los frutos correspondientes al tiempo cero de almacenamiento se procesaron y los demás se almacenaron en una cámara climática tipo Phytotron (1 500 L, Equitec) para obtener muestras a los 5, 10 y 15 días.
Calidad visual y deshidratación
Se emplearon escalas arbitrarias (Figura 1) considerando del 1 al 5, donde 1 es la calidad o deshidratación visual sin daño, 3 es el límite comercial permisible y 5 es la calidad visual o deshidratación extrema. Basados en los principales atributos de la apariencia del fruto completo durante la poscosecha.
Carotenos
Se obtuvo el jugo de cada fruto considerando como unidad experimental un fruto por triplicado para cada tratamiento a los días de almacenamiento, donde inmediatamente después de obtener el jugo este fue criogenizado con nitrógeno líquido. Se emplearon 2 mL de jugo y se le adicionaron 10 mL de acetona al 100%, se dejan reposar por 24 h protegido de la luz, enseguida se homogeniza para centrifugarlos a 3 000 rpm por 5 min. La muestra se lavó con 10 mL de acetona en tres ocasiones. Luego se adicionaron 30 mL de éter de petróleo y se homogeniza, en seguida se adicionaron 50 mL de agua destilada, se homogeniza nuevamente y se dejan separar las dos fases, repitiendo en dos ocasiones. Se agregaron 10 mL de NaOH al 40% se mezcla y adicionan 5 mL de sulfato de sodio anhidro al 10%. Como blanco se empleó éter de petróleo para determinar el contenido de carotenoides totales espectrofotométricamente a 454 nm (Vera-Vázquez et al. 2021).
Vitamina C
El contenido de vitamina C se evaluó por titulación con 2,6 dicloroindofenol (AOAC 1971) en el jugo de los frutos. Se pesaron 10 g de fruto fresco y se maceraron en un mortero con 10 mL de HCl al 2%, después se filtra a través de una gasa absorbente estéril y se afora a 100 mL. Luego se tomó una alícuota de 10 mL y se titula con 2,6 dicloroindofenol hasta obtener una coloración rosácea persistente. Los resultados se expresan en mg 100 mL-1 de peso fresco.
Compuestos fenólicos totales
Se detectaron usando la técnica descrita por Singleton y Rossi (1965) con el reactivo de Folin-Ciocalteau reportando los datos con base en una curva patrón de ácido gálico.
Capacidad antioxidante
La capacidad antioxidante se determinó según el método de Brand-Williams et al. (1995) macerando 0.5 g de fruto fresco en 5 mL de metanol (Meyer Reagents, México). La mezcla obtenida se centrifugó a 6 000 rpm durante 10 min, recuperando el sobrenadante. Posteriormente, se colocaron 250 µL del sobrenadante y se agregaron 750 µL de 2,2-di-fenil-1-picrilhidrazil (DPPH) (Merck, México). La mezcla se incubó en la oscuridad a 25 ± 3 °C durante 30 min y se leyó su absorbancia a 517 nm en un espectrómetro Genesys 10S UV-VIS (Thermo Scientific, EE. UU.). Los resultados se expresaron como µmoles equivalentes de ácido gálico por mL de jugo con ayuda de una curva patrón de ácido gálico.
Resultados
Calidad visual y deshidratación
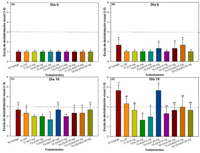
Los resultados de la calidad visual total (Figura 1) de los frutos de melón no mostraron diferencias significativas entre tratamientos a lo largo de todo el periodo de almacenamiento (p = 0.753). Durante los primeros 5 días de almacenamiento, tampoco se observaron diferencias significativas entre tratamientos (Figuras 2a-2c), por lo que al analizar la diferencia entre tratamientos por día de almacenamiento, sólo se observaron diferencias al día 15 (final del almacenamiento) (Figura 2d). En el día 15, los frutos del Testigo (T0), el tratamiento control con quitosán al 1% (Tc) y con KIO3 25 mg (T4), ya no muestran calidad suficiente para ser comercializados. Para el resto de los tratamientos, los frutos se encuentran en el límite establecido para su comercialización, mientras que los frutos tratados con T2.- KI 25 mg son los únicos que aún muestran una buena calidad para su comercialización a los 15 días de almacenamiento a 25 °C (Figura 2d). Lo que indicaría que este tratamiento aplicado durante el desarrollo del cultivo, genera que el fruto tenga una mayor vida de anaquel.

Figura 2 Calidad visual mediante escalas arbitrarias (1-5) de melón tratado con sales yodadas y complejos de quitosán yodados a diferentes días de almacenamiento a 25 °C. 1.-calidad visual sin daño y 5.-calidad visual extrema. La línea punteada indica el límite comercial permisible.
Similar a lo observado en la calidad visual, al analizar la presencia de síntomas de deshidratación de los frutos de melón (Figura 3), donde no se observaron diferencias significativas (p = 0.292) entre tratamientos durante el almacenamiento, pero es posible observar que, a partir de los 5 días de almacenamiento empieza la deshidratación en los frutos de cuatro tratamientos (T0.-Testigo, T4.- KIO3 25 mg, T6.- CS-KI 25 mg y T7.- CS-KIO3 5 mg) (Figura 3b). Para el día 10 de almacenamiento, seis tratamientos se encontraban en el límite establecido como la máxima deshidratación para poder ser comercializados (T0.-Testigo, Tc.- quitosán, T4.- KIO3 25 mg, T6.- CS-KI 25 mg, T7.- CS-KIO3 5 mg y T8.- CS KIO3 25 mg), aunque el estadístico no indica diferencias entre los tratamientos (Figura 3c). Al día 15, sólo el tratamiento T2.- KI 25 mg se mantenía por debajo del límite permisible, por lo que visualmente son los frutos que presentaron la menor deshidratación durante todo el almacenamiento a 25 °C (Figura 3d); corroborando que este tratamiento permitió que los frutos de melón mantuvieran su calidad durante la poscosecha.
Carotenos
La aplicación de los complejos de quitosán yodados CS-KI y CS-KIO3 modifican positivamente el contenido de carotenos en el día 10 y 15 comparados con el control (Figura 4a). No se observaron diferencias significativas entre tratamientos considerando todo el periodo de almacenamiento (p = 0.752). Pero, al analizar por día, desde el día cero los frutos presentaron diferencias por efecto de los tratamientos durante el desarrollo de la planta, siendo el tratamiento KIO3 25 mg (T4) el que generó el menor contenido de carotenos en los frutos de melón. Al día 5, no se observó diferencia significativa entre tratamientos (Figura 4b), pero si una tendencia a disminuir el contenido de carotenos en algunos tratamientos (T0.-testigo, T1.-KI 5 mg, T5.-CS-KI 5 mg, T6.- CS-KI 25 mg, T7.- CS-KIO3 5 mg y T8.- CS- KIO3 25 mg) mientras que en el resto se mantienen. En los frutos de los tratamientos T0, KI 5 mg (T1), CS-KI 5 mg (T5), CS-KI 25 mg (T6) y CS-KIO3 5 mg (T7), durante 5 días de almacenamiento a 25 °C, perdieron cerca del 50% del contenido de carotenos. Al día 10, pierden nuevamente el 50% del contenido de carotenos en comparación con el día 5 y, finalmente, se mantienen cercanos a los 200 mg 100 mL-1; siendo los frutos que más perdieron carotenos durante el almacenamiento (Figura 4c). Para el día 10, se observa el menor contenido de carotenos para todos los frutos de los diferentes tratamientos, pudiendo ser un día crítico para la “sobrevivencia” de los frutos y/o el periodo máximo de oxidación de los carotenos. Para el día 15 (Figura 4d), el contenido de carotenos es mayor que el de los frutos procesados al día 10 de almacenamiento.
Vitamina C
El contenido de vitamina C fue positivamente modificado por la aplicación de KIO3 5 mg (T3) y el complejo de quitosán yodado CS-KIO3 25 mg (T8) en el día cero (Figura 5a); para el día cinco el CS- KIO3 25 mg (T8) aumento el contenido de vitamina C (Figura 5b), además la mayoría de los tratamientos respondieron de manera positiva en los días 10 y 15 (Figuras 5c y 5d). En cuanto al contenido de vitamina C, este parámetro si muestra diferencias significativas (p < 0.001) entre tratamientos, siendo el tratamiento con CS-KIO3 25 mg (T8) donde se presentó el mayor contenido de vitamina C (50.48 g 100 mL-1) durante los 15 días de almacenamiento a 25 °C. Los frutos tratados con el control (Tc), KI 5 mg (T1), KI 25 mg (T2), KIO3 25 mg (T4) y CS-KI 5 mg (T5) son los que presentaron el menor contenido de vitamina C durante el mismo periodo y en las mismas condiciones. Desde el día cero se observaron diferencias en el contenido de vitamina C por efecto de los tratamientos aplicados en campo, siendo los tratamientos KIO3 5 mg (T3) y CS-KIO3 25 mg (T8) los del mayor contenido inicial. Para el día 5, sólo el tratamiento CS-KIO3 25 mg (T8) permitió mantener este valor alto, mientras que KI 25 mg (T2) perdió mucha vitamina C (Figura 5d). En el día 10, se observa un incremento en el contenido de esta vitamina principalmente en KI 25 mg (T2) y CS-KIO3 5 mg (T7), seguido de CS-KI 5 mg (T5) y CS-KIO3 25 mg (T6), mientras que en el resto de los tratamientos se mantiene (Figura 5c). Al final del almacenamiento, los frutos de los tratamientos que mantuvieron constante el contenido de vitamina C durante los primeros 10 días de almacenamiento, comenzaron a incrementar este y los frutos que empezaron el aumento de la vitamina C de manera anticipada a estos últimos, para el día 15 disminuyeron el contenido de vitamina C (Figura 5d). Sólo con el tratamiento CS-KIO3 25 mg (T8), el contenido de vitamina C se mantuvo estable durante todo el almacenamiento.
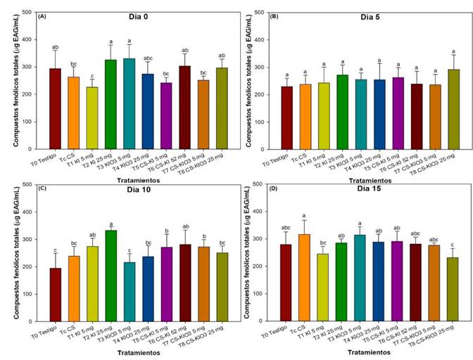
Compuestos fenólicos
En la Figura 6, se puede observar que a los 0, 5, 10 y 15 días, los efectos de las sales yodadas y los complejos de quitosán yodados sobre el contenido de los compuestos fenólicos en los frutos de melón, prácticamente no se modifican a través del tiempo, lo cual condujo a no obtener diferencias significativas entre los tratamientos. En general, la presencia o ausencia de CS, junto con cualquiera de las sales de yodo, tuvo poco o ningún efecto sobre el contenido de los compuestos fenólicos.
Capacidad antioxidante total
La aplicación de KI 5 mg (T2) aumenta la capacidad antioxidante total y disminuyen considerablemente con forme pasa el tiempo (Figura 7). La actividad de enzimática fue modificada por los tratamientos con KI donde se incrementó la capacidad antioxidante total, por otro lado, los complejos de quitosán podrían incrementar la absorción de yodo en el fruto. La capacidad antioxidante muestra diferencias significativas (p < 0.001) entre tratamientos considerando todo el periodo de almacenamiento. Los frutos de los tratamientos testigo (T0), KI 5 mg (T1) y CS-KIO3 5 mg (T7) son los que presentaron la mayor capacidad antioxidante (capacidad para neutralizar radicales libres) durante todo el almacenamiento. Los frutos tratados con Tc, KIO3 25 mg (T4) y CS-KIO3 5 mg (T8) son lo de la menor capacidad antioxidante durante el mismo periodo y condiciones de almacenamiento. Desde el día 0, se pueden observar diferencias entre tratamientos, siendo KI 5 mg (T1) el de la mayor capacidad antioxidante y CS-KIO3 5 mg (T8) el de menor. En el día 5 y 10 de almacenamiento, se observan las mayores fluctuaciones de la capacidad antioxidante entre los diferentes tratamientos, con una tendencia a disminuir en la mayoría de los tratamientos al día 10, a excepción de KI 25 mg (T2) y CS-KIO3 5 mg (T7). Para el día 15, la capacidad antioxidante de todos los tratamientos se mantiene en un rango de 40-60 µmol EAG mL-1 (Figura 7d).
Discusión
La calidad visual de los frutos es muy importante debido a que forman parte de la decisión final del consumidor para la adquisición de los productos, cada una de las características se modificaran dependiendo del producto y de la variedad. En el caso particular del melón, se busca que éste se encuentre libre de daños mecánicos o presencia de microorganismos y con el paso del tiempo de almacenamiento, se busca que los frutos no presenten deshidratación u oxidación de los tejidos. La calidad visual (externa) del melón, además de ser importante para la decisión de compra también es un indicador de la vida útil poscosecha; entre mejor apariencia su vida útil es mayor (Véras et al. 2019).
Además de una buena apariencia externa, el color de la pulpa de melón es muy atractiva para el consumidor, siendo los carotenos los principales compuestos que le otorgan su coloración. En este proyecto, el menor contenido de carotenos para todos los frutos de los diferentes tratamientos al final del almacenamiento, se debe a la “sobrevivencia” de los frutos y/o el periodo máximo de oxidación de los carotenos; ya que se oxidan fácilmente una vez que se genera el rompimiento de las células vegetales, lo que está dado por la acción de algunas enzimas como las lipooxigenasas (Goncalves et al. 2019). Por su parte, Cabillo y Salas (2023) observaron el incremento del contenido de carotenoides en frutos de melón por acción de la aplicación de nutrientes inorgánicos. Mientras que Sylwester et al. (2016) emplearon fertilización mediante combinaciones con yodo (KI y KIO3) en el cultivo de zanahoria, donde se observó un aumento en el contenido de glucosa, fructosa, sacarosa y azúcares totales, lo cual se relaciona con un contenido significativamente mayor en carotenos. La aplicación de potasio en el fruto activa la síntesis de proteínas y enzimas que están asociadas con la formación de la acetilcoenzima A, que es la molécula implicada en la biosíntesis del isopentenil difosato (Li et al. 2023); siendo este último muy importante para la biosíntesis de los carotenos y que se encuentra en los complejos yodados aplicados. Por otro lado, aunque se conoce poco sobre los mecanismos de toxicidad o transporte de yodo dentro de las plantas, sin embargo, se sabe que la toxicidad es una consecuencia de la oxidación intracelular o la pérdida de electrones convirtiéndolo en yodo molecular, que puede unirse a componentes celulares incluyendo los carotenos (Dai et al. 2004). En este sentido, en el presente estudio las dosis aplicadas de yoduro y yodato no causaron cambios en el contenido de carotenos en comparación con los controles en los frutos de melón, lo que concuerda con lo publicado por Gil et al. (2010) donde reportan que el yoduro y el yodato de potasio no inhiben la síntesis de carotenos, pero se sabe que reducen la actividad fotosintética. Al parecer las dosis de yoduro y yodato utilizadas en este estudio, ayudaron a mantener estable el contenido de carotenos en el fruto del melón.
La vitamina C es un antioxidante importante en el ciclo glutatión/ascorbato, además, se consume durante el ciclo de Krebs para poder obtener el ATP que el fruto requiere para “mantenerse vivo” por más tiempo (Biswas et al. 2016). Por lo tanto, son comunes las fluctuaciones en el contenido de vitamina C en los frutos durante su almacenamiento, las cuales dependen de si el fruto se encuentra protegiéndose del estrés oxidativo causado por la propia senescencia o si está generando energía para otras actividades metabólicas. En los frutos de melón, el contenido de vitamina C puede verse multiplicado incrementándose debido a la nutrición o fertilización (de Goes et al. 2023). Similar a lo indicado por Cabillo y Salas (2023) quienes indican que el uso de nutrientes inorgánicos incrementa el contenido de vitamina C en frutos de melón.
Los cambios en las concentraciones de fenoles en los frutos de melón pueden deberse a la misma senescencia y estrés oxidativo generados durante el almacenamiento; ya que no se aprecia la pérdida de estos compuestos en el fruto de melón por efecto de los tratamientos con yodo. En este estudio se encontró un aumento en los fenoles con la aplicación de los tratamientos con complejos yodados, en comparación con los controles absolutos. La acción de los fenoles podría haber impedido potencialmente la oxidación del yodo, lo que podría ser la razón por la que se observaron aumentos en los fenoles. Mientras que García-Villela et al., (2020) indican que los tratamientos de fertilización durante el desarrollo de los cultivos dan como resultado el incremento en la composición nutraceútica de los frutos de melón, donde el contenido de compuestos fenólicos incrementa de manera considerable. Sobre lo mismo Bileva et al. (2020) observaron también un incremento en el contenido de compuestos fenólicos en frutos de melón por efecto de la fertilización orgánica en los cultivos. Sin embargo, no se encontraron resultados sobre el efecto del yodo durante el desarrollo de los cultivos y su efecto en la poscosecha de melón.
Generalmente, los compuestos fenólicos son los que aportan una mayor capacidad antioxidante, sin embargo, la capacidad antioxidante depende de la sinergia entre antioxidantes (vitaminas, pigmentos, enzimas antioxidantes, glutatión, entre otras) y su disponibilidad (Sharma et al. 2020). Los antioxidantes encabezan la primera línea de defensa de la actividad enzimática y su correlación con fenoles (Ramos et al. 2010). Algunos autores han reportado aumentos en la actividad enzimática antioxidante después de la biofortificación con yodo (Blasco et al. 2011). En el cultivo de lechuga sin suelo, la enzima superóxido dismutasa (SOD) se redujo después de la aplicación de I− a 20, 40 y 80 µM, mientras que al aplicar IO3− en dosis superiores a 40 µM aumenta (Ramos et al. 2010) La actividad de la enzima ascorbato peroxidasa (APX) aumentó con IO3− al aplicarlo a cualquier dosis, mientras que la actividad de la enzima catalasa (CAT) también aumentó al aplicar IO3 −, alcanzando su valor máximo con dosis de IO3 − ≥80 µM (Blasco et al. 2013). Las plantas han desarrollado varios sistemas antioxidantes para ayudarlas a evitar el daño del estrés oxidativo, uno de esos sistemas involucra a las enzimas antioxidantes como SOD, CAT y APX (Gonzali, et al. 2017). SOD reduce O2− a H2O2, que a su vez es un sustrato para CAT, APX y otras enzimas (Lawson et al. 2015). El yoduro se considera un antioxidante inorgánico que reacciona con especies reactivas de oxígeno (ERO) (ozono, oxígeno singulete y superóxido) a tasas de 12 a 500 veces del ascorbato y el glutatión (Küpper et al. 2008).
Los resultados del presente trabajo pueden atribuirse a varios factores, incluyendo el método de aplicación, ya que el presente trabajo se basó en aplicaciones foliares en campo abierto, mientras que informes anteriores han utilizado sistemas hidropónicos (Blasco et al. 2010). Además, la acumulación de biomoléculas puede depender de factores como la dosis y la especie de yodo aplicada, la especie de planta y el tipo de aplicación, ya sea foliar o directamente al sustrato, todo lo cual puede conducir a la acumulación diferencial de antioxidantes. Por lo anterior, se han descrito cuatro posibles resultados para las propiedades bioquímicas y antioxidantes en melones tratados con complejos de quitosán yodado, los cuales tienen un impacto positivo sobre el crecimiento de las plantas y otras variables fisiológicas y bioquímicas; y también se tienen efectos mixtos positivos y negativos en las plantas (Blasco et al. 2011). Las tendencias indican aumentos en el contenido de yodo no antagonizan la acumulación de activos bioquímicos. La hipótesis del trabajo fue que la presencia del quitosán aumentaría la repuesta para generar antioxidantes, pero los resultados mostraron cambios leves en los tratamientos con los complejos de quitosán yodado. Los resultados obtenidos durante la poscosecha del melón parecen estar dadas por el almacenamiento y no por los tratamientos aplicados al cultivo, ya que las células de los frutos siguen vivas aún después de la cosecha de los frutos y el ambiente genera las modificaciones, y la falta de alguna reserva puede poner en desventaja a esos frutos. De ahí la importancia de los tratamientos y nutrición aplicada a la planta durante el desarrollo incluso de la floración, amarre, cuajado y desarrollo del fruto. Es por ello que, en poscosecha no se puede “mejorar” la calidad, sólo mantenerla, ya que el fruto trae cierta calidad obtenida desde el campo, pero si el fruto está dañado, deficiente de nutrientes o presenta alguna característica negativa en su calidad, durante poscosecha difícilmente podrá ser modificado.
Conclusiones
La aplicación foliar de complejos de quitosán yodado (CS-KI y CS-KIO3) indujeron efectos positivos sobre la calidad bioquímica y antioxidante en frutos de melón poscosecha, incluyendo el contenido de carotenos, vitamina C, compuestos fenólicos y capacidad antioxidante, permitiendo mantener al fruto con buena calidad y manteniendo el contenido nutracéutico de los frutos durante la poscosecha por hasta 15 días después del corte durante el almacenamiento a 25 °C, por lo que los complejos de quitosán yodados son adecuados para la producción de melón con mejor calidad nutricional y funcional. Sin embargo, se requiere hacer más investigación para entender mejor el impacto de los complejos CS- KI y CS-KIO3 en la modificación de los antioxidantes en los frutos.










nueva página del texto (beta)









